| NOTA TÉCNICA PARA LAS PENSIONES DERIVADAS DEL SEGURO DE RETIRO, CESANTÍA EN EDAD AVANZADA Y VEJEZ |
![]() | Tasa de interés técnico. Corresponde a la tasa ofrecida por la institución de seguros. | |
| V | ![]() | |
![]() | ![]() | |
| kpx | Probabilidad de que un individuo de edad x alcance la edad x+k. | |
![]() | Probabilidad de invalidarse entre las edades x y x+k. | |
![]() | Probabilidad de que un individuo inválido de edad x, permanezca como tal hasta alcanzar la edad x+k. | |
![]() | Probabilidad de que un individuo de edad x, sobreviva hasta alcanzar la edad x+k. Considerada en la determinación del seguro de sobrevivencia. | |
| | Última edad de la tabla de mortalidad. | |
![]() | Edad del cónyuge. | |
![]() | Edad del padre o madre sin derecho a pensión. Mujer , Hombre ![]() | |
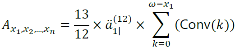
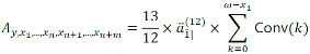
| x1,x2,...,xn+m | Edad de los hijos en orden ascendente. | |
| x1 | Edad del hijo menor de los n+m X1= mín(x1,x2,...,xn,xn+1,...,xn+m) | |
![]() | Número de hijos. | |
![]() | Número de ascendientes de primer grado que dependen económicamente del asegurado o pensionado. | |
| z1,z2,...,znp | Edad de los ascendientes en orden ascendente. | |
| FRPV | Fecha de referencia para el cálculo de los pagos vencidos a ser considerada conforme a los procedimientos del trámite de pensión. | |
| FC | Fecha de cálculo. | |
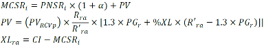
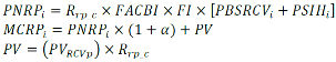
| PV | Monto de los pagos vencidos a la fecha de proceso. | |
| AA | Ayudas asistenciales a la fecha de cálculo de la pensión. | |
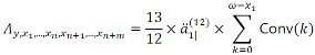
| PBSRCVi | Prima básica para pensiones del seguro de retiro, cesantía en edad avanzada y vejez calculada a tasa i. | |
| PNRCVi | Prima neta para pensiones del seguro de retiro, cesantía en edad avanzada y vejez calculada a tasa i. | |
| PSIHi | Prima básica del seguro de invalidez para hijos del seguro de retiro calculada a tasa i. | |
| PNSIHi | Prima neta del seguro de invalidez para hijos del seguro de retiro calculada a tasa i. | |
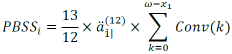
| PBSSi | Prima básica del seguro de sobrevivencia calculada a tasa i. | |
| PSIHssi | Prima del seguro de invalidez para hijos del seguro de sobrevivencia calculada a tasa i. | |
| PFHi | Prima de finiquito de hijos. | |
| PNSSi | Prima neta del seguro de sobrevivencia calculada a tasa i. | |
| MCSSi | Monto constitutivo del seguro de sobrevivencia calculado a tasa i. | |
| PNSRi | Prima neta para el caso de retiro anticipado calculada a tasa i. | |
| MCSRi | Monto constitutivo para el caso de retiro anticipado calculado a tasa i. | |
| PNSCVi | Prima neta para pensiones del seguro de cesantía en edad avanzada y vejez calculada a tasa i. | |
| MCSCVi | Monto constitutivo para pensiones del seguro de cesantía en edad avanzada y vejez calculado a tasa i. | |
| PNRPi | Prima neta en caso de cambio de retiro programado a pensiones del seguro de cesantía en edad avanzada y vejez calculada a tasa i. | |
| MCRPi | Monto constitutivo en caso de cambio de retiro programado a pensiones del seguro de cesantía en edad avanzada y vejez calculado a tasa i. | |
| MCSSRPi | Monto constitutivo del seguro de sobrevivencia en caso de retiro programado. | |
![]() | Porcentaje para margen de seguridad. | |
| PGc | Promedio de las pensiones garantizadas, que corresponda a un salario mínimo y sesenta años de edad, de acuerdo con la tabla establecida en el artículo 170 de la Ley del Seguro Social actualizadas a la fecha de la determinación de la renta conforme a los factores inflacionarios. | |
| PGr | Pensión garantizada conforme a las semanas de cotización, el salario base de cotización y la edad, de acuerdo con lo establecido en los artículos 158, 164 y 170 de la Ley del Seguro Social, actualizada a la fecha de la determinación de la renta conforme a los factores inflacionarios. | |
| FACBI | Para efectos de RCV será el factor de actualización de la renta vitalicia por inflación que se calcula conforme el Anexo 14.2.1-m de las presentes disposiciones. | |
| FI | Factor de estimación de la inflación del mes de proceso que se calcula conforme el Anexo 14.2.1-m de las presentes disposiciones. | |
![]() | Pensión básica en caso de retiro anticipado, calculada en función de la cuenta individual sin considerar asignaciones familiares ni ayudas asistenciales. | |
![]() | Pensión básica del seguro de cesantía en edad avanzada y vejez, calculada en función de la cuenta individual sin considerar asignaciones familiares ni ayudas asistenciales. | |
![]() | Pensión básica en caso de cambio de retiro programado a seguro de cesantía en edad avanzada, calculada en función de la cuenta individual sin considerar asignaciones familiares ni ayudas asistenciales. | |
![]() | Pensión básica en caso de cambio de retiro programado a seguro de vejez, calculada en función de la cuenta individual sin considerar asignaciones familiares ni ayudas asistenciales. | |
![]() | Renta de referencia para el cálculo del monto constitutivo del seguro de sobrevivencia en caso de retiro programado. | |
![]() | Renta inicial a percibir por el pensionado titular en caso de retiro anticipado, considerando asignaciones familiares, ayudas asistenciales y la composición familiar vigente a la fecha de cálculo. | |
![]() | Renta inicial a percibir por el pensionado titular del seguro de cesantía en edad avanzada y vejez, considerando asignaciones familiares, ayudas asistenciales y la composición familiar vigente a la fecha de cálculo. | |
![]() | Renta inicial a percibir por el pensionado titular en caso de cambio de retiro programado a seguro de cesantía en edad avanzada, considerando asignaciones familiares, ayudas asistenciales y la composición familiar vigente a la fecha de cálculo. | |
![]() | Renta inicial a percibir por el pensionado titular en caso de cambio de retiro programado a seguro de vejez, considerando asignaciones familiares, ayudas asistenciales y la composición familiar vigente a la fecha de cálculo. | |
![]() | Renta de referencia para el cálculo del monto constitutivo del seguro de sobrevivencia en caso de retiro programado, considerando asignaciones familiares, ayudas asistenciales y la composición familiar vigente a la fecha de cálculo. | |
![]() | Unidad de renta vitalicia emitida por CONSAR. | |
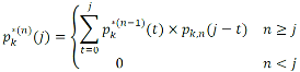
| PVRCVp | Factor por concepto de pagos vencidos a la fecha de cálculo, para pensiones del seguro de retiro, cesantía en edad avanzada y vejez, conforme a los términos del trámite de pensión, y a la composición familiar vigente a la fecha de cálculo; 0PVRCVp. | |
| PNSIHi | Prima neta del seguro de invalidez para hijos del seguro de retiro calculada a tasa i. | |
| CI | Cuenta individual a la que se refiere el artículo 159, fracción I, de la LSS. | |
![]() | Para el caso de retiro anticipado y para pensiones del seguro de cesantía en edad avanzada y vejez (Art. 158 de la Ley del Seguro Social), es el porcentaje del excedente de la cuenta individual, que se va a emplear para la adquisición de una renta vitalicia por encima de 1.3 veces la pensión garantizada (PGr) a selección del pensionado. 0%XL1. | |
![]() | Para el caso de retiro anticipado (Art. 158 de la Ley del Seguro Social), es el monto de la cuenta individual a ser retirado por el pensionado titular a selección del pensionado. | |
![]() | Para pensiones del seguro de cesantía en edad avanzada y vejez (Art. 158 de la Ley del Seguro Social), es el monto de la cuenta individual a ser retirado por el pensionado titular a selección del pensionado. | |
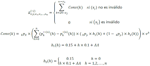
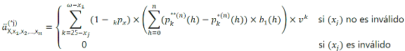
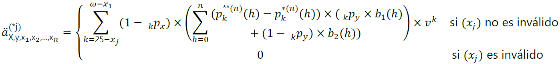
![]() | la probabilidad de que un hijo o huérfano de edad x pierda su derecho entre la edad x y x+1. |
![]() | Probabilidad de que un individuo de edad x muera entre las edades x y x+1, considerando mejoras en la esperanza de vida (tabla de activos dinámica o "diagonal"). |
![]() | Probabilidad de que un individuo de edad x deje de estudiar entre las edades x y x+1. |
![]() | Probabilidad ajustada de que un individuo de edad x muera entre las edades x y x+1. |
![]() | Probabilidad ajustada de que un individuo de edad x deje de estudiar entre las edades x y x+1. |




el número de días naturales entre las fechas FRPV y FC
Factor de exposición para el cálculo de los pagos vencidos












![]() | ![]() |
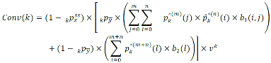
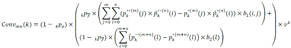
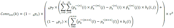
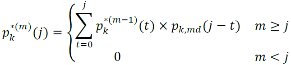
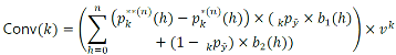
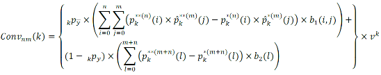
![]() | Es la probabilidad que mantengan el derecho como beneficiarios j hijos de n originales en el año k. |
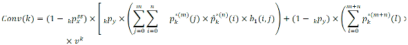
![]() | Es el beneficio a pagar por los derechohabientes considerando que el cónyuge sobrevive. |
![]() | Es el beneficio a pagar por los derechohabientes considerando que el cónyuge ha muerto. |


| | ![]() |
![]() | Es el beneficio a pagar por el sobreviviente considerando que el cónyuge sobrevive. |
![]() | Es el beneficio a pagar por el sobreviviente considerando que el cónyuge ha muerto. |


| | ![]() |
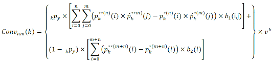
![]() | Es la probabilidad que mantengan el derecho como beneficiarios j hijos de n originales en el año k. |
![]() | Es el beneficio a pagar por los derechohabientes. |






| | ![]() |
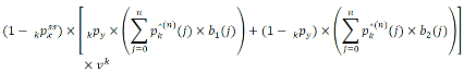
![]() | Es la probabilidad que sobrevivan j padres de (np) originales. |
![]() | Es el beneficio a pagar por los derechohabientes. |









puede ser
,
,
o
.
![]() | = | ![]() |
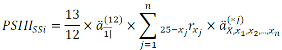
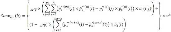
![]() | Es la probabilidad que mantengan el derecho como beneficiarios j hijos de n originales en el año k. | |
![]() | Es el beneficio a pagar por los sobrevivientes considerando que el cónyuge sobrevive. | |
![]() | Es el beneficio a pagar por los sobrevivientes considerando que el cónyuge ha muerto. | |









![]() | Es la probabilidad que mantengan el derecho como beneficiarios j hijos de n originales en el año k. |
![]() | Es el beneficio a pagar por los derechohabientes. |







![]() | Es la probabilidad que mantengan el derecho como beneficiarios j hijos de n originales en el año k. |
![]() | Es el beneficio a pagar por los derechohabientes considerando que el padre o la madre sin derecho a pensión sobrevive. |
![]() | Es el beneficio a pagar por los derechohabientes considerando que el padre o la madre sin derecho a pensión muere. |








![]() | Es la probabilidad que mantengan el derecho como beneficiarios i hijos con orfandad nula de n originales en el año k. |
![]() | Es la probabilidad que mantengan el derecho como beneficiarios j huérfanos sencillos de m originales en el año k. |
![]() | Es el beneficio a pagar a los i hijos con orfandad nula y a los j huérfanos sencillos considerando que el(la) esposo(a) sobrevive. |
![]() | Es el beneficio a pagar a los derechohabientes considerando que el(la) esposo(a) ha muerto. |










![]() | Es la probabilidad que mantengan el derecho como beneficiarios i hijos con orfandad nula de n originales en el año k. |
![]() | Es la probabilidad que mantengan el derecho como beneficiarios j huérfanos sencillos de m originales en el año k. |
![]() | Es el beneficio a pagar a los i hijos con orfandad nula y a los j huérfanos sencillos considerando que el(la) padre(madre) sin derecho a pensión sobrevive. |
![]() | Es el beneficio a pagar a los derechohabientes considerando que el(la) padre(madre) sin derecho a pensión ha muerto. |























































puede ser
,
,
o
.

, entonces:
, entonces:

según se determina en el capítulo VI de la presente sección.
, entonces:


, entonces:

, entonces:



según se determina en el capítulo VI de la presente sección.
, entonces:
, entonces:
se determina en el capítulo VI de esta sección.
, entonces:
, entonces:
se determina en el capítulo VI de esta sección.
, entonces:
, entonces:
según se determina en el capítulo VI de la presente sección.




puede ser
,
,
,
o
, y
puede ser
,
,
,
o
, respectivamente.| NOTA TECNICA PARA LAS PENSIONES DERIVADAS DEL ARTÍCULO 172-A DE LA LEY DEL SEGURO SOCIAL |
| i | Tasa de interés técnico. | |
| v | ![]() | |
![]() | ![]() | |
| kpx | Probabilidad de que un individuo de edad x alcance la edad x+k. | |
![]() | Probabilidad de invalidarse entre las edades x y x+k. | |
![]() | Probabilidad de que un individuo inválido de edad x, permanezca como tal hasta alcanzar la edad x+k. | |
![]() | Probabilidad de que un individuo de edad x, sobreviva hasta alcanzar la edad x+k. Considerada en la determinación del seguro de sobrevivencia. | |
| | Ultima edad de la tabla de mortalidad. | |
| y | Edad del cónyuge. | |
| | Edad del padre o madre sin derecho a pensión. Mujer =x-5 , Hombre =y+5. | |
| x1,x2,...,xn+m | Edad de los hijos en orden ascendente. | |
| x1 | Edad del hijo menor de los n+m huérfanos. X1= mín(x1,x2,...,xn,xn+1,...,xn+m). | |
| n, m | Número de hijos. | |
| na | Número de ascendientes que dependían económicamente del asegurado o pensionado. | |
| z1,z2,...,zna | Edad de los ascendientes. | |
| PV | Monto de los pagos vencidos no prescritos a la fecha de proceso que se calcula conforme el Anexo 14.2.1-i de las presentes disposiciones. | |
| PBSV | Prima básica de la pensión derivada del artículo 172-A LSS. | |
| PSIH | Prima básica del Seguro de invalidez para hijos derivada del artículo 172-A LSS. | |
| PFH | Prima básica del finiquito para hijos derivada del artículo 172-A LSS. | |
| PNSV | Prima neta de la pensión derivada del artículo 172-A LSS. | |
| MCSV | Monto Constitutivo de prima básica de la pensión derivada del artículo 172-A LSS. | |
![]() | Porcentaje para margen de seguridad. | |
| PGr | Pensión garantizada que percibía el asegurado titular al momento de ocurrir el fallecimiento. | |
| FAR | Factor de actualización de rentas que se calcula conforme el Anexo 14.2.1-m de las presentes disposiciones. | |
| FACBI | Factor de actualización de la renta vitalicia por inflación que se calcula conforme el Anexo 14.2.1-m de las presentes disposiciones. | |
| FI | Factor de estimación de la inflación del mes de proceso que se calcula conforme el Anexo 14.2.1-m de las presentes disposiciones. | |
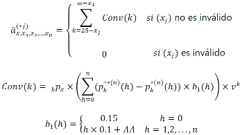
la probabilidad de que un hijo o huérfano de edad x pierda su derecho entre la edad x y x+1.
Probabilidad de que un individuo de edad x muera entre las edades x y x+1, considerando mejoras en la esperanza de vida (tabla de activos dinámica o "diagonal").
Probabilidad de que un individuo de edad x deje de estudiar entre las edades x y x+1.
Probabilidad ajustada de que un individuo de edad x muera entre las edades x y x+1.
Probabilidad ajustada de que un individuo de edad x deje de estudiar entre las edades x y x+1.




![]() | Es la probabilidad que mantengan el derecho como beneficiarios j hijos de n originales en el año k. |
![]() | Es el beneficio a pagar por los derechohabientes considerando que el(la) viudo(a) sobrevive. |
![]() | Es el beneficio a pagar por los derechohabientes considerando que el(la) viudo(a) ha muerto. |











![]() | Es la probabilidad que mantengan el derecho como beneficiarios j hijos de n originales en el año k. |
![]() | Es el beneficio a pagar por los derechohabientes. |








![]() | Es la probabilidad que mantengan el derecho como beneficiarios j hijos de n originales en el año k. |
![]() | Es el beneficio a pagar por los derechohabientes considerando que el padre o madre sin derecho a pensión sobrevive. |
![]() | Es el beneficio a pagar por los derechohabientes considerando que el padre o madre sin derecho a pensión muere. |








![]() | Es la probabilidad que mantengan el derecho como beneficiarios i huérfanos sencillos de n originales en el año k. |
![]() | Es la probabilidad que mantengan el derecho como beneficiarios j huérfanos dobles de m originales en el año k. |
![]() | Es el beneficio a pagar a los i huérfanos sencillos y a los j huérfanos dobles considerando que el(la) padre(madre) sin derecho a pensión sobrevive. |
![]() | Es el beneficio a pagar a los derechohabientes considerando que el(la) padre(madre) sin derecho a pensión ha muerto. |












![]() | Es la probabilidad que mantengan el derecho como beneficiarios i huérfanos sencillos de n originales en el año k. |
![]() | Es la probabilidad que mantengan el derecho como beneficiarios j huérfanos dobles de m originales en el año k. |
![]() | Es el beneficio a pagar a los i huérfanos sencillos y a los j huérfanos dobles considerando que el(la) viudo(a) sobrevive. |
![]() | Es el beneficio a pagar a los derechohabientes considerando que el(la) viudo(a) ha muerto. |




















































































