

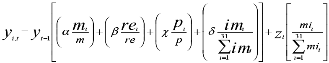
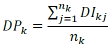
![]() | Recurso distribuido en el estado i, en el periodo t (2026). |
![]() | Valor base (gasto en infraestructura educativa para educación básica, 2025). |
![]() | Matrícula pública de educación básica y educación especial del estado i. |
![]() | Matrícula pública de educación básica y educación especial a nivel nacional (considerando a la Ciudad de México-CDMX-). |
![]() | Coeficiente de Matrícula. |
![]() | Población de 6 a 14 años de edad que no asiste a la escuela del estado i. |
![]() | Población de 6 a 14 años de edad que no asiste a la escuela a nivel nacional (considerando a la CDMX). |
![]() | Coeficiente de inasistencia escolar. |
![]() | Crecimiento de la población 5 a 14 años de edad del estado i. |
![]() | Crecimiento de la población 5 a 14 años de edad nacional (considerando a la CDMX). |
![]() | Coeficiente de Crecimiento Poblacional. |
![]() | Índice de marginación del estado i. |
![]() | Coeficiente de Grado de Marginación. |
![]() | Valor incremento presupuestal en el periodo t. |
![]() | Índice de migración interestatal de 3 a 15 años de edad del estado i. |
![]() | Coeficiente de Migración. |
![]() | Ponderadores de Matrícula, Inasistencia Escolar, Crecimiento Poblacional y Grado de Marginación respectivamente. |
| Matrícula | 42.5% |
| Inasistencia escolar | 25.0% |
| Crecimiento Poblacional | 7.5% |
| Grado de Marginación | 25.0% |
| Total | 100.0% |
. Establecidos en la fórmula de distribución.
![]() | |
| | Son los recursos del FAM de infraestructura educativa, que le corresponden a la entidad federativa j (j = 1, 2, ..., 32). |
![]() | |
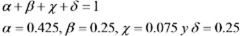
| | Es la distribución relativa a la matrícula de educación media superior, al inicio del curso del ciclo lectivo 2024-2025, de la entidad federativa j (j = 1, 2, ..., 32). |
| | El indicador se obtiene de la siguiente forma:![]() |
![]() | |
| | Es la distribución relativa a la matrícula de educación media superior, al inicio del curso del ciclo lectivo 2024-2025, de la entidad federativa j (j = 1, 2, ..., 32). |
![]() | |
| | Es la matrícula de educación media superior, al inicio del curso del ciclo lectivo 2024-2025 de la entidad federativa j (j = 1, 2, ..., 32). |




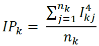
es el indicador previo al Componente 4, el cual mide la proporción de dispositivos sanitarios en uso con respecto al total instalado.

es el componente i de la escuela j (con i =1,2,3,4),
es el indicador, promedio, de infraestructura de la escuela j.
es el indicador promedio de infraestructura básica del conjunto de escuelas k (con k =1,2,...,7; en cada uno de los siete tipos de IES considerados).
es el indicador de infraestructura de la escuela j en el conjunto de escuelas k.
es el número de escuelas en el conjunto k.

: es el indicador promedio del déficit de infraestructura básica del conjunto de escuelas k (con k =1,2,...,7; en cada uno de los siete tipos de IES considerados).
es el indicador de déficit de infraestructura de la escuela j en el conjunto de escuelas k.
es el número de escuelas en el conjunto k.
es el porcentaje de recursos que recibiría el conjunto de escuelas k, o el Tipo de IES k,
es el número de escuelas con algún déficit de infraestructura en el tipo de IES k (incidencia de las carencias o déficits).
es el déficit promedio de carencias en el conjunto de escuelas k, o el Tipo de IES k (intensidad de las carencias de infraestructura).
es el número de subconjuntos de escuelas entre los que se van a repartir los recursos, es decir, el número de conjuntos de tipo de IES a beneficiar (k =1,2,...,7).| Concepto | Porcentajes por tipo de IES Final 2026 |
| Total | 60.0000000000 % |
| UUII, UPES y UPEAS | 33.3682946481 % |
| Tecnológico Nacional de México | 6.8439571589 % |
| Universidades Tecnológicas y Universidades Politécnicas | 8.1438858228 % |
| Normales Públicas | 8.3699742423 % |
| Unidades Académicas de la UPN | 3.2738881279 % |
| Concepto | Distribución de recursos del FAM 2026 | |
| Porcentajes | Monto (Pesos) | |
| Total | 100.0000000000 % | 7,334,354,326.00 |
| Proyectos Estratégicos de Educación Superior | 40.0000000000 % | 2,933,741,730.00 |
| Nuevas escuelas públicas de educación superior en los estados | 25.0000000000 % | 1,833,588,581.00 |
| Plan Michoacán | 10.0000000000 % | 733,435,433.00 |
| Otros proyectos estratégicos | 5.0000000000 % | 366,717,716.00 |
| Tipos de IES | 60.0000000000 | 4,400,612,596.00 |
| UUII, UPES y UPEAS | 33.3682946481 % | 2,447,348,962.00 |
| Tecnológico Nacional de México | 6.8439571589 % | 501,960,068.00 |
| Universidades Tecnológicas y Universidades Politécnicas | 8.1438858228 % | 597,301,442.00 |
| Normales Públicas | 8.3699742423 % | 613,883,568.00 |
| Unidades Académicas de la UPN | 3.2738881279 % | 240,118,556.00 |
| Instituciones por apoyar con recursos de proyectos estratégicos | |||
| Entidad Federativa | Nombre de la Institución de Educación Superior (IES) | Recursos asignados (pesos) | |
| Nuevas escuelas públicas de educación superior en los estados | 1,833,588,581.00 | ||
| Baja California Sur | 155,373,269.00 | ||
| Campeche | 175,908,442.00 | ||
| Guerrero | 172,471,538.00 | ||
| México | 93,637,538.00 | ||
| Michoacán | 321,364,151.00 | ||
| Nayarit | 170,688,913.00 | ||
| Quintana Roo | 229,991,660.00 | ||
| Sinaloa | 164,541,270.00 | ||
| Sonora | 176,135,808.00 | ||
| Zacatecas | 173,475,992.00 | ||
| Plan Michoacán | 733,435,433.00 | ||
| Universidad Michoacana de San Nicolás de Hidalgo | 80,000,000.00 | ||
| Universidad Intercultural Indígena de Michoacán | 98,000,000.00 | ||
| Universidad de la Ciénega del Estado de Michoacán de Ocampo | 38,000,000.00 | ||
| Universidad Tecnológica de Morelia | 36,426,469.00 | ||
| Universidad Intercultural Tecnológica y Politécnica de Aquila | 65,063,673.00 | ||
| Universidad Politécnica de Uruapan, Michoacán | 107,286,824.00 | ||
| Universidad Tecnológica del Oriente de Michoacán | 79,286,253.00 | ||
| Universidad Politécnica de Lázaro Cárdenas | 15,021,224.00 | ||
| Escuela Normal Rural de Tiripetío, Michoacán | 39,878,771.00 | ||
| Centro Regional de Educación Normal de Arteaga (Licenciatura Educación Preescolar) | 29,909,078.00 | ||
| Centro Regional de Educación Normal de Arteaga (Licenciatura Educación Primaria) | 29,909,078.00 | ||
| Escuela Normal de Educación Física | 30,262,484.00 | ||
| Escuela Normal de Educadoras "Profesor Serafín Contreras Manzo" | 9,969,693.00 | ||
| Centro de Actualización del Magisterio de Michoacán | 27,915,140.00 | ||
| Benemérita y Centenaria Escuela Normal Urbana Federal "J. Jesús Romero Flores" | 9,969,693.00 | ||
| Escuela Normal Superior de Michoacán | 9,969,693.00 | ||
| UPN 164 Zitácuaro | 7,866,360.00 | ||
| UPN 162 Zamora | 10,701,000.00 | ||
| Instituto Tecnológico de Lázaro Cárdenas | 8,000,000.00 | ||
| Otros proyectos estratégicos | 366,717,716.00 | ||
| Baja California | Universidad Intercultural de Baja California | 30,330,000.00 | |
| Baja California | Nueva escuela pública de educación superior | 136,486,349.00 | |
| Guerrero | Universidad Tecnológica y Politécnica de Coyuca de Benítez | 24,202,089.00 | |
| Guerrero | Universidad Tecnológica y Politécnica de la Sierra de Guerrero | 24,202,089.00 | |
| Michoacán | Nueva escuela pública de educación superior | 103,093,011.00 | |
| Oaxaca | Afrouniversidad Politécnica Intercultural | 24,202,089.00 | |
| Oaxaca | Universidad Tecnológica y Politécnica del Istmo de Tehuantepec | 24,202,089.00 | |
| | Total | 2,933,741,730.00 | |
| Entidad Federativa | Monto asignado a UUII, UPES y UPEAS (Pesos) |
| Aguascalientes | 26,000,000.00 |
| Baja California | 119,807,823.00 |
| Baja California Sur | 105,000,000.00 |
| Campeche | 105,916,743.00 |
| Coahuila | 30,000,000.00 |
| Colima | 95,001,862.00 |
| Chiapas | 141,137,000.00 |
| Chihuahua | 136,464,630.00 |
| Durango | 10,500,000.00 |
| Guanajuato | 79,600,000.00 |
| Guerrero | 103,092,028.00 |
| Hidalgo | 24,718,889.00 |
| Jalisco | 248,588,221.00 |
| México | 184,665,110.00 |
| Nuevo León | 67,500,000.00 |
| Oaxaca | 207,353,820.00 |
| Puebla | 72,065,084.00 |
| Querétaro | 20,103,784.00 |
| Quintana Roo | 134,055,452.00 |
| San Luis Potosí | 6,123,500.00 |
| Sinaloa | 59,500,000.00 |
| Sonora | 101,722,028.00 |
| Tabasco | 41,591,050.00 |
| Tamaulipas | 68,250,003.00 |
| Tlaxcala | 122,780,107.00 |
| Veracruz | 84,000,000.00 |
| Yucatán | 45,643,400.00 |
| Zacatecas | 6,168,428.00 |
| Total | 2,447,348,962.00 |
| Entidad Federativa | Monto asignado al Tecnológico Nacional de México (Pesos) |
| Baja California Sur | 34,500,000.00 |
| Campeche | 4,046,316.00 |
| Coahuila | 10,093,312.00 |
| Chiapas | 4,000,000.00 |
| Chihuahua | 68,172,743.00 |
| Durango | 8,914,640.00 |
| Guanajuato | 1,500,000.00 |
| Guerrero | 46,462,480.00 |
| Nuevo León | 60,000,000.00 |
| Oaxaca | 83,566,569.00 |
| Puebla | 68,845,433.00 |
| Querétaro | 2,929,004.00 |
| Sinaloa | 34,783,411.00 |
| Tamaulipas | 2,100,000.00 |
| Yucatán | 68,572,379.00 |
| Zacatecas | 3,473,781.00 |
| Total | 501,960,068.00 |
| Entidad Federativa | Monto asignado a Universidades Tecnológicas y Universidades Politécnicas (Pesos) |
| Aguascalientes | 25,000,000.00 |
| Chihuahua | 130,000,000.00 |
| Guanajuato | 20,000,000.00 |
| Hidalgo | 100,000,000.00 |
| México | 50,000,000.00 |
| Morelos | 38,000,000.00 |
| Nayarit | 31,000,000.00 |
| Querétaro | 17,863,942.00 |
| Sinaloa | 90,000,000.00 |
| Sonora | 90,000,000.00 |
| Zacatecas | 5,437,500.00 |
| Total | 597,301,442.00 |
| Entidad Federativa | Monto asignado a Normales Públicas (Pesos) |
| Aguascalientes | 23,830,689.00 |
| Baja California | 19,375,895.00 |
| Baja California Sur | 43,746,994.00 |
| Campeche | 27,058,226.00 |
| Coahuila | 22,373,873.00 |
| Colima | 11,493,935.00 |
| Chiapas | 54,910,663.00 |
| Durango | 26,803,738.00 |
| Hidalgo | 30,848,039.00 |
| Jalisco | 48,793,622.00 |
| México | 39,542,444.00 |
| Morelos | 18,700,956.00 |
| Nayarit | 12,033,298.00 |
| Nuevo León | 25,766,795.00 |
| Oaxaca | 22,507,894.00 |
| Puebla | 17,820,271.00 |
| Querétaro | 8,650,014.00 |
| San Luis Potosí | 33,736,430.00 |
| Sinaloa | 5,695,432.00 |
| Sonora | 32,592,727.00 |
| Tamaulipas | 52,582,420.00 |
| Tlaxcala | 30,414,016.00 |
| Yucatán | 4,605,197.00 |
| Total | 613,883,568.00 |
| Entidad Federativa | Monto asignado a unidades académicas de la UPN (Pesos) |
| Baja California | 7,482,261.00 |
| Colima | 15,604,171.00 |
| Guerrero | 1,511,627.00 |
| Hidalgo | 36,384,274.00 |
| Jalisco | 38,474,489.00 |
| México | 4,746,803.00 |
| Michoacán | 13,708,190.00 |
| Morelos | 4,058,954.00 |
| Nayarit | 9,288,282.00 |
| Nuevo León | 1,505,269.00 |
| Sonora | 27,046,344.00 |
| Tamaulipas | 38,391,268.00 |
| Veracruz | 17,661,638.00 |
| Yucatán | 12,165,004.00 |
| Zacatecas | 12,089,982.00 |
| Total | 240,118,556.00 |
| ENTIDAD FEDERATIVA | ASIGNACIÓN ORIGINAL | ENERO | FEBRERO | MARZO | ABRIL | MAYO | JUNIO | JULIO | AGOSTO | SEPTIEMBRE | OCTUBRE | NOVIEMBRE | DICIEMBRE |
| Aguascalientes | 270,538,654 | 22,544,888 | 22,544,888 | 22,544,888 | 22,544,888 | 22,544,888 | 22,544,888 | 22,544,888 | 22,544,888 | 22,544,888 | 22,544,888 | 22,544,887 | 22,544,887 |
| Baja California | 437,652,635 | 36,471,053 | 36,471,053 | 36,471,053 | 36,471,053 | 36,471,053 | 36,471,053 | 36,471,053 | 36,471,053 | 36,471,053 | 36,471,053 | 36,471,053 | 36,471,052 |
| Baja California Sur | 218,818,057 | 18,234,838 | 18,234,838 | 18,234,838 | 18,234,838 | 18,234,838 | 18,234,838 | 18,234,838 | 18,234,838 | 18,234,838 | 18,234,838 | 18,234,838 | 18,234,839 |
| Campeche | 210,940,856 | 17,578,405 | 17,578,405 | 17,578,405 | 17,578,405 | 17,578,405 | 17,578,405 | 17,578,405 | 17,578,404 | 17,578,404 | 17,578,405 | 17,578,404 | 17,578,404 |
| Coahuila | 389,246,609 | 32,437,217 | 32,437,217 | 32,437,217 | 32,437,217 | 32,437,217 | 32,437,217 | 32,437,217 | 32,437,218 | 32,437,218 | 32,437,218 | 32,437,218 | 32,437,218 |
| Colima | 209,081,674 | 17,423,473 | 17,423,473 | 17,423,473 | 17,423,473 | 17,423,473 | 17,423,473 | 17,423,473 | 17,423,473 | 17,423,473 | 17,423,473 | 17,423,472 | 17,423,472 |
| Chiapas | 1,266,581,611 | 105,548,468 | 105,548,468 | 105,548,468 | 105,548,468 | 105,548,468 | 105,548,468 | 105,548,467 | 105,548,467 | 105,548,467 | 105,548,467 | 105,548,468 | 105,548,467 |
| Chihuahua | 444,827,706 | 37,068,976 | 37,068,976 | 37,068,976 | 37,068,976 | 37,068,976 | 37,068,975 | 37,068,975 | 37,068,975 | 37,068,975 | 37,068,975 | 37,068,976 | 37,068,975 |
| Ciudad de México | 595,691,016 | 49,640,918 | 49,640,918 | 49,640,918 | 49,640,918 | 49,640,918 | 49,640,918 | 49,640,918 | 49,640,918 | 49,640,918 | 49,640,918 | 49,640,918 | 49,640,918 |
| Durango | 285,371,102 | 23,780,925 | 23,780,925 | 23,780,925 | 23,780,925 | 23,780,925 | 23,780,925 | 23,780,925 | 23,780,925 | 23,780,925 | 23,780,925 | 23,780,926 | 23,780,926 |
| Guanajuato | 652,300,743 | 54,358,395 | 54,358,395 | 54,358,395 | 54,358,395 | 54,358,395 | 54,358,395 | 54,358,395 | 54,358,395 | 54,358,395 | 54,358,396 | 54,358,396 | 54,358,396 |
| Guerrero | 389,970,186 | 32,497,515 | 32,497,515 | 32,497,516 | 32,497,516 | 32,497,516 | 32,497,516 | 32,497,516 | 32,497,516 | 32,497,515 | 32,497,515 | 32,497,515 | 32,497,515 |
| Hidalgo | 356,692,852 | 29,724,404 | 29,724,404 | 29,724,404 | 29,724,404 | 29,724,404 | 29,724,404 | 29,724,404 | 29,724,404 | 29,724,405 | 29,724,405 | 29,724,405 | 29,724,405 |
| Jalisco | 796,623,489 | 66,385,291 | 66,385,291 | 66,385,291 | 66,385,291 | 66,385,291 | 66,385,291 | 66,385,291 | 66,385,291 | 66,385,291 | 66,385,290 | 66,385,290 | 66,385,290 |
| Estado de México | 1,298,496,003 | 108,208,000 | 108,208,000 | 108,208,000 | 108,208,000 | 108,208,000 | 108,208,000 | 108,208,000 | 108,208,000 | 108,208,000 | 108,208,001 | 108,208,001 | 108,208,001 |
| Michoacán | 548,177,208 | 45,681,434 | 45,681,434 | 45,681,434 | 45,681,434 | 45,681,434 | 45,681,434 | 45,681,434 | 45,681,434 | 45,681,434 | 45,681,434 | 45,681,434 | 45,681,434 |
| Morelos | 279,081,033 | 23,256,753 | 23,256,753 | 23,256,753 | 23,256,753 | 23,256,753 | 23,256,753 | 23,256,753 | 23,256,753 | 23,256,753 | 23,256,752 | 23,256,752 | 23,256,752 |
| Nayarit | 237,483,193 | 19,790,266 | 19,790,266 | 19,790,266 | 19,790,266 | 19,790,266 | 19,790,266 | 19,790,266 | 19,790,266 | 19,790,266 | 19,790,266 | 19,790,266 | 19,790,267 |
| Nuevo León | 928,050,580 | 77,337,548 | 77,337,548 | 77,337,548 | 77,337,548 | 77,337,548 | 77,337,548 | 77,337,548 | 77,337,548 | 77,337,549 | 77,337,549 | 77,337,549 | 77,337,549 |
| Oaxaca | 452,673,846 | 37,722,820 | 37,722,820 | 37,722,821 | 37,722,821 | 37,722,821 | 37,722,821 | 37,722,821 | 37,722,821 | 37,722,820 | 37,722,820 | 37,722,820 | 37,722,820 |
| Puebla | 668,335,960 | 55,694,663 | 55,694,663 | 55,694,663 | 55,694,663 | 55,694,663 | 55,694,663 | 55,694,663 | 55,694,663 | 55,694,664 | 55,694,664 | 55,694,664 | 55,694,664 |
| Querétaro | 349,918,273 | 29,159,856 | 29,159,856 | 29,159,856 | 29,159,856 | 29,159,856 | 29,159,856 | 29,159,856 | 29,159,856 | 29,159,856 | 29,159,856 | 29,159,856 | 29,159,857 |
| Quintana Roo | 455,505,385 | 37,958,782 | 37,958,782 | 37,958,782 | 37,958,782 | 37,958,782 | 37,958,782 | 37,958,782 | 37,958,782 | 37,958,782 | 37,958,782 | 37,958,782 | 37,958,783 |
| San Luis Potosí | 338,208,633 | 28,184,053 | 28,184,053 | 28,184,053 | 28,184,053 | 28,184,053 | 28,184,053 | 28,184,053 | 28,184,053 | 28,184,053 | 28,184,052 | 28,184,052 | 28,184,052 |
| Sinaloa | 357,556,700 | 29,796,392 | 29,796,392 | 29,796,391 | 29,796,391 | 29,796,392 | 29,796,392 | 29,796,392 | 29,796,392 | 29,796,392 | 29,796,392 | 29,796,391 | 29,796,391 |
| Sonora | 348,508,779 | 29,042,398 | 29,042,398 | 29,042,398 | 29,042,398 | 29,042,398 | 29,042,398 | 29,042,398 | 29,042,398 | 29,042,398 | 29,042,399 | 29,042,399 | 29,042,399 |
| Tabasco | 325,626,211 | 27,135,518 | 27,135,518 | 27,135,517 | 27,135,517 | 27,135,517 | 27,135,518 | 27,135,518 | 27,135,518 | 27,135,518 | 27,135,518 | 27,135,517 | 27,135,517 |
| Tamaulipas | 395,862,621 | 32,988,552 | 32,988,552 | 32,988,552 | 32,988,552 | 32,988,551 | 32,988,552 | 32,988,552 | 32,988,552 | 32,988,552 | 32,988,551 | 32,988,552 | 32,988,551 |
| Tlaxcala | 249,564,647 | 20,797,054 | 20,797,054 | 20,797,054 | 20,797,054 | 20,797,054 | 20,797,054 | 20,797,054 | 20,797,054 | 20,797,054 | 20,797,054 | 20,797,054 | 20,797,053 |
| Veracruz | 685,280,854 | 57,106,738 | 57,106,738 | 57,106,738 | 57,106,738 | 57,106,738 | 57,106,737 | 57,106,738 | 57,106,738 | 57,106,738 | 57,106,738 | 57,106,738 | 57,106,737 |
| Yucatán | 284,225,293 | 23,685,441 | 23,685,441 | 23,685,441 | 23,685,441 | 23,685,441 | 23,685,441 | 23,685,441 | 23,685,441 | 23,685,441 | 23,685,441 | 23,685,442 | 23,685,441 |
| Zacatecas | 279,459,152 | 23,288,263 | 23,288,263 | 23,288,263 | 23,288,263 | 23,288,263 | 23,288,263 | 23,288,263 | 23,288,263 | 23,288,262 | 23,288,262 | 23,288,262 | 23,288,262 |
| TOTAL | 15,006,351,561 | 1,250,529,297 | 1,250,529,297 | 1,250,529,297 | 1,250,529,297 | 1,250,529,297 | 1,250,529,297 | 1,250,529,297 | 1,250,529,297 | 1,250,529,297 | 1,250,529,297 | 1,250,529,297 | 1,250,529,294 |
| ENTIDAD FEDERATIVA | ASIGNACIÓN ORIGINAL | ENERO | FEBRERO | MARZO | ABRIL | MAYO | JUNIO | JULIO | AGOSTO | SEPTIEMBRE | OCTUBRE | NOVIEMBRE | DICIEMBRE |
| Aguascalientes | 10,576,799 | 881,400 | 881,400 | 881,400 | 881,400 | 881,400 | 881,400 | 881,400 | 881,400 | 881,400 | 881,400 | 881,400 | 881,399 |
| Baja California | 28,842,318 | 2,403,527 | 2,403,527 | 2,403,527 | 2,403,527 | 2,403,527 | 2,403,527 | 2,403,527 | 2,403,527 | 2,403,527 | 2,403,527 | 2,403,527 | 2,403,521 |
| Baja California Sur | 8,027,426 | 668,952 | 668,952 | 668,952 | 668,952 | 668,952 | 668,952 | 668,952 | 668,952 | 668,952 | 668,952 | 668,952 | 668,954 |
| Campeche | 8,820,944 | 735,079 | 735,079 | 735,079 | 735,079 | 735,079 | 735,079 | 735,079 | 735,079 | 735,079 | 735,079 | 735,079 | 735,075 |
| Coahuila | 18,799,042 | 1,566,587 | 1,566,587 | 1,566,587 | 1,566,587 | 1,566,587 | 1,566,587 | 1,566,587 | 1,566,587 | 1,566,587 | 1,566,587 | 1,566,587 | 1,566,585 |
| Colima | 7,568,695 | 630,725 | 630,725 | 630,725 | 630,725 | 630,725 | 630,725 | 630,725 | 630,725 | 630,725 | 630,725 | 630,725 | 630,720 |
| Chiapas | 61,737,704 | 5,144,809 | 5,144,809 | 5,144,809 | 5,144,809 | 5,144,809 | 5,144,809 | 5,144,809 | 5,144,809 | 5,144,809 | 5,144,809 | 5,144,809 | 5,144,805 |
| Chihuahua | 30,192,866 | 2,516,072 | 2,516,072 | 2,516,072 | 2,516,072 | 2,516,072 | 2,516,072 | 2,516,072 | 2,516,072 | 2,516,072 | 2,516,072 | 2,516,072 | 2,516,074 |
| Ciudad de México | 7,397,384 | 616,449 | 616,449 | 616,449 | 616,449 | 616,449 | 616,449 | 616,449 | 616,449 | 616,449 | 616,449 | 616,449 | 616,445 |
| Durango | 15,536,643 | 1,294,720 | 1,294,720 | 1,294,720 | 1,294,720 | 1,294,720 | 1,294,720 | 1,294,720 | 1,294,720 | 1,294,720 | 1,294,720 | 1,294,720 | 1,294,723 |
| Guanajuato | 51,785,604 | 4,315,467 | 4,315,467 | 4,315,467 | 4,315,467 | 4,315,467 | 4,315,467 | 4,315,467 | 4,315,467 | 4,315,467 | 4,315,467 | 4,315,467 | 4,315,467 |
| Guerrero | 36,305,591 | 3,025,466 | 3,025,466 | 3,025,466 | 3,025,466 | 3,025,466 | 3,025,466 | 3,025,466 | 3,025,466 | 3,025,466 | 3,025,466 | 3,025,466 | 3,025,465 |
| Hidalgo | 33,722,383 | 2,810,199 | 2,810,199 | 2,810,199 | 2,810,199 | 2,810,199 | 2,810,199 | 2,810,199 | 2,810,199 | 2,810,199 | 2,810,199 | 2,810,199 | 2,810,194 |
| Jalisco | 89,074,901 | 7,422,908 | 7,422,908 | 7,422,908 | 7,422,908 | 7,422,908 | 7,422,908 | 7,422,908 | 7,422,908 | 7,422,908 | 7,422,908 | 7,422,908 | 7,422,913 |
| Estado de México | 185,265,109 | 15,438,759 | 15,438,759 | 15,438,759 | 15,438,759 | 15,438,759 | 15,438,759 | 15,438,759 | 15,438,759 | 15,438,759 | 15,438,759 | 15,438,759 | 15,438,760 |
| Michoacán | 37,259,736 | 3,104,978 | 3,104,978 | 3,104,978 | 3,104,978 | 3,104,978 | 3,104,978 | 3,104,978 | 3,104,978 | 3,104,978 | 3,104,978 | 3,104,978 | 3,104,978 |
| Morelos | 11,392,042 | 949,337 | 949,337 | 949,337 | 949,337 | 949,337 | 949,337 | 949,337 | 949,337 | 949,337 | 949,337 | 949,337 | 949,335 |
| Nayarit | 10,837,862 | 903,155 | 903,155 | 903,155 | 903,155 | 903,155 | 903,155 | 903,155 | 903,155 | 903,155 | 903,155 | 903,155 | 903,157 |
| Nuevo León | 48,777,857 | 4,064,821 | 4,064,821 | 4,064,821 | 4,064,821 | 4,064,821 | 4,064,821 | 4,064,821 | 4,064,821 | 4,064,821 | 4,064,821 | 4,064,821 | 4,064,826 |
| Oaxaca | 33,392,225 | 2,782,685 | 2,782,685 | 2,782,685 | 2,782,685 | 2,782,685 | 2,782,685 | 2,782,685 | 2,782,685 | 2,782,685 | 2,782,685 | 2,782,685 | 2,782,690 |
| Puebla | 75,836,895 | 6,319,741 | 6,319,741 | 6,319,741 | 6,319,741 | 6,319,741 | 6,319,741 | 6,319,741 | 6,319,741 | 6,319,741 | 6,319,741 | 6,319,741 | 6,319,744 |
| Querétaro | 20,910,342 | 1,742,529 | 1,742,529 | 1,742,529 | 1,742,529 | 1,742,529 | 1,742,529 | 1,742,529 | 1,742,529 | 1,742,529 | 1,742,529 | 1,742,529 | 1,742,523 |
| Quintana Roo | 17,694,243 | 1,474,520 | 1,474,520 | 1,474,520 | 1,474,520 | 1,474,520 | 1,474,520 | 1,474,520 | 1,474,520 | 1,474,520 | 1,474,520 | 1,474,520 | 1,474,523 |
| San Luis Potosí | 16,262,491 | 1,355,208 | 1,355,208 | 1,355,208 | 1,355,208 | 1,355,208 | 1,355,208 | 1,355,208 | 1,355,208 | 1,355,208 | 1,355,208 | 1,355,208 | 1,355,203 |
| Sinaloa | 39,065,452 | 3,255,454 | 3,255,454 | 3,255,454 | 3,255,454 | 3,255,454 | 3,255,454 | 3,255,454 | 3,255,454 | 3,255,454 | 3,255,454 | 3,255,454 | 3,255,458 |
| Sonora | 24,385,723 | 2,032,144 | 2,032,144 | 2,032,144 | 2,032,144 | 2,032,144 | 2,032,144 | 2,032,144 | 2,032,144 | 2,032,144 | 2,032,144 | 2,032,144 | 2,032,139 |
| Tabasco | 31,368,184 | 2,614,015 | 2,614,015 | 2,614,015 | 2,614,015 | 2,614,015 | 2,614,015 | 2,614,015 | 2,614,015 | 2,614,015 | 2,614,015 | 2,614,015 | 2,614,019 |
| Tamaulipas | 15,977,566 | 1,331,464 | 1,331,464 | 1,331,464 | 1,331,464 | 1,331,464 | 1,331,464 | 1,331,464 | 1,331,464 | 1,331,464 | 1,331,464 | 1,331,464 | 1,331,462 |
| Tlaxcala | 14,660,853 | 1,221,738 | 1,221,738 | 1,221,738 | 1,221,738 | 1,221,738 | 1,221,738 | 1,221,738 | 1,221,738 | 1,221,738 | 1,221,738 | 1,221,738 | 1,221,735 |
| Veracruz | 75,307,291 | 6,275,608 | 6,275,608 | 6,275,608 | 6,275,608 | 6,275,608 | 6,275,608 | 6,275,608 | 6,275,608 | 6,275,608 | 6,275,608 | 6,275,608 | 6,275,603 |
| Yucatán | 23,035,532 | 1,919,628 | 1,919,628 | 1,919,628 | 1,919,628 | 1,919,628 | 1,919,628 | 1,919,628 | 1,919,628 | 1,919,628 | 1,919,628 | 1,919,628 | 1,919,624 |
| Zacatecas | 16,900,725 | 1,408,392 | 1,408,392 | 1,408,392 | 1,408,392 | 1,408,392 | 1,408,392 | 1,408,392 | 1,408,392 | 1,408,392 | 1,408,392 | 1,408,392 | 1,408,413 |
| TOTAL | 1,106,718,428 | 92,226,536 | 92,226,536 | 92,226,536 | 92,226,536 | 92,226,536 | 92,226,536 | 92,226,536 | 92,226,536 | 92,226,536 | 92,226,536 | 92,226,536 | 92,226,532 |
| ENTIDAD FEDERATIVA | ASIGNACIÓN ORIGINAL | ENERO | FEBRERO | MARZO | ABRIL | MAYO | JUNIO | JULIO | AGOSTO | SEPTIEMBRE | OCTUBRE | NOVIEMBRE | DICIEMBRE |
| Aguascalientes | 74,830,689 | 6,235,891 | 6,235,891 | 6,235,891 | 6,235,891 | 6,235,891 | 6,235,891 | 6,235,891 | 6,235,891 | 6,235,891 | 6,235,891 | 6,235,891 | 6,235,888 |
| Baja California | 313,482,328 | 26,123,527 | 26,123,527 | 26,123,527 | 26,123,527 | 26,123,527 | 26,123,527 | 26,123,527 | 26,123,527 | 26,123,527 | 26,123,527 | 26,123,527 | 26,123,531 |
| Baja California Sur | 338,620,263 | 28,218,355 | 28,218,355 | 28,218,355 | 28,218,355 | 28,218,355 | 28,218,355 | 28,218,355 | 28,218,355 | 28,218,355 | 28,218,355 | 28,218,355 | 28,218,358 |
| Campeche | 312,929,727 | 26,077,477 | 26,077,477 | 26,077,477 | 26,077,477 | 26,077,477 | 26,077,477 | 26,077,477 | 26,077,477 | 26,077,477 | 26,077,477 | 26,077,477 | 26,077,480 |
| Coahuila | 62,467,185 | 5,205,599 | 5,205,599 | 5,205,599 | 5,205,599 | 5,205,599 | 5,205,599 | 5,205,599 | 5,205,599 | 5,205,599 | 5,205,599 | 5,205,599 | 5,205,596 |
| Colima | 122,099,968 | 10,174,997 | 10,174,997 | 10,174,997 | 10,174,997 | 10,174,997 | 10,174,997 | 10,174,997 | 10,174,997 | 10,174,997 | 10,174,997 | 10,174,997 | 10,175,001 |
| Chiapas | 200,047,663 | 16,670,639 | 16,670,639 | 16,670,639 | 16,670,639 | 16,670,639 | 16,670,639 | 16,670,639 | 16,670,639 | 16,670,639 | 16,670,639 | 16,670,639 | 16,670,634 |
| Chihuahua | 334,637,373 | 27,886,448 | 27,886,448 | 27,886,448 | 27,886,448 | 27,886,448 | 27,886,448 | 27,886,448 | 27,886,448 | 27,886,448 | 27,886,448 | 27,886,448 | 27,886,445 |
| Ciudad de México | 0 | 0 | 0 | 0 | 0 | 0 | 0 | 0 | 0 | 0 | 0 | 0 | 0 |
| Durango | 46,218,378 | 3,851,532 | 3,851,532 | 3,851,532 | 3,851,532 | 3,851,532 | 3,851,532 | 3,851,532 | 3,851,532 | 3,851,532 | 3,851,532 | 3,851,532 | 3,851,526 |
| Guanajuato | 101,100,000 | 8,425,000 | 8,425,000 | 8,425,000 | 8,425,000 | 8,425,000 | 8,425,000 | 8,425,000 | 8,425,000 | 8,425,000 | 8,425,000 | 8,425,000 | 8,425,000 |
| Guerrero | 371,941,851 | 30,995,154 | 30,995,154 | 30,995,154 | 30,995,154 | 30,995,154 | 30,995,154 | 30,995,154 | 30,995,154 | 30,995,154 | 30,995,154 | 30,995,153 | 30,995,158 |
| Hidalgo | 191,951,202 | 15,995,934 | 15,995,934 | 15,995,934 | 15,995,934 | 15,995,934 | 15,995,934 | 15,995,934 | 15,995,934 | 15,995,934 | 15,995,934 | 15,995,933 | 15,995,929 |
| Jalisco | 335,856,332 | 27,988,028 | 27,988,028 | 27,988,028 | 27,988,028 | 27,988,028 | 27,988,028 | 27,988,028 | 27,988,028 | 27,988,028 | 27,988,027 | 27,988,028 | 27,988,025 |
| Estado de México | 372,591,895 | 31,049,325 | 31,049,325 | 31,049,325 | 31,049,325 | 31,049,325 | 31,049,325 | 31,049,325 | 31,049,325 | 31,049,325 | 31,049,324 | 31,049,325 | 31,049,321 |
| Michoacán | 1,171,600,785 | 97,633,399 | 97,633,399 | 97,633,399 | 97,633,399 | 97,633,399 | 97,633,399 | 97,633,399 | 97,633,399 | 97,633,398 | 97,633,399 | 97,633,399 | 97,633,397 |
| Morelos | 60,759,910 | 5,063,326 | 5,063,326 | 5,063,326 | 5,063,326 | 5,063,326 | 5,063,326 | 5,063,326 | 5,063,326 | 5,063,325 | 5,063,326 | 5,063,326 | 5,063,325 |
| Nayarit | 223,010,493 | 18,584,208 | 18,584,208 | 18,584,208 | 18,584,208 | 18,584,208 | 18,584,208 | 18,584,208 | 18,584,207 | 18,584,208 | 18,584,208 | 18,584,208 | 18,584,206 |
| Nuevo León | 154,772,064 | 12,897,672 | 12,897,672 | 12,897,672 | 12,897,672 | 12,897,672 | 12,897,672 | 12,897,672 | 12,897,671 | 12,897,672 | 12,897,672 | 12,897,672 | 12,897,673 |
| Oaxaca | 361,832,461 | 30,152,705 | 30,152,705 | 30,152,705 | 30,152,705 | 30,152,705 | 30,152,705 | 30,152,704 | 30,152,705 | 30,152,705 | 30,152,705 | 30,152,705 | 30,152,707 |
| Puebla | 158,730,788 | 13,227,566 | 13,227,566 | 13,227,566 | 13,227,566 | 13,227,566 | 13,227,566 | 13,227,565 | 13,227,566 | 13,227,566 | 13,227,566 | 13,227,566 | 13,227,563 |
| Querétaro | 49,546,744 | 4,128,895 | 4,128,895 | 4,128,895 | 4,128,895 | 4,128,895 | 4,128,894 | 4,128,895 | 4,128,895 | 4,128,895 | 4,128,895 | 4,128,895 | 4,128,900 |
| Quintana Roo | 364,047,112 | 30,337,259 | 30,337,259 | 30,337,259 | 30,337,259 | 30,337,258 | 30,337,259 | 30,337,259 | 30,337,259 | 30,337,259 | 30,337,259 | 30,337,259 | 30,337,264 |
| San Luis Potosí | 39,859,930 | 3,321,661 | 3,321,661 | 3,321,661 | 3,321,661 | 3,321,660 | 3,321,661 | 3,321,661 | 3,321,661 | 3,321,661 | 3,321,661 | 3,321,661 | 3,321,660 |
| Sinaloa | 354,520,113 | 29,543,343 | 29,543,343 | 29,543,343 | 29,543,342 | 29,543,343 | 29,543,343 | 29,543,343 | 29,543,343 | 29,543,343 | 29,543,343 | 29,543,343 | 29,543,341 |
| Sonora | 427,496,907 | 35,624,742 | 35,624,742 | 35,624,742 | 35,624,741 | 35,624,742 | 35,624,742 | 35,624,742 | 35,624,742 | 35,624,742 | 35,624,742 | 35,624,742 | 35,624,746 |
| Tabasco | 41,591,050 | 3,465,921 | 3,465,921 | 3,465,920 | 3,465,921 | 3,465,921 | 3,465,921 | 3,465,921 | 3,465,921 | 3,465,921 | 3,465,921 | 3,465,921 | 3,465,920 |
| Tamaulipas | 161,323,691 | 13,443,641 | 13,443,641 | 13,443,640 | 13,443,641 | 13,443,641 | 13,443,641 | 13,443,641 | 13,443,641 | 13,443,641 | 13,443,641 | 13,443,641 | 13,443,641 |
| Tlaxcala | 153,194,123 | 12,766,177 | 12,766,176 | 12,766,177 | 12,766,177 | 12,766,177 | 12,766,177 | 12,766,177 | 12,766,177 | 12,766,177 | 12,766,177 | 12,766,177 | 12,766,177 |
| Veracruz | 101,661,638 | 8,471,803 | 8,471,802 | 8,471,803 | 8,471,803 | 8,471,803 | 8,471,803 | 8,471,803 | 8,471,803 | 8,471,803 | 8,471,803 | 8,471,803 | 8,471,806 |
| Yucatán | 130,985,980 | 10,915,497 | 10,915,498 | 10,915,498 | 10,915,498 | 10,915,498 | 10,915,498 | 10,915,498 | 10,915,498 | 10,915,498 | 10,915,498 | 10,915,498 | 10,915,503 |
| Zacatecas | 200,645,683 | 16,720,473 | 16,720,474 | 16,720,474 | 16,720,474 | 16,720,474 | 16,720,474 | 16,720,474 | 16,720,474 | 16,720,474 | 16,720,474 | 16,720,474 | 16,720,470 |
| TOTAL | 7,334,354,326 | 611,196,194 | 611,196,194 | 611,196,194 | 611,196,194 | 611,196,194 | 611,196,195 | 611,196,194 | 611,196,194 | 611,196,194 | 611,196,194 | 611,196,194 | 611,196,191 |
| ENTIDAD FEDERATIVA | ASIGNACIÓN ORIGINAL | ENERO | FEBRERO | MARZO | ABRIL | MAYO | JUNIO | JULIO | AGOSTO | SEPTIEMBRE | OCTUBRE | NOVIEMBRE | DICIEMBRE |
| Aguascalientes | 355,946,142 | 29,662,179 | 29,662,179 | 29,662,179 | 29,662,179 | 29,662,179 | 29,662,179 | 29,662,179 | 29,662,179 | 29,662,179 | 29,662,179 | 29,662,178 | 29,662,174 |
| Baja California | 779,977,281 | 64,998,107 | 64,998,107 | 64,998,107 | 64,998,107 | 64,998,107 | 64,998,107 | 64,998,107 | 64,998,107 | 64,998,107 | 64,998,107 | 64,998,107 | 64,998,104 |
| Baja California Sur | 565,465,746 | 47,122,145 | 47,122,145 | 47,122,145 | 47,122,145 | 47,122,145 | 47,122,145 | 47,122,145 | 47,122,145 | 47,122,145 | 47,122,145 | 47,122,145 | 47,122,151 |
| Campeche | 532,691,527 | 44,390,961 | 44,390,961 | 44,390,961 | 44,390,961 | 44,390,961 | 44,390,961 | 44,390,961 | 44,390,960 | 44,390,960 | 44,390,961 | 44,390,960 | 44,390,959 |
| Coahuila | 470,512,836 | 39,209,403 | 39,209,403 | 39,209,403 | 39,209,403 | 39,209,403 | 39,209,403 | 39,209,403 | 39,209,404 | 39,209,404 | 39,209,404 | 39,209,404 | 39,209,399 |
| Colima | 338,750,337 | 28,229,195 | 28,229,195 | 28,229,195 | 28,229,195 | 28,229,195 | 28,229,195 | 28,229,195 | 28,229,195 | 28,229,195 | 28,229,195 | 28,229,194 | 28,229,193 |
| Chiapas | 1,528,366,978 | 127,363,916 | 127,363,916 | 127,363,916 | 127,363,916 | 127,363,916 | 127,363,916 | 127,363,915 | 127,363,915 | 127,363,915 | 127,363,915 | 127,363,916 | 127,363,906 |
| Chihuahua | 809,657,945 | 67,471,496 | 67,471,496 | 67,471,496 | 67,471,496 | 67,471,496 | 67,471,495 | 67,471,495 | 67,471,495 | 67,471,495 | 67,471,495 | 67,471,496 | 67,471,494 |
| Ciudad de México | 603,088,400 | 50,257,367 | 50,257,367 | 50,257,367 | 50,257,367 | 50,257,367 | 50,257,367 | 50,257,367 | 50,257,367 | 50,257,367 | 50,257,367 | 50,257,367 | 50,257,363 |
| Durango | 347,126,123 | 28,927,177 | 28,927,177 | 28,927,177 | 28,927,177 | 28,927,177 | 28,927,177 | 28,927,177 | 28,927,177 | 28,927,177 | 28,927,177 | 28,927,178 | 28,927,175 |
| Guanajuato | 805,186,347 | 67,098,862 | 67,098,862 | 67,098,862 | 67,098,862 | 67,098,862 | 67,098,862 | 67,098,862 | 67,098,862 | 67,098,862 | 67,098,863 | 67,098,863 | 67,098,863 |
| Guerrero | 798,217,628 | 66,518,135 | 66,518,135 | 66,518,136 | 66,518,136 | 66,518,136 | 66,518,136 | 66,518,136 | 66,518,136 | 66,518,135 | 66,518,135 | 66,518,134 | 66,518,138 |
| Hidalgo | 582,366,437 | 48,530,537 | 48,530,537 | 48,530,537 | 48,530,537 | 48,530,537 | 48,530,537 | 48,530,537 | 48,530,537 | 48,530,538 | 48,530,538 | 48,530,537 | 48,530,528 |
| Jalisco | 1,221,554,722 | 101,796,227 | 101,796,227 | 101,796,227 | 101,796,227 | 101,796,227 | 101,796,227 | 101,796,227 | 101,796,227 | 101,796,227 | 101,796,225 | 101,796,226 | 101,796,228 |
| Estado de México | 1,856,353,007 | 154,696,084 | 154,696,084 | 154,696,084 | 154,696,084 | 154,696,084 | 154,696,084 | 154,696,084 | 154,696,084 | 154,696,084 | 154,696,084 | 154,696,085 | 154,696,082 |
| Michoacán | 1,757,037,729 | 146,419,811 | 146,419,811 | 146,419,811 | 146,419,811 | 146,419,811 | 146,419,811 | 146,419,811 | 146,419,811 | 146,419,810 | 146,419,811 | 146,419,811 | 146,419,809 |
| Morelos | 351,232,985 | 29,269,416 | 29,269,416 | 29,269,416 | 29,269,416 | 29,269,416 | 29,269,416 | 29,269,416 | 29,269,416 | 29,269,415 | 29,269,415 | 29,269,415 | 29,269,412 |
| Nayarit | 471,331,548 | 39,277,629 | 39,277,629 | 39,277,629 | 39,277,629 | 39,277,629 | 39,277,629 | 39,277,629 | 39,277,628 | 39,277,629 | 39,277,629 | 39,277,629 | 39,277,630 |
| Nuevo León | 1,131,600,501 | 94,300,041 | 94,300,041 | 94,300,041 | 94,300,041 | 94,300,041 | 94,300,041 | 94,300,041 | 94,300,040 | 94,300,042 | 94,300,042 | 94,300,042 | 94,300,048 |
| Oaxaca | 847,898,532 | 70,658,210 | 70,658,210 | 70,658,211 | 70,658,211 | 70,658,211 | 70,658,211 | 70,658,210 | 70,658,211 | 70,658,210 | 70,658,210 | 70,658,210 | 70,658,217 |
| Puebla | 902,903,643 | 75,241,970 | 75,241,970 | 75,241,970 | 75,241,970 | 75,241,970 | 75,241,970 | 75,241,969 | 75,241,970 | 75,241,971 | 75,241,971 | 75,241,971 | 75,241,971 |
| Querétaro | 420,375,359 | 35,031,280 | 35,031,280 | 35,031,280 | 35,031,280 | 35,031,280 | 35,031,279 | 35,031,280 | 35,031,280 | 35,031,280 | 35,031,280 | 35,031,280 | 35,031,280 |
| Quintana Roo | 837,246,740 | 69,770,561 | 69,770,561 | 69,770,561 | 69,770,561 | 69,770,560 | 69,770,561 | 69,770,561 | 69,770,561 | 69,770,561 | 69,770,561 | 69,770,561 | 69,770,570 |
| San Luis Potosí | 394,331,054 | 32,860,922 | 32,860,922 | 32,860,922 | 32,860,922 | 32,860,921 | 32,860,922 | 32,860,922 | 32,860,922 | 32,860,922 | 32,860,921 | 32,860,921 | 32,860,915 |
| Sinaloa | 751,142,265 | 62,595,189 | 62,595,189 | 62,595,188 | 62,595,187 | 62,595,189 | 62,595,189 | 62,595,189 | 62,595,189 | 62,595,189 | 62,595,189 | 62,595,188 | 62,595,190 |
| Sonora | 800,391,409 | 66,699,284 | 66,699,284 | 66,699,284 | 66,699,283 | 66,699,284 | 66,699,284 | 66,699,284 | 66,699,284 | 66,699,284 | 66,699,285 | 66,699,285 | 66,699,284 |
| Tabasco | 398,585,445 | 33,215,454 | 33,215,454 | 33,215,452 | 33,215,453 | 33,215,453 | 33,215,454 | 33,215,454 | 33,215,454 | 33,215,454 | 33,215,454 | 33,215,453 | 33,215,456 |
| Tamaulipas | 573,163,878 | 47,763,657 | 47,763,657 | 47,763,656 | 47,763,657 | 47,763,656 | 47,763,657 | 47,763,657 | 47,763,657 | 47,763,657 | 47,763,656 | 47,763,657 | 47,763,654 |
| Tlaxcala | 417,419,623 | 34,784,969 | 34,784,968 | 34,784,969 | 34,784,969 | 34,784,969 | 34,784,969 | 34,784,969 | 34,784,969 | 34,784,969 | 34,784,969 | 34,784,969 | 34,784,965 |
| Veracruz | 862,249,783 | 71,854,149 | 71,854,148 | 71,854,149 | 71,854,149 | 71,854,149 | 71,854,148 | 71,854,149 | 71,854,149 | 71,854,149 | 71,854,149 | 71,854,149 | 71,854,146 |
| Yucatán | 438,246,805 | 36,520,566 | 36,520,567 | 36,520,567 | 36,520,567 | 36,520,567 | 36,520,567 | 36,520,567 | 36,520,567 | 36,520,567 | 36,520,567 | 36,520,568 | 36,520,568 |
| Zacatecas | 497,005,560 | 41,417,128 | 41,417,129 | 41,417,129 | 41,417,129 | 41,417,129 | 41,417,129 | 41,417,129 | 41,417,129 | 41,417,128 | 41,417,128 | 41,417,128 | 41,417,145 |
| TOTAL | 23,447,424,315 | 1,953,952,027 | 1,953,952,027 | 1,953,952,027 | 1,953,952,027 | 1,953,952,027 | 1,953,952,028 | 1,953,952,027 | 1,953,952,027 | 1,953,952,027 | 1,953,952,027 | 1,953,952,027 | 1,953,952,017 |