AVISO por el que se da a conocer el monto correspondiente a cada entidad federativa del Fondo de Aportaciones Múltiples en su componente de Asistencia Social para el ejercicio fiscal 2026, así como la fórmula utilizada para la distribución de los recursos, las variables empleadas y la fuente de información de las mismas.
Al margen un sello con el Escudo Nacional, que dice: Estados Unidos Mexicanos.- Salud.- Secretaría de Salud.
DAVID KERSHENOBICH STALNIKOWITZ, Secretario de Salud, con fundamento en los artículos 39, fracciones I, VIII, XXIII y XXVIII de la Ley Orgánica de la Administración Pública Federal; 40 y 41 de la Ley de Coordinación Fiscal, así como 6, párrafo primero, del Reglamento Interior de la Secretaría de Salud, y
CONSIDERANDO
Que, conforme a lo dispuesto por el artículo 40 de la Ley de Coordinación Fiscal, se destinarán el 46% de las aportaciones federales que, con cargo al Fondo de Aportaciones Múltiples, reciban los Estados de la Federación y la Ciudad de México al otorgamiento de desayunos escolares, apoyos alimentarios y de asistencia social a través de instituciones públicas, con base en lo señalado en los numerales 6, 7, 8, 9 y demás aplicables de la Ley de Asistencia Social;
Que, en términos de lo dispuesto por los artículos 172 de la Ley General de Salud, así como 9, fracción IX, 27 y 28 de la Ley de Asistencia Social, el Sistema Nacional para el Desarrollo Integral de la Familia, es el organismo público descentralizado del Gobierno Federal y coordinador del Sistema Nacional de Asistencia Social Pública y Privada, que tiene dentro de sus objetivos la promoción de la Asistencia Social, la prestación de servicios en ese campo y la realización de las demás acciones que en dicha materia realicen las instituciones públicas;
Que, de acuerdo con el Presupuesto de Egresos de la Federación para el ejercicio 2026, en la Estrategia Programática del Ramo General 33 prevé respecto al componente Asistencia Social del Fondo de Aportaciones Múltiples, con clave programática I006 (FAM Asistencia Social) que el Sistema Nacional para el Desarrollo Integral de la Familia coordina, a nivel nacional, la Estrategia Integral de Asistencia Social, Alimentación y Desarrollo Comunitario (EIASADC), con el propósito de impulsar la protección integral de los grupos de atención prioritaria, tal como se considera en los tratados, leyes y demás instrumentos aplicables, con perspectiva de Derechos Humanos, participación ciudadana y la promoción de una cultura de paz, fomentando un estado nutricional óptimo, propiciar comunidades hacia un modelo de autogestión y participación dinámica; así como, la atención de grupos prioritarios con el propósito de elevar los niveles de salud y bienestar;
Que, el Sistema Nacional para el Desarrollo Integral de la Familia, por conducto de su Dirección General de Alimentación y Desarrollo Comunitario, con fundamento en lo previsto por el artículo 27, fracción XIV, de su Estatuto Orgánico, determinó la aplicación de la Fórmula de Distribución del recurso del Fondo de Aportaciones Múltiples, en su componente de Asistencia Social, así como la distribución y calendarización por Entidad Federativa, conforme a los criterios establecidos en la Estrategia Integral de Asistencia Social, Alimentación y Desarrollo Comunitario en coordinación con los Sistemas Estatales para el Desarrollo Integral de la Familia y el Sistema para el Desarrollo Integral de la Familia de la Ciudad de México, y
Que, a efecto de dar a conocer la información generada por el Sistema Nacional para el Desarrollo Integral de la Familia, en cumplimiento a lo dispuesto por el artículo 41 de la Ley de Coordinación Fiscal, he tenido a bien emitir el siguiente
AVISO POR EL QUE SE DA A CONOCER EL MONTO CORRESPONDIENTE A CADA ENTIDAD FEDERATIVA DEL
FONDO DE APORTACIONES MÚLTIPLES EN SU COMPONENTE DE ASISTENCIA SOCIAL PARA EL EJERCICIO
FISCAL 2026, ASÍ COMO LA FÓRMULA UTILIZADA PARA LA DISTRIBUCIÓN DE LOS RECURSOS, LAS VARIABLES
EMPLEADAS Y LA FUENTE DE INFORMACIÓN DE LAS MISMAS
Único. - Se da a conocer, mediante el Anexo Único del presente Aviso, el monto correspondiente a cada entidad federativa del Fondo de Aportaciones Múltiples, en su componente de Asistencia Social, para el ejercicio fiscal 2026, así como la fórmula utilizada para la distribución de los recursos, las variables empleadas y la fuente de la información de las mismas, generada por el Sistema Nacional para el Desarrollo Integral de la Familia.
Dado en la Ciudad de México, a 23 de diciembre de 2025.- El Secretario de Salud, David Kershenobich Stalnikowitz.- Rúbrica.- La Titular del Sistema Nacional para el Desarrollo Integral de la Familia, María del Rocío García Pérez.- Rúbrica.
ANEXO ÚNICO DEL AVISO POR EL QUE SE DA A CONOCER EL MONTO CORRESPONDIENTE A CADA ENTIDAD FEDERATIVA DEL FONDO DE APORTACIONES MÚLTIPLES, EN SU COMPONENTE DE ASISTENCIA SOCIAL PARA EL EJERCICIO FISCAL 2026, ASÍ COMO LA FÓRMULA UTILIZADA PARA LA DISTRIBUCIÓN DE LOS RECURSOS, LAS VARIABLES EMPLEADAS Y LA FUENTE DE INFORMACIÓN DE LAS MISMAS.
APARTADO I. Fórmula utilizada para la distribución a cada entidad federativa de los recursos del Fondo de Aportaciones Múltiples en su componente de Asistencia Social para el ejercicio fiscal 2026 y las variables empleadas.
A. Definiciones.
I. Estrategia Integral de Asistencia Social, Alimentación y Desarrollo Comunitario (EIASADC): Estrategia de atención alimentaria, desarrollo comunitario y asistencia social coordinada a nivel nacional por el Sistema Nacional para el Desarrollo Integral de la Familia (SNDIF) y operada por los Sistemas Estatales para el Desarrollo Integral de la Familia (SEDIF), durante los ejercicios fiscales 2025 y 2026.
II. Índice de Desempeño (ID): Índice construido por el SNDIF, en acuerdo con los SEDIF, con el objetivo de reflejar el desempeño de estos últimos, derivado de la planeación y operación de la EIASADC durante el ejercicio fiscal 2025, en congruencia con sus objetivos, para incentivar la mejora en la implementación de los programas que forman parte de la estrategia y la atención a las personas beneficiarias.
III. Índice de Vulnerabilidad Social (IVS): Índice actualizado en el marco del Convenio de Colaboración entre el SNDIF y el otrora Consejo Nacional para la Evaluación de la Política de Desarrollo Social; busca transparentar los criterios de asignación de ponderadores. Además, busca que la actualización metodológica garantice estabilidad del presupuesto histórico recibido por cada entidad, con el objeto de asegurar la operatividad de acciones sustantivas del Fondo de Aportaciones Múltiples; que el IVS refleje mejor el acceso a la alimentación y la pobreza por carencia alimentaria, además de ponderar el peso de la vulnerabilidad al interior de cada una de las entidades federativas.
B. Descripción de la Fórmula.
A partir del recurso asignado por el Presupuesto de Egresos de la Federación para el ejercicio 2026 al Fondo de Aportaciones Múltiples, en su componente de Asistencia Social (I006) del Ramo General 33, se utiliza la siguiente fórmula para distribuir el recurso a nivel estatal:
FDRTi = Vi (MIVST) + di(MIDT)
Donde:
FDR = Fórmula de Distribución de los Recursos del Ramo General 33 Fondo de Aportaciones Múltiples, componente Asistencia Social (I006)
MIVST = Monto a distribuir con base en el IVS para el Periodo T
MIDT = Monto a distribuir con base en el ID para el periodo T
vi = Ponderador por IVS de la entidad federativa i
di = Ponderador por ID de la entidad federativa i
T = Año 2026
i = Entidad Federativa (1, 2, ... ,32)
a) Como primer paso para la aplicación de la fórmula se divide el presupuesto autorizado en 2 montos:
1. El monto a distribuir con base en el IVS.
2. El monto a distribuir con base en el ID.
Estos dos montos se obtienen de la siguiente manera:
MIVST = YT (RT)
Donde:
MIVST = Monto a distribuir con base en el IVS para el periodo T
YT = Ponderador nacional del componente IVS para el periodo T
RT = Presupuesto del Ramo General 33 Fondo de Aportaciones Múltiples, componente Asistencia Social (I006) del periodo T
T = Año 2026
MIDT = ZT (RT)
Donde:
MIDT = Monto a distribuir con base en el ID para el periodo T
ZT = Ponderador nacional del componente ID para el periodo T
RT = Presupuesto del Ramo General 33 Fondo de Aportaciones Múltiples, componente Asistencia Social (I006) del periodo T
T = Año 2026
Los ponderadores cumplen:
YT + ZT = 1
YT = 0.875
ZT = 0.125
b) Segundo paso: calcular los ponderadores del IVS e ID para la distribución a nivel estatal.
Ponderador estatal por Índice de Vulnerabilidad Social:
La fórmula de cálculo es la siguiente:
Donde:
vi = Ponderador por IVS de la entidad federativa i
IVSi = IVS de la entidad federativa i
i = Entidad Federativa (1,2, ... ,32)
Cálculo del índice de Vulnerabilidad Social
La fórmula de cálculo es la siguiente:
IVS = (0.20)VF + (0.20)VD + (0.20)VG + (0.20)VE + (0.20)VS
Donde:
IVS = Índice de Vulnerabilidad Social
VF: Vulnerabilidad Familiar.
VD: Vulnerabilidad por Discapacidad o por ser Adulto Mayor.
VG: Vulnerabilidad por Condición de Género.
VE: Vulnerabilidad Infantil por Educación.
VS: Vulnerabilidad Infantil por Salud y Nutrición.
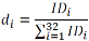
Ponderador estatal por Índice de Desempeño
La fórmula de cálculo es la siguiente:
Donde:
di = Ponderador por Índice de Desempeño de la entidad federativa i
IDi = Índice de Desempeño de la entidad federativa i del periodo T - 1
i = Entidad Federativa (1,2, ... ,32)
Cálculo del Índice de Desempeño
La fórmula de cálculo es la siguiente:
ID2025 = (0.50) AA + (0.40) DC + (0.10) GP
Donde:
ID2025= Índice de Desempeño 2025
AA = Atención Alimentaria
DC = Desarrollo Comunitario
GP = Atención a Grupos Prioritarios
C. Criterios para la aplicación de la Fórmula de Distribución de los Recursos del Ramo General 33 Fondo de Aportaciones Múltiples, componente Asistencia Social (I006):
Se asignará un presupuesto estatal, sin etiquetar, con la finalidad de que cada SEDIF distribuya los recursos en función de sus necesidades particulares con base en la EIASADC 2026.
El presupuesto de los SEDIF podrá crecer como máximo hasta el triple del porcentaje del incremento nacional de ese año.
No habrá decrementos nominales en el presupuesto de ningún SEDIF, siempre y cuando el presupuesto del Fondo de Aportaciones Múltiples, en su componente de Asistencia Social, lo permita.
Con base en los criterios y fórmula de distribución descrita en el presente, así como, el monto presupuestal asignado para el ejercicio 2026 equivalente a $19,993,725,550 pesos, se da a conocer la distribución por entidad federativa de los recursos del Fondo de Aportaciones Múltiples, en su componente de Asistencia Social, para el ejercicio fiscal 2026.
APARTADO II. El monto correspondiente a cada entidad federativa del Fondo de Aportaciones Múltiples en su componente de Asistencia Social para el ejercicio fiscal 2026 y las fuentes de información empleadas.
| RAMO GENERAL 33: APORTACIONES FEDERALES PARA ENTIDADES FEDERATIVAS Y MUNICIPIOS |
| FONDO V. i ASISTENCIA SOCIAL 2026 |
| (PESOS) |
| ENTIDADES | ANUAL | ENERO | FEBRERO | MARZO | ABRIL | MAYO | JUNIO | JULIO | AGOSTO | SEPTIEMBRE | OCTUBRE | NOVIEMBRE | DICIEMBRE |
| | | | | | | | | | | | | | |
| TOTAL | 19,993,725,550 | 1,667,809,940 | 1,667,809,940 | 1,667,809,940 | 1,667,809,940 | 1,667,809,940 | 1,667,809,944 | 1,664,477,653 | 1,664,477,653 | 1,664,477,653 | 1,664,477,653 | 1,664,477,653 | 1,664,477,641 |
| Aguascalientes | 218,638,636 | 18,219,886 | 18,219,886 | 18,219,886 | 18,219,886 | 18,219,886 | 18,219,886 | 18,219,886 | 18,219,886 | 18,219,886 | 18,219,886 | 18,219,886 | 18,219,890 |
| Baja California | 379,123,832 | 31,593,653 | 31,593,653 | 31,593,653 | 31,593,653 | 31,593,653 | 31,593,653 | 31,593,653 | 31,593,653 | 31,593,653 | 31,593,653 | 31,593,653 | 31,593,649 |
| Baja California Sur | 138,700,994 | 11,558,416 | 11,558,416 | 11,558,416 | 11,558,416 | 11,558,416 | 11,558,416 | 11,558,416 | 11,558,416 | 11,558,416 | 11,558,416 | 11,558,416 | 11,558,418 |
| Campeche | 232,612,307 | 19,384,359 | 19,384,359 | 19,384,359 | 19,384,359 | 19,384,359 | 19,384,359 | 19,384,359 | 19,384,359 | 19,384,359 | 19,384,359 | 19,384,359 | 19,384,358 |
| Coahuila | 334,955,539 | 27,912,962 | 27,912,962 | 27,912,962 | 27,912,962 | 27,912,962 | 27,912,962 | 27,912,962 | 27,912,962 | 27,912,962 | 27,912,962 | 27,912,962 | 27,912,957 |
| Colima | 163,719,915 | 13,643,326 | 13,643,326 | 13,643,326 | 13,643,326 | 13,643,326 | 13,643,326 | 13,643,326 | 13,643,326 | 13,643,326 | 13,643,326 | 13,643,326 | 13,643,329 |
| Chiapas | 1,564,860,800 | 130,405,067 | 130,405,067 | 130,405,067 | 130,405,067 | 130,405,067 | 130,405,067 | 130,405,067 | 130,405,067 | 130,405,067 | 130,405,067 | 130,405,067 | 130,405,063 |
| Chihuahua | 415,174,457 | 34,597,871 | 34,597,871 | 34,597,871 | 34,597,871 | 34,597,871 | 34,597,871 | 34,597,871 | 34,597,871 | 34,597,871 | 34,597,871 | 34,597,871 | 34,597,876 |
| Ciudad de México | 787,004,958 | 65,583,747 | 65,583,747 | 65,583,747 | 65,583,747 | 65,583,747 | 65,583,747 | 65,583,747 | 65,583,747 | 65,583,747 | 65,583,747 | 65,583,747 | 65,583,741 |
| Durango | 298,530,239 | 24,877,520 | 24,877,520 | 24,877,520 | 24,877,520 | 24,877,520 | 24,877,520 | 24,877,520 | 24,877,520 | 24,877,520 | 24,877,520 | 24,877,520 | 24,877,519 |
| Guanajuato | 879,832,913 | 73,319,409 | 73,319,409 | 73,319,409 | 73,319,409 | 73,319,409 | 73,319,409 | 73,319,409 | 73,319,409 | 73,319,409 | 73,319,409 | 73,319,409 | 73,319,414 |
| Guerrero | 1,000,364,989 | 83,363,749 | 83,363,749 | 83,363,749 | 83,363,749 | 83,363,749 | 83,363,749 | 83,363,749 | 83,363,749 | 83,363,749 | 83,363,749 | 83,363,749 | 83,363,750 |
| Hidalgo | 567,225,606 | 47,268,801 | 47,268,801 | 47,268,801 | 47,268,801 | 47,268,801 | 47,268,801 | 47,268,801 | 47,268,801 | 47,268,801 | 47,268,801 | 47,268,801 | 47,268,795 |
| Jalisco | 936,786,473 | 78,065,539 | 78,065,539 | 78,065,539 | 78,065,539 | 78,065,539 | 78,065,539 | 78,065,539 | 78,065,539 | 78,065,539 | 78,065,539 | 78,065,539 | 78,065,544 |
| México | 2,063,777,033 | 171,981,419 | 171,981,419 | 171,981,419 | 171,981,419 | 171,981,419 | 171,981,419 | 171,981,419 | 171,981,419 | 171,981,419 | 171,981,419 | 171,981,419 | 171,981,424 |
| Michoacán | 918,066,407 | 76,505,534 | 76,505,534 | 76,505,534 | 76,505,534 | 76,505,534 | 76,505,534 | 76,505,534 | 76,505,534 | 76,505,534 | 76,505,534 | 76,505,534 | 76,505,533 |
| Morelos | 343,200,960 | 28,600,080 | 28,600,080 | 28,600,080 | 28,600,080 | 28,600,080 | 28,600,080 | 28,600,080 | 28,600,080 | 28,600,080 | 28,600,080 | 28,600,080 | 28,600,080 |
| Nayarit | 231,743,163 | 19,311,930 | 19,311,930 | 19,311,930 | 19,311,930 | 19,311,930 | 19,311,930 | 19,311,930 | 19,311,930 | 19,311,930 | 19,311,930 | 19,311,930 | 19,311,933 |
| Nuevo León | 509,584,353 | 42,465,363 | 42,465,363 | 42,465,363 | 42,465,363 | 42,465,363 | 42,465,363 | 42,465,363 | 42,465,363 | 42,465,363 | 42,465,363 | 42,465,363 | 42,465,360 |
| Oaxaca | 1,099,544,342 | 91,628,695 | 91,628,695 | 91,628,695 | 91,628,695 | 91,628,695 | 91,628,695 | 91,628,695 | 91,628,695 | 91,628,695 | 91,628,695 | 91,628,695 | 91,628,697 |
| Puebla | 1,262,004,020 | 105,167,002 | 105,167,002 | 105,167,002 | 105,167,002 | 105,167,002 | 105,167,002 | 105,167,002 | 105,167,002 | 105,167,002 | 105,167,002 | 105,167,002 | 105,166,998 |
| Querétaro | 317,649,131 | 26,470,761 | 26,470,761 | 26,470,761 | 26,470,761 | 26,470,761 | 26,470,761 | 26,470,761 | 26,470,761 | 26,470,761 | 26,470,761 | 26,470,761 | 26,470,760 |
| Quintana Roo | 315,565,273 | 26,297,106 | 26,297,106 | 26,297,106 | 26,297,106 | 26,297,106 | 26,297,106 | 26,297,106 | 26,297,106 | 26,297,106 | 26,297,106 | 26,297,106 | 26,297,107 |
| San Luis Potosí | 509,242,394 | 42,436,866 | 42,436,866 | 42,436,866 | 42,436,866 | 42,436,866 | 42,436,866 | 42,436,866 | 42,436,866 | 42,436,866 | 42,436,866 | 42,436,866 | 42,436,868 |
| Sinaloa | 421,490,648 | 35,124,221 | 35,124,221 | 35,124,221 | 35,124,221 | 35,124,221 | 35,124,221 | 35,124,221 | 35,124,221 | 35,124,221 | 35,124,221 | 35,124,221 | 35,124,217 |
| Sonora | 362,437,889 | 30,203,157 | 30,203,157 | 30,203,157 | 30,203,157 | 30,203,157 | 30,203,157 | 30,203,157 | 30,203,157 | 30,203,157 | 30,203,157 | 30,203,157 | 30,203,162 |
| Tabasco | 552,864,510 | 46,072,043 | 46,072,043 | 46,072,043 | 46,072,043 | 46,072,043 | 46,072,043 | 46,072,043 | 46,072,043 | 46,072,043 | 46,072,043 | 46,072,043 | 46,072,037 |
| Tamaulipas | 466,759,627 | 38,896,636 | 38,896,636 | 38,896,636 | 38,896,636 | 38,896,636 | 38,896,636 | 38,896,636 | 38,896,636 | 38,896,636 | 38,896,636 | 38,896,636 | 38,896,631 |
| Tlaxcala | 270,491,036 | 22,540,920 | 22,540,920 | 22,540,920 | 22,540,920 | 22,540,920 | 22,540,920 | 22,540,920 | 22,540,920 | 22,540,920 | 22,540,920 | 22,540,920 | 22,540,916 |
| Veracruz | 1,652,573,735 | 137,714,478 | 137,714,478 | 137,714,478 | 137,714,478 | 137,714,478 | 137,714,478 | 137,714,478 | 137,714,478 | 137,714,478 | 137,714,478 | 137,714,478 | 137,714,477 |
| Yucatán | 443,921,385 | 36,993,449 | 36,993,449 | 36,993,449 | 36,993,449 | 36,993,449 | 36,993,449 | 36,993,449 | 36,993,449 | 36,993,449 | 36,993,449 | 36,993,449 | 36,993,446 |
| Zacatecas | 315,284,260 | 26,273,688 | 26,273,688 | 26,273,688 | 26,273,688 | 26,273,688 | 26,273,688 | 26,273,688 | 26,273,688 | 26,273,688 | 26,273,688 | 26,273,688 | 26,273,692 |
| * Auditoría Superior de la Federación | 19,993,726 | 3,332,287 | 3,332,287 | 3,332,287 | 3,332,287 | 3,332,287 | 3,332,291 | 0 | 0 | 0 | 0 | 0 | 0 |
| * Recursos para dar cumplimiento al artículo 49, párrafo cuarto, fracción IV, de la Ley de Coordinación Fiscal. |
Para la distribución de los recursos del Ramo General 33 Fondo de Aportaciones Múltiples, en su componente Asistencia Social para el ejercicio 2026 (I006), se utilizaron las siguientes fuentes:
· Cálculos propios del Sistema Nacional para el Desarrollo Integral de la Familia, con base en el "Índice de Desempeño 2025"; disponible en: https://sitios1.dif.gob.mx/alimentacion/wp-content/uploads/2025/04/indice_Desempeno_2025.pdf
· Cálculos propios del Sistema Nacional para el Desarrollo Integral de la Familia, con base en el "Índice de Vulnerabilidad Social, noviembre 2025"; disponible en: https://sitios1.dif.gob.mx/alimentacion/wp-content/uploads/2025/12/Doc_indice_de_Vulnerabilidad_Social_act2025.pdf
· Estrategia Integral de Asistencia Social, Alimentación y Desarrollo Comunitario 2025; disponible en: https://sitios1.dif.gob.mx/alimentacion/wp-content/uploads/2025/04/EIASADC_2025.pdf
· Acuerdo por el que se da a conocer a los gobiernos de las entidades federativas la distribución y calendarización para la ministración, durante el ejercicio fiscal de 2026, de los recursos correspondientes a los ramos generales 28 Participaciones a Entidades Federativas y Municipios y 33 Aportaciones Federales para Entidades Federativas y Municipios. Publicado en el Diario Oficial de la Federación el 12 de diciembre de 2025. Disponible en: https://www.dof.gob.mx/nota_detalle.php?codigo=5776006&fecha=12/12/2025#gsc.tab=0
Con fundamento en lo dispuesto por el artículo 15, fracción I, del Estatuto Orgánico del Sistema Nacional para el Desarrollo Integral de la Familia, Jefa de la Unidad de Atención a Población Vulnerable, Mtra. Mariana Perla Rojas Martínez.- Rúbrica.- Con fundamento en lo dispuesto por el artículo 27, fracción XIV, del Estatuto Orgánico del Sistema Nacional para el Desarrollo Integral de la Familia, Directora General de Alimentación y Desarrollo Comunitario, Lic. Uritzimar Jazmín San Martín López.- Rúbrica.