DECLARATORIA de causa de utilidad pública relativa a 09-22-49.26 hectáreas (nueve hectáreas, veintidós áreas, cuarenta y nueve punto veintiséis centiáreas) correspondientes a un inmueble de propiedad privada, dentro de la poligonal de la Zona de Monumentos Arqueológicos de Toniná, ubicada en el Municipio de Ocosingo, Estado de Chiapas, que será destinada para la "Investigación, protección, conservación, restauración y recuperación de la Zona de Monumentos Arqueológicos de Toniná".

Al margen un sello con el Escudo Nacional, que dice: Estados Unidos Mexicanos.- Cultura.- Secretaría de Cultura.

CLAUDIA STELLA CURIEL DE ICAZA, Secretaria de Cultura, con fundamento en lo dispuesto por los artículos 2o., 4o., párrafo décimo cuarto, y 27, párrafos primero y segundo, de la Constitución Política de los Estados Unidos Mexicanos, en ejercicio de la facultad que me confieren los artículos 2o., fracción I, y 41 Bis, fracciones II, IV, inciso a, y XVII, de la Ley Orgánica de la Administración Pública Federal; 2o., 3o., fracciones II y IV, y 27 de la Ley Federal Sobre Monumentos y Zonas Arqueológicos, Artísticos e Históricos; 1o., fracción IV, 2o. y 3o. de la Ley de Expropiación; 6, fracción II, 7, fracción XII, y 8 de la Ley General de Bienes Nacionales, y 1, 2, apartado B, fracción I, 4, 26 y 27 del Reglamento Interior de la Secretaría de Cultura, y
CONSIDERANDO
Que el artículo 2o. de la Constitución Política de los Estados Unidos Mexicanos (CPEUM) protege la diversidad pluricultural respecto de las comunidades originarias de nuestro país, así como sus costumbres, tradiciones, lugares sagrados y demás expresiones étnicas que datan de una continuidad histórica desde los orígenes de nuestra Nación hasta el día de hoy.
Que el artículo 4o., párrafo décimo cuarto, de la CPEUM reconoce el derecho al acceso a la cultura, garantiza y promueve los medios para la difusión y desarrollo de la misma; asimismo, considera la diversidad cultural en todas sus manifestaciones y expresiones con pleno respeto a la libertad creativa.
Que el artículo 27 Constitucional establece que "La propiedad de las tierras y aguas comprendidas dentro de los límites del territorio nacional, corresponde originariamente a la Nación, la cual ha tenido y tiene el derecho de transmitir el dominio de ellas a los particulares, constituyendo la propiedad privada" y que "Las expropiaciones sólo podrán hacerse por causa de utilidad pública y mediante indemnización".
Que el Estado mexicano es parte de la Convención para la Protección del Patrimonio Mundial, Cultural y Natural, adoptada en París, Francia, el 23 de noviembre de 1972, aprobada por la Cámara de Senadores el 22 de diciembre de 1983, publicada en el Diario Oficial de la Federación (DOF) el 2 de mayo de 1984, la cual considera como patrimonio cultural, entre otros, los monumentos: obras arquitectónicas, de escultura o de pintura monumentales, elementos o estructuras de carácter arqueológico (...) que tengan un valor universal excepcional desde el punto de vista de la historia. Asimismo, refiere que los Estados parte reconocen ... la obligación de identificar, proteger, conservar, rehabilitar y transmitir a las generaciones futuras el patrimonio cultural y natural situado en su territorio.
Que los artículos 6, fracción II, y 7, fracción XII, de la Ley General de Bienes Nacionales (LGBN) señalan que están sujetos al régimen de dominio público de la federación, los bienes de uso común, entre ellos los inmuebles considerados como monumentos arqueológicos, conforme a lo dispuesto en la Ley Federal sobre Monumentos y Zonas Arqueológicos, Artísticos e Históricos (LFMZAAH).
Que el artículo 8 de la LGBN señala que "Todos los habitantes de la República pueden usar los bienes de uso común, sin más restricciones que las establecidas por las leyes y reglamentos administrativos".
Que el artículo 2o. de la LFMZAAH establece que "Es de utilidad pública la investigación, protección, conservación, restauración y recuperación de los monumentos arqueológicos, artísticos e históricos y de las zonas de monumentos".
Que el artículo 27 de la LFMZAAH dispone que "Son propiedad de la Nación, inalienables e imprescriptibles, los monumentos arqueológicos muebles e inmuebles"; asimismo, el artículo 28 de la citada ley señala que "Son monumentos arqueológicos los bienes muebles e inmuebles, producto de las culturas anteriores al establecimiento de la hispánica en el territorio nacional, así como los restos humanos, de la flora y la fauna, relacionados con esas culturas".
Que el artículo 39 de la LFMZAAH refiere que la zona de monumentos arqueológicos es el área que comprende varios monumentos arqueológicos inmuebles, o en donde se presume su existencia.
Que el artículo 1o., fracción IV, de la Ley de Expropiación establece como causa de utilidad pública "La conservación de los lugares de belleza panorámica, de las antigüedades y objetos de arte, de los edificios y monumentos arqueológicos o históricos, y de las cosas que se consideran como características notables de nuestra cultura nacional".
Que, en los Cien Compromisos para el Segundo Piso de la Cuarta Transformación, en el rubro República Cultural y Lectora, se contempla el compromiso número 39, que se refiere a la "Recuperación de la memoria histórica".
Que el Proyecto de Nación se fundamenta en los Cien Compromisos para el Segundo Piso de la Cuarta Transformación, los cuales son la base del Plan Nacional de Desarrollo (PND) 2025-2030, publicado en el DOF el 15 de abril de 2025.
Que el PND 2025-2030, contempla en su Eje general 2: "Desarrollo con bienestar y humanismo", el objetivo y la estrategia siguientes:
Objetivo 2.5: "Garantizar el derecho a la cultura con enfoques de participación e inclusión, respetando la diversidad cultural en todas sus manifestaciones y expresiones, con pleno respeto a la libertad creativa".
Estrategias 2.5.3 "Reforzar la investigación, protección y preservación del patrimonio documental de la Nación, así como del patrimonio paleontológico, arqueológico, histórico y artístico. Promover, reconocer y difundir las culturas vivas en todas sus expresiones como parte fundamental de la identidad y diversidad pluricultural, multiétnica y plurilingüe de México".
Que el PND 2025-2030 en su Eje Transversal 3: "Derechos de las comunidades indígenas y afromexicanas", Objetivo T3.5: "Garantizar la preservación, protección, desarrollo y salvaguarda del patrimonio cultural, material e inmaterial, los conocimientos y expresiones culturales tradicionales, así como la propiedad intelectual colectiva de los Pueblos y Comunidades Indígenas y Afromexicanas", contempla las siguientes estrategias:
T3.5.1. Garantizar el derecho de los Pueblos y Comunidades Indígenas y Afromexicanas a preservar, proteger, gestionar y fortalecer su patrimonio cultural, material e inmaterial, asegurando la salvaguarda de todos los elementos que conforman su identidad y legado histórico"
T3.5.2 Garantizar la protección, promoción, revitalización y transmisión de las lenguas, conocimientos tradicionales, expresiones artísticas y culturales de los Pueblos y Comunidades Indígenas y Afromexicanas, asegurando el respeto y ejercicio pleno de sus derechos colectivos de propiedad intelectual.
Que el Programa Sectorial de Cultura 2025-2030, publicado en el DOF el 15 de septiembre de 2025, establece en su Objetivo 4. "Fortalecer la preservación, investigación y difusión del patrimonio nacional, material e inmaterial, en beneficio de las presentes y futuras generaciones"; estrategia 4.1 "Reforzar la preservación de los bienes culturales mediante la conservación, investigación y difusión del conocimiento", las siguientes líneas de acción:
4.1.1 Implementar acciones de protección técnica y legal que aseguren la conservación, el uso social responsable y la transmisión de los bienes culturales muebles e inmuebles, con valor paleontológico, arqueológico, histórico, documental y artístico, entre otros;
4.1.2 Fortalecer las acciones para la conservación de los bienes culturales en coordinación con instituciones de las entidades federativas y de los municipios, y el involucramiento de los pueblos y comunidades que detentan el patrimonio;
4.1.4 Aplicar programas de mantenimiento y conservación preventiva y correctiva de los bienes culturales de la nación, con énfasis en proyectos estratégicos y de prevención de riesgos naturales y antropogénicos.
Que mediante decreto publicado en el DOF 17 de febrero de 1994(1), se declaró Zona de Monumentos Arqueológicos el área conocida como Toniná, ubicada en el municipio de Ocosingo, estado de Chiapas, con una superficie de 57-29-13 hectáreas, en el que se señala que "se caracteriza por haberse asentado en ella grupos mayas y porque comprende monumentos arqueológicos que por su magnificencia enorgullecen a México".
Que la Zona de Monumentos Arqueológicos de Toniná, es el mayor espacio vertical hasta ahora investigado del México Antiguo, y está construida en una superficie ligeramente mayor que la planta de la Pirámide del Sol en Teotihuacán.(2) Se construyó sobre una elevación artificial de aproximadamente 70 metros de altura, a la que se adosaron siete plataformas de piedra que sostienen templos y palacios y por los que se asciende a través de 260 escalones.
Que el nombre de Toniná procede del tseltal, "casa de piedra"; empero, la denominación original fue Po o Popo, que figura en textos del Clásico Maya en el título usado para los gobernantes de Toniná, k'uhul po 'ajaw, divino Señor de Po, y con base en las inscripciones jeroglíficas se puede afirmar que Toniná significa "El Sagrado lugar de los Señores Celestes de Po". El período de auge de Toniná se produjo hacia los siglos VII a IX d.C. y se tiene constancia escrita de su existencia desde finales del siglo VI d.C., concretamente del año 593 que corresponde a la primera inscripción calendárica identificada en la zona.(3)
Que Toniná es un ejemplo espléndido del urbanismo piramidal del México prehispánico. Fue diseñada como escenario del orden y la armonía del movimiento cíclico de luces y vientos, de aguas y fuegos. Se encuentra en un espacio artificial divinizado por sí mismo. Esto se concluye por sus calles y escalinatas, plataformas y templos por donde circularon y peregrinaron las luces del cosmos, acorde a la cosmogonía que imperó en el mundo maya. Rumbos por los que deambulan las procesiones del tiempo y de los seres humanos. Un espacio donde los caminos, avenidas y callejones se ordenan, suben y bajan en cascadas de escaleras siguiendo las rutas de la estrella de la mañana y de la estrella de la tarde, la Luna y el Sol.
Que los complejos arquitectónicos de Toniná incluyen una serie de murales monumentales, como el llamado "De las Cuatro Eras", además de templos y palacios; destacando, entre otros, el del Inframundo y el de "Las Grecas", además de juegos de pelota y un sector de estructuras habitacionales.
Que Toniná cuenta con un corpus de más de 200 esculturas, que ostentan un estilo propio de rasgos mayas, con magníficos altorrelieves en piedra y estuco, además de estelas, tableros y discos de piedra con inscripciones jeroglíficas.
Que a mediados del período Clásico Temprano (300-600 d.C.), Toniná fue un estado independiente de primer orden, comenzó a desarrollar su propia historia dinástica y coexistió con ciudades clásicas mayas como Tikal, Copán y Palenque con las que compartió la vieja iconografía, con representaciones de monstruos de la tierra, deidades acuáticas y aves celestes. Posteriormente, también adoptó la iconografía tan común en sitios arqueológicos como Uxmal en la región Puuc, Yucatán, con dos símbolos iconográficos como la greca espiral escalonada y los mascarones de Chaac, el dios del agua. Evidencias arquitectónicas reflejan a su vez estas relaciones, explícitas de los rasgos típicos de las ciudades clásicas, como las escaleras como adorno que exhiben los templos Chenes de Campeche, o la planta del Palacio Principal de Toniná, que tiene la forma Puuc clásica.
Que la secuencia de gobernantes en Toniná y sus títulos pone de manifiesto la existencia de linajes dinásticos, por ejemplo, el de los "Cráneo de Serpiente" que ocupa siete de los 14 emblemas registrados en el sitio.
Que el espacio sagrado de Toniná se caracteriza por ser un perímetro de acceso restringido delimitado por ocho barreras arquitectónicas, denominadas plataformas; éstas tienen por objeto separar el ámbito religioso-administrativo del resto del asentamiento, es decir del mundo profano; ello, con componentes como los templos, palacios, tumbas y canchas para el juego de pelota ritual. El recinto sagrado tiene dos componentes espaciales, uno horizontal y otro vertical, el primero es una gran plaza, y el segundo una Acrópolis que se levanta por arriba de los 74 metros de altura. Es una enorme montaña artificial construida sobre una cordillera natural de arcilla, la Acrópolis más grande del México Antiguo.
Que existen actualmente un total de siete plataformas, agrupadas en la llamada Gran Pirámide, de las que cabe destacar a cuatro de ellas: la segunda, que acoge al llamado Palacio del Inframundo; la cuarta, en la que se halla el Palacio de las Grecas y la Guerra; la sexta, donde se halla el Mural de los Cuatro Soles, una representación de las Cuatro Edades Cósmicas y la séptima, la más elevada, que acoge a dos templos, el Templo de los Prisioneros y el Templo del Espejo Humeante, siendo estos últimos los templos más elevados de Mesoamérica.
Que las siete plataformas representan la base del sistema numérico de la trecena, donde el Sol asciende siete escalones y desciende seis de oriente a poniente: trece en total. Se trata de una cuenta solar ya que, de su cenit, el Sol avanza al norte trece posiciones en cuatro ocasiones, o sea 52 días, y luego regresa en otros 52; después, desde el punto cenital se desplaza al sur y regresa nuevamente en cinco atados de 52 días, es decir 260 días, más 104 que da un total de 364 días. Para reforzar este esquema numérico general de la arquitectura maya, en un sólo espacio se colocaron, en torno al templo más importante, cuatro escalinatas de 52 escalones. Las estructuras piramidales de Toniná representan, por tanto, un urbanismo muy particular de características celestes y procesionales, donde se diviniza al tiempo sus componentes, y se imitan sus movimientos, rumbos y efectos sobre la comunidad. Si se observa detalladamente la escalinata celeste, se descubren tres conjuntos piramidales conectados por una escalinata central. En el lado del nacimiento del Sol se ubica la pirámide compuesta por cuatro lujosos y complejos palacios superpuestos, techados con enormes bóvedas de piedra y decorados con esculturas de dioses, reyes e inscripciones. Los palacios tienen patios interiores de dimensiones y niveles distintos, que están rodeados por salones de tronos, cocinas, baños, oficinas, dormitorios, archivos y bodegas. Eran residencia de las aristocracias y familias dinásticas y su burocracia.
Que, respecto a los cuatro palacios de las órdenes guerreras distribuidas en el oeste, eran austeros y estaban formados por enormes cuartos alargados, de columnatas de piedra burda y techos de madera y paja; tenían un carácter comunal y corporativo. Estas órdenes guerreras formaban sus jerarquías entre sí en su propia pirámide de cuatro niveles. Hacia el norte, en dirección al cielo nocturno, está dispuesta la Pirámide Celeste; consta de trece templos organizados en cuatro conjuntos destinados a las instituciones de trabajo, conocimiento, cultos y rituales. En el lado sur de la quinta plataforma se localiza el primer conjunto de templos. Entre las tres casas se encuentran los dos accesos, que dividen ese punto, a la escalinata central, el último acceso masivo a la plaza de la quinta plataforma. En los extremos este y oeste de la quinta plataforma se encuentran los templos de dualidad, que comprenden las advocaciones del planeta Venus: estrella de la tarde, deidad del intercambio, y lucero de la mañana y la guerra.
Que, sobre la sexta plataforma, en línea este-oeste, se encuentran dispuestos los templos de las cuatro advocaciones estacionales del Sol: guerrero, agricultor, comerciante y Señor del Consejo. Finalmente, sobre la séptima plataforma se apiñan los templos de las cuatro lunas, los extremos divinizados del trabajo humano: la guerra, los mantenimientos, el intercambio y la redistribución o tributo.
Que la estructura piramidal con distintos niveles simbólicos y desarrollos tecnológicos, producen y reproducen el sistema jerárquico-piramidal; al mismo tiempo, ésta representa el camino procesional y sostén del cielo. Es la casa de sus luminosas estrellas y representantes en la tierra, que con su poder encienden, iluminan, queman y ocultan el cielo donde viven los dueños del agua, el maíz y el fuego. El agua corre por el lado oriente en un arroyo remodelado y represado para guardar el vital líquido, tan necesario para abastecerse durante la época de secas.
Que en la Gran Plataforma destaca el Juego de Pelota, antiguo acceso del sitio y entrada al inframundo, con planta en forma de 'l', situado en el extremo sureste de la zona en un espacio hundido por debajo del nivel de la plaza central. Es de notar que, en las escaleras de su extremo sureste, existe un drenaje con un mecanismo para retener agua, destinado a cubrir parcialmente el piso de la cancha. Lugar donde se decapitaban los prisioneros de guerra, amarrados de brazos, hincados sobre un escudo en un ritual de sangre; tal como se observa en los dos marcadores que se hallan sobre el talud de la estructura. La historia del reino de victorias en el campo de guerra y en el juego, se muestra en el discurso escultórico que está distribuido en la cancha, entre los que destacan las esculturas en piedra de los tres marcadores circulares que delimitan el interior y el suelo de la cancha, donde están personajes importantes del antiguo reino maya de Poóy.
Que la zona de Toniná es un territorio de pirámides que integra en su concepción discursos de distintos significados y niveles de abstracción, tecnología y conocimiento. Se observa una dualidad articulada que presenta, por un lado, el gran santuario y, por el otro, un enorme espacio para el intercambio, un complejo de templo-mercado.
Que en la zona arqueológica las rocas características son de origen sedimentario: limolita-arenisca, lutita-arenisca y piedras calizas porosas que se observan en los grandes monumentos, ya que en esculturas predomina la piedra caliza amarilla de grano duro.
Que esta capital maya tuvo varios emblemas durante su historia, el espacio sagrado se conoció, cuando estaba dedicado al Noveno Jaguar del Inframundo, como el "Lugar de los Guerreros de la Estrella"; el último emblema de este periodo fue el de los cautivos celestes en tiempos del gobernante más importante de Toniná llamado Tzost Choj, "murciélago tigre". De 805 a 901 d.C., no se han encontrado inscripciones.
Que a lo largo y ancho del valle que rodea a la acrópolis se distribuyó el área habitacional y de cultivo. Los habitantes de la antigua ciudad de Toniná adoptaron la tradición escultórica maya, pero desarrollaron al mismo tiempo un estilo artístico propio, presente en sus magníficos altorrelieves en piedra y estuco.
Que en Toniná hay una sucesión de acrópolis enterradas una tras otra lo que da muestra de los constantes y acelerados cambios sociales. Existen evidencias de tres dinastías que gobernaron sucesivamente; la primera construyó la primera acrópolis modificando su estructura durante cientos de años, hasta finales del siglo VII D.C. el gran espesor de sus muros con puertas y espacios interiores reducidos es una de sus principales características, así como jeroglíficos mayas muy ovalados, iconografía con predominio de temas acuáticos y objetos con semejanza de estilo teotihuacano.(4)
Que existen en la ciudad un total de 97 edificios localizados, de diferentes tamaños y función arquitectónica (un templo para cada uno de los 13 dioses mayas, palacios destinados a residencia, un laberinto, un mural, un subterráneo dedicado al dios de los huesos y al inframundo), así como dos "juegos de pelota", también fueron descubiertas 38 tumbas. Al caminar por esta estructura se van repitiendo los tiempos, como las direcciones del cielo, en ese movimiento armónico que los mayas pensaban, se repetían todas las cosas de la vida y de la muerte.
Que Toniná es un asentamiento prehispánico monumental del mundo maya, enclavado entre las tierras altas de Chiapas y la selva, lo que le confirió en su momento una posición privilegiada en el contexto social del intercambio de ideas y de productos.
Que la llamada "montaña sagrada" de Toniná ha sido trabajada por el Instituto Nacional de Antropología e Historia (INAH) en forma intensiva y sistemática durante las últimas décadas, aplicando en su conservación los preceptos de la reestructuración, que establece un equilibrio mecánico que permite diferenciar visualmente los volúmenes agregados de los originales.
Que, en el contexto mesoamericano, la caída de Tula y Chichén Itzá trajo consigo la cuarta y última ola de destrucción masiva de espacios sagrados la cual fue de grandes proporciones (ca. 1150- 1350 d.C.). Con el advenimiento del dios del viento Ehécatl-Quetzalcóatl, hay un impacto en el trazo de los recintos ceremoniales, con un templo que integra al basamento el diseño de formas circulares y rectangulares, y otra dualidad mayor al combinarse ésta con el templo dual de doble escalinata. Así el antiguo culto de las cuatro deidades es reemplazado ahora por dos dualidades, por un lado, la agricultura y el comercio, y por el otro la guerra y el tributo.
Que la caída de Toniná debe enmarcarse en el contexto del colapso maya, así como del derrumbe de las principales capitales del Altiplano y la Costa del Golfo.
Que atendiendo la diversidad pluricultural que señala y protege nuestra Carta Magna en su artículo segundo, respecto de las comunidades originarias de nuestro país, así como sus costumbres, tradiciones, lugares sagrados y demás expresiones étnicas que datan de una continuidad histórica desde los orígenes de nuestra Nación hasta el día de hoy, cabe resaltar que Toniná conserva las celebraciones y rituales que se basaban en el calendario de los equinoccios del 20 de marzo y 23 de septiembre, así como en los solsticios del 21 de junio y 22 de diciembre, cuyos rituales siguen conservando una importancia energética y cósmica muy importante para los pueblos originarios, mismos que hasta la época actual se siguen realizando año con año y no solo por las comunidades indígenas, sino también por visitantes de otros lugares de México y el mundo, lo que desentraña una fusión entre el México Prehispánico y el México Moderno.
Que, dentro del conjunto de pirámides de Toniná, las comunidades indígenas vecinas a la Zona Arqueológica continúan realizando ceremonias y rituales relacionados con la temporada de lluvias y cosechas, así como recorridos ceremoniales siguiendo el camino de la puesta del Sol a través de los templos que se encuentran expuestos.
Que otros rituales, son las ceremonias donde los pueblos originarios piden la manifestación de sus ancestros a través del otorgamiento de dones que favorezcan a sus comunidades para ese año, y durante los recorridos por los antiguos templos algunos visitantes depositan cristales para convocar a las fuerzas de la naturaleza y solicitar favores para los pobladores.
Que las comunidades continúan realizando ofrendas a los árboles de ceiba que se ubican dentro de la Zona Arqueológica al ser considerados como sagrados por tener un gran significado, representar la vida, la perpetuidad, la grandeza, la bondad, la fuerza y la unión, así como la realización de procesiones para ver el nacimiento de las lunas.
Que el Instituto Nacional de Antropología e Historia, mediante oficio número 401-1-283, de 6 de noviembre de 2025, solicitó a esta Secretaría de Cultura que, en el ámbito de sus funciones, competencias y en términos de las disposiciones aplicables vigentes, lleve a cabo las acciones que resulten necesarias para la adquisición de la superficie de 09-22-49.26 hectáreas (nueve hectáreas, veintidós áreas, cuarenta y nueve punto veintiséis centiáreas) correspondientes a un inmueble de propiedad privada dentro de la poligonal de la Zona de Monumentos Arqueológicos de Toniná, ubicada en el municipio de Ocosingo, estado de Chiapas, para lo cual adjuntó el "Dictamen técnico relativo a la idoneidad y necesidad de la adquisición de la superficie relativa a 09-22-49.26 hectáreas (nueve hectáreas, veintidós áreas, cuarenta y nueve punto veintiséis centiáreas) correspondientes a un inmueble de propiedad privada, dentro de la poligonal de la Zona de Monumentos Arqueológicos de Toniná, ubicada en el municipio de Ocosingo, estado de Chiapas", mismo que fue elaborado por dicho Instituto.
Que, con el referido dictamen técnico, se justifica la causa de utilidad pública relativa a la conservación de los lugares de belleza panorámica, de los edificios y monumentos arqueológicos o históricos que cuentan con características notables de nuestra cultura nacional, en este sentido, la superficie de 09-22-49.26 hectáreas (nueve hectáreas, veintidós áreas, cuarenta y nueve punto veintiséis centiáreas) correspondientes a un inmueble de propiedad privada, dentro de la poligonal de la Zona de Monumentos Arqueológicos de Toniná, integra diversos monumentos arqueológicos que dan cuenta de las raíces del pueblo mexicano, como ha quedado establecido en los párrafos que anteceden, en tal contexto, es trascendental para el Estado Mexicano la defensa y conservación de dichos inmuebles arqueológicos, pues forman parte del patrimonio cultural de la Nación, así como, el respeto y reconocimiento de las tradiciones y costumbres de los pueblos originarios, en estricto cumplimiento a lo dispuesto en la Constitución Política de los Estados Unidos Mexicanos.
Que, con la adquisición de la superficie de 09-22-49.26 hectáreas (nueve hectáreas, veintidós áreas, cuarenta y nueve punto veintiséis centiáreas) ubicadas al interior de la Zona de Monumentos Arqueológicos de Toniná, se garantizará y promoverá la difusión del patrimonio cultural arqueológico existente, otorgando un medio de protección a las costumbres y tradiciones de las comunidades indígenas de los alrededores.
Que la responsabilidad que tiene el Estado Mexicano frente a la salvaguarda de los Sitios y Zonas Arqueológicas es histórica, ya que esos lugares son representativos de la historia nacional, marcan el hito de lo que hoy es el México actual, ponderando siempre las bases que han servido para la unificación de una gran Nación, orgullosa de sus raíces, tradiciones, costumbres y cultura.
Que la Zona de Monumentos Arqueológicos de Toniná no solo representa un lugar prehispánico e histórico, sino la cosmovisión del pasado de México unido con su presente y que mira hacia el futuro, es un espacio sagrado en las montañas de Chiapas, donde una estructura piramidal que se montó sobre el remate de una cordillera domina gran parte del valle de Ocosingo. En ella se formó un enorme laberinto de épocas, templos, palacios y escalinatas que se fueron encimando durante más de mil años de actividad constructiva.
Que las estrategias, técnicas y acciones del Instituto Nacional de Antropología e Historia están enfocadas a promover la organización comunitaria, apropiación y disfrute de los valores y significado cultural de la Zona Arqueológica de Toniná, fomentando entre la población circundante formas de participación para la conservación de los recursos culturales y naturales.
Que la Zona de Monumentos Arqueológicos de Toniná cuenta con un valor arqueológico que requiere de intervenciones encaminadas a generar información y conocimiento científico y técnico, a través de la realización de investigaciones arqueológicas, antropológicas e históricas que amplíen el conocimiento sobre el modo de vida de los habitantes prehispánicos de la zona arqueológica, desde una perspectiva interdisciplinaria para su puesta en valor y difusión entre la sociedad.
Que es imprescindible generar una vinculación social que integre estrategias, técnicas y acciones enfocadas a promover la organización comunitaria, apropiación y disfrute de los valores y significado cultural de la Zona Arqueológica de Toniná, a fin de fomentar entre la población circundante formas de participación para la conservación de los recursos culturales y naturales, e impulsar el trabajo comunitario para la conservación, preservación y valorización del patrimonio cultural y natural de Toniná y sus alrededores, con proyectos sociales que coadyuven en la valoración y la protección comunitaria de los bienes materiales, así como del patrimonio inmaterial de la comunidad.
Que el potencial educativo integrará el significado patrimonial y de la necesidad de su conservación tanto para los visitantes como para las comunidades aledañas, mediante estrategias y acciones educativas e interpretativas para dar a conocer la importancia de la zona arqueológica, así como la conservación de los sitios naturales del municipio de Ocosingo.
Que en la Zona Arqueológica de Toniná se debe garantizar el libre tránsito de la visita pública, incluyendo el acceso de las comunidades indígenas no solo para el uso y disfrute de los bienes arqueológicos propiedad de la Nación, sino también para expresar sus creencias y ritos sagrados que deben prevalecer en la memoria de las comunidades y del pueblo mexicano.
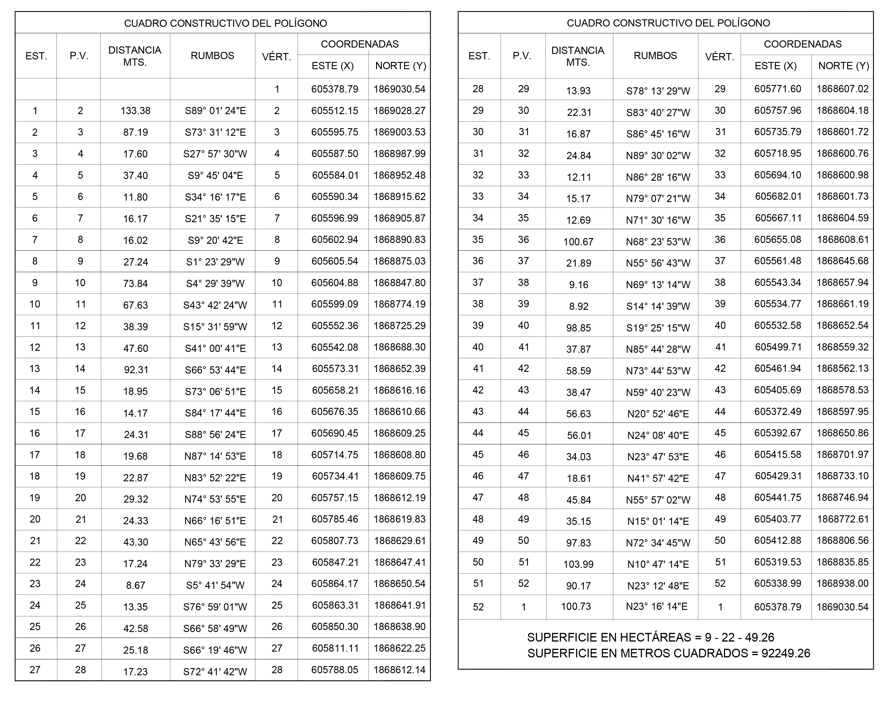
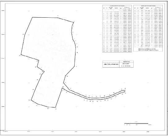
Que, con el Dictamen Técnico, se acredita la necesidad de adquirir el bien inmueble el cual es idóneo para la "Protección, Investigación, Custodia, Conservación y Restauración de la Zona de Monumentos Arqueológicos de Toniná", por lo que el INAH elaboró el plano topográfico del inmueble con superficie de 9-22-49.26 hectáreas (nueve hectáreas, veintidós áreas, cuarenta y nueve punto veintiséis centiáreas) dentro de la poligonal de la Zona de Monumentos Arqueológicos de Toniná, ubicada en el municipio de Ocosingo, estado de Chiapas, en el que se advierten las coordenadas UTM, mismas que se detallan en los siguientes cuadros de construcción:
 

 

Que, esta Secretaría de Cultura, a través de la Unidad de Asuntos Jurídicos, derivado de la información proporcionada por el INAH, integró el expediente de expropiación número 2C.6/11-2025, en el cual consta la solicitud realizada por el INAH y el dictamen técnico relativo a la idoneidad y necesidad de la adquisición de la superficie relativa a 09-22-49.26 hectáreas emitido por dicho instituto, en el que se señala el inmueble materia de la presente Declaratoria.
Que, de las documentales que obran en el expediente de expropiación número 2C.6/11-2025, se acredita que el bien inmueble tiene naturaleza jurídica de propiedad privada, tal y como se desprenden de las copias certificadas de fechas 28 de febrero de 2024, expedidas por la Dirección del Registro Público de la Propiedad y del Comercio del Estado de Chiapas, relativas a las constancias con números de registro 7583, 7584 y 13404; así como del Instrumento Público número ocho mil seiscientos catorce, Libro número ciento treinta y cinco, de 29 de enero de 2016; se sustenta el motivo de su inclusión en la presente Declaratoria.
Que, conforme al Dictamen Técnico elaborado por el INAH y demás constancias remitidas por ese Instituto, se acredita que el inmueble objeto de la presente declaratoria, es apropiado e idóneo para garantizar y promover la difusión del patrimonio cultural arqueológico que existe en Toniná, así como para brindar una mayor protección a las costumbres y tradiciones de las comunidades indígenas de los alrededores, de ahí que se justifique la necesidad para expropiar el inmueble de propiedad privada con una superficie de 09-22-49.26 hectáreas (nueve hectáreas, veintidós áreas, cuarenta y nueve punto veintiséis centiáreas) ubicadas dentro de la poligonal de la Zona de Monumentos Arqueológicos de Toniná, en el municipio de Ocosingo, estado de Chiapas.
Que, en el caso concreto, se cumple con la causa de utilidad pública prevista en el artículo 1o., fracción IV, de la Ley de Expropiación, al tratarse de la conservación de bienes arqueológicos con características notables de nuestra cultura nacional, cuya finalidad es salvaguardar el patrimonio arqueológico de la Nación, con lo cual se garantiza el derecho de los pueblos y comunidades indígenas a conservar su patrimonio, tradiciones y lugares sagrados, lo cual está establecido en el artículo 2o. de la Constitución Política de los Estados Unidos Mexicanos, por todo lo anterior señalado, he tenido a bien expedir la siguiente:
DECLARATORIA DE CAUSA DE UTILIDAD PÚBLICA RELATIVA A 09-22-49.26 HECTÁREAS (NUEVE
HECTÁREAS, VEINTIDÓS ÁREAS, CUARENTA Y NUEVE PUNTO VEINTISÉIS CENTIÁREAS)
CORRESPONDIENTES A UN INMUEBLE DE PROPIEDAD PRIVADA, DENTRO DE LA POLIGONAL DE
LA ZONA DE MONUMENTOS ARQUEOLÓGICOS DE TONINÁ, UBICADA EN EL MUNICIPIO DE
OCOSINGO, ESTADO DE CHIAPAS, QUE SERÁ DESTINADA PARA LA "INVESTIGACIÓN,
PROTECCIÓN, CONSERVACIÓN, RESTAURACIÓN Y RECUPERACIÓN DE LA ZONA DE
MONUMENTOS ARQUEOLÓGICOS DE TONINÁ"
PRIMERO. Se declara de utilidad pública la conservación, protección, restauración y recuperación del inmueble con características notables de nuestra cultura nacional e histórica, conocido como Zona de Monumentos Arqueológicos de Toniná, conforme a la superficie, medidas, linderos y colindancias que han quedado precisadas en el cuerpo del presente documento.
SEGUNDO. Los planos topográficos del referido inmueble y el expediente formado con motivo de la presente Declaratoria, quedan a disposición de todas aquellas personas físicas o morales que acrediten y justifiquen un derecho o interés jurídico, en la Unidad de Asuntos Jurídicos de la Secretaría de Cultura, ubicada en avenida Paseo de la Reforma 175, piso 10, colonia y alcaldía Cuauhtémoc, Ciudad de México, en un horario de lunes a viernes de 09:00 a 14:00 horas.
TERCERO. Notifíquese personalmente a los titulares de los bienes y derechos, en los domicilios que obren en el expediente correspondiente. En caso de ignorarse quiénes son los titulares o bien se desconozca su domicilio o localización, efectúese una segunda publicación en el Diario Oficial de la Federación, conforme a lo establecido en el artículo 2o., fracción II, de la Ley de Expropiación.
CUARTO. Los interesados contarán con un plazo de quince días hábiles, contados a partir de la notificación o de la segunda publicación en el Diario Oficial de la Federación de la presente Declaratoria, para manifestar ante la Unidad de Asuntos Jurídicos de la Secretaría de Cultura, lo que a su derecho e interés convenga y presenten las pruebas que estimen pertinentes.
QUINTO. Publíquese la presente declaratoria de causa de utilidad pública en el Diario Oficial de la Federación.
Ciudad de México, a 17 de diciembre de 2025.- Secretaria de Cultura, Claudia Stella Curiel de Icaza.- Rúbrica.
__________
 
1          https://www.dof.gob.mx/nota_to_imagen_fs.php?codnota=4670456&fecha=17/02/1994&cod_diario=201220
2          Plan de manejo y Conservación Zona de Monumentos Arqueológicos Toniná, Chiapas. Instituto Nacional de Antropología e Historia.
3          Dictamen Arqueológico elaborado por el arqueólogo Juan Yadeun y Angulo, Profesor Investigador Titular C, adscrito a la Dirección de Estudios Arqueológicos del INAH y Responsable de los proyectos de investigación de la arquitectura y de materiales de Toniná. Reformulado en septiembre de 2025, por la Arqueóloga Silvia Mesa Dávila, Titular del Registro Público de Monumentos y Zonas Arqueológicos Históricos. INAH.
4          Ficha de registro con Folio Real 2ASA00000012/I, Expedida por el Registro Público de Monumentos y Zonas Arqueológicas e Históricas.