NORMA Oficial Mexicana NOM-020-ASEA-2024, Transporte de gas natural por medio de ductos terrestres (cancela a la NOM-007-ASEA-2016, Transporte de gas natural, etano y gas asociado al carbón mineral por medio de ductos).

Al margen un sello con el Escudo Nacional, que dice: Estados Unidos Mexicanos.- Medio Ambiente.- Secretaría de Medio Ambiente y Recursos Naturales.- ASEA.- Agencia de Seguridad, Energía y Ambiente.

ARMANDO OCAMPO ZAMBRANO, Director Ejecutivo de la Agencia Nacional de Seguridad Industrial y de Protección al Medio Ambiente del Sector Hidrocarburos y presidente del Comité Consultivo Nacional de Normalización de Seguridad Industrial y Operativa y Protección al Medio Ambiente del Sector Hidrocarburos, con fundamento en los artículos Décimo Noveno Transitorio, segundo párrafo, del Decreto por el que se reforman y adicionan diversas disposiciones de la Constitución Política de los Estados Unidos Mexicanos, en Materia de Energía, publicado en el Diario Oficial de la Federación el 20 de diciembre de 2013; 1o., 2o., fracción I, 17 y 26 fracción VIII de la Ley Orgánica de la Administración Pública Federal; 1o., 2o., 3o., fracción XI, inciso c), 4o., 5o., fracciones III, IV, VI y XXX, 6o., fracción I, incisos a) y d), fracción II, inciso a), 27 y 31, fracciones II, IV y VIII, de la Ley de la Agencia Nacional de Seguridad Industrial y de Protección al Medio Ambiente del Sector Hidrocarburos; 1o., 127 y 164 de la Ley del Sector Hidrocarburos; 1o., 3o., fracciones VIII y IX, 10, fracciones VIII y XV, 12 párrafo primero y segundo, 24, 30, 34 , 35, 37, 38 y 39 de la Ley de Infraestructura de la Calidad; 1o. y 4o. de la Ley Federal de Procedimiento Administrativo; 1o. y 3o., párrafo primero y segundo fracciones I, VIII, XX y XLVII del Reglamento Interior de la Agencia Nacional de Seguridad Industrial y de Protección al Medio Ambiente del Sector Hidrocarburos; 1o., 2o., fracción I, 3o., apartado B, fracción IV, 9 fracciones XXIII y XXXVII, 47 primer párrafo, 48 párrafos primero y tercero y 49 fracción IX del Reglamento Interior de la Secretaría de Medio Ambiente y Recursos Naturales; 28 y 33 del Reglamento de la Ley Federal sobre Metrología y Normalización; y
CONSIDERANDO
Que el Decreto por el que se reforman y adicionan diversas disposiciones de la Constitución Política de los Estados Unidos Mexicanos, en Materia de Energía, en cuyo artículo Transitorio Décimo Noveno se establece como mandato al Congreso de la Unión realizar adecuaciones al marco jurídico para crear la Agencia Nacional de Seguridad Industrial y de Protección al Medio Ambiente del Sector Hidrocarburos (Agencia), como órgano administrativo desconcentrado de la Secretaría del ramo en materia de medio ambiente, con autonomía técnica y de gestión; con atribuciones para regular y supervisar, en materia de Seguridad Industrial, Seguridad Operativa y protección al medio ambiente, las instalaciones y actividades del Sector Hidrocarburos, incluyendo las actividades de desmantelamiento y abandono de instalaciones, el control integral de Residuos.
Que de conformidad con lo establecido en el artículo 119, fracción XV, de la Ley del Sector Hidrocarburos, los Permisionarios estarán obligados a cumplir con la regulación, lineamientos y disposiciones administrativas que emitan la Secretaría de Energía, la Secretaría de Hacienda y Crédito Público y la Agencia, en el ámbito de sus respectivas competencias.
Que la Ley del Sector Hidrocarburos en su artículo 127 establece que la industria del Sector Hidrocarburos es de exclusiva jurisdicción federal, por lo que únicamente el Gobierno Federal puede dictar las disposiciones técnicas, reglamentarias y de regulación en la materia, incluyendo aquéllas relacionadas con la emisión de gases de efecto invernadero, el desarrollo sustentable, el equilibrio ecológico y la protección al medio ambiente en el desarrollo de esta industria.
Que de conformidad con lo establecido en el artículo 164 de la Ley del Sector Hidrocarburos, corresponde a la Agencia emitir la regulación y la normatividad aplicable en materia de Seguridad Industrial y Seguridad Operativa, así como de protección al medio ambiente en la industria de Hidrocarburos, a fin de promover, aprovechar y desarrollar de manera sustentable las actividades de dicha industria y aportar los elementos técnicos para el diseño y la definición de la política pública en materia energética, de protección al medio ambiente y recursos naturales.
Que la Ley de la Agencia Nacional de Seguridad Industrial y de Protección al Medio Ambiente del Sector Hidrocarburos, establece que ésta tiene por objeto la protección de las personas, el medio ambiente y las instalaciones del Sector Hidrocarburos, por lo que cuenta con atribuciones para regular, supervisar y sancionar en materia de Seguridad Industrial, Seguridad Operativa y protección al medio ambiente las actividades del Sector.
Que el Reglamento Interior de la Agencia Nacional de Seguridad Industrial y de Protección al medio ambiente del Sector Hidrocarburos, en el que se detalla el conjunto de facultades que debe ejercer esta Agencia, entre las que se encuentra, emitir las bases y criterios para que los Regulados adopten las mejores prácticas de Seguridad Industrial, Seguridad Operativa y Protección al medio ambiente que resulten aplicables a las actividades del Sector en materia de Transporte de Gas Natural por medio de Ductos terrestres.
Que de conformidad con lo dispuesto en el artículo 3o. fracción IX, de la Ley de Infraestructura de la Calidad, corresponde a las Autoridades Normalizadoras expedir Normas Oficiales Mexicanas en las materias relacionadas con sus atribuciones, determinar su fecha de entrada en vigor y verificar su cumplimiento.
Que de conformidad con lo establecido en el artículo 10, fracciones VIII y XV de la Ley de Infraestructura de la Calidad, las Normas Oficiales Mexicanas tienen como finalidad atender las causas de los problemas identificados por las Autoridades Normalizadoras que afecten o que pongan en riesgo los objetivos legítimos de interés público, entre otros, la protección al medio ambiente, la protección de las personas y las instalaciones del sector hidrocarburos.
Que la actividad de Transporte de Gas Natural por medio de Ductos terrestres representa un alto Riesgo para las personas, las Instalaciones y el medio ambiente, y puede provocar Incidentes o Accidentes que según su magnitud tengan consecuencias fatales, por lo que se requiere contar con procedimientos adecuados de Seguridad Industrial, Seguridad Operativa y protección al medio ambiente para garantizar que se lleve a cabo de manera segura.
Que el 28 de febrero de 2023, se publicó en el Diario Oficial de la Federación el Programa Nacional de Infraestructura de la Calidad 2023, en el cual la Agencia inscribió como tema nuevo el Transporte de Gas Natural por medio de Ductos terrestres (Cancelará la Norma Oficial Mexicana NOM-007-ASEA-2016, Transporte de gas natural, etano y gas asociado al carbón mineral por medio de ductos), debido a que resulta necesario desarrollar un instrumento regulatorio que permita promover la adopción de las mejores prácticas internacionales, así como, establecer especificaciones técnicas y requisitos en materia de Seguridad Industrial, Seguridad Operativa y la protección al medio ambiente.
Que la Norma Oficial Mexicana Transporte de Gas Natural por medio de Ductos terrestres cancela a la NOM-007-ASEA-2016, Transporte de gas natural, etano y gas asociado al carbón mineral por medio de ductos, publicada en el Diario Oficial de la Federación el 5 de marzo de 2018.
Que de conformidad con lo previsto en el artículo 35, fracción III de la Ley de Infraestructura de la Calidad, el Anteproyecto de Norma Oficial Mexicana ANTE-PROY-NOM-XXX-ASEA-20XX, Transporte de Gas Natural por medio de Ductos terrestres, fue presentado ante el Comité Consultivo Nacional de Normalización de Seguridad Industrial y Operativa y Protección al Medio Ambiente del Sector Hidrocarburos en su Decimosexta Sesión extraordinaria celebrada el día 5 de abril de 2023, para la constitución del Grupo de Trabajo integrado por los sectores que conforman el Comité para su estudio y discusión.
Que el Proyecto de Norma Oficial Mexicana PROY-NOM-020-ASEA-2024, Transporte de Gas Natural por medio de Ductos terrestres, fue aprobado por el Comité Consultivo Nacional de Normalización de Seguridad Industrial y Operativa y Protección al Medio Ambiente del Sector Hidrocarburos en su Decimonovena Sesión extraordinaria celebrada el día 05 de diciembre de 2024, para someterlo a periodo de consulta pública.
Que de conformidad con lo establecido en el primer párrafo de la fracción V del artículo 35 y 38 de la Ley de Infraestructura de la Calidad con fecha 10 de marzo de 2025 se publicó en el Diario Oficial de la Federación, un aviso de consulta pública del Proyecto de Norma Oficial Mexicana a efecto de que dentro de los siguientes 60 días naturales los interesados presentaran sus comentarios ante el Comité que lo propuso sito en Boulevard Adolfo Ruiz Cortines No. 4209, Colonia Jardines en la Montaña, Alcaldía Tlalpan, Ciudad de México, C.P. 14210, México o bien, al correo electrónico: maria.gutierrez@asea.gob.mx.
Que conforme a lo establecido en la fracción X del artículo 34 de la Ley de Infraestructura de la Calidad y 32 del Reglamento de la Ley Federal sobre Metrología y Normalización la presente Norma Oficial Mexicana incluye el análisis de impacto regulatorio.
Que cumplido el procedimiento establecido en el artículo 35 de la Ley de Infraestructura de la Calidad para la elaboración de Normas Oficiales Mexicanas, el Comité Consultivo Nacional de Normalización de Seguridad Industrial y Operativa y Protección al Medio Ambiente del Sector Hidrocarburos en su Segunda Sesión Extraordinaria 2025 de fecha 01 de julio de 2025, aprobó la respuesta a comentarios y expedición de la presente Norma Oficial Mexicana NOM-020-ASEA-2024, Transporte de Gas Natural por medio de Ductos terrestres (cancela a la NOM-007-ASEA-2016, Transporte de gas natural, etano y gas asociado al carbón mineral por medio de ductos).
Que conforme a lo dispuesto en el artículo 5o., fracción IV de la Ley de la Agencia Nacional de Seguridad Industrial y de Protección al Medio Ambiente del Sector Hidrocarburos se solicitó opinión respecto del contenido de la presente Norma Oficial Mexicana a la Secretaría de Medio Ambiente y Recursos Naturales, la Secretaría de Energía, la Comisión Nacional de Hidrocarburos y la Comisión Reguladora de Energía, las cuales emitieron opinión favorable, debidamente fundada y motivada, mediante los oficios número: 112/2471/2025, 500.SSH.021/2025, 230.084/2025 y UH-250/12363/2025 respectivamente.
En virtud de lo antes expuesto, se tiene a bien expedir la Norma Oficial Mexicana NOM-020-ASEA-2024, Transporte de Gas Natural por medio de Ductos terrestres (cancela a la NOM-007-ASEA-2016, Transporte de gas natural, etano y gas asociado al carbón mineral por medio de ductos).
Ciudad de México, a los once días del mes de agosto del año dos mil veinticinco.- El Director Ejecutivo de la Agencia Nacional de Seguridad Industrial y Protección al Medio Ambiente del Sector Hidrocarburos y Presidente del Comité Consultivo Nacional de Normalización de Seguridad Industrial y Operativa y Protección al Medio Ambiente del Sector Hidrocarburos, Armando Ocampo Zambrano.- Rúbrica.
PREFACIO
La Norma Oficial Mexicana fue elaborada por el Comité Consultivo Nacional de Normalización de Seguridad Industrial, Operativa y Protección al Medio Ambiente del Sector Hidrocarburos, con la colaboración de los sectores siguientes:
1.     Dependencias y Entidades de la Administración Pública Federal:
·      Comisión Reguladora de Energía (CRE)
·      Secretaría de Energía (SENER)
·      Secretaría de Medio Ambiente y Recursos Naturales (SEMARNAT)
·      Secretaría de Economía (SE)
2.     Organizaciones Industriales y Asociaciones del Ramo:
·      Asociación Mexicana de Gas Natural (AMGN)
·      Centro Nacional de Control del Gas Natural (CENAGAS)
3.     Instituciones de investigación científica y profesionales:
·      Instituto Mexicano del Petróleo (IMP)
ÍNDICE DEL CONTENIDO
1.     Objetivo
2.    Campo de aplicación
3.    Objetivo legítimo de interés público
4.    Referencias normativas
5.    Términos y Definiciones
6.    Diseño
7.    Construcción
8.    Operación y Mantenimiento
9.    Procedimiento de Evaluación de la Conformidad
10.   Grado de concordancia con normas nacionales e internacionales
11.   Verificación de la Norma
TRANSITORIOS
Apéndice A (Normativo) Control de la corrosión externa en Ductos.
Apéndice B (Normativo) Monitoreo, detección y clasificación de Fugas de Gas Natural en el Sistema de Transporte.
Apéndice C (Normativo) Requerimientos específicos cuando se utilicen factores de Diseño superiores a 0.77 en Ductos de acero.
Apéndice D (Normativo) Odorización del Gas Natural.
Bibliografía
1.     Objetivo
       Establecer especificaciones técnicas y requisitos de Seguridad Industrial, Seguridad Operativa y protección al medio ambiente que se deben cumplir en el Diseño, Construcción, Operación y Mantenimiento del Sistema de Transporte de Gas Natural o etano en estado gaseoso por medio de Ductos terrestres.
2.     Campo de aplicación
       Aplica en todo el territorio nacional y zonas donde la Nación ejerza su soberanía y jurisdicción, y es de observancia general y obligatoria para los Regulados que realicen la actividad de Transporte de Gas Natural o etano en estado gaseoso por medio de Ductos terrestres (Ver Figura 1):
I.        Desde la salida de la Estación de regulación y/o medición de la Instalación para el acondicionamiento de la Producción terrestre hasta la entrada de la Estación de regulación y/o medición de la Instalación de procesamiento de Gas Natural.
II.       Desde la salida de la Estación de regulación y/o medición de la Instalación de procesamiento de Gas Natural hasta la entrada de la Estación de regulación y/o medición de:
a)    La Instalación de Almacenamiento subterráneo de Gas Natural, tales como, cavernas salinas, yacimientos agotados, entre otros.
b)    La Instalación de Distribución de Gas Natural por Ductos.
c)    La Instalación de Licuefacción de Gas Natural.
d)    La Instalación de aprovechamiento de Gas Natural.
III.      Desde la salida de la Estación de regulación y/o medición de la Instalación de procesamiento de Gas Natural hasta la entrada de la Instalación en donde se lleve a cabo la actividad de Compresión de Gas Natural y/o Expendio al Público de Gas Natural Comprimido para vehículos automotores.
IV.      Desde la salida de la Estación de regulación y/o medición de la Instalación de Almacenamiento Subterráneo de Gas Natural tales como, cavernas salinas, yacimientos agotados, entre otros, hasta la entrada de la Estación de regulación y/o medición de:
a)    La Instalación de aprovechamiento de Gas Natural.
b)    La Instalación de licuefacción de Gas Natural.
c)    Instalación de Distribución de Gas Natural por Ductos.
V.       Desde la salida de la Estación de regulación y/o medición de la Instalación de Almacenamiento subterráneo de Gas Natural tales como, cavernas salinas, yacimientos agotados, entre otros, hasta la entrada de la Instalación en donde se lleve a cabo la actividad de Compresión de Gas Natural y/o Expendio al Público de Gas Natural Comprimido para vehículos automotores.
VI.      Desde la salida de la Estación de regulación y/o medición del Ducto submarino de Transporte de Gas Natural, hasta:
a)    La entrada de la Estación de regulación y/o medición de la Instalación de aprovechamiento de Gas Natural.
b)    La entrada de la Estación de regulación y/o medición de la Instalación de Distribución de Gas Natural por Ductos.
c)    La salida de la Estación de regulación y medición de la Instalación en donde se lleve a cabo la actividad de Compresión de Gas Natural y/o Expendio al Público de Gas Natural Comprimido para vehículos automotores.
VII.     Desde la salida de la Estación de regulación y/o medición de la Instalación de almacenamiento y regasificación de Gas Natural Licuado hasta:
a)    La entrada de la Estación de regulación y/o medición de la Instalación de Distribución de Gas Natural por Ductos.
b)    La entrada de la Estación de regulación y/o medición de la Estación de expendio simultáneo.
c)    La salida de la Estación de regulación y medición de la Instalación en donde se lleve a cabo la actividad de Compresión de Gas Natural y/o Expendio al Público de Gas Natural Comprimido para vehículos automotores.
d)    La entrada de la Estación de regulación y/o medición de la Estación de autoconsumo de Gas Natural Comprimido.
VIII.    Desde la salida de la Estación de regulación y/o medición de la Unidad Flotante de Almacenamiento y Regasificación (FSRU) de Gas Natural Licuado, hasta:
a)    La entrada de la Estación de regulación y/o medición de la Instalación de Distribución de Gas Natural por Ducto.
b)    La salida de la Estación de regulación y/o medición de la Instalación en donde se lleve a cabo la actividad de Compresión de Gas Natural y/o Expendio al Público de Gas Natural Comprimido para vehículos automotores.
c)    La entrada de la Estación de regulación y/o medición de la Instalación de aprovechamiento de Gas Natural.
IX.      Desde el punto de interconexión con el Ducto de Internación hasta:
a)    La entrada de la Estación de regulación y/o medición de la Instalación de Licuefacción de Gas Natural.
b)    La entrada de la Estación de regulación y/o medición de Instalación de Almacenamiento subterráneo de Gas Natural, tales como, cavernas salinas, yacimientos agotados, entre otros.
c)     La entrada de la Estación de regulación y/o medición de la Instalación de Distribución de Gas Natural por medio de Ductos.
d)    La entrada de la Estación de regulación y/o medición de Instalación de Aprovechamiento de Gas Natural.
e)    La salida de la Estación de regulación y/o medición de la Instalación en donde se lleve a cabo la actividad de Compresión de Gas Natural y/o Expendio al Público de Gas Natural Comprimido para vehículos automotores.
X.       Para el etano en estado gaseoso, desde la salida de la Estación de regulación y/o medición de una Instalación de procesamiento de Gas Natural hasta la entrada de le Estación de regulación y/o medición de una Instalación de Aprovechamiento de Gas Natural.
         La Norma Oficial Mexicana no es aplicable para el Transporte de Gas Natural por medio de Ductos Submarinos.
Figura 1. Campo de aplicación

3.     Objetivo legítimo de interés público
       La presente Norma Oficial Mexicana atiende las causas que pueden afectar la seguridad de las personas, el medio ambiente y las instalaciones en los Sistemas de Transporte de Gas Natural por medio de Ductos terrestres.
4.     Referencias normativas
       Para el cumplimiento de la presente Norma Oficial Mexicana se deben consultar los siguientes documentos normativos vigentes o aquellos que los modifiquen o sustituyan:
·      Reglamento sobre el peso, dimensiones y capacidad de los vehículos de autotransporte, que transitan en los caminos y puentes de jurisdicción federal. Publicado en el Diario Oficial de la Federación el 26 de enero de 1994 y sus reformas.
·      NOM-143-SEMARNAT-2003, Que establece las especificaciones ambientales para el manejo de agua congénita asociada a hidrocarburos. Publicada en el Diario Oficial de la Federación el 03 de marzo de 2005.
·      NOM-137-SEMARNAT-2013, Contaminación atmosférica.- Complejos procesadores de gas.- Control de emisiones de compuestos de azufre. Publicada en el Diario Oficial de la Federación el 20 de febrero de 2014.
·      NOM-003-ASEA-2016, Distribución de gas natural y gas licuado de petróleo por ductos. Publicada en el Diario Oficial de la Federación el 18 de agosto de 2017.
·      NOM-010-ASEA-2016, Gas Natural Comprimido (GNC). Requisitos mínimos de seguridad para Terminales de Carga y Terminales de Descarga de Módulos de almacenamiento transportables y Estaciones de Suministro de vehículos automotores. Publicada en el Diario Oficial de la Federación el 23 de agosto de 2017.
·      NOM-013-ASEA-2021, Instalaciones de Almacenamiento y Regasificación de Gas Natural Licuado (cancela y sustituye a la NOM-013-SECRE-2012 Requisitos de seguridad para el diseño, construcción, operación y mantenimiento de terminales de almacenamiento de gas natural licuado que incluyen sistemas, equipos e instalaciones de recepción, conducción, vaporización y entrega de gas natural). Publicada en el Diario Oficial de la Federación el 29 de noviembre de 2021.
·      NOM-001-SEDE-2012.- Instalaciones Eléctricas (utilización). Publicada en el Diario Oficial de la Federación el 29 de noviembre de 2012.
·      DISPOSICIONES administrativas de carácter general que establecen los Lineamientos aplicables a la Construcción y Mantenimiento de Pozos para la Exploración y Extracción de Hidrocarburos. Publicadas en el Diario Oficial de la Federación el 20 de diciembre de 2024.
·      DISPOSICIONES administrativas de carácter general que establecen los Lineamientos de Seguridad Industrial, Seguridad Operativa y Protección al Medio Ambiente, para el expendio simultáneo de Petrolíferos y/o Gas Natural. Publicadas en el Diario Oficial de la Federación el 09 de agosto de 2019 y sus modificaciones.
·      DISPOSICIONES administrativas de carácter general que establecen los Lineamientos en materia de Seguridad Industrial, Seguridad Operativa y Protección al Medio Ambiente para el Diseño, Construcción, Pre-arranque, Operación, Mantenimiento, Cierre, Desmantelamiento y Abandono de las Instalaciones de Licuefacción de Gas Natural. Publicadas en el Diario Oficial de la Federación el 09 de julio de 2018 y sus modificaciones.
·      DISPOSICIONES Administrativas de carácter general que establecen los Lineamientos para la prevención y el control integral de las emisiones de metano del Sector Hidrocarburos. Publicadas en el Diario Oficial de la Federación el 06 de noviembre de 2018 y sus modificaciones.
·      NMX-B-482-CANACERO-2016.- Industria Siderúrgica-Capacitación, Calificación y Certificación de Personal en ensayos no destructivos (Cancela a la NMX-B-482-1991). Declaratoria de vigencia publicada en el Diario Oficial de la Federación el 20 de octubre de 2016.
·      NMX-X-043-SCFI-2017.- Industria del Gas-Tubos de polietileno (PE) para la conducción de Gas Natural (GN) y Gas Licuado de Petróleo (GLP)-Especificaciones y métodos de prueba (Cancela a la NMX-E-043-SCFI-2002). Declaratoria de vigencia publicada en el Diario Oficial de la Federación el 15 de febrero de 2018.
·      NMX-X-047-SCFI-2014.- Industria del Gas-tubos y conexiones de Poliamida sin Plastificante (PA-U) para la Conducción de Gas Natural (GN)-Especificaciones y Métodos de Prueba. Declaratoria de vigencia publicada en el Diario Oficial de la Federación el 12 de enero de 2015.
·      API 5L:2018.- Specification For Line Pipe (Especificación de tubería).
·      API RP 5LT:2012.- Recommended Practice for Truck Transportation of Line Pipe (Práctica recomendada para el transporte por camión de tuberías).
·      API RP 5L1:2009.- Recommended Practice for Railroad Transportation of Line Pipe (Práctica recomendada para el transporte ferroviario de tuberías).
·      API RP 5LW:2009.- Recommended Practice for Transportation of Line Pipe on Barges and Marine Vessels (Práctica recomendada para el transporte de tuberías en barcazas y embarcaciones marinas).
·      API RP 579-1:2021.- Fitness-for-Service (Aptitud para el servicio).
·      API STD 1104:2021.- Welding of Pipelines and Related Facilities (Soldadura de Tuberías e Instalaciones Relacionadas).
·      API RP 1110:2022.- Recommended Practice for the Pressure Testing of Steel Pipelines for the Transportation of Gas, Petroleum Gas, Hazardous Liquids, Highly Volatile Liquids, or Carbon Dioxide (Práctica recomendada para la prueba de presión de tuberías de acero para el transporte de gas, gas de petróleo, líquidos peligrosos, líquidos muy volátiles o dióxido de carbono).
·      ASME B16.49: 2023.- Factory-Made, Wrought Steel, Buttwelding Induction Bends for Transportation and Distribution Systems (Curvas por inducción soldadas a tope de acero forjado, fabricadas en fábrica para sistemas de transporte y distribución).
·      ASME B31.8: 2022.- Gas Transmission and Distribution Piping Systems (Sistemas de tuberías de transporte y distribución de gas).
·      ASME B31.8S: 2022.- Gas Transmission and Distribution Piping Systems (Sistemas de tuberías de transporte y distribución de gas).
·      ASME B31G:2023.- Manual for Determining the Remaining Strength of Corroded Pipelines (Manual para determinar la resistencia remanente de tuberías corroídas).
·      ASME BPVC.VIII.1: 2023.- Rules for Construction of Pressure Vessels Division 1 (Reglas para la Construcción de Recipientes a Presión División 1).
·      ASTM D2513-24- Standard Specification for Polyethylene (PE) Gas Pressure Pipe, Tubing, and Fittings (Especificación estándar para tuberías, tubos y accesorios de presión de gas de polietileno (PE)).
·      ASTM F2945-18.- Standard Specification for Polyamide 11 Gas Pressure Pipe, Tubing, and Fittings (Especificación estándar para tuberías, tubos y accesorios de presión de gas de poliamida 11).
·      BS 7910:2019.- Guide to methods for assessing the acceptability of flaws in metallic structures (Guía de métodos para evaluar la aceptabilidad de fallas en estructuras metálicas).
·      ISO 4437-3: 2024.- Plastics piping systems for the supply of gaseous fuels - Polyethylene (PE) - Part 3: Fittings (Sistemas de tuberías de plástico para el suministro de combustibles gaseosos. Polietileno (PE). Parte 3: Accesorios).
·      ISO 15590-2:2021.- Petroleum and natural gas industries - Factory bends, fittings and flanges for pipeline transportation systems - Part 2: Fittings (Industrias del petróleo y del gas natural: doblados de fábrica, accesorios y bridas de fábrica para sistemas de transporte por tuberías Parte 2: Accesorios).
·      ISO 16486-3:2025.- Plastics piping systems for the supply of gaseous fuels - Unplasticized polyamide (PA-U) piping systems with fusion jointing and mechanical jointing - Part 3: Fittings (Sistemas de tuberías de plástico para el suministro de combustibles gaseosos. Sistemas de tuberías de poliamida no plastificada (PA-U) con unión por fusión y unión mecánica. Parte 3: Accesorios).
·      NACE SP0169-2013.- Control of External Corrosion on Underground or Submerged Metallic Piping Systems (Control de la corrosión externa en sistemas de tuberías metálicas subterráneas o sumergidas).
·      NACE TM0497-2012.- Measurement Techniques Related to Criteria for Cathodic Protection on Underground or Submerged Metallic Piping Systems (Técnicas de medición relacionadas con los criterios de protección catódica en sistemas de tuberías metálicas subterráneas o sumergidas).
5.     Términos, definiciones, unidades y términos abreviados
5.1.    Términos y definiciones
         Para efectos de la interpretación y aplicación de la Norma Oficial Mexicana, se estará a los términos y definiciones en singular o plural, previstos en la Ley de la Agencia Nacional de Seguridad Industrial y de Protección al Medio Ambiente del Sector Hidrocarburos, la Ley del Sector Hidrocarburos, la Ley de Infraestructura de la Calidad, la Ley General del Equilibrio Ecológico y la Protección al Ambiente, el Reglamento de las Actividades a que se refiere el Título Tercero de la Ley de Hidrocarburos, el Reglamento Interior de la Agencia Nacional de Seguridad Industrial y de Protección al Medio Ambiente del Sector Hidrocarburos, las Normas Oficiales Mexicanas y las Disposiciones administrativas de carácter general competencia de la Agencia y las definiciones siguientes:
5.1.1.    Abolladura: Depresión que provoca una deformación o perturbación en la curvatura de la pared del Ducto sin reducir el espesor de pared del mismo.
5.1.2.    Administración de la integridad: Proceso de mejora continua que incluye la recopilación, revisión, integración y análisis de datos, análisis de Riesgo del Sector Hidrocarburos, inspección y Evaluación de integridad, actividades de mantenimiento y Mitigación, así como evaluación del desempeño del proceso de Administración de integridad.
5.1.3.    Agrietamiento bajo tensión en presencia de sulfuros (SSC, por sus siglas en inglés): Agrietamiento del metal inducido por la acción combinada de esfuerzos de tensión y corrosión en presencia de agua y sulfuro de hidrógeno.
5.1.4.    Agrietamiento inducido por hidrógeno (HIC, por sus siglas en inglés): Agrietamiento contenido en el espesor que ocurre en aceros expuestos a ambientes que generan hidrógeno atómico, mediante la absorción y difusión de hidrógeno y su atrapamiento en sitios preferenciales. Puede manifestarse como ampollas, delaminaciones o agrietamiento escalonado; las grietas individuales por HIC se pueden conectar entre y puede evolucionar como grietas abiertas a la superficie o promover otros mecanismos de daño.
5.1.5.    Agrietamiento por corrosión bajo tensión (SCC, por sus siglas en inglés): Mecanismo de generación y propagación de grietas en un metal, inducido por la acción conjunta de esfuerzos y un ambiente corrosivo externo.
5.1.6.    Área unitaria: Porción de terreno que teniendo como eje longitudinal la tubería de gas, mide 1600 metros de largo por 400 metros de ancho.
5.1.7.    Clase de localización: Área unitaria clasificada de acuerdo con la densidad de población para el diseño de tuberías localizadas en esas áreas.
5.1.8.    Componentes: Conexiones bridadas, codos, válvulas, acoplamientos, accesorios, trampas, entre otros elementos del Ducto.
5.1.9.    Daños por terceros: Deterioro intencional o accidental a un Ducto, provocado o causado por personas distintas a las involucradas en las actividades de operación del Ducto.
5.1.10.   Defecto: Es la indicación de un tipo o magnitud que excede los criterios de aceptación durante la Evaluación de integridad.
5.1.11.   Diablo: Dispositivo con libertad de movimiento que es insertado y enviado a través del Ducto para su inspección y/o limpieza.
5.1.12.   Esfuerzo tangencial: Esfuerzo producido por la presión de un fluido en la pared de un Ducto que actúa circunferencialmente en un plano perpendicular al eje longitudinal del Ducto.
5.1.13.   Estación de compresión: Estación localizada a lo largo de un Sistema de Transporte, la cual tiene como función recomprimir el Gas Natural para mantener su presión y flujo requerido en el Diseño.
5.1.14.   Estación de regulación y/o medición: Instalación destinada a cuantificar el flujo de gas y/o controlar la presión de éste dentro de límites previamente definidos.
5.1.15.   Evaluación de ingeniería: Análisis o diagnóstico a partir de principios de ingeniería que permite establecer las acciones de mejora para preservar las condiciones de operación requeridas para el sistema de transporte, sin demerito de la seguridad y la protección al medio ambiente.
5.1.16.   Evaluación de la integridad: Proceso que incluye la inspección, verificación y Análisis de integridad para establecer los parámetros de severidad como Presión Máxima de Operación Permisible, temperatura máxima de operación permisible y tiempo de vida remanente del Sistema Transporte, para operar dentro de condiciones seguras.
5.1.17.   Franja de seguridad: Sección de terreno para la protección, operación, mantenimiento e inspección de los Ductos.
5.1.18.   Fuera de operación: La desactivación por paro temporal o programado de una instalación, sistema, elemento, accesorio o Componente con el propósito de realizar reparaciones, inspecciones y/o mantenimientos.
5.1.19.   Fuera de servicio: La desactivación por paro definitivo de una instalación, sistema, elemento, accesorio o componente con el propósito de realizar su desincorporación, baja o desmantelamiento.
5.1.20.   Indicación: Es la señal, respuesta o evidencia obtenida por la aplicación de una prueba no destructiva, generada por una alteración, imperfección o discontinuidad.
5.1.21.   Ingeniería básica: Consiste en el diseño de los arreglos generales que son preparados con base en los conceptos de diseño seleccionados durante la fase de ingeniería conceptual. Las especificaciones son preparadas para la cotización de equipos y definir los requerimientos de construcción.
5.1.22.   Ingeniería básica extendida: Esta etapa de la ingeniería se elabora con documentos que constituyen la ingeniería básica de forma tal que permitan desarrollar un plan de ejecución de proyecto requerido para la realización de las fases restantes del proyecto.
5.1.23.   Ingeniería de detalle: Etapa de la ingeniería que consiste en el Diseño definitivo y especificaciones detalladas para cada componente del Sistema de Transporte con base en la Ingeniería básica.
5.1.24.   Libro de proyecto: Compendio de la información generada y documentada por las disciplinas que intervienen e integran un Proyecto.
5.1.25.   Mitigación: Reducción de la probabilidad de ocurrencia y/o consecuencia de un Evento no deseado.
5.1.26.   Presión de Diseño: El valor de la presión a la que se diseña el Sistema de Transporte, de acuerdo con las condiciones máximas requeridas de presión y temperatura esperadas durante su operación, y conforme a las cuales se determinan las especificaciones más estrictas de espesor de pared y de sus componentes.
5.1.27.   Presión Máxima de Operación (PMO): Presión Máxima de funcionamiento real, es la presión más alta a la que opera un Sistema de Transporte por Ducto durante un ciclo normal de operación.
5.1.28.   Presión Máxima de Operación Permisible (PMOP): Es la máxima presión a la cual se puede permitir la operación de un Ducto o Segmento del Sistema de Transporte.
5.1.29.   Resistencia mínima a la cedencia (RMC): Límite de deformación permanente especificado por el fabricante de la tubería, que corresponde al valor del esfuerzo aplicado a un material después del cual éste sufre una deformación sin incremento sensible del esfuerzo.
5.1.30.   Sección: Longitud delimitada por cambios en los atributos del Ducto.
5.1.31.   Segmento: Tramo de un Ducto que tiene las mismas características y especificaciones en función de su ubicación, Clase de localización, servicio, Presión Máxima de Operación, presión interna de diseño, Presión Máxima de Operación Permisible, y/o atributos particulares.
5.1.32.   Sistema de Transporte: Todas las secciones de Ductos terrestres, enterradas y/o sumergidas en cuerpos de agua (ríos, pantanos, lagos, lagunas o presas), equipos, instrumentos, Componentes o dispositivos por los que el Gas Natural y etano fluye y que incluyen, entre otros, válvulas, accesorios unidos al Ducto, estaciones de compresión, estaciones de regulación y/o medición, trampas de envío y recibo de diablos, en su caso.
5.1.33.   Trampa para dispositivos de limpieza e inspección interna (Trampa de diablos): Es la instalación interconectada al Ducto que se utiliza para fines de envío y recibo de dispositivos de inspección o limpieza interna.
5.1.34.   Válvula de seccionamiento: Dispositivo instalado en la tubería para controlar o bloquear el flujo de gas hacia cualquier Sección del Sistema de Transporte.
5.1.35.   Ventear o venteo: Acción de liberar a la atmósfera los gases y vapores de forma controlada que se realiza únicamente con el objeto de mantener las condiciones de seguridad operativa.
5.2.    Unidades y términos abreviados
·    cm         Centímetro
·    m           Metro
·    m3         Metro cúbico
·    mm        Milímetro
·    km         Kilómetro
·    kPa        Kilopascal
·    kV          Kilovoltio
·    °C          Grados Celsius
·    in           Pulgadas
·    K           Grados Kelvin
·    V           Voltio
·    APC       Aprobada Para Construcción
·    ARSH     Análisis de Riesgo para el Sector Hidrocarburos
·    DTI         Diagrama de Tubería e Instrumentación
·    PD         Presión de Diseño
·    RSPA     Revisión de Seguridad de Pre-arranque
·    TMPO     Temperatura Máxima Permisible de Operación
·    TVR        Tiempo de vida remanente
·    UTM       Universal Transversal de Mercator (en inglés Universal Transverse Mercator)
6.     Diseño
6.1.    Selección de la ruta del Ducto
6.1.1.    Para seleccionar la ruta del Ducto se deben tomar en cuenta al menos los factores siguientes:
I.        Seguridad de las personas que se ubiquen cerca de las Instalaciones del Sistema de Transporte;
II.       Evaluación de impacto al medio ambiente tomando en cuenta como mínimo:
a)    Trabajos temporales durante la construcción, reparación, mantenimiento y/o modificación;
b)    Permanencia a largo plazo del Ducto, y
c)    Riesgo por fuga de Gas Natural.
III.      Identificación y evaluación del Riesgo al Ducto por las construcciones y/o instalaciones aledañas que puedan afectar a lo largo de la ruta;
IV.      Identificación y evaluación del Riesgo de las actividades de terceros a lo largo de la ruta que puedan afectar al Ducto;
V.       Instalaciones actuales y futuras, incluidas Instalaciones propias o de otros Sistemas de Transporte, cruces con vías de comunicación, cuerpos de agua, sistemas de drenaje, drenes y obras especiales que afecten la instalación del Ducto;
VI.      Acceso a la ruta;
VII.     Ancho de la ruta;
VIII.    Estudios del suelo para identificar las características geográficas, geológicas, geotécnicas, de corrosividad y topográficas;
IX.      Identificación y localización de tuberías, cables eléctricos (baja, mediana y alta tensión), cables de telecomunicaciones y obstáculos, que puedan afectar la selección de la ruta;
X.       Estudios hidrológicos, y
XI.      No cruzar con Áreas Naturales Protegidas.
6.1.2.    Los factores identificados en el numeral 6.1.1, se deben tomar en cuenta dentro de la franja de 800 m, como mínimo, a cada lado de la ruta del Ducto, considerando las características y requerimientos establecidos en el Diseño, Construcción, Operación y Mantenimiento del Sistema de Transporte, que pueden influir; así como, la presencia de las áreas urbanas e industriales en la ruta.
6.1.3.    Se deben contar con las cartas topográficas y los planos de los levantamientos topográficos realizados durante la selección y trazo de la ruta, cuyas referencias deben estar contenidas en herramientas para Sistemas de Información Geográfica (SIG).
6.2.    Cargas adicionales
         El Regulado debe identificar las cargas externas impuestas al Ducto, relacionadas con el medio ambiente y condiciones operativas, tales como:
I.          Cargas vivas (peso del gas, agua, nieve, hielo, viento, entre otros);
II.         Cargas por tránsito vehicular;
III.        Cargas muertas (peso del Ducto, recubrimientos, rellenos, válvulas y otros accesorios no soportados);
IV.        Esfuerzos provocados por sismos;
V.         Vibración y/o resonancia;
VI.        Esfuerzos provocados por asentamientos o derrumbes en regiones de suelos inestables;
VII.       Efectos de contracción y expansión térmica del Ducto por condiciones internas del fluido y externas ambientales;
VIII.      Movimiento de los equipos conectados al Ducto;
IX.        Esfuerzos por corrientes fluviales o pluviales;
X.         Esfuerzos en los cruces con vías de comunicación;
XI.        Densidad de población cercana al Ducto, y
XII.       Espesor adicional por desgaste natural o margen de corrosión.
6.3.    Clases de localización
6.3.1.    Determinación de las Clases de localización
6.3.1.1.    El Regulado debe determinar las Clases de localización evaluando los posibles daños que afecten al Sistema de Transporte, para garantizar la Seguridad Industrial, Seguridad Operativa, protección al medio ambiente, población y sus bienes.
6.3.1.2.    La zona por donde pase el Ducto se debe dividir en Áreas unitarias continuas para determinar las Clases de localización, las cuales, cuenten con el máximo número de edificaciones destinadas a la ocupación humana acorde a la Clase de localización.
6.3.1.3.    La longitud del Área unitaria podrá reducirse cuando el Regulado justifique la existencia de barreras físicas o de otros factores que limiten la extensión de las zonas con mayor densidad de población de una distancia total menor de 1600 metros.
6.3.2.    Clasificación de las Clases de localización.
6.3.2.1.    El Regulado debe clasificar las Clases de localización con base en la actividad humana, número de construcciones y en la densidad de población por kilómetro cuadrado a lo largo de la ruta del Sistema de Transporte por Ducto, tomando como referencia la información de instituciones oficiales y documentos actuales existentes referentes a censo de población y vivienda, así como, las herramientas para el SIG.
6.3.2.2.    Se deben identificar y clasificar las Clases de localización donde se pretenda ubicar el Ducto, de acuerdo con lo siguiente:
I.     Clase de localización 1. Lugares expuestos a la actividad humana poco frecuente sin presencia humana permanente. Esta Clase de Localización refleja áreas de difícil acceso, como los desiertos y regiones de la tundra.
II.     Clase de localización 2. El Área unitaria que cuenta con diez o menos construcciones ocupadas por personas y/o lugares con una densidad de población inferior a 50 habitantes por kilómetro cuadrado. Esta Clase de Localización refleja áreas como tierras baldías, tierras de pastoreo, tierras agrícolas y otras zonas escasamente pobladas.
III.    Clase de localización 3. El Área unitaria con más de diez y hasta cuarenta y cinco construcciones ocupadas por personas y/o lugares con una densidad de población de 50 personas o más, pero menos de 250 personas por kilómetro cuadrado, con múltiples viviendas, con hoteles o edificios de oficinas donde no más de 50 personas pueden reunirse regularmente y con industrias dispersas. Esta Clase de Localización refleja áreas donde la densidad de población es intermedia entre la Clase de Localización 2 y la Clase de Localización 4, tales como las zonas marginales ubicadas alrededor de las ciudades y pueblos, ranchos y fincas.
IV.   Clase de localización 4. El Área unitaria que cuenta con cuarenta y seis construcciones o más ocupadas por personas y/o lugares con una densidad poblacional de 250 personas o más por kilómetro cuadrado, excepto donde prevalezca una Clase de Localización 5. Esta Clase de Localización refleja zonas donde existan desarrollos urbanos, zonas residenciales, zonas industriales y otras áreas pobladas que no estén incluidas en la Clase de Localización 5.
V.    Clase de localización 5. Cuando además de las condiciones presentadas en una Clase de Localización 4, prevalece alguna de las características siguientes:
a)    Construcciones de cuatro o más niveles incluyendo la planta baja;
b)    Vías de comunicación con tránsito intenso o masivo, o
c)    Instalaciones subterráneas de servicios públicos.
6.3.2.3.    Los requisitos establecidos en la Clase de localización 4 se deben aplicar al Sistema de Transporte ubicado en Clases de localización 2 y 3, cuando existan lugares de reunión pública con concentración de grupos de 20 o más personas tanto en un espacio exterior como en un edificio, tomando en cuenta al menos los siguientes:
I.     Iglesias;
II.     Escuelas;
III.    Edificios de vivienda, y/o
IV.   Hospitales o áreas recreativas.
6.3.3.    Determinación de la PMOP.
6.3.3.1.    Se debe determinar la PMOP a la que opere el Ducto, la cual no debe exceder la PD.
6.3.3.2.    El Ducto que no fue sometido a una prueba hidrostática debe operar a una PMOP con un Esfuerzo tangencial máximo de 60% de su Resistencia mínima de la cedencia (RMC), siempre y cuando, se cumpla con al menos alguna de las condiciones siguientes:
I.     Que sea inspeccionado para determinar el espesor mínimo cada 1 km;
II.     Que conserve sus condiciones de integridad mecánica en toda su trayectoria;
III.    Que el ascenso de la presión sea de forma gradual en un 10% cada hora, y/o
IV.   Que esté sujeto a un programa de administración de integridad mecánica inmediata y futura, con base en estudios de inspección.
6.3.4.    Profundidad mínima
6.3.4.1.    El Regulado debe seleccionar la profundidad mínima de un Ducto enterrado, tomando como referencia la distancia entre la parte superior del Ducto y el terreno terminado, de conformidad con lo establecido en la Tabla 1.
Tabla 1.- Profundidad mínima
Localización
Suelo normal
Roca consolidada
Centímetros (al lomo del Ducto)
Clase de localización 1, 2 y 3
60
45
Clase de localización 4 y 5
75
60
Cruzamiento con carreteras y zanjas de drenaje en
caminos públicos
90
60
Cruces de ferrocarril
120
120
 
6.3.4.2.    El Ducto debe ser diseñado para soportar cargas externas, tomando en cuenta una protección adicional y/o una profundidad mayor de enterrado, en las áreas donde se identifique lo siguiente:
I.     Actividades agrícolas que requieran de arado profundo;
II.     Áreas sujetas a erosión, y
III.    Construcción de carreteras, vías de ferrocarril, entre otras.
6.3.4.3.    El Ducto debe diseñarse para instalarse a una profundidad de cubierta mínima de 180 cm en suelo normal o 60 cm en roca consolidada, en los casos siguientes:
I.     Ríos navegables;
II.     Cuerpos de agua, cauces perennes e intermitentes, canales y/o
III.    Puertos marítimos.
6.4.    Separación con otras Instalaciones
6.4.1.    Los Ductos que se ubiquen dentro de una misma zanja deben cumplir como mínimo con una separación de 1 m de paño a paño.
6.4.2.    Cuando se requieran ubicar Ductos en diferentes zanjas, deben tener como mínimo una separación de 2 m de paño a paño.
6.4.3.    En caso de que existan factores que impidan cumplir con las distancias mínimas de separación entre Ductos, se debe realizar un estudio que demuestre que las distancias seleccionadas no afectan los sistemas de control de corrosión de los Ductos, dicho estudio debe tomar en cuenta al menos lo siguiente:
I.     Cargas impuestas al Ducto;
II.     Identificación de la ubicación del Ducto;
III.    Estabilidad del terreno;
IV.   Canalizaciones de líneas eléctricas, y
V.    Interferencia de corrientes eléctricas de otros sistemas de protección catódica.
6.4.4.    El Sistema de transporte debe disponer de vías que permitan el acceso a las instalaciones siguientes:
I.     Válvulas de seccionamiento superficiales y/o enterradas, y cruces aéreos;
II.     Estaciones de regulación y/o medición;
III.    Trampas de diablos, y
IV.   Estaciones de compresión.
6.4.5.    Para prevenir incidentes y accidentes que generen un Riesgo a la población, al medio ambiente y al Ducto, se deben identificar y analizar las construcciones aledañas tomando en cuenta al menos las siguientes:
I.     Áreas de almacenamiento de sustancias inflamables o peligrosas;
II.     Derechos de vía y/o franjas de seguridad de otros servicios;
III.    Edificaciones, y/o
IV.   Zonas urbanas.
6.4.6.    La Franja de seguridad del Ducto debe cumplir como mínimo con lo siguiente:
I.     No invadir derechos de vía de otros servicios como carreteras o vías férreas; excepto cuando la Franja de seguridad del Ducto sea compartida con otros Ductos o cuando por la ubicación del usuario final del Sistema de Transporte, se ubique en una zona urbana y/o parques industriales, en este caso se deben solicitar las autorizaciones a las dependencias y concesionarias correspondientes;
II.     Ubicarse a una distancia mínima de 10 m de cualquier edificación, para proporcionar una zona de amortiguamiento y de maniobras de emergencia;
III.    Ubicarse a no menos de 15 m de cualquier instalación donde se almacenen sustancias peligrosas o inflamables, y
IV.   Ubicarse a más de 50 m de centros de concentración pública, entre otros:
a)    Hospitales;
b)    Escuelas;
c)    Guarderías;
d)    Salas de concierto;
e)    Iglesias;
f)     Centros de convención;
g)    Parques recreativos, y/o
h)    Centros comerciales.
6.4.7.    Si los Ductos se ubican cerca de líneas de transmisión eléctrica, el Regulado debe cumplir con al menos lo siguiente:
I.     Establecer medidas para evitar o reducir las corrientes de falla resultado de descargas eléctricas o anomalías de equipo eléctrico que generen condiciones de Riesgo al personal, a la población o daño al Ducto, tomando en cuenta al menos las instalaciones siguientes:
a)    Aterrizaje de las estructuras de líneas de transmisión eléctrica;
b)    Subestaciones eléctricas;
c)    Centrales de generación eléctrica, y
d)    Redes de tierras con elevadas corrientes de falla.
II.     Establecer medidas para reducir y/o mitigar los niveles del potencial eléctrico en el Ducto paralelo a líneas de transmisión, y
III.    Establecer medidas para evitar el paralelismo y cercanía a líneas de transmisión eléctrica, en caso de que esto no sea posible, establecer las medidas para reducir y/o mitigar la corrosión debido a la interferencia con el Sistema de protección catódica (SPC).
6.4.8.    La separación de un Ducto entre la base o el sistema de tierras de la torre de transmisión eléctrica debe cumplir como mínimo con las distancias siguientes:
I.     15 m para líneas de transmisión de 400 kV, y
II.     10 m para líneas de transmisión de 230 kV o menores.
6.4.9.    Cuando se presenten factores que impidan cumplir con las distancias mínimas establecidas en el numeral 6.4.8, la distancia debe ser superior o igual a 3 m y se debe realizar un estudio antes y después de la instalación del Ducto, para reforzar el recubrimiento dieléctrico donde se requiera.
6.5.    Selección de materiales del Ducto.
6.5.1.    Requisitos de la selección
            Los materiales de la tubería y sus Componentes deben cumplir con al menos los requisitos siguientes:
I.     Mantener su integridad estructural y propiedades mecánicas de acuerdo con las condiciones de operación y ambientales, y
II.     Tener propiedades fisicoquímicas resistentes al producto transportado.
6.5.2.    Tubería de acero al carbono
6.5.2.1.    La tubería se debe seleccionar de acuerdo con lo establecido en el numeral 814.1.1 del código ASME B31.8, vigente o aquel que lo modifique o sustituya, o su equivalente.
6.5.2.2.    El espesor mínimo de pared del Ducto se debe calcular de conformidad con lo establecido en la ecuación siguiente:

Donde:
t = Espesor de pared mínimo requerido, en mm.
P = Presión de Diseño, en kPa.
S = RMC en kPa de conformidad con lo establecido en el numeral 841.1.4 del Código ASME B31.8 vigente o aquel que lo modifique o sustituya, o su equivalente. Las resistencias mínimas especificadas de algunos de los aceros para tuberías más comunes se encuentran establecidas en el Apéndice D del Código ASME B31.8, vigente o aquel que lo modifique o sustituya, o su equivalente.
D = Diámetro exterior especificado para la tubería, en mm.
F = Factor de diseño determinado con base en lo establecido en la Tabla 2.
E = Factor de eficiencia de junta longitudinal determinado con base en lo establecido en la Tabla 3.
T = Factor de reducción de temperatura determinado con base en lo establecido en la Tabla 4.
Tabla 2.- Factor de diseño por densidad de población
Clase de Localización
1
2
3
4
5
Ruta general
0.77
0.77
0.67
0.55
0.45
Cruces e invasiones paralelas. Caminos secundarios
0.77
0.77
0.67
0.55
0.45
Cruces e invasiones paralelas. Caminos principales, vías de ferrocarril, canales, ríos, y lagos
0.67
0.67
0.67
0.55
0.45
Trampas de diablos
0.67
0.67
0.67
0.55
0.45
Ducto principal en estaciones y terminales
0.67
0.67
0.67
0.55
0.45
Construcciones especiales, como ensambles fabricados y Ducto en puentes
0.67
0.67
0.67
0.55
0.45
 
Tabla 3.- Factor de eficiencia de junta longitudinal soldada (E)
Especificación
Clase de Ducto
Factor de junta
longitudinal (E)
ASTM A53
Sin costura
Soldadura por resistencia eléctrica
Soldadura a tope en horno: Soldadura continua
1.00
1.00
0.60
ASTM A106
Sin costura
1.00
ASTM A134
Soldadura por fusión eléctrica
0.80
ASTM A135
Soldadura por resistencia eléctrica
1.00
ASTM A139
Soldadura por fusión eléctrica
0.80
ASTM A333
Sin costura
Soldadura por resistencia eléctrica
1.00
1.00
ASTM A381
Soldadura con doble arco sumergido
1.00
ASTM A671
Soldadura por fusión eléctrica
Clases 13, 23, 33, 43 y 53
Clases 12, 22, 32, 42 y 52
 
0.80
1.00
ASTM A672
Soldadura por fusión eléctrica
Clases 13, 23, 33, 43 y 53
Clases 12, 22, 32, 42 y 52
 
0.80
1.00
ASTM A691
Soldadura por fusión eléctrica
Clases 13, 23, 33, 43 y 53
Clases 12, 22, 32, 42 y 52
 
0.80
1.00
API 5L
Soldadura por resistencia eléctrica
Sin costuras
Soldadura con arco sumergido
Soldadura a tope en horno
Soldadura combinada
1.00
1.00
1.00
0.60
1.00
 
Tabla 4.- Factor de reducción por temperatura (T)
Temperatura del gas
K (°C)
T
394.26 o menor (121 °C)
1.000
*422.03 (149 °C)
0.967
* 449.81 (177 °C)
0.933
* 477.59 (204 °C)
0.900
* 505.37 (232 °C)
0.867
(*) Para temperaturas intermedias del gas, el factor de corrección por temperatura se determina por interpolación directa.
6.5.2.3.    Cuando se utilice un factor de diseño superior a 0.77, se debe cumplir con lo establecido en el Apéndice C (Normativo).
6.5.2.4.    El Regulado debe seleccionar el espesor de pared adicional derivado de las cargas identificadas en el numeral 6.2, cuando se requiera.
6.5.2.5.    La PD del Ducto se debe calcular de conformidad con lo establecido en la ecuación siguiente:

P = Presión de Diseño, en kPa.
S = RMC en kPa de conformidad con lo establecido en el numeral 841.1.4 del Código ASME B31.8, vigente o aquel que lo modifique o sustituya, o su equivalente. Las resistencias mínimas especificadas de algunos de los aceros para tuberías más comunes se encuentran establecidas en el Apéndice D del Código ASME B31.8, vigente o aquel que lo modifique o sustituya, o su equivalente.
D = Diámetro exterior nominal de la tubería, en mm.
t = Espesor de pared mínimo requerido, en mm.
T = Factor de reducción de temperatura determinado con base en lo establecido en la Tabla 4.
F = Factor de diseño determinado con base en lo establecido en la Tabla 2.
E = Factor de eficiencia de junta longitudinal determinado con base en lo establecido en la Tabla 3.
6.5.2.6.    El espesor del Ducto seleccionado debe ser mayor que el espesor requerido por diseño.
6.5.2.7.    El Esfuerzo tangencial máximo permitido se debe calcular de conformidad con lo establecido en la ecuación siguiente:

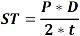
Donde:
ST = Esfuerzo tangencial máximo permitido en kPa.
P = Presión Máxima de Operación (PMO) en kPa.
D = Diámetro exterior del Ducto en mm.
t = Espesor de pared mínimo requerido en mm.
6.5.2.8.    El porcentaje de la Resistencia mínima de cedencia (RMC) se debe calcular de conformidad con lo establecido en la ecuación siguiente:

Donde:
ST = Esfuerzo tangencial máximo permitido en kPa.
RMC = Resistencia mínima de cedencia en kPa.
6.5.3.    Tubería de polietileno
6.5.3.1.    La tubería de polietileno seleccionada en el diseño del Ducto debe cumplir con lo establecido en la NMX-X-043-SCFI-2017 o con el numeral 1, inciso a, del 814.1.3 del Código ASME B31.8, vigente o aquel que lo modifique o sustituya, o su equivalente.
6.5.3.2.    Cuando se utilice tubería de polietileno la PD debe ser 10% mayor que la Presión Máxima de Operación (PMO), y se debe calcular mediante alguna de las ecuaciones siguientes:

o

Donde:
P = Presión de Diseño en kPa.
S = Resistencia hidrostática a largo plazo en kPa, determinada a una de las siguientes temperaturas: 296 K, 311 K, 322 K, 333 K o 355 K la cual debe ser la inmediata superior a la temperatura de operación del Ducto.
t = Espesor de pared especificado del Ducto en mm (in).
D = Diámetro exterior especificado del Ducto en mm (in).
SDR = Relación de dimensión estándar, la relación entre el diámetro exterior promedio especificado y el espesor de pared mínimo especificado en mm (in).
6.5.3.3.    La PD de la tubería de polietileno debe ser igual o menor a la presión manométrica de 689 kPa.
6.5.3.4.    No se debe usar Ducto de polietileno cuando la temperatura de operación del material sea menor de 244 K, o mayor que la temperatura a la cual se determinó la resistencia hidrostática a largo plazo (S) en el cálculo de la PD y en ningún caso puede exceder los 355 K.
6.5.4.    Tubería de poliamida sin plastificante
6.5.4.1.    La tubería seleccionada en el diseño del Ducto debe cumplir con lo establecido en la NMX-X-047-SCFI-2014 o con el numeral 2, inciso a, del 814.1.3 del código ASME B31.8, vigente o aquel que lo modifique o sustituya, o su equivalente.
6.5.4.2.    Cuando se utilice tubería de poliamida sin plastificante la PD debe ser 10% mayor que la Presión Máxima de Operación (PMO), y se debe calcular mediante alguna de las ecuaciones siguientes:

o

Donde:
P = Presión de Diseño en kPa.
S = Resistencia hidrostática a largo plazo en kPa, determinada a una de las siguientes temperaturas: 296 K, 311 K, 322 K, 333 K o 355 K la cual debe ser la inmediata superior a la temperatura de operación del Ducto.
t = Espesor de pared especificado del Ducto en mm (in).
D = Diámetro exterior especificado del Ducto en mm (in).
SDR = Relación de dimensión estándar, la relación entre el diámetro exterior promedio especificado y el espesor de pared mínimo especificado en mm (in).
6.5.4.3.    La PD de la tubería de poliamida sin plastificante debe ser igual o menor a los 1,723 kPa.
6.5.4.4.    Se puede utilizar tubería de poliamida sin plastificante cuando la temperatura de operación del material sea menor de 233 K, o mayor que la temperatura 355 K.
6.5.5.    Componentes del Ducto
6.5.5.1.    Válvulas para el sistema del transporte
6.5.5.1.1.    Las válvulas seleccionadas en el Diseño del Ducto deben cumplir con lo establecido en el numeral 831.1 del código ASME B31.8, vigente o aquel que lo modifique o sustituya, o su equivalente.
6.5.5.1.2.    La distancia máxima de Válvula a Válvula de seccionamiento del Ducto se debe determinar con base en las Clases de localización a lo largo de su trayectoria, de acuerdo con lo establecido en la tabla 5.
Tabla 5.- Distancia máxima entre Válvulas de
seccionamiento.
Clase de localización
Distancia (km)
1 y 2
32
3
24
4
16
5
8
 
6.5.5.1.3.    La distancia entre Válvulas de seccionamiento debe ser modificada en caso de que se identifiquen restricciones físicas, condiciones de Riesgo o de accesibilidad, para que estas sean instaladas en lugares de libre acceso.
6.5.5.1.4.    Las Válvulas de seccionamiento deben ser instaladas en:
I.        Ubicaciones con base en las recomendaciones del ARSH;
II.       Entradas y salidas de la Estación de compresión;
III.      Cada conexión de un ramal al Ducto principal, de manera que su ubicación sea lo más cercana a este, y
IV.      En zonas donde la mancha urbana o la edificación habitacional, comercial o industrial se desarrolle a distancias menores del ancho mínimo de la Franja de seguridad del Ducto o en su caso, que invadan la Franja de seguridad, determinando el espaciamiento entre válvulas.
6.5.5.1.5.    En zonas de acceso limitado al Ducto se deben instalar Válvulas de seccionamiento automáticas o de operación remota.
6.5.5.1.6.    Las Válvulas de seccionamiento y sus dispositivos deben cumplir al menos con lo siguiente:
I.        Localizarse en lugares accesibles;
II.       Estar protegidas contra daños originados por la naturaleza y/o manipulaciones de terceros no autorizadas;
III.      Contar con soportes para evitar movimientos en el Ducto, y
IV.      Ubicarse fuera de derechos de vía de terceros.
6.5.5.1.7.    La Sección del Ducto que se encuentre entre Válvulas de seccionamiento debe contar con una válvula de desfogue que permita la operación del Ducto.
6.5.5.1.8.    El desfogue de la válvula debe ser dirigido de tal manera que el gas pueda ser liberado a la atmósfera sin que se presente un Riesgo para la población o zonas vulnerables.
6.5.5.1.9.    Si el Ducto se encuentra adyacente a una línea de transmisión eléctrica, el desfogue se debe situar a una distancia igual o superior a las distancias mínimas de seguridad, establecidas en el numeral 6.4.8.
6.5.5.1.10.   Se debe contar con dispositivos de relevo o de limitaciones de presión cuando el Ducto se encuentre conectado a un compresor o a una fuente de gas donde la falla del control de presión o de algún otro tipo de falla, puedan resultar en una presión que exceda la PMOP.
6.5.5.1.11.   Los dispositivos de relevo y de limitación de presión, deben cumplir al menos con lo siguiente:
I.        El dimensionamiento, selección e instalación debe cumplir con la normatividad vigente, códigos y estándares nacionales e internacionales aplicables;
II.       Materiales resistentes a la corrosión;
III.      Estar instalados sin restricciones físicas o de accesibilidad y protegidos;
IV.      Contar con soportes de material no combustible;
V.       Estar localizados donde el gas pueda descargarse a la atmósfera sin Riesgos a la población o zonas vulnerables, evitando la acumulación de agua, hielo o nieve, que limiten su funcionamiento;
VI.      Evitar la vibración;
VII.     Diseñarse para que en caso de accionamiento el gas se libere hacia la atmósfera (arriba) y mantenga su capacidad de desfogue, y
VIII.    Instalarse con una válvula de bloqueo que facilite:
a)    Sustitución por fallas durante la operación, y
b)    Mantenimiento y pruebas.
6.5.5.2.    Bridas
6.5.5.2.1.    Las bridas seleccionadas en el diseño del Ducto deben cumplir con lo establecido en el numeral 831.2 del código ASME B31.8, vigente o aquel que lo modifique o sustituya, o su equivalente.
6.5.5.2.2.    Los ensambles bridados deben resistir la PMOP del Ducto y mantener sus propiedades mecánicas, físicas y químicas a la temperatura de operación establecida en el Diseño.
6.5.5.3.    Conexiones para ramales
              Las conexiones diferentes a válvulas y bridas seleccionadas en el diseño del Ducto deben cumplir con lo establecido en el numeral 831.3 y 831.4 del código ASME B31.8, vigente o aquel que lo modifique o sustituya, o su equivalente.
6.5.5.4.    Accesorios
6.5.5.4.1.    Los accesorios seleccionados en el diseño del Ducto deben cumplir con lo establecido en el numeral 831.3.1 del código ASME B31.8, con la norma ISO 15590-2, vigentes o aquellos que lo modifiquen o sustituyan, o sus equivalentes.
6.5.5.4.2.    El espesor de pared de los accesorios roscados debe ser igual o mayor al especificado para las presiones y temperaturas establecidas en el diseño.
6.5.5.4.3.    Los accesorios de acero soldable a tope deben ser de material compatible o equivalente al del Ducto, y soportar la presión y temperatura de Diseño.
6.5.5.4.4.    Los accesorios de polietileno seleccionados en el diseño del Ducto deben cumplir con lo establecido en la NMX-X-043-SCFI-2017 o con ASTM D2513 o con ISO 4437-3, vigentes o aquellos que lo modifiquen o sustituyan, o sus equivalentes.
6.5.5.4.5.    Los accesorios de poliamida sin plastificante seleccionados en el diseño del Ducto deben cumplir con lo establecido en la NMX-X-047-SCFI-2014 o con ASTM F2945 o con ISO 16486-3, vigentes o aquellos que lo modifiquen o sustituyan, o sus equivalentes.
6.5.5.5.    Soportes y anclajes
6.5.5.5.1.    El Ducto, sus equipos y Componentes deben contar con soportes y anclajes, que cumplan con al menos lo siguiente:
I.        Resistir fuerzas derivadas de la expansión, contracción y peso del Ducto;
II.       Soportar esfuerzos excesivos cuando el Ducto esté conectado a equipos en operación;
III.      Resistir fuerzas longitudinales causadas por una flexión o desviación del Ducto;
IV.      Evitar o amortiguar la vibración excesiva, y
V.       Resistir cambios súbitos de presión.
6.5.5.5.2.    Se debe seleccionar el método de instalación de los soportes y anclajes, que permita la inspección visual para detectar la corrosión externa y el desgaste entre la tubería y el soporte o anclaje del Ducto.
6.5.5.5.3.    Si el Ducto superficial se diseñó para operar con un esfuerzo circunferencial menor al 50% de la RMC, los soportes o anclajes pueden soldarse directamente a la tubería.
6.5.5.5.4.    Si el Ducto superficial se diseñó para operar con un esfuerzo circunferencial igual o mayor al 50% de la RMC, los soportes o anclajes deben soldarse a un elemento que rodeé la circunferencia del Ducto donde sean instalados.
6.5.5.5.5.    La conexión con el elemento que rodea la circunferencia del Ducto se debe realizar mediante soldaduras continuas o mediante el uso de una conexión mecánica, atornillada o con abrazaderas.
6.5.5.5.6.    Los soportes y anclajes del Ducto superficial deben ser diseñados de material no combustible resistente a las condiciones físicas y químicas del entorno, y contar al menos con las características siguientes:
I.        Instalarse de manera que no interfieran con la expansión y contracción del Ducto;
II.       Cumplir con las condiciones de operación para no generar un daño al Ducto, y
III.      Que no se desacoplen con el movimiento del Ducto.
6.6.    Registros
6.6.1.    Los registros subterráneos diseñados para las válvulas, estaciones de relevo de presión o de regulación, deben cumplir como mínimo con lo siguiente:
I.        Resistir las cargas externas que se puedan presentar para proteger el equipo instalado;
II.       Contar con el espacio que permita acceder, instalar, operar y mantener el equipo;
III.      Construirse de manera que los Ductos que se encuentren dentro de un registro, sean de acero para diámetros de 254 mm (10 in) o menores, exceptuando la tubería de control e instrumentación que puede ser de cobre;
IV.      Cuando un Ducto cruce la estructura del registro, se debe evitar el paso de gases o líquidos a través de la abertura y deformaciones en el Ducto;
V.       En caso de contar con equipo eléctrico, este debe cumplir con los requerimientos mínimos establecidos en la normatividad vigente, códigos y estándares nacionales e internacionales aplicables;
VI.      Impedir y/o reducir la entrada de agua, y
VII.     Contar con estructuras para el ascenso y descenso seguro.
6.6.2.    Los registros subterráneos para válvulas, estaciones de relevo de presión o de regulación, deben estar localizados en lugares accesibles, fuera de derechos de vía de terceros y lo más alejado posible de:
I.        Cruzamientos de calles o puntos donde el tránsito sea pesado o denso;
II.       Puntos de elevación mínima, cuencas de recolección o lugares donde la cubierta de acceso se encuentre en cauces de aguas superficiales, y/o
III.      Instalaciones eléctricas, de agua, telefónicas y/o ductos de vapor.
6.6.3.    Los registros subterráneos o fosas de techo cerrado para válvulas, estaciones de relevo de presión o de regulación, deben estar sellados, venteados o ventilados tomando en cuenta al menos, lo siguiente:
I.        Cuando el volumen interno exceda los 5.7 m3 deben contar con ventilación mediante dos conductos de 100 mm (4 in) de diámetro, a una altura que permita la descarga y dispersión del gas;
II.       Cuando el volumen interno sea mayor de 2.1 m3 pero menor de 5.7 m3, se debe tomar en cuenta al menos lo siguiente:
a)    Si están sellados, todas las aberturas deben estar equipadas con cubiertas de ajuste hermético y se debe contar con las herramientas o equipos, y procedimientos que permitan medir la concentración explosiva interna antes de retirar la cubierta, y
b)    Si cuentan con venteos, se debe evitar que fuentes externas de ignición alcancen la atmósfera explosiva y puedan presentar un Riesgo a la población y zonas vulnerables.
III.      Si está ventilado mediante aberturas en la cubierta o rejilla, y la relación entre el volumen interno del registro y el área de ventilación efectiva de la cubierta o rejilla es igual o menor que 20 a 1, no se requiere ventilación adicional.
6.6.4.    El registro que contenga un Ducto no debe estar conectado al drenaje u otra estructura subterránea.
6.7.    Estaciones de compresión
6.7.1.    Las Estaciones de compresión deben estar ubicadas dentro de las instalaciones que estén bajo el control del operador responsable del Sistema de Transporte.
6.7.2.    La estación debe situarse en un área que permita el libre movimiento del equipo móvil contra incendio y de atención a emergencia, y que cuente con superficies de rodamiento las cuales deben tener un ancho mínimo de 3 m, libres de obstáculos y maleza.
6.7.3.    La Estación de compresión debe ser diseñada y estructurada con materiales no combustibles.
6.7.4.    La Estación de compresión debe contar con al menos dos salidas de emergencia hacia un área segura, las cuales deben estar separadas y libres de obstáculos.
6.7.5.    La distancia máxima desde cualquier punto de operación en la Estación de compresión hasta una salida segura debe ser igual o menor a 23 m medidos a lo largo de la línea central de pasillos.
6.7.6.    El cerrojo de las puertas de salida de emergencia se debe accionar rápidamente desde el interior sin necesidad de una llave, teniendo apertura hacia afuera del recinto y contar con barras de pánico.
6.7.7.    La cerca perimetral de la Estación de compresión debe contar con al menos, dos puertas que faciliten la salida a un lugar seguro o contar con otras vías alternas de escape y estar localizadas a una distancia máxima de 61 m medidos desde dentro la Estación de compresión, teniendo apertura sin necesidad de llave desde el interior hacia afuera y sin obstrucciones.
6.7.8.    El equipo eléctrico y la instalación del alumbrado en las Estaciones de compresión deben cumplir con los requerimientos para protección de Riesgos en áreas peligrosas clasificadas de acuerdo con lo establecido en la NOM-001-SEDE-2012.
6.7.9.    Se debe contar con tanque(s) separador(es) para evitar la entrada de líquidos al compresor debido a la condensación de vapores contenidos en el Gas Natural, bajo condiciones previstas de presión y temperatura, o al arribo accidental de líquidos con la corriente de Gas Natural.
6.7.10.   Los tanques separadores usados para remover líquidos entrampados en una Estación de compresión deben cumplir con al menos lo siguiente:
I.        Contar con medios de operación automáticos o manuales para remover los líquidos;
II.       Contar con dispositivos de paro automático del compresor;
III.      Contar con alarma de alto nivel de líquido, y
IV.      Estar diseñados y fabricados de conformidad con lo establecido en el código ASME BPVC.VIII.1, vigente o aquel que lo modifique o sustituya, o su equivalente.
6.7.11.   Las Estaciones de compresión deben contar con dispositivos para efectuar el Paro por Emergencia de la estación; así como, con válvulas de corte de activación remota o automática para la protección de la Instalación.
6.7.12.   Las válvulas de corte de activación remota o automática deben cerrar en presencia de fuego y estar protegidas mediante aislante térmico o pintura intumescente; así como, contar con un sistema de enfriamiento previsto en el diseño del sistema contra incendio.
6.7.13.   El sistema de paro por emergencia debe cumplir, como mínimo las siguientes acciones:
I.        Realizar el paro de equipos de compresión en forma segura;
II.       Bloqueo del gas que entra o sale de la estación dependiendo de la filosofía de operación;
III.      Descarga del gas por medio del Ducto de desfogue a un cabezal de venteo a la atmósfera, a un quemador o a un equipo de destrucción o de reinyección al Sistema de Transporte, bajo condiciones seguras;
IV.      Evitar el bloqueo de los circuitos eléctricos que abastecen el alumbrado de emergencia y los equipos que requieran permanecer energizados, y
V.       Accionar por lo menos desde dos localizaciones, las cuales deben cumplir como mínimo con los criterios siguientes:
a)    Estar ubicadas fuera del área de compresores;
b)    Estar ubicadas cerca de las puertas de salida, si la Estación de compresión está cercada;
c)    Estar ubicadas cerca de las puertas de salida de emergencia si la estación no está cercada, y
d)    Estar ubicadas como máximo a 150 m de los límites de las áreas operativas tales como: edificios, instalaciones y áreas, en los que se realizan actividades que tienen relación con la Estación de compresión.
6.7.14.   El Regulado debe contar con un Sistema Instrumentado de Seguridad (SIS) que permita identificar las condiciones de operación de la Estación de compresión y que actúe para proteger la Instalación, el cual debe ubicarse y estar protegido, de acuerdo con las recomendaciones derivadas del ARSH.
6.7.15.   Las Estaciones de compresión deben contar con dispositivos de relevo de presión o dispositivos de protección, para que estas no excedan del 10 % sobre la PMOP del Ducto y del equipo de la estación.
6.7.16.   Las líneas de venteo que liberen el Gas Natural de las válvulas de relevo de presión de una Estación de compresión deben extenderse hasta un lugar donde el Gas Natural pueda ser venteado a la atmósfera, a un quemador o a un equipo de destrucción o de reinyección al Sistema de Transporte, bajo condiciones seguras.
6.7.17.   La Estación de compresión debe contar con equipos de prevención, protección y de atención a emergencias, tomando en cuenta al menos lo siguiente:
I.        Sistema de protección contra incendio portátil, móvil o fijo;
II.       Sistema de paro por emergencia por:
a)    Sobrevelocidad del motor del compresor, excepto en motores de inducción eléctrica o sincrónicos;
b)    Baja o alta presión del combustible;
c)    Falla por enfriamiento, y/o
d)    Falla por lubricación.
III.      Dispositivos de cierre automático de alimentación de gas en los motores a inyección;
IV.      Dispositivos de enfriamiento del múltiple de distribución al paro del motor, y
V.       Los silenciadores de los motores de gas deben contar con ranuras u orificios de ventilación en los difusores de cada compartimento para evitar que el gas quede atrapado en el silenciador.
6.7.18.   Los edificios de las Estaciones de compresión deben contar con ventilación natural o mecánica para que el personal no esté en Riesgo por la acumulación de Gas Natural en los cuartos, sótanos, áticos, fosas u otros lugares cerrados.
6.8.    Estaciones de regulación y/o medición
6.8.1.    Distancias de seguridad
            Las Estaciones de regulación y/o medición ubicadas fuera de áreas peligrosas deben cumplir con las distancias mínimas perimetrales de protección establecidas en la Tabla 6.
Tabla 6.- Distancias mínimas de protección
Concepto
metros
Caminos o calles con paso de vehículos
5
Concentración de personas
5
Fuentes de ignición
5
Motores eléctricos
5
Subestaciones eléctricas
5
Torres de alta tensión
10
Vías de ferrocarril
10
Almacenamiento de materiales peligrosos
15
 
6.8.2.    Obra civil
6.8.2.1.    Las Estaciones de regulación y/o medición deben ubicarse en lugares de fácil acceso y fuera de zonas inundables o aquellas en las que pueda haber acumulación de Gas Natural en caso de fuga.
6.8.2.2.    La Estación de regulación y/o medición debe cumplir con los requisitos siguientes:
I.        Diseñarse con materiales no combustibles;
II.       Construirse en función de las dimensiones del Ducto y prever el espacio necesario para la protección de los equipos e instrumentos que permita las actividades de Operación y Mantenimiento;
III.      Contar con ventilación cruzada a favor de los vientos dominantes para evitar acumulación de Gas Natural;
IV.      Contar con cerca perimetral;
V.       Contar con puertas para el acceso y evacuación del personal y del equipo, y
VI.      Contar con accesos para atención a emergencias.
6.8.3.    Instalación Eléctrica
            La instalación eléctrica de la Estación de regulación y/o medición debe contar con los planos requeridos para la instalación aprobados por una unidad de inspección de Instalaciones Eléctricas acreditada y aprobada en la NOM-001-SEDE-2012.
6.8.4.    Obra Mecánica
            La Estación de regulación y/o medición debe cumplir al menos con los requisitos siguientes:
I.        Contar con una Válvula de seccionamiento en el Ducto de alimentación que cumpla con las características siguientes:
a)       Estar ubicada en un lugar accesible y protegida contra daños de terceros;
b)       Operar de acuerdo con las especificaciones del fabricante;
c)       Estar soportada mecánicamente para prevenir esfuerzos en el Ducto de acuerdo con lo establecido en el numeral 6.5.5.5, y
d)       Estar diseñada para que la presión de operación sea menor que la PD del Ducto.
II.       Contar con tanque(s) separador(es) de líquidos antes de la medición y regulación, en caso de requerirse;
III.      Contar con líneas de desvío (bypass) para llevar a cabo el mantenimiento sin necesidad de interrumpir el suministro de Gas Natural;
IV.      Contar con dispositivos de seguridad para evitar una sobrepresión;
V.       Cuando se cuente con válvulas de seguridad, el venteo debe prolongarse hasta una altura que permita Ventear el Gas Natural a la atmósfera, a un quemador o a un equipo de destrucción o de reinyección al Sistema de Transporte, bajo condiciones seguras;
VI.      Los procedimientos de soldadura empleados deben cumplir con lo establecido en la normatividad vigente, códigos y estándares nacionales e internacionales aplicables;
VII.     Contar con una altura mínima de 0.65 m tomando como referencia la parte inferior del Ducto y el nivel de piso, para permitir el acceso para mantenimiento;
VIII.    Para Estaciones de regulación y/o medición compactas en gabinete, la parte inferior del Ducto deben tener una altura mínima de 0.25 m sobre el nivel del piso;
IX.      El Ducto y sus accesorios que se encuentren enterrados deben contar con un sistema de control de corrosión, de acuerdo con lo establecido en el Apéndice A (Normativo);
X.       El Ducto y sus accesorios que se encuentren en la superficie deben contar con un sistema de control de corrosión de acuerdo con lo establecido en el numeral A.3.5 del Apéndice A (Normativo);
XI.      Contar con válvulas de bloqueo en las conexiones para la instalación de instrumentos, y
XII.     Contar con los Diagramas de Tubería e Instrumentación (DTI) actualizados.
6.8.5.    Reguladores de presión
            Los reguladores seleccionados en el Diseño deben cumplir al menos con los siguientes requisitos:
I.        La PD del regulador de presión debe ser superior a la PMOP en la Estación de regulación y/o medición;
II.       El diámetro del Ducto que se conecta al regulador de presión debe ser igual que el diámetro de las conexiones de este;
III.      La instalación del regulador de presión, debe realizarse de acuerdo con las recomendaciones del fabricante;
IV.      Por necesidades operativas se puede diseñar con uno o más pasos de regulación para disminuir o controlar la presión;
V.       Contar con dispositivos de seguridad para evitar una sobrepresión;
VI.      En caso de que la reducción de presión ocasione congelamiento en lo reguladores de presión, éstos deben contar con elementos para evitarlo, y
VII.     Contar con filtros para retener partículas sólidas que pueda arrastrar el Gas Natural.
6.8.6.    Medidores
6.8.6.1.    La Estación de regulación y/o medición debe contar con medidores para llevar a cabo la medición de al menos las variables siguientes:
I.        Flujo;
II.       Presión, y
III.      Temperatura.
6.8.6.2.    Los medidores deben seleccionarse de acuerdo con los estándares nacionales o internacionales aplicables, así como con la normatividad vigente y códigos de referencia aplicables.
6.9.    Trampa para dispositivos de limpieza e inspección interna (Trampa de diablos)
6.9.1.    Se debe contar con Trampas de diablos para enviar y recibir dispositivos de limpieza e inspección interior del Ducto, las cuales deben cumplir con las especificaciones de los numerales 6.5.5.2, 6.5.5.4 y 6.5.5.5, así como con la normatividad vigente, códigos y estándares nacionales e internacionales aplicables.
6.9.2.    Las Trampas de diablos y sus conexiones deben cumplir con lo establecido en el numeral 6.5.5.3.
6.9.3.    Lo anteriormente señalado en el numeral 6.9.1 no es aplicable a:
I.        Ductos de proceso en estaciones de compresión, medición y/o regulación;
II.       Ductos asociados con las Instalaciones de recepción o entrega;
III.      Diámetros de Ducto para los cuales no existe un dispositivo instrumentado de inspección interna, y
IV.      Ductos interconectados a un Sistema de Distribución cuya operación esté ligada a la de dicho Sistema, que estén instaladas en clases de localización 5.
6.10.   Control de la corrosión
         Los Ductos que se encuentren enterrados o sumergidos en cuerpos de agua, tales como, ríos, pantanos, lagos, lagunas o presas; deben contar con un sistema de control de corrosión mediante la aplicación de recubrimiento anticorrosivo y protección catódica que cumpla con lo establecido en el Apéndice A (Normativo).
6.11.   Análisis de Riesgo para el Sector Hidrocarburos.
6.11.1.   El Regulado debe realizar el ARSH, en el que integre al menos la información siguiente:
I.        Descripción del Proyecto, en el cual se describa como mínimo lo siguiente:
a)    Kilometraje y coordenadas, de origen y destino;
b)    Diámetros de tubería;
c)    Derivaciones e interconexiones, indicando kilómetro y coordenadas;
d)    Especificación del material;
e)    Espesor del Ducto, y
f)     Tipo de recubrimiento anticorrosivo, indicando los límites de tolerancia a la corrosión.
II.       Descripción de la actividad;
III.      Descripción del entorno, la cual contenga la descripción de zonas de interés que se encuentren presentes en la ruta del Sistema de Transporte, incluyendo proximidades y cruzamientos con infraestructura, zona de actividades antropogénicas, zonas ambientalmente sensibles y zonas de Riesgo, indicando el cadenamiento del Ducto y/o coordenadas geográficas en las cuales se presentan;
IV.      Análisis de información de antecedentes de incidentes y accidentes nacionales e internacionales ocurridos en Ductos, en el cual se describa al menos lo siguiente:
a)    Año;
b)    Ciudad y/o país;
c)    Evento;
d)    Causas;
e)    Daños materiales;
f)     Pérdidas humanas, y
g)    Fuente consultada.
V.       Identificación y evaluación de Riesgos, tomando en cuenta al menos lo siguiente:
a)    Daños mecánicos del Ducto tales como: propagación de fracturas dúctiles, corrosión externa e interna, cambio de geometría y fatiga;
b)    Condiciones climáticas, geofísicas, sísmicas y de otros eventos naturales;
c)    Sabotaje y violaciones de seguridad;
d)    Factores humanos y de los equipos;
e)    Efecto dominó que resulta de explosiones de instalaciones adyacentes;
f)     Defectos de fabricación;
g)    Defectos de construcción;
h)    Defectos en soldadura;
i)     Daños en el recubrimiento anticorrosivo;
j)     Desviaciones en las variables de operación del Ducto;
k)    Cambios en la uniformidad de la ruta;
l)     Selección inadecuada del material, espesor de la tubería y Componentes;
m)   Selección inadecuada de la ruta, y
n)    Diseño inadecuado de protección catódica, entre otros.
VI.      Determinación de escenarios de Riesgo;
VII.     Jerarquización de escenarios de Riesgo;
VIII.    Análisis cuantitativo de Riesgos;
IX.      Análisis de consecuencias, mediante el cual el Regulado debe emplear metodologías, algoritmos y/o softwares para estimar las áreas de afectación por derrames, fugas, incendios y/o explosiones;
X.       Representación en planos de los radios potenciales de afectación donde se indiquen los puntos vulnerables que puedan verse afectados (asentamientos humanos, construcciones, cuerpos de agua, vías de comunicación, entre otros);
XI.      Análisis de Vulnerabilidad e interacciones de Riesgo;
XII.     Reposicionamiento de escenarios de Riesgo, y
XIII.    Sistemas de Seguridad y medidas para administrar los Riesgos.
6.11.2.   Durante el Diseño del Ducto el Regulado debe atender las recomendaciones derivadas del ARSH, asociadas a los escenarios correspondientes a minimizar las causas y consecuencias de los Riesgos.
6.11.3.   Para la Estación de compresión, el Regulado debe desarrollar el Análisis de Capas de Protección.
6.12.   Información del Libro de proyecto.
6.12.1.   El Regulado debe integrar un Libro de proyecto que contenga la información del Diseño del Ducto, conforme a la Ingeniería básica extendida, tomando en cuenta al menos la información siguiente:
I.        Datos generales de la Instalación;
II.       Filosofía de operación;
III.      Descripción de la actividad;
IV.      Normatividad aplicable, códigos y estándares nacionales e internacionales;
V.       Propiedades fisicoquímicas del Gas Natural;
VI.      Especificaciones del material del Ducto y Componentes;
VII.     Condiciones de carga sobre el Ducto durante su instalación, Operación y Mantenimiento;
VIII.    Espesor adicional por corrosión;
IX.      Información geofísica y geotécnica del suelo;
X.       Ubicación georreferenciada y Coordenadas datum UTM;
XI.      Condiciones de operación;
XII.     Especificaciones del Gas Natural;
XIII.    Sistemas de protección para prevención de corrosión interna y externa del Ducto;
XIV.    Análisis de Riesgo para el Sector Hidrocarburos;
XV.     Memorias de cálculo;
XVI.    Requerimientos de servicios auxiliares;
XVII.   Lista de equipos principales y auxiliares, y
XVIII.  Planos.
6.12.2.   En las bases de Diseño se debe incluir la documentación y comprobación de la selección del sitio en donde se ubicará el Ducto, evaluando al menos la información siguiente:
I.        El estudio de viabilidad;
II.       El estudio geofísico, geotécnico y geoquímico;
III.      El muestreo de suelos;
IV.      Los datos climatológicos y patrones de clima severos, datos sismológicos, maremotos y cualquier otro fenómeno natural que contemplen el periodo máximo de información disponible en fuentes oficiales del cual se tenga registro en el sitio; así como, en Sistemas de Transporte similares instalados en la zona;
V.       Los modelos de dispersión, explosión, incendio y/o radiación acorde al Gas Natural;
VI.      El Análisis de Riesgo para el Sector Hidrocarburos;
VII.     Los estudios de corrosividad en caso de tener instalaciones cercanas, y
VIII.    Las actividades de terceros.
6.12.3.   El Regulado debe de integrar y conservar la información que sirvió de base para el Diseño del Sistema de Transporte, durante la vida útil de este; así como, mantenerla disponible para cuando la Agencia lo solicite.
6.13.   Dictamen de Diseño.
6.13.1.   El Regulado debe obtener un Dictamen de Diseño emitido por una unidad de inspección acreditada por una Entidad de Acreditación y aprobada por la Agencia, en el que conste que la Ingeniería básica extendida de los Sistemas de Transporte nuevos, ampliados o con modificaciones, se realizó conforme a lo establecido en la presente Norma Oficial Mexicana.
6.13.2.   El Regulado debe conservar y mantener disponible en sus Instalaciones, el Dictamen de Diseño durante las Etapas de Desarrollo del proyecto para cuando sea requerido por la Agencia.
7.     Construcción
7.1.    Requisitos generales de construcción.
7.1.1.    La construcción del Ducto debe cumplir con las especificaciones del Diseño y con lo establecido en los planos que se desarrollaron en la Ingeniería de detalle, en versión APC.
7.1.2.    Se debe contar con la actualización del ARSH en su versión APC conforme a la Ingeniería de detalle del proyecto y se deben atender las recomendaciones derivadas de este, estableciendo las medidas de prevención, control y Mitigación para administrar los Riesgos e impactos al ambiente, a las personas y/o a las instalaciones, durante la Construcción.
7.1.3.    El Regulado debe contar con los registros de calidad de los materiales y equipos empleados, durante la procura, almacenamiento y traslado al sitio; así como, mantener la integridad mecánica de los mismos, cumpliendo con las especificaciones de Diseño y fabricación.
7.1.4.    El Regulado debe inspeccionar los materiales para detectar daños y/o Defectos en la tubería y Componentes, que se hayan presentado durante su manipulación, traslado, almacenamiento e instalación, y en caso de detectarse, estos deben ser reparados o sustituidos, para su instalación.
7.1.5.    Se debe contar con personal técnico calificado y con la infraestructura en cada una de las especialidades requeridas para la instalación y la ejecución de pruebas de equipos tales como: eléctrico, sistemas de instrumentación y control, equipos y materiales. Así mismo, se deben generar los registros que establezcan los criterios de aceptación y rechazo de dichas pruebas, y contar con los registros de capacitación del personal técnico calificado.
7.1.6.    Se debe contar con un programa de ejecución de obra del Proyecto el cual sea acorde con la Ingeniería de detalle en su versión APC.
7.1.7.    Cuando en la etapa de Construcción se efectúen cambios a la Ingeniería de detalle en su versión APC, se debe documentar la administración del cambio, en el que se justifiquen técnicamente los cambios, considerando los Riesgos e impactos en la Seguridad Industrial, Seguridad Operativa y protección al medio ambiente, así mismo, se debe actualizar el ARSH y estos deben ser aprobados y documentados, en la actualización del Libro de Proyecto.
7.2.    Procedimientos
7.2.1.    Se debe contar con procedimientos de construcción del Sistema de Transporte, revisados y aprobados, los cuales contengan la identificación de los Riesgos en materia de Seguridad Industrial, Seguridad Operativa y protección al medio ambiente.
7.2.2.    Se debe contar con procedimientos vigentes para el manejo e instalación de la tubería, equipos, instrumentos y Componentes, para asegurar la integridad mecánica de estos.
7.2.3.    Se debe contar con procedimientos para trabajos de alto Riesgo y aplicarlos durante su ejecución, incluyendo al menos los siguientes:
I.        Espacios confinados;
II.       Manejo de materiales y residuos peligrosos;
III.      Trabajos en excavaciones;
IV.      Trabajos en altura;
V.       Trabajos bajo el agua;
VI.      Manejo de cargas e izaje;
VII.     Protocolo de respuesta a emergencias;
VIII.    Trabajos de soldadura y corte;
IX.      Trabajos en caliente;
X.       Trabajos en equipo energizado, y
XI.      Cualquier otra actividad de Riesgo detectada en el ARSH.
7.3.    Manejo y traslado de materiales
         Durante el traslado de la tubería por carretera, ferrocarril y/o vía fluvial, se deben establecer medidas de protección para asegurar su integridad de conformidad con lo establecido en las normas API RP 5LT, API RP 5L1 y/o API RP 5LW, vigentes o aquellas que las modifiquen o sustituyan, o sus equivalentes.
7.4.    Instalación del Ducto
7.4.1.    Franja de seguridad
7.4.1.1.    La Franja de seguridad debe cumplir con las distancias de ancho mínimo, establecidas en la Tabla 7 y para zonas urbanas, con las establecidas en la Tabla 8.
Tabla 7.- Ancho mínimo de la Franja de seguridad del Ducto
Diámetro Nominal
mm (in)
Ancho mínimo de la Franja de seguridad
(metros)
(Ver Figura 2)
A
B
C
Hasta 203.2 (8)
7
2
5
De 254 (10) a 457.2 (18)
10
5
5
De 508 (20) y mayores
14
5
9
 
Figura 2. Ancho mínimo de Franja de seguridad

Tabla 8.- Ancho mínimo de Franja de seguridad para alojar el Ducto
dentro de zonas urbanas
Dentro de zonas urbanas
Hasta 101.6 mm (4 in)
Diámetro exterior de los Ductos + 101.6 mm (4 in) a cada lado de los Ductos
De 152.4 a 203.2 mm (6 a 8 in)
Diámetro exterior de los Ductos + 152.4 mm (6 in) a cada lado de los Ductos
De 254 a 304.8 mm (10 a 12 in)
Diámetro exterior de los Ductos + 203.2 mm (8 in) a cada lado de los Ductos
Mayores a 304.8 mm (12 in)
Diámetro exterior de los Ductos + 254 mm (10 in) a cada lado de los Ductos
              Nota: La Tabla 8 es aplicable a los Ductos localizados dentro de zonas urbanas existentes y en las que estén previstas como tales en los planes de desarrollo urbano municipales.
7.4.1.2.    Se debe conservar una distancia mínima de 5 m del eje longitudinal del Ducto al hombro de la superficie de rodamiento de caminos Tipo B, C y D y de 10 m con caminos Tipo ET y A, conforme a la
clasificación de caminos establecida en el Apéndice del Reglamento sobre el Peso, Dimensiones y Capacidad de los Vehículos de Autotransporte que transitan en los Caminos y Puentes de Jurisdicción Federal; o vías de ferrocarril.
7.4.1.3.    Los Ductos con un diámetro menor a 508 mm (20 in) deben construirse para resistir cargas bajo condiciones de aplastamiento con una profundidad mínima de 1.2 m y un factor de diseño F no mayor de 0.4, a efecto de evitar las distancias mínimas de separación con caminos y vías de ferrocarril.
7.4.1.4.    Cuando más de un Ducto se aloje dentro de una misma Franja de seguridad, se debe aumentar el ancho de esta en proporción del diámetro de cada Ducto adicional más la separación que haya entre ellos.
7.4.1.5.    Para la instalación del Ducto en una Franja de seguridad existente, los Regulados deben sujetarse a lo dispuesto por el responsable de dicha franja.
7.4.1.6.    Cuando el Regulado requiera instalar el Ducto en la Franja de seguridad de un Ducto existente, el ancho mínimo de la franja debe corresponder al establecido para el Ducto de mayor diámetro, indicado en las Tablas 7 y 8, según corresponda, y se debe adicionar una separación entre paños de los Ductos, de acuerdo con lo establecido en el numeral 6.4.1.
7.4.1.7.    Cuando no sea posible aumentar el ancho de la Franja de seguridad debido a la separación entre Ductos, el Ducto que se instale debe haber sido diseñado para resistir cargas bajo condiciones de aplastamiento con una profundidad mínima de 1.2 m y un factor de diseño F no mayor de 0.4.
7.4.1.8.    La separación entre los Ductos debe permitir las actividades de inspección, reparación y mantenimiento, sin afectar a cualquier otro Ducto.
7.4.1.9.    Cuando se instale el Ducto en una franja de servicios urbanos y esta no pueda cumplir con lo indicado en las Tablas 6, 7 y 8 según corresponda, se debe cumplir con lo establecido en el numeral 6.4.6 de la etapa de Diseño.
7.4.1.10.   Los Regulados deben mantener libre la Franja de seguridad del Ducto.
7.4.2.    Cambio de dirección de la tubería
            Los cambios de dirección durante la construcción del Ducto se pueden realizar mediante el doblado de la tubería y codos, tomando en cuenta al menos lo siguiente:
I.        Que no afecte la capacidad de servicio del Ducto;
II.       El doblado debe estar libre de pandeo, grietas u otra evidencia de daño mecánico;
III.      El radio mínimo debe ser de acuerdo con lo establecido en la Tabla 9.
Tabla 9.- Radio mínimo de doblado
Diámetro nominal milímetros (in)
Radio mínimo
304.8 (12) y menores
18D
355.6 (14)
21D
406.4 (16)
24D
457.2 (18)
27D
508 (20) y mayores
30D
 
IV.      Cuando se realice una soldadura circunferencial en una Sección doblada, se debe realizar un examen radiográfico;
V.       Cuando se realice un doblado en caliente, se debe llevar a cabo de acuerdo con lo establecido en el ASME B16.49, vigente o aquel que lo modifique o sustituya, o su equivalente;
VI.      Se puede utilizar tubería doblada cuando la misma no presente arrugas;
VII.     Cuando se produzcan ondulaciones accidentales en la superficie de la tubería a lo largo del radio interior durante la formación de doblado en frío, estas deben tener una dimensión medida de pico a valle no superior al 1% del diámetro exterior del Ducto;
VIII.    La tubería que cuente con soldadura longitudinal debe estar lo más cerca posible del eje neutral del doblez, excepto cuando:
a)    El doblez se realice con un mandril curvador interno, y
b)    Tenga un diámetro exterior de 305 mm (12 in) o menos, o una relación de diámetro a espesor de pared inferior a 70.
IX.      Cada soldadura de la tubería que esté sujeta a esfuerzos durante el doblado y cause una deformación permanente, debe someterse a pruebas no destructivas antes y después del proceso de doblado.
7.4.3.    Perforación horizontal direccional
7.4.3.1.    Previo al inicio de la perforación:
I.        Se debe contar con un estudio y levantamiento del trayecto de la perforación en el cual se identifiquen las estructuras superficiales o subterráneas existentes que interfieran en la ruta;
II.       Se debe tomar en cuenta el impacto potencial en todas las estructuras adyacentes debido a cualquier desviación de la ruta establecida, y
III.      Se deben realizar evaluaciones geotécnicas en la ubicación del cruce para establecer las condiciones del subsuelo.
7.4.3.2.    Se debe contar con un procedimiento para realizar la perforación horizontal, el cual tome en cuenta al menos los aspectos siguientes:
I.        Uso de la herramienta perforadora y equipo de rastreo para verificar la ruta;
II.       Delimitación de las áreas para maniobras del equipo en los puntos de entrada y salida;
III.      Delimitación del área de construcción para la instalación del Ducto;
IV.      Evitar daños al recubrimiento durante la instalación del Ducto;
V.       Evitar esfuerzos excesivos al Ducto;
VI.      Protección al Ducto contra la abrasión durante el proceso de colocación;
VII.     Manejo de agua y líquido de perforación;
VIII.    Monitoreo de las actividades de construcción y de la protección al medio ambiente;
IX.      Especificación e integridad de los equipos utilizados, y
X.       Plan de contingencia sobre Derrame o pérdida de fluido (frac out) durante la perforación (respuesta, limpieza y Mitigación).
7.4.3.3.    Se debe seleccionar y aplicar un método para evitar daños a las estructuras superficiales o subterráneas existentes, que permitan identificar al menos los aspectos siguientes:
I.        Espacios libres requeridos;
II.       Rastreo de la posición de la cabeza piloto;
III.      Rastreo del escariador durante la perforación, y
IV.      Rastreo del escariador durante el retroceso.
7.4.3.4.    Durante la instalación del Ducto, se deben evaluar las cargas y tensiones contra la fluencia, el pandeo, el colapso y el movimiento no deseado debido a los efectos combinados de presión externa, fricción, abrasión, fuerzas axiales y doblado, para mantener su integridad mecánica.
7.4.3.5.    Se debe realizar la inspección y pruebas al Ducto tomando en cuenta al menos, lo siguiente:
I.        Pruebas no destructivas del 100% de las soldaduras circunferenciales previo a la instalación;
II.       Prueba de presión del Ducto previo a la instalación, y
III.      Medición interna del Ducto posterior a la instalación, que corrobore que no existen obstrucciones o deformaciones, mediante:
a)       Dispositivo de inspección instrumentado;
b)       Placas calibradoras, o
c)       Ondas guiadas.
7.4.4.    Instalación en zanja
7.4.4.1.    Los Ductos se deben instalar en una zanja de tal manera que se adapten y se ajusten al fondo de esta para minimizar los esfuerzos y proteger el recubrimiento contra daños.
7.4.4.2.    Cuando se realice el bajado de las Secciones del Ducto que se soldaron junto a la zanja, estas se deben manipular de tal forma que se eviten deformaciones que puedan crear pliegues o curvaturas permanentes, así como evitar daños al recubrimiento provocado por el equipo de maniobras o el material de relleno.
7.4.5.    Soldadura
7.4.5.1.    Se deben utilizar métodos aplicables de soldadura en el Ducto, de acuerdo con lo establecido en la norma API STD 1104 y ASME B31.8, vigentes o aquellos que los modifiquen o sustituyan, o sus equivalentes. Así mismo, el personal que realice estos trabajos debe estar calificado de acuerdo con el apéndice B del API STD 1104 o el código BPV sección IX vigentes o aquellos que los modifiquen o sustituyan, o sus equivalentes.
7.4.5.2.    La soldadura debe realizarse aplicando los procedimientos, revisados y aprobados por el Regulado; así mismo, se debe contar con procedimientos para la reparación de Defectos en soldadura, en caso de presentarse. Dichos procedimientos deben ser documentados y estar disponibles para el uso del personal.
7.4.5.3.    Antes de iniciar el proceso de soldadura, las superficies deben estar limpias y libres de cualquier material que pueda afectar la calidad de esta.
7.4.5.4.    El Ducto debe estar alineado durante el proceso de aplicación de la soldadura.
7.4.5.5.    La conexión eléctrica de tierra no debe soldarse al Ducto o sobre equipos, para producir la continuidad eléctrica entre la máquina de soldar y la tubería que se va a soldar.
7.4.5.6.    Durante el proceso de soldadura, el Ducto se debe proteger de las condiciones climáticas que perjudiquen la calidad de la soldadura, tales como lluvia, viento, polvo o nieve.
7.4.5.7.    Las soldaduras en Ductos enterrados y/o sumergidos en cuerpos de agua, entre otros, ríos, pantanos, lagos, lagunas o presas, deben protegerse contra la corrosión de acuerdo con lo establecido en el Apéndice A (Normativo) y, en Ductos superficiales se debe aplicar recubrimiento de acuerdo con lo establecido en el numeral A.3.5. Así mismo, se debe cumplir con las especificaciones del fabricante.
7.4.5.8.    El 100% de las soldaduras circunferenciales realizadas en el Sistema de Transporte deben ser inspeccionadas mediante rayos X, rayos Gamma, ultrasonido por haz angular o partículas magnéticas.
7.4.5.9.    Se debe realizar una inspección visual al 100% de las soldaduras de acuerdo con lo establecido en su procedimiento.
7.4.5.10.   Para soldaduras que no sean circunferenciales y no sea factible realizar pruebas radiográficas, se deben inspeccionar mediante pruebas no destructivas.
7.4.5.11.   El Regulado debe conservar los registros de las pruebas realizadas a las soldaduras durante un periodo de 5 años y mantenerlas disponibles para cuando la Agencia lo requiera, en el cual se incluya al menos lo siguiente:
I.        Procedimientos calificados;
II.       Calificación de los soldadores, y
III.      Reportes de las pruebas no destructivas realizadas.
7.4.5.12.   Las soldaduras que sean rechazadas como resultado de las pruebas no destructivas deben ser reparadas y posteriormente inspeccionadas mediante pruebas no destructivas para asegurar su confiabilidad.
7.4.5.13.   No se permiten las quemaduras por arco eléctrico que causen concentraciones de esfuerzos en el Ducto, y en caso de presentarse, estas deben ser reparadas mediante esmerilado, siempre y cuando no se reduzca el espesor de pared a menos del mínimo permitido por las especificaciones del material.
7.4.5.14.   No se deben utilizar parches por injerto para reparar las quemaduras por arco en el Ducto.
7.5.    Reparaciones del Ducto
7.5.1.    Cuando se realicen reparaciones al Ducto, se deben desarrollar los procedimientos necesarios y específicos, para el tipo de reparación requerida.
7.5.2.    Los Defectos como rasgaduras y estrías deben ser reparados o eliminados tomando en cuenta alguna de las alternativas siguientes:
I.        Removerse por esmerilado, siempre y cuando el espesor de pared remanente sea mayor que el mínimo requerido para soportar la PD, o
II.       Eliminar la parte dañada cortando el carrete donde se encuentra el Defecto y sustituirse por otro con las mismas especificaciones.
7.5.3.    Los Ductos que presenten Abolladuras deben ser reparados o sustituidos, cuando estas presenten alguna de las condiciones siguientes:
I.        Que excedan una profundidad de 6.4 mm in) en Ductos de diámetros de 304.8 mm (12 in) o menores;
II.       Que excedan el 2% del diámetro nominal del Ducto en diámetros mayores a 304.8 mm (12 in);
III.      Que afecten la curvatura del Ducto en la soldadura longitudinal o en cualquier soldadura circunferencial, y/o
IV.      Que contengan algún concentrador de esfuerzos tales como una ranura o quemadura por arco, en este caso, se debe eliminar sustituyendo el carrete.
7.5.4.    No se deben realizar reparaciones de Abolladuras por medio de parches soldados o martillado.
7.6.    Cruces Ferroviarios y/o Carreteros
7.6.1.    Cuando exista un cruce ferroviario y/o carretero en la trayectoria del Sistema de Transporte, se debe realizar un análisis de esfuerzos para identificar si el Ducto requiere o no instalar un encamisado para soportar las cargas a las que estará sometido.
7.6.2.    Si derivado del resultado del análisis de esfuerzos se requiere instalar un encamisado en el Ducto, este debe cumplir al menos con lo siguiente:
I.        Estar diseñado para resistir las cargas a las que estará sometido;
II.       Estar sellado en los extremos para evitar la filtración de líquidos en el espacio anular entre el Ducto y el encamisado;
III.      Si se sellan los extremos de un encamisado sin ventilación y el sello es lo suficientemente resistente para mantener la PMOP del Ducto, el encamisado debe estar diseñado para soportar esta presión a un nivel de esfuerzo no mayor al 72% de la RMC;
IV.      Cuando el encamisado cuente con venteos; estos deben estar protegidos contra agentes atmosféricos para evitar la entrada líquidos, y
V.       Contar con instalaciones y conexiones para llevar a cabo la medición de protección catódica tanto de la tubería, como del encamisado, en ambos extremos.
7.7.    Protección contra factores externos
7.7.1.    Con base en las recomendaciones del ARSH, se deben establecer medidas de protección al Sistema de Transporte en lugares que puedan presentar Riesgos tales como erosión, inundaciones, suelo inestable, derrumbes, terremotos y estructuras existentes, ocasionando daños debido a las cargas adicionales.
7.7.2.    El Sistema de Transporte se debe proteger para evitar daños y/o movimientos ocasionados por fenómenos climatológicos, geotécnicos y/o externos, para ello se deben implementar al menos las medidas siguientes:
I.        Aumento del espesor de pared;
II.       Muros de contención;
III.      Barricadas;
IV.      Anclajes;
V.       Lastres, y/o
VI.      Recubrimientos especiales.
7.7.3.    Cuando el Ducto se instale en áreas que se encuentren bajo el agua o sujetas a inundación, se debe aplicar lastre de concreto o instalar anclajes, para evitar la flotación.
7.7.4.    Cuando el Ducto esté expuesto entre pilotes, caballetes y/o cruces de puentes, se debe proteger para evitar daños.
7.7.5.    Se debe considerar una protección adicional cuando el Ducto se encuentre en las áreas siguientes:
I.        Agrícolas en las que se realicen arados profundos;
II.       Sujetas a la erosión, y/o
III.      Donde se prevean caminos, carreteras, cruces de vías férreas y cruces de zanjas.
7.8.    Pruebas de presión del Ducto
7.8.1.    Una vez concluida la construcción del Sistema de Transporte, se deben aplicar las prácticas recomendadas para realizar pruebas de presión al Ducto y sus Componentes de acuerdo con lo establecido en el numeral 8.3.8.2 y conforme al API RP 1110 y ASME B31.8, vigentes o aquellos que los modifiquen o sustituyan, o sus equivalentes.
7.8.2.    Si durante las pruebas de presión se presentan fugas, las Secciones de tubería o Componentes dañados deben ser reparados y/o reemplazados, y se deben realizar nuevamente las pruebas de presión.
7.8.3.    Los informes de las pruebas de presión realizadas al Ducto deben contener al menos la información siguiente:
I.        Título de Permiso;
II.       Nombre de la Instalación o Segmento;
III.      Nombre y cargo del personal que participa en las pruebas;
IV.      Fecha y hora;
V.       Tiempo de prueba (hora de inicio y fin);
VI.      Medio de prueba y su temperatura, y
VII.     Condiciones meteorológicas.
7.8.4.    Además de lo previsto en el numeral anterior los informes de las pruebas de presión deben incluir los procedimientos y registros de las pruebas realizadas al Ducto, en los cuales se indique la Sección o Segmento que se probó y las lecturas de presión mediante mecanismos análogos y/o digitales; así como, los registros de las pruebas realizadas en fábrica. Dichos informes se deben conservar durante la vida útil del Sistema de Transporte, para cuando la Agencia lo requiera.
7.8.5.    Los Ductos no metálicos deben ser probados neumática o hidrostáticamente a una presión no menor de 1.5
veces la (PMO) o 340 kPa, la que resulte mayor; excepto que:
I.        La presión de prueba para la tubería de plástico termoestable reforzado no debe superar en 3.0 veces la PD del Ducto, y
II.       La presión de prueba para la tubería termoplástica no debe superar en 3.0 veces la PD de la tubería a temperaturas de hasta 311 K (38 °C) o 2.0 veces la PD de la tubería a temperaturas que superen los 311 K (38 °C).
7.9.    Sistema de control de corrosión
         Se debe instalar un sistema de control de corrosión en el Sistema de Transporte de acuerdo con lo establecido en el Apéndice A (Normativo).
7.10.   Relleno de la zanja
7.10.1.   Se debe cubrir la zanja donde se aloje el Ducto de manera que el material de relleno cumpla con al menos lo siguiente:
I.        Evitar desplazamientos;
II.       Proporcionar un soporte firme bajo el Ducto, y
III.      Evitar daños al Ducto y su recubrimiento.
7.10.2.   Cuando se tenga Riesgo de inundación de la zanja, se debe asegurar que la tubería no sea sujeta a esfuerzos por flotación.
7.11.   Señales y avisos
7.11.1.   Se deben instalar señalamientos visibles a lo largo de la ruta del Sistema de Transporte y sus instalaciones superficiales, los cuales permitan delimitar la Franja de seguridad; y cuando se presenten los casos siguientes:
I.        En ambos lados del cruce de una carretera, camino público, vía de ferrocarril o cuerpos de agua, y
II.       Antes y después de los cambios de dirección mayores a 30°.
7.11.2.   Las señales y/o avisos deben ser instalados sobre soportes en ambos lados de la Franja de seguridad del Sistema de Transporte y deben cumplir las distancias mínimas entre cada señalamiento de acuerdo con lo establecido en la Tabla 10.
Tabla 10.- Distancia mínima entre señalamientos
Clase de localización
Distancia en metros
1, 2 y 3
Cada 1000
4
Cada 500
5
Cada 100
 
7.11.3.   Las señales y/o avisos deben contener pictogramas y/o texto, incluyendo como mínimo, las Indicaciones siguientes:
I.        Advertencia de peligro, cuidado y/o precaución;
II.       Advertencia de la presencia de Ductos de Gas Natural presurizado;
III.      El nombre, denominación o razón social de los Regulados;
IV.      Teléfono(s) de emergencia, y
V.       Leyendas de: "No excavar", "No golpear" y "No construir".
7.11.4.   Los señalamientos preventivos, informativos, restrictivos y/u obligatorios deben apegarse a lo establecido en la normatividad vigente, códigos y estándares nacionales e internacionales.
7.11.5.   Cuando no se puedan colocar las señales y/o avisos en los tramos del Ducto (Franja de seguridad) debido a las características del terreno, se deben instalar tomando en cuenta al menos las alternativas siguientes:
I.        Colocar el señalamiento a un costado del lomo del Ducto;
II.       Colocar placas en el piso o pared, con al menos la siguiente información:
a)       Razón o denominación social de los Regulados;
b)       Teléfono(s), y
c)       Leyendas de: "Gas Natural" y "No excavar".
III.      Colocar cintas de precaución o informativas a 20 cm de la parte superior del Ducto.
7.11.6.   En las instalaciones superficiales como válvulas, Trampas de diablos y Estaciones de regulación y/o medición, se debe contar con señales y avisos alusivos a la seguridad conforme a la normatividad vigente y que hagan referencia al menos a lo siguiente:
I.        Restricciones de acceso;
II.       No fumar, y/o
III.      No fuentes de ignición.
7.12.   Trampa para dispositivos de limpieza e inspección interna (Trampa de diablos)
         Las Trampas de diablos deben construirse de acuerdo con lo establecido en el Diseño.
7.13.   Documentos de la construcción.
         Una vez concluida la etapa de Construcción del Sistema de Transporte, se debe actualizar el Libro de proyecto de la Ingeniería de detalle en su edición como quedó construido (As-built), mismo que debe ser conservado durante la vida del mismo y estar disponible para cuando la Agencia lo requiera.
7.14.   Revisión de Seguridad de Pre-arranque (RSPA)
7.14.1.   El Regulado debe realizar la RSPA cuando se presente alguna de las situaciones siguientes:
I.        Previo al inicio de operaciones o puesta en marcha de Instalaciones nuevas y/o equipos nuevos, y
II.       Previo al reinicio de operaciones de Instalaciones y/o equipos que hayan sido reparados, modificados y/o hayan estado Fuera de operación.
7.14.2.   La RSPA debe realizarse de acuerdo con la complejidad de las Instalaciones y procesos de manera:
I.        Completa: cuando la logística del arranque de las instalaciones y procesos lo permita, y
II.       Por Etapas: cuando la logística del arranque de las instalaciones y procesos así lo requieran.
7.14.3.   Los Regulados deben conformar un grupo interdisciplinario responsable de llevar a cabo la RSPA, el cual esté integrado por un coordinador y personal con experiencia, y conocimientos en Diseño, Construcción, Operación y Mantenimiento de la Instalación, procesos y/o equipos, así como, por aquellos que operarán y darán mantenimiento, una vez que se lleve a cabo el inicio o reinicio de la Operación.
7.14.4.   En caso de considerarse necesario en el desarrollo de la RSPA y atendiendo a la complejidad de las Instalaciones y/o equipos, se deben integrar al grupo responsable de llevar a cabo la RSPA, especialistas en materias tales como: civil, eléctrica, mecánica, equipo estático y/o dinámico, instrumentación, entre otras, y en su caso a: fabricantes, licenciadores, contratistas, subcontratistas, proveedores o prestadores de servicio que, por su relación con el equipo y/o Instalación, sea requerido.
7.14.5.   Los integrantes del grupo responsable de llevar a cabo la RSPA deben tener al menos, las responsabilidades siguientes:
I.        Elaborar las listas de verificación necesarias acorde al proceso, instalaciones y/o equipos;
II.       Llevar a cabo la revisión documental;
III.      Llevar a cabo la constatación física;
IV.      Identificar desviaciones entre las especificaciones del Diseño y la Construcción de los equipos y elementos de la Instalación y registrar los Hallazgos;
V.       Evaluar y clasificar el Riesgo de los Hallazgos;
VI.      Elaborar los programas de atención de recomendaciones de los Hallazgos que no permitan el inicio o reinicio de operaciones, según corresponda;
VII.     Elaborar los programas de atención de recomendaciones de los Hallazgos que no impiden el inicio o reinicio de las operaciones, al no poner en Riesgo la seguridad e integridad de las personas, el medio ambiente y las Instalaciones, según corresponda;
VIII.    Verificar el cumplimiento de las recomendaciones derivadas de los Hallazgos de la RSPA de acuerdo con las fracciones VI y VII de este numeral;
IX.      Generar los registros de la participación y aportación de acuerdo con su especialidad; según lo indicado en los numerales 7.14.6 y 7.14.7, y realizar su entrega al coordinador de la RSPA, y
X.       Emitir el resultado de la RSPA.
7.14.6.   El grupo responsable de llevar a cabo la RSPA debe realizar la revisión documental de las Instalaciones antes de su inicio o reinicio de operaciones empleando listas de verificación. La revisión debe ser acorde a la actividad de Transporte de Gas Natural por medio de Ductos terrestres, con la finalidad de verificar que los requisitos y especificaciones técnicas de Diseño y Construcción, así como en materia de Seguridad Industrial, Seguridad Operativa y protección al medio ambiente, han sido cumplidos.
7.14.7.   La revisión documental a que se refiere el numeral 7.14.6 debe considerar la información relacionada con los elementos del Sistema de Administración de Seguridad Industrial, Seguridad Operativa y protección al medio ambiente del Regulado siguiente:
I.        Identificación de peligros y evaluación de Riesgos: Verificar que las recomendaciones resultantes de la actualización del ARSH, hayan sido atendidas física y documentalmente;
II.       Competencias, capacitación y entrenamiento, de acuerdo con lo establecido en el numeral 8.1.4;
III.      Control de documentos y registros actualizados;
IV.      Mejores prácticas y estándares: Que se cuente con la información actualizada, establecida en los numerales 6.12 y 7.13 y con al menos la siguiente:
a)    Información de la tecnología relativa a la actividad:
1.     Manual de operación;
2.     Planos aprobados para Construcción (APC);
3.     Diagramas de Tubería e Instrumentación (DTI);
4.     Hojas de datos de equipos, Componentes y accesorios;
5.     Hojas de datos de válvulas;
6.     Diagramas de Flujo de Proceso (DFP);
7.     Procedimientos;
8.     Filosofía de control;
9.     Manual y recomendaciones del fabricante;
10.   Resultados de pruebas;
11.   Diagramas unifilares;
12.   Planos de clasificación de áreas peligrosas;
13.   Descripción del sistema de Supervisión, Control y Adquisición de Datos (SCADA), cuando aplique, y
14.   Descripción del sistema de detección de fugas.
V.       Control de actividades y proceso: Verificar que se cuente con la información actualizada y disponible de:
a)    Procedimientos para evitar afectaciones al medio ambiente, tales como:
1.     Seguridad;
2.     Inicio y puesta en operación;
3.     Operación;
4.     Respuesta a emergencias;
5.     Inspección y mantenimiento, y
6.     Fuera de operación.
b)    Procedimientos de trabajo de alto Riesgo establecidos en el numeral 7.2.3 y tomando en cuenta al menos lo siguiente:
1.     Permisos de trabajo emitidos y firmados por los responsables del Proyecto;
2.     Análisis de Seguridad en el Trabajo (AST), y
3.     Trabajos bajo el agua.
c)    Procedimiento para la administración de cambios en:
1.     Tecnología de proceso;
2.     Equipos;
3.     Sustancias peligrosas;
4.     Instalaciones;
5.     Organización, y
6.     Personal incluyendo contratistas, subcontratistas, prestadores de servicios y proveedores.
VI.      Integridad mecánica y aseguramiento de la calidad: verificar que se cuente con la información actualizada de:
a)    Certificados de fábrica de la tubería, Componentes e instrumentación;
b)    Certificados de calibración de instrumentación y de válvulas de seguridad, de control, entre otras;
c)    Registro de pruebas e inspección en campo de la integridad mecánica de Componentes y tuberías;
d)    Registro de presión de pruebas del Ducto y sus Componentes;
e)    Registro de pruebas de hermeticidad del Ducto y sus Componentes, y
f)     Reportes de pruebas iniciales de funcionalidad de la instrumentación y control.
7.14.8.   El grupo responsable de llevar a cabo la RSPA debe revisar que las modificaciones y/o actualizaciones realizadas a la Ingeniería de detalle en su edición APC, durante la construcción del Sistema de Transporte, quedaron plasmadas en la Ingeniería de detalle en su edición As-built.
7.14.9.   El grupo responsable de llevar a cabo la RSPA debe revisar las Instalaciones y/o equipos sujetos a un inicio o reinicio de operaciones, verificando en campo que se cumplen los requisitos en materia de Seguridad Industrial, Seguridad Operativa y protección al medio ambiente y que existe congruencia entre lo indicado en la revisión documental de la Ingeniería de detalle en su edición As-built y lo existente en campo. La constatación física debe incluir la inspección ocular en campo, fotografías, entrevistas u otros medios de verificación física.
7.14.10. La información que se genere como parte de la revisión documental y la constatación física se debe incorporar en un libro de registro que permita la identificación, verificación, control y seguimiento de los Hallazgos de Pre-arranque, el cual contenga como mínimo lo siguiente:
I.        Nombre del elemento a revisar;
II.       Puntos que verificar;
III.      Comentario o información presentada;
IV.      Descripción del Hallazgo;
V.       Hallazgos que no permiten el inicio o reinicio de operaciones;
VI.      Hallazgos que no impiden el inicio o reinicio de operaciones;
VII.     Recomendaciones para atención de Hallazgos;
VIII.    Responsables de la atención de los Hallazgos;
IX.      Fecha de atención, y
X.       Estado de cumplimiento.
7.14.11. Cada integrante del grupo responsable de llevar a cabo la RSPA, de acuerdo con su especialidad debe identificar los Hallazgos considerando lo indicado en los numerales 7.14.7 y 7.14.9.
7.14.12. El grupo responsable de llevar a cabo la RSPA debe clasificar los Hallazgos identificando aquellos que no permiten el inicio o reinicio de operaciones, así como aquellos que no lo impiden.
7.14.13. El grupo responsable de llevar a cabo la RSPA debe elaborar los programas de atención a las recomendaciones de los Hallazgos que no permiten el inicio o reinicio de operaciones, según corresponda, los cuales serán atendidos previo al inicio o reinicio de operaciones.
7.14.14. El grupo responsable de llevar a cabo la RSPA debe elaborar los programas de atención a las recomendaciones de los Hallazgos que no impiden el inicio o reinicio de operaciones, en los cuales se estipularán los plazos y los responsables para su cumplimiento.
7.14.15. El grupo responsable de llevar a cabo la RSPA debe validar el cumplimiento de las recomendaciones de los Hallazgos que no permiten el inicio o reinicio de operaciones de acuerdo con el mecanismo que los Regulados establezcan, tomando en cuenta evidencias documentales y/o físicas para el cierre de recomendaciones, y éstas serán conservadas en las Instalaciones para cuando la Agencia lo requiera.
7.14.16. El grupo responsable de llevar a cabo la RSPA debe validar que las Instalaciones y/o equipos sujetos a un inicio o reinicio de operaciones se encuentran en condiciones de iniciar operaciones, documentando como mínimo la siguiente información:
I.        Lugar y fecha de inicio y terminación de la RSPA;
II.       Nombre, domicilio y descripción de la Instalación;
III.      Localización y descripción de los elementos de la Instalación y/o equipos revisados;
IV.      Cumplimiento de las recomendaciones derivadas de la totalidad de Hallazgos que no permiten el inicio o reinicio de operaciones en términos de lo dispuesto en el numeral 7.14.13;
V.       Programa de atención de recomendaciones de los Hallazgos que no impiden el inicio o reinicio de operaciones, de conformidad con lo establecido en el numeral 7.14.14, y
VI.      Nombre, cargo, especialidad y firma de quienes integran el grupo responsable de llevar a cabo la RSPA.
7.14.17. El grupo responsable de llevar a cabo la RSPA debe validar el cumplimiento de las recomendaciones de los Hallazgos que no impiden el inicio o reinicio de operaciones de acuerdo con el mecanismo que los Regulados establezcan.
7.14.18. Cuando la RSPA se efectúe por etapas, los Regulados deben obtener la validación correspondiente para cada etapa de acuerdo con el numeral 7.14.16.
7.14.19. Cuando la totalidad de las recomendaciones derivadas de los Hallazgos de la RSPA se hayan atendido, los Regulados deben hacerlo constar mediante un acta de cierre debidamente validada, que debe conservar en sus Instalaciones para cuando la Agencia lo requiera, documentando la siguiente información:
I.        Lugar y fecha de inicio y terminación de la RSPA;
II.       Nombre, domicilio y descripción de la Instalación;
III.      Localización y descripción de los elementos de la Instalación y/o de los equipos revisados;
IV.      Nombre, cargo, especialidad y firma de los participantes en la RSPA;
V.       Fecha del inicio o reinicio de operaciones, y
VI.      Cumplimiento de las recomendaciones de los Hallazgos que no impiden el inicio o reinicio de operaciones.
7.15.   Dictamen de Construcción
7.15.1.   El Regulado debe obtener un Dictamen de Construcción emitido por una unidad de inspección acreditada por una Entidad de Acreditación y aprobada por la Agencia. Este Dictamen debe ser obtenido para los Sistemas de Transporte nuevos o con modificaciones al diseño original, una vez que haya concluido la RSPA y se cuente con el acta de cierre, en la que conste que los Sistemas de Transporte cumplen con los requisitos establecidos en el capítulo de Construcción y que las recomendaciones de los Hallazgos de la RSPA fueron atendidas satisfactoriamente.
7.15.2.   El Regulado debe conservar y mantener disponible en sus Instalaciones, en formato físico o dispositivo de almacenamiento digital, el Dictamen de Construcción, para cuando sea requerido por la Agencia.
8.     Operación y Mantenimiento
8.1.    Requisitos generales de la Operación y el Mantenimiento
8.1.1.    El Regulado debe contar con el programa anual de Operación y Mantenimiento, aprobado por el área responsable, en el que se consideren las recomendaciones del fabricante, el cual contenga al menos la información siguiente:
I.        Lista de equipos del Sistema de Transporte y de las actividades a desarrollar relativas a la Operación y Mantenimiento, y
II.       Desarrollo cronológico de las actividades, estableciendo los responsables y tiempos requeridos para el desarrollo de las mismas.
8.1.2.    Se debe contar con procedimientos detallados en los cuales se establezcan de manera segura las actividades de Operación y Mantenimiento.
8.1.3.    Cuando la Instalación se encuentre en Operación y se realice alguna modificación que afecte al Diseño original de la tecnología y materiales, se debe llevar a cabo la administración del cambio, en la que se documenten y comuniquen los cambios realizados, asegurando que estos cuenten con las mismas especificaciones y códigos de diseño e instalación que los indicados en la ingeniería As-built. Así mismo, se debe actualizar el ARSH.
8.1.4.    Se debe contar con un programa de capacitación y entrenamiento para el personal que ejecuta las actividades de operación, mantenimiento y atención de emergencias, el cual debe revisarse de manera anual e incluir al menos, lo siguiente:
I.        Propiedades fisicoquímicas del Gas Natural y su hoja de datos de seguridad;
II.       Descripción del proceso y filosofía de operación y control;
III.      Técnicas de inspección y monitoreo de Ductos;
IV.      Aplicación de los procedimientos de Operación y Mantenimiento;
V.       Condiciones de seguridad en la Instalación;
VI.      Procedimiento para poner Fuera de operación;
VII.     Procedimiento de puesta en operación;
VIII.    Procedimientos para la ejecución de actividades de alto Riesgo consideradas en el numeral 8.2.1.3;
IX.      Uso de equipo de protección personal básico y especial;
X.       Protección personal para la Prevención, Combate y Extinción de Incendios, y
XI.      Simulacros y atención a emergencias.
8.1.5.    El Regulado debe contar con los registros y la documentación vigentes que demuestren la capacitación, entrenamiento y competencia, del personal que realiza las actividades de Operación y Mantenimiento.
8.2.    Operación
8.2.1.    Manual de operación y procedimientos operativos
8.2.1.1.    Se debe contar con el manual de operación actualizado del Sistema de Transporte, en donde se establezcan las responsabilidades de cada área involucrada, los límites del proceso y las acciones necesarias, para operar dicho Sistema en condición normal, anormal (aquella que sale de los parámetros establecidos en el diseño) y de emergencia.
8.2.1.2.    Los procedimientos del manual de operación deben estar validados y aprobados por los responsables del Sistema de Transporte, estar disponibles y ser comunicados al personal de operación.
8.2.1.3.    Se debe contar y aplicar los procedimientos para llevar a cabo trabajos de alto Riesgo establecidos en el numeral 7.2.3, considerando en forma adicional, al menos los siguientes:
I.        Apertura, cierre, desfogue y purgado de líneas y/o equipos, y
II.       Etiqueta, candado, despeje y prueba.
8.2.1.4.    El manual de operación debe contar cuando menos con procedimientos para las siguientes actividades:
I.        Actividades de monitoreo del Sistema de Transporte mediante un sistema de control e inspección;
II.       Configuración y/o ajuste de los sistemas de control para asegurar que la operación se realice dentro de los parámetros normales, incluyendo un listado de alarmas operacionales y las acciones a desarrollar para su atención donde corresponda;
III.      Identificación de desviaciones de las variables de operación y acciones para volver a los parámetros de operación normal e investigación de las causas de activación de las alarmas al detectar condiciones anormales de las variables;
IV.      Puntos de ajuste de los dispositivos de operación y de seguridad tales como alarmas, disparos, dispositivos de alivio de presión, paros de emergencia, entre otros;
V.       Monitoreo de fugas del Ducto, y
VI.      Procedimiento de paro programado y arranque del Sistema de Transporte.
8.2.1.5.    Se debe contar con un procedimiento de paro programado y arranque del Sistema de Transporte en condiciones normales y/o anormales, el cual contenga al menos, lo siguiente:
I.        Secuencia lógica para poner Fuera de servicio el Sistema de Transporte, Sección o Segmento;
II.       En caso de que los parámetros de operación se encuentren fuera de sus límites seguros, estos deben llevarse a condiciones seguras, y
III.      Secuencia lógica para reestablecer el servicio del Sistema de Transporte, Sección o Segmento.
8.2.2.    Purgado de los Ductos
8.2.2.1.    Cuando el Sistema de Transporte sea empacado con Gas Natural y se realice el desplazamiento o la purga de aire, se debe liberar en un extremo del Ducto con un flujo y velocidad que impida la formación de una mezcla explosiva. Si el Gas Natural no se puede abastecer en cantidades suficientes o debido a los resultados de un Análisis de Seguridad en el Trabajo, se debe introducir gas inerte antes del flujo de Gas Natural.
8.2.2.2.    Cuando el Sistema de Transporte sea empacado con aire y se realice el desplazamiento o la purga de Gas, se debe liberar en un extremo del Ducto con un flujo y velocidad que impida la formación de una mezcla explosiva. Si no se puede suministrar aire en cantidad suficiente o debido a los resultados de un Análisis de Seguridad en el Trabajo, se debe introducir gas inerte antes del flujo de Gas Natural.
8.2.3.    Determinación de la PMOP
8.2.3.1.    La determinación de la PMOP se debe realizar y documentar anualmente, sin que las evaluaciones excedan de 15 meses, para los casos siguientes:
I.        Ductos que reinician operación, con base al numeral 8.2.3.3;
II.       Ductos con cambios de Clase de localización, con base al numeral 8.2.4 y 8.2.5;
III.      Ductos con cambios en las condiciones de presión por una reevaluación por integridad, con base al numeral 8.2.6, o
IV.      Ductos con cambios en las condiciones de presión por necesidades operativas, con base en el numeral 8.2.7.
8.2.3.2.    La PMOP establecida para el Sistema de Transporte no debe exceder el menor de los valores de alguna de las presiones siguientes:
I.        La PD del Componente más débil del Ducto;
II.       La presión que resulte de dividir la presión a la cual se probó el tramo de Ducto después de ser construido, entre el factor establecido en la Tabla 11.
Tabla 11.- Factores utilizados para dividir la presión de
prueba en Ductos de acero
Clase de
localización
Presión para Ducto de acero
Presión para Ducto no
metálico
1
Presión de prueba ÷ 1.25*
No disponible
2
Presión de prueba ÷ 1.25 o 1.10*
Presión de prueba ÷ 1.50
3
Presión de prueba ÷ 1.25
Presión de prueba ÷ 1.50
4
Presión de prueba ÷ 1.50
Presión de prueba ÷ 1.50
5
Presión de prueba ÷ 1.50
Presión de prueba ÷ 1.50
* Para que el Sistema de Transporte pueda establecer la Presión Máxima de Operación Permisible (PMOP) con base en estos factores, se debe cumplir con lo establecido en el Apéndice C (Normativo).
 
III.      La presión mayor a la cual la Sección del Ducto estuvo sujeto durante los últimos 5 años, siempre y cuando no se cuente con datos de integridad del Ducto, o
IV.      La presión máxima que se establece después de considerar la integridad del Ducto.
8.2.3.3.    Cuando se decida poner en servicio alguna Sección nueva del Sistema de Transporte, una Sección que se haya encontrado Fuera de operación o cuando en su construcción no fue sometida a su máximo esfuerzo de cedencia por medio de una prueba hidrostática conforme a su especificación; esta debe ser sometida a una prueba hidrostática y operar a una PMOP con un Esfuerzo tangencial máximo de 60% de su RMC, siempre y cuando cumpla con lo siguiente:
I.        El Ducto sea inspeccionado por medio de calas cada 1 km o utilizando tecnología de inspección, para determinar la continuidad de su integridad;
II.       El Ducto conserve su integridad mecánica considerando las condiciones operativas actuales, sin exceder las especificaciones de Diseño en toda su trayectoria;
III.      La presión inicial corresponda a un 10% de la presión calculada; y cada hora la presión se incremente en un 10%, hasta alcanzar el 100%, y/o
IV.      Esté sujeto a un programa de administración de integridad mecánica inmediata y futura, con base en estudios de inspección mediante corrida de Diablo instrumentado o inspección indirecta.
8.2.4.    Cambio en la Clase de localización
8.2.4.1.    Cuando se presente un cambio en la Clase de localización, se debe realizar una Evaluación de ingeniería para determinar al menos lo siguiente:
I.        Nueva Clase de localización del Ducto;
II.       PMOP de la nueva Clase de localización;
III.      Que la integración de datos e información analizados de las condiciones de diseño, construcción y pruebas; así como, el estado actual de confiabilidad e integridad de la infraestructura e historial de Operación y Mantenimiento, cumplen con los requerimientos de la nueva Clase de localización;
IV.      Acciones correctivas y/o de Mitigación para adecuar el Ducto, en caso de que no se cumpla con los requerimientos de la nueva Clase de localización;
V.       Acciones para preservar los límites de operación siempre que estas no rebasen las condiciones de diseño, y/o
VI.      Acciones para administrar o mitigar los Riesgos identificados en el cambio de la Clase de localización.
8.2.4.2.    Cuando los resultados de la Evaluación de ingeniería demuestren que la Sección o tramos analizados pueden seguir operando en las condiciones actuales de operación de la nueva Clase de localización, se debe mantener la PMOP inicial y en caso de que exista nueva información que pueda alterar el resultado de la Evaluación de ingeniería aprobada, se deben implementar las acciones a seguir.
8.2.4.3.    El Regulado debe conservar durante la vida útil del Sistema de Transporte y tener disponible en sus instalaciones, la información referente a los cambios en la Clase de localización, las Evaluaciones de ingeniería, modificaciones y pruebas realizadas, para cuando la Agencia lo requiera.
8.2.5.    Revisión y confirmación de la PMOP por cambio de Clase de localización
8.2.5.1.    Los tramos que se encuentren en condiciones operativas donde el Esfuerzo tangencial correspondiente a la PMOP establecida ya no corresponda con la Clase de localización, se debe revisar y confirmar el valor actual de la PMOP. En todos los casos se debe seleccionar la menor de las presiones calculadas, de acuerdo con los criterios siguientes:
I.        La PMOP calculada con la nueva Clase de localización de la Sección, se debe reducir de manera que el Esfuerzo tangencial correspondiente sea menor que la PMOP original en esa misma Clase de localización;
II.       Si se realizó la prueba de presión a la Sección durante un periodo mayor de 8 horas, se debe seleccionar la PMOP de acuerdo con lo establecido en la Tabla 12.
Tabla 12.- Revisión y confirmación de la PMOP
Clase de
localización
PMOP
Esfuerzo tangencial
máximo
1 y 2
0.800 veces la presión de prueba
72% de la (RMC)
3
0.667 veces la presión de prueba
60% de la (RMC)
4 y 5
0.555 veces la presión de prueba
50% de la (RMC)
 
III.      Para los tramos que no han sido probados, se debe establecer su PMOP de acuerdo con los criterios siguientes:
a)    La PMOP actual no debe exceder la original antes de la prueba;
b)    La PMOP después de la prueba debe ser la indicada en la Tabla 12, y
c)    El porcentaje de la RMC al que debe operar el Ducto debe ser el indicado de la Tabla 12, de acuerdo con la Clase de localización actual, en caso de cambio.
IV.      La modificación de la PMOP de un tramo de Ducto de acuerdo con este numeral no excluye su reevaluación por integridad o necesidades operativas.
8.2.5.2.    Cuando se confirme un cambio en la Clase de localización se debe realizar una Evaluación de ingeniería en un plazo de 90 días naturales; al concluir la Evaluación de ingeniería se deben cumplir las acciones resultantes en un plazo no mayor a 18 meses.
8.2.5.3.    Cuando debido al cambio en la Clase de localización no resulte viable una reducción de la PMOP, se deben considerar alguna de las opciones siguientes:
I.        El reemplazo de la Sección involucrada del Ducto por uno que cumpla con los requisitos de PD correspondientes a la nueva Clase de localización;
II.       La implementación de las recomendaciones y medidas de seguridad y Mitigación, con base en una nueva evaluación del ARSH a efecto de administrar el Riesgo, o
III.      La implementación de medidas de seguridad, acciones correctivas y/o de Mitigación con base a una nueva Evaluación de ingeniería a efecto de mantener la integridad mecánica del Sistema de Transporte y la Seguridad Industrial y Operativa y protección al medio ambiente.
8.2.5.4.    La reevaluación de la PMOP del Sistema de Transporte debe realizarse con base en los factores de Clase de localización utilizados en el Diseño y Construcción, en tanto no existan modificaciones al Diseño.
8.2.6.    Reevaluación de la PMOP por integridad del Ducto
            Cuando se requiera modificar la PMOP de un Ducto por afectación a la integridad se debe realizar lo siguiente:
I.        Revisar la Evaluación de ingeniería para ajustar los parámetros de operación y que se encuentren dentro de los límites permitidos;
II.       Establecer las acciones preventivas de seguridad para administrar y mitigar los Riesgos en caso de continuar operando el Sistema de Transporte;
III.      Establecer las medidas de seguridad en caso de someter a reparación la parte afectada del Sistema de Transporte, o
IV.      En caso de detener la operación para reparación del Ducto, se debe desarrollar un procedimiento para la reparación y restablecimiento de la operación.
8.2.7.    Reevaluación de la PMOP por necesidades operativas
            Cuando se requiera modificar las condiciones de operación de un Ducto por necesidades operativas se debe realizar lo siguiente:
I.        Revisar la Evaluación de ingeniería de manera que las nuevas condiciones se encuentren dentro de los límites permitidos;
II.       El incremento de presión se debe realizar gradualmente considerando no rebasar la PMOP establecida de acuerdo con lo siguiente:
a)    Contar con procedimiento debidamente formalizado para desarrollar las actividades de incremento de presión;
b)    Establecer las medidas de seguridad necesarias y límites de presión para que la Sección del Ducto no sea expuesta a presiones que puedan afectar su integridad;
c)    Los incrementos deben ser no mayores del 10% de la presión cada hora. Al final de cada incremento gradual, la presión se debe mantener constante para verificar si no existen Fugas, y
d)    Las Fugas detectadas se deben reparar antes de realizar un nuevo incremento gradual de presión.
III.      En caso de ser necesario exceder los parámetros de la PMOP se debe desarrollar una nueva Evaluación de ingeniería y seguir lo establecido para las nuevas condiciones de operación, y/o
IV.      Cuando como resultado de la Evaluación de ingeniería no resulte viable el incremento de la PMOP, se debe mantener la PMOP actual, en tanto no se subsanen las deficiencias encontradas en dicha evaluación.
8.2.8.    Dispositivos de control de presión
8.2.8.1.    Cuando exista un cambio en la PMOP de un Ducto, se deben cambiar y/o ajustar los dispositivos de protección por sobrepresión.
8.2.8.2.    Los dispositivos de relevo de presión, limitadores de presión y control de presión deben ser inspeccionados y probados cuando menos una vez cada año calendario, con un intervalo máximo de 15 meses entre una inspección y otra, excepto la prueba de discos de ruptura, cuya vida útil está determinada de acuerdo con las especificaciones del fabricante.
8.2.9.    Patrullaje del Sistema de Transporte
8.2.9.1.    A efecto de identificar Riesgos, el Regulado debe contar con un programa de patrullaje sobre la Franja de seguridad, para identificar las condiciones del Sistema de Transporte tomando en cuenta al menos los aspectos siguientes:
I.        Fugas;
II.       Cambios en la Clase de localización;
III.      Invasiones;
IV.      Robos o sustracción de Componentes o dispositivos;
V.       Daños por terceros;
VI.      Condiciones inseguras del Ducto;
VII.     Actividades de construcción;
VIII.    Excavaciones;
IX.      Señalización adecuada y en sitio;
X.       Corrosión en instalaciones superficiales;
XI.      Tomas clandestinas;
XII.     Perforaciones en los Ductos;
XIII.    Deslaves, y
XIV.    Hundimientos.
8.2.9.2.    El patrullaje sobre la Franja de seguridad se debe realizar tomando en cuenta al menos uno de los métodos y/o medios siguientes:
I.        A pie;
II.       Vehículo de transporte terrestre, y/o
III.      Aéreo, considerando drones o helicópteros.
8.2.9.3.    La frecuencia de los patrullajes sobre la Franja de seguridad se debe realizar al menos una vez al mes tomando en cuenta como mínimo, los factores siguientes:
I.        Longitud del Ducto;
II.       Topografía;
III.      Acceso y problemáticas particulares de la Sección involucrada;
IV.      Clase de localización, y
V.       Clima y otros factores naturales.
8.2.9.4.    En áreas pobladas, áreas naturales de reserva y/o protegidas, carreteras, cruces de ríos y ferrocarril, y áreas públicas de recreo como parques y campos de juego, el patrullaje debe ser más frecuente.
8.2.9.5.    Cuando derivado del patrullaje se identifique que un Ducto presenta condiciones de Riesgo o no satisfactorias, se debe realizar un programa para reacondicionar o eliminar las desviaciones detectadas; y reevaluar la PMOP, en caso de ser requerido.
8.2.9.6.    El Regulado debe generar un reporte de cumplimiento del programa de patrullaje y tenerlo disponible en sus instalaciones durante la vida útil del Sistema de Transporte, para cuando la Agencia lo requiera.
8.2.10.   Estaciones de compresión
8.2.10.1.   Los dispositivos de relevo de presión de la Estación de compresión, excepto la prueba de discos de ruptura, cuya vida útil está determinada por el fabricante; se deben inspeccionar, probar y en su caso calibrar para corroborar su operatividad, cada dispositivo debe contar con una placa o etiqueta que contenga la fecha y presión de calibración, fecha de la próxima calibración y personal que la realizó.
8.2.10.2.   Los dispositivos de paro por emergencia se deben inspeccionar y probar, como mínimo, una vez cada año calendario para verificar que están disponibles y en condiciones de operar correctamente, y estos deben contar con una placa o etiqueta que contenga la fecha y resultado de la prueba, fecha de la próxima prueba y personal que la realizó.
8.2.10.3.   Los tanques de almacenamiento superficiales deben mantener su integridad de acuerdo con lo establecido en la normatividad vigente, códigos y estándares nacionales e internacionales aplicables.
8.2.10.4.   La Estación de compresión debe contar con sistemas fijos de detección de mezclas explosivas y fuego con alarma visible y audible, salvo que, presente las características siguientes:
I.        El edificio esté construido de tal manera que al menos el 50% de su área lateral vertical esté permanentemente abierta, y
II.       La Estación de compresión sea de hasta 1,000 caballos de fuerza y no esté tripulada.
8.2.10.5.   Los sistemas fijos de detección de mezclas explosivas deben monitorear continuamente la Estación de compresión para detectar concentraciones de Gas Natural en aire del 5% del Límite Inferior de Explosividad (LIE).
8.2.10.6.   El compresor debe contar con dispositivos de paro por emergencia y estos deben ser inspeccionados, probados y en su caso calibrados, una vez cada año calendario para garantizar su funcionamiento óptimo con base al manual de mantenimiento y de acuerdo por las recomendaciones del fabricante.
8.2.10.7.   Se debe realizar una inspección en la Estación de compresión para identificar si existen condiciones de corrosión y deterioros causados, atendiendo lo establecido en el Apéndice A (Normativo).
8.2.10.8.   Los materiales combustibles utilizados para el uso diario en las instalaciones de compresión se deben almacenar a una distancia mínima de 15 m de protección de acuerdo con lo establecido en la fracción III del numeral 6.4.6.
8.2.11.   Estaciones de regulación y/o medición
8.2.11.1.   Las Estaciones de regulación y/o medición se deben inspeccionar y verificar, como mínimo, una vez cada año calendario para determinar al menos los siguientes aspectos:
I.        Se encuentran en condiciones físicas y mecánicas seguras de acuerdo con lo establecido en el numeral 8.3.3;
II.       Se encuentran operando de acuerdo con las condiciones indicadas en el manual de operación, y
III.      Estén protegidas de polvo, líquidos y otras condiciones que no afecten su funcionamiento.
8.2.11.2.   Los dispositivos de relevo de presión de la Estación de regulación y/o medición se deben inspeccionar, probar y en su caso calibrar, para corroborar que no exista algún daño.
8.2.11.3.   Se deben contar con las medidas de seguridad para minimizar el Riesgo de una ignición, tomando en cuenta al menos, lo siguiente:
I.        Contar con equipo disponible para la medición de explosividad;
II.       Generar los registros de medición de explosividad durante la revisión;
III.      Retirar cualquier fuente de ignición del área y contar con el equipo de emergencia, en caso de emisiones de Gas Natural a la atmósfera;
IV.      Verificar que se mantienen las señales y avisos establecidas en el numeral 7.11.6, y
V.       Verificar que las conexiones a tierra de los equipos de la estación están operando adecuadamente.
8.2.12.   Odorización del Gas Natural
8.2.12.1.   Se debe odorizar el Gas Natural de los Ductos de Transporte ubicados en una Clase de localización 4 o 5 cuando la longitud del Ducto se extienda más de 2 km y/o se encuentre el 50% o más, en las Clases de localización antes mencionadas.
8.2.12.2.   No se requiere odorizar el Gas Natural en los Sistema de Transporte que se encuentren en los supuestos siguientes:
I.        Cuando el Sistema de Transporte suministre a una Instalación de Almacenamiento subterráneo;
II.       Cuando sea suministrado a una planta de procesamiento de Gas Natural o una planta de deshidratación de Gas Natural;
III.      Cuando el Sistema de Transporte suministre a una planta industrial, tales como centrales eléctricas, o donde el odorante no sirva como un agente de advertencia o pueda perjudicar al proceso, o
IV.      Cuando el Gas Natural sea utilizado en cualquier operación relacionada a la exploración o producción de Gas Natural antes de ser entregado a la actividad de Transporte.
8.2.12.3.   La odorización y el monitoreo se debe realizar y documentar de conformidad con lo establecido en el Apéndice D (Normativo).
8.2.13.   Medición de espesores
8.2.13.1.   Se debe realizar la medición de espesores de la pared del Ducto y en cambios de dirección de las instalaciones superficiales y una vez que se cuente con los datos suficientes, realizar un análisis estadístico para estimar la velocidad de desgaste y programar la medición siguiente o las acciones necesarias para mantener su correcto funcionamiento.
8.2.13.2.   Se debe establecer un programa de medición de espesores de la pared del Ducto en instalaciones superficiales con base en lo siguiente:
I.        En instalaciones nuevas previo al inicio de operaciones (línea base);
II.       Una vez cumplido el año de operación, realizar una reevaluación para establecer la tasa de erosión o corrosión existente y determinar el programa de medición subsecuente;
III.      Tres evaluaciones con un intervalo de un año entre ellas para instalaciones en operación que permitan establecer la tasa de erosión o corrosión existente y determinar el programa de medición subsecuente;
IV.      Determinar el tiempo de retiro del Ducto, y
V.       Despreciar el espesor del recubrimiento.
8.2.13.3.   La medición de espesores de pared del Sistema de Transporte para Instalaciones superficiales se debe realizar en la entrada y salida de los equipos y Componentes, y en:
I.        Válvulas de seccionamiento;
II.       Estaciones de compresión;
III.      Estaciones de regulación y/o medición;
IV.      Pasos aéreos, y
V.       Trampas de diablos.
8.2.13.4.   La evaluación del Sistema de Transporte para Instalaciones enterradas donde no se cuente con Trampa de diablos, se deben aplicar alguno de los métodos directos establecidos en la fracción II del numeral 8.3.3.1.
8.3.    Mantenimiento
8.3.1.    Manual de mantenimiento
            El Regulado debe contar con un manual de mantenimiento que contenga la documentación relacionada con los procedimientos y las especificaciones y recomendaciones del fabricante. El contenido debe ser de carácter predictivo, preventivo y correctivo, para evaluar y conservar la integridad y disponibilidad de los equipos y elementos que conforman la Instalación, tomando en cuenta como mínimo lo siguiente:
I.        Programa anual de mantenimiento con base a lo indicado en el numeral 8.1.1;
II.       Procedimientos para realizar el mantenimiento preventivo y correctivo de cada equipo y accesorio, elaborados con base en los planes de mantenimiento, las recomendaciones del fabricante y las mejores prácticas de la industria;
III.      Procedimientos de inspección y pruebas de cada equipo o accesorio de acuerdo con las recomendaciones del fabricante, y
IV.      Bitácoras de mantenimiento, inspección y pruebas.
8.3.2.    Administración de la integridad del Sistema de Transporte
            Se debe contar con una base de datos, la cual contenga la recopilación, revisión, integración y análisis de la información histórica y actualizada durante la Operación y Mantenimiento del Sistema de Transporte, tomando en cuenta al menos lo siguiente:
I.        Información del Libro de proyecto del numeral 6.12, de la etapa de Diseño;
II.       Documentos de la construcción, derivados de la actualización de Libro de proyecto, del numeral 7.13;
III.      Recomendaciones de los Hallazgos derivadas de la RSPA, y
IV.      Recomendaciones de los Hallazgos derivadas de la actualización del ARSH.
8.3.3.    Inspección y Análisis de Integridad
8.3.3.1.    Se deben utilizar métodos cualitativos o cuantitativos mediante inspección interna, externa e indirecta, para conocer preliminarmente el contenido y cantidad de Indicaciones, su ubicación y dimensiones, en el Sistema de Transporte, tomando en cuenta al menos lo siguiente:
I.        Inspección interna
         Se deben localizar, identificar y dimensionar de manera preliminar las Indicaciones a lo largo del Sistema de Transporte, tipo de Riesgo y las condiciones geométricas, tomando como referencia los métodos de inspección interna establecidos en la Tabla 13. La selección de los métodos de inspección interna a utilizar dependerá del historial del Sistema de Transporte y de las amenazas identificadas.
Tabla 13.- Equipo utilizado en inspección interna y detección de Indicaciones.
INSPECCIÓN INTERNA
EQUIPO PARA PÉRDIDA DE METAL
EQUIPO PARA DETECCIÓN DE GRIETAS
EQUIPO PARA DETECCIÓN
DE LA GEOMETRÍA
FUGA DE FLUJO MAGNÉTICO (MFL)
ULTRASONIDO
(Haz Recto)
ULTRASONIDO
(Haz Angular)
FLUJO TRANVERSAL
GEÓMETRA (CALIPER)
RESOLUCIÓN
ESTANDAR
ALTA RESOLUCIÓN
PÉRDIDA DE METAL (CORROSIÓN)
Detecta1 y Dimensióna2 no discrimina ID/OD
Detecta1 y Dimensiona2
Detecta1 y Dimensiona2
Detecta1 y Dimensiona2
Detecta1 y Dimensiona2
No Detecta
Corrosión externa
Corrosión interna
Corrosión externa axial delgada
No Detecta
No Detecta3
Detecta1 y Dimensiona2
Detecta1 y Dimensiona2
Detecta1 y Dimensiona2
No Detecta
AGRIETAMIENTO Y DEFECTOS TIPO GRIETA (Axial)
No Detecta
No Detecta
No Detecta
Detecta1 y Dimensiona2
Detecta1 y Dimensiona2
No Detecta
Por corrosión bajo tensión (SCC)
Por fatiga
Imperfecciones en soldadura longitudinal
Fusión incompleta / Falta de fusión
Grietas en la línea de fusión
AGRIETAMIENTO CIRCUNFERENCIAL
No Detecta
Detecta4 y Dimensiona4
No Detecta
Detecta1 y Dimensiona2 si es modificado5
No Detecta
No Detecta
ABOLLADURAS
CURVATURAS CON ARRUGAS
Detecta6
Detección6 y Dimensionamiento no confiable
Detección6 y Dimensionamiento no confiable
Detecta7 y Dimensiona
APLASTAMIENTO
En caso de detección, se proporciona la posición circunferencial
Detecta7 y Dimensiona
RALLADURA O ENTALLADURA
Detecta1 y Dimensiona2
No Detecta
LAMINACIÓN O INCLUSIÓN
Detección limitada
Detección limitada
Detecta y Dimensiona2
Detecta y Dimensiona2
Detección limitada
No Detecta
REPARACIONES PREVIAS
Detección de camisas de acero y parches. Otros sólo con marcadores ferrosos
Detección sólo de camisas de acero y parches, soldado al Ducto
Detección sólo de camisas de acero y parches. Otros sólo con marcadores ferrosos
No Detecta
ANOMALIAS RELACIONADAS CON FABRICACIÓN
Detección limitada
Detección limitada
Detecta
Detecta
Detección limitada
No Detecta
CURVATURAS
No Detecta
No Detecta
No Detecta
No Detecta
No Detecta
Detecta y Dimensiona2, 9
OVALIDAD
No Detecta
No Detecta
No Detecta
No Detecta
No Detecta
Detecta y Dimensiona2, 8
COORDENADAS DEL DUCTO
Localiza 10
Localiza 10
Localiza 10
Localiza 10
Localiza 10
Localiza 10
NOTAS:
1.- Limitado por la profundidad, longitud y ancho de las Indicaciones detectables mínimas.
2.- Definido por la exactitud del dimensionamiento especificado del equipo.
3.- Si el ancho es más pequeño que el ancho mínimo detectable por el equipo.
4.- Probabilidad Reducida de la Detección (POD) para grietas estrechas.
5.- Transductores rotados a 90°.
6.- Confiabilidad reducida dependiendo del tamaño y forma de la abolladura.
7.- Dependiendo de la configuración del equipo, también en posición circunferencial.
8.- Si está equipado para medición de la ovalidad.
9.- Si está equipado para medición de curvaturas.
10.- Si está equipada con módulo o dispositivo de geoposicionamiento.
II.       Inspección directa
         Se deben determinar las Secciones del Sistema de transporte susceptibles a los Riesgos de corrosión externa (CE), corrosión interna (CI), Agrietamiento por corrosión bajo tensión (SCC) y Agrietamiento bajo tensión en presencia de sulfuros (SSC), mediante al menos los siguientes métodos de inspección:
a)    Inspección directa para CI
       Se debe realizar un análisis de flujo de fluidos para determinar las Secciones del Ducto con mayor velocidad de CI, causada por acumulación de líquidos, separación de fases, asentamiento de sólidos y lodos, y/o zonas susceptibles por altos esfuerzos cortantes, y
b)    Inspección directa para CE, SCC y SSC.
       Se debe realizar la inspección directa identificando las Secciones susceptibles a CE, SCC y SSC en la pared externa del Ducto; mediante la aplicación de alguna de las metodologías siguientes:
1.     Potenciales a intervalos cercanos (CIS);
2.     Gradiente de voltaje de corriente directa (DCVG);
3.     Gradiente de voltaje de corriente alterna (ACVG);
4.     Perfil de potenciales;
5.     Perfil de resistividad;
6.     Inspección visual;
7.     Perfil de pH;
8.     Electromagnetismo;
9.     Método Pearson, y/o
10.   Atenuación de corriente.
8.3.3.2.    El Regulado debe realizar el Monitoreo, detección y clasificación de Fugas de Gas Natural en el Sistema de Transporte de acuerdo con lo establecido en el Apéndice B (Normativo), así como cumplir con las DISPOSICIONES Administrativas de carácter general que establecen los Lineamientos para la prevención y el control integral de las emisiones de metano del Sector Hidrocarburos.
8.3.3.3.    Verificación de Indicaciones
              Se deben realizar inspecciones directas con pruebas no destructivas al Ducto, para localizar, identificar y dimensionar las Indicaciones contenidas, las cuales deben integrarse en un reporte de verificación que contenga como mínimo lo siguiente:
I.        La identificación del Ducto (nombre, diámetro y fecha de inspección);
II.       Localización de las Indicaciones con ubicación georreferenciada y coordenadas datum UTM;
III.      Clave de identificación del reporte;
IV.      Descripción de los equipos, así como sus certificados de calibración vigentes;
V.       Resultados de la inspección, incluyendo evidencia en función del método y técnica de prueba no destructiva aplicada;
VI.      Condición del recubrimiento externo en la Sección donde se realizó la inspección;
VII.     Estado de la superficie a inspeccionar (rugosidad, acabado, corrosión y limpieza);
VIII.    Representación esquemática de la localización de la Sección inspeccionada y de las Indicaciones detectadas;
IX.      Registro fotográfico de las Indicaciones detectadas, y
X.       Nombre y firma del personal que realizó la inspección y/o prueba no destructiva; así como, al menos la certificación como nivel II con base en el método, técnica y verificación de Indicaciones utilizado de acuerdo con lo establecido en la NMX-B-482-CANACERO-2016.
8.3.4.    Análisis de integridad
8.3.4.1.    Se debe realizar el análisis de las Indicaciones detectadas y/o el análisis estructural del Ducto; para determinar los parámetros de severidad que cuantifiquen el estado actual de integridad y que permitan programar y jerarquizar las actividades de mantenimiento, este análisis debe considerar, como mínimo la información de la base de datos del numeral 8.3.2.
8.3.4.2.    Se debe determinar la integridad del Sistema de Transporte, con base en estudios de ingeniería para la evaluación de las Indicaciones señaladas en la Tabla 14 o en su caso utilizando métodos numéricos para el análisis estructural, y se debe determinar la fecha de la próxima inspección.
Tabla 14.- Estándares recomendados para aplicación de Métodos de evaluación de Indicaciones en el
Ducto y sus accesorios.
Tipo de Indicaciones
Estándar
Pérdida general de espesor (interna o externa).
Pérdida local de espesor (interna o externa).
Causadas por Corrosión, erosión, daño mecánico y sus combinaciones.
ASME B31G
API 579
BS 7910
Muesca o tallón.
Grietas causadas por mecanismos de SCC, SSC, HIC, fatiga, entre otros.
Indicaciones en soldadura (longitudinal, circunferencial o helicoidal).
API 579
BS 7910
Abolladura y combinaciones abolladura-entalla.
API 579
ASME B31.8
 
8.3.4.3.    El análisis estructural debe realizarse con la configuración geométrica actual y con las condiciones de cargas estáticas y dinámicas sobre el Sistema de Transporte, cumpliendo con los requisitos para las combinaciones de carga y criterios de aceptación.
8.3.4.4.    Si durante el análisis estructural del Sistema de Transporte, no se cumplen los criterios de evaluación, se debe realizar un análisis iterativo del comportamiento estructural para establecer las actividades de mantenimiento que permitan que opere dentro de los criterios de aceptación.
8.3.4.5.    Se debe realizar un análisis de fatiga para determinar el daño acumulado cuando una Sección del Sistema de Transporte cuente con doscientos o más ciclos de presurización manométrica desde cero hasta la PMOP por año y cuando se presenten esfuerzos cíclicos por vibración que excedan los niveles permitidos.
8.3.4.6.    El periodo entre inspecciones de integridad debe ser de acuerdo con el tiempo establecido en la Tabla 15, dependiendo de la técnica de inspección y el Riesgo, y debe determinarse en el Análisis de integridad, considerando como mínimo lo siguiente:
I.        La velocidad de crecimiento de las Indicaciones con base al Riesgo que afecte al Ducto;
II.       La reducción de la PMOP en caso de tendencia de crecimiento de las Indicaciones;
III.      Las reparaciones programadas y ejecutadas, y
IV.      Incrementos en las condiciones de operación (flujo, presión y temperatura), por arriba de los parámetros de severidad establecidos.
Tabla 15.- Intervalos de Evaluación de la integridad: Riesgos
dependientes del tiempo, corrosión interna y externa, plan prescriptivo
de gestión de la integridad
Técnica de
inspección
Período
(años) 1
Criterios
Presión de
operación sobre
50% RMC
Presión de operación
sobre 30% y hasta 50%
RMC
Presión de
operación inferior al
30% RMC
Prueba
hidrostática
5
TP a 1.25 veces la
PMOP 2
TP a 1.39 veces la PMOP
2
TP a 1.65 veces la
PMOP 2
10
TP a 1.39 veces la
PMOP 2
TP a 1.65 veces la PMOP
2
TP a 2.20 veces la
PMOP 2
15
No permitido
TP a 2.00 veces la PMOP
2
TP a 2.75 veces la
PMOP 2
20
No permitido
No permitido
TP a 3.33 veces la
PMOP 2
Inspección en
línea
5
Pf superior a 1.25
veces la PMOP 3
Pf superior a 1.39 veces la
PMOP 3
Pf superior a 1.65
veces la PMOP 3
10
Pf superior a 1.39
veces la PMOP 3
Pf superior a 1.65 veces la
PMOP 3
Pf superior a 2.20
veces la PMOP 3
15
No permitido
Pf superior a 2.00 veces la
PMOP 3
Pf superior a 2.75
veces la PMOP 3
20
No permitido
No permitido
Pf superior a 3.33
veces la PMOP 3
Evaluación
directa
5
Todas las
Indicaciones
inmediatas más una
programada 4
Todas las Indicaciones
inmediatas más una
programada 4
Todas las
Indicaciones
inmediatas más una
programada 4
10
Todas las
Indicaciones
inmediatas más
todas las
programadas 4
Todas las Indicaciones
inmediatas y más del 50%
de las programadas 4
Todas las
Indicaciones
inmediatas más una
programada 4
15
No permitido
Todas las Indicaciones
inmediatas más todas
las programadas 4
Todas las
Indicaciones
inmediatas y más del
50% las programadas
4
20
No permitido
No permitido
Todas las
indicaciones
inmediatas más todas
las programadas 4
NOTAS:
1.  Los intervalos son máximos y pueden ser inferiores, dependiendo de las reparaciones realizadas y de las actividades de prevención aplicadas. Además, algunas amenazas pueden ser extremadamente agresivas y pueden reducir considerablemente el intervalo entre las inspecciones. La ocurrencia de una falla dependiente del tiempo requiere una reevaluación inmediata del período.
2.  TP (Test Pressure) es la Presión de Prueba.
3.  Pf es la presión de falla pronosticada según lo establecido en ASME B31G o equivalente.
4.  Para el proceso de evaluación directa, las Indicaciones para la inspección se clasifican y priorizan utilizando NACE SP0204, Metodología de evaluación directa del Agrietamiento por corrosión bajo tensión (SCC); NACE SP0206, Metodología de evaluación directa de corrosión interna para Ductos que transportan Gas Natural normalmente seco (DG-ICDA); o NACE SP0502, Metodología de evaluación directa de la corrosión externa de tuberías. Las Indicaciones se basan en procesos y pueden no coincidir entre sí. Por ejemplo, las Indicaciones de evaluación directa de corrosión externa pueden estar en el mismo lugar no coincidir con las Indicaciones de evaluación directa de corrosión interna.
Fuente: Tabla 5.6.1-1, ASME B31.8S-2022
8.3.4.7.    El Regulado debe realizar la actualización del análisis estructural cuando se presenten eventos que modifiquen la configuración geométrica del Ducto, tales como, desplazamientos inesperados, movimientos de suelo y/o eventos sísmicos, entre otros.
8.3.4.8.    Cuando el Regulado utilice la prueba de presión como un método para evaluar la integridad del Ducto, debe cumplir con lo establecido en el numeral 8.3.8.
8.3.5.    Respuesta al Análisis de integridad
            El Regulado debe elaborar un programa de mantenimiento con base en los resultados obtenidos del Análisis de integridad, en el cual se identifique el tipo de atención requerida, tomando en cuenta lo siguiente:
I.        Atención Inmediata, se deben identificar los Defectos que pueden causar Fallas a corto plazo o antes de un año, considerando al menos los criterios siguientes:
a)    Criterio del TVR: Cuando el TVR sea menor a un año;
b)    Criterio de la PMOP: Cuando la PMOP se a menor a la presión de operación;
c)    Criterio de TMPO: Cuando la TMPO determinada sea menor a la temperatura de operación, y/o
d)    Cuando exista combinación de criterios.
II.       Atención programada, se deben identificar los Defectos que requieren atención programada y que pueden Fallar antes de la siguiente inspección de integridad, los cuales cumplen con al menos lo siguiente:
a)    Criterio de la PMOP: Cuando la PMOP sea menor que la PD;
b)    Criterio del TVR: El TVR sea mayor o igual que 1 año, pero menor o igual que la fecha de próxima inspección de integridad, o
c)    Criterio de TMPO: Cuando la TMPO determinada sea menor o igual que la temperatura de diseño.
8.3.6.    Actividades de mantenimiento y Mitigación
8.3.6.1.    Actividades de mantenimiento
8.3.6.1.1.    Se debe realizar el mantenimiento en función de los Riesgos aplicables, para reducir las Probabilidades de falla en el Sistema de Transporte, tomando en cuenta los tipos siguientes:
I.     Mantenimiento predictivo
a)    Inspección:
1.     Patrullaje;
2.     Inspección externa por prueba no destructiva;
3.     Inspección indirecta;
4.     Inspección Interna, y/o
5.     Inspección Muestral.
b)    Monitoreo:
1.     Protección Interior, y/o
2.     Protección Exterior.
c)    Prueba de presión.
II.     Mantenimiento preventivo
a)    Protección Interior mediante limpieza Interior;
b)    Protección Exterior:
1.     Protección con recubrimiento anticorrosivo y mecánico, y/o
2.     Protección catódica.
c)    Estructuras de protección como cercos, barricadas o bardas perimetrales en instalaciones superficiales.
III.    Mantenimiento correctivo
       Se deben realizar las actividades de mantenimiento correctivo para la eliminación de Defectos o Fallas presentadas en el Sistema de Transporte, el método de reparación estará en función del modo y severidad de la Falla, atendiendo lo establecido en el numeral 8.3.7 y la Tabla 16.
Tabla 16.- Métodos aceptables de prevención y reparación de Peligros
Métodos de prevención,
detección y reparación
Daños por terceros
Corrosión
Equipo
Operación
Incorrecta
Factores
climatológicos
Fabricante
Construcción
Fuerza
ext.
Medio
ambiente
Prevención / detección
FII
TPD
VND
CExt
CInt
E/OR
RB/T
F
AC/R
FJ/S
B
OI
CF
R
FLL/ I
TSD
TD
SDC
SFD
FA/
RB
CA/ P
DT
ACBT
Patrullaje aéreo
X
X
X
...
...
...
...
...
...
...
X
X
X
...
...
...
...
X
...
X
...
Patrullaje terrestre
X
X
X
X
...
...
...
...
...
...
X
X
X
...
...
...
...
X
...
X
...
Inspección Visual / mecánico
...
...
...
...
...
X
X
X
X
...
X
...
...
...
...
X
...
X
...
...
...
Sistema de llamadas
X
X
X
...
...
...
...
...
...
...
...
...
...
...
...
...
...
...
...
...
...
Auditoria de cumplimiento
...
...
...
...
...
...
...
...
...
X
...
...
...
...
...
...
...
...
...
...
...
Especs. Diseño
...
...
...
X
X
X
X
X
X
...
...
...
...
...
...
X
...
X
X
X
X
Especs. Materiales
...
...
...
...
...
X
X
X
X
...
X
...
X
X
X
...
X
X
...
...
...
Inspección de Fabricante
...
X
...
...
...
...
...
X
X
...
...
...
...
X
X
...
X
...
...
...
...
Inspección de transporte
...
X
...
...
...
...
...
...
...
...
...
...
...
X
X
...
...
...
...
...
...
Inspección y construcción
...
X
...
X
...
X
X
X
X
...
...
...
...
...
X
X
X
X
X
...
X
Prueba presión previa a servicio
...
X
...
...
...
...
...
...
...
...
...
...
...
X
X
X
X
X
X
...
...
Educación Pública
X
...
...
...
...
...
...
...
...
...
...
...
...
...
...
...
...
...
...
...
...
Comunicación con Autoridades
(Fed. Est. Municipales)
X
...
X
...
...
...
...
...
...
...
...
...
...
...
...
...
...
...
...
...
...
Procedim. Oper / Mtto
X
X
X
X
X
X
X
X
X
X
X
...
X
...
...
...
...
X
X
X
X
Entrenamiento de operadores
...
...
...
...
...
...
...
...
...
X
...
...
...
...
...
...
...
...
...
...
...
Aumentar señalización en la
Franja de seguridad
X
X
...
...
...
...
...
...
...
...
...
...
...
...
...
...
...
...
...
...
...
Aumentar frecuencia de
marcadores
X
X
...
...
...
...
...
...
...
...
...
...
...
...
...
...
...
...
...
...
...
Monitoreo de deformaciones
...
...
...
...
...
...
...
...
...
...
...
...
X
...
...
...
...
...
...
X
...
Protecciones externas
X
X
X
...
...
...
...
...
...
...
...
...
...
...
...
...
...
...
...
X
...
Mantenimiento de la Franja de
seguridad
X
X
...
...
...
...
...
...
...
...
...
...
...
...
...
...
...
...
...
X
...
Mantenimiento ROW
X
X
...
...
...
...
...
...
...
...
...
...
...
...
...
...
...
...
...
X
...
Incremento de Espesor
X
X
X
X
X
...
...
...
...
...
...
...
...
...
...
...
...
...
...
X
...
Cinta de emergencia
X
X
...
...
...
...
...
...
...
...
...
...
...
...
...
...
...
...
...
...
...
Monitoreo/Mantenimiento PC
...
...
...
X
...
...
...
...
...
...
...
...
...
...
...
...
...
...
...
...
X
Limpieza interna
...
...
...
...
X
...
...
...
...
...
...
...
...
...
...
...
...
...
...
...
...
Medidas de control de fugas
...
X
X
X
X
X
X
X
X
...
...
...
...
...
...
...
...
X
...
...
...
Corrida de Diablos / navegador
inercial
...
...
...
...
...
...
...
...
...
...
X
...
X
...
...
...
...
...
...
X
...
Corrida de Diablos / GPS.
...
...
...
...
...
...
...
...
...
...
X
...
X
...
...
...
...
...
...
X
...
Reducción de estrés externo
...
...
...
...
...
...
X
...
...
...
...
...
...
...
...
...
...
X
X
X
X
Instalación de trazado térmico
...
...
...
...
...
...
...
...
...
...
X
...
...
...
...
...
...
...
...
...
...
Relocalización de líneas
X
...
X
...
...
...
...
...
...
...
X
...
X
...
...
...
...
...
...
X
...
Rehabilitación
...
X
...
X
X
...
...
...
...
...
...
...
...
...
...
...
...
X
X
X
X
Reparación de recubrimiento
...
...
...
X
...
...
...
...
...
...
...
...
...
...
...
...
...
...
...
...
X
Incremento de profundidad en
cubierta
X
...
X
...
...
...
...
...
...
...
...
...
...
...
...
...
...
...
X
...
...
Reducción de temperatura de
operación.
...
...
...
...
...
X
...
...
X
...
...
...
...
...
...
...
...
...
...
...
X
Reducción de humedad
...
...
...
...
X
...
...
...
...
...
...
...
...
...
...
...
...
...
...
...
...
Inyección biocida/inhibidora
...
...
...
...
X
...
...
...
...
...
...
...
...
...
...
...
...
...
...
...
...
Instalar protección térmica
...
...
...
...
...
...
...
...
...
...
X
...
...
...
...
...
...
...
...
...
...
Reparaciones
Reducción de Condiciones de
Operación (Presión, Flujo,
Temperatura)
...
X
...
X
X
X
...
...
...
...
...
...
...
X
X
X
X
X
...
...
X
Reemplazo
X
X
X
X
X
X
X
X
X
...
X
X
X
X
X
X
X
X
X
X
X
ECI, repintado
...
...
...
X
X
...
...
...
...
...
...
...
...
...
...
X
...
...
...
...
...
Reparación por desbaste /ECI
...
X
X
...
...
...
...
...
...
...
...
...
...
X
X
X
X
...
...
...
X
Soldadura por aporte directo
...
C
C
C
C
...
...
...
...
...
...
...
...
C
C
C
C
...
...
...
...
Encamisado presurizada Tipo B
...
X
X
X
X
...
...
...
...
...
...
...
...
X
X
X
X
X
...
...
X
Encamisado reforzada tipo A
...
X
X
X
...
...
...
...
...
...
...
...
...
X
X
X
A/D
...
...
...
X
Encamisado compuesto
...
D
D
X
...
...
...
...
...
...
...
...
...
X
X
X
A
...
...
...
...
Encamisado relleno de epóxico
...
X
X
X
...
...
...
...
...
...
...
...
...
X
X
X
A
X
X
C
...
Silleta de refuerzo anular
...
...
...
...
...
...
...
...
...
...
...
...
...
...
...
...
B
...
...
...
...
Abrazadera de reparación de fuga
...
...
...
X
...
...
...
...
...
...
...
...
...
...
...
...
A
...
...
...
...
 
Códigos:
X =  Aceptable
. . . =  Inaceptable
A =  Estos pueden usarse para reparar tuberías rectas, pero no pueden usarse para reparar ramales y juntas en T.
B =  Estos pueden usarse para reparar ramales y juntas en T, pero no pueden usarse para reparar tuberías rectas.
C =  Los materiales, procedimientos de soldadura y las secuencias de paso deben diseñarse y aplicarse correctamente para garantizar que se evite el agrietamiento. Se debe tener especial cuidado para garantizar la seguridad de los trabajadores al soldar en líneas presurizadas. La orientación se puede encontrar en las publicaciones de W. A. Bruce et al., IPC2002-27131, IPC2006-10299, and IPC2008-64353.
D =  Esta reparación no está destinada a restaurar la resistencia de la tubería axial. Solo se puede usar para tuberías dañadas donde todos los elevadores de tensión se han aterrizado y la pared faltante está llena de relleno no compresible. Las transiciones en soldaduras circunferenciales entre accesorios y tuberías de pared gruesa requieren un cuidado adicional para garantizar que se restablece de forma efectiva la capacidad de carga circunferencial.
Notas Generales:
FII = Daños provocados por primera, segunda o tercera parte (fallo instantáneo/inmediato).
TPD = Tubería previamente dañada (modo de fallo retardado como Abolladuras y/o ranuras); véase ASME B31.8, párr. 851.4.2 y Apéndice no obligatorio R, párr. R-2.
VND = Vandalismo.
CExt = Corrosión externa.
CInt = Corrosión interna.
E/OR = Empaque u O-ring.
RB/TF = Roscas barridas / tubería fraccionada.
AC/R = Avería de equipo control / relevo.
FJ/SB = Fuga en junta / sello de bomba.
OI = Operación incorrecta.
CF = Clima frio.
R = Rayo.
FLL/I = Fuertes lluvias o inundaciones.
TSD = Tubería con soldadura defectuosa.
TD = Tubería defectuosa.
SDC = Soldadura defectuosa (circunferencial).
SFD = Soldadura de fabricación defectuosa, incluidas derivaciones y uniones en T.
FA/RB = Fallo de acoplamiento mecánico o rosca barrida.
CA/P = Curvatura arrugada o pandeo.
DT = Desplazamiento de terreno.
ACBT = Agrietamiento por corrosión bajo tensión.
ECI = Evaluación crítica de ingeniería.
Soldadura por aporte directo = Técnica de reparación especializada que requiere información detallada de los materiales y la validación del procedimiento para evitar posibles fisuras en las líneas activas.
8.3.6.1.2.    Los métodos correctivos utilizados para llevar a cabo las reparaciones al Sistema de Transporte deben contar con al menos la siguiente documentación:
I.     Memoria de cálculo;
II.     Certificados de materiales;
III.    Especificaciones de trabajos de soldadura:
a)    Procedimiento de soldadura (WPS);
b)    Registro de calificación de procedimiento (PQR);
c)    Registro de la calificación de la habilidad de soldadores (WPQ), y
d)    Lista de equipo y personal.
IV.   Informe de calibración de los equipos utilizados.
8.3.6.2.    Actividades de prevención
              Para reducir las Probabilidades de Falla del Sistema de Transporte y sus consecuencias en función de los Riesgos identificados, se deben implementar las actividades de prevención tomando en cuenta al menos las establecidas en la Tabla 16.
8.3.7.    Reparaciones
8.3.7.1.    Cuando se realicen reparaciones al Sistema de Transporte, se debe contar con los procedimientos enfocados al tipo de reparación requerida que contengan la descripción de las actividades de manera secuencial; así como, el listado de los métodos aplicables, herramientas e insumos para ejecutar la reparación.
8.3.7.2.    Las reparaciones al Sistema de Transporte deben ser supervisadas y ejecutadas por personal competente; así mismo, se deben tomar medidas inmediatas para proteger a las personas, el medio ambiente y las Instalaciones.
8.3.7.3.    Antes de reparar el Ducto por medios mecánicos o por soldadura, se debe determinar por medio de pruebas no destructivas si el tipo de reparación seleccionado es adecuado para mantener su integridad tomando en cuenta los métodos aceptables previstos en la Tabla 16.
8.3.7.4.    Se debe contar con el registro histórico de las reparaciones realizadas que indique el espesor actual y la ubicación de la Sección reparada del Sistema de Transporte, y debe mantenerse disponible durante la vida útil del Sistema, en formato físico o dispositivo de almacenamiento digital para cuando la Agencia lo requiera.
8.3.7.5.    Cuando se realicen reparaciones al Sistema de Transporte, el Regulado debe tomar en cuenta al menos, las medidas siguientes:
I.        Poner Fuera de operación la Sección para sustituir el carrete dañado por uno de las mismas especificaciones de diseño, y
II.       Cuando no sea posible poner Fuera de servicio la Sección, se debe reducir la presión de operación para llevar a cabo la reparación garantizando la seguridad de las personas, el medio ambiente y la Instalación.
8.3.7.6.    Las Abolladuras o Hendiduras se deben eliminar del Sistema de Transporte cuando se presenten al menos los casos siguientes:
I.        Estén acompañadas de rasgaduras, muescas, ranuras o quemadura de arco de soldadura que causen concentración de esfuerzos;
II.       Afecten la soldadura longitudinal o circunferencial;
III.      Excedan una profundidad de 6,4 mm (¼ in) en Ductos de diámetros de 304.8 mm (12 in) y menores;
IV.      Exceda el 6% del diámetro nominal del Ducto, y
V.       Hendiduras con una profundidad del 10% del espesor nominal de pared.
8.3.7.7.    Las áreas con concentraciones de esfuerzos, incluidas las ranuras, los arañazos y los daños mecánicos, deben tratarse como Hendiduras y estas deben ser retiradas o reparadas. Las marcas realizadas por las máquinas de aplicación de recubrimiento de recorrido en línea pueden considerarse estables y no requieren reparación.
8.3.7.8.    La tubería debe repararse utilizando un método aprobado de acuerdo con lo establecido en la Tabla 16.
8.3.7.9.    La profundidad de una Abolladura se debe medir como el espacio entre el punto más bajo de la Abolladura y una prolongación del contorno original de la tubería.
8.3.7.10.   Para Abolladuras superiores al 2% del diámetro nominal de la tubería, se debe utilizar una prueba ultrasónica (UT) o radiografía de onda cortante / matriz en fase, para asegurarse de que no haya Indicaciones similares a grietas o áreas con concentraciones de esfuerzos internos. Si hay un Defecto similar a una grieta o un concentrador de tensión interno, la Abolladura debe repararse de acuerdo con los métodos establecidos en la Tabla 16.
8.3.7.11.   La Abolladura simple en una soldadura (longitudinal, helicoidal o circunferencial) debe ser reparada si la profundidad de la indentación excede el 2% del diámetro nominal de la tubería (o la profundidad de la indentación excede las 0.250 in para diámetros nominales de tubería menores de 12.75 in) y la tensión excede el 4%.
8.3.7.12.   Una Abolladura, independientemente de la profundidad o el valor de la deformación, debe ser reparada si afecta a una soldadura circunferencial, una soldadura no dúctil similar o soldaduras de costura que son propensas a fracturas frágiles.
8.3.7.13.   Una Abolladura simple en el cuerpo de la tubería debe ser reparada si la profundidad de la indentación excede el 6% del diámetro nominal de la tubería (o la profundidad de la indentación excede las 0.500 in para diámetros nominales de tubería menores de 12.75 in) y la tensión excede el 6%.
8.3.7.14.   Las Hendiduras, grietas, quemaduras por arco y Defectos de fabricación dentro de una Abolladura se deben eliminar o reparar utilizando algún método previsto en la Tabla 16.
8.3.7.15.   El pulido está permitido dentro de las limitaciones definidas en la subsección Limitaciones de pulido de Abolladuras con concentrador de tensión, si la profundidad de la Abolladura es superior al 4%, debe ser reparada.
8.3.7.16.   Las Abolladuras con corrosión se deben reparar si se cumple con alguna de las siguientes condiciones:
I.        La resistencia restante de la tubería tiene una presión máxima segura menor que el PMOP del Segmento de tubería (conforme al cálculo de presión segura), o
II.       La profundidad de la Abolladura es del 6% o mayor que el diámetro nominal de la tubería.
8.3.7.17.   La profundidad de la Abolladura debe medirse desde la separación entre el punto más bajo de la misma y la prolongación del contorno original de la tubería.
8.3.7.18.   En las reparaciones del Sistema de Transporte, no se deben utilizar parches soldados o reparación de Abolladuras mediante martillado.
8.3.7.19.   Las soldaduras que sean rechazadas deben ser reparadas y posteriormente inspeccionadas para asegurar su confiabilidad, tomando en cuenta al menos, lo siguiente:
I.        Si la Sección del Sistema de Transporte está en servicio, se deben cumplir los requisitos siguientes:
a)    No existe Fuga en la soldadura;
b)    La presión en la Sección se reduzca para que no se genere un Esfuerzo tangencial mayor del 30% de la RMC del Ducto, y
c)    Después del esmerilado, el espesor remanente de la soldadura no debe ser inferior a 3.2 mm.
II.       Las soldaduras realizadas por medio de arco sumergido que tengan Defectos deben ser reparadas por medio de una envolvente bipartida soldable, tomando en cuenta que las soldaduras circunferenciales son opcionales, o
III.      Las soldaduras fabricadas por medio de resistencia eléctrica que tengan Defectos deben ser reparadas por medio de una envolvente bipartida soldable, tomando en cuenta que las soldaduras circunferenciales son obligatorias.
8.3.7.20.   Se deben eliminar las quemaduras con soldadura de arco en Ductos.
8.3.7.21.   Cuando el Regulado lleve a cabo en campo reparaciones definitivas de Fugas, se debe realizar al menos lo siguiente:
I.        Poner el Ducto Fuera de operación;
II.       Sustituir el carrete con una Sección de tubería que tenga una resistencia de diseño igual o mayor, o
III.      En caso de no ser posible sacar de servicio la Sección, la reparación se debe realizar mediante la instalación de envolventes bipartidas soldadas, atornilladas u otra técnica de reparación que permita eliminar la Fuga.
8.3.7.22.   Cuando la Sección del Sistema de Transporte sea reparada mediante sustitución, la Sección nueva debe cumplir con los requisitos del numeral 6 Diseño y 7 Construcción.
8.3.7.23.   En caso de utilizar envolventes en las reparaciones permanentes del Sistema de Transporte deben contar con al menos, las características siguientes:
I.        Sea soldada y se extienda longitudinalmente por lo menos 50 mm más allá del extremo del Defecto o imperfección;
II.       La concentración de esfuerzos a la flexión del Ducto debe localizarse dentro de la envolvente;
III.      El material de la envolvente debe tener características de resistencia igual o mayor a la presión y debe ser compatible con el Ducto;
IV.      Espaciamiento con otros dispositivos del Ducto;
V.       Soporte durante la instalación y operación, y/o
VI.      Realizar pruebas de presión.
8.3.7.24.   Las envolventes atornillables, se utilizan como reparación provisional y deben estar diseñadas y construidas para contener la presión del Ducto, de acuerdo con las especificaciones de diseño. En caso de que la envolvente atornillable se utilice como reparación permanente, debe ser soldada al Ducto en su totalidad.
8.3.8.    Pruebas de presión
8.3.8.1.    Previo al reinicio de operación el Regulado debe realizar la prueba de presión a la Sección del Sistema de Transporte, cuando se realicen ampliaciones, reparaciones y/o modificaciones.
8.3.8.2.    La prueba de presión se debe realizar con agua, aire o gas inerte de acuerdo con lo establecido en la Tabla 17, cuando se use agua debe estar libre de materiales que sedimenten y, en caso de usar aire, el equipo de compresión que se utilice debe contar con filtros para polvo y líquidos.
Tabla 17.- Requisitos para operación y prueba para Ductos de acero
Clase de localización
Medio de prueba
permitido
Presión de prueba prescrita
Mínima
Máxima
1
Agua
1.25 x PMO
----
2
Agua
1.25 x PMO
----
3
Aire o gas [Nota (1)
]
1.25 x PMO
PP 1.25, o la PD
Agua
1.25 x PMO
PP 1.25, o la PD
4
Agua [Nota (3)]
1.40 x PMO
----
5
Agua [Nota (3)]
1.40 x PMO
----
Notas:
(1) Para presiones de prueba con aire o gas, se debe considerar lo establecido en la Tabla 11.
(2) Las pruebas en Ductos en estaciones de compresión deben ser hidrostáticas en cumplimiento con los requisitos para la Clase de Localización 3.
(3) Si no se tienen las condiciones adecuadas para implementar una prueba hidrostática por condiciones extremas tales como, baja temperatura del suelo donde están alojados los Ductos o por insuficiente disponibilidad de agua con calidad satisfactoria libre de materiales que sedimenten, se puede implementar una prueba neumática con aire o gas.
 
8.3.8.3.    Se debe realizar una prueba hidrostática al Sistema de Transporte que haya estado en operación por más de 20 años y se encuentre en alguno de los supuestos siguientes:
I.        No cuente con un informe que proporcione datos de integridad, por medio de una corrida de Diablo instrumentado;
II.       No cuente con las especificaciones de los materiales empleados en la construcción, o
III.      No cuente con el historial sobre su Operación y Mantenimiento.
8.3.8.4.    Para realizar la prueba hidrostática establecida en el numeral 8.3.8.3, se debe integrar la información en una Evaluación de ingeniería, pudiendo ser inspeccionado por medio de calas cada 1 km o utilizando alguna tecnología de inspección, para determinar la continuidad de su integridad.
8.3.8.5.    La presión inicial de la prueba hidrostática establecida en el numeral 8.3.8.3, corresponderá a un 10% de la presión calculada; y cada hora la presión se incrementará en un 10%, hasta alcanzar el 100%.
8.3.8.6.    El Regulado debe conservar los informes de las pruebas de hermeticidad realizadas, durante la vida útil del Sistema de Transporte, en formato físico o dispositivo de almacenamiento digital para cuando la Agencia lo requiera.
8.3.8.7.    Si la prueba es hidrostática, la presión debe mantenerse como mínimo 8 horas y si es neumática debe mantenerse 24 horas.
8.3.9.    Registros
            Los registros o fosas que alojen válvulas, equipo de regulación y limitación de presión y que tengan una capacidad interna volumétrica igual o mayor de 6 m3, se deben inspeccionar en intervalos que no excedan de 15 meses, pero al menos una vez cada año calendario, para determinar que se encuentran en condiciones para operar, tomando en cuenta al menos, los aspectos siguientes:
I.        Las fugas identificadas se deben reparar de inmediato;
II.       Comprobar que la ventilación funcione adecuadamente, y
III.      Las cubiertas de las bóvedas no presenten Riesgo.
8.3.10.   Perforación de Ductos bajo presión
            Cuando se realice una perforación al Ducto bajo presión, se debe realizar por personal capacitado y entrenado, y aplicar procedimientos que tomen en cuenta al menos lo siguiente:
I.        Conocer los límites de presión del equipo a utilizar;
II.       Analizar e identificar Riesgos en planos, por la existencia de otras instalaciones en la zona de trabajo, y
III.      Contar con medidas de seguridad en caso de emergencia por los Riesgos identificados en el punto anterior.
8.3.11.   Estaciones de compresión
8.3.11.1.   Durante el mantenimiento y/o calibración de los equipos y Componentes de las Estaciones de compresión, se deben tomar en cuenta las especificaciones y recomendaciones del fabricante de al menos:
I.        Compresores y motores;
II.       Válvulas manuales y automatizadas;
III.      Válvulas de alivio de presión;
IV.      Instrumentación;
V.       Sistema de detección de gas y fuego;
VI.      Paros de emergencia;
VII.     Sistema de control y medición;
VIII.    Tubería;
IX.      Obra civil;
X.       Instalación eléctrica;
XI.      Sistema de tierras;
XII.     Sistema contra incendios;
XIII.    Tanques separadores o colectores, y
XIV.    Tanques de almacenamiento.
8.3.11.2.   De acuerdo con lo establecido en el programa anual de mantenimiento, se debe realizar la inspección por medio de pruebas no destructivas a la tubería expuesta a los efectos de vibración inducida por los compresores y/o por la descarga o flujo de Gas Natural, que sean susceptibles a la generación de grietas por fatiga en soldaduras.
8.3.12.   Estaciones de regulación y/o medición
8.3.12.1.   Los Componentes que conforman las Estaciones de regulación y/o medición de presión, se deben inspeccionar y probar como mínimo una vez cada año calendario, sin exceder quince meses.
8.3.12.2.   Durante el mantenimiento y/o calibración de los equipos y Componentes de las Estaciones de regulación y/o medición, se debe revisar al menos los siguiente:
I.        Válvulas reguladoras de presión;
II.       Válvulas de bloqueo manuales y automatizadas;
III.      Válvulas de alivio de presión;
IV.      Instrumentación;
V.       Filtros y/o separadores de líquidos;
VI.      Sistema de control y medición;
VII.     Detectores de fugas y/o mezclas explosivas, en caso de que aplique;
VIII.    Sistemas y/o equipos contra incendio;
IX.      Tubería, y
X.       Obra civil.
8.3.13.   Desactivación y reactivación de Ductos
8.3.13.1.   Cuando se realice la desactivación de una o varias Secciones del Sistema de Transporte, se debe tomar en cuenta al menos las medidas siguientes:
I.        Bloquear el sistema de suministro de Gas Natural, debe ser purgado y aislado usando bridas ciegas, cabezas soldadas, comales o el accesorio apropiado para cumplir el fin del bloqueo;
II.       Cuando un Ducto requiera ser bloqueado y deba llenarse con alguna sustancia diferente al Gas Natural, se debe poner atención en su desactivación y los efectos que pueda causar; así como, las consecuencias que se puedan presentar ante la eventualidad de una Fuga, y/o
III.      En Ductos que no han sido utilizados por un tiempo mayor a 15 meses se debe comprobar anualmente la efectividad del método de desactivación usado, el control de la corrosión y otras actividades de mantenimiento.
8.3.13.2.   Cuando se realice la reactivación de la Sección o las Secciones del Sistema de Transporte, se debe tomar en cuenta al menos, las medidas siguientes:
I.        Realizar una inspección y evaluar si existe una afectación a la integridad del Sistema;
II.       En caso de identificar afectaciones a la integridad se debe desarrollar una Evaluación de ingeniería para determinar si es operativamente viable reanudar el servicio nuevamente;
III.      Cuando la Evaluación de ingeniería indique que no es viable reanudar el servicio se deben implementar medidas correctivas necesarias para su reactivación, y/o
IV.      Las acciones de seguimiento de las Indicaciones identificadas durante la Administración de la integridad del Sistema de Transporte deben incorporarse en la base de datos derivada de la recopilación, revisión, integración y análisis de la información, estableciendo los métodos de reparación y tiempos de atención a dichas Indicaciones, esta base de datos debe mantenerse disponible en sus Instalaciones durante la vida útil del Sistema de Transporte, para cuando la Agencia lo requiera.
8.3.14.   Resultado de la Administración de la integridad
            Las acciones de seguimiento de las Indicaciones identificadas durante la Administración de la integridad del Sistema de Transporte deben incorporarse en la base de datos derivada de la recopilación, revisión, integración y análisis de la información, estableciendo los métodos de reparación y tiempos de atención de dichas Indicaciones que se realizaron conforme al numeral 8.3.5, esta base de datos debe mantenerse disponible en sus Instalaciones durante la vida útil del Sistema de Transporte, para cuando la Agencia lo requiera.
8.4.    Dictamen de Operación y mantenimiento
8.4.1.    Una vez cumplido el primer año de operaciones, el Regulado debe obtener un Dictamen anual de Operación y Mantenimiento para el Sistema de Transporte de Gas Natural por medio de Ductos terrestres, en el cual se constate el cumplimiento de los requisitos establecidos en el capítulo 8 Operación y Mantenimiento, mismo que debe ser emitido por una unidad de inspección acreditada por una Entidad de Acreditación y aprobada por la Agencia, que tendrá una vigencia de un año a partir de su emisión.
8.4.2.    El Regulado debe conservar y mantener disponible el original del Dictamen de Operación y Mantenimiento durante la vigencia de este, así como la documentación e información soporte presentada para la obtención de dicho Dictamen, en formato físico o dispositivo de almacenamiento digital para cuando la Agencia lo requiera, a través de los medios que esta establezca.
9.     Procedimiento de Evaluación de la Conformidad.
9.1.    Objetivo y requisitos generales
9.1.1.    El Procedimiento de Evaluación de la Conformidad tiene por objeto evaluar el cumplimiento a lo dispuesto en la presente Norma Oficial Mexicana y sus Apéndices Normativos.
9.1.2.    La Evaluación de la Conformidad de la presente Norma Oficial Mexicana debe realizarse por una Unidad de Inspección acreditada por una Entidad de Acreditación y aprobada por la Agencia, mediante la constatación ocular y/o documental y de acuerdo con lo establecido en el numeral 9.2.
9.2.    Procedimiento de Evaluación de la Conformidad
9.2.1.    Diseño
            La unidad de inspección acreditada por una Entidad de Acreditación y aprobada por la Agencia emitirá un dictamen de Diseño, para el Sistema de Transporte de Gas Natural por medio de Ductos terrestres nuevos o con modificaciones al Diseño, cuando constate que el Sistema de Transporte cumple con lo previsto en el capítulo 6. Diseño, de conformidad con los criterios de aceptación que se indican a continuación:
9.2.1.1.    Para evaluar el cumplimiento del numeral 6.1, se debe constatar documentalmente en el Libro de proyecto que se realizó la selección de la ruta del Ducto, conforme a los numerales 6.1.1, 6.1.2, así como que se cuenta con los planos a que se refiere el numeral 6.1.3.
9.2.1.2.    Para evaluar el cumplimiento del numeral 6.2, se debe constatar documentalmente en el Libro de proyecto que se realizó la identificación de las cargas externas impuestas al Ducto de acuerdo con lo establecido en el numeral referido.
9.2.1.3.    Para evaluar el cumplimiento del numeral 6.3.1, se debe constatar documentalmente en el Libro de proyecto que las Clases de localización se determinaron de acuerdo con lo establecido en los numerales 6.3.1.1, 6.3.1.2 y 6.3.1.3.
9.2.1.4.    Para evaluar el cumplimiento del numeral 6.3.2, se debe constatar documentalmente en el Libro de proyecto que la clasificación de las Clases de localización cumple con lo establecido en los numerales 6.3.2.1, 6.3.2.2 y 6.3.2.3.
9.2.1.5.    Para evaluar el cumplimiento del numeral 6.3.3, se debe constatar documentalmente en el Libro de proyecto que la PMOP cumple con lo establecido en los numerales 6.3.3.1 y 6.3.3.2.
9.2.1.6.    Para evaluar el cumplimiento del numeral 6.3.4, se debe constatar documentalmente en el Libro de proyecto que el diseño y la profundidad del Ducto cumplen con lo establecido en los numerales 6.3.4.1, 6.3.4.2 y 6.3.4.3.
9.2.1.7.    Para evaluar el cumplimiento del numeral 6.4, se debe constatar documentalmente en el Libro de proyecto que la separación entre Ductos cumple con lo establecido en los numerales 6.4.1 y 6.4.2.
9.2.1.8.    Para evaluar el cumplimiento del numeral 6.4 se debe constatar documentalmente en el Libro de proyecto que el resultado del estudio cumple con lo establecido en el numeral 6.4.3.
9.2.1.9.    Para evaluar el cumplimiento del numeral 6.4, se debe constatar documentalmente en el Libro de proyecto que el Sistema de Transporte cuenta con vías de acceso a las instalaciones previstas en el numeral 6.4.4.
9.2.1.10.   Para evaluar el cumplimiento del numeral 6.4, se debe constatar documentalmente en el Libro de proyecto la identificación y análisis de las construcciones aledañas al Ducto, mencionadas en el numeral 6.4.5.
9.2.1.11.   Para evaluar el cumplimiento del numeral 6.4, se debe constatar documentalmente en el Libro de proyecto que la Franja de seguridad cumple con lo establecido en el numeral 6.4.6.
9.2.1.12.   Para evaluar el cumplimiento del numeral 6.4, se debe constatar documentalmente en el Libro de proyecto que los Ductos que se ubican cerca de líneas de transmisión eléctrica, cumplen con los criterios y distancias, establecidos en los numerales 6.4.7, 6.4.8 y 6.4.9.
9.2.1.13.   Para evaluar el cumplimiento del numeral 6.5.1, se debe constatar documentalmente en el Libro de proyecto que los materiales de la tubería y Componentes cumplen con lo establecido en el numeral referido.
9.2.1.14.   Para evaluar el cumplimiento del numeral 6.5.2, se debe constatar documentalmente en el Libro de proyecto que la selección y cálculos de la tubería de acero se realizaron de acuerdo con lo establecido en los numerales 6.5.2.1, 6.5.2.2, 6.5.2.3, 6.5.2.4, 6.5.2.5, 6.5.2.6, 6.5.2.7 y 6.5.2.8.
9.2.1.15.   Para evaluar el cumplimiento del numeral 6.5.3, se debe constatar documentalmente en el Libro de proyecto que la selección de la tubería de polietileno y el cálculo de la PD se realizó de acuerdo con lo establecido en los numerales 6.5.3.1, 6.5.3.2, 6.5.3.3 y 6.5.3.4, respectivamente (en caso de aplicar).
9.2.1.16.   Para evaluar el cumplimiento del numeral 6.5.4, se debe constatar documentalmente en el Libro de proyecto que la selección de la tubería de poliamida sin plastificante y el cálculo de la PD se realizó de acuerdo con lo establecido en los numerales 6.5.4.1, 6.5.4.2, 6.5.4.3 y 6.5.4.4, respectivamente (en caso de aplicar).
9.2.1.17.   Para evaluar el cumplimiento del numeral 6.5.5.1, se debe constatar documentalmente en el Libro de proyecto que las válvulas seleccionadas cumplen con lo establecido en el numeral 6.5.5.1.1.
9.2.1.18.   Para evaluar el cumplimiento del numeral 6.5.5.1, se debe constatar documentalmente en el Libro de proyecto que la distancia entre válvulas cumple con lo establecido en los numerales 6.5.5.1.2 y 6.5.5.1.3.
9.2.1.19.   Para evaluar el cumplimiento del numeral 6.5.5.1, se debe constatar documentalmente en el Libro de proyecto que las Válvulas de seccionamiento a instalar cumplen con lo establecido en los numerales 6.5.5.1.4 y 6.5.5.1.5.
9.2.1.20.   Para evaluar el cumplimiento del numeral 6.5.5.1, se debe constatar documentalmente en el Libro de proyecto que las Válvulas de seccionamiento a instalar cumplen con lo establecido en los numerales 6.5.5.1.6, 6.5.5.1.7, 6.5.5.1.8 y 6.5.5.1.9.
9.2.1.21.   Para evaluar el cumplimiento del numeral 6.5.5.1, se debe constatar documentalmente en el Libro de proyecto que los dispositivos de relevo o de limitaciones de presión a instalar cumplen con lo establecido en los numerales 6.5.5.1.10 y 6.5.5.1.11.
9.2.1.22.   Para evaluar el cumplimiento del numeral 6.5.5.2, se debe constatar documentalmente en el Libro de proyecto que las bridas seleccionadas cumplen con lo establecido en los numerales 6.5.5.2.1 y 6.5.5.2.2.
9.2.1.23.   Para evaluar el cumplimiento del numeral 6.5.5.3, se debe constatar documentalmente en el Libro de proyecto que las conexiones seleccionadas cumplen con lo establecido en el numeral referido.
9.2.1.24.   Para evaluar el cumplimiento del numeral 6.5.5.4, se debe constatar documentalmente en el Libro de proyecto que los accesorios seleccionados cumplen con lo establecido en los numerales 6.5.5.4.1, 6.5.5.4.2 y 6.5.5.4.3.
9.2.1.25.   Para evaluar el cumplimiento del numeral 6.5.5.4, se debe constatar documentalmente en el Libro de proyecto que los accesorios de polietileno seleccionados cumplen con lo establecido en el numeral 6.5.5.4.4 (en caso de aplicar).
9.2.1.26.   Para evaluar el cumplimiento del numeral 6.5.5.4, se debe constatar documentalmente en el Libro de proyecto que los accesorios de poliamida sin plastificante seleccionados cumplen con lo establecido en el numeral 6.5.5.4.5 (en caso de aplicar).
9.2.1.27.   Para evaluar el cumplimiento del numeral 6.5.5.5, se debe constatar documentalmente en el Libro de proyecto que los soportes y anclajes seleccionados cumplen con lo establecido en los numerales 6.5.5.5.1, 6.5.5.5.2, 6.5.5.5.3, 6.5.5.5.4, 6.5.5.5.5 y 6.5.5.5.6.
9.2.1.28.   Para evaluar el cumplimiento del numeral 6.6, se debe constatar documentalmente en el Libro de proyecto que los registros subterráneos para válvulas y estaciones de relevo de presión o regulación cumplen con lo establecido en los numerales 6.6.1, 6.6.2, 6.6.3 y 6.6.4.
9.2.1.29.   Para evaluar el cumplimiento del numeral 6.7, se debe constatar documentalmente en el Libro de proyecto que las Estaciones de compresión se ubicaron de acuerdo con lo establecido en los numerales 6.7.1 y 6.7.2.
9.2.1.30.   Para evaluar el cumplimiento del numeral 6.7, se debe constatar documentalmente en el Libro de proyecto que la selección de materiales para la estructura de la Estación de compresión cumple con lo establecido en el numeral 6.7.3.
9.2.1.31.   Para evaluar el cumplimiento del numeral 6.7, se debe constatar documentalmente en el Libro de proyecto que el diseño de las salidas de la Estación de compresión cumple con los establecido en los numerales 6.7.4, 6.7.5, 6.7.6 y 6.7.7.
9.2.1.32.   Para evaluar el cumplimiento del numeral 6.7, se debe constatar documentalmente en el Libro de proyecto que el equipo eléctrico y la instalación del alumbrado de la Estación de compresión cumple con lo establecido en el numeral 6.7.8.
9.2.1.33.   Para evaluar el cumplimiento del numeral 6.7, se debe constatar documentalmente en el Libro de proyecto que los tanques separadores cumplen con lo establecido en los numerales 6.7.9 y 6.7.10.
9.2.1.34.   Para evaluar el cumplimiento del numeral 6.7, se debe constatar documentalmente en el Libro de proyecto que los dispositivos de paro por emergencia y las válvulas de corte de activación remota o automática cumplen con lo establecido en los numerales 6.7.11, 6.7.12 y 6.7.13.
9.2.1.35.   Para evaluar el cumplimiento del numeral 6.7, se debe constatar documentalmente en el Libro de proyecto que se cuenta con un sistema instrumentado de seguridad y dispositivos de relevo de presión o de protección y cumplen con lo establecido en los numerales 6.7.14, 6.7.15 y 6.7.16.
9.2.1.36.   Para evaluar el cumplimiento del numeral 6.7, se debe constatar documentalmente en el Libro de proyecto que la Estación de compresión cuenta con equipos de prevención, protección y de atención a emergencias, cumplen con lo establecido en el numeral 6.7.17.
9.2.1.37.   Para evaluar el cumplimiento del numeral 6.7, se debe constatar documentalmente en el Libro de proyecto que el edificio de la Estación de compresión cumple con lo establecido en el numeral 6.7.18.
9.2.1.38.   Para evaluar el cumplimiento del numeral 6.8.1, se debe constatar documentalmente en el Libro de proyecto que la Estación de regulación y/o medición cumple con lo establecido en el numeral referido.
9.2.1.39.   Para evaluar el cumplimiento del numeral 6.8.2, se debe constatar documentalmente en el Libro de proyecto que la obra civil de las Estaciones de regulación y/o medición cumplen con lo establecido en los numerales 6.8.2.1 y 6.8.2.2.
9.2.1.40.   Para evaluar el cumplimiento del numeral 6.8.3, se debe constatar documentalmente en el Libro de proyecto que la instalación eléctrica de las Estaciones de regulación y/o medición cumplen con lo establecido en el numeral referido.
9.2.1.41.   Para evaluar el cumplimiento del numeral 6.8.4, se debe constatar documentalmente en el Libro de proyecto que la obra mecánica de las Estaciones de regulación y/o medición cumplen con lo establecido en el numeral referido.
9.2.1.42.   Para evaluar el cumplimiento del numeral 6.8.5, se debe constatar documentalmente en el Libro de proyecto que los reguladores de presión cumplen con lo establecido en el numeral referido.
9.2.1.43.   Para evaluar el cumplimiento del numeral 6.8.6, se debe constatar documentalmente en el Libro de proyecto que los medidores cumplen con lo establecido en los numerales 6.8.6.1 y 6.8.6.2.
9.2.1.44.   Para evaluar el cumplimiento del numeral 6.9, se debe constatar documentalmente en el Libro de proyecto que las Trampas de diablos cumplen con lo establecido en los numerales 6.9.1, 6.9.2 y 6.9.3.
9.2.1.45.   Para evaluar el cumplimiento del numeral 6.10, se debe constatar documentalmente en el Libro de proyecto que el sistema de control de corrosión cumple con los establecido en el numeral referido.
9.2.1.46.   Para evaluar el cumplimiento del numeral 6.11, se debe constatar documentalmente en el Libro de proyecto que se cuenta con el ARSH y que cumple con lo establecido en los numerales 6.11.1, 6.11.2 y 6.11.3.
9.2.1.47.   Para evaluar el cumplimiento del numeral 6.12, se debe constatar documentalmente en el Libro de proyecto que se cuenta con la información establecida en los numerales 6.12.1, 6.12.2 y 6.12.3.
9.2.2.    Construcción
            La unidad de inspección emitirá un Dictamen de Construcción, para el Sistema de Transporte de Gas Natural por medio de Ductos terrestres nuevos o con modificaciones al diseño, cuando constate a través de la revisión documental y/o constatación ocular que la construcción y los equipos son acordes a la Ingeniería de detalle, a las modificaciones incorporadas en dicha ingeniería durante la construcción, y que las recomendaciones de los Hallazgos de Pre-arranque, identificados por el grupo de RSPA, que impiden el inicio o reinicio de operaciones fueron atendidas satisfactoriamente, conforme a lo previsto en el capítulo 7. Construcción, de acuerdo con los criterios de aceptación que se indican a continuación:
9.2.2.1.    Para evaluar el cumplimiento del numeral 7.1, se debe constatar documentalmente que la construcción del Ducto cumple con lo establecido en el numeral 7.1.1.
9.2.2.2.    Para evaluar el cumplimiento del numeral 7.1, se debe constatar documentalmente que se actualizó el ARSH de acuerdo con lo establecido en el numeral 7.1.2.
9.2.2.3.    Para evaluar el cumplimiento del numeral 7.1, se debe constatar documentalmente que se cuenta con los registros documentales y cumplen con los establecido en el numeral 7.1.3.
9.2.2.4.    Para evaluar el cumplimiento del numeral 7.1, se debe constatar documentalmente que se realizó la inspección de los materiales, de acuerdo con lo establecido en el numeral 7.1.4.
9.2.2.5.    Para evaluar el cumplimiento del numeral 7.1, se debe constatar documentalmente que se cuenta con personal técnico calificado de acuerdo con lo establecido en el numeral 7.1.5.
9.2.2.6.    Para evaluar el cumplimiento del numeral 7.1, se debe constatar documentalmente que se cuenta con el programa de ejecución de obra y cumple con lo establecido en el numeral 7.1.6.
9.2.2.7.    Para evaluar el cumplimiento del numeral 7.1, se debe constatar documentalmente que cuando se realizaron cambios a la Ingeniería de detalle en su versión APC, se documentó la administración del cambio y cumple con lo establecido en el numeral 7.1.7.
9.2.2.8.    Para evaluar el cumplimiento del numeral 7.2, se debe constatar documentalmente que se cuenta con los procedimientos y cumplen con lo establecido en los numerales 7.2.1, 7.2.2 y 7.2.3.
9.2.2.9.    Para evaluar el cumplimiento del numeral 7.3, se debe constatar documentalmente que durante el traslado de la tubería, se establecieron las medidas de protección a que se refiere dicho numeral.
9.2.2.10.   Para evaluar el cumplimiento del numeral 7.4.1, se debe constatar de manera documental y ocular, que la Franja de seguridad cumple con lo establecido en los numerales 7.4.1.1 y 7.4.1.2.
9.2.2.11.   Para evaluar el cumplimiento del numeral 7.4.1, se debe constatar de manera documental y ocular, que los Ductos menores a 508 mm (20 in) cumplen con lo establecido en el numeral 7.4.1.3.
9.2.2.12.   Para evaluar el cumplimiento del numeral 7.4.1, se debe constatar de manera documental y ocular, que los Ductos alojados dentro de una misma Franja de seguridad cumplen con lo establecido en los numerales 7.4.1.4, 7.4.1.5 y 7.4.1.6.
9.2.2.13.   Para evaluar el cumplimiento del numeral 7.4.1, se debe constatar de manera documental y ocular, que los Ductos se diseñaron e instalaron de acuerdo con lo establecido en el numeral 7.4.1.7.
9.2.2.14.   Para evaluar el cumplimiento del numeral 7.4.1, se debe constatar de manera documental y ocular, que la separación entre Ductos permite las actividades establecidas en el numeral 7.4.1.8.
9.2.2.15.   Para evaluar el cumplimiento del numeral 7.4.1, se debe constatar de manera documental y ocular, que cuando no se cumpla con las Tablas 6, 7 y 8, se cumpla con lo establecido en el numeral 7.4.1.9.
9.2.2.16.   Para evaluar el cumplimiento del numeral 7.4.1, se debe constatar de manera documental y ocular, que la Franja de seguridad se mantiene libre de acuerdo con lo establecido en el numeral 7.4.1.10.
9.2.2.17.   Para evaluar el cumplimiento del numeral 7.4.2, se debe constatar de manera documental y ocular, que los cambios de dirección de la tubería cumplen con lo establecido en el numeral referido.
9.2.2.18.   Para evaluar el cumplimiento del numeral 7.4.3, se debe constatar de manera documental y ocular, que previo al inicio de la perforación se cumple con lo establecido en los numerales 7.4.3.1 y 7.4.3.2.
9.2.2.19.   Para evaluar el cumplimiento del numeral 7.4.3, se debe constatar de manera documental y ocular, que la instalación del Ducto cumple con lo establecido en los numerales 7.4.3.3 y 7.4.3.4.
9.2.2.20.   Para evaluar el cumplimiento del numeral 7.4.3, se debe constatar documentalmente que se realizó la inspección y pruebas, y cumple con lo establecido en el numeral 7.4.3.5.
9.2.2.21.   Para evaluar el cumplimiento del numeral 7.4.4, se debe constatar de manera documental y ocular, que la instalación del Ducto en zanja cumple con lo establecido en los numerales 7.4.4.1 y 7.4.4.2.
9.2.2.22.   9.2.2.22. Para evaluar el cumplimiento del numeral 7.4.5, se debe constatar de manera documental y ocular, que la soldadura en el Ducto cumple con lo establecido en los numerales 7.4.5.1, 7.4.5.2, 7.4.5.3, 7.4.5.4, 7.4.5.5, 7.4.5.6 y 7.4.5.7.
9.2.2.23.   Para evaluar el cumplimiento del numeral 7.4.5, se debe constatar documentalmente que las inspecciones a la soldadura cumplen con lo establecido en los numerales 7.4.5.8, 7.4.5.9 y 7.4.5.10.
9.2.2.24.   Para evaluar el cumplimiento del numeral 7.4.5, se debe constatar documentalmente que se cuenta con los registros de las pruebas realizadas la soldadura y cumplen con lo establecido en el numeral 7.4.5.11.
9.2.2.25.   Para evaluar el cumplimiento del numeral 7.4.5, se debe constatar de manera documental y ocular, que las soldaduras rechazadas se repararon y cumplen con lo establecido en los numerales 7.4.5.12, 7.4.5.13 y 7.4.5.14.
9.2.2.26.   Para evaluar el cumplimiento del numeral 7.5, se debe constatar documentalmente que se cuenta con procedimientos para las reparaciones al Ducto, de acuerdo con lo establecido en el numeral 7.5.1.
9.2.2.27.   Para evaluar el cumplimiento del numeral 7.5, se debe constatar de manera documental y ocular, que las reparaciones al Ducto cumplen con lo establecido en los numerales 7.5.2, 7.5.3 y 7.5.4.
9.2.2.28.   Para evaluar el cumplimiento del numeral 7.6, se debe constatar de manera documental y ocular, que cuando existan cruces ferroviarios o carreteros, se cumple con lo establecido en los numerales 7.6.1 y 7.6.2.
9.2.2.29.   Para evaluar el cumplimiento del numeral 7.7, se debe constatar de manera documental y ocular, que se establecieron las medidas de protección de acuerdo con lo establecido en los numerales 7.7.1, 7.7.2, 7.7.3, 7.7.4 y 7.7.5.
9.2.2.30.   Para evaluar el cumplimiento del numeral 7.8, se debe constatar documentalmente que las pruebas de presión al Ducto cumplen con lo establecido en el numeral 7.8.1.
9.2.2.31.   Para evaluar el cumplimiento del numeral 7.8, se debe constatar de manera documental y ocular, que cuando se presentaron fugas durante la prueba, se cumple con lo establecido en el numeral 7.8.2.
9.2.2.32.   Para evaluar el cumplimiento del numeral 7.8, se debe constatar documentalmente que los informes de las pruebas de presión realizadas al Ducto cumplen con lo establecido en los numerales 7.8.3 y 7.8.4.
9.2.2.33.   Para evaluar el cumplimiento del numeral 7.8, se debe constatar documentalmente que las pruebas de los Ductos no metálicos cumplen con lo establecido en el numeral 7.8.5.
9.2.2.34.   Para evaluar el cumplimiento del numeral 7.9, se debe constatar de manera documental y ocular, que se cuenta con un sistema de control de corrosión y cumple con lo establecido en el numeral referido.
9.2.2.35.   Para evaluar el cumplimiento del numeral 7.10, se debe constatar de manera documental y ocular, que la zanja cumple con lo establecido en los numerales 7.10.1 y 7.10.2.
9.2.2.36.   Para evaluar el cumplimiento del numeral 7.11, se debe constatar de manera documental y ocular, que las señales y avisos cumplen con lo establecido en los numerales 7.11.1, 7.11.2, 7.11.3, 7.11.4, 7.11.5 y 7.11.6.
9.2.2.37.   Para evaluar el cumplimiento del numeral 7.12, se debe constatar de manera documental y ocular, que las Trampas de diablos cumplen con lo establecido en el numeral referido.
9.2.2.38.   Para evaluar el cumplimiento del numeral 7.13, se debe constatar documentalmente, que se actualizó el Libro de proyecto, de acuerdo con lo establecido en el numeral referido.
9.2.2.39.   Para evaluar el cumplimiento del numeral 7.14, se debe constatar documentalmente que la RSPA cumple con lo establecido en los numerales 7.14.1, 7.14.2, 7.14.3, 7.14.4, 7.14.5, 7.14.6 y 7.14.7.
9.2.2.40.   Para evaluar el cumplimiento del numeral 7.14, se debe constatar de manera documental y ocular, que las modificaciones y/o actualizaciones realizadas cumplen con lo establecido en el numeral 7.14.8.
9.2.2.41.   Para evaluar el cumplimiento del numeral 7.14, se debe constatar de manera documental y ocular, que la revisión de las Instalaciones y/o equipos cumple con lo establecido en el numeral 7.14.9.
9.2.2.42.   Para evaluar el cumplimiento del numeral 7.14, se debe constatar de manera documental y ocular, que la información resultante de la revisión de las Instalaciones o equipos cumple con lo establecido en numeral 7.14.10.
9.2.2.43.   Para evaluar el cumplimiento del numeral 7.14, se debe constatar documentalmente, que los integrantes del grupo responsable de llevar a cabo la RSPA identificaron y clasificaron los hallazgos de acuerdo con lo establecido en los numerales 7.14.11 y 7.14.12.
9.2.2.44.   Para evaluar el cumplimiento del numeral 7.14, se debe constatar documentalmente, que se cuenta con los programas de atención a las recomendaciones de los hallazgos y cumplen con lo establecido en los numerales 7.14.13 y 7.14.14.
9.2.2.45.   Para evaluar el cumplimiento del numeral 7.14, se debe constatar de manera documental y ocular, que las recomendaciones de los hallazgos cumplen con lo establecido en numeral 7.14.15.
9.2.2.46.   Para evaluar el cumplimiento del numeral 7.14, se debe constatar de manera documental y ocular, que se validó que las Instalaciones y/o equipos cumplen con los requisitos establecidos en los numerales 7.14.16, 7.14.17 y 7.14.18.
9.2.2.47.   Para evaluar el cumplimiento del numeral 7.14, se debe constatar documentalmente, que el acta de cierre de la totalidad de las recomendaciones cumple con lo establecido en numeral 7.14.19.
9.2.3.    Operación y mantenimiento
            La unidad de inspección emitirá un dictamen de Operación y Mantenimiento, cuando constate que el personal, las instalaciones y los equipos cumplen con lo previsto en el capítulo 8. Operación y mantenimiento, de conformidad con los criterios de aceptación que se indican a continuación:
9.2.3.1.    Para evaluar el cumplimiento del numeral 8.1, se debe constatar documentalmente, que se cumple con lo establecido en los numerales 8.1.1 y 8.1.2.
9.2.3.2.    Para evaluar el cumplimiento del numeral 8.1, se debe constatar de manera documental y ocular, que se cumple con lo establecido en el numeral 8.1.3.
9.2.3.3.    Para evaluar el cumplimiento del numeral 8.1, se debe constatar de manera documental y ocular, que se cuenta con el programa anual de capacitación y entrenamiento, y cumple con lo establecido en los numerales 8.1.4 y 8.1.5.
9.2.3.4.    Para evaluar el cumplimiento del numeral 8.2.1, se debe constatar de manera documental y ocular, que el manual de Operación y los procedimientos cumplen con lo establecido en los numerales 8.2.1.1, 8.2.1.2, 8.2.1.3, 8.2.1.4 y 8.2.1.5.
9.2.3.5.    Para evaluar el cumplimiento del numeral 8.2.2, se debe constatar documentalmente, que el purgado de los Ductos se realizó de acuerdo con lo establecido en los numerales 8.2.2.1 y 8.2.2.2.
9.2.3.6.    Para evaluar el cumplimiento del numeral 8.2.3, se debe constatar documentalmente, que la PMOP se determinó de acuerdo con lo establecido en el numeral 8.2.3.1.
9.2.3.7.    Para evaluar el cumplimiento del numeral 8.2.3, se debe constatar de manera documental y ocular, que la PMOP cumple con lo establecido en el numeral 8.2.3.2.
9.2.3.8.    Para evaluar el cumplimiento del numeral 8.2.3, se debe constatar documentalmente, que las Secciones nuevas del Sistema de Transporte cumplen con lo establecido en el numeral 8.2.3.3.
9.2.3.9.    Para evaluar el cumplimiento del numeral 8.2.4, se debe constatar de manera documental y ocular, que la Evaluación de ingeniería referente a los cambios de Clase de localización cumple con lo establecido en los numerales 8.2.4.1, 8.2.4.2 y 8.2.4.3.
9.2.3.10.   Para evaluar el cumplimiento del numeral 8.2.5, se debe constatar de manera documental y/u ocular, que la revisión y confirmación de la PMOP cumple con lo establecido en los numerales 8.2.5.1, 8.2.5.2, 8.2.5.3 y 8.2.5.4.
9.2.3.11.   Para evaluar el cumplimiento del numeral 8.2.6, se debe constatar de manera documental y ocular, que la PMOP fue reevaluada por integridad del Ducto, cumple con lo establecido en el numeral referido.
9.2.3.12.   Para evaluar el cumplimiento del numeral 8.2.7, se debe constatar de manera documental y/u ocular, si la PMOP fue reevaluada por necesidades operativas, cumple con lo establecido en el numeral referido.
9.2.3.13.   Para evaluar el cumplimiento del numeral 8.2.8, se debe constatar de manera documental y ocular, que los dispositivos cumplen con lo establecido en los numerales 8.2.8.1 y 8.2.8.2.
9.2.3.14.   Para evaluar el cumplimiento del numeral 8.2.9, se debe constatar de manera documental y ocular, que el patrullaje sobre la Franja de seguridad cumple con lo establecido en los numerales 8.2.9.1, 8.2.9.2, 8.2.9.3, 8.2.9.4, 8.2.9.5. y 8.2.9.6.
9.2.3.15.   Para evaluar el cumplimiento del numeral 8.2.10, se debe constatar de manera documental y ocular, que los dispositivos de relevo de presión cumplen con lo establecido en el numeral 8.2.10.1.
9.2.3.16.   Para evaluar el cumplimiento del numeral 8.2.10, se debe constatar de manera documental y ocular, que los dispositivos de paro por emergencia cumplen con lo establecido en el numeral 8.2.10.2.
9.2.3.17.   Para evaluar el cumplimiento del numeral 8.2.10, se debe constatar de manera documental y ocular, que los tanques de almacenamiento superficiales cumplen con lo establecido en el numeral 8.2.10.3.
9.2.3.18.   Para evaluar el cumplimiento del numeral 8.2.10, se debe constatar de manera documental y ocular, que se cuenta con sistemas fijos de detección de mezclas explosivas y fuego, y cumplen con lo establecido en los numerales 8.2.10.4 y 8.2.10.5.
9.2.3.19.   Para evaluar el cumplimiento del numeral 8.2.10, se debe constatar de manera documental y ocular, que los dispositivos de paro por emergencia del compresor cumplen con lo establecido en el numeral 8.2.10.6.
9.2.3.20.   Para evaluar el cumplimiento del numeral 8.2.10, se debe constatar de manera documental y ocular, que las inspecciones realizadas cumplen con lo establecido en el numeral 8.2.10.7.
9.2.3.21.   Para evaluar el cumplimiento del numeral 8.2.10, se debe constatar de manera documental y ocular, que el almacenamiento de materiales combustibles cumple con lo establecido en el numeral 8.2.10.8.
9.2.3.22.   Para evaluar el cumplimiento del numeral 8.2.11, se debe constatar de manera documental y ocular, que las Estaciones de regulación y/o medición cumplen con lo establecido en los numerales 8.2.11.1, 8.2.11.2 y 8.2.11.3.
9.2.3.23.   Para evaluar el cumplimiento del numeral 8.2.12, se debe constatar de manera documental y ocular, que la odorización del Gas Natural transportado se realizó de acuerdo con lo establecido en los numerales 8.2.12.1, 8.2.12.2 y 8.2.12.3.
9.2.3.24.   Para evaluar el cumplimiento del numeral 8.2.13, se debe constatar de manera documental y/u ocular, que la medición de espesores de la pared del Ducto cumple con lo establecido en los numerales 8.2.13.1, 8.2.13.2, 8.2.13.3 y 8.2.13.4.
9.2.3.25.   Para evaluar el cumplimiento del numeral 8.3.1, se debe constatar documentalmente, que se cuenta con el manual de Mantenimiento y cumple con lo establecido en el numeral referido.
9.2.3.26.   Para evaluar el cumplimiento del numeral 8.3.2, se debe constatar de manera documental, que se cumple con lo establecidos en el numeral referido.
9.2.3.27.   Para evaluar el cumplimiento del numeral 8.3.3, se debe constatar de manera documental y ocular, que los métodos de inspección utilizado cumple con lo establecido en el numeral 8.3.3.1.
9.2.3.28.   Para evaluar el cumplimiento del numeral 8.3.3, se debe constatar documentalmente, que el Monitoreo, detección y clasificación de fugas de Gas Natural cumple con lo establecido en el numeral 8.3.3.2.
9.2.3.29.   Para evaluar el cumplimiento del numeral 8.3.3, se debe constatar de manera documental y ocular, que la verificación de Indicaciones cumple con lo establecido en el numeral 8.3.3.3.
9.2.3.30.   Para evaluar el cumplimiento del numeral 8.3.4, se debe constatar de manera documental y/u ocular, que el análisis de integridad cumple con lo establecido en los numerales 8.3.4.1, 8.3.4.2, 8.3.4.3, 8.3.4.4, 8.3.4.5 y 8.3.4.7.
9.2.3.31.   Para evaluar el cumplimiento del numeral 8.3.4, se debe constatar de manera documental, que el periodo entre inspecciones de integridad cumple con lo establecido en el numeral 8.3.4.6.
9.2.3.32.   Para evaluar el cumplimiento del numeral 8.3.4, se debe constatar documentalmente, que cuando se utilizó la prueba de presión para evaluar la integridad, esta se realizó de acuerdo con lo establecido en el numeral 8.3.4.8.
9.2.3.33.   Para evaluar el cumplimiento del numeral 8.3.5, se debe constatar de manera documental y ocular, que el programa de mantenimiento cumple con lo establecido en el numeral referido.
9.2.3.34.   Para evaluar el cumplimiento del numeral 8.3.6.1, se debe constatar de manera documental y ocular, que el mantenimiento realizado cumple con lo establecido en el numeral 8.3.6.1.1.
9.2.3.35.   Para evaluar el cumplimiento del numeral 8.3.6.1, se debe constatar de manera documental, que la documentación de las reparaciones realizadas cumple con lo establecido en el numeral 8.3.6.1.2.
9.2.3.36.   Para evaluar el cumplimiento del numeral 8.3.6.2, se debe constatar de manera documental y ocular, que se implementaron las actividades de Mitigación de acuerdo con lo establecido en el numeral referido.
9.2.3.37.   Para evaluar el cumplimiento del numeral 8.3.7, se debe constatar de manera documental y ocular, que las reparaciones cumplen con lo establecido en los numerales 8.3.7.1, 8.3.7.3, 8.3.7.4 y 8.3.7.5.
9.2.3.38.   Para evaluar el cumplimiento del numeral 8.3.7, se debe constatar de manera documental, que las reparaciones cumplen con lo establecido en el numeral 8.3.7.2.
9.2.3.39.   Para evaluar el cumplimiento del numeral 8.3.7, se debe constatar de manera documental y ocular, que la reparación de las Abolladuras o Hendiduras cumplen con lo establecido en los numerales 8.3.7.6, 8.3.7.7, 8.3.7.8, 8.3.7.9, 8.3.7.10, 8.3.7.11, 8.3.7.12, 8.3.7.13, 8.3.7.14, 8.3.7.15, 8.3.7.16, 8.3.7.17 y 8.3.7.18.
9.2.3.40.   Para evaluar el cumplimiento del numeral 8.3.7, se debe constatar de manera documental y ocular, que las reparaciones realizadas al Sistema de Transporte cumplen con lo establecido en los numerales 8.3.7.19, 8.3.7.20, 8.3.7.21 y 8.3.7.22.
9.2.3.41.   Para evaluar el cumplimiento del numeral 8.3.7, se debe constatar de manera documental y ocular, que las envolventes utilizadas cumplen con lo establecido en los numerales 8.3.7.23 y 8.3.7.24.
9.2.3.42.   Para evaluar el cumplimiento del numeral 8.3.8, se debe constatar documentalmente, que se realizaron las pruebas de presión al Ducto, de acuerdo con lo establecido en los numerales 8.3.8.1, 8.3.8.2, 8.3.8.3, 8.3.8.4, 8.3.8.5, 8.3.8.6 y 8.3.8.7.
9.2.3.43.   Para evaluar el cumplimiento del numeral 8.3.9, se debe constatar de manera documental y ocular, que las inspecciones de los registros o fosas cumplen con lo establecido en el numeral referido.
9.2.3.44.   Para evaluar el cumplimiento del numeral 8.3.10, se debe constatar de manera documental y ocular, que la perforación del Ducto bajo presión cumple con lo establecido en el numeral referido.
9.2.3.45.   Para evaluar el cumplimiento del numeral 8.3.11, se debe constatar de manera documental y ocular, que se cumple con lo establecido en los numerales 8.3.11.1 y 8.3.11.2.
9.2.3.46.   Para evaluar el cumplimiento del numeral 8.3.12, se debe constatar de manera documental y ocular, que la inspección y el mantenimiento de la Estación de regulación y/o medición se realizó de acuerdo con lo establecido en los numerales 8.3.12.1 y 8.3.12.2.
9.2.3.47.   Para evaluar el cumplimiento del numeral 8.3.13, se debe constatar de manera documental y ocular, que la desactivación y reactivación de una o varias Secciones del Sistema de Transporte, se realizó de acuerdo con lo establecido en los numerales 8.3.13.1 y 8.3.13.2.
9.2.3.48.   Para evaluar el cumplimiento del numeral 8.3.14, se debe constatar de manera documental y ocular, que las acciones de seguimiento de las Indicaciones identificadas se incorporaron a la base de datos de acuerdo con lo establecido en el numeral referido.
10.   Grado de concordancia con normas nacionales e internacionales
       La Norma Oficial Mexicana no es equivalente con otras normas nacionales o internacionales.
11.   Verificación de la Norma
       La verificación del cumplimiento de la presente Norma Oficial Mexicana corresponde a la Agencia.
TRANSITORIOS
PRIMERO. - La presente Norma Oficial Mexicana, NOM-020-ASEA-2024, Transporte de Gas Natural por medio de Ductos terrestres (cancela a la NOM-007-ASEA-2016, Transporte de gas natural, etano y gas asociado al carbón mineral por medio de ductos), entrará en vigor a los 180 días naturales posteriores a su publicación en el Diario Oficial de la Federación.
SEGUNDO. - La presente Norma Oficial Mexicana, a su entrada en vigor cancela y sustituye la Norma Oficial Mexicana NOM-007-ASEA-2016, Transporte de gas natural, etano y gas asociado al carbón mineral por medio de ductos, publicada en el Diario Oficial de la Federación el día 05 de marzo de 2018.
TERCERO. - A partir de la entrada en vigor de la presente Norma Oficial Mexicana, los Regulados que realicen la actividad de Transporte de Gas Natural o etano en estado gaseoso por medio de Ductos terrestres, para el cumplimiento de la Administración de la integridad del Sistema de Transporte se sujetarán únicamente a lo previsto en la presente Norma Oficial Mexicana.
CUARTO. - Los Regulados que cuenten con Sistemas de Transporte de Gas Natural o etano en estado gaseoso por medio de Ductos terrestres que se encuentren en la etapa de Diseño o Construcción a la fecha de entrada en vigor de la presente Norma Oficial Mexicana, no les serán aplicables los capítulos 6. Diseño y 7. Construcción, de la presente Norma Oficial Mexicana, en tanto no haya una modificación al Diseño en el Sistema de Transporte de Gas Natural por medio de Ductos terrestres, y les serán exigibles las normas y estándares de Diseño y Construcción que fueron aplicables al momento de iniciar dicha etapa.
QUINTO. - Los Regulados que realicen la actividad de Transporte de Gas Natural o etano en estado gaseoso por medio de Ductos terrestres y se encuentren operando antes de la entrada en vigor de la presente Norma Oficial Mexicana, no les será aplicable lo dispuesto en los Capítulos 6. Diseño y 7. Construcción, hasta en tanto no haya una modificación al Diseño, y les serán exigibles las normas y estándares de Diseño y Construcción que fueron aplicables al momento de obtener el Dictamen.
SEXTO. - Los Regulados que se encuentren operando a la entrada en vigor de la presente Norma Oficial Mexicana, contarán con un plazo de 180 días naturales a partir de la entrada en vigor de esta, para cumplir con lo previsto en el Capítulo 8. Operación y Mantenimiento.
SÉPTIMO. - Los dictámenes de cumplimiento que hayan sido emitidos con anterioridad a la fecha de entrada en vigor de la presente Norma Oficial Mexicana, serán reconocidos por la Agencia hasta el término de su vigencia.
Apéndice A (Normativo)
Control de la corrosión externa en el Sistema de Transporte por Ductos
A.1. Introducción
A.1.1. Los Ductos o estructuras metálicas están expuestas a los efectos de la corrosión externa como consecuencia del proceso electroquímico que ocasiona el flujo de iones de la estructura metálica o del Ducto al electrolito que la rodea. Para reducir este efecto, es necesario ejercer un control de los factores que influyen en el proceso de corrosión, donde la adecuada selección del material del Ducto y la aplicación de los recubrimientos son las primeras barreras para mitigar este fenómeno.
A.1.2. Los medios de control de la corrosión en Ductos o estructuras metálicas se establecen en la etapa de Diseño y se implementan durante la Construcción. Se operan y mantienen durante toda la vida útil del Sistema de Transporte; por lo que es necesario que, para asegurar la continuidad y eficacia de dichos medios de control, se establezcan procedimientos de monitoreo, inspección y operación.
A.2. DEFINICIONES
Para efectos de este Apéndice (Normativo) se estará a las definiciones siguientes en singular o plural:
A.2.1. Ánodo: Elemento emisor de corriente eléctrica; es el electrodo de una celda en el cual ocurre el fenómeno de oxidación.
A.2.2. Ánodo galvánico o de sacrificio: Metal con potencial de oxidación más electronegativo que el del Ducto por proteger y que al emitir corriente eléctrica de protección, se consume.
A.2.3. Apantallamiento: Fenómeno del blindaje eléctrico que se presenta cuando por efecto de un material con características de aislamiento eléctrico u otro material metálico, impide o desvía el flujo de energía eléctrica de protección catódica hacia la estructura a proteger.
A.2.4. Cama anódica: Grupo de ánodos, ya sea inertes o galvánicos que forman parte del sistema de protección catódica.
A.2.5. Corrosión: Destrucción del metal por la acción electroquímica de ciertas sustancias a través de la oxidación o pérdida de electrones del metal.
A.2.6. Densidad de corriente: Corriente eléctrica directa por unidad de área, expresada usualmente en miliampere por metro cuadrado o miliampere por pie cuadrado.
A.2.7. Electrodo de referencia: Media celda electroquímica cuyo potencial es constante. Es un electrodo no polarizable.
A.2.8. Electrolito: Conductor iónico de corriente eléctrica directa. Se refiere al subsuelo o al agua en contacto con un Ducto metálico enterrado o sumergido.
A.2.9. Puntos de medición: Instalación para medir el potencial del Ducto ya sea natural o de polarización.
A.2.10. Interfaces: Transición a la que se somete el Ducto al cambiar de electrolito, pudiendo ser tierra-aire, tierra-concreto, concreto-aire, aire-agua, tierra-agua, etc.
A.2.11. Polarización: Magnitud de la variación de carga en un electrodo de un circuito abierto causado por el paso de una corriente eléctrica.
A.2.12. Potencial natural: Potencial espontáneo (sin impresión de corriente eléctrica directa) que adquiere una estructura metálica al estar en contacto con un electrolito. También denominado potencial de corrosión.
A.2.13. Potencial Ducto/suelo: Diferencia de potencial entre un Ducto de acero enterrado y/o sumergido protegido catódicamente y un electrodo de referencia en contacto con el electrolito.
A.2.14. Protección catódica: Procedimiento eléctrico para proteger las estructuras metálicas enterradas o sumergidas contra la corrosión exterior, el cual consiste en establecer una diferencia de potencial para que convierta a las estructuras metálicas en cátodo, mediante el paso de corriente eléctrica directa proveniente de la fuente seleccionada para el sistema.
A.2.15. Prueba de requerimiento de corriente: Aplicación de corriente eléctrica directa al Ducto por proteger catódicamente con el fin de cuantificar la corriente eléctrica de protección y determinar los alcances de protección para cada uno de los puntos de drenaje eléctrico.
A.2.16. Puenteo eléctrico: Conexión eléctrica entre Ductos mediante un conductor eléctrico y terminales fijas, con el fin de integrar en circuitos conocidos los Ductos adyacentes.
A.2.17. Recubrimiento anticorrosivo: Material que se aplica y adhiere a la superficie externa de un Ducto metálico para protegerla contra los efectos corrosivos producidos por el medio ambiente.
A.2.18. Rectificador: Equipo que convierte corriente eléctrica alterna en corriente eléctrica directa controlable.
A.2.19. Resistividad: Resistencia eléctrica por unidad de volumen del material. Las mediciones de esta propiedad indican la capacidad relativa de un medio para transportar corriente eléctrica.
A.2.20. Sistema de protección catódica (SPC): Conjunto de elementos como: Ánodos galvánicos o inertes, rectificadores de corriente eléctrica, cables y conexiones que tienen por objeto proteger catódicamente un Ducto de acero.
A.2.21. Sistema de recubrimiento anticorrosivo: Conjunto de recubrimientos relacionados entre sí, cuyas cualidades físicas y químicas se combinan para formar una barrera protectora adherida al sustrato metálico, con la finalidad de aislarlo de los efectos del medio corrosivo y que se compone de una a más capas de recubrimientos para combinar dichas cualidades.
A.3. Diseño
A.3.1. Los Ductos o estructuras metálicas (nuevos y existentes) deben ser protegidos mediante sistemas de recubrimientos anticorrosivos, los cuales tienen como función aislar la superficie metálica del Ducto del electrolito que lo rodea y de manera complementaria mediante SPC con la finalidad de mantener la confiabilidad en el material base de la tubería, realizando el aporte de la corriente que retarde o revierta los procesos de oxido-reducción que ocurren de manera natural o inducida.
A.3.2. Se debe evitar la existencia de pares galvánicos entre metales disimiles que puedan ocasionar o ser proclives a generar corrosión.
A.3.3. Se debe evitar el uso de encamisados en el Sistema de Transporte, sin embargo, de ser requeridos, estos deben estar eléctricamente aislados del Ducto y deben ser inspeccionados para verificar que continúen aislados del sistema.
A.3.4. Se deben realizar mediciones de la resistividad del suelo para ser usadas como base del cálculo de Diseño del SPC. La Tabla A.1 indica los efectos de corrosividad del suelo referidos a la resistividad del mismo.
Tabla A.1.- Relación entre la resistividad y corrosividad del terreno.
Resistividad del suelo (ohm/cm)
Corrosividad del suelo
0-1000
Altamente corrosivo
1000-5000
Corrosivo
5000-10000
Poco corrosivo
10000-en adelante
Muy poco corrosivo
 
A.3.5. Recubrimiento anticorrosivo
A.3.5.1. El sistema de recubrimiento anticorrosivo se debe seleccionar tomando en cuenta las condiciones de operación, la instalación, el manejo y el escenario particular de exposición del Ducto o estructura metálica a proteger, así como la compatibilidad con la protección catódica complementaria.
A.3.5.2. En las Secciones donde el Ducto o la estructura metálica queden expuestos a la superficie, se debe seleccionar y aplicar un recubrimiento anticorrosivo en la parte de la transición que prevenga la corrosión por concentración de oxígeno entre el tramo aéreo y el enterrado (interfaz suelo-aire), abarcando cuando menos 25 cm por debajo y encima del terreno.
A.3.5.3 Las secciones del Sistema de Transporte con interfaz suelo/agua/aire en continuidad con equipos de instrumentación deben contar con aislamientos dieléctricos.
A.3.6. Protección catódica
A.3.6.1. Se deben evaluar los efectos producidos por apantallamientos y pérdida de corriente de protección, realizando estudios que permitan identificar las causas de estos. Haciendo énfasis en zonas donde la trayectoria del Ducto cuente con infraestructura urbana y/o industrial.
A.3.6.2. Los tipos de SPC que se pueden emplear en Ductos o estructuras metálicas enterradas, ya sea en forma individual o combinada, son los siguientes:
I.     Ánodos galvánicos o de sacrificio. La fuente de corriente eléctrica de este sistema utiliza la diferencia de potencial de oxidación entre el material del ánodo y el Ducto o estructuras metálicas, la protección de estos se produce en consecuencia de la corriente eléctrica que drena el ánodo durante su consumo. En todos los casos se debe asegurar que la diferencia de potencial disponible del sistema seleccionado sea suficiente para que drene la corriente eléctrica de protección de acuerdo con lo establecido en el numeral A.3.6.3.
II.     Corriente impresa. Este sistema consiste en inducir corriente eléctrica directa a un Ducto o estructuras metálicas enterrados mediante el empleo de una fuente y una cama de ánodos inertes que pueden ser de manera enunciativa mas no limitativa: de hierro, grafito, ferrosilicio, plomo y plata. La fuente de corriente eléctrica directa se debe conectar en su polo positivo a una cama de ánodos inertes y el polo negativo al Ducto o estructuras metálicas a proteger.
A.3.6.3. Para proteger catódicamente los Ductos o estructuras metálicas se debe cumplir, como mínimo, con alguno de los criterios siguientes:
I.     Un Potencial Ducto/suelo o estructura metálica-suelo (catódico) mínimo de -850 mV, medido respecto de un electrodo de referencia de cobre/sulfato de cobre saturado (Cu/CuSO4) en contacto con el electrolito. La determinación de este voltaje se debe hacer con la corriente eléctrica de protección aplicada;
II.     Un potencial de protección Ducto o estructura metálica-suelo (catódico) de -950 mV medido respecto de un electrodo de referencia de cobre/sulfato de cobre saturado (Cu/CuSO4) cuando se haya identificado o exista la posibilidad de corrosión microbiológica (MIC) principalmente causada por Bacterias Productoras de Acido (BPA), o Bacterias Sulfato-reductoras (BSR);
III.    Para una interpretación válida se debe efectuar la corrección a que haya lugar debido a la caída de voltaje originada durante la medición, y
IV.   Un cambio de potencial de polarización mínimo de -100 mV medido entre la superficie del Ducto y un electrodo de referencia de cobre/sulfato de cobre saturado (Cu/CuSO4) en contacto con el electrolito.
A.3.6.4. Se puede utilizar el método de interrupción de corriente para eliminar la caída de voltaje a través del SPC para obtener la medición potencial-Ducto o estructura metálica, que permita conocer el valor real de polarización de esta.
A.3.6.5. La lectura del potencial después del cambio inmediato se debe usar como base de la lectura a partir de la cual se mide el abatimiento de la polarización, y los periodos de suspensión de corriente eléctrica de protección durante los cuales se puede realizar dicha medición están en el rango de 0.5 a 3.0 segundos. De acuerdo con la Figura A.1 en la cual se observa el comportamiento del potencial una vez interrumpida la corriente.
Figura A.1.- Decaimiento de Polarización

Fuente: Figura 3, NACE TM0497-2012
A.3.6.6. El valor máximo permisible del Potencial Ducto/suelo o estructura metálica-suelo se debe fijar de acuerdo con las características particulares del recubrimiento anticorrosivo en el Ducto y debe ser menor al potencial de desprendimiento catódico o a valores de potencial más negativos que originen problemas colaterales. Como recomendación general, el valor máximo de potencial debe ser menor de -2.5 Volts en condición de encendido o, -1.1 Volts en la condición de apagado instantáneo; ambos potenciales referidos a un electrodo de referencia de cobre/sulfato de cobre saturado (Cu/CuSO4).
Lo anterior para reducir los efectos adversos tanto en el recubrimiento dieléctrico como en el Ducto o estructura metálica debido a una sobreprotección originada por el SPC.
A.3.7. Potenciales fuera de criterio
Se debe contar con un programa de medidas correctivas para los potenciales que se encuentren fuera de criterio, en el cual se establezcan las acciones para corregir las Indicaciones obtenidas de la inspección y las pruebas realizadas, dichas medidas correctivas deben atenderse en un plazo no mayor a 15 meses desde la inspección o prueba que identificó la Indicación.
A.3.8. Puntos de Medición
A.3.8.1. Para determinar la eficacia del SPC en el Ducto o estructura metálica se debe contar con puntos de medición de potencial que permitan obtener una muestra representativa en intervalos regulares de los potenciales Ducto o estructura metálica-suelo, para el monitoreo del SPC, de conformidad con lo siguiente:
I.     Antes y después de cada Instalación superficial;
II.     En interfases suelo-aire, aire-agua, agua-suelo;
III.    Cada 1000 m en Clases de localización 1, 2 y 3;
IV.   Cada 500 m en Clases de localización 4 y 5;
V.    Antes y después de cruces con otras estructuras metálicas (Ductos y/o Vías Férreas);
VI.   Antes y después de cruces y/o paralelismos con líneas de alta tensión;
VII.   En cruces con otros Ductos se debe contar con puntos para medición de potenciales del otro u otros Ductos;
VIII.  Antes y después de cruces encamisados debe contar con puntos para medición de potenciales del encamisado del Ducto o estructura metálica, y
IX.   Antes y después de cruces con cuerpos de agua.
A.3.8.2. Para sistemas de Ánodos galvánicos o de sacrificio, se debe contar con puntos que permitan la medición de la corriente eléctrica de protección (amperes) que se está drenando de cada uno de los ánodos hacia el Ducto o la estructura metálica, así como el total de la cama anódica en caso de ser más de uno. La inspección de estos se debe realizar como mínimo una vez al año.
A.3.8.3. Para sistemas de corriente impresa se debe contar con puntos de medición para la corriente eléctrica de protección (amperes) que se está drenando de cada uno de los ánodos hacia al Ducto o estructura metálica, así como el total de la cama anódica en caso de ser más de uno, así como del voltaje eléctrico aplicado (Volts) de acuerdo con el numeral A.4.8.1.
A.3.8.4. Para sistemas de Mitigación de interferencias se debe contar con puntos de medición que permitan inspeccionar y evaluar el funcionamiento como mínimo una vez al año.
A.3.9. Interferencias con otros sistemas
A.3.9.1. En caso de que, el Sistema de Transporte se encuentre con líneas de transmisión eléctrica (paralelas o perpendiculares), se debe llevar a cabo un estudio que permita conocer si existe el potencial o no de una interferencia por corrientes alternas y en su caso, determinar las medidas de Mitigación correspondientes a aplicar.
A.3.9.2. En caso de que, el Sistema de Transporte se encuentre con otros Sistemas de Transporte que cuenten con SPC (paralelos o perpendiculares) se debe llevar a cabo un estudio que permita conocer si existe el potencial o no de una interferencia por corrientes vagabundas y en su caso determinar las medidas de Mitigación correspondientes a aplicar.
A.4. Construcción
A.4.1. Generalidades
A.4.1.1. Durante el manejo y almacenamiento de los Componentes del Sistema de Transporte como tubería y accesorios con recubrimiento anticorrosivo, se deben proteger para evitar daños en las Secciones del Ducto a instalarse.
A.4.1.2. Se debe realizar una inspección dieléctrica de acuerdo con las características del recubrimiento anticorrosivo para determinar que no presente poros o imperfecciones. En caso de detectarse imperfecciones se debe eliminar y realizar nuevamente la inspección dieléctrica hasta su aceptación.
A.4.1.3. Una vez instalado el SPC se debe monitorear la eficacia y el nivel de protección del Ducto o estructura metálica, los cuales deben cumplir como mínimo con alguno de los criterios indicados en el numeral A.3.6 del presente Apéndice (Normativo).
A.4.1.4. Con la información obtenida se debe elaborar el perfil inicial de potenciales de polarización y mediante su análisis e interpretación se deben realizar los ajustes operacionales a que haya lugar en el SPC seleccionado.
A.4.1.5. En suelos altamente corrosivos (0 a 2000 ohm/cm, con presencia de agentes promotores de la corrosión) se debe instalar un SPC provisional que cumpla con lo establecido en el numeral A.3.6 del presente Apéndice (Normativo) durante la construcción del Sistema de Transporte.
A.4.2. Estaciones de prueba
A.4.2.1. Cuando el Ducto esté instalado en zonas urbanas, los puntos para medición de potencial se deben instalar en banquetas, registros de válvulas o acometidas, en caso de ser posible.
A.4.2.2. Cuando los puntos de medición no se puedan colocar de acuerdo con lo establecido en el numeral anterior debido a impedimentos físicos o geográficos, se deben instalar en el sitio accesible más cercano. La ubicación final de estas instalaciones se debe documentar y guardar durante la vida útil del Sistema de Transporte para cuando la Agencia lo requiera.
A.4.3. Camas anódicas
Los dispositivos anódicos por lo general son instalados en forma permanente y no requieren de mantenimiento, sin embargo se agotan con el tiempo, por lo que deben de contar con un acceso disponible para su eventual reemplazo o en su caso, la instalación de nuevos dispositivos anódicos.
A.4.4. Interferencias con otros sistemas
A.4.4.1. Cuando se vaya a instalar un SPC en un Ducto o Estructura Metálica se debe dar aviso a los propietarios de las estructuras metálicas enterradas que se encuentren de acuerdo con las distancias establecidas en el numeral 6.4, del área en donde se vaya a alojar el Sistema de Transporte a proteger, con la finalidad de evitar cualquier problema de interferencia. El aviso debe contener como mínimo la información siguiente:
I.     La trayectoria que sigue el tendido del Sistema de Transporte;
II.     La indicación de rutas de Sistema de Transporte a proteger y de cualquier estructura que se vaya a unir al Ducto para reducir alguna interferencia;
III.    El tipo de protección catódica a utilizar y especificar si es de ánodos galvánicos o corriente impresa;
IV.   La posición de la cama o ánodos;
V.    Las corrientes eléctricas esperadas, y
VI.   La fecha de puesta en operación del sistema.
A.4.4.2. Cuando existan Ductos de acero, cables u otras estructuras tales como Ductos de agua, cableado telefónico, líneas de fibra óptica y líneas de alta tensión, próximas a la Instalación, se debe corroborar la interacción entre ambos sistemas mediante mediciones de Potencial Ducto/suelo o estructura metálica-suelo y establecer las medidas correctivas para minimizar los efectos de la interacción; así mismo, se deben dar aviso a los propietarios de dichas instalaciones, con el propósito de asegurar que el sistema sea instalado de tal manera que la interacción de la protección catódica con sistemas y estructuras vecinas sea mínima.
A.4.5. Corto circuito en Instalaciones eléctricas
A.4.5.1. El corto circuito de juntas aislantes constituye un Riesgo potencial por lo que dichas juntas se deben instalar fuera de las áreas peligrosas y adoptar medidas para evitar chispas o arcos eléctricos, como:
I.     Arrestador de flama encapsulado, o
II.     Una celda de polarización conectada a través de la junta aislante o a tierra.
A.4.5.2. Las superficies de la junta aislante deben estar encapsuladas para prevenir cortocircuitos causados por herramientas.
A.4.6. Corriente eléctrica
Se debe tomar en cuenta que la naturaleza eléctrica de los SPC representa el Riesgo de una fuente de ignición en atmósferas peligrosas (combustibles y/o explosivas), por lo que, se deben tomar las medidas de seguridad para prevenir incendios y/o explosiones.
A.4.7. Medición de potenciales Ducto o estructura metálica-suelo
A.4.7.1. Las mediciones de potenciales Ducto o estructura metálica-suelo deben cumplir con lo establecido en los numerales A.3.6.3, A.3.6.4 y A.3.6.5, y se debe realizar de conformidad con lo siguiente:
I.     En Clases de localización 1, 2 y 3, cada 6 meses sin exceder de 7 meses entre mediciones;
II.     En Clases de localización 4 y 5, cada 3 meses sin exceder de 4 meses entre mediciones;
III.    En encamisados cuando menos una vez al año, y
IV.   En cruces con interferencia confirmada cada 3 meses sin exceder de 4 meses entre mediciones.
A.4.7.2. En los casos donde se utilicen electrodos de referencia diferentes al de cobre/sulfato de cobre saturado (Cu/CuSO4) se debe tomar en cuenta el potencial equivalente.
A.4.7.3. Entre los electrodos de referencia se pueden emplear los establecidos en la Tabla A.2.
Tabla A.2.- Electrodos de referencia comunes y sus potenciales y coeficientes de temperatura.
Electrodo de Referencia
Solución de
Electrolito.
Potencial a 25 C
[77 °F]
(V/SHE)
Potencial a 25 C
[77 °F]
(V/CSE]
Coeficiente de
Temperatura
mV/ C
(mV/°F)
Usos típicos
Cu/CuSO4 (CSE)
CuSO4 saturado
+0.316 3
0
0.9 (0.5)3
Suelo, agua fresca
Ag/AgCl(A) (SSC)
0.6 M NaCl
(3 ½%)
+0.2564
-0.06
- 0.33 (0.18)4
Agua de mar, salobre (B)
Ag/AgCl(C) (SSC)
KCl saturado
+0.2225
-0.094
- 0.70 (0.39)5
---
Ag/AgCl(C) (SSC)
0.1 N KCl
+0.2886
-0.028
- 0.43 (0.24)6
---
Calomel saturado (SCE)
KCl saturado
+0.24410
-0.072
- 0.70 (0.39) 1
Agua, Laboratorio
Zn (ZRE)
Solución salina
-0.79 ± 0.12
-1.1 ± 0.12
---
Agua de mar
Zn (ZRE)
Suelo
-0.80 ± 0.12
-1.1 ± 0.12
---
Subterráneo
Notas:
(A) Unión sólida.
(B) El potencial se vuelve más electropositivo con el aumento de la resistividad. Véase la nomografía para la corrección en aguas de resistividad variable en NACE SP0176,10 o véase la referencia 77.
(C) Unión liquida
1. NACE SP0176 (última revisión) "Control de la corrosión de las zonas sumergidas de las estructuras de acero de instalación permanente en alta mar asociadas a la producción de petróleo" (Houston, TX: NACE).
2. W. von Baeckmann, W. Schwenk, W. Prinz, Manual de protección contra la corrosión, 3ª ed. (Burlington, MA: Elsevier, 1997), p. 72.
3. M.H. Peterson, R.E. Groover, "Las pruebas indican que el electrodo de Ag/AgCl es la célula de referencia ideal en agua de mar," protección de materiales 11, 5 (1972): pp. 19-22.
4. D. Ives, G. Janz, Electrodos de referencia: Teoría y práctica (Burlington, MA: Elsevier, 1961), p. 161 and p. 189.
5. H.H. Uhlig, W. Revie, Corrosión and Control de Corrosión, 3rd Ed. (Hoboken, NJ: John Wiley & Sons, 1985), p. 33.
6. H.H. Uhlig, Manual de Corrosión (Hoboken, NJ: John Wiley & Sons, 1948), p. 1137.
Fuente: Tabla 2, NACE SP0169-2013
A.4.7.4. Los voltímetros utilizados en la medición del potencial del Ducto o estructura metálica-suelo deben estar calibrados y contar una impedancia de entrada mayor a 10 megaohm.
A.4.8. Medición de corriente eléctrica
A.4.8.1. Durante la implementación de un SPC para un Sistema de Transporte se deben efectuar las mediciones bimestrales siguientes:
I.     Corriente eléctrica alterna de alimentación al rectificador (si aplica);
II.    Corriente eléctrica directa en el Ducto o estructura metálica a proteger, y
III.   Corriente eléctrica directa que drena cada ánodo y la que drena la cama anódica.
A.4.8.2. Para realizar las mediciones de corriente eléctrica directa se deben utilizar los instrumentos de medición calibrados y certificados. La medición de corriente eléctrica en sistemas de ánodos galvánicos se debe realizar utilizando un amperímetro de alta ganancia.
A.4.9. Puenteos eléctricos
A.4.9.1. En caso de que en la Franja de seguridad existan otros Ductos que requieran protección catódica se deben puentear eléctricamente siempre que de forma previa se hayan realizado los estudios correspondientes y que las dependencias, organismos o empresas encargadas de los Sistemas de Transporte estén de acuerdo.
A.4.9.2. Durante el puenteo eléctrico se deben proteger las áreas afectadas por las conexiones en cada tubo con un sistema de recubrimiento anticorrosivo compatible en los puenteos eléctricos que se ubiquen en las estaciones de prueba de potencial, así mismo identificar los conductores eléctricos de cada uno de los Ductos que se integran al SPC.
A.4.10. Señalización de Instalaciones energizadas
En los lugares donde se instalen fuentes de corriente eléctrica para la protección catódica se deben colocar señalamientos de advertencia visibles de acuerdo con lo establecido en la NOM-001-SEDE-2012.
A.4.11. Documentación
Se debe contar con la documentación base y actualizada, que respalde las acciones realizadas para la protección catódica que considere la implementación e instalación del sistema. Esta documentación debe estar bajo resguardo y disponible durante la vida útil del Sistema de Transporte para cuando la Agencia la requiera. La información debe contener como mínimo lo siguiente:
I.     Implementación:
a)    Alcance del SPC;
b)    Especificaciones del recubrimiento dieléctrico, así como de su instalación;
c)    Ubicación y especificaciones de dispositivos de aislamiento eléctrico;
d)    Pruebas previas:
i.     Localización del Ducto (de manera enunciativa mas no limitativa: planos, referencias geográficas, accesos);
ii.     Estudios de resistividades del suelo;
iii.    Resultados de pruebas de requerimiento de corriente eléctrica, ubicación y características de camas anódicas provisionales, condiciones de operación de la fuente de corriente eléctrica directa provisional, resistencia del circuito, perfil de potenciales naturales y de polarización, potencial máximo en el punto de impresión de corriente, y
iv.    Ubicación de estructuras metálicas ajenas al Ducto a proteger.
e)    Memoria técnica del SPC: tiempo de vida, criterios, ubicación de camas anódicas, número, dimensiones y tipo de ánodos utilizados, densidad de corriente eléctrica, resistencia total de circuito, por ciento de área desnuda a proteger, especificación de materiales y equipo, cálculos, recomendaciones, prácticas de ingeniería, y
f)     Resultados de pruebas de interacción con otros sistemas eléctricos ajenos al SPC: líneas de alta tensión, sistemas de tierras, estructuras metálicas vecinas protegidas o no catódicamente.
II.     Instalación:
a)    Planos y diagramas del SPC tal y como fue instalado (arreglos constructivos de la cama anódica, de la fuente externa de corriente eléctrica directa, conexiones eléctricas cable-Ducto, Ducto-estación de registro de potencial y puenteos eléctricos entre Ductos);
b)    Permisos internos y externos;
c)    Afectaciones a otras estructuras y/o sistemas de protección catódica a terceros;
d)    Modificaciones constructivas, adecuaciones, y
e)    Resultados de las pruebas durante la puesta en operación del SPC y ajustes de campo.
A.5. Operación y mantenimiento
A.5.1. Generalidades
A.5.1.1. El personal encargado de la protección catódica debe contar con la capacitación para identificar y en su caso corregir los problemas que puedan presentarse en el SPC, tomando en cuenta al menos los siguientes:
I.     Desviaciones en las mediciones Ducto o estructura metálica-suelo;
II.     Evaluación de corto (Metálico o Electrolítico) en encamisados;
III.    Pruebas de funcionamiento de elementos aislantes;
IV.   Pruebas de funcionamiento del SPC;
V.    Identificación de potenciales de interferencia;
VI.   Pruebas de funcionamiento de la fuente de energía, y
VII.   Pruebas de funcionamiento de camas anódicas.
A.5.1.2. Se deben establecer métodos de evaluación para determinar la necesidad de implementar programas adicionales de control de la corrosión interna y externa del Sistema de Transporte y tomar las acciones correctivas de acuerdo con las condiciones prevalecientes. Los métodos y acciones mencionados deben incluir, como mínimo, lo siguiente:
I.     Evaluación:
a)    Se deben revisar, analizar y evaluar los resultados de la inspección y mantenimiento del SPC del Sistema de Transporte de manera anual para identificar posibles indicios de corrosión en proceso;
b)    La evaluación del SPC debe incluir al menos lo siguiente:
1.     Medición potencial del Ducto o estructura metálica-suelo;
2.     Estatus de encamisados;
3.     Estatus de elementos aislantes;
4.     Funcionamiento de sistemas de Mitigación;
5.     Funcionamiento de fuente de energía, y
6.     Funcionamiento de camas anódicas.
c)    La funcionalidad del SPC se debe monitorear de acuerdo con lo indicado en los numerales A.3.6.3. y A.4.7 del presente Apéndice (Normativo).
II.     Medidas correctivas:
       Si se comprueba la existencia de áreas de corrosión en los Ductos, se deben tomar medidas correctivas para inhibirla, entre las cuales se encuentran las siguientes:
a)    Ajuste en los parámetros operacionales del SPC;
b)    Mejoramiento del recubrimiento anticorrosivo;
c)    Instalación complementaria de ánodos de sacrificio;
d)    Cambio en el diseño del SPC;
e)    Delimitación con aislamientos eléctricos, y
f)     Control de corrientes eléctricas parásitas.
A.5.1.3. El SPC provisional referido en el numeral A.4.1.5, debe ser sustituido por un SPC definitivo en un periodo no mayor a 24 meses después del inicio de operación.
A.5.2. Pruebas al SPC
A.5.2.1. Se deben incluir dentro del programa de Operación y Mantenimiento las actividades descritas en los numerales A.4.7 y A.4.8, así como la evaluación anual establecida en la fracción I del A.5.1.2, las cuales permitan monitorear el SPC.
A.5.2.2. El análisis e interpretación de los resultados de las pruebas solicitadas en el numeral A.5.2.1, se deben efectuar de manera integral para efectos comparativos, con el objeto de determinar la tendencia de los parámetros monitoreados. Esta información se debe integrar en un expediente sobre la funcionalidad del SPC.
A.5.2.3. Medición de corriente eléctrica
Como seguimiento de la efectividad del SPC del Sistema de Transporte, se deben realizar las mediciones de la corriente eléctrica y potenciales, de acuerdo con lo establecido en los numerales A.4.8 y A.4.7.
A.5.3. Instrumentos de prueba
A.5.3.1. Cuando se efectúen mediciones eléctricas para el control de la protección catódica en atmósferas peligrosas, el equipo utilizado debe ser intrínsecamente seguro, y antes de realizar los trabajos, el área debe ser evaluada y declarada libre de una atmósfera explosiva.
A.5.3.2. Se debe revisar cuando menos una vez al año el funcionamiento de los electrodos de referencia.
A.5.3.3. Se debe revisar el funcionamiento de los dispositivos de medición y la vigencia de su calibración.
A.5.4. Fuentes de energía eléctrica
A.5.4.1. Las fuentes de energía eléctrica deben ser evaluadas de acuerdo con lo establecido en el numeral A.4.8 y contar con los registros de las condiciones de operación, así como cualquier ajuste operacional en el voltaje y/o corriente eléctrica de salida.
A.5.4.2. En caso de que una fuente de corriente eléctrica falle, se deben realizar medidas correctivas de conformidad con las recomendaciones del fabricante y/o con los datos históricos con los que se cuenten.
A.5.4.3. En caso de ocurrir cambios positivos de potencial, se deben realizar acciones inmediatas, particularmente en los puntos de impresión de corriente eléctrica, ya que esto puede indicar una polaridad invertida en la fuente externa de corriente eléctrica directa.
A.5.5. Camas anódicas
A.5.5.1. Los dispositivos anódicos deben ser revisados de acuerdo con lo establecido en el numeral A.4.8 y reemplazados cuando se presente una falla o concluya la vida útil.
A.5.5.2. La corriente eléctrica de salida de los ánodos y la corriente eléctrica total de la cama anódica, se deben revisar de acuerdo con lo establecido en el numeral A.4.8, a fin de determinar que están funcionando dentro de límites aceptables.
A.5.6. Conexiones eléctricas
Las conexiones eléctricas e interruptores de corriente eléctrica se deben revisar de acuerdo con lo establecido en el numeral A.4.8 y en caso de existir alguna anomalía, se debe eliminar o corregir.
A.5.7. Aislamientos eléctricos
Los dispositivos de aislamiento eléctrico se deben revisar cuando menos una vez al año y reemplazar en caso de falla.
A.5.8. Recubrimiento anticorrosivo
A.5.8.1. Se deben realizar estudios enfocados a identificar, cuantificar y valorar los Defectos del recubrimiento anticorrosivo y sus efectos en la demanda de corriente eléctrica del SPC seleccionado, así como establecer la conveniencia de repararlos y/o administrar la protección catódica en esas áreas del Ducto sin recubrimiento.
A.5.8.2. Cualquier tramo del Ducto que quede expuesto al medio ambiente debe ser examinado en búsqueda de evidencias de corrosión externa y, dependiendo del estado del recubrimiento dieléctrico, se deben tomar las acciones correctivas establecidas en la fracción II, del numeral A.5.1.2 del presente Apéndice (Normativo), que garanticen la integridad del Ducto.
A.5.8.3. Cuando se detecten daños en el recubrimiento anticorrosivo que comprometan la integridad del Ducto, se debe reparar con recubrimiento anticorrosivo compatible con el existente.
A.5.8.4. Con el propósito de mantener la integridad del Sistemas de Transporte, el Regulado debe cumplir con lo establecido en el numeral 8.3.3.
A.5.8.5. El recubrimiento dieléctrico de los Ductos que se encuentren en la superficie y en áreas expuestas se deben inspeccionar cuando menos cada seis meses y cuando el recubrimiento se encuentre deteriorado, se debe reemplazar o reparar.
A.5.9. Medición de potenciales
A.5.9.1. Se deben efectuar mediciones de potenciales de acuerdo con lo establecido en el numeral A.4.7.
A.5.9.2. La periodicidad puede ser modificada para condiciones particulares del SPC o para zonas críticas en las que una falla del sistema resulte en una condición de Riesgo para la seguridad de la población, así como para áreas en donde se hayan identificado y probado la existencia de potenciales fuera de criterio y que se requiera evaluar la efectividad de las medidas correctivas establecidas en la fracción II, del numeral A.5.1.2, del presente Apéndice (Normativo), o en caso que se presente algún fenómeno de interacción eléctrica con sistemas ajenos al seleccionado.
A.5.10. Desconexión, separación o ruptura del Ducto protegido
A.5.10.1. El Sistema de Transporte protegido mediante un SPC, cuenta con una corriente eléctrica fluyendo a través de este. Por lo que cualquier desconexión, separación o perdida de continuidad metálica puede provocar una interrupción en el flujo de corriente eléctrica, y esta a su vez puede generar un arco eléctrico dependiendo de la magnitud de la corriente eléctrica, por lo que se deben establecer las medidas para mitigarlo.
A.5.10.2. Cuando se realicen modificaciones, mantenimientos o reparaciones que interrumpan la continuidad metálica del SPC, se deben establecer medidas de Mitigación que permitan al menos:
I.     Reducir la posibilidad de arco eléctrico, y
II.    Mantener la continuidad del SPC.
A.5.11. Documentación
A.5.11.1. Los registros de control de la corrosión se deben documentar tomando en cuenta la información relacionada con la operación, mantenimiento y efectividad del SPC, los cuales deben contener al menos con lo siguiente:
I.     Fecha de puesta en servicio del SPC;
II.     Mediciones de potenciales;
III.    Inspecciones y pruebas realizadas para comprobar que no existen interferencias;
IV.   Verificación de que los aislamientos, recubrimientos y encamisados, se encuentran funcionando de acuerdo con lo establecido en Diseño;
V.    Inspección del recubrimiento dieléctrico mediante gradiente de voltaje de corriente eléctrica directa (DCVG);
VI.   Modificaciones que se efectúen al SPC original tomando en cuenta al menos:
a)    Fecha de la reparación, reemplazo o ajuste de Componentes del SPC;
b)    Memorias de cálculo y planos de ingeniería;
c)    Cambio de capacidad del rectificador;
d)    Cambio de ubicación de la cama anódica;
e)    Aplicación del recubrimiento en las áreas descubiertas;
f)     Pruebas de interferencia de cualquier estructura metálica cercana o en contacto con el Ducto, y su localización, y
g)    Acciones realizadas para corregir corto circuitos en Ductos encamisados.
A.5.11.2. Los registros del SPC se deben conservar en sus instalaciones durante la vida útil del Sistema de Transporte, para cuando la Agencia lo requiera.
Apéndice B (Normativo)
Monitoreo, detección y clasificación de Fugas de Gas Natural en el Sistema de Transporte
B.1. Introducción
En este Apéndice (Normativo) se establecen los requisitos mínimos que debe cumplir el Regulado para el monitoreo, detección y clasificación de Fugas de Gas Natural en los Sistemas de Transporte que operen en todo el Territorio Nacional.
B.2. Detección de fugas
B.2.1. Los valores de concentración de Gas Natural en porcentaje/volumen para los límites de explosividad de mezcla de Gas Natural con aire se establecen en la Tabla B.1.
Tabla B.1.- Límites de explosividad en porcentaje/volumen de concentración
de gas en aire
Límite de explosividad
Gas
Límite Inferior de Explosividad (LIE)
5%
Límite Superior de Explosividad (LSE)
15%
 
B.2.2. Se debe realizar la detección de Fugas de Gas Natural en la Instalación, seleccionando al menos, los métodos de inspección siguientes:
I.        Sobre la superficie;
II.       Debajo de la superficie;
III.      De la vegetación;
IV.      Prueba de caída de presión;
V.       Burbujeo;
VI.      Ultrasonido;
VII.     Fibra óptica;
VIII.    Termografía infrarroja terrestre o aérea;
IX.      Métodos computacionales;
X.       OGI (Optical Gas Imaging por sus siglas en inglés), y/o
XI.      Onda de presión negativa/acústica.
B.2.3. En caso de que exista fuga de Gas Natural en la Instalación, esta se debe localizar, clasificar y controlar inmediatamente.
B.2.3.1. Detección sobre la superficie
B.2.3.1.1. Se debe realizar una detección continua de la atmósfera a nivel del suelo, o cerca de este, en Ductos enterrados y adyacentes a Ductos superficiales, con un sistema de detección que determine una concentración igual o mayor a 500 ppm de gas en el aire, en cualquier punto de muestreo.
B.2.3.1.2. Para Ductos enterrados, se deben tomar muestras de la atmósfera sobre la superficie del suelo, cuando sea posible, y en todas aquellas irregularidades del terreno que faciliten fugas.
B.2.3.1.3. En áreas donde el Ducto se encuentre debajo del piso terminado como banquetas y calles pavimentadas, se deben tomar muestras cercanas a discontinuidades e irregularidades del piso, tomando en cuenta al menos, las siguientes:
I.     Aberturas;
II.     Ranuras;
III.    Rupturas, y
IV.   Grietas.
B.2.3.1.4. La detección sobre la superficie se debe realizar con un indicador de gas a la velocidad y en condiciones atmosféricas adecuadas, de acuerdo con las recomendaciones del fabricante. Las muestras se deben tomar en los lugares especificados en el numeral anterior.
B.2.3.2. Detección debajo de la superficie
B.2.3.2.1. Se debe realizar el muestreo de la atmósfera con un indicador de gas combustible en aberturas existentes y/o adyacentes al Ducto, que pueda detectar un 0.5 % de gas en el aire.
B.2.3.2.2. Los puntos de muestreo deben estar lo más cerca posible al Ducto, pero a no más de 4.6 m lateralmente de la Instalación.
B.2.3.2.3. A lo largo del Ducto se deben localizar los puntos de detección a no más del doble de la distancia entre el Ducto y la pared de los edificios más cercanos o 10 m, la que sea más corta, pero en ningún caso el espaciamiento debe ser menor a 3 m.
B.2.3.2.4. El patrón del muestreo debe incluir puntos de prueba adyacentes a las conexiones de las líneas de servicio, acometidas a los edificios, cruzamientos de calles y conexiones de ramales.
B.2.3.2.5. Cuando sea necesario se pueden realizar puntos de muestra adicionales (pozos de muestreo), los cuales tengan una profundidad suficiente para tomar muestras directamente dentro de la atmósfera debajo de la superficie o de la subestructura.
B.2.3.3. Detección por inspección visual de la vegetación
B.2.3.3.1. Se deben detectar Indicaciones anormales o inusuales en la vegetación causadas por la migración del Gas Natural, determinando la velocidad de recorrido, tomando en cuenta al menos los aspectos siguientes:
I.     Trazo del Sistema de Transporte;
II.     Cantidad y tipo de vegetación, y
III.    Condiciones de visibilidad tales como:
a)    Alumbrado;
b)    Reflejo de luz, y
c)    Distorsiones u obstrucciones del terreno.
B.2.3.3.2. El método de inspección visual del estado de la vegetación se debe aplicar en áreas en donde el crecimiento de la vegetación está definido, el grado de humedad del suelo sea bajo, o cuando la vegetación esté activa.
B.2.3.4. Detección por prueba de caída de presión
B.2.3.4.1. Si una Sección aislada del Sistema de Transporte presenta perdida de presión por Fugas, la Sección seleccionada debe tener una presión determinada y dicha Sección debe aislarse antes de efectuar la prueba de caída de presión. Para determinar los parámetros de esta prueba se deben tomar en cuenta como mínimo, los criterios siguientes:
I.     Presión de Prueba. Si la prueba se realiza únicamente con el propósito de detectar Fugas en la Sección aislada, se debe hacer a una presión igual o mayor a la presión de operación sin exceder la PMOP;
II.     Medio de prueba. El medio debe ser compatible con los materiales del Ducto, debe estar libre de sedimentos y residuos que puedan dañar la Instalación. El medio para realizar la prueba no debe ser inflamable, explosivo ni tóxico, puede ser agua, aire o gas inerte, y
III.    Duración de la prueba. El tiempo de la prueba debe ser suficiente para detectar la caída de presión ocasionada por cualquier Fuga, para realizar la prueba se deben considerar los factores siguientes:
a)    El tiempo y volumen requerido para que el medio de prueba alcance la presión requerida;
b)    El tiempo necesario para que el medio de prueba estabilice su temperatura, y
c)    La sensibilidad del instrumento de prueba.
B.2.3.4.2. El método de caída de presión no proporciona la ubicación de las Fugas, por lo que, se requieren evaluaciones posteriores con otros procedimientos que permitan localizar, evaluar y clasificar las Fugas.
B.2.3.5. Detección por burbujeo
B.2.3.5.1. Este método consiste en cubrir totalmente el Ducto con una solución tenso activa que forme burbujas, tal como, agua jabonosa para señalar e identificar las Fugas sobre la superficie expuesta del Sistema de Transporte.
B.2.3.5.2. La solución utilizada no debe dañar ni dejar residuos que posteriormente puedan producir corrosión en los materiales de la instalación probada.
B.2.3.6. Detección por ultrasonido.
B.2.3.6.1. Este método consiste en la instalación de sensores ultrasónicos espaciados a lo largo del Ducto que permiten detectar la ocurrencia de una Fuga en tiempo real, desde el momento en que ocurre genera las ondas que viajan en todas direcciones del sitio de la Fuga, lo que permite detectarlas a grandes distancias. Este método se puede acoplar a un sistema de geoposicionamiento.
B.2.3.6.2. Para utilizar el método de detección de fuga mediante ultrasonido en un Sistema de Transporte, se debe tomar en cuenta al menos lo siguiente:
I.     Presión en el Ducto. Los sensores deben ser los adecuados para la presión de trabajo;
II.     Localización del tramo. Los objetos alrededor del tramo bajo prueba pueden reflejar o atenuar la energía de ondas generada dificultando la detección de la Fuga, por lo que se debe evitar tener objetos cercanos de acuerdo con las recomendaciones del fabricante;
III.    Cantidad de Fugas. La capacidad de detección de este método se reduce conforme se incrementa el número simultáneo de Fugas en un área determinada, por lo que se debe evitar el uso de este método cuando se considere que existe un número importante de Fugas en el tramo, y
IV.   Tipo de instalación. Conocer la localización, cantidad y características de los equipos instalados tales como: compresores, motores, turbinas y válvulas, que generan energía ultrasónica y/u ondas de presión, pueden causar interferencia al equipo de detección de Fugas.
B.2.3.7. Detección por fibra óptica
Este método consiste en la instalación de sensores y cable de fibra óptica paralelo al Sistema de Transporte para detectar y localizar Fugas en tiempo real.
B.2.3.8. Detección por termografía infrarroja terrestre o aérea
Este método consiste en el monitoreo de Ductos superficiales y subterráneos, mediante el uso de cámaras infrarrojas que miden la temperatura de superficie para detectar anomalías térmicas provocadas por las fugas de Gas Natural. El instrumento puede acoplarse a un sistema de geoposicionamiento para ubicar las Fugas.
B.2.3.9. Métodos computacionales
B.2.3.9.1. Detección por técnicas de balance de línea. Se basa en el análisis de la conservación de masa para detectar una fuga, siendo las siguientes:
I.     Balance de línea. Calcula el desbalance en un instante de tiempo como el caudal volumétrico entrante al Ducto menos el caudal volumétrico saliente y compara el valor del desbalance con un umbral predefinido para determinar una alarma de Fuga.
II.     Balanceo de volumen. Mejora la técnica de balance de línea compensando los cambios en el inventario en el Ducto causados por las variaciones de presión y temperatura convirtiendo los caudales medidos a condiciones estándar.
III.    Balanceo de volumen modificado. Mejora la técnica de balance de volumen corrigiendo la variación debido al cambio del volumen del inventario en el Ducto.
IV.   Balanceo de masa compensado. Mejora la técnica de balance de volumen modificado al mantener un seguimiento de los baches en el Ducto y al estimar el inventario en cada bache, basándose en el módulo de volumen y en el módulo de temperatura.
B.2.3.9.2. Detección por modelo transitorio en tiempo real. Mejora la técnica por balance de masa compensado, se basa en el análisis de la conservación de masa y de momento, y con base en un modelo matemático resuelto en tiempo real, busca discrepancias entre las lecturas de los valores (presión y caudal) medidos en las fronteras del Ducto y los valores modelados.
B.2.3.10. Método OGI (Optical Gas Imaging por sus siglas en inglés)
Este método consiste en la identificación de Fugas mediante cámaras de visualización óptica de Gas Natural, examinando secciones amplias de equipos y áreas de difícil acceso con instrumentos de medición tradicionales.
B.2.3.11. Detección por onda de presión negativa/acústica
El método de ondas de presión negativas/acústicas aprovecha las ondas de rarefacción producidas cuando la integridad de la tubería se ve comprometida y se produce una fuga, la cual produce una caída repentina de la presión en la tubería en el lugar donde ocurre y genera dos ondas de presión negativa o de rarefacción, una que viaja corriente arriba y otra se localiza en la tubería. Los transmisores miden continuamente la fluctuación de la presión de la tubería, en los cuales, si se detecta una rápida caída y recuperación de la presión esta envía una señal al cuarto de control, lo que permite llevar a cabo las acciones necesarias para mitigar dicha fuga.
B.2.3.12. El Regulado debe conservar los resultados obtenidos de las pruebas aplicadas al Sistema de Transporte, durante un periodo de 5 años, en formato físico o dispositivo de almacenamiento digital para cuando la Agencia lo requiera.
B.2.4. El Regulado debe identificar situaciones que interfieran con el método utilizado para la detección de Fugas, tomando en cuenta al menos, las siguientes:
I.     Fugas múltiples que ocasione información confusa, para eliminar esta posibilidad el área afectada debe revisarse después de ser reparada la Fuga;
II.     Acumulación de Gas Natural en cavidades, por lo que se pueden obtener Indicaciones elevadas hasta que dichas cavidades sean venteadas;
III.    Otros gases formados por material orgánico en descomposición originando lecturas constantes de entre 15% y 30% de concentración de Gas Natural en el aire, y
IV.   La Indicación del Gas Natural en drenajes se debe considerar como gas de una Fuga migrando al drenaje, hasta que sea descartado por otros medios o por análisis.
B.2.5. Se deben utilizar los instrumentos para detección de Fugas acorde a las Instalaciones del Regulado, con el objeto de obtener información veraz, confiable y completa sobre las Fugas.
B.2.6. Se debe dar el mantenimiento a los instrumentos utilizados para la detección de Fugas, de acuerdo con las recomendaciones del fabricante; así como, tomar en cuenta al menos, las recomendaciones siguientes:
I.     Revisión de acuerdo con las recomendaciones del fabricante, para asegurar su correcto funcionamiento;
II.     Probarse antes de utilizarlos para asegurar que el sistema de muestreo funcione correctamente, y
III.    Los instrumentos de ionización de llama de hidrógeno se deben probar cada vez que se encienden y durante la inspección.
B.2.7. Los instrumentos utilizados deben ser calibrados en los siguientes casos:
I.     Después de cualquier reparación;
II.     Cuando estén en uso los instrumentos de ionización de llama de hidrógeno y los indicadores de gas combustible, de acuerdo con las recomendaciones del fabricante, y
III.    Cuando se sospeche que la calibración del instrumento ha cambiado.
B.3. Clasificación de fugas
B.3.1. Cuando ocurra o se detecte una Fuga en el Sistema de Transporte, el Regulado debe contar con personal capacitado y con experiencia, que determine el grado que se le asigne a esta. Se puede considerar los criterios indicados en las Tablas B.2, B.3 y B.4. Las hipótesis de las condiciones de Fuga que se presentan son enunciativos más no limitativos.
B.3.2. Para establecer la prioridad de la reparación de las fugas, se debe tomar en cuenta la clasificación siguiente:
I.     Grado 1.- Fuga que representa un Riesgo inminente para las personas, el medio ambiente y/o la Instalación, y requiere una reparación inmediata o una acción continua;
II.     Grado 2.- Fuga que no es peligrosa en el momento de la detección, pero que requiere una reparación programada basada en un probable Riesgo futuro, y
III.    Grado 3.- Fuga que no es riesgosa en el momento de la detección y debe ser reevaluada periódicamente hasta que sea reparada.
Tabla B.2.- Fugas de grado 1
HIPÓTESIS
CRITERIO DE ACCIÓN
1. Cualquier Fuga que, a juicio del personal operativo en el sitio de la Fuga, se considere un peligro inmediato.
Requiere de acciones inmediatas para proteger la vida y propiedades de las personas, y de acciones continuas hasta lograr que las condiciones dejen de ser peligrosas.
La acción inmediata en algunos casos puede requerir de uno o más de los pasos siguientes:
a) Puesta en marcha y coordinación del plan de Emergencia de los Regulados;
b) Evacuación del área;
c) Acordonamiento del área;
d) Desviación del tráfico;
e) Eliminación de las fuentes de ignición;
f) Ventilación del área, y
g) Suspensión del flujo de gas cerrando las válvulas o por otros medios.
2. Cualquier escape de gas que se haya encendido.
 
3. Cualquier indicación de que el gas haya migrado al interior o debajo de un edificio o dentro de un túnel.
 
4. Cualquier indicación de presencia de gas en el lado exterior de la pared de un edificio, o donde es probable que el gas migre al lado exterior de la pared de un edificio.
 
5. Cualquier lectura mayor o igual que 80% del Límite Inferior de Explosividad del gas en un espacio confinado.
 
6. Cualquier lectura mayor o igual que 80% del Límite Inferior de Explosividad del gas en otras subestructuras pequeñas, no asociadas con el gas por las cuales es probable que el gas migre al lado exterior de la pared de un edificio.
 
7. Cualquier Fuga que pueda ser detectada por medio de la vista, oído u olfato, y que está en una localización que puede ser peligrosa para las personas y sus bienes.
 
 
Tabla B.3.- Fugas de grado 2
HIPÓTESIS
CRITERIO DE ACCIÓN
1. Fugas que requieren tomar acciones antes de que ocurran cambios adversos en las condiciones de Venteo del suelo, por ejemplo: una Fuga que cuando se congele el suelo, es probable que el gas migre al lado exterior de la pared de un edificio.
Estas Fugas se deben reparar en el transcurso de un año calendario pero en un tiempo no mayor a 15 meses de la fecha en que fue reportada.
Para determinar la prioridad en la reparación se deben seguir los criterios siguientes:
a)   Cantidad y migración del gas;
b)   Proximidad del gas a edificios y estructuras debajo del suelo;
c)   Extensión del piso terminado;
d)   Tipo de suelo y condiciones del mismo (tales como la capa congelada, humedad y Venteo natural), y
e)   Concentración de Fugas en un tramo de la instalación.
Las Fugas grado 2 se deben reevaluar cuando menos una vez cada 6 meses, hasta que sean reparadas. La frecuencia de reevaluación se debe determinar de acuerdo con su localización, magnitud y condiciones de la Fuga.
El grado de peligro potencial de las Fugas grado 2 puede variar ampliamente. Cuando son evaluadas de acuerdo con su localización, magnitud y condiciones, para algunas Fugas grado 2 se puede justificar que su reparación se programe dentro de los siguientes 5 días. En cambio, para otras se puede justificar que su reparación se programe dentro de los siguientes 30 días. El responsable de programar la reparación debe cuidar las condiciones de la Fuga durante el día en el cual se descubre dicha Fuga.
Por otro lado, la reparación de muchas Fugas grado 2, puede ser programada, considerando su localización y magnitud, para realizarse con base en una rutina de mantenimiento, con inspecciones periódicas cuando sea necesario.
2. Se requieren tomar acciones en un plazo no mayor de 6 meses para reparar las Fugas, cuando las lecturas del indicador de gas combustible, en porcentaje del Límite Inferior de Explosividad, tengan los valores siguientes:
a) Mayor o igual de 40% de las banquetas en una calle cubierta de pared a pared con piso terminado, por ejemplo, pavimento y/o concreto y la Fuga no se califica como grado 1;
b) Mayor o igual de 100% debajo de la calle cubierta de pared a pared con piso terminado, por ejemplo, pavimento y/o concreto, que tiene una migración de gas significativa y la Fuga no se califica como
grado 1;
c) Menor de 80% dentro de subestructuras pequeñas no asociadas con el gas, donde es probable que el gas migre para crear un peligro futuro;
d) Entre 20% y 80% en un espacio confinado;
e) Cualquier valor en un Ducto que opere a 30% o más de su resistencia mínima a la cedencia, localizada en clase 3 o 4, de acuerdo con esta Norma Oficial y la Fuga no se califica como grado 1;
f) Mayor o igual de 80% en una subestructura asociada con el gas, y
g) Cualquier Fuga que a juicio del personal operativo en el sitio de la Fuga, considere que tiene la magnitud suficiente para programar su reparación
 
 
Tabla B.4.- Fugas de grado 3
HIPÓTESIS
CRITERIO DE ACCIÓN
Fugas que causen que las lecturas del indicador de gas combustible, en porcentaje del Límite Inferior de Explosividad, tengan los valores siguientes:
a) Menor de 80% en subestructuras asociadas al gas;
b) Cualquier valor debajo de la calle en áreas que no están pavimentadas completamente, donde no es probable que el gas pudiera migrar al lado exterior de la pared de un edificio, y
c) Menor de 20% en un espacio confinado.
Estas Fugas deberán ser reevaluadas periódicamente en los siguientes monitoreos programados, dependiendo de la localización de la Fuga o en los 15 meses siguientes a la fecha en que fue reportada, lo que ocurra primero, hasta que la Fuga sea reclasificada o no haya más lecturas.
B.3.3. Las reparaciones de Fugas se deben probar e inspeccionar antes de que la Instalación reinicie operaciones, para confirmar que no persiste la Fuga y para Ductos enterrados se debe realizar la prueba antes de cubrirlos.
B.3.4. Las reparaciones de Fugas en las cuales no se requiere poner Fuera de operación, se debe verificar que no persiste la Fuga.
B.3.5. Posterior a la reparación de una Fuga de grado 1, en donde exista Gas Natural residual se debe ventilar y estabilizar la atmósfera del área, y realizar una inspección en un plazo que no exceda de un mes posterior a la reparación.
B.3.6. Cuando se realicen reparaciones de Fugas de grado 2 o 3, el Regulado debe determinar si es necesario efectuar una inspección subsecuente.
B.4. Historial de fugas
El Regulado debe contar con los registros de cada Fuga que se presente para cuando la Agencia lo requiera, tomando en cuenta al menos, lo siguiente:
I.     Reporte de Fuga por terceros, fecha y hora del reporte telefónico;
II.     Fecha y hora de detección de la Fuga, tiempo en que se atendió e investigó y el nombre del responsable;
III.    Descripción detallada de la Fuga, ubicación, localización y grado que se le asignó;
IV.   Método utilizado para la detección de la Fuga;
V.    Lectura del indicador del instrumento (si aplica);
VI.   Fecha de la reevaluación de la Fuga antes de la reparación y nombre del responsable;
VII.   Fecha de reparación, tiempo y nombre del responsable;
VIII.  Fechas de revisiones posteriores a la reparación y nombre del responsable, y
IX.   Detección mediante pruebas de caída de presión que contenga al menos:
a)    Nombre del responsable que realizó la prueba;
b)    Si se realizó por una empresa externa, el nombre de la empresa y del responsable de la prueba;
c)    Medio de prueba utilizado;
d)    Presión de prueba;
e)    Duración de la prueba;
f)     Gráficas de presión o los registros de las presiones medidas en la prueba, y
g)    Resultados de la prueba.
B.5. Autoevaluación
El Regulado debe evaluar su programa de detección de Fugas para determinar su efectividad y realizarse al menos una vez al año, tomando en cuenta al menos, la información siguiente:
I.     Efectividad del monitoreo;
II.     Reparaciones programadas;
III.    Efectividad de la reparación, y
IV.   Registro histórico de Fugas.
B.6. Atención a reportes de Fugas
B.6.1. Se debe investigar de forma inmediata cualquier notificación o aviso realizado al Regulado, en el que se reporte fuga, incendio o explosión que pueda involucrar al Ducto u otras Instalaciones.
B.6.2. Cuando se presenten fugas de combustibles originados en otras instalaciones cercanas al Ducto, se debe informar al operador de dicha Instalación y si es necesario a las dependencias correspondientes.
B.6.3. El Regulado debe realizar la inspección de sus instalaciones, tomando en cuenta al menos, lo siguiente:
I.     Contar con personal capacitado para el método de inspección a utilizar, y
II.     Disponer de al menos los recursos siguientes:
a)    Planos actualizados del Sistema de Transporte;
b)    Equipos de detección de fugas para la localización y cuantificación de acuerdo con las características de la Instalación y los métodos de inspección que se apliquen, y
c)    Equipo de transporte para la atención de fugas.
Apéndice C (Normativo)
Requerimientos específicos cuando se utilicen factores de Diseño superiores a 0.72 en Ductos de acero
C.1. Introducción
Para que un Sistema de Transporte o Segmento del Ducto nuevo o existente, pueda operar a la PMOP calculada con base en un factor de Diseño F superior a 0.72 y hasta 0.80; se debe demostrar el cumplimiento de los requisitos de Diseño, Construcción, Operación y Mantenimiento, que aseguren la integridad del Sistema de Transporte.
C.2. Diseño
C.2.1. Especificaciones de diseño para Ducto de acero
C.2.1.1. Las placas, rollos o barras que se utilizan como materia prima para la fabricación de la tubería deben ser de acero fabricado con el proceso de horno eléctrico o básico al oxígeno, el acero debe ser calmado con tratamiento de calcio y fabricado de acuerdo con la práctica de grano fino.
C.2.1.2. El equivalente de carbono en el acero utilizado para el Ducto no debe superar el 0.25 % en peso, calculado por la fórmula de Ito-Bessyo (PCM) o un 0.43 % en peso, calculado por fórmula según el Instituto Internacional de Soldadura.
C.2.1.3. La relación del diámetro exterior con el espesor de pared especificado del Ducto debe ser menor a 100. Durante la construcción, las pruebas de resistencia y las condiciones de operación previstas, el espesor de pared del Ducto debe quedar libre de anomalías tales como Abolladuras o deformaciones.
C.2.1.4. El Regulado debe asegurarse que la tubería cumple con lo establecido en las normas ISO 3183 y/o API 5L, nivel de especificación del producto 2, para presiones y temperaturas máximas y mínimas de operación, o aquellas que las modifiquen o sustituyan, o sus equivalentes.
C.2.2. Control de la fractura
C.2.2.1. Las propiedades de resistencia (tenacidad) del Ducto deben tomar en cuenta la potencial de iniciación y propagación de las fracturas; así como, las medidas para evitarlas.
C.2.2.2. El control de la fractura debe tomar en cuenta al menos lo siguiente:
I.     Vigilar que se mantenga la resistencia a la iniciación de la fractura, para todas las condiciones que se espere experimente el Ducto, como son:
a)    Temperaturas de funcionamiento;
b)    Presiones;
c)    Variaciones de flujo;
d)    Composiciones de Gas Natural;
e)    Grado del Ducto, y
f)     Niveles de estrés de funcionamiento incluyendo las presiones máximas y mínimas de cierre o paro por emergencia.
       Si estos parámetros durante la operación del Ducto se encuentran fuera de los límites de la evaluación del Diseño, esta debe ser revisada y actualizada, para asegurar la continuidad de la resistencia a la iniciación de la fractura para la vida útil restante del Ducto;
II.     Realizar el ajuste de la resistencia para cada grado de Ducto utilizado y para el comportamiento de descompresión del Gas Natural para los parámetros de operación, y
III.    Incluir pruebas de resistencia a la fractura.
C.2.3. Recubrimiento
C.2.3.1. El Ducto en instalaciones superficiales debe estar protegido contra la corrosión externa mediante un recubrimiento que evite el apantallamiento, el recubrimiento instalado en zanja debe resistir rasguños y otros daños durante su instalación.
C.2.3.2. Se debe efectuar una inspección de garantía de calidad e implementar un programa de pruebas para asegurar al menos los aspectos siguientes:
I.     Calidad del recubrimiento de la superficie del Ducto al descubierto;
II.     Limpieza de la superficie de cloruros;
III.    Limpieza por chorro;
IV.   Control de temperatura de aplicación;
V.    Adhesión del recubrimiento;
VI.   Desprendimiento catódico;
VII.   Infiltración de humedad;
VIII.  Flexión;
IX.   Espesor del recubrimiento;
X.    Detección de variaciones, y
XI.   Reparación del recubrimiento.
C.2.4. Prueba hidrostática
C.2.4.1. Todo Ducto a ser utilizado en un nuevo Segmento debe ser probado hidrostáticamente en fábrica, para garantizar la ausencia de fugas y su integridad, a una presión de prueba que corresponde a una tensión circunferencial de 95% de la RMC por 10 s.
C.2.4.2. La presión de prueba puede incluir una combinación de presión de prueba interna y la provisión para tensiones de final de carga impuestas por el equipo de prueba hidrostática en la fábrica de tubería de acuerdo con lo establecido en el API 5L, o aquel que lo modifique o sustituya, o su equivalente.
C.2.4.3. Los Ductos en funcionamiento antes del 22 de diciembre de 2008, deben haber sido probados hidrostáticamente en fábrica, a una presión de prueba que corresponda a una tensión circunferencial del 90% de la RMC por 10 s.
C.2.5. Equipos, Componentes y accesorios
C.2.5.1. Se debe contar con los registros de certificación de bridas, curvas inducidas y soldaduras de codos en fábrica, los cuales describan al menos la información siguiente:
I.     Propiedades químicas del material;
II.     Resistencia mínima a la elasticidad, y
III.    Espesor de pared mínimo requerido de acuerdo con las condiciones de diseño.
C.2.5.2. Si los equivalentes de carbono de las bridas, curvas y codos, son mayores que 0.42% en peso, los procedimientos calificados de soldadura deben incluir un proceso de precalentamiento.
C.2.5.3. Las válvulas, bridas y demás accesorios deben estar clasificados, con base en la categoría, calificación o especificación requerida para una PMOP específica, correspondiente a un factor de diseño superior a 0.72.
C.2.6. Estaciones de compresión
C.2.6.1. Una Estación de compresión debe estar diseñada para la temperatura límite de 49 ºC del Segmento más cercano aguas abajo, que opera a la PMOP específica correspondiente a un factor de diseño superior a 0.72.
C.2.6.2. Se debe investigar y demostrar mediante pruebas y monitoreo de campo, que el tipo de recubrimiento aplicado en el Ducto en operación puede soportar a largo plazo una temperatura más alta, la Estación de compresión puede ser diseñada para una temperatura límite superior en los Ductos aguas abajo. Los resultados de las pruebas y criterios de aceptación con respecto a la adherencia del recubrimiento, el desprendimiento catódico y el estado del recubrimiento, se deben incluir en las evaluaciones que realicen las Unidades de Inspección.
C.2.6.3. Los Ductos que operan a una PMOP específica correspondiente a un factor de diseño superior a 0.72, pueden funcionar a temperaturas superiores a 49 ºC, si el operador implementa un programa de monitoreo de la integridad de recubrimiento a largo plazo.
C.2.6.4. El programa de monitoreo debe incluir pruebas usando gradiente de potencial (Voltaje) de Corriente Directa (VCD), Voltaje de Corriente Alterna (VCA), o un método equivalente de integridad del recubrimiento. El operador debe establecer la periodicidad en la que se lleven a cabo estas evaluaciones y los criterios para la reparación de las Indicaciones señaladas.
C.2.6.5. El Regulado debe contar con un programa de monitoreo de la integridad de recubrimiento a largo plazo, previo a la entrada en operación a temperaturas superiores a los 49 ºC, para cuando la Agencia lo requiera.
C.3. Construcción
C.3.1. Garantía de calidad
C.3.1.1. La construcción del Segmento del Ducto se debe realizar bajo un plan de garantía de la calidad con respecto a la inspección de Ductos, traslado, colocación, alineamiento, curveado en campo, soldadura, exámenes no destructivos de soldaduras circunferenciales, aplicación y pruebas en campo de los recubrimientos aplicados, descenso del Ducto en la zanja, la prueba hidrostática y el relleno de la zanja. Así mismo con la verificación (reporte, registros y lista de verificación) de la ejecución de la Ingeniería en su versión APC debe ser firmada por la supervisión de la construcción y entregarse junto con el expediente de calidad.
C.3.1.2. El plan de garantía de la calidad de la aplicación y prueba en campo de recubrimientos aplicados a las soldaduras debe ser:
I.     Equivalente al requerido en el sistema de Administración de la integridad, y
II.     Realizado por personal competente.
C.4. Operación y mantenimiento
C.4.1. Identificación y evaluación de escenarios de eventos adversos
Se debe desarrollar una matriz de amenazas la cual tome en cuenta al menos, lo siguiente:
I.     Determinar y comparar el aumento del Riesgo de operar el Ducto con un aumento en el nivel de esfuerzos con respecto a la operación normal del sistema, y
II.     Describir y aplicar procedimientos utilizados para mitigar el Riesgo.
C.4.2. Notificaciones al público
Se debe contar con un programa de educación al público, el cual contenga como mínimo lo siguiente:
I.     Incluir a las personas que ocupan una propiedad ubicada dentro de un área de 200 metros con respecto a la línea central del Ducto y el Riesgo que representa, y
II.     Incluir información sobre las actividades de gestión de integridad realizadas bajo esta sección dentro de la información que se difunda al público.
C.4.3. Respuesta a Emergencias dentro las zonas de alto Riesgo
C.4.3.1. Asegurar que la identificación de áreas de alto Riesgo consecuencia refleja el mayor potencial en los círculos de impacto.
C.4.3.2. Si el tiempo de respuesta del personal operativo en la línea principal y Válvulas de seccionamiento a cada lado de la zona de alto Riesgo, supera una hora (en condiciones normales de conducción y los límites de velocidad) calculado a partir del momento en que un evento se identifique en el Cuarto de control; se debe instalar un sistema de control remoto para la operación de válvulas a través del sistema SCADA, u otro sistema de detección de Fugas, o un método alternativo de control.
C.4.3.3. El control remoto de la válvula debe incluir la capacidad para cerrar y controlar la posición de la válvula (abierta o cerrada), así como monitorear la presión corriente arriba y corriente debajo de la válvula.
C.4.3.4. El sistema de control para Válvulas de seccionamiento o corte puede usar la presión diferencial de línea, la tasa de caída de presión u otro método aceptado, como alternativa del sistema de control.
C.4.4. Conformación de base de datos de la evaluación inicial de la integridad
C.4.4.1. Salvo lo dispuesto en C.4.4.3 para un nuevo Segmento de Ducto que funciona a una PMOP con factores de diseño superiores a 0.72, se debe realizar una inspección interna de referencia del Segmento del Ducto, de la siguiente forma:
I.     Evaluar el Ducto, utilizando una herramienta de geometría, después de la prueba hidrostática inicial y en un plazo de seis meses después de la colocación del nuevo Segmento del Ducto en servicio, y
II.     Evaluar el Ducto, utilizando equipo instrumentado dentro de los tres años posteriores a la instalación del nuevo Segmento de Ducto en servicio en la presión máxima de trabajo permisible alternativa.
C.4.4.2. Salvo lo dispuesto en C.4.4.3, para un Segmento de Ducto existente, se debe realizar una inspección interna con un equipo instrumentado, dentro de los dos años posteriores al incremento de una PMOP con factor de diseño superior a 0.72.
C.4.4.3. En cabezales, válvulas principales, bypass, Ducto a Estaciones de compresión, Ducto para equipo de medición, u otro Segmento de Ducto que operen con una PMOP con factor de diseño (F) superior a 0.72, y que no puedan acomodar un equipo instrumentado para su inspección interna, se debe utilizar la inspección directa de espesores y/o prueba de presión para evaluar esa porción.
C.4.5. Evaluaciones periódicas de la integridad
C.4.5.1. Se debe determinar la frecuencia de las evaluaciones de integridad posteriores a la evaluación inicial, manteniendo los resultados en una base de datos, dentro del sistema de Administración de la integridad.
C.4.5.2. Se debe llevar a cabo inspecciones internas conforme a la frecuencia determinada en el numeral C.4.5.1, usando equipo instrumentado de alta resolución, manteniendo los resultados auditables en una base de datos de la Evaluación de la integridad de este Apéndice (Normativo).
C.4.5.3. Se debe llevar a cabo inspecciones internas conforme a la frecuencia determinada en C.4.5.1, en los casos previstos en la condición C.4.4.3, manteniendo los resultados auditables en una base de datos de la Evaluación de la integridad de este Apéndice (Normativo).
C.4.6. Atención a Indicaciones de anomalías y reparaciones
C.4.6.1. En el caso de que, en los resultados de las evaluaciones de la integridad, se tengan Indicaciones de anomalías o desviaciones a las especificaciones del Sistema de Transporte de la Norma Oficial Mexicana, se debe realizar al menos lo siguiente:
I.     Determinar la resistencia remanente del Sistema de Transporte, Segmento, Sección y/o Componente, utilizando el cálculo más conservador para la resistencia restante o un cálculo alternativo validado con base en el diámetro del Ducto, espesor de pared, el grado de fabricación, la presión de operación, el nivel de esfuerzos operativos y temperatura de servicio, y
II.     Se debe tomar en cuenta las tolerancias de los equipos o herramientas implementados para las inspecciones internas, externas o directas.
C.4.6.2. Reparar las anomalías o Defectos cuando el Defecto sea una Fuga, Abolladura, imperfección o daño encontrado durante la Evaluación de la integridad, conforme a lo establecido en el numeral 8.3.7.
C.4.6.3. La atención de los resultados indicados en el C.4.4 y C.4.5, de este Apéndice (Normativo), debe sujetarse a lo establecido en el sistema de Administración de la integridad, efectuando un estudio de Riesgo específico y un programa de atención de las recomendaciones específicas obtenidas en dicho estudio.
Apéndice D (Normativo)
Odorización del Gas Natural
D.1. Introducción
En este Apéndice (Normativo) se establecen los requisitos mínimos que debe cumplir el Regulado para el sistema de odorización de Gas Natural, las características del agente odorizante, y las medidas de seguridad en el manejo y aplicación del odorizante en los Sistemas de Transporte que operen en todo el Territorio Nacional.
D.2. Odorizantes
El odorizante utilizado debe cumplir como mínimo con los requisitos siguientes:
I.     Contar con un grado de pureza que permita alcanzar el nivel de odorización establecido;
II.     Ser compatible con los materiales de fabricación del equipo utilizado para la odorización del Gas Natural;
III.    Ser estable física y químicamente para asegurar su presencia como vapor dentro de la corriente de Gas Natural;
IV.   No ser tóxico ni nocivo para las personas y equipos en la concentración requerida;
V.    Fácil combustión dentro del rango recomendado por el fabricante;
VI.   Contar con un grado de penetrabilidad que permita detectar las fugas de un Sistema de Transporte enterrado por medio de la mancha que deja en el suelo y así prevenir a la población en el área circundante del peligro;
VII.   Solubilidad en agua menor a 2.5% en masa;
VIII.  Contar con un olor que proporcione al Gas Natural el aroma característico y persistente;
IX.   Fácil manejo para su adición al Gas Natural, y
X.    Los productos de la combustión del odorizante no deben ser corrosivos a los materiales expuestos ni ser nocivos para la salud de la población.
D.3. Cantidad de odorizante a utilizar
El Gas Natural debe ser odorizado a una concentración que permita ser detectado por el olfato cuando las concentraciones alcancen una quinta parte del límite inferior de explosividad, o cuando la proporción de gas en aire sea del 1%.
D.4. Sistemas de odorización
D.4.1. El equipo de odorización seleccionado debe dosificar el odorizante dentro de los rangos de concentración recomendados por el fabricante.
D.4.2. Los equipos para llevar a cabo la odorización deben cumplir al menos, con lo siguiente:
I.     La cantidad de odorizante dosificado debe ser proporcional al volumen de Gas Natural, considerando las condiciones de presión y temperatura de transporte y del ambiente;
II.     Los materiales deben ser resistentes a la corrosión química y atmosférica;
III.    El equipo debe tener la capacidad para manejar un amplio rango de flujos, y
IV.   La selección del equipo debe hacerse de acuerdo con el volumen de Gas Natural a odorizar.
D.5. Control del proceso de odorización
D.5.1. Se debe monitorear el olor del Gas Natural en puntos determinados del Sistema de Transporte, para verificar que la concentración del odorizante sea la misma a lo largo del Ducto y se perciba cuando la proporción de Gas Natural en aire sea del 1% o una quinta parte del límite inferior de explosividad.
D.5.2. El Regulado debe llevar a cabo pruebas de concentración de odorizante en la Sección del Ducto que lo requiera, los puntos de prueba deben ubicarse en un lugar alejado del equipo de odorización para proporcionar datos representativos del Gas Natural.
D.5.3. El control del proceso de odorización puede efectuarse en forma indirecta por el consumo de odorizante o de forma directa mediante el análisis del contenido de odorizante.
D.5.4. Cuando el Gas Natural a odorizar tenga contenidos variables de odorizante debe utilizarse el control directo.
D.6. Medidas generales de seguridad para el manejo de los odorizantes
D.6.1. Medidas de seguridad
D.6.1.1. Cuando se trabaje con equipos de odorización se debe utilizar herramienta a prueba de chispa para prevenir la combustión accidental de los vapores del odorizante.
D.6.1.2. El tanque de almacenamiento, equipo de odorización y la tubería deben ser fabricados con materiales resistentes a la composición del odorizante para evitar la corrosión.
D.6.2. Derrames
D.6.2.1. Cuando se detecte un derrame de odorizante, debe neutralizarse mediante la adición de una solución acuosa de hipoclorito de sodio; asimismo, se debe utilizar un agente evanescente para enmascarar el olor; así como, tierra, arena fina o aserrín, o el producto que recomiende el fabricante para absorber dicho odorizante.
D.6.2.2. La eliminación del odorizante puede efectuarse por oxidación o por absorción, mediante compuestos como lejía, agua oxigenada y permanganato de potasio, y deben evitarse los oxidantes en altas concentraciones sobre el odorizante derramado a fin de evitar accidentes.
D.6.3. Almacenamiento
D.6.3.1. Los recipientes del odorizante deben estar almacenados en lugares cubiertos, secos, ventilados y no deben exponerse a los rayos solares.
D.6.3.2. Antes de abrir los recipientes del odorizante se deben enfriar para no provocar una fuga en fase vapor, debido a que la presión de vapor aumenta con el incremento de la temperatura, de acuerdo con lo establecido en la Tabla D.1.
Tabla D.1.- Fase vapor del Odorizante
Temperatura (K/°C)
Presión de vapor del odorizante (kPa)
293 / 20
2.05
353 / 80
27.38
 
D.6.4. Seguridad del personal.
El personal que este en contacto con el odorizante debe utilizar el equipo de seguridad tomando en cuenta como mínimo, lo siguiente:
I.     Guantes, botas y delantal de cloruro de polivinilo;
II.     Gafas protectoras de hule especial, y
III.    Mascarilla con filtro de absorción para componentes orgánicos.
Bibliografía
·      NOM-026-STPS-2008, Colores y señales de seguridad e higiene, e identificación de riesgos por fluidos conducidos en tuberías, publicada en el Diario Oficial de la Federación el 25 de noviembre de 2018.
·      NOM-009-ASEA-2017, Administración de la integridad de ductos de recolección, transporte y distribución de hidrocarburos, petrolíferos y petroquímicos, publicada en el Diario Oficial de la Federación el 25 de enero de 2019.
·      NMX-B-010-1986, Industria siderúrgica- Tubos de acero al carbono sin costura o soldados, negros o galvanizados por inmersión en caliente, para usos comunes. Declaratoria de vigencia publicada en el Diario Oficial de la Federación el 17 de diciembre de 1986.
·      NMX-B-177-1990, Tubos de acero con o sin costura, negros y galvanizados por inmersión en caliente. Declaratoria de vigencia publicada en el Diario Oficial de la Federación el 18 de julio de 1990.
·     NMX-B-179-1983, Productos siderúrgicos- Tubos de acero con o sin costura-Series dimensionales. Declaratoria de vigencia publicada en el Diario Oficial de la Federación el 17 de agosto de 1983.
·      NMX-X-021-SCFI-2014, Industria del gas-Tubos multicapa a base de polietileno y aluminio para la conducción de Gas Natural (GN) y gas licuado de petróleo (GLP)-especificaciones y métodos de ensayo. Declaratoria de vigencia publicada en el Diario Oficial de la Federación el 26 de abril de 2016.
·      NMX-X-031-SCFI-2017, Industria del Gas-Válvulas de paso-Especificaciones y métodos de prueba. Declaratoria de vigencia publicada en el Diario Oficial de la Federación el 19 de febrero de 2018.
·      NMX-Z-012/2-1987, Muestreo para la inspección por atributos-Parte 2: Métodos de muestreo, tablas y gráficas. Declaratoria de vigencia publicada en el Diario Oficial de la Federación el 28 de octubre de 1987.
·      ISO 13623-2017, Petroleum And Natural Gas Industries - Pipeline Transportation Systems. (Industrias del petróleo y del gas natural - Sistemas de transporte por tuberías).
·      API 6D, Specification for Valves, 2021. (Especificación para válvulas).
·      API 570- 2016, Piping Inspection Code: In-service Inspection, Rating, Repair, and Alteration of Piping Systems. (Código de inspección de tuberías: Inspección en servicio, clasificación, reparación y alteración de sistemas de tuberías).
·      API Standard 521, Guide for Pressure-Relieving and Depressuring Systems, 2020. (Guía para sistemas de alivio de presión y despresurización).
·      API Standard 526, Flanged Steel Pressure-relief Valves, 2017. (Válvulas de alivio de presión de acero con bridas).
·      API RP 2201-2020, Safe Hot Tapping Practices in the Petroleum and Petrochemical Industries. (Prácticas seguras de perforación en caliente en las industrias del Petróleo y Petroquímica).
·      ASTM B 32- 2020, Standard specification for solder metal. (Especificación estándar para el metal de soldadura).
·      ASTM A53/A53M-2022, Standard specification for pipe, steel, black and hot dipped, zinc coated welded and seamless. (Especificación estándar para tubos de acero, soldados y sin soldadura, galvanizados por inmersión en caliente y en negro).
·      ASTM A106/A106M-2019, Standard specification for seamless carbon steel pipe for high temperature service. (Especificación estándar para tubos de acero al carbono sin soldadura para servicio a alta temperatura).
____________________________