ACUERDO por el que se emite el Manual que regula las remuneraciones de las personas servidoras públicas, y por el que se aprueba la estructura ocupacional de la Comisión Federal de Competencia Económica para el ejercicio fiscal de 2025.
Al margen un sello con el Escudo Nacional, que dice: Estados Unidos Mexicanos.- Comisión Federal de Competencia Económica.- Pleno.
ACUERDO No. CFCE-006-2025
ACUERDO POR EL QUE SE EMITE EL MANUAL QUE REGULA LAS REMUNERACIONES DE LAS PERSONAS SERVIDORAS PÚBLICAS, Y POR EL QUE SE APRUEBA LA ESTRUCTURA OCUPACIONAL DE LA COMISIÓN FEDERAL DE COMPETENCIA ECONÓMICA PARA EL EJERCICIO FISCAL DE 2025.
El Pleno de esta Comisión Federal de Competencia Económica (Comisión o COFECE), en sesión excepcional del diez de enero de dos mil veinticinco, manifiesta su conformidad para la emisión del presente Acuerdo, en atención a los siguientes:
ANTECEDENTES
1. El once de junio de dos mil trece, se publicó en el Diario Oficial de la Federación (DOF) el "Decreto por el que se reforman y adicionan diversas disposiciones de los artículos 6o., 7o., 27, 28, 73, 78, 94 y 105 de la Constitución Política de los Estados Unidos Mexicanos, en materia de telecomunicaciones", por medio del cual se crea un órgano constitucional autónomo denominado Comisión Federal de Competencia Económica;
2. El veintitrés de mayo de dos mil catorce, se publicó en el DOF la Ley Federal de Competencia Económica (LFCE), cuya última reforma se publicó en el DOF el veintiuno de mayo de dos mil veintiuno, Ley que en su artículo 10 reconoce la naturaleza jurídica de la COFECE como órgano autónomo, con personalidad jurídica y patrimonio propio, que ejerce su presupuesto de forma autónoma;
3. El ocho de julio de dos mil catorce, se publicó en el DOF el Estatuto Orgánico de la COFECE (Estatuto), cuya última reforma se publicó en el DOF el cuatro de junio de dos mil veinticuatro;
4. El catorce de septiembre de dos mil veintitrés, se publicaron en el DOF las Disposiciones Generales de Gestión de Talento de la Comisión Federal de Competencia Económica (Disposiciones Generales), mismas que tienen por objeto, entre otros, establecer el Sistema de Gestión de Talento de la Comisión; promover la profesionalización y capacitación del personal de la Comisión para el desarrollo de Competencias afines con los objetivos institucionales; fomentar la permanencia y desarrollo profesional del personal, así como regular y establecer los procedimientos necesarios en la capacitación y desarrollo profesional, estímulos y reconocimientos, remuneraciones, prestaciones, condiciones generales de trabajo y la gestión del talento en los diferentes grupos y puestos;
5. El veinte de diciembre de dos mil veinticuatro, se publicó en el DOF el "Decreto por el que se reforman, adicionan y derogan diversas disposiciones de la Constitución Política de los Estados Unidos Mexicanos, en materia de simplificación orgánica" (Reforma de Simplificación Orgánica).
6. El veinte de diciembre de dos mil veinticuatro, el Pleno de la COFECE emitió el Acuerdo No. CFCE-357-2024, por el que se establecen medidas administrativas con la finalidad de optimizar los recursos asignados para dar continuidad al cumplimiento de su mandato Constitucional, en el que determinó suspender para el ejercicio 2025 diversas prestaciones y servicios;
7. El veinticuatro de diciembre de dos mil veinticuatro, se publicó en el DOF el Presupuesto de Egresos de la Federación para el Ejercicio Fiscal 2025 (PEF2025) aprobado por la Cámara de Diputados, y
8. El nueve de enero de dos mil veinticinco, se publicaron en el DOF los Calendarios de Presupuesto autorizados para el ejercicio fiscal 2025, dentro del que se encuentra el Ramo 41, correspondiente al gasto programable de la COFECE (Calendario COFECE), el cual establece que el importe anual asignado como ejecutor del gasto corresponde a los meses de enero, febrero, marzo, abril, mayo y junio del año en curso.
En virtud de lo anterior y en atención a lo siguiente:
CONSIDERANDOS
Primero. Que de conformidad con el artículo 28, párrafo décimo quinto de la Constitución Política de los Estados Unidos Mexicanos (Constitución), la Comisión es un órgano autónomo con personalidad jurídica y patrimonio propio, que tiene por objeto garantizar la libre competencia y concurrencia, así como prevenir, investigar y combatir los monopolios, las prácticas monopólicas, las concentraciones y demás restricciones al funcionamiento eficiente de los mercados, en los términos que establecen la Constitución y las leyes; independiente en sus decisiones y funcionamiento; y que está facultada para ejercer su presupuesto de forma autónoma;
Segundo. Que la especialización de la función de la COFECE es una característica esencial para cumplir con su mandato Constitucional, el cual se despliega a través de intervenciones complejas que requieren de altos grados de conocimiento técnico, las cuales buscan proteger y promover el funcionamiento eficiente de los mercados, a través de acciones preventivas y correctivas como, por ejemplo, la investigación y sanción de prácticas monopólicas, el análisis de concentraciones que pudieran tener efectos anticompetitivos, el análisis sobre las condiciones de competencia de mercados específicos, la eliminación de barreras a la competencia o la regulación de insumos esenciales;
Tercero. Que el artículo 123, apartado B, fracción IV, primer párrafo, de la Constitución, indica que los salarios serán fijados en los presupuestos respectivos;
Cuarto. Que el artículo 5, fracción I, inciso b), de la Ley Federal de Presupuesto y Responsabilidad Hacendaria (LFPRH) establece que los órganos autónomos ejercerán sus presupuestos observando lo dispuesto en esa Ley, sin sujetarse a las disposiciones generales emitidas por la Secretaría de Hacienda y Crédito Público y la Secretaría de la Función Pública;
Quinto. Que la LFPRH, en su artículo 2, fracciones XV y LVI establece que los entes autónomos son las personas de derecho público de carácter federal con autonomía en el ejercicio de sus funciones y en su administración, creadas por disposición expresa de la Constitución a las que se asignen recursos del Presupuesto de Egresos a través de los ramos autónomos; y, que las unidades de administración son los órganos o unidades administrativas de los ejecutores de gasto, establecidos en los términos de sus respectivas leyes orgánicas, encargados de desempeñar las funciones a que se refiere el último párrafo del artículo 4 de esta Ley. De igual forma, el citado ordenamiento en el artículo 3, segundo párrafo, dispone que en el caso de los entes autónomos, sus respectivas unidades de administración podrán establecer las disposiciones generales correspondientes; y, finalmente, en el último párrafo del artículo 4, señala que los ejecutores de gasto contarán con una unidad de administración, encargada de planear, programar, presupuestar, en su caso, establecer medidas para la administración interna, controlar y evaluar sus actividades respecto al gasto público;
Sexto. Que el artículo 54 de las Disposiciones Generales, determina que la Comisión establecerá un esquema de remuneraciones y prestaciones que permita asegurar que las condiciones salariales entre los puestos sean proporcionales, equitativas, no discriminatorias y en la medida de lo posible acordes con el mercado laboral a fin de atraer y retener el talento institucional y conformar una fuerza laboral profesional y de alta especialización en su función.
Así como que dicho esquema buscará incorporar las mejores prácticas en la materia, a fin de contar con factores de compensación mixta que comprenda un monto fijo y un componente variable, es decir un estímulo, vinculado al desempeño que fortalezca la administración por resultados, la mejora continua, el trabajo técnico calificado, la profesionalización del Personal y la retención del talento de la Comisión; así como la posibilidad de promociones horizontales asociadas al desempeño.
Establece también, que la Dirección General de Administración (DGA) elaborará el manual que regula las remuneraciones de las personas servidoras públicas de la COFECE (Manual) que deberá contener el Tabulador de Sueldos y Salarios para cada grupo de puestos, y en su caso, las prestaciones que correspondan, el cual se someterá a la aprobación del Pleno;
Séptimo. Que el artículo 88 de las Disposiciones Generales establece que previa aprobación del Pleno, la Comisión podrá modificar, sustituir, suprimir, suspender, cambiar, adaptar las Prestaciones que en cualquier tiempo otorgue, atendiendo a la disponibilidad presupuestal de la COFECE;
Octavo. Que la Reforma de Simplificación Orgánica establece en su régimen transitorio, entre otras cuestiones que:
"Primero. El presente Decreto entrará en vigor al día siguiente de su publicación en el Diario Oficial de la Federación, salvo lo dispuesto en el artículo Décimo transitorio.
[...]
Séptimo. Los derechos laborales de las personas servidoras públicas serán respetados en su totalidad, en términos de la legislación aplicable. Los recursos humanos con que cuenten los entes públicos que se extinguen a consecuencia del presente Decreto pasarán a formar parte de aquellos que asuman sus atribuciones, cuando corresponda;
[...]
Décimo. Las modificaciones a los párrafos décimo quinto a vigésimo del artículo 28 que se reforman en el presente Decreto, entrarán en vigor en un plazo de ciento ochenta días contados a partir de la entrada en vigor de la legislación secundaria a que hace referencia el siguiente párrafo.
El Congreso de la Unión expedirá las leyes secundarias en materia de competencia y libre concurrencia; y en materia de telecomunicaciones y radiodifusión, respectivamente, para el ejercicio de las facultades previstas en el artículo 28 de esta Constitución.
[...]
Décimo Primero. La Comisión Federal de Competencia Económica y el Instituto Federal de Telecomunicaciones se extinguirán al momento de la entrada en vigor del presente Decreto, de conformidad con el artículo Décimo transitorio. Los actos emitidos por dichos órganos con anterioridad a la entrada en vigor del presente Decreto, en términos del artículo Décimo transitorio, surtirán todos sus efectos legales. Los Comisionados del Instituto Federal de Telecomunicaciones y de la Comisión Federal de Competencia Económica que continúen en su encargo, concluirán sus funciones a la entrada en vigor del presente Decreto, en términos del artículo Décimo transitorio."
Por lo tanto, la Reforma de Simplificación Orgánica estableció que la COFECE deberá seguir cumpliendo con su mandato establecido en el artículo 28 de la Constitución desde la entrada en vigor de la Reforma de Simplificación Orgánica, establecida en el artículo Primero transitorio, en un plazo de ciento ochenta días contados a partir de la entrada en vigor de la legislación secundaria que el Congreso de la Unión expida, de conformidad con el Décimo transitorio de la Reforma de Simplificación Orgánica;
Noveno. Que el veinticuatro de diciembre de dos mil veinticuatro se publicó en el DOF el PEF2025, el cual en su Anexo 1 autorizó un Presupuesto global para la Comisión Federal de Competencia Económica de $199´866,026.00 (ciento noventa y nueve millones, ochocientos sesenta y seis mil veintiséis pesos 00/100 M.N.), lo que representa una reducción de $488,000,000 (cuatrocientos ochenta y ocho millones de pesos 00/100 M.N), respecto del monto originalmente solicitado por esta Comisión en el proyecto de presupuesto por $687,866,026.00 (seiscientos ochenta y siete millones, ochocientos sesenta y seis mil veintiséis pesos 00/100 M.N.), así como del autorizado para el ejercicio fiscal 2024 por la misma cantidad. Dicho ajuste representa una reducción del 70.94% (setenta punto noventa y cuatro por ciento) respecto del presupuesto anual requerido por la COFECE para cumplir su mandato constitucional;
Décimo. Que el presupuesto asignado resulta insuficiente para que la COFECE cumpla con su mandato constitucional durante el ejercicio fiscal de 2025. Si bien la Reforma de Simplificación Orgánica establece que se extinguirá la COFECE, no especifica una fecha de cuando ocurriría y solo indica que se extinguirá 180 días contados a partir de la entrada en vigor de la legislación secundaria que hace referencia a los artículos Décimo y Décimo Primero Transitorios de la Reforma de Simplificación Orgánica. Esta situación lleva a que la COFECE deba cumplir con su mandato constitucional en el plazo que se conforma por 180 días del ejercicio fiscal de 2025 y todos los días del mismo ejercicio fiscal en tanto no entre en vigor la legislación secundaria antes mencionada;
Décimo Primero. Que el Calendario COFECE establece:
| Ramo | Total Anual | Enero | Febrero | Marzo | Abril | Mayo | Junio |
| 41 | Comisión Federal de Competencia Económica | 199,866,026 | 34,872,834 | 33,462,275 | 38,320,214 | 35,164,123 | 38,270,475 | 19,776,105 |
| Julio | Agosto | Septiembre | Octubre | Noviembre | Diciembre |
| 0 | 0 | 0 | 0 | 0 | 0 |
Y que de ello se advierte que el presupuesto asignado a la Comisión contempla únicamente el ejercicio parcial del ejercicio fiscal 2025 durante los meses referidos, por lo que estaría imposibilitada, a menos de que se otorgara una ampliación, o se generaran los ahorros suficientes, para continuar respetando los derechos laborales de las personas servidoras públicas de la COFECE y cumpliendo a partir de junio siguiente su mandato constitucional en términos del artículo 28 Constitucional vigente y los transitorios de la Reforma de Simplificación Administrativa, la cual prevé que la COFECE deba cumplir con su mandato constitucional en el plazo que se conforma por 180 días del ejercicio fiscal de 2025 y todos los días del mismo ejercicio fiscal en tanto no entre en vigor la legislación secundaria antes mencionada, que implica un plazo mayor a junio del año en curso.
Décimo Segundo. Que el artículo 21 primer párrafo del PEF2025 establece que los entes autónomos deberán publicar en el DOF, a más tardar el último día hábil del mes de febrero, el manual que regule las remuneraciones para los servidores públicos a su servicio, incluyendo al Presidente y los miembros del Órgano de Gobierno; así como a los demás servidores públicos; en el que se proporcione la información completa y detallada relativa a las remuneraciones que se cubran para cada uno de los niveles jerárquicos que los conforman;
Décimo Tercero. Que el segundo párrafo del artículo 21 del PEF2025 establece que se deberá publicar la estructura ocupacional que contenga la integración de los recursos aprobados en el capítulo de servicios personales, con la desagregación de su plantilla total, junto con las del personal operativo, eventual y el contratado bajo el régimen de honorarios, en el que se identifiquen todos los conceptos de pago y aportaciones de seguridad social que se otorguen con base en disposiciones emitidas por sus órganos competentes, así como la totalidad de las plazas vacantes con que cuenten;
Décimo Cuarto. Que de conformidad con los artículos 12, fracción VIII, y 18, párrafo séptimo, de la LFCE y el artículo 5, fracción IV, del Estatuto, corresponde al Pleno de la Comisión autorizar modificaciones a su estructura ocupacional y las remuneraciones de los servidores públicos adscritos a la Comisión; para lo cual deberá observar lo dispuesto en los artículos 17, 33 y 67 de la LFPRH, así como 14 del PEF2025;
Décimo Quinto. Que el artículo 20, fracción III, de la LFCE señala que corresponde a la Comisionada Presidenta de la Comisión dirigir y administrar los recursos humanos, financieros y materiales de la Comisión;
Décimo Sexto. Que el artículo 12, fracciones XX y XXII, del Estatuto establece que: corresponde a la Comisionada Presidenta de la COFECE proponer al Pleno, proyectos de normas generales, así como las políticas en materia de recursos humanos, materiales y financieros de la COFECE;
Décimo Séptimo. Que los artículos 23, 24, fracciones IV y VI, 37, así como el 38, fracción XXVII, del Estatuto facultan a la Dirección General de Administración, con el apoyo de las áreas a su cargo, para analizar e integrar las propuestas de modificación a la estructura orgánica y ocupacional de los órganos y unidades administrativas de la Comisión;
Décimo Octavo. Que el artículo 3 del PEF 2025 señala que el gasto neto total se distribuye conforme a lo establecido en los Anexos del Decreto y Tomos del Presupuesto; y específicamente, en su fracción XIX, dispone que los límites de las remuneraciones de los servidores públicos de la Federación se señalan en el Anexo 23 de ese Decreto y en el Tomo IX de ese Presupuesto de Egresos; asimismo el artículo 13, fracción III, inciso i) establece que la remuneración total anual autorizada a la Comisionada Presidenta de la COFECE, se presenta en el Anexo 23.10. Ramo 41: Comisión Federal de Competencia Económica;
Décimo Noveno. Que la Cámara de Diputados aprobó, en el PEF 2025, las remuneraciones fijadas como parte de los anexos 23.10.1.A. LÍMITES MÍNIMOS Y MÁXIMOS DE LA PERCEPCIÓN ORDINARIA TOTAL EN LA COMISIÓN FEDERAL DE COMPETENCIA ECONÓMICA (NETOS MENSUALES) (pesos), 23.10.1.B. LÍMITES DE PERCEPCIÓN ORDINARIA TOTAL EN LA COMISIÓN FEDERAL DE COMPETENCIA ECONÓMICA (BRUTOS MENSUALES) (pesos), 23.10.2. REMUNERACIÓN TOTAL ANUAL DE LA COMISIONADA PRESIDENTA DE LA COMISIÓN FEDERAL DE COMPETENCIA ECONÓMICA 2025 (pesos) y 23.10.3. LÍMITES DE PERCEPCIÓN EXTRAORDINARIA TOTAL EN LA COMISIÓN FEDERAL DE COMPETENCIA ECONÓMICA (NETOS ANUALES) (pesos);
Vigésimo. Que es necesario regular el otorgamiento de las remuneraciones y prestaciones que se deberán cubrir a las personas servidoras públicas de la Comisión, en congruencia con lo previsto en el artículo 127 de la Constitución y en el artículo 21 del PEF2025 y artículo 66 de la LFPRH, por medio de un manual que contemple el tabulador de percepciones ordinarias y las reglas para su aplicación, conforme a las percepciones autorizadas para esta Comisión en el PEF2025.
Vigésimo Primero. Que el presupuesto otorgado a la Comisión y el Calendario COFECE permiten a este Pleno únicamente garantizar el otorgamiento de las remuneraciones y prestaciones indicadas hasta mayo de dos mil veinticinco.
Por lo anteriormente expuesto, el Pleno de esta Comisión:
ACUERDA
Primero. Aprobar las estructuras ocupacionales de la COFECE, las cuales se integran por cuatrocientas ochenta y seis plazas de estructura y siete de carácter eventual, conforme se detalla en el Anexo 1.
Segundo. Emitir el Manual que regula las remuneraciones de las personas servidoras públicas de la Comisión Federal de Competencia Económica; en atención a los Antecedentes 4 y 7 y Considerando Sexto del presente Acuerdo, y de acuerdo con el artículo 21 del PEF2025, conforme a lo siguiente:
Objeto y Definiciones
Artículo 1.- El presente ordenamiento tiene por objeto establecer las disposiciones generales para regular el otorgamiento de las remuneraciones y prestaciones de las personas servidoras públicas de la COFECE.
Toda remuneración será equivalente a un trabajo semejante, sin distinguir edad, sexo o condiciones físicas de las personas servidoras públicas.
Artículo 2.- Las definiciones previstas en el artículo 2 de la LFPRH serán aplicables en el presente Manual. Adicionalmente, y con relación al último párrafo de dicho artículo, se entenderá por:
I. COFECE o Comisión: Comisión Federal de Competencia Económica;
II. Compensación garantizada: La remuneración complementaria al sueldo base tabular, que se cubre a las personas servidoras públicas que corresponda y que se integra a los sueldos y salarios. Esta remuneración no forma parte de la base de cálculo para determinar las prestaciones básicas, así como las cuotas y aportaciones de seguridad social, salvo aquellas que en forma expresa determinen las disposiciones aplicables;
III. DGA: Dirección General de Administración de la Comisión;
IV. DERHyGT: Dirección Ejecutiva de Recursos Humanos y Gestión de Talento;
V. Instituto o ISSSTE: Instituto de Seguridad y Servicios Sociales de los Trabajadores del Estado;
VI. Ley del ISSSTE: La Ley del Instituto de Seguridad y Servicios Sociales de los Trabajadores del Estado;
VII. Manual: El Manual que regula las remuneraciones de las personas servidoras públicas de la COFECE;
VIII. Órgano de Gobierno o Pleno: Es el órgano supremo de decisión de la Comisión, integrado por siete Comisionados incluyendo a la Comisionada Presidenta;
IX. Personas servidoras públicas: Personas físicas al servicio de la Comisión Federal de Competencia Económica que formalmente desempeñan un empleo, cargo o comisión en virtud de un nombramiento expedido para ocupar una plaza de estructura o eventual dentro de la misma;
X. Remuneración o Remuneraciones: Todas las percepciones ordinarias y/o extraordinarias, en efectivo o en especie, incluyendo aguinaldos, gratificaciones, premios, recompensas, bonos, estímulos, comisiones, compensaciones y cualquier otra, que reciban las personas servidoras públicas en los términos de este Manual y de la legislación laboral; con excepción de los apoyos y los gastos sujetos a comprobación que sean propios del desarrollo del trabajo y los gastos de viaje en actividades oficiales;
XI. Sueldo base tabular: Los importes que se consignan en el Tabulador de sueldos y salarios, que constituyen la base de cálculo aplicable para computar las prestaciones, cuotas y aportaciones por concepto de seguridad social;
XII. Salario: Retribución que debe pagar la Comisión al personal por su trabajo y consiste en un pago mensual fijo establecido en el Tabulador de sueldos y salarios que debe cubrirse en periodos no mayores a 15 días naturales;
XIII. Tabulador de sueldos y salarios: Instrumento que representa los valores monetarios con los que se identifican los importes por concepto de sueldos y salarios en términos mensuales, que son aplicables a un puesto determinado; y
XIV. Unidades Administrativas: Son aquellas que componen la estructura de la clave presupuestaria para efectos del Proyecto de Presupuesto de Egresos de la Comisión y, que se establecen en las fracciones I, II, III, IV y VII del artículo 4 del Estatuto Orgánico de la Comisión; así como, las Direcciones Generales Operativas, de Coordinación, de Administración, de Asuntos Contenciosos y de Mercados Digitales. Dichas Unidades están obligadas a responder sobre los recursos humanos, materiales y financieros que solicitan para el cumplimiento del objetivo y misión de la Comisión.
Ámbito de aplicación
Artículo 3.- El presente ordenamiento es de observancia general y obligatoria para las personas servidoras públicas de la COFECE.
Artículo 4.- Quedan sujetos a la aplicación del Manual las Remuneraciones de los siguientes tipos de personal:
I. Operativo y Enlace: que comprende a las personas servidoras públicas que realizan labores de apoyo, técnicas o administrativas.
II. De mando, que comprende los puestos de:
a) Mando Medio: de Jefatura de Área a Dirección Ejecutiva, y
b) Mando Superior: que comprende la persona Comisionada Presidenta, Comisionados, Titulares de Unidad y Directores Generales.
De conformidad con el segundo párrafo del artículo 50 de la LFCE, el personal de la COFECE será considerado como trabajadores de confianza debido a la naturaleza de las funciones que la COFECE desempeña.
En el Anexo 2 del Manual se presenta el Tabulador de sueldos y salarios aplicable a las personas servidoras públicas de la COFECE.
Artículo 5.- El Pleno podrá aprobar o modificar en cualquier momento las disposiciones que regulen en forma complementaria el otorgamiento de las percepciones ordinarias y, en su caso, extraordinarias de las personas servidoras públicas de la COFECE.
De igual manera, el titular de la DGA podrá autorizar modificaciones a los puestos, así como a las estructuras y plantillas de personal, sujetándose al techo presupuestal aprobado por la Cámara de Diputados, siempre que se trate de movimientos compensados, o deriven de movimientos previstos en los Lineamientos Específicos en Materia de Planeación de la Fuerza Laboral y Estructura Orgánica de la Comisión Federal de Competencia Económica.
En este sentido y de conformidad con la disponibilidad presupuestal del ejercicio y la normatividad aplicable, el titular de la DGA podrá autorizar la ocupación de plazas de carácter eventual, para desempeñar o realizar obras, estudios, proyectos, actividades extraordinarias y/o trabajos determinados. Su nombramiento es por tiempo determinado y en ningún caso podrá exceder el treinta y uno de diciembre de dos mil veinticinco.
Artículo 6.- Se excluye de la aplicación del Manual a las personas físicas contratadas para prestar servicios profesionales bajo el régimen de honorarios.
Artículo 7.- La aplicación del Manual será responsabilidad de la DGA, a través de la DERHyGT y de la Dirección Ejecutiva de Presupuesto y Finanzas en el ámbito de sus respectivas competencias.
Disposiciones generales
Artículo 8.- Las remuneraciones y prestaciones de los Mandos Superiores, quedarán reguladas de acuerdo con lo establecido en el artículo 127 de la Constitución.
Artículo 9.- La Remuneración de una persona servidora pública no podrá ser igual o mayor a la de su superior jerárquico, salvo que el excedente sea consecuencia del desempeño de varios empleos públicos, o que sea un puesto técnico calificado o por especialización en su función.
Artículo 10.- Las Remuneraciones de las personas servidoras públicas se regulan por las disposiciones de este Manual, así como por aquella otra normatividad que para tales efectos emita, en su caso, el Pleno.
Artículo 11.- En ningún caso se podrán autorizar ni otorgar prestaciones por el mismo concepto, independientemente de su denominación, que impliquen un doble beneficio, salvo aquellos casos debidamente justificados por la DGA, que permitan la atención de eventos ocasionados por causas de fuerza mayor, caso fortuito o situaciones de emergencia, para salvaguardar el bienestar e integridad de las personas servidoras públicas de la Comisión.
Artículo 12.- Las jubilaciones, pensiones, liquidaciones por servicios prestados y los préstamos o créditos, no formarán parte de la remuneración, cuando se encuentren previstas por la Ley del ISSSTE.
Artículo 13.- Las remuneraciones se integran por las percepciones ordinarias y/o extraordinarias, agrupadas en los siguientes conceptos:
I. Percepciones ordinarias:
a. En numerario, que comprende:
1. Sueldos y salarios:
i. Sueldo base tabular; y
ii. Compensación garantizada.
2. Prestaciones que se clasifican:
i. Por mandato de ley; y
ii. Por acuerdo del Pleno, de conformidad con las disposiciones aplicables.
b. En especie.
II. Percepciones extraordinarias, que consisten en:
a. Premios, estímulos, reconocimientos, recompensas, incentivos y pagos equivalentes a los mismos, que se otorgan de manera excepcional a las personas servidoras públicas, condicionados al cumplimiento de compromisos de resultados sujetos a evaluación, en los términos de las disposiciones aplicables; y
b. Otras percepciones de carácter excepcional autorizadas de conformidad a las disposiciones aplicables.
Artículo 14.- Corresponde al Pleno la aprobación y emisión del Tabulador de sueldos y salarios aplicables a las personas servidoras públicas de mando, enlace y operativos, así como las modificaciones a éste.
Artículo 15.- El Tabulador de sueldos y salarios se presenta en el Anexo 2 de este Manual y se aplicará considerando los siguientes criterios:
I. El importe de la percepción ordinaria bruta mensual que se otorgue a las personas servidoras públicas por concepto de sueldos y salarios estará integrada por el sueldo base tabular y, la compensación garantizada;
II. En ningún caso la percepción ordinaria bruta mensual deberá rebasar los montos que se consignen en el Tabulador de sueldos y salarios, ni modificar la composición establecida en los mismos para el sueldo base tabular y la compensación garantizada, y
III. El otorgamiento del aguinaldo o gratificación de fin de año que corresponda a las personas servidoras públicas se sujetará a los términos de la Ley Federal de los Trabajadores al Servicio del Estado, así como de los criterios establecidos en el presente Manual;
Prestaciones
Artículo 16.- La Comisión, en ejercicio de su autonomía y con base en los principios de eficiencia, eficacia y transparencia previstos en el artículo 5, fracción I, inciso b) de la LFPRH otorgará a las personas servidoras públicas, las prestaciones establecidas en el presente Manual.
A. Prestaciones por Mandato de Ley
Artículo 17.- La remuneración incluye dentro del esquema de prestaciones, las aportaciones por concepto de seguridad social y de ahorro para el retiro que la Comisión realiza a favor de las personas servidoras públicas que prestan sus servicios a ésta, en términos de las disposiciones aplicables.
Artículo 18.- Las prestaciones previstas para las personas servidoras públicas de la COFECE son las siguientes:
I. La prima quinquenal, es una prestación que se otorgará en razón de la antigüedad, por cada 5 años de servicios efectivamente prestados hasta llegar a veinticinco años. Esta prestación se entregará conforme a lo siguiente:
| Importe Mensual en Pesos | Antigüedad |
| 160 | De 5 a menos de 10 años |
| 185 | De 10 a menos de 15 años |
| 235 | De 15 a menos de 20 años |
| 260 | De 20 a menos de 25 años |
| 285 | De 25 años en adelante |
Para efectos de la asignación o pago de la prima quinquenal por años de servicios, el tiempo de servicios se acreditará mediante la exhibición de hojas únicas de servicio en original o copia certificada que al efecto expida la dependencia, entidad, u órgano constitucional autónomo. Los años de servicio se computarán sin considerar el tiempo correspondiente a faltas injustificadas, suspensión y licencias sin goce de sueldo;
II. La prima vacacional, que equivale a 10 días de sueldo base tabular, para cada uno de los dos periodos vacacionales a que tenga derecho, que se otorgará a las personas servidoras públicas en dos exhibiciones.
En caso de que la persona servidora pública se separe de su cargo antes de cumplir con el periodo de seis meses, no tendrá derecho al pago de la prima vacacional. Esta prestación no está sujeta a su pago proporcional, en el caso de que no cumpla con el requisito de temporalidad.
Las personas servidoras públicas con más de seis meses de servicio ininterrumpido en la Comisión o en cualquier entidad cuyas relaciones laborales se rijan por el apartado B del artículo 123 Constitucional, tendrán derecho a disfrutar de 20 días hábiles de vacaciones al año, los cuales deberán coincidir con los periodos de suspensión de labores definidos por el Pleno en el "Acuerdo mediante el cual la Comisión Federal de Competencia Económica da a conocer el calendario anual de labores para el año dos mil veinticinco y principios de dos mil veintiséis".
Cuando por necesidades de la Comisión una persona servidora pública no pueda disfrutar del período vacacional, disfrutará de este una vez que haya desaparecido la causa que impidió su disfrute, previa justificación y autorización del Titular de la Unidad Administrativa o del Director General, sin que proceda acumulación de periodos. En caso de que la persona servidora pública no haya podido disfrutar del periodo vacacional, no podrá ser compensado con Remuneración alguna.
III. Un aguinaldo anual, que recibirán las personas servidoras públicas por un monto equivalente de al menos 40 días de sueldo base tabular, sin deducción alguna, que podrá cubrirse en un 50% (cincuenta por ciento) antes del quince de diciembre de dos mil veinticinco y el 50% (cincuenta por ciento) restante a más tardar el quince de enero de dos mil veintiséis.
Artículo 19.- Cuando alguna persona servidora pública fallezca y tuviere cuando menos una antigüedad de 6 meses, los familiares o quienes se hagan cargo de los gastos de inhumación recibirán el importe de cuatro meses de las percepciones ordinarias por concepto de sueldos y salarios que estuviere percibiendo en la fecha del deceso.
B. Prestaciones por aprobación del Pleno
Artículo 20.- La Comisión otorgará una gratificación de fin de año con base en la compensación garantizada, a las personas servidoras públicas de mando y enlace por un monto equivalente de al menos 40 días, sin deducción alguna, que podrá cubrirse en un 50% (cincuenta por ciento) antes del quince de diciembre de dos mil veinticinco y el 50% (cincuenta por ciento) restante, a más tardar, el quince de enero de dos mil veintiséis.
Artículo 21.- Los seguros se otorgan con el fin de coadyuvar a la estabilidad económica, seguridad y bienestar de las personas servidoras públicas.
Las condiciones que de manera general se encuentran establecidas en los seguros de personas, que otorga como una prestación la COFECE a las personas servidoras públicas, aplican a la totalidad de los integrantes de la colectividad o del grupo asegurado y conforme al Anexo 3.
Artículo 22.- El seguro de vida institucional tiene por objeto cubrir únicamente los siniestros por fallecimiento o por incapacidad total, invalidez o incapacidad permanente total, de conformidad con las disposiciones aplicables. Este seguro se encuentra consolidado por la Secretaría de Hacienda y Crédito Público.
La suma asegurada básica será el equivalente a 40 meses de percepción ordinaria bruta mensual y la prima correspondiente será cubierta por la COFECE.
La suma asegurada básica podrá incrementarse por voluntad expresa de la persona servidora pública y con cargo a su percepción, mediante descuento en nómina. Las opciones para incremento de la suma asegurada serán de 34, 51 o 68 meses de percepción ordinaria bruta mensual.
Aquellas personas servidoras públicas que, con motivo de incapacidad total, invalidez o incapacidad permanente total, hayan cobrado la suma asegurada correspondiente y se reincorporen a laborar en la Comisión, sólo serán sujetos del otorgamiento del seguro de vida institucional con una cobertura por fallecimiento, sin el beneficio de la incapacidad total, invalidez o incapacidad permanente total.
Los contratos o las pólizas del seguro de vida institucional con beneficios adicionales sólo podrán considerar incapacidad total, invalidez o incapacidad permanente total.
Artículo 23.- El seguro colectivo de retiro se otorga en favor de las personas servidoras públicas que causen baja de la Comisión y se ubiquen en los años de edad y de cotización al ISSSTE, con el propósito de hacer frente a las contingencias inherentes a la separación del servicio público.
Para el otorgamiento de esta prestación, el pago de la prima correrá a cargo de la persona servidora pública y por parte de la COFECE. Cuando por el comportamiento de la siniestralidad se requiera modificar lo antes señalado, corresponderá a la DGA realizar los trámites necesarios para su ajuste.
En el caso de las personas servidoras públicas que hayan optado o ingresado bajo el sistema de pensiones basado en cuentas individuales a que se refiere la Ley del ISSSTE.
En el supuesto de las personas servidoras públicas que hayan optado por el sistema de pensiones previsto en el artículo décimo transitorio del Decreto por el que se expide la Ley del ISSSTE.
El otorgamiento de esta prestación está suspendido para el ejercicio 2025 en términos de la disponibilidad presupuestal con la que se cuenta.
Artículo 24.- En caso de contar con suficiencia presupuestal, se podrá otorgar un seguro de responsabilidad patrimonial y asistencia legal a las personas servidoras públicas de la COFECE que por la naturaleza de sus funciones así lo requieran, el cual tiene por objeto prestar la asistencia y defensa legal a las personas servidoras públicas, a través del pago de honorarios, gastos judiciales o cualquier otra erogación, para enfrentar denuncias, demandas o cualquier tipo de procedimiento que se deriven del ejercicio de sus atribuciones, funciones o actividades en la COFECE.
Para tales efectos la COFECE, llevará a cabo la contratación de un seguro de responsabilidad y asistencia legal en beneficio de las personas servidoras públicas, que proporcione cobertura, con motivo de responsabilidad corporativa de gestión y responsabilidad profesional; con la posibilidad de que las personas servidoras públicas puedan potenciar dicho seguro para adquirir una cobertura de responsabilidades jurídicas adicionales.
La potenciación a que se hace referencia en el párrafo anterior, podrá hacerla por voluntad expresa de la persona servidora pública y con cargo a su percepción, mediante descuento en nómina.
El otorgamiento de esta prestación está suspendido para el ejercicio 2025 en términos de la disponibilidad presupuestal con la que se cuenta.
Artículo 25. La ayuda para despensa consiste en el otorgamiento de $785.00 (setecientos ochenta y cinco pesos 00/100 M.N.) mensuales al personal de mando, enlace y operativo.
Artículo 26.- Con el fin de coadyuvar al bienestar de las familias de las personas servidoras públicas de la COFECE, se otorgarán mensualmente vales de despensa por un monto de $2,800.00 (dos mil ochocientos pesos 00/100 M.N.).
El otorgamiento de esta prestación está suspendido para el ejercicio 2025 en términos de la disponibilidad presupuestal con la que se cuenta.
Artículo 27.- Sujeto a la disponibilidad presupuestaria del ejercicio fiscal 2025, la Comisión podrá otorgar un apoyo parcial o total al Personal que consuma sus alimentos en el comedor en las instalaciones de la Comisión, en los términos que establezca la DGA.
Dicho apoyo podrá ser cubierto con cargo a los ingresos excedentes del ejercicio, previo cumplimiento de la normativa aplicable, y no se considerará como ordinario en términos del Manual, toda vez que el Personal puede optar o no por hacer uso del comedor en las instalaciones de la Comisión.
El otorgamiento de esta prestación está suspendido para el ejercicio 2025 en términos de la disponibilidad presupuestal con la que se cuenta.
Artículo 28.- La Comisión, con la finalidad de promover el cuidado y la salud del personal, podrá cubrir a las personas servidoras públicas exámenes médicos generales una vez por año. La DGA definirá las modalidades para su otorgamiento, respetando en todo momento la disponibilidad presupuestal.
El otorgamiento de esta prestación está suspendido para el ejercicio 2025 en términos de la disponibilidad presupuestal con la que se cuenta.
Artículo 29.- Con independencia de los servicios y/o prestaciones que deriven del régimen de seguridad social y con la finalidad de promover el bienestar, así como la calidad de vida del Personal, la Comisión apoyará al Personal que demuestre documentalmente tener hijos en edad de lactancia o preescolar, con el pago de la inscripción y colegiaturas del servicio de guardería y/o preescolar.
El Personal tendrá derecho a recibir el servicio de guardería y/o preescolar para un máximo de dos hijas o hijos y hasta por los montos autorizados para cada uno de ellos, de conformidad con los criterios que emita la DGA.
El otorgamiento de esta prestación está suspendido para el ejercicio 2025 en términos de la disponibilidad presupuestal con la que se cuenta.
Artículo 30.- La Comisión otorgará una ayuda para anteojos al Personal que acredite la necesidad de su uso. El monto y características de este apoyo serán determinados por la DGA, y se podrá otorgar sólo una vez cada dos años.
La solicitud de pago deberá presentarse ante la DERHyGT, acompañada de la factura de los anteojos adquiridos y la receta del oftalmólogo o la graduación del optometrista.
El otorgamiento de esta prestación está suspendido para el ejercicio 2025 en términos de la disponibilidad presupuestal con la que se cuenta.
Artículo 31.- En el caso de las prestaciones al personal operativo, se otorgarán mensualmente, por los siguientes conceptos:
I. Previsión social múltiple, por la cantidad de $585.00 (quinientos ochenta y cinco pesos 00/100 M.N.);
II. Ayuda de servicios, por el importe de $565.00 (quinientos sesenta y cinco pesos 00/100 M.N.), y
III. Compensación por desarrollo y capacitación, por la suma de $1,600.00 (mil seiscientos pesos 00/100 M.N.).
Percepciones extraordinarias
Artículo 32.- El Pleno podrá autorizar el otorgamiento de percepciones extraordinarias por concepto de estímulos al desempeño destacado o reconocimientos a la antigüedad o incentivos similares, a favor de las personas servidoras públicas. Asimismo, podrá otorgar un estímulo económico y/o en especie extraordinario por el cumplimiento de los objetivos que para tal efecto establezca el Pleno de la Comisión, siempre y cuando no rebasen los límites de percepciones establecidos, sujeto a la disponibilidad presupuestaria.
El otorgamiento de esta prestación está suspendido para el ejercicio 2025 en términos de la disponibilidad presupuestal con la que se cuenta.
Artículo 33.- La Comisión otorgará prestaciones adicionales al personal operativo, y en su caso al personal de Enlace y mandos medios conforme a lo establecido en el Anexo 4 del presente Manual.
Medida de Fin de Año
Artículo 34.- Como medida de fin de año, la COFECE otorgará vales de despensa a las personas servidoras públicas de nivel Operativo.
La medida de fin de año se otorgará a las personas servidoras públicas sujeto a la disponibilidad presupuestaria del ejercicio 2025 y de conformidad con los montos que establezca la DGA, a más tardar, el último día hábil de diciembre de 2025.
Transparencia
Artículo 35.- La información de cada uno de los niveles salariales relativa a las percepciones ordinarias y extraordinarias, tanto en numerario como en especie, autorizadas de conformidad con el Manual y sus disposiciones específicas, deberá sujetarse a lo dispuesto en la normativa de Transparencia y demás disposiciones aplicables en la materia.
Artículo 36.- La Comisión deberá publicar en el portal de transparencia correspondiente el inventario de plazas o plantilla de plazas indicando los puestos y los niveles salariales autorizados que cuenten con plaza presupuestaria, de conformidad con la estructura ocupacional autorizada.
Artículo 37.- Las Remuneraciones y el Tabulador de sueldos y salarios que correspondan a cada nivel salarial serán públicos.
Interpretación
Artículo 38.- La DGA, en términos de las disposiciones aplicables, cumplirá, para efectos administrativos, con el Manual y resolverá los casos no previstos, sin perjuicio de que el Pleno decida hacerlo.
Artículo 39.- Corresponderá a la DGA y al Órgano Interno de Control, en el ámbito de sus respectivas atribuciones, la vigilancia del cumplimiento del Manual.
Artículo 40.- Para aquellas personas servidoras públicas que cuenten con determinaciones o resoluciones emitidas por autoridad jurisdiccional competente respecto de la forma en que deben cubrirse sus remuneraciones, se estará a lo ordenado en cada resolución judicial, exceptuando aquellos conceptos y rubros de pago o prestaciones de este Acuerdo que les resulten más favorables.
Transitorios
Primero. Se abroga el "ACUERDO por el que se emite el Manual que regula las remuneraciones de las personas servidoras públicas, y por el que se aprueba la estructura ocupacional de la Comisión Federal de Competencia Económica", publicado en el Diario Oficial de la Federación el veintitrés de enero de dos mil veinticuatro.
Segundo. Este Acuerdo entrará en vigor a partir del primero de enero de dos mil veinticinco y deberá publicarse en la página de internet de la Comisión, sin perjuicio de su publicación en el Diario Oficial de la Federación en términos del artículo 21 del Presupuesto de Egresos de la Federación para el ejercicio fiscal 2025.
El mismo estará en vigor hasta el treinta y uno de diciembre de dos mil veinticinco, sin perjuicio de que, a partir de junio sería necesario que se otorgue una ampliación presupuestal para no afectar los derechos laborales de las personas servidoras públicas de la COFECE, ni el cumplimiento al mandato Constitucional y, en su caso, el Pleno pueda modificarlo. [Énfasis del texto añadido].
Tercero. Todas las referencias al tabulador que se hacen en las Disposiciones Generales, se entenderán hechas al Tabulador de sueldos y salarios contenido en el Anexo 2 del presente Manual.
Cuarto. La suspensión del otorgamiento y pago de las prestaciones contenidas en los artículos 89; 92; 93; 94; 96; 97, y 98 segundo y tercer párrafo de las Disposiciones Generales, para el ejercicio 2025, que fue determinada por Pleno, mediante Acuerdo No.CFCE-357-2024 de fecha 20 de diciembre de 2024, por el que se ajusta el Presupuesto de Egresos de la Comisión Federal de Competencia Económica para el ejercicio 2025, que refleja la reducción realizada por la Cámara de Diputados y se establecen medidas administrativas con la finalidad de optimizar los recursos asignados para dar continuidad al cumplimiento de su mandato Constitucional, en el que determinó suspender para el ejercicio 2025, no implica la supresión de dichas prestaciones.
Quinto. El presente Acuerdo se aprueba sin perjuicio de las resoluciones emitidas por el Poder Judicial de la Federación por Controversias Constitucionales o en los diversos juicios de amparo promovidos por distintas personas servidoras públicas de la Comisión, en los que se encuentre vinculada esta COFECE, y respecto de los cuales, se autoriza a la DGA la afectación de las partidas presupuestarias del capítulo de servicios personales, que correspondan a sueldos y compensación y del capítulo de servicios generales, para cumplir con los pagos que correspondan a las demás prestaciones. Esto, en el entendido que el presente Acuerdo aplicará a dichas personas servidoras públicas de la Comisión respecto de aquellos conceptos y rubros que les resulten más favorables.
Publíquese. Así lo acordó, por unanimidad de votos, el Pleno de esta Comisión, y se emite en la fecha que aparece en la firma electrónica del presente acuerdo, con voto concurrente de los Comisionados Brenda Gisela Hernández Ramírez y José Eduardo Mendoza Contreras, quienes consideran que dado el monto asignado por la Cámara de Diputados debería estar en vigor hasta el treinta y uno de mayo de 2025, sin perjuicio de que más adelante y conforme a sus atribuciones el Pleno pudiera modificarlo o ampliar su vigencia, con fundamento en los artículos citados a lo largo del presente Acuerdo, y de conformidad con lo dispuesto en los artículos 28, párrafo décimo quinto, de la Constitución Política de los Estados Unidos Mexicanos; así como los transitorios "Décimo" y "Décimo Primero" del "DECRETO por el que se reforman, adicionan y derogan diversas disposiciones de la Constitución Política de los Estados Unidos Mexicanos, en materia de simplificación orgánica"; 18 y 19 de la Ley Federal de Competencia Económica; 31 de las Disposiciones Regulatorias de la Ley Federal de Competencia Económica; y tercer párrafo del artículo 8 del Estatuto. Lo anterior, ante la fe del Secretario Técnico, quien actúa con fundamento en los artículos 4, fracción IV, 18 y 20 fracciones XXVI, XXVII y LVI, del Estatuto.
Comisionada Presidenta, Andrea Marván Saltiel.- Firmado electrónicamente.- Comisionados: Brenda Gisela Hernández Ramírez, Alejandro Faya Rodríguez, José Eduardo Mendoza Contreras, Ana María Reséndiz Mora, Rodrigo Alcázar Silva, Giovanni Tapia Lezama.- Firmado electrónicamente.- Secretario Técnico, Juan Francisco Valerio Méndez.- Firmado electrónicamente.
ANEXO 1
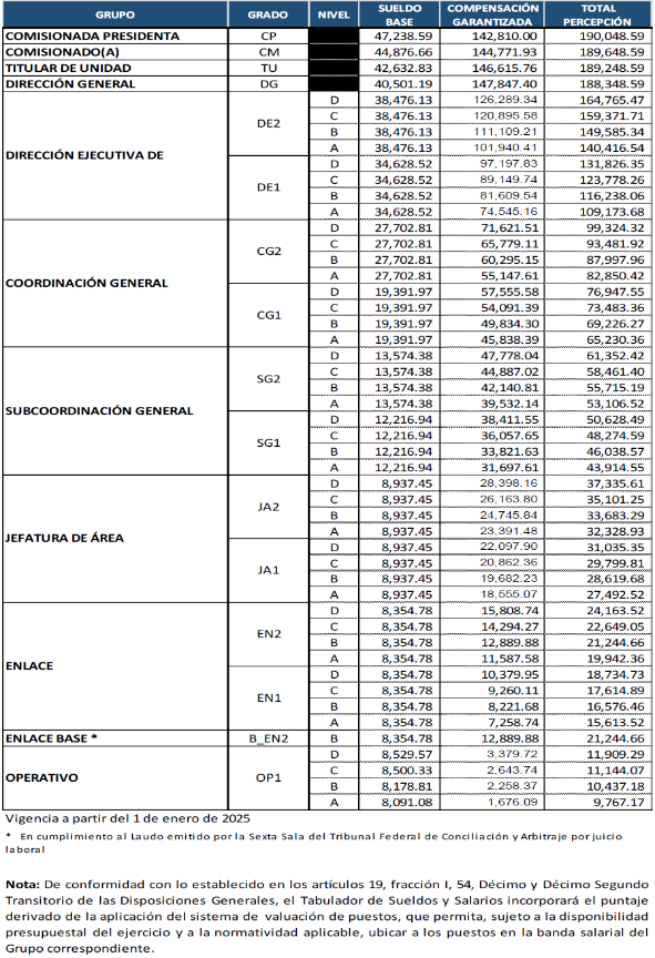
ANEXO 2
Tabulador de Sueldos y Salarios
ANEXO 3
| Seguros de Personas |
| Seguro | Descripción | Personal operativo | Personal de mando y enlace |
| De vida | Suma asegurada básica de 40 meses de la percepción ordinaria bruta mensual. | Todos los niveles | EN1A hasta CP1 |
| De retiro * | Pago único de $12,500.00 pesos y hasta $25,000.00 pesos, de acuerdo a los años de edad y cotización de la persona servidora pública | Todos los niveles | EN1A hasta CP1 |
| De responsabilidad patrimonial y asistencia legal * | Sujeto a lo convenido en el contrato respectivo | | EN1A hasta CP1 |
* El otorgamiento de esta prestación está suspendido para el ejercicio 2025 en términos de la disponibilidad presupuestal con la que se cuenta.
ANEXO 4
| Prestaciones adicionales |
| NO. | Concepto | Objetivo | Sujetos | Monto en pesos | Periodicidad | Forma de pago |
| 1 | Estímulo al personal | Resarcir a las personas servidoras públicas del grupo de tabulador operativo de algunos gastos derivados de ajustes a horarios de trabajo. | Personas Servidoras Públicas del grupo del tabulador Operativo | | Mensual | Efectivo (una exhibición) |
| Categoría | Importe |
| OP1A | 300 |
| OP1B | 430 |
| OP1C | 460 |
| OP1D | 500 |
| | |
| 2 | Ayuda para útiles escolares | Apoyar la economía de las personas servidoras públicas del grupo del tabulador operativo, en gastos derivados del inicio del ciclo escolar. | Personas Servidoras Públicas del grupo del tabulador Operativo | 3,695.00 | Anual | Efectivo (una exhibición), de conformidad con la disponibilidad presupuestaria |
| 3 | Estímulo por desempeño* | Incentivar a las personas servidoras públicas de la COFECE que acrediten los requisitos de elegibilidad para el otorgamiento en términos de las disposiciones normativas que resulten aplicables. | Personas Servidoras Públicas de los grupos del tabulador Operativo, Enlace y de Mando Medio que se encuentren topados en su grupo | 4,000.00 | Anual | Vales, en una sola exhibición |
*El otorgamiento de esta prestación está suspendido para el ejercicio 2025 en términos de la disponibilidad presupuestal con la que se cuenta.
______________________________________