PROYECTO de Norma Oficial Mexicana PROY-NOM-016-ENER-2024, Eficiencia energética de motores de corriente alterna, trifásicos, de inducción, tipo jaula de ardilla, en potencia nominal de 0.746 kW a 373 kW. Límites, método de prueba y marcado.
Al margen un sello con el Escudo Nacional, que dice: Estados Unidos Mexicanos.- Secretaría de Energía.- Comisión Nacional para el Uso Eficiente de la Energía.- Comité Consultivo Nacional de Normalización para la Preservación y Uso Racional de los Recursos Energéticos (CCNNPURRE).
PROYECTO DE NORMA OFICIAL MEXICANA PROY-NOM-016-ENER-2024, EFICIENCIA ENERGÉTICA DE MOTORES DE CORRIENTE ALTERNA, TRIFÁSICOS, DE INDUCCIÓN, TIPO JAULA DE ARDILLA, EN POTENCIA NOMINAL DE 0.746 KW A 373 KW. LÍMITES, MÉTODO DE PRUEBA Y MARCADO.
ISRAEL JAUREGUI NÁRES, Presidente del Comité Consultivo Nacional de Normalización para la Preservación y Uso Racional de los Recursos Energéticos (CCNNPURRE) y Director General de la Comisión Nacional para el Uso Eficiente de la Energía (CONUEE), con fundamento en los artículos 17, 33, fracción X de la Ley Orgánica de la Administración Pública Federal; 17, 18, fracciones V y XIX y 36, fracción IX de la Ley de Transición Energética; 24, 25, 34, 35 fracción V 36, 38 ,39 y 41 de la Ley de Infraestructura de la Calidad; 2 apartado F, fracción II, 8, fracciones XIV y XV, 39 y 40 del Reglamento Interior de la Secretaría de Energía, el Artículo Único del Acuerdo por el que se delegan en el Director General de la CONUEE, las facultades que se indican; y apartado X, inciso A, numerales 11 y 15, e inciso D numerales 1, 2, 3, 9 y 10 del Manual de Organización General de la CONUEE; y
CONSIDERANDO
Que la Ley Orgánica de la Administración Pública Federal, define las facultades de la Secretaría de Energía, entre las que se encuentra la de expedir normas oficiales mexicanas que promueven la eficiencia del sector energético.
Que la CONUEE es un órgano administrativo desconcentrado de la Secretaría de Energía, que cuenta con autonomía técnica y operativa, y que tiene por objeto promover la Eficiencia Energética y constituirse como órgano de carácter técnico en materia de aprovechamiento sustentable de la energía.
Que la Ley de Transición Energética tiene por objeto regular el aprovechamiento sustentable de la energía así como las obligaciones en materia de Energías Limpias y de reducción de emisiones contaminantes de la Industria Eléctrica, manteniendo la competitividad de los sectores productivos, y reglamentaria de los párrafos 6 y 8 del artículo 25 de la Constitución Política de los Estados Unidos Mexicanos, así como de los transitorios Décimo Séptimo y Décimo Octavo del Decreto por el que se reforman y adicionan diversas disposiciones de la Constitución Política de los Estados Unidos Mexicanos, en Materia de Energía, publicado en el Diario Oficial de la Federación el 20 de diciembre de 2013.
Que es necesario establecer los límites, métodos de prueba y etiquetado para los motores de corriente alterna, trifásicos, de inducción, tipo jaula de ardilla, en potencia nominal de 0.746 kW a 373 kW con la finalidad de eficientar la energía que utilizan estos equipos.
Que en el caso del Proyecto de la presente Norma Oficial Mexicana, se coadyuva al fortalecimiento del marco regulatorio en materia de eficiencia energética, en consecuencia con la Ley de Transición Energética, expedida el 24 de diciembre de 2015 y su Reglamento expedido el 4 de mayo de 2017.
Que habiendo cumplido el procedimiento que establece la Ley de Infraestructura de la Calidad, el presente Proyecto de Norma Oficial Mexicana PROY-NOM-016-ENER-2024, Eficiencia energética de motores de corriente alterna, trifásicos, de inducción, tipo jaula de ardilla, en potencia nominal de 0.746 kW a 373 kW. Límites, método de prueba y marcado, se sometió a consideración, y fue aprobado por el Comité Consultivo Nacional de Normalización para la Preservación y Uso Racional de los Recursos Energéticos (CCNNPURRE), en su Primera Sesión Extraordinaria del 8 de noviembre de 2024.
Que el presente Proyecto se publica a efecto de que los interesados, dentro de los 60 días naturales siguientes de la fecha de su publicación en el Diario Oficial de la Federación y Plataforma Tecnológica Integral de Infraestructura de la Calidad, presenten sus comentarios en idioma español ante el CCNNPURRE, ubicado en: Av. Revolución No. 1877, Colonia Loreto, Alcaldía Álvaro Obregón, Ciudad de México, C.P. 01090, correo electrónico: norma.morales@conuee.gob.mx y alberto.lopez@conuee.gob.mx
Que durante el plazo mencionado y de conformidad con lo dispuesto en el artículo 35, fracción V de la Ley de la Infraestructura de la Calidad, los documentos que sirvieron de base para la elaboración del presente Proyecto y el Análisis de Impacto Regulatorio, estarán a disposición del público en general, para su consulta, en el domicilio del mencionado Comité, y en la Plataforma Tecnológica Integral de Infraestructura de la Calidad.
Por lo expuesto y fundamentado, se expide para consulta pública el siguiente:
PROYECTO DE NORMA OFICIAL MEXICANA PROY-NOM-016-ENER-2024, EFICIENCIA ENERGÉTICA
DE MOTORES DE CORRIENTE ALTERNA, TRIFÁSICOS, DE INDUCCIÓN, TIPO JAULA DE ARDILLA,
EN POTENCIA NOMINAL DE 0.746 KW A 373 KW. LÍMITES, MÉTODO DE PRUEBA Y MARCADO.
PREFACIO
Este Proyecto de Norma Oficial Mexicana fue elaborado por el Comité Consultivo Nacional de Normalización para la Preservación y Uso Racional de los Recursos Energéticos (CCNNPURRE), con la colaboración de los siguientes organismos, instituciones y empresas:
- ABB México S.A. de C.V.
- Asociación de Normalización y Certificación S.A. de C.V.
- Asociación Nacional de Fabricantes para la Industria de la Refrigeración, A.C.
- Cámara Nacional de Manufacturas Eléctricas.
- Colegio de Ingenieros Mecánicos y Electricistas, A.C.
- Fideicomiso para el Ahorro de Energía Eléctrica.
- Instituto Nacional de Electricidad y Energías Limpias.
- Marathon Sales de México, S. de R.L. de C.V.
- Motores U.S. de México, S.A. de C.V.
- NEMA (National Electrical Manufacturers Association).
- Normalización y Certificación NYCE, S.C.
- Petróleos Mexicanos.
- Potencia Industrial, S.A. de C.V.
- Regal Beloit de México, S. de R.L. de C.V.
- Secretaría de Economía - Dirección General de Normas.
- Secretaría de Energía.
- UL de México, S.A. de C.V.
- WEG México S.A. de C.V.
Índice de contenido
1. Objetivo y campo de aplicación
2. Referencias normativas
3. Definiciones
4. Símbolos y abreviaturas
5. Clasificación
6. Especificaciones
6.1 Determinación de la eficiencia
7. Muestreo
8. Criterios de aceptación
8.1 Placa o etiqueta de datos
8.2 Resultados de las pruebas
8.3 Interpolación de eficiencias de motores con potencias nominales no normalizadas en motores trifásicos
9. Método de prueba
9.1 Condiciones de la prueba
9.2 Instrumentos de medición y equipo de prueba
9.3 Procedimiento de prueba
9.4 Segregación de pérdidas
9.5 Corrección por temperatura para las pérdidas por efecto Joule
9.6 Cálculo de la potencia de salida a 25 °C
9.7 Cálculo de la eficiencia
9.8 Eficiencia en cualquier valor de carga
10. Marcado
10.1 Permanencia
10.2 Información
11. Vigilancia
12. Procedimiento de evaluación de la conformidad
13. Concordancia con normas internacionales
Apéndices
Apéndice A (Normativo) Análisis de regresión lineal
Apéndice B (Normativo) Cálculo del factor de corrección del dinamómetro (FCD)
Apéndice C (Informativo) Identificación de motores abiertos o cerrados
Apéndice D (Informativo) Equivalencia de potencia
Tablas
Tabla 1 - Valores de eficiencia nominal a plena carga para motores verticales y horizontales, en por ciento
Tabla 2 - Tiempo al cual se debe realizar la medición de la resistencia de referencia de los devanados del estator
Tabla 3 - Agrupación de familias y cantidad de muestras para pruebas de laboratorio
14. Bibliografía
1. Objetivo y campo de aplicación
Este Proyecto de Norma Oficial Mexicana establece los valores mínimos de eficiencia energética, el método de prueba, los requisitos de marcado y el procedimiento de evaluación de la conformidad, aplicables a los motores eléctricos de corriente alterna, trifásicos, de inducción, tipo jaula de ardilla (asíncronos), en potencia nominal de 0.746 kW hasta 373 kW, de 2, 4, 6 u 8 polos, con al menos una tensión eléctrica nominal marcada de hasta 600 V, de 50 Hz y 60 Hz, abiertos o cerrados, de una sola frecuencia de rotación (velocidad de giro en el eje o flecha del motor), de posición de montaje horizontal o vertical, enfriados por aire y régimen continuo, los cuales se importen, fabriquen o comercialicen dentro del territorio de los Estados Unidos Mexicanos.
Este Proyecto de Norma Oficial Mexicana aplica también a:
- Motorreductores, motobombas y motocompresores, incluidos los que incorporan flechas y bridas no estándar;
- Motores acoplados a cargas por medio de brida y sin patas en el cuerpo principal de la carcasa;
- Motores integrados a equipos que al momento de ser retirados puedan operar en forma independiente aun cuando su ejecución mecánica en bridas y flechas no sea estandarizada.
Este Proyecto de Norma Oficial Mexicana tutela el objetivo legítimo de interés público IX, con relación al uso y aprovechamiento de los recursos naturales de la Ley de Infraestructura de la Calidad.
Se excluyen motores eléctricos que requieren de equipo auxiliar o adicional para su enfriamiento.
2. Referencias normativas
Para la correcta aplicación de este Proyecto de Norma Oficial Mexicana deben de consultarse y aplicarse las Normas Oficiales Mexicanas siguientes o las que las sustituyan:
- NOM-008-SE-2021, Sistema General de Unidades de Medida (cancela a la NOM-008-SCFI-2002), publicada en el Diario Oficial de la Federación el 29 de diciembre de 2023.
- NOM-106-SCFI-2017, Características de diseño y condiciones de uso de la Contraseña Oficial, publicada en el Diario Oficial de la Federación el 8 de septiembre de 2017.
3. Definiciones
Para efectos de este Proyecto de Norma Oficial Mexicana se aplican las siguientes definiciones:
Nota 1: Los términos que no se incluyen en este Proyecto de Norma Oficial Mexicana se definen en las normas de referencia incluidas en el Capítulo 2 o tienen su acepción dentro del contexto en el que se utilizan.
Nota 2: Cuando se mencionen pérdidas en este Proyecto de Norma Oficial Mexicana, se refiere a pérdidas de potencia.
3.1 Dinamómetro
Aparato para aplicar carga mecánica a un motor eléctrico en forma continua y controlada, y que puede incluir dispositivos para medir el par torsional y la frecuencia de rotación, desarrollados por dicho motor eléctrico.
3.2 Eficiencia
Razón entre la potencia de salida y la potencia de entrada del motor eléctrico. Se expresa en porciento y se calcula con alguna de las siguientes relaciones:
a) [Potencia de salida / potencia de entrada] × 100;
b) [(Potencia de entrada - pérdidas) / potencia de entrada] × 100; o
c) [Potencia de salida / (potencia de salida + pérdidas)] × 100.
3.3 Eficiencia nominal (h)
Valor de la eficiencia marcada en la placa o etiqueta de datos del motor eléctrico, seleccionada de acuerdo con la potencia nominal, número de polos y tipo de enclaustramiento de la Tabla 1, por el fabricante.
3.4 Equilibrio térmico a plena carga
Estado que se alcanza cuando el incremento de temperatura del motor eléctrico, trabajando a plena carga, no varía más de 1 °C en un periodo de 30 min.
3.5 Equipo auxiliar o adicional para enfriamiento
Equipo asociado, que no es parte del diseño básico del motor, que opera en forma separada pudiendo utilizar fuentes de alimentación independientes y que actúan en el sistema de refrigeración sobre el motor.
Nota: No está considerado como auxiliar el ventilador que se monta sobre el eje del motor y que opera como parte del diseño básico del mismo.
3.6 Factor de Corrección del Dinamómetro (FCD)
Par torsional necesario para vencer la oposición que presenta el dinamómetro al movimiento mecánico, en su condición de carga mínima. Su determinación es importante cuando el dinamómetro está situado entre el motor a probar y el transductor usado para medir el par.
3.7 Moto freno
Motor eléctrico equipado con una unidad de "electrofreno-mecánico" directamente en la flecha del motor sin acoplamientos.
3.8 Motobomba
Motor eléctrico directamente acoplado a una bomba sin acoplamientos (es decir, el impulsor está fijado a la flecha del motor).
3.9 Motocompresor
Motor eléctrico completamente integrado al compresor mediante acoplamientos que permitan la separación del motor de este.
3.10 Motor eléctrico
Máquina eléctrica rotatoria que convierte la energía eléctrica en mecánica.
3.11 Motor eléctrico de eficiencia normalizada
Es aquel que tiene una eficiencia nominal igual o mayor que la indicada en la Tabla 1, según su potencia nominal, tipo de enclaustramiento y número de polos.
3.12 Motor eléctrico de inducción
Motor eléctrico en el cual solamente una parte, el rotor o el estator, se conecta a la fuente de energía y la otra trabaja por inducción electromagnética.
3.13 Motor eléctrico abierto
Motor eléctrico que tiene aberturas para ventilación que permiten el paso del aire exterior de enfriamiento, sobre y a través del embobinado del motor eléctrico.
3.14 Motor eléctrico cerrado
Motor eléctrico cuya armazón impide el intercambio libre de aire entre el interior y el exterior de éste, sin llegar a ser hermético. Dentro de esta clasificación se incluyen los motores a prueba de explosión.
3.15 Motor eléctrico de una sola frecuencia de rotación
Motor eléctrico marcado para operar directamente en las líneas de alimentación de la red de suministro en 50 Hz y/o 60 Hz.
3.16 Motor eléctrico tipo jaula de ardilla
Motor eléctrico de inducción, en el cual los conductores del rotor son barras colocadas en las ranuras del núcleo secundario, que se conectan en circuito corto por medio de anillos en sus extremos semejando una jaula de ardilla.
3.17 Motor eléctrico trifásico
Motor eléctrico que utiliza para su operación energía eléctrica de corriente alterna trifásica.
3.18 Motorreductor
Motor eléctrico equipado con una caja reductora integrada sin acoplamientos (es decir: la primera rueda de
engranaje está fijada al eje del motor eléctrico) o acoplado a una caja reductora de velocidad la cual puede ser separada de forma sencilla.
3.19 Pérdidas en el núcleo
Son las debidas a las alternaciones del campo magnético en el material activo del estator y rotor por efectos de histéresis y corrientes parásitas.
3.20 Pérdidas indeterminadas
Diferencia entre las pérdidas totales y la suma de las pérdidas por efecto Joule en el estator y en el rotor, las pérdidas en el núcleo, y las pérdidas por fricción y ventilación.
3.21 Pérdidas por efecto Joule
Son las debidas a la circulación de corriente eléctrica por los conductores del estator y rotor y se manifiestan en forma de calor.
3.22 Pérdidas por fricción y ventilación
Son las debidas a la oposición que presentan los dispositivos tales como ventiladores y rodamientos al movimiento mecánico.
3.23 Pérdidas totales
Diferencia de la potencia de entrada y la potencia de salida del motor eléctrico.
3.24 Potencia de entrada
Potencia eléctrica que el motor toma de la línea.
3.25 Potencia de salida
Potencia mecánica disponible en el eje del motor eléctrico.
3.26 Potencia nominal
Potencia mecánica de salida indicada en la placa o etiqueta de datos del motor eléctrico.
3.27 Régimen continuo
Régimen nominal con el cual debe cumplir un motor eléctrico en funcionamiento continuo, alcanzando la estabilidad térmica a plena carga.
3.28 Régimen nominal
Condición de operación a la tensión y frecuencia eléctricas nominales, medidas en las terminales, en la que el motor eléctrico desarrolla la potencia indicada en la placa o etiqueta de datos del motor eléctrico.
3.29 Resistencia entre terminales del motor eléctrico
Resistencia medida entre dos terminales en la caja de conexiones del motor eléctrico.
3.30 Torsiómetro
Aparato acoplado entre los ejes del motor eléctrico y del dinamómetro, que trasmite y mide el par torsional. Algunos tipos de torsiómetros miden además la frecuencia de rotación y permiten determinar la potencia mecánica desarrollada por el motor eléctrico.
4. Símbolos y abreviaturas
| A | Pendiente de la recta para el análisis de regresión lineal |
| B | Intersección de la recta con el eje de las ordenadas para el análisis de regresión lineal |
| FCD | Factor de Corrección del Dinamómetro, en N·m |
| I0 | Promedio de las corrientes eléctricas de línea con el motor operando en vacío, en A |
| Im | Promedio de las corrientes de línea para cada valor de carga, en A |
| Imín | Promedio de las corrientes de línea con el dinamómetro a su carga mínima, en A |
| I2RE0 | Pérdidas por efecto Joule en los devanados del estator para la operación en vacío del motor, en kW |
| I2Rm | Pérdidas por efecto Joule en los devanados del estator para cada valor de carga, en kW |
| I2Rmc | Pérdidas por efecto Joule en los devanados del estator para cada valor de carga, referidas a una temperatura ambiente de 25 °C, en kW |
| I2Rmín | Pérdidas por efecto Joule en los devanados del estator durante la prueba con carga mínima en el dinamómetro, en kW |
| I2Rr | Pérdidas por efecto Joule en el devanado del rotor para cada valor de carga, en kW |
| I2Rrc | Pérdidas por efecto Joule en el devanado del rotor para cada valor de carga, referidas a una temperatura ambiente de 25 °C en kW |
| K | Constante del material de los devanados |
| nm | Frecuencia de rotación para cada valor de carga, en min-1 |
| nmín | Frecuencia de rotación con el dinamómetro a su carga mínima, en min-1 |
| n0 | Frecuencia de rotación en vacío, en min-1 |
| ns | Frecuencia de rotación síncrona, en min-1 |
| P0 | Potencia de entrada con el motor operando en vacío, en kW |
| Pd | Potencia demandada al motor bajo prueba por el dinamómetro a su carga mínima, en kW |
| Pe | Potencia de entrada para cada valor de carga, en kW |
| Pfv | Pérdidas por fricción y ventilación, en kW |
| Ph | Pérdidas en el núcleo, en kW |
| Pind | Pérdidas indeterminadas, en kW |
| Pmín | Potencia de entrada con el dinamómetro a su carga mínima, en kW |
| Pres | Potencia residual para cada valor de carga, en kW |
| Ps | Potencia de salida corregida para cada valor de carga, en kW |
| Psc | Potencia de salida corregida para cada valor de carga, referida a una temperatura ambiente de 25 °C, en kW |
| RE0 | Resistencia del estator medida entre las terminales de referencia, a la temperatura de la prueba de operación en vacío, en |
| Rf | Resistencia del estator medida entre las terminales de referencia después de la estabilización térmica del motor al 100 % de su carga nominal, en |
| Ri | Resistencia de referencia medida inicialmente con el motor en frío, en |
| Rm | Resistencia del estator corregida a la temperatura de los devanados para cada valor de carga, en |
| Rmc | Resistencia del estator corregida a la temperatura de los devanados para cada valor de carga, referida a una temperatura ambiente de 25 °C, en |
| Rmín | Resistencia de referencia corregida a la temperatura de los devanados durante la prueba con carga mínima en el dinamómetro, en |
| Sm | Deslizamiento en por unidad de la frecuencia de rotación síncrona, para cada valor de carga medido |
| Smc | Deslizamiento en por unidad de la frecuencia de rotación síncrona, para cada valor de carga medido, referido a una temperatura ambiente de 25 °C |
| Smín | Deslizamiento en por unidad de la frecuencia de rotación síncrona, con el dinamómetro a su carga mínima |
| Tc | Par torsional del motor corregido para cada valor de carga, en N·m |
| Tm | Par torsional del motor para cada valor de carga, en N·m |
| Tmín | Par torsional del motor con el dinamómetro a su carga mínima, en N·m |
| t0 | Promedio de las temperaturas detectadas en los devanados del estator, o la temperatura en el núcleo de estator o en cuerpo, para cada uno de los valores de tensión con el motor operando en vacío, en °C |
| taf | Temperatura ambiente durante la prueba de estabilidad térmica a plena carga, en °C |
| tai | Temperatura ambiente durante la medición de los valores iniciales de resistencia y temperatura, en °C |
| tam | Temperatura ambiente durante las pruebas a diferentes cargas, en °C |
| tc | Temperatura de los devanados del estator en equilibrio térmico calculada por resistencia tfr referida a una temperatura ambiente de 25 °C, en °C |
| tf | Promedio de las temperaturas detectadas en los devanados del estator, o la temperatura en el núcleo del estator o en el cuerpo, después de la estabilización térmica a la cual se midió la resistencia Rf, en las terminales de referencia, en °C |
| tfr | Temperatura de los devanados del estator en equilibrio térmico calculada por resistencia, en °C |
| ti | Promedio de las temperaturas detectadas en los devanados del estator, o la temperatura en el núcleo del estator o en el cuerpo, con el motor, en frío, en °C |
| tm | Promedio de las temperaturas detectadas en los devanados del estator, o la temperatura en el núcleo del estator o en el cuerpo, para cada valor de carga, en °C |
| tmc | Promedio de las temperaturas detectadas en los devanados del estator, o la temperatura en el núcleo del estator o en el cuerpo, para cada valor de carga, en °C, corregidas mediante la siguiente ecuación: tmc = tfr / tf* tm |
| tmín | Promedio de las temperaturas detectadas en los devanados del estator, o la temperatura en el núcleo del estator o en el cuerpo, con el dinamómetro a su carga mínima, en °C |
| g | Coeficiente de correlación para el análisis de regresión lineal (letra gamma) |
| DAT | Distorsión Armónica Total, en por ciento |
| | Eficiencia nominal, a la potencia nominal del motor, en por ciento |
| m | Eficiencia calculada, en por ciento |
5. Clasificación
Para los fines de este Proyecto de Norma Oficial Mexicana, los motores eléctricos de corriente alterna, trifásicos, de inducción, tipo jaula de ardilla, en potencia nominal de 0.746 kW hasta 373 kW, se clasifican por su tipo de enclaustramiento de acuerdo con lo siguiente:
a) Motor abierto.
b) Motor cerrado.
6. Especificaciones
Todos los motores eléctricos que se encuentran dentro del campo de aplicación de este Proyecto de Norma Oficial Mexicana deben tener indicada en su placa o etiqueta de datos una eficiencia nominal igual o mayor a la eficiencia especificada en la Tabla 1.
Tabla 1 - Valores de eficiencia nominal a plena carga para motores verticales y horizontales, en por
ciento
| Potencia Nominal, kW | Potencia Nominal, Hp | Motores cerrados | Motores abiertos |
| 2 polos | 4 polos | 6 polos | 8 polos | 2 polos | 4 polos | 6 polos | 8 polos |
| 0.746 | 1 | 77.0 | 85.5 | 82.5 | 75.5 | 77.0 | 85.5 | 82.5 | 75.5 |
| 1.119 | 1.5 | 84.0 | 86.5 | 87.5 | 78.5 | 84.0 | 86.5 | 86.5 | 77.0 |
| 1.492 | 2 | 85.5 | 86.5 | 88.5 | 84.0 | 85.5 | 86.5 | 87.5 | 86.5 |
| 2.238 | 3 | 86.5 | 89.5 | 89.5 | 85.5 | 85.5 | 89.5 | 88.5 | 87.5 |
| 3.730 | 5 | 88.5 | 89.5 | 89.5 | 86.5 | 86.5 | 89.5 | 89.5 | 88.5 |
| 5.595 | 7.5 | 89.5 | 91.7 | 91.0 | 86.5 | 88.5 | 91.0 | 90.2 | 89.5 |
| 7.460 | 10 | 90.2 | 91.7 | 91.0 | 89.5 | 89.5 | 91.7 | 91.7 | 90.2 |
| 11.19 | 15 | 91.0 | 92.4 | 91.7 | 89.5 | 90.2 | 93.0 | 91.7 | 90.2 |
| 14.92 | 20 | 91.0 | 93.0 | 91.7 | 90.2 | 91.0 | 93.0 | 92.4 | 91.0 |
| 18.65 | 25 | 91.7 | 93.6 | 93.0 | 90.2 | 91.7 | 93.6 | 93.0 | 91.0 |
| 22.38 | 30 | 91.7 | 93.6 | 93.0 | 91.7 | 91.7 | 94.1 | 93.6 | 91.7 |
| 29.84 | 40 | 92.4 | 94.1 | 94.1 | 91.7 | 92.4 | 94.1 | 94.1 | 91.7 |
| 37.30 | 50 | 93.0 | 94.5 | 94.1 | 92.4 | 93.0 | 94.5 | 94.1 | 92.4 |
| 44.76 | 60 | 93.6 | 95.0 | 94.5 | 92.4 | 93.6 | 95.0 | 94.5 | 93.0 |
| 55.95 | 75 | 93.6 | 95.4 | 94.5 | 93.6 | 93.6 | 95.0 | 94.5 | 94.1 |
| 74.60 | 100 | 94.1 | 95.4 | 95.0 | 93.6 | 93.6 | 95.4 | 95.0 | 94.1 |
| 93.25 | 125 | 95.0 | 95.4 | 95.0 | 94.1 | 94.1 | 95.4 | 95.0 | 94.1 |
| 111.9 | 150 | 95.0 | 95.8 | 95.8 | 94.1 | 94.1 | 95.8 | 95.4 | 94.1 |
| 149.2 | 200 | 95.4 | 96.2 | 95.8 | 94.5 | 95.0 | 95.8 | 95.4 | 94.1 |
| 186.5 | 250 | 95.8 | 96.2 | 95.8 | 95.0 | 95.0 | 95.8 | 95.8 | 95.0 |
| 223.8 | 300 | 95.8 | 96.2 | 95.8 | 95.0 | 95.4 | 95.8 | 95.8 | 95.0 |
| 261.1 | 350 | 95.8 | 96.2 | 95.8 | 95.0 | 95.4 | 95.8 | 95.8 | 95.0 |
| 298.4 | 400 | 95.8 | 96.2 | 95.8 | 95.0 | 95.8 | 95.8 | 95.8 | 95.0 |
| 335.7 | 450 | 95.8 | 96.2 | 95.8 | 95.0 | 96.2 | 96.2 | 96.2 | 95.0 |
| 373 | 500 | 95.8 | 96.2 | 95.8 | 95.0 | 96.2 | 96.2 | 96.2 | 95.0 |
| Nota: Cuando los motores declaren una potencia nominal que no esté contemplada en la Tabla 1, ver lo establecido en el inciso 8.3. |
6.1 Determinación de la eficiencia
Para determinar la eficiencia energética de los motores de corriente alterna, trifásicos, de inducción, tipo jaula de ardilla, en potencia nominal de 0.746 kW a 373 kW, se precisa como prueba única, el método de prueba descrito en el Capítulo 9 del presente Proyecto de Norma Oficial Mexicana, la cual una vez determinada debe ser expresada en el informe de reporte de prueba en por ciento, con 2 dígitos enteros y 1 decimal.
7. Muestreo
Estará sujeto a lo dispuesto en el Capítulo 12 del presente Proyecto de Norma Oficial Mexicana.
8. Criterios de aceptación
Los motores eléctricos sujetos al cumplimiento del presente Proyecto de Norma Oficial Mexicana cumplen si se satisface con lo establecido en los incisos: 8.1 y 8.2.
8.1 Placa o etiqueta de datos
La eficiencia nominal marcada por el fabricante en la placa o etiqueta de datos del motor, debe ser igual o mayor que la eficiencia de la Tabla 1 de este Proyecto de Norma Oficial Mexicana, de acuerdo con su potencia nominal en kW, número de polos y tipo de enclaustramiento.
8.2 Resultados de las pruebas
La eficiencia energética determinada con el método de prueba del Capítulo 9, para cada motor probado, debe ser igual o mayor a la eficiencia energética mínima calculada con la ecuación siguiente:
Donde:
h energética mínima: Valor de la eficiencia energética mínima a cumplir, asociada a la eficiencia nominal.
h : Valor de la eficiencia nominal establecido en la Tabla 1, según el tipo de motor, potencia y número de polos, que corresponda.
8.3 Interpolación de eficiencias de motores con potencias nominales no normalizadas en motores trifásicos
Cuando se tenga un motor cuya potencia nominal no se encuentre especificada dentro de la Tabla 1 y se requiera determinar la eficiencia nominal que debe cumplir en pruebas, se debe proceder de acuerdo con lo siguiente:
a) La eficiencia a condición de potencia nominal de un motor marcado con potencia de salida igual o arriba del punto medio entre dos valores de potencia consecutivas de la Tabla 1, debe ser la eficiencia más alta.
b) La eficiencia a condición de potencia nominal de un motor marcado con potencia de salida abajo del punto medio entre dos valores de potencia consecutivas de la Tabla 1, debe ser la eficiencia más baja.
9. Método de prueba
Todos los motores eléctricos se deben ensayar con el método de las pérdidas segregadas, en este método, a partir de mediciones y cálculos, se determinan las pérdidas por efecto Joule en los devanados del estator y del rotor, las pérdidas del núcleo y las pérdidas por fricción y ventilación; al final, las pérdidas indeterminadas se obtienen por diferencia.
9.1 Condiciones de la prueba
Todos los motores eléctricos se deben de probar en posición horizontal; en el caso de que los rodamientos originales no lo permitan, (rodamientos de contacto angular, especiales, lubricados por aceite), deben reemplazarse por rodamientos de bolas de la serie 6 000, con sus variantes en tamaño asignado, sin tapas o con tapas de acero. En caso de motores de flecha hueca se debe insertar una flecha sólida para realizar las pruebas con el dinamómetro y se pueden retirar todos los elementos adicionales que generen una fricción adicional durante la prueba, tales como trinquetes giratorios y sus bolas o pernos de bloqueo.
En motores con rodamientos especiales que, debido a su construcción, presenten fricción que afecte la medición de la eficiencia (rodamientos con sellos de neopreno, rodamientos cerámicos con sellos de silicón, etc.), deberán ser reemplazados por rodamientos de bolas de la serie 6 000, con sus variantes en tamaño asignado, sin tapas o con tapas de acero.
En motores con sellos o anillos de aterrizaje que presenten fricción que afecte la medición de la eficiencia éstos deben ser removidos.
Para los motores que experimenten un cambio de pérdidas por fricción, antes de que éstos alcancen condiciones de operación de rodamientos estabilizados, éstos deben operar hasta alcanzar las condiciones de estado estable descritas en los incisos: 9.3.4 y 9.3.5. Se considera que el motor operando en vacío, alcanza las condiciones de estado estable, cuando la potencia de entrada no varíe más del 3 % en un periodo de 30 min.
Para los fines de certificación, seguimiento y/o vigilancia, es necesario un periodo de estabilización de pérdidas en los rodamientos, antes de las pruebas mencionadas en los incisos: 9.3.4 y 9.3.5. Se considera que el motor operando en vacío, alcanza las condiciones de estado estable, cuando la potencia de entrada no varíe más del 3 % en un periodo de 30 min.
La frecuencia eléctrica de alimentación para todas las pruebas debe ser de 60 Hz con una variación de ± 0.3 %.
La tensión eléctrica de corriente alterna de alimentación para la prueba, debe ser cualquier tensión eléctrica indicada en la placa o etiqueta de datos del motor, medida en sus terminales, sin exceder una variación de ± 0.5 %, con un desbalance máximo permitido de ± 0.5 %. El por ciento de desbalance es igual a 100 veces la desviación máxima de la tensión eléctrica de cada fase con respecto a la tensión eléctrica promedio, dividida entre la tensión eléctrica promedio.
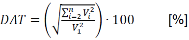
La Distorsión Armónica Total (DAT) es un indicador del contenido de armónicas en una onda de tensión eléctrica, la cual no debe ser mayor que 5 %. Se expresa como un porcentaje de la fundamental y se define como:
Donde:
Vi amplitud de cada armónica
V1 amplitud de la fundamental
Las magnitudes eléctricas que varíen senoidalmente, deben expresarse en valores eficaces, a menos que se especifique otra cosa.
9.2 Instrumentos de medición y equipo de prueba
Los instrumentos de medición deben seleccionarse para que el valor leído esté dentro del intervalo de la escala recomendado por el fabricante del instrumento, o en su defecto en el tercio superior de la escala de este.
Los instrumentos analógicos o digitales deben estar calibrados con un error de instrumento máximo de ±
0.2 % de plena escala.
Cuando se utilicen transformadores de corriente y transformadores de potencial, se deben realizar las correcciones necesarias para considerar los errores de relación y fase en las lecturas de tensión, corriente y potencia eléctricas. Los errores de los transformadores de corriente y de los transformadores de potencial no deben ser mayores de 0.3 %.
El dinamómetro debe seleccionarse de forma que, a su carga mínima, la potencia de salida demandada al motor no sea mayor que 15 % de la potencia nominal del mismo.
La instrumentación para medir el par torsional debe tener un error de instrumento máximo de ± 0.2 % de plena escala.
La instrumentación para medir la frecuencia eléctrica de alimentación debe tener un error de instrumento máximo de ± 0.1 % de plena escala.
La instrumentación para medir la frecuencia de rotación debe tener un error de instrumento máximo de ± 1 min-1 de la lectura.
La instrumentación para medir la temperatura debe tener un error de instrumento máximo de ± 1 °C.
Para evitar la influencia por el acoplamiento y desacoplamiento del motor con el dinamómetro durante el desarrollo de las pruebas de equilibrio térmico, funcionamiento, y carga mínima posible en el dinamómetro, éstas deben realizarse sin desacoplar el motor entre ellas.
Los instrumentos de medición, equipos y aparatos para aplicar este método de prueba son los siguientes:
a) Aparato para medir la temperatura detectada por los detectores de temperatura por resistencia o termopares;
b) Óhmetro a cuatro terminales, para medir resistencias bajas;
c) Equipo para controlar la tensión de alimentación;
d) Frecuencímetro;
e) Vóltmetro o Voltímetro;
f) Ampérmetro o Amperímetro;
g) Wáttmetro trifásico;
h) Dinamómetro;
i) Torsiómetro o aparato para medir par torsional;
j) Tacómetro; y
k) Cronómetro.
9.3 Procedimiento de prueba
Las pruebas que conforman este método deben ser desarrolladas en la secuencia indicada. No es necesario que cada paso sea llevado a cabo inmediatamente después del otro, sin embargo, cuando cada paso se ejecuta en forma individual e independiente, entonces las condiciones térmicas especificadas para el mismo deben ser reestablecidas previamente a la ejecución de la prueba.
Antes de comenzar las pruebas se debe instalar un termopar en el motor. Cuando se utilice más de un termopar, la temperatura para los cálculos debe ser el valor promedio.
Cuando todos los termopares se localicen en los cabezales del devanado o cuando la temperatura del termopar más caliente sea localizada en el núcleo del estator o en el cuerpo del motor, se debe aplicar el siguiente criterio, de preferencia en el siguiente orden que se establece:
a) Entre o sobre los cabezales del devanado, procurando que queden fuera de las trayectorias del aire de enfriamiento del motor. En los casos en que es inaceptable abrir el motor o no es posible la colocación de termopares en los cabezales del devanado, los termopares pueden ser instalados en:
b) El núcleo del estator (ejemplo; a través de la caja de conexiones del motor), o
c) En el cuerpo del motor.
Nota: Cuando se utilizan termopares externos ya sea en el núcleo del estator o en el cuerpo del motor, debe asegurarse que los termopares estén posicionados tan cerca como sea posible al estator devanado, con un buen contacto térmico. Debe tomarse cuidado especial para que el termopar quede aislado y sellado del medio ambiente de enfriamiento.
9.3.1 Parámetros iniciales
Se miden las resistencias entre terminales de los devanados del estator y la temperatura correspondiente. Se registran los siguientes parámetros:
a) Las resistencias entre terminales de los devanados del estator, en (ohm);
b) La temperatura o el promedio de las temperaturas detectadas en los devanados del estator, en el núcleo del estator o en el cuerpo ti, en °C, y
c) La temperatura ambiente tai, en °C.
Se designa como resistencia de referencia Ri, a aquella con el valor más cercano al promedio de las tres registradas. Por ejemplo, cuando:
El valor de la resistencia de referencia es Ri = 5.0
9.3.2 Prueba para alcanzar el equilibrio térmico
Mediante esta prueba se determinan la resistencia y temperatura de los devanados del motor operando a plena carga.
Se hace funcionar el motor a su régimen nominal hasta alcanzar el equilibrio térmico definido en el inciso 3.4 en todos los detectores de temperatura. Se desenergiza y se desconectan las terminales de línea del motor, se mide y registra la resistencia entre las terminales de la resistencia de referencia determinada en el inciso 9.3.1 en el tiempo especificado en la Tabla 2.
Tabla 2 - Tiempo al cual se debe realizar la medición de la resistencia de referencia de los devanados
del estator
| Potencia Nominal, en kW | Tiempo, en s |
| 37.5 o menor | 30 |
| Mayor que 37.5 a 150 | 90 |
| Mayor que 150 | 120 |
Cuando se excede el tiempo establecido en la Tabla 2, se traza una curva de enfriamiento basada en la resistencia entre el par de terminales de referencia, utilizando por lo menos 10 valores espaciados a intervalos de 30 s, para determinar la resistencia al tiempo de retardo especificado en la Tabla 2.
Cuando los tiempos especificados en la Tabla 2 se exceden en más del doble para el registro de la primera lectura, se anula y se repite la prueba.
Se miden y registran:
a) La resistencia entre las terminales de referencia, Rf, en ;
b) El promedio de las temperaturas detectadas en los devanados del estator, en el núcleo del estator o en el cuerpo, tf, en °C;
c) La temperatura ambiente, taf, en °C; y
d) El tiempo al que se midió o determinó la resistencia Rf, en s.
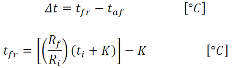
9.3.2.1 Cálculo del incremento de temperatura por resistencia
Se determina el incremento de temperatura (t) después de que el motor ha alcanzado el equilibrio térmico mediante la siguiente ecuación:
Donde:
tfr Temperatura de los devanados del estator en equilibrio térmico (calculado por resistencia).
K Constante del material y es igual a 234.5 para el cobre puro y para el aluminio 224.6. Para otros materiales en los devanados, debe usarse el valor especificado por el fabricante del material.
9.3.3 Prueba de funcionamiento
Al término de la prueba anterior, se hace funcionar el motor a su tensión eléctrica nominal medida en sus terminales, a 60 Hz y potencia nominal. Se aplican en forma descendente dos valores de carga arriba de la potencia nominal, no excediendo del 150 %, así como cuatro valores de carga al 100 %, 75 %, 50 % y 25 % de la potencia nominal, con una tolerancia de ± 2 %.
La temperatura en los devanados del estator, en el núcleo del estator o en el cuerpo del motor, debe estar como máximo 10 °C abajo de la temperatura registrada en la prueba para alcanzar el equilibrio térmico, antes de iniciar la prueba de funcionamiento.
Se miden y registran los siguientes parámetros para cada uno de los valores de carga:
a) El promedio de las tensiones eléctricas entre terminales, en volt (V);
b) Frecuencia eléctrica de alimentación, en Hertz (Hz);
c) El promedio de las corrientes eléctricas de línea, Im, en ampere (A);
d) La potencia de entrada, Pe, en kilowatts (kW);
e) El par torsional del motor, Tm, en newton metro (N·m);
f) La frecuencia de rotación, nm, en min-1;
g) El promedio de las temperaturas detectadas en los devanados del estator, en el núcleo del estator o en el cuerpo, para cada valor de carga, tm, en grados Celsius (°C); y
h) La temperatura ambiente para cada valor de carga, tam, en °C.
9.3.4 Prueba de carga mínima posible en el dinamómetro
Se ajusta el dinamómetro a su carga mínima y se opera el motor a su tensión eléctrica nominal, medida en sus terminales y 60 Hz, hasta que la potencia de entrada no varíe más del 3 % en un periodo de 30 min.
Con la potencia de entrada estabilizada a la carga mínima del dinamómetro, se miden y registran:
a) El promedio de las tensiones eléctricas entre terminales, en V;
b) La frecuencia eléctrica de alimentación, en Hz;
c) El promedio de las corrientes eléctricas de línea, Imín, en A;
d) La potencia de entrada, Pmín, en kW;
e) El par torsional del motor, Tmín, en N·m;
f) La frecuencia de rotación, nmín, en min-1;
g) El promedio de las temperaturas detectadas en los devanados del estator, o la temperatura en el núcleo del estator o en el cuerpo tmín, en °C; y
h) Se verifica que la potencia de salida Pd demandada al motor bajo prueba, sea menor al 15 % de su potencia nominal. Donde Pd en kW, se calcula de la siguiente forma:
9.3.5 Prueba de operación en vacío
Se desacopla el motor del dinamómetro y se opera en vacío a su tensión eléctrica nominal, medida en las terminales del motor y 60 Hz, hasta que la potencia de entrada varíe no más del 3 % en un periodo de 30 min. Se aplican en forma descendente tres o más valores de tensión eléctrica entre el 125 % y el 60 % de la tensión eléctrica nominal, espaciados en forma regular; dentro de estos tres valores debe incluirse la medición al 100 % de la tensión eléctrica nominal, de la misma manera, tres o más valores entre el 50 % y el 20 % de la tensión eléctrica de prueba seleccionada en el inciso 9.1 o hasta donde la corriente eléctrica de línea llegue a un mínimo o se haga inestable.
La prueba debe ser llevada a cabo lo más rápidamente posible y las mediciones deben tomarse en forma descendente respecto a la tensión máxima aplicada.
Para cada valor de tensión eléctrica, se miden y registran:
a) El promedio de las tensiones eléctricas entre terminales, en V;
b) La frecuencia eléctrica de alimentación, en Hz;
c) El promedio de las corrientes eléctricas de línea con el motor operando en vacío, I0, en A;
d) La potencia de entrada en vacío P0, en kW;
e) La frecuencia de rotación en vacío, n0, en min-1; y
f) El promedio de las temperaturas detectadas en los devanados del estator, o la temperatura en el núcleo del estator o en el cuerpo, para cada valor de tensión, t0, en °C.
9.4 Segregación de pérdidas
9.4.1 Determinación de las pérdidas por fricción y ventilación y cálculo de las pérdidas en el núcleo.
Los siguientes cálculos se utilizan para separar el origen de las pérdidas en vacío.
a) Se resta de la potencia de entrada medida en el inciso 9.3.5 en vacío, P0, las pérdidas de los devanados del estator I2RE0 para cada valor de tensión eléctrica del inciso 9.3.5, calculadas con la siguiente ecuación:
Donde:
I0 Promedio de las corrientes eléctricas de línea en vacío del inciso 9.3.5, en A.
RE0 Resistencia entre las terminales de referencia, en ohm, del inciso 9.3.1, corregida al promedio de las temperaturas detectadas en los devanados del estator para cada valor de tensión eléctrica, de acuerdo con la siguiente ecuación:
Donde:
Ri Resistencia de referencia del inciso 9.3.1, en .
t0 Promedio de las temperaturas detectadas en los devanados del estator, o la temperatura en el núcleo del estator, o en el cuerpo para cada valor de tensión del inciso 9.3.5, en °C.
ti Promedio de las temperaturas detectadas en los devanados del estator, o la temperatura en el núcleo del estator o en el cuerpo en frío del inciso 9.3.1, en °C.
K Constante del material y es igual a 234.5 para el cobre puro y para aluminio 224.6. Para otros materiales en los devanados, debe usarse el valor especificado por el fabricante del material.
b) Se traza una curva con la potencia de entrada con el motor operando en vacío P0 menos las pérdidas en los devanados del estator I2RE0 contra la tensión eléctrica en vacío, para cada valor de tensión eléctrica entre el 125 % y el 60 % del valor nominal;
c) Se traza una curva con los valores de potencia de entrada en vacío P0 menos las pérdidas en los devanados del estator I2RE0, contra el cuadrado de la tensión eléctrica, para cada valor de tensión eléctrica entre el 50 % y el 20 % del valor nominal o hasta el valor correspondiente a la corriente eléctrica de línea mínima o inestable. Se extrapola la curva a la tensión eléctrica en vacío igual a cero. El valor de la potencia de entrada en este punto corresponde a las pérdidas por fricción y ventilación Pfv; y
d) De la curva obtenida en el inciso (b), se calculan las pérdidas del núcleo, Ph, a la tensión eléctrica nominal, restando de la potencia de entrada en vacío, P0, las pérdidas en los devanados del estator I2RE0 según el inciso (a), y las pérdidas de fricción y ventilación Pfv según el inciso (c).
9.4.2 Cálculo de las pérdidas por efecto Joule en el estator
Se calculan las pérdidas por efecto Joule en los devanados del estator I2Rm para cada uno de los seis valores de carga aplicados según el inciso 9.3.3, utilizando la siguiente ecuación:
Donde:
Im Promedio de las corrientes de línea del inciso 9.3.3, en A.
Rm Resistencia entre las terminales de referencia del estator, del inciso 9.3.1, corregida a la temperatura de los devanados para cada valor de carga mediante la siguiente ecuación:
Donde:
Ri Resistencia de referencia del inciso 9.3.1, en ohm.
ti Promedio de las temperaturas detectadas en los devanados del estator, o la temperatura en el núcleo del estator o en el cuerpo, en frío, del inciso 9.3.1, en °C.
K Constante del material y es igual a 234.5 para el cobre puro y para aluminio 224.6. Para otros materiales en los devanados, debe usarse el valor especificado por el fabricante.
tmc Promedio de las temperaturas detectadas en los devanados del estator, o la temperatura en el núcleo del estator o en el cuerpo, para cada valor de carga del inciso 9.3.3, en °C, corregida mediante la siguiente
ecuación:
Donde:
Tfr Temperatura de los devanados del estator en equilibrio térmico, calculada por resistencia en el inciso 9.3.2.1, en °C.
tf Promedio de las temperaturas detectadas en los devanados del estator, o la temperatura en el núcleo del estator o en el cuerpo, del inciso 9.3.2, en °C.
tm Promedio de las temperaturas detectadas en los devanados del estator, o la temperatura en el núcleo del estator o en el cuerpo, para cada valor de carga del inciso 9.3.3, en °C.
9.4.3 Cálculo de las pérdidas por efecto Joule en el rotor
Se calculan las pérdidas por efecto Joule en el devanado del rotor I2Rr, en cada uno de los seis valores de carga aplicados según el inciso 9.3.3 utilizando la siguiente ecuación:
Donde:
Pe Potencia de entrada para cada valor de carga medida en el inciso 9.3.3.
Ph Pérdidas del núcleo calculadas en el inciso 9.4.1.
Sm Deslizamiento en por unidad de la frecuencia de rotación síncrona ns para cada valor de carga, de acuerdo con la siguiente ecuación:
Donde:
nm Frecuencia de rotación para cada valor de carga medida en el inciso 9.3.3 en min-1, y ns es la frecuencia de rotación síncrona, calculado mediante la siguiente ecuación:
Donde:
f Frecuencia eléctrica de 60 Hz de la alimentación.
p Número de polos del motor.
9.4.4 Cálculo de la potencia de salida
a) Se calculan los valores de par torsional corregido Tc, sumando el factor de corrección del dinamómetro FCD, en cada uno de los valores de par medidos Tm. En la práctica el FCD es compensado por la calibración del dinamómetro, por lo que cuando la medición del par se hace entre el motor a prueba y el dinamómetro, este valor no afecta la medición y puede ser despreciado considerando FCD = 0 para este paso del cálculo. Cuando es necesario el cálculo del FCD, debe realizarse de acuerdo con el apéndice B.
b) Se calcula la potencia de salida de acuerdo con la siguiente ecuación:
Donde:
Tc Par torsional corregido del motor para cada valor de carga, en N·m.
nm Frecuencia de rotación para cada valor de carga, medida en el inciso 9.3.3, en min-1.
9.4.5 Cálculo de las pérdidas indeterminadas
Para calcular las pérdidas indeterminadas en cada uno de los seis valores de carga medidos en el inciso 9.3.3, se calcula la potencia residual Pres como sigue:
Donde:
Pe Potencia eléctrica de entrada para cada valor de carga, medida en el inciso 9.3.3, en kW.
Ps Potencia mecánica de salida corregida para cada valor de carga calculada en el inciso 9.4.4, en kW.
I2Rm Pérdidas por efecto Joule en los devanados del estator para cada valor de carga calculadas en el inciso 9.4.2, en kW.
Ph Pérdidas en el núcleo calculadas en el inciso 9.4.1 (d), en kW.
Pfv Pérdidas por fricción y ventilación calculadas en el inciso 9.4.1(c), en kW.
I2Rr Pérdidas por efecto Joule en el devanado del rotor para cada valor de carga, calculada en el inciso 9.4.3, en kW.
Para suavizar la curva de potencia residual, Pres, contra el cuadrado del par torsional, T2, para cada valor de carga, se usa el análisis de regresión lineal del apéndice A.
Donde:
Tc Par torsional corregido del motor para cada valor de carga, calculado en el inciso 9.4.4 (a), en N·m.
A Pendiente de la recta para el análisis de regresión lineal.
B Intersección de la recta con el eje de las ordenadas.
Cuando el coeficiente de correlación
(letra gamma) es menor que 0.9, se elimina el peor punto y se calculan nuevamente A y B. Cuando el valor de gamma se incrementa hasta hacerlo mayor o igual que 0.9, se usa el segundo cálculo. En caso contrario, la prueba no fue satisfactoria, indicando errores en la instrumentación, de lectura o ambos. Se debe investigar la fuente de estos errores y corregirse, para posteriormente repetir las pruebas. Cuando el valor de A se establece conforme al párrafo anterior, se pueden calcular las pérdidas indeterminadas para cada uno de los valores de carga del inciso 9.3.3 de la siguiente forma: Donde:
Tc Par torsional corregido del motor para cada valor de carga, calculado en el inciso 9.4.4 (a), en N·m.
A Pendiente de la recta.
9.5 Corrección por temperatura para las pérdidas por efecto Joule
9.5.1 Cálculo de las pérdidas por efecto Joule en el estator corregidas por temperatura
Se calculan las pérdidas por efecto Joule en los devanados del estator corregidas de la temperatura ambiente taf, medida en el inciso 9.3.2, a la temperatura ambiente de 25 °C, para cada uno de los seis valores de carga medidos en el inciso 9.3.3, usando la siguiente ecuación:
Donde:
Im Promedio de las corrientes de línea para cada valor de carga del inciso 9.3.3, en A.
Rmc Resistencia de referencia Rf del inciso 9.3.2, corregida a una temperatura ambiente de 25 °C de acuerdo con la siguiente ecuación:
Donde:
tc Temperatura de los devanados del estator en equilibrio térmico calculada por resistencia, tfr, del inciso 9.3.2.1, corregida a una temperatura ambiente de 25 °C (tc = tfr + 25 °C - taf), en °C.
tfr Temperatura de los devanados del estator en equilibrio térmico calculada por resistencia, del inciso 9.3.2.1, en °C.
K Constante del material y es igual a 234.5 para el cobre puro y para aluminio 224.6. Para otros materiales en los devanados, debe usarse el valor especificado por el fabricante del material.
9.5.2 Cálculo de las pérdidas por efecto Joule en el rotor corregidas por temperatura
Se calculan las pérdidas por efecto Joule en los devanados del rotor, corregidas de la temperatura ambiente taf, medida en el inciso 9.3.2, a la temperatura ambiente de 25 °C, para cada uno de los seis valores de carga medidos en el inciso 9.3.3, usando la siguiente ecuación:
Donde:
Donde:
Smc Deslizamiento en por unidad de la frecuencia de rotación síncrona, referido a una temperatura ambiente de 25 °C.
Sm Deslizamiento en por unidad de la frecuencia de rotación síncrona medida en el inciso 9.3.3 y calculado en el inciso 9.4.3.
tmc Promedio de las temperaturas detectadas en los devanados del estator, en el núcleo del estator o en el cuerpo, para cada valor de carga, del inciso 9.3.3, en °C, corregidas mediante la siguiente ecuación: tmc=tfr/tf*tm.
tc Temperatura de los devanados del estator en equilibrio térmico calculada por resistencia, tfr, del inciso 9.3.2.1, corregida a una temperatura ambiente de 25 °C (tc = tfr + 25 °C - taf), en °C.
taf Temperatura ambiente durante la prueba de equilibrio térmico a plena carga del inciso 9.3.2, en °C.
K Constante del material y es igual a 234.5 para el cobre puro y para aluminio 224.6. Para otros materiales en los devanados, debe usarse el valor especificado por el fabricante del material.
9.6 Cálculo de la potencia de salida a 25 °C
Se calcula la potencia de salida corregida a la temperatura ambiente de 25 °C, para cada uno de los seis valores de carga del inciso 9.3.3 usando la siguiente ecuación:
Donde:
Psc Potencia de salida corregida para cada valor de carga, referido a una temperatura ambiente de 25 °C, en kW.
Pe Potencia de entrada para cada valor de carga, medida en el inciso 9.3.3, en kW.
Ph Pérdidas en el núcleo, calculadas en el inciso 9.4.1 (d), en kW.
Pfv Pérdidas por fricción y ventilación, calculadas en el inciso 9.4.1 (c), en kW.
Pind Pérdidas indeterminadas, calculadas en el inciso 9.4.5, en kW.
I2Rmc Pérdidas por efecto Joule en los devanados del estator para cada valor de carga, referidas a una temperatura ambiente de 25 °C, calculadas en el inciso 9.5.1, en kW.
I2Rrc Pérdidas por efecto Joule en el devanado del rotor para cada valor de carga, referidas a una temperatura ambiente de 25 °C, calculadas en el inciso 9.5.2, en kW.
9.7 Cálculo de la eficiencia
Se calcula la eficiencia hm para cada uno de los seis valores de carga del inciso 9.3.3 usando la siguiente ecuación:
Donde:
Psc Potencia mecánica de salida corregida para cada valor de carga, referida a una temperatura ambiente de 25 °C, calculada en el inciso 9.6, en kW.
Pe Potencia eléctrica de entrada para cada valor de carga, medida en el inciso 9.3.3, en kW.
9.8 Eficiencia en cualquier valor de carga
Para determinar la eficiencia en algún valor preciso de carga, se traza una curva con la eficiencia calculada según el inciso 9.7 contra la potencia de salida corregida calculada en el inciso 9.6.
10. Marcado
10.1 Permanencia
Todos los motores deben de ser provistos con al menos una placa o etiqueta de datos, ésta debe ser permanente, legible e indeleble y contener la información del inciso 10.2, debe estar adherida o sujeta mecánicamente a la envolvente o carcasa en el cuerpo principal y en un lugar visible, no se admite la colocación de ésta, en tapas, bridas o accesorios, que puedan ser retirados del cuerpo principal del motor, provocando la pérdida de rastreo del motor.
La placa o etiqueta de datos debe ser de un material que garantice la legibilidad de la información permanentemente y no se degrade con el tiempo bajo condiciones ambientales normales.
El fabricante, importador o comercializador debe garantizar que el material, estilo, tipografía y distribución de información en la placa o etiqueta de datos ingresada al momento de evaluar la conformidad del producto con este Proyecto de Norma Oficial Mexicana, sea la misma que se utilice durante la comercialización del mismo.
10.2 Información
La información mínima que se debe marcar en la placa o etiqueta de datos del motor debe estar contenida en idioma español y es la siguiente:
- PROY-NOM-016-ENER-2024
- Nombre del fabricante o del distribuidor, o logotipo o marca registrada;
- Modelo designado por el fabricante o distribuidor utilizado para identificación comercial;
- Tipo de enclaustramiento (abierto o cerrado, de acuerdo con el apéndice informativo C);
- País de origen de fabricación;
- La eficiencia nominal, en por ciento, precedida del símbolo h (2 dígitos enteros y 1 decimal);
- La potencia nominal en kW;
- La tensión eléctrica en V;
- La frecuencia eléctrica en Hz; y
- La frecuencia de rotación en min-1 o r/min.
Además de la información especificada por otras Normas Oficiales Mexicanas vigentes que sean aplicables.
Los motores certificados en el cumplimiento del presente Proyecto de Norma Oficial Mexicana, deben ostentar la contraseña oficial NOM con base a lo establecido en el artículo 45 de la Ley de Infraestructura de la Calidad y en la NOM-106-SCFI-2017.
Para motores que estén marcados con valores en 50 Hz, deberán adicionalmente tener en la placa o etiqueta de datos, los valores de potencia nominal en kW, tensión eléctrica equivalente a 60 Hz, su frecuencia de rotación y su eficiencia en % a 60 Hz
11. Vigilancia
La Secretaría de Energía (Sener), a través de la Comisión Nacional para el Uso Eficiente de la Energía (Conuee) y la Procuraduría Federal del Consumidor (Profeco), conforme a sus atribuciones y en el ámbito de sus respectivas competencias, son las autoridades que están a cargo de vigilar el cumplimiento del presente Proyecto de Norma Oficial Mexicana, una vez publicado como Norma Oficial Mexicana definitiva.
Demostrar el cumplimiento del presente Proyecto de Norma Oficial Mexicana no exime ninguna responsabilidad en cuanto a la observancia de lo dispuesto en otras Normas Oficiales Mexicanas.
El incumplimiento con el Proyecto de Norma Oficial Mexicana será sancionado conforme a lo dispuesto en la Ley de Infraestructura de la Calidad, su Reglamento y demás disposiciones legales aplicables.
12. Procedimiento de Evaluación de la Conformidad
De conformidad con el artículo 30 segundo párrafo, 43, 62, 64 y 69 de la Ley de Infraestructura de la Calidad, se establece el presente Procedimiento de Evaluación de la Conformidad (PEC).
12.1. Objetivo
Este PEC se establece para facilitar y orientar a los organismos de evaluación de la conformidad, fabricantes, importadores, comercializadores, en la aplicación de este Proyecto de Norma Oficial Mexicana PROY-NOM-016-ENER-2024, Eficiencia energética de motores de corriente alterna, trifásicos, de inducción, tipo jaula de ardilla, en potencia nominal de 0.746 kW a 373 kW. Límites, método de prueba y marcado, en adelante se referirá como PROY-NOM.
12.2 Referencias
Para la correcta aplicación de este PEC es necesario consultar los siguientes documentos vigentes:
- Ley de Infraestructura de la Calidad (LIC).
- Reglamento de la Ley de Infraestructura de la Calidad (RLIC).
12.3 Definiciones
Para los efectos de este PEC, se entenderá por:
12.3.1 Ampliación o reducción del certificado de la conformidad de producto
Cualquier modificación al certificado de producto que se realiza durante su vigencia en modelo, marca, país de origen de fabricación, bodega y especificaciones, siempre y cuando se cumplan con los criterios de agrupación de familia indicado en los incisos: 12.3.7 y 12.5.6, estos cambios no modifican la vigencia del certificado de la conformidad de producto. No se permite la ampliación de titularidad.
12.3.2 Autoridad competente
La Secretaría de Energía (Sener), a través de la Comisión Nacional para el Uso Eficiente de la Energía (Conuee) y la Procuraduría Federal del Consumidor (Profeco), conforme a sus atribuciones y en el ámbito de sus respectivas competencias.
12.3.3 Cancelación del certificado de la conformidad del producto
Acto por medio del cual el organismo de certificación de producto deja sin efectos de modo definitivo el certificado de la conformidad de producto.
12.3.4 Certificado de la conformidad de producto
Documento mediante el cual el organismo de certificación de producto hace constar que un producto o una familia de productos determinados cumple con las especificaciones establecidas en el PROY-NOM. Para el caso de un certificado de la conformidad de producto expedido con una vigencia en tiempo, el organismo de certificación de producto debe comprobar durante la vigencia del certificado que el producto cumple con lo dispuesto por el PROY-NOM, en caso contrario, se debe cancelar la vigencia de dicho certificado.
12.3.5 Especificaciones técnicas
Información de los productos que describe sus características de operación, conexiones, componentes, entre otras que permite demostrar que éstos cumplen con los criterios de agrupación de familia de producto y que ayudan a demostrar cumplimiento con las especificaciones establecidas en el PROY-NOM.
12.3.6 Evaluación de la conformidad
Proceso técnico que permite demostrar el grado de cumplimiento con el PROY-NOM. Comprende, entre otros, los procedimientos de muestreo, prueba, inspección, evaluación y certificación.
12.3.7 Familia de productos
Agrupación de productos del mismo tipo en el que las variantes son de carácter estético o de apariencia, pero conservan las características de diseño que aseguran el cumplimiento con el PROY-NOM así como lo establecido en el inciso 12.5.6.
12.3.8 Informe de certificación del sistema de calidad
Documento que otorga un organismo de certificación de producto a efecto de hacer constar, que el sistema de aseguramiento de calidad del producto que se pretende certificar, contempla procedimientos para asegurar el cumplimiento con el PROY-NOM.
12.3.9 Informe de pruebas
Documento que emite un laboratorio de pruebas acreditado y aprobado en los términos de la LIC y su Reglamento, mediante el cual se presentan los resultados obtenidos en las pruebas realizadas a la muestra seleccionada. La vigencia del informe de pruebas para fines de certificación inicial es de 90 días naturales a partir de su fecha de emisión. Para el proceso de seguimiento, la vigencia del informe es de 30 días naturales a partir de su fecha de emisión.
12.3.10 Laboratorio de pruebas (LP)
Persona física o moral, acreditada y aprobada conforme lo establece la LIC y su Reglamento, para realizar pruebas de acuerdo con el PROY-NOM.
12.3.11 Organismo de certificación de producto (OCP)
Persona moral acreditada y aprobada conforme a la LIC y su Reglamento, que tenga por objeto realizar funciones de certificación de sistemas de aseguramiento de la calidad a los productos referidos en el PROY-NOM.
12.3.12 Organismo de certificación de sistemas de gestión de la calidad
Persona moral acreditada conforme a la LIC y su Reglamento, que tenga por objeto realizar funciones de certificación de sistemas de aseguramiento de la calidad.
12.3.13 Organismo de Evaluación de la Conformidad (OEC)
Persona acreditada por una Entidad de Acreditación conforme a la LIC, y aprobada por la Autoridad Normalizadora competente, para llevar a cabo la Evaluación de la Conformidad de acuerdo con el presente PROY-NOM, la LIC y su Reglamento.
12.3.14 Producto
Motores eléctricos de corriente alterna, trifásicos, de inducción, tipo jaula de ardilla, en potencia nominal de 0.746 kW a 373 kW, que se indican en el objetivo y campo de aplicación del PROY-NOM.
12.3.15 Renovación del certificado de la conformidad del producto
Emisión de un nuevo certificado de conformidad, normalmente por un periodo igual al que se le otorgó en la certificación inicial, previo a la atención del seguimiento y cumplimiento con los requisitos establecidos en el PROY-NOM.
12.3.16 Seguimiento a la certificación
Comprobación a la que están sujetos los productos certificados de acuerdo con el PROY-NOM, así como el sistema de aseguramiento de la calidad, a los que se les otorgó un certificado de la conformidad con el objeto de constatar que continúan cumpliendo con el PROY-NOM y del que depende la vigencia de dicha certificación y posible renovación.
12.3.17 Suspensión del certificado de la conformidad del producto
Acto mediante el cual el organismo de certificación de producto interrumpe la validez del certificado de la conformidad de producto de manera temporal, de forma parcial o total.
12.3.18 Modelo representativo
Producto que reúne la mayor cantidad de componentes eléctricos.
12.4 Disposiciones generales
12.4.1 El presente PEC es aplicable a los productos de fabricación nacional o de importación, y aquellos que se comercialicen en el territorio nacional.
12.4.2 La evaluación de la conformidad debe realizarse por OEC (Laboratorios de Prueba y Organismos de Certificación de Producto), acreditados y aprobados conforme a lo dispuesto en la LIC y su Reglamento.
12.4.3 La Secretaría de Energía a través de la Comisión Nacional para el Uso Eficiente de la Energía, es la autoridad competente para resolver cualquier controversia en la interpretación del presente PEC.
12.5 Procedimiento
12.5.1 El fabricante, importador o comercializador (el interesado), debe solicitar la evaluación de la conformidad con el PROY-NOM al OCP, cuando lo requiera para dar cumplimiento a las disposiciones legales o para otros fines de su propio interés, el OCP entregará al interesado la solicitud de servicios de certificación, el contrato de prestación de servicios y la información necesaria para llevar a cabo el proceso de certificación de producto.
12.5.2 Una vez que el interesado ha analizado la información proporcionada por el OCP, debe presentar la solicitud con la información respectiva, así como el contrato de prestación de servicios de certificación que celebra con dicho organismo.
12.5.3 El OCP debe dar respuesta a las solicitudes de certificación, renovación, cambios en el alcance de la certificación (tales como modelo, marca, etc.), modificaciones (ampliaciones o reducciones de productos amparado, actualizaciones de información); cuando se realiza la primera certificación de un producto por el solicitante en el OCP, el interesado puede elegir un LP acreditado y aprobado, con objeto de someter a pruebas de laboratorio sus muestras.
12.5.4 Para obtener el certificado de la conformidad de producto, el interesado puede optar por la modalidad de certificación mediante pruebas periódicas al producto (por modelo o por familia), por la modalidad de certificación mediante el sistema de gestión de la calidad de la línea de producción (por modelo o por familia) o certificación por lote y, para tal efecto, debe presentar como mínimo la siguiente documentación al OCP, por cada modelo que integra a la familia:
12.5.4.1 Para la modalidad de certificación mediante pruebas periódicas al producto (modalidad 1):
- Original del (los) informe(s) de pruebas vigente (impreso o electrónico), únicamente del modelo representativo realizadas por un LP acreditado y aprobado;
- Declaración bajo protesta de decir verdad, por medio de la cual el interesado debe manifestar que el producto presentado a pruebas de laboratorio es representativo de la familia que se pretende certificar, de acuerdo con los incisos: 12.3.7 y 12.5.6;
- Copia del certificado de cumplimiento otorgado con anterioridad, en su caso;
- Fotografía de la placa o etiqueta de datos, de acuerdo con el Capítulo 10 del PROY-NOM, en caso de que se trate de un certificado inicial para el OCP se puede aceptar la presentación de marcado prototipo
- Fotografías o representación gráfica del producto;
- Diagrama eléctrico; y
- Instructivo o manual de uso en idioma español.
12.5.4.2 Para la modalidad de certificación mediante el sistema de gestión de la calidad de la línea de producción (modalidad 2):
- Los descritos en el inciso 12.5.4.1;
- Copia del certificado vigente del sistema de gestión de la calidad que incluya la línea de producción, expedido por un organismo de certificación de sistemas de aseguramiento de la calidad;
- Informe de certificación del sistema de calidad que indique que se cuenta con procedimiento de verificación al proceso de producción; y
- Para la certificación inicial, se debe de realizar una visita previa para verificación del sistema de calidad de la línea de producción. El muestreo puede ser realizado en esta visita.
12.5.4.3 Para la modalidad de certificación por lote (modalidad 3): La certificación por lote será posible siempre y cuando exista una identificación única en la placa de datos de cuerpo del producto, por cada modelo de producto que conforme dicho lote. Además, se requiere de un muestreo previo para seleccionar la muestra de producto que se enviará a pruebas de laboratorio.
- Los descritos en el inciso 12.5.4.1;
- Podrá amparar un máximo de 50 modelos únicos, que se identificarán por su número de serie y lote de producción.
12.5.4.4 Para cualquier modalidad, el OCP, previo a iniciar el proceso de certificación, debe consultar en el listado de certificados cancelados, publicado en la sección de verificación y vigilancia del mercado de la página de internet de la Conuee, y asegurarse que el producto a certificar no haya sido cancelado bajo alguna de las siguientes condiciones:
- No atender las visitas de seguimiento;
- Por falsificación o alteración de documentos relativos a la Evaluación de la Conformidad del producto con el presente PROY-NOM;
- Por incumplimiento con las especificaciones de este PROY-NOM;
- Cuando la dependencia cancele el certificado de la conformidad de producto o prohíba la comercialización del producto derivado de los resultados de la vigilancia del mercado.
En el caso de encontrarse en alguna o varias de las condiciones anteriores, el OCP debe asegurarse que el interesado atendió las causas que dieron origen a su cancelación, a través de evidencia documental que formará parte del expediente en la solicitud de certificación, y que debe incluir al menos:
- Análisis de causa raíz;
- Acciones correctivas; y
- Únicamente, en caso de cancelación por incumplimiento con las especificaciones de este PROY-NOM, el interesado debe presentar un informe de pruebas de laboratorio cuya fecha de inicio de pruebas sea posterior a la fecha de cancelación del certificado cancelado.
El OCP es el responsable del muestreo de producto al cual se le efectúen las pruebas y, la decisión del laboratorio de pruebas en el cual se lleven a cabo los métodos de prueba debe acordarse entre el solicitante y el OCP. El informe de pruebas resultante tendrá una vigencia de 90 días naturales a partir de su emisión y debe demostrar que el producto cumple con todas las especificaciones del presente PROY-NOM.
Esta información debe acompañarse de una declaratoria bajo protesta de decir verdad, que manifieste que se han atendido las causas que dieron origen a la cancelación del certificado de la conformidad de producto, la cual debe estar debidamente firmada por el representante legal; o cualquier persona autorizada por el solicitante (empresa, fabricante, importador, entre otros) ante el OCP.
El OCP es el responsable de determinar que la evidencia documental es válida y suficiente para continuar con el proceso de certificación de la conformidad de producto y, ante cualquier incertidumbre o controversia, deberá consultar a la Autoridad Normalizadora correspondiente e informar al interesado de la certificación del proceso y de la resolución de esa Autoridad
12.5.5 Muestreo
12.5.5.1 Selección de la muestra
En la certificación inicial, el interesado es quién realiza el muestreo de su producto, considerando que este sea el modelo representativo de acuerdo con lo que menciona el inciso 12.3.18 y la cantidad indicada en la Tabla 3.
En la modalidad de certificación por lote, el muestreo debe considerar probar el 30 % de los modelos que se certificarán y estos se seleccionarán de forma aleatoria por el OCP.
Para los seguimientos de la certificación, el OCP debe seleccionar una muestra de forma aleatoria conforme a lo establecido en la Tabla 3, para la realización de las pruebas de laboratorio, las muestras recabadas, deben ser diferentes a las probadas en la certificación inicial y seguimientos previos, cuando así sea posible, tomando en cuenta que no se deben repetir los modelos ya probados.
Cuando en la muestra seleccionada por el OCP en los seguimientos, no se encuentren disponibles los modelos elegidos y previamente notificados, se reprogramará la toma de muestra siempre que se el solicitante de la certificación asegure que esta estará disponible en los próximos 90 días naturales.
Todas las muestras seleccionadas para ensayo deben presentar resultados de conformidad satisfactorios de acuerdo con las especificaciones indicadas en el Capítulo 5 del presente PROY-NOM, en caso de que alguna muestra presente incumplimiento en sus resultados, se permitirá realizar una prueba adicional a la muestra testigo, que debe tener las mismas características que la muestra para ensayos probada, con el fin de desestimar o confirmar los resultados obtenidos.
12.5.5.2 Identificación de la muestra
Se debe documentar como mínimo la siguiente información:
- Fotografía y codificación con la cual el OCP, identifica el producto muestreado, es importante señalar el número de piezas que compone el muestreo realizado;
- Lugar y fecha en el cual se realizó el muestreo;
- Identificación del responsable de realizar el muestreo.
12.5.6 Agrupación de familias
Para el proceso de certificación de los motores de corriente alterna, trifásicos, de inducción, tipo jaula de ardilla se agrupan en familias conforme a lo establecido en la Tabla 3. Considerando los siguientes criterios:
1) Mismo intervalo de eficiencia nominal a plena carga;
2) Misma Familia.
Tabla 3 - Agrupación de familias y cantidad de muestras para pruebas de laboratorio
| Posición de montaje para su operación | Familia | Tipo de enclaustramiento | kW (Hp) | Polos | Cantidad de motores de la muestra. |
| Horizontal o vertical | 1 | Abierto | 0.746 (1.0) a 14.920 (20) | 2, 4, 6, 8 | 2 motores Criterio de selección: Tomar alguno de los siguientes criterios, dando prioridad a un producto con mayor disponibilidad en almacenes o en puntos de venta. Se deben tomar los motores de acuerdo con uno de los tres escenarios siguientes: a) 2 motores de montaje horizontal o b) 2 motores de montaje vertical o c) 1 motor de montaje horizontal y 1 motor de montaje vertical; Considerando: 1) Disponibilidad de motores en almacenes o en puntos de venta. 2) Motores de mayor venta o importación. 3) Motores diferentes a los utilizados en la certificación anterior. |
| Horizontal o vertical | 2 | Abierto | 14.921 (20.1) a 74.60 (100.0) | 2, 4, 6, 8 | 2 motores Criterio de selección: Tomar alguno de los siguientes criterios, dando prioridad a un producto con mayor disponibilidad en almacenes o en puntos de venta. Se deben tomar los motores de acuerdo con uno de los tres escenarios siguientes: a) 2 motores de montaje horizontal o b) 2 motores de montaje vertical o c) 1 motor de montaje horizontal y 1 motor de montaje vertical; Considerando: 1) Disponibilidad de motores en almacenes o en puntos de venta. 2) Motores de mayor venta o importación. 3) Motores diferentes a los utilizados en la certificación anterior. |
| Horizontal o vertical | 3 | Abierto | 74.61 (100.1) a 373 (500) | 2, 4, 6, 8 | 1 motor Criterio de selección: Tomar alguno de los siguientes criterios, dando prioridad a un producto con mayor disponibilidad en almacenes o en puntos de venta. Se debe tomar el motor de acuerdo con uno de los dos escenarios siguientes: a) 1 motor de montaje horizontal o b) 1 motor de montaje vertical. Considerando: 1) Disponibilidad del motor en almacenes o en puntos de venta. 2) Motor de mayor venta o importación. 3) Motor diferente al utilizado en la certificación anterior. |
| Horizontal o vertical | 4 | Cerrado | 0.746 (1.0) a 14.920 (20) | 2, 4, 6, 8 | 2 motores Criterio de selección: Tomar alguno de los siguientes criterios, dando prioridad a un producto con mayor disponibilidad en almacenes o en puntos de venta. Se deben tomar los motores de acuerdo con uno de los tres escenarios siguientes: a) 2 motores de montaje horizontal o b) 2 motores de montaje vertical o c) 1 motor de montaje horizontal y 1 motor de montaje vertical; Considerando: 1) Disponibilidad de motores en almacenes o en puntos de venta. 2) Motores de mayor venta o importación. 3) Motores diferentes a los utilizados en la certificación anterior. |
| Horizontal o vertical | 5 | Cerrado | 14.921 (20.1) a 74.60 (100.0) | 2, 4, 6, 8 | 2 motores Criterio de selección: Tomar alguno de los siguientes criterios, dando prioridad a un producto con mayor disponibilidad en almacenes o en puntos de venta. Se deben tomar los motores de acuerdo con uno de los tres escenarios siguientes: a) 2 motores de montaje horizontal o b) 2 motores de montaje vertical o c) 1 motor de montaje horizontal y 1 motor de montaje vertical; Considerando: 1) Disponibilidad de motores en almacenes o en puntos de venta. 2) Motores de mayor venta o importación. 3) Motores diferentes a los utilizados en la certificación anterior. |
| Horizontal o vertical | 6 | Cerrado | 74.61 (100.1) a 373 (500) | 2, 4, 6, 8 | 1 motor Criterio de selección: Tomar alguno de los siguientes criterios, dando prioridad a un producto con mayor disponibilidad en almacenes o en puntos de venta. Se debe tomar el motor de acuerdo con uno de los dos escenarios siguientes: c) 1 motor de montaje horizontal o d) 1 motor de montaje vertical. Considerando: 1) Disponibilidad del motor en almacenes o en puntos de venta. 2) Motor de mayor venta o importación. 3) Motor diferente al utilizado en la certificación anterior. |
| Nota: Para las familias que ya cuenten con la certificación de motores, y en el caso de requerir "ampliar el certificado", se debe presentar el correspondiente informe de pruebas, según se requiera para la familia, el cual debe cumplir con las especificaciones que estable el presente PROY-NOM. |
12.5.7 Vigencia de los certificados de la conformidad de producto.
12.5.7.1 Un año a partir de la fecha de su emisión, para los certificados de la conformidad del producto en modalidad 1.
12.5.7.2 Tres años a partir de la fecha de emisión, para los certificados de la conformidad del producto en modalidad 2.
12.5.7.3 Los certificados por lote sólo amparan la cantidad de especímenes que se fabriquen, comercialicen e importen, con base en la información presentada en su certificado de la conformidad de producto, el cual debe incluir todos los modelos amparados y su identificación particular del producto (número de serie y lote), por lo que carecerán de vigencia y seguimiento.
12.5.8 Seguimiento a la certificación
12.5.8.1 Para las modalidades 1 y 2 el OCP debe realizar el seguimiento del cumplimiento con el PROY-NOM, de los productos certificados, como mínimo una vez al año, tanto de manera documental como por revisión, muestreo y prueba del producto certificado. El seguimiento se debe realizar en una muestra tomada como se especifica en el inciso 12.5.5, en la fábrica, bodegas o en lugares de comercialización del producto en el territorio nacional.
12.5.8.1.1 En la modalidad de certificación mediante pruebas periódicas al producto, el OCP puede realizar el seguimiento del cumplimiento con el PROY-NOM, a partir del sexto mes de vigencia del certificado de conformidad de producto. Al momento de realizar la notificación de seguimiento al titular del certificado, debe informarle cuales son los modelos amparados por el certificado que serán muestreados, con el fin de garantizar que en la visita se cuente con el producto a ser muestreado, en caso contrario procederá a lo indicado en 12.5.5.
12.5.8.1.2 En la modalidad de certificación mediante revisión del sistema de gestión de la calidad de la línea de producción, el seguimiento se puede realizar a partir del sexto mes, el OCP debe verificar el lugar donde se manufactura el producto, así mismo, debe revisar el sistema de gestión de la calidad de las líneas de producción en las que se fabrican los productos, de las cuales tomará la muestra correspondiente, de acuerdo con lo indicado en 12.5.5. Se deben revisar también los resultados de la última auditoría de seguimiento aplicado por el organismo de certificación de sistemas de gestión de la calidad, la acreditación del sistema de gestión de calidad debe encontrarse vigente al momento de realizar el seguimiento.
En ambas modalidades, para los seguimientos a la certificación el OCP puede enviar la muestra al laboratorio que el considere conveniente
12.5.8.2 Informe de seguimiento a la certificación
El OCP debe elaborar un informe que contenga los siguientes elementos.
12.5.8.2.1 Información del seguimiento de producto para pruebas
El OCP debe presentar dentro del contenido del informe de seguimiento la siguiente información:
- Muestras probadas en la certificación inicial;
- Muestras probadas en seguimientos previos;
- Fecha en que se realizó el muestreo;
- Muestras y número de piezas seleccionadas para pruebas en el seguimiento actual;
- Criterios de selección de las muestras seleccionadas en el seguimiento actual;
- Fecha en la que se realizó el envío al laboratorio de pruebas;
- Nombre del laboratorio seleccionado para realizar las pruebas;
- Fecha en que se realizaron las pruebas;
- Fecha de emisión del informe de resultados;
- Fecha en que se entregó informe al OCP; y
- Se debe incluir en el expediente el Informe de pruebas del laboratorio, el cual deberá presentarse al OCP dentro del plazo establecido en 12.3.9 para considerarlo válido.
12.5.8.2.2 Información del seguimiento de producto para comprobación documental
Se debe documentar la evidencia de haber verificado el etiquetado o marcado definitivo en el lugar donde se realizó el seguimiento, que incluya fotografías de la actividad, así como, la revisión de requisitos documentales establecidos en el PROY-NOM, como pueden instructivos o manual de uso, entre otros.
El OCP debe presentar dentro del contenido del informe de seguimiento a la certificación, la siguiente información:
- Número de certificado de la conformidad de producto y si aplica número de certificados previos otorgados por el OCP;
- Modalidad de certificación;
- Modelos que ampara el certificado;
- Marcas que ampara el certificado;
- Norma que ampara el certificado; y
- Se debe corroborar y, si aplica, actualizar la información legal, domicilio (s), datos del representante, e información de contacto.
12.5.8.2.3 De los resultados del seguimiento correspondiente y considerando la información del informe de seguimiento, el OCP dictamina la suspensión, cancelación o renovación del certificado de la conformidad de producto.
12.6 Suspensión y cancelación del certificado de la conformidad de producto
Sin perjuicio de las condiciones contractuales de la prestación del servicio de certificación, el organismo de certificación de producto debe aplicar los criterios siguientes para suspender o cancelar un certificado.
12.6.1 Se procederá a la suspensión del certificado:
a) Por incumplimiento con los requisitos de información al público (marcado y etiquetado) establecidos por el PROY-NOM;
b) Cuando el seguimiento no pueda llevarse a cabo por causas imputables al titular del certificado de la confinidad de producto;
c) Cuando el titular del certificado de la conformidad de producto no presente al OCP el informe de pruebas derivado del seguimiento, antes de 30 días naturales contados a partir de la fecha de emisión del informe de pruebas y dentro de la vigencia del certificado de la conformidad de producto;
d) Por cambios o modificaciones a las especificaciones o diseño de los productos certificados que no hayan sido evaluados por causas imputables al titular del certificado de la conformidad de producto;
e) Cuando la Autoridad Normalizadora lo determine, podrá suspender los certificados teniendo como fundamento los artículos: 139, 140, y del 142 hasta el 150 de la LIC y su Reglamento.
El OCP debe informar al titular del certificado de la conformidad de producto sobre la suspensión, otorgando un plazo de 30 días naturales para hacer aclaraciones pertinentes o subsanar las deficiencias del producto o del proceso de certificación. Pasado el plazo otorgado y en caso de que no se hayan subsanado los incumplimientos, el OCP procederá a la cancelación inmediata del certificado de la conformidad del producto.
12.6.2 Se procederá a la cancelación inmediata del certificado de la conformidad de producto, cuando ocurra alguna de las siguientes condiciones:
a) En caso, por cancelación del certificado del sistema de gestión de la calidad en la línea de producción;
b) Cuando se detecte falsificación o alteración de documentos relativos a la certificación;
c) A petición del titular de la certificación, siempre y cuando se hayan cumplido las obligaciones contraídas en la certificación, al momento en que se solicita la cancelación;
d) Cuando se incurra en declaraciones engañosas en el uso del certificado de la conformidad de producto;
e) Por incumplimiento con especificaciones del PROY-NOM, que no sean aspectos de marcado e información;
f) Una vez notificada la suspensión, no se corrija el motivo de ésta en el plazo establecido;
g) Cuando la Autoridad Normalizadora lo determine, podrá cancelar los certificados teniendo como fundamento los artículos: 139, 140, y del 142, hasta el 150 de la LIC y su Reglamento;
h) Se hayan efectuado modificaciones sustantivas al producto;
i) No se cumpla con las características y condiciones establecidas por el OCP en el certificado de la conformidad de producto;
j) El documento donde consten los resultados de la evaluación de la conformidad pierda su utilidad o se modifiquen o dejen de existir las circunstancias que dieron origen al mismo, previa petición de parte.
En todos los casos de cancelación se procede a dar aviso a las autoridades normalizadoras correspondientes, informando los motivos de ésta. El OCP mantendrá el expediente de los productos con certificados cancelados por incumplimiento con el PROY-NOM.
12.7 Renovación
Para obtener la renovación de un certificado de la conformidad del producto en cualquier modalidad que resulte aplicable, se procederá a lo siguiente.
12.7.1 Deberán presentarse los documentos siguientes:
a) Solicitud de renovación;
b) Actualización de la información técnica debido a modificaciones en el producto en caso de haber ocurrido, en caso contrario declaración bajo protesta de decir verdad que no se han realizado modificaciones y la información se mantiene.
12.7.2 La renovación estará sujeta a lo siguiente:
a) Haber cumplido en forma satisfactoria con los seguimientos y pruebas establecidas en el inciso 12.5.8;
b) Que se mantengan las condiciones de la modalidad de certificación, bajo la cual se emitió el certificado de la conformidad de producto a ser renovado.
El OCP debe tener documentado el informe de seguimiento a la certificación, e integrarlo en el expediente del certificado de la conformidad de producto
Una vez renovado el certificado de la conformidad de producto, se estará sujeto a los seguimientos correspondientes a cada modalidad de certificación, así como las disposiciones aplicables del presente PEC.
12.7.3 Vigencia de la renovación
Cuando el OCP determine que se cumplen los requisitos para la renovación, esta se otorgará por un plazo igual a la del certificado que está renovando, y su vigencia será a partir del vencimiento del certificado a renovar. No se permite cambiar de modalidades de certificación en la renovación.
12.8 Ampliación o reducción del certificado de la conformidad de producto
Una vez otorgado el certificado de la conformidad del producto, el titular de la certificación puede ampliar, reducir o modificar su alcance en los certificados, sobre los modelos, marcas, especificaciones técnicas o domicilios, entre otros, siempre y cuando se cumpla con los criterios generales en materia de certificación y correspondan a la misma familia de productos, esta solicitud se realiza a petición del titular del certificado, mediante análisis documental y, de ser el caso, la realización de pruebas indicadas en el presente PROY-NOM.
Para el caso del presente PROY-NOM queda prohibida la ampliación de la titularidad del certificado de la conformidad del producto.
Los certificados emitidos como consecuencia de una ampliación quedarán condicionados tanto a la vigencia y seguimiento de los certificados de la conformidad del producto iniciales.
Para ampliar, modificar o reducir el alcance del certificado de la conformidad del producto, deben presentarse los documentos siguientes:
a) Solicitud de ampliación, modificación o reducción del alcance del certificado de la conformidad del producto;
b) Información técnica que justifique los cambios solicitados y que demuestre el cumplimiento con las especificaciones establecidas en el presente PROY-NOM, con los requisitos de agrupación de familia y con la modalidad de certificación correspondiente;
c) En caso de que el producto certificado sufra alguna modificación, el titular del certificado deberá notificarlo al OCP correspondiente, para que se compruebe que se siga cumpliendo con el PROY-NOM.
12.8.1 Aplicación de pruebas tipo
Estas pruebas se aplican cuando la información documental, no es suficiente para demostrar que el producto presentado para ser ampliado el certificado reúne las características de la familia en la cual se pretende integrar, por ejemplo, no se puede asegurar el valor de la potencia nominal, su prueba tipo será verificar la potencia nominal de acuerdo con lo indicado en el inciso 9.3.
12.9 Diversos
12.9.1 La lista de los OEC, que se aprueben en este PROY-NOM, pueden consultarse en el portal de internet de la Conuee, en la sección de Normas Oficiales Mexicanas.
12.9.2 Los gastos que se originen por los servicios de certificación y pruebas de laboratorio, por actos de evaluación de la conformidad, son a cargo del titular (fabricante, importador o comercializador), conforme a lo establecido en la LIC.
12.10 Resultados de la Evaluación de la Conformidad
Los OEC aprobados para evaluar la conformidad del presente PROY-NOM, deben emitir sus resultados a través de un documento (electrónico o digital), que contenga la firma del personal aprobado por la Autoridad Normalizadora, así como la información correspondiente que a continuación se describe.
12.10.1 Informe de resultados de prueba
El LP debe informar los resultados de la prueba en un informe de resultados, el cual debe contener nombre y firma del personal autorizado por la Autoridad Normalizadora y las entidades de acreditación para tales efectos:
El informe de pruebas debe contener como mínimo la siguiente información:
- Información que identifique al laboratorio de pruebas;
- Fecha de recepción del producto, fecha de realización del método de prueba y fecha de emisión del informe de prueba;
- Identificación del motor bajo prueba (incluido marca, modelo o tipo de motor de acuerdo con la clasificación);
- Nombre e información de contacto del solicitante;
- Referencia del método de prueba;
- Los equipos de medición usados en la prueba incluyendo la identificación del equipo, fecha de calibración y la vigencia de la calibración;
- Se deben indicar especificaciones a cumplir de acuerdo con las características del producto sometido a pruebas;
- Reportar las condiciones de prueba de acuerdo con los métodos que se estén evaluando;
- Especificaciones eléctricas;
- Resultados de la prueba incluyendo los datos obtenidos de las mediciones realizadas;
- La evaluación y análisis de los resultados de la prueba;
- Apartado de opinión, comentarios u observaciones, en caso de ser requerido;
- Las siguientes fotografías del producto deben aparecer en el informe de resultados:
o Del producto con la identificación asignada por el laboratorio;
o Del producto cuando se encuentre en acondicionamiento;
o Del producto durante el desarrollo del método de prueba.
12.10.2 Certificado de la Conformidad de Producto
El Organismo debe indicar los resultados del proceso de certificación, a través un Certificado de la Conformidad de Producto, el cual debe ser firmado por el personal autorizado para otorgar la certificación.
El certificado debe contener como mínimo la siguiente información:
- Información que identifique al OCP;
- Nombre y firma de las personas que autorizan la certificación;
- Nombre e información de contacto del solicitante;
- Fecha de emisión del certificado;
- Alcance de la certificación;
- Modalidad de la certificación;
- Vigencia del certificado;
- Número de informe de pruebas que ampara la certificación;
- Fracción arancelaria;
- País de origen;
- País de procedencia;
- Marca;
- Tipo de producto;
- Modelo evaluado para la certificación;
- Especificaciones del modelo evaluado para la certificación:
o Tipo de enclaustramiento (motor eléctrico abierto o motor eléctrico cerrado);
o Tensión eléctrica (V);
o Frecuencia eléctrica (Hz);
o Potencia eléctrica nominal (kW) o corriente eléctrica nominal (A);
o Velocidad de rotación en min-1 o r/min;
o Eficiencia nominal del motor en porciento.
- Modelos amparados por el certificado.
Nota: Las especificaciones del modelo evaluado para la certificación pueden ser distintas, a la de los modelos amparados.
12.10.3 Revisión de marcado
Para determinar el cumplimiento de la información de marcado, que se indica en el Capítulo 10, se debe considerar lo siguiente:
a) Corresponde al LP, reportar a través del Informe de resultados, la evaluación correspondiente al inciso 10.1, verificando que se de cumplimiento a la permanencia, legibilidad e indelebilidad del marcado, para corroborar esta evaluación, se debe incluir en el contenido del informe de resultados la fotografía del producto con su respectivo marcado;
b) Corresponde al OCP, verificar y corroborar que la información de marcado, indicada en el inciso 10.2, cumple para el producto (s), que se pretende certificar;
c) Únicamente se permite evaluar prototipo de marcado, en certificaciones iniciales, para lo cual el solicitante debe presentar una declaratoria bajo protesta de decir verdad que el producto no ha sido certificado anteriormente en algún otro OCP;
d) En los seguimientos realizados a la certificación, será obligatorio evaluar el marcado, sobre la información con la que se comercializa el producto, para lo cual, el LP y OCP deben tomar evidencia fotográfica del producto con su placa (que se aprecien ambos) para corroborar lo indicado en el Capítulo 10, esta evidencia se debe integrar en el informe de resultados y el expediente de certificación, respectivamente.
13. Concordancia con Normas Internacionales
Al momento de la elaboración de este Proyecto de Norma Oficial Mexicana, no se encontró concordancia
con ninguna Norma Internacional.
Apéndice A
(Normativo)
Análisis de regresión lineal
El propósito del análisis de regresión lineal es el encontrar una relación matemática entre dos conjuntos de variables, tal que los valores de una variable puedan ser usados para predecir la otra. La regresión lineal asume que los dos conjuntos de variables están relacionados linealmente; esto es, que cuando los valores de dos variables (xi, yi) son graficados, los puntos casi se ajustarán a una línea recta. El coeficiente de correlación g (letra Gamma), indica qué tan bien se ajustan estos pares de valores a una línea recta.
La relación de una línea recta se expresa de la siguiente forma:
Y = AX + B
Donde:
Y Variable dependiente.
X Variable independiente.
A Pendiente de la recta.
B Intersección de la recta con el eje de las ordenadas.
La pendiente de la recta (A) y la intersección con el eje de las ordenadas se calculan usando las siguientes dos fórmulas de regresión lineal:
Donde:
N Número de parejas (xi, yi), el coeficiente de correlación g se calcula usando la siguiente fórmula:
Los valores del coeficiente de correlación van desde -1 a +1. Un valor negativo indica una relación negativa (es decir, cuando X aumenta, Y disminuye o viceversa), y un valor positivo indica una relación positiva (es decir, cuando X aumenta, Y aumenta). Entre más cercano es el valor a menos 1 o más 1 es mejor la relación. Un coeficiente de correlación cercano a cero indica una inexistencia de relación.
Apéndice B
(Normativo)
Cálculo del Factor de Corrección del Dinamómetro (FCD)
Con las mediciones realizadas en los incisos: 9.3.4 y 9.3.5 al 100 % de la tensión eléctrica nominal, se calcula(n):
a) El deslizamiento por unidad de la frecuencia de rotación con respecto a la frecuencia de rotación síncrona, con el dinamómetro a su carga mínima, de acuerdo con la siguiente ecuación (Smín):
Donde:
nmín Frecuencia de rotación con el dinamómetro a su carga mínima medida en el inciso 9.3.4, en min-1.
ns Frecuencia de rotación síncrona, calculada como en el inciso 9.4.3, en min-1.
b) Las pérdidas por efecto Joule en el estator con el dinamómetro a su carga mínima, de acuerdo con la siguiente ecuación (I2Rmin):
Donde:
Imín Promedio de las corrientes de línea durante la prueba con carga mínima en el dinamómetro del inciso 9.3.4, en A.
Rmín Resistencia de referencia corregida a la temperatura de los devanados del estator durante la prueba con carga mínima en el dinamómetro, calculada mediante la siguiente ecuación:
Donde:
Ri Resistencia de referencia, del inciso 9.3.1, en ohm.
tmín Promedio de las temperaturas detectadas en los devanados del estator, o la temperatura en el núcleo del estator o en el cuerpo, con el dinamómetro a su mínima carga, del inciso 9.3.4, en °C.
ti Promedio de las temperaturas detectadas en los devanados del estator, o la temperatura en el núcleo del estator o en el cuerpo, del inciso 9.3.1, en °C.
K Constante del material y es igual a 234.5 para el cobre puro y para el aluminio es igual a 224.6. Para otros materiales en los devanados, debe usarse el valor especificado por el fabricante del material.
c) El factor de corrección del dinamómetro, de acuerdo con la siguiente ecuación (FCD):
Donde:
Pmín Potencia de entrada con el dinamómetro a su carga mínima, medida en el inciso 9.3.4, en kW.
Ph Pérdidas en el núcleo calculadas en el inciso 9.4.1, en kW.
Po-I2RE0 Calculado en el inciso 9.4.1 a), en kW.
Tmín Par torsional del motor con el dinamómetro a su carga mínima, medida en el inciso 9.3.4, en N m.
n0 Frecuencia de rotación en vacío, en min-1.
Apéndice C
(Informativo)
Identificación de motores abiertos o cerrados
| Enclaustramient o | Designación | Definición en español | Definición en inglés |
| Motores abiertos | IP 00 | Sin protección | |
| IP 02 | Sin protección contra contacto y cuerpos extraños y protección contra gotas de agua con 15° de inclinación respecto a la vertical | |
| IP 11 | Protección contra contacto accidental de la mano, sólidos de diámetros mayores de 50 mm y, gotas de agua verticales | |
| IP 12 | Protección contra contacto accidental de la mano, sólidos de diámetros mayores de 50 mm y, gotas de agua con 15° de inclinación respecto a la vertical | |
| IP 13 | Protección contra contacto accidental de la mano, sólidos de diámetros mayores de 50 mm y, gotas de agua con 60° de inclinación respecto a la vertical | |
| IP 21 | Protección contra contacto de los dedos a partes vivas o móviles, sólidos de diámetros mayores de 12 mm y, gotas de agua verticales. | |
| IP 22 | Protección contra contacto de los dedos a partes vivas o móviles, sólidos de diámetros mayores de 12 mm y, gotas de agua con 15° de inclinación respecto a la vertical. | Open Drip-Proof (IEC Standard) |
| | Abierto a prueba de goteo | |
| IP 23 | Protección contra contacto de los dedos a partes vivas o móviles, sólidos de diámetros mayores de 12 mm y, gotas de agua con 60° de inclinación respecto a la vertical | |
| WP-I | Protección ambiental Tipo I | AmbientProtection Type I |
| APG, ODP | Abierto a prueba de goteo | Open Drip Proof |
| PGCP, DPFG | A prueba de goteo completamente protegido | (Drip- ProofFullyGuarded) |
| APP, ODG | Abierto a prueba de goteo, protegido | Open Drip - Prof, Guarded |
| APG-VF, ODG-FV | Abierto a prueba de goteo, ventilación forzada | Open Drip-Proof, Force Ventilated |
| APG-VS, ODG-SV | Abierto a prueba de goteo, ventilación separada | Open Drip - Proof, Separately Ventilated |
| Motores cerrados | IP 44 | Protección contra contacto con herramientas, contra sólidos de diámetros mayores de 1 mm y contra salpicaduras de agua en todas direcciones | |
| Totalmente cerrado | Totally-Enclosed (IEC Standard) |
| | IP 54 | Protección completa contra contacto, contra acumulación de polvos nocivos y contra salpicaduras de agua en todas direcciones | |
| | | A prueba de chapoteo | SplashProof (IEC Standard) |
| | IP 55 | Protección completa contra contacto, contra acumulación de polvos nocivos y contra chorro de agua en todas direcciones | |
| | | Uso lavadora | Washdown (IEC Standard) |
| | IP 56 | Protección completa contra contacto, contra acumulación de polvos nocivos y contra oleaje fuerte | |
| | IP 65 | Protección completa contra contacto, protección completa contra polvos y contra chorro de agua en todas direcciones | |
| | TC, TE, TCVE, TEFC | Totalmente cerrado con ventilación exterior | TotallyEnclosed Fan Cooled |
| | TC, TCVE, TEAO | Totalmente cerrado ventilado por aire | TotallyEnclosed Air Over |
| | TCVF, TEBC | Totalmente cerrado con ventilación forzada | TotallyEnclosedBlower Cooled |
| | TC, TCNV, TENV | Totalmente cerrado no ventilado | TotallyEnclosed Non- Ventilated |
| | TCEA, TEWC | Totalmente cerrado con enfriamiento agua | Totally Enclosed Water Cooled |
| | TCCCAA, TECACA | Totalmente Cerrado, Circuito Cerrado, Enfriamiento Aire-Aire | Totally-Enclosed, Closed Circult, Air to Air |
| | TCDVAAi, TEDC-A/A | Totalmente Cerrado, Doble Ventilación, Aire-Aire | Totally-Enclosed, Dual Cooled, Air to Air |
| | TCDVAA, TEDC-Q/W | Totalmente Cerrado, Doble Ventilación, Aire-Agua | Totally-Enclosed, Dual Cooled, Air to Water |
| | TCTV, TETC | Totalmente Cerrado con tubería de ventilación | Totally-Enclosed. Tube Cooled |
| | TCEAA, TEWAC | Totalmente Cerrado, Enfriamiento Aire- Agua | Totally-Enclosed, Water/Air Cooled |
| | TC, TCPE, TEXP, XP | Totalmentecerrado a prueba de explosión. | Totally-Enclosed, Explosion-Proof |
| | TCEAAi, TEAAC | Totalmente cerrado con enfriamiento aire-aire. | Totally Enclosed Air to Air Cooled |
| | TCPE, TEEP | Totalmentecerrado a prueba de explosión. | TotallyEnclosedExplosio nProof |
| | TCPGI, TEIGF | Totalmente cerrado, presurizado con gas inerte. | Totally Enclosed Inert Gas Filled |
| | TCDV-IP, TEPV-IP | Totalmente cerrado con ductos de ventilación e internamente presurizados. | Totally Enclosed Pipe Ventilation Internally Pressurized |
| | TCEAAg, TEWC | Totalmente cerrado con enfriamiento agua-aire. | TotallyEnclosedWaterCo oled |
| | TCEAA-IP, TEWC-IP | Totalmente cerrado con enfriamiento agua aire e internamente presurizados. | Totally Enclosed Water Cooled Internally presurized |
Apéndice D
(Informativo)
Equivalencia de potencia
| kW | Hp |
| 0.746 | 1 |
| 1.119 | 1.5 |
| 1.492 | 2 |
| 2.238 | 3 |
| 3.730 | 5 |
| 5.595 | 7.5 |
| 7.460 | 10 |
| 11.19 | 15 |
| 14.92 | 20 |
| 18.65 | 25 |
| 22.38 | 30 |
| 29.84 | 40 |
| 37.30 | 50 |
| 44.76 | 60 |
| 55.95 | 75 |
| 74.60 | 100 |
| 93.25 | 125 |
| 111.9 | 150 |
| 149.2 | 200 |
| 186.5 | 250 |
| 223.8 | 300 |
| 261.1 | 350 |
| 298.4 | 400 |
| 335.7 | 450 |
| 373.0 | 500 |
14. Bibliografía
NOM-016-ENER-2016, Eficiencia energética de motores de corriente alterna, trifásicos, de inducción, tipo jaula de ardilla, en potencia nominal de 0,746 a 373 kW. Límites, método de prueba y marcado.
NMX-Z-013-SCFI-2015, Guía para la estructuración y redacción de Normas.
NMX-J-075/1-1994-ANCE, Aparatos eléctricos-Máquinas rotatorias Parte 1: Motores de inducción de corriente alterna del tipo de rotor en cortocircuito, en potencias desde 0,062 a 373 kW- Especificaciones.
NMX-J-075/2-1994-ANCE, Aparatos eléctricos-Máquinas rotatorias Parte 2: Motores de inducción de corriente alterna del tipo de rotor en cortocircuito, en potencias grandes-Especificaciones.
NMX-J-075/3-1994-ANCE, Aparatos eléctricos-Máquinas rotatorias Parte 3: Métodos de prueba para motores de inducción de corriente alterna del tipo de rotor en cortocircuito, en potencias desde 0,062 kW.
CSA C390:22 Test methods, marking requirements, and energy efficiency levels for three-phase induction motors.
CSA C22.2 No. 100:14 2024 Motors and Generators.
IEC 60034-1:2022 RLV Rotating electrical machines - Part 1: Rating and performance.
IEC 60034-2-1:2024 Rotating electrical machines - Part 2-1: Standard methods for determining losses and efficiency from tests (excluding machines for traction vehicles).
IEEE Std. 112-2017 IEEE Standard Test Procedure for Polyphase Induction Motors and Generators.
ANSI/NEMA MG 1-2021 Motors and Generators.
Ciudad de México, a 8 de noviembre de 2024.- Director General de la Comisión Nacional para el Uso Eficiente de la Energía y Presidente del Comité Consultivo Nacional de Normalización para la Preservación y Uso Racional de los Recursos Energéticos, M. en I. Israel Jáuregui Nares.- Rúbrica.