ACUERDO mediante el cual la Secretaría de Desarrollo Agrario, Territorial y Urbano otorga el uso y aprovechamiento a la Secretaría de Marina, entidad centralizada de la Administración Pública Federal, una superficie de 107-84-47 hectáreas, la cual se ubica inmersa en la Declaratoria de Terreno Nacional publicada el 25 de febrero de 1970 en el Municipio de La Paz, Baja California.

Al margen un sello con el Escudo Nacional, que dice: Estados Unidos Mexicanos.- DESARROLLO TERRITORIAL.- Secretaría de Desarrollo Agrario Territorial y Urbano.- Subsecretaría de Ordenamiento Territorial y Agrario.- Dirección General de Ordenamiento de la Propiedad Rural.- Dirección de Terrenos Nacionales.

Expediente:
DGOPR/DTN-03BS/116/2024
Predio:
Ex Isla de San Juan
Nepomuceno
Municipio:
La Paz
Estado:
Baja California Sur
Superficie Asignada:
107-84-47 has
Solicitante:
Félix de Jesús Martínez
Tiburcio (Secretaría de
Marina)
ACUERDO mediante el cual, la Secretaría de Desarrollo Agrario Territorial y Urbano otorga el USO Y APROVECHAMIENTO a la Secretaría de Marina, entidad centralizada de la administración pública federal, una superficie de 107-84-47 hectáreas, la cual se ubica inmersa en la Declaratoria de Terreno Nacional publicada en el Diario Oficial de la Federación el 25 de Febrero de 1970 en el municipio de La Paz, Baja California.
RESULTANDO
1. Que mediante decreto publicado en el Diario Oficial de la Federación el 17 de mayo de 1978, el Gobierno Federal por conducto de la Secretaría de la Reforma Agraria entrega en reserva a favor de la Secretaría de Marina una superficie de 107-84-47 hectáreas de la Isla de San Juan Nepomuceno, ubicada en el municipio de La Paz, estado de Baja California Sur, destinado exclusivamente para la construcción de una zona habitacional, instalaciones militares, una pista de aterrizaje, una ciudad naval y otras instalaciones complementarias.
2. Que mediante decretos publicados en el Diario Oficial de la Federación el 19 de diciembre del 2016 y el 7 de diciembre del 2020, se trasladaron las facultades de control y administración de los puertos del país a la Secretaría de Marina, anteriormente facultades de la Secretaría de Comunicaciones y Transportes ahora (SICT).
3. Que mediante solicitud del 30 de julio del 2024, con número de folio 04431, recibido en la Oficina del C. Secretario el 01 de agosto del 2024, el Vicealmirante Director General Adjunto de Abastecimiento y Responsable Inmobiliario de Institución de la Secretaría de Marina, Félix de Jesús Martínez Tiburcio, personalidad que acredita mediante oficio No. P/292/2023 del 06 de septiembre del 2023, emitido por el Instituto de Administración, Avalúos y Bienes Nacionales de la Secretaría de Hacienda, solicitó un nuevo uso y aprovechamiento del predio citado al rubro, con el fin de lograr el fortalecimiento del sector marítimo portuario del país y la coordinación de los puertos y áreas conexas de las vías férreas.
4. Que mediante oficios II210.DGOPR.DTN.15628.2024, II210.DGOPR.DTN.15629.2024 y II210.DGOPR.DTN.15632.2024, todos del 09 de agosto del 2024, la Dirección General de Ordenamiento de la Propiedad Rural, solicitó la investigación de antecedentes registrales ante la Oficina Registral en la Paz, Baja California Sur, la Dirección de Catastro en Baja California Sur y el Registro Agrario Nacional respectivamente.
5. Que el 12, 13 de agosto y 03 de septiembre se contestaron los oficios antes mencionados, en los cuales se informó lo siguiente:
El 12 de agosto del 2024, mediante oficio No. SFyA/DRPPC/LPZ/3224/2024 la Dirección General del Registro Público de la Propiedad y el Comercio en la Paz, Baja California Sur informo que:
...Según archivo y/o base de datos NO fue posible determinar si el predio en comento se encuentra inscrito en esta dependencia... (Sic)
No obstante lo anterior, mediante oficio DGPGI/2023/2976 del 18 de julio del 2024 la Directora del Registro Público y Control Inmobiliario del Instituto de Administración y Avalúos de Bienes Nacionales, de la Secretaría de Hacienda informó lo siguiente:
...De la búsqueda efectuada en el Registro Público de la Propiedad Federal, con la información aportada, se identificó el Folio Real número 14015 asiento 2, de 14 de marzo de 1985, que obra inscrito el Decreto Presidencial de 12 de mayo de 1978, publicado en el Diario Oficial de la Federación el mismo mes y año, por el que el Gobierno Federal, por conducto de la Secretaría de la Reforma Agraria, entrega en reserva a favor de la Secretaría de Marina, una superficie de 107-84-47 has,..(Sic).
El 13 de agosto del 2024, mediante oficio No. DGCM-1201/1976/2024 la Dirección General de Catastro en la Paz, Baja California Sur informó que:
...El predio motivo de análisis no se encuentra registrado en nuestra base de datos cartográficos....(Sic)
El 06 de septiembre del 2024, mediante oficio No. DGCAT/100/CR-102/1507/2024 el Registro Agrario Nacional informó que:
...Se determina que el predio cuyas coordenadas nos indica, no se encuentra dentro de poligonales de núcleos agrarios regularizados... (Sic)
En tal sentido, la superficie que se otorgó en su momento el 17 de mayo de 1978 a la Secretaría de Marina no ha cambiado su situación jurídica, por lo que;
CONSIDERANDO
I.- Que la Secretaría de Desarrollo Agrario, Territorial y Urbano, en su calidad de Dependencia Administradora, es competente para emitir el presente Acuerdo de conformidad con los artículos 27 de la Constitución Política de los Estados Unidos Mexicanos; 41 fracciones I, IX y XXII de la Ley Orgánica de la Administración Pública Federal; 158 fracción I y 161 de la Ley Agraria; 2 fracción II, 6 fracción VII, 28 fracción I, II y III de la Ley General de Bienes Nacionales; 112 del Reglamento de la Ley Agraria en Materia de Ordenamiento de la Propiedad Rural y 8 fracción XXIV inciso d), 20 fracción XII inciso d) del Reglamento Interior de la Secretaría de Desarrollo Agrario, Territorial y Urbano.
II. Que con fundamento en el artículo 2 fracción II, 28 fracción I, II y III de la Ley General de Bienes Nacionales y 20 fracción XII inciso d) del Reglamento Interior de la Secretaría de Desarrollo Agrario, Territorial y Urbano, la Dirección General de Ordenamiento de la Propiedad Rural, tiene la facultad de controlar, verificar el uso y aprovechamiento de los Inmuebles Federales.
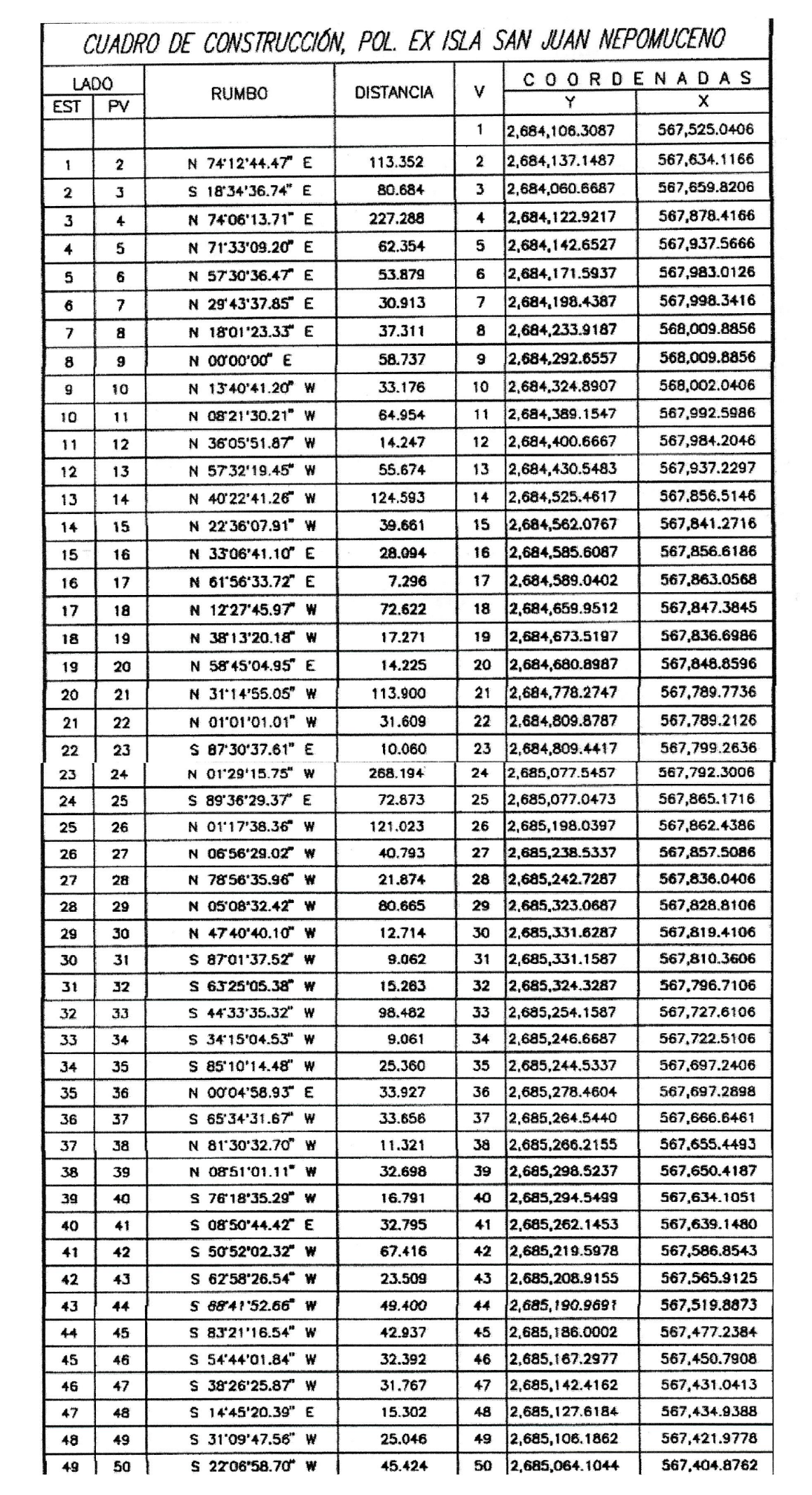
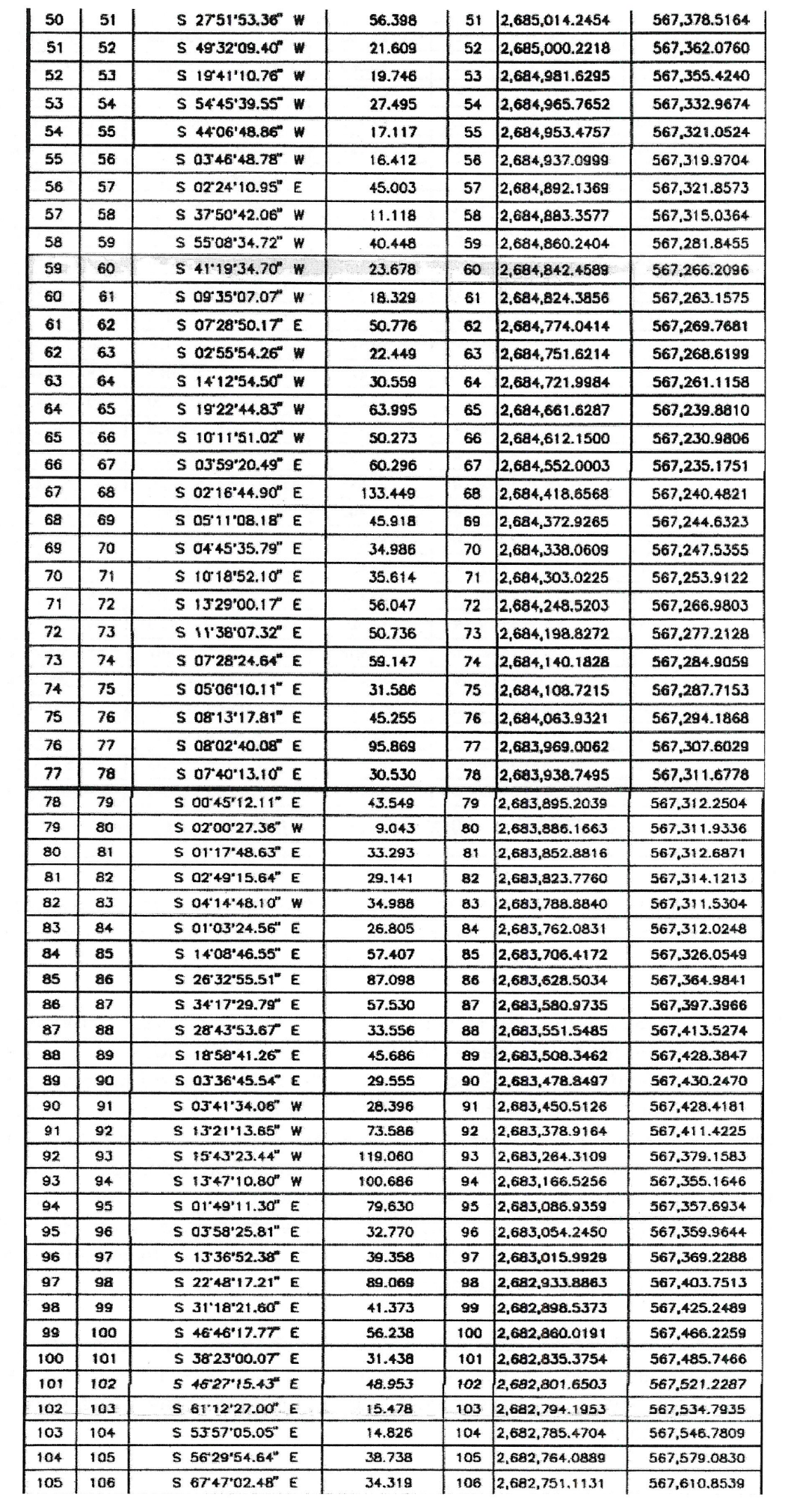
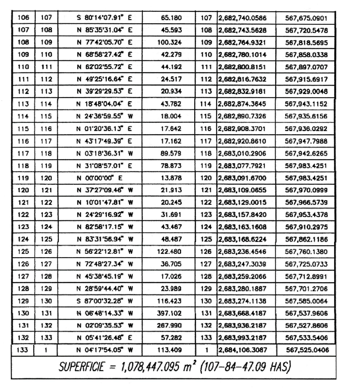
III. Que analizadas las constancias que integran el expediente en que se actúa, se advierte que la superficie solicitada por Félix de Jesús Martínez Tiburcio, en representación de la Secretaría de Marina, personalidad que acredita en términos del resultando No. 3 del presente acuerdo y con relación al predio citado al rubro, se encuentra comprendida dentro de la Declaratoria de Terreno Nacional publicada en el Diario Oficial de la Federación el 25 de Febrero de 1970, cuyo plano y cuadro de construcción se describen a continuación:


 


V. Que dicha superficie es requerida actualmente para ser utilizada exclusivamente para el fortalecimiento del sector marítimo portuario del país con la coordinación de puertos y conexos de las vías férreas.
VI. Que la Secretaría de Marina, conforme a las nuevas atribuciones conferidas mediante los decretos presidenciales publicados en el Diario Oficial de la Federación el 19 de diciembre del 2016 y el 7 de diciembre del 2020 se encarga de implementar la Política Marítima Nacional y Portuaria, lo que conlleva a regular la explotación comercial de los puertos de Marina Mercante, a través de la adjudicación y contratos, concesiones y permisos para el establecimiento de servicios, relacionados con las comunicaciones y transportes de agua con embarcaciones o artefactos navales, así como las obras prioritarias vinculadas al desarrollo marítimo en aras del crecimiento y beneficio de la población en el sector.
VII. Que la modificación del uso y aprovechamiento del inmueble citado al rubro, otorgará a la Secretaría de Marina mayor certeza y eficacia para cumplir con los compromisos contraídos; brindando mayor seguridad y protección marítima y portuaria.
Por lo anteriormente expuesto y fundado, se emite el siguiente
ACUERDO
PRIMERO. La Secretaría de Desarrollo Agrario, Territorial y Urbano otorga de manera gratuita el uso y aprovechamiento a favor de La Secretaría de Marina, por conducto del Vicealmirante Director General Adjunto de Abastecimiento y Responsable Inmobiliario de Institución Félix de Jesús Martínez Tiburcio, respecto de la superficie de 107-84-47 hectáreas, ubicado en el municipio de La Paz, estado de Baja California Sur, misma que se encuentra inmersa en una superficie mayor que conforma la Declaratoria publicada en el Diario Oficial de la Federación el 25 de febrero de 1970.
SEGUNDO. Notifíquese a la Secretaría de Marina el presente acuerdo y publíquese en el Diario Oficial de la Federación, en cumplimiento a lo establecido en el artículo 101 fracción X de la Ley General de Bienes Nacionales.
TERCERO. Remítase el presente Acuerdo para su inscripción al Instituto de Administración y Avalúos de Bienes Nacionales (INDAABIN), a fin de que por su conducto, se proceda a realizar la inscripción ante el Registro Público de la Propiedad Federal, de conformidad con lo dispuesto en el artículo 42 fracción XIV de la Ley General de Bienes Nacionales.
CUARTO. Realizada la Publicación en el Diario Oficial de la Federación y la inscripción, elabórese acta entrega recepción en la que se asienten las circunstancias en que La Secretaría de Marina recibe la superficie otorgada en uso y aprovechamiento.
QUINTO. Una vez hecho lo anterior, intégrese el original del presente acuerdo y el acta de entrega recepción al expediente en que se actúa.
Dado en la Ciudad de México, a 11 de septiembre de 2024.- Directora General, Dulce María Rodríguez Cervantes.- Rúbrica.