DECLARATORIA por la que se establece que el inmueble Federal denominado Ex Convento Fray Juan de Sahagún, con Registro Federal Inmobiliario 11-1549-6, ubicado en Avenida Revolución 204, del Municipio de Salamanca, Estado de Guanajuato, con superficie de 10,571.225 metros cuadrados, forma parte del patrimonio de la Federación.

Al margen un sello con el Escudo Nacional, que dice: Estados Unidos Mexicanos.- HACIENDA.- Secretaría de Hacienda y Crédito Público.- Instituto de Administración y Avalúos de Bienes Nacionales.

DECLARATORIA POR LA QUE SE ESTABLECE QUE EL INMUEBLE FEDERAL DENOMINADO "EX CONVENTO FRAY JUAN DE SAHAGÚN", CON REGISTRO FEDERAL INMOBILIARIO 11-1549-6, UBICADO EN AVENIDA REVOLUCIÓN 204, DEL MUNICIPIO DE SALAMANCA, ESTADO DE GUANAJUATO, CON SUPERFICIE DE 10,571.225 METROS CUADRADOS, FORMA PARTE DEL PATRIMONIO DE LA FEDERACIÓN.
GABRIELA GUERRERO AGUILAR, Directora General de Administración del Patrimonio Inmobiliario Federal del Instituto de Administración y Avalúos de Bienes Nacionales, Órgano Administrativo Desconcentrado de la Secretaría de Hacienda y Crédito Público, con fundamento en lo dispuesto por los artículos 27, fracción II y Decimoséptimo Transitorio de la Constitución Política de los Estados Unidos Mexicanos; 1, 2, 3, 4, 24, 25 y 26, de la Ley de Nacionalización de Bienes, Reglamentaria de la fracción II del Artículo 27 Constitucional; 2 fracción I, 17, 26 y 31 fracciones XXIX y XXX de la Ley Orgánica de la Administración Pública Federal; 2, fracciones VII y VIII, 28, fracción IV, 42 fracción III, 48, 55, 79 fracción II, 99 fracción IV y 101 fracción IV de la Ley General de Bienes Nacionales; 4, Apartado G, fracción V, 48 y 49 del Reglamento Interior de la Secretaría de Hacienda y Crédito Público, 9, 35 fracción II y 36 de la Ley Federal de Procedimiento Administrativo, 1, 3 fracciones VIII, XXVI y XXVIII, 4 fracción I inciso e), 5, 7 fracciones XIV, XVIII, XXIII y XXIV y 11 fracción XI y XV del Reglamento del Instituto de Administración y Avalúos de Bienes Nacionales, y disposición 118-6 fracción II del Acuerdo por el que se reforma el diverso por el que se establecen las disposiciones en Materia de Recursos Materiales y Servicios Generales, publicado el 16 de julio de 2010, reformas publicadas en el Diario Oficial de la Federación el 3 de octubre de 2012, y 5 de abril de 2016, y
CONSIDERANDO
I.- Que el inmueble Federal denominado "Ex Convento Fray Juan de Sahagún", ubicado en Avenida Revolución 204, del municipio de Salamanca, Estado de Guanajuato, con superficie de 10,571.225 metros cuadrados, se encuentra bajo la posesión, control y administración a título de dueño del Gobierno Federal, a través de la Secretaría de Hacienda y Crédito Público, por conducto de su Órgano Administrativo Desconcentrado, Instituto de Administración y Avalúos de Bienes Nacionales, del cual, la fracción con superficie de 5,398.269 metros cuadrados, denominada "Centro de las Artes de Guanajuato", se encuentra en uso del Gobierno del Estado de Guanajuato, a través del Instituto Estatal de la Cultura; la fracción con superficie de 3,324.496 metros cuadrados, denominada "Convento de Fray Juan de Sahagún" o "Templo de San Agustín", por la Organización San Agustiniana; y la fracción con superficie de 1,848.461 metros cuadrados, denominada "Casa de la Cultura", en uso del H. Ayuntamiento de Salamanca, Estado de Guanajuato, ocupándolo desde el año 1984, hechos que se hacen constar mediante actas circunstanciadas de fechas 10 de marzo de 2023 y 5 de enero de 2024.
II.- Que el inmueble objeto de la presente declaratoria se encuentra controlado en el Inventario del Patrimonio Inmobiliario Federal y Paraestatal del Sistema de Información Inmobiliaria Federal y Paraestatal, con el Registro Federal Inmobiliario 11-1549-6.
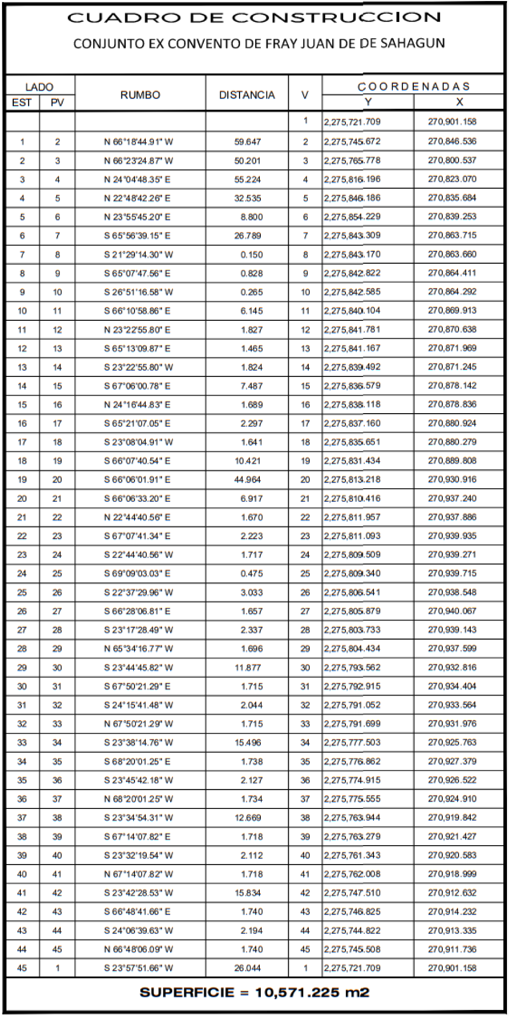
III.- Que el inmueble materia del presente ordenamiento tiene una superficie de 10,571.225 metros cuadrados, cuyas medidas y colindancias se consignan en el plano topográfico número TOPO PB 1, aprobado y registrado por la Dirección de Registro Público y Control Inmobiliario, adscrita a la Dirección General de Política y Gestión Inmobiliaria de este Instituto, bajo el número DRPCI/7063/11-1549-6/2022/T, de fecha 19 de abril de 2022, cuya descripción poligonal a continuación se describe:
1.

2.

3.

4.

IV.- Que la Secretaría de Hacienda y Crédito Público, a través de su Órgano Administrativo Desconcentrado, Instituto de Administración y Avalúos de Bienes Nacionales, desde antes del tiempo referido y hasta el día de hoy, ha tenido la custodia y vigilancia, del inmueble denominado "Ex Convento Fray Juan de Sahagún", del cual, las fracciones descritas en el Considerando precedente; con el numeral 1, se encuentra ocupada por el "Centro de las Artes de Guanajuato", en uso del Gobierno del Estado de Guanajuato, a través del Instituto Estatal de la Cultura, con el numeral 2, denominada "Convento de Fray Juan de Sahagún" o "Templo de San Agustín", por la Organización San Agustiniana y con el numeral 3, denominada "Casa de la Cultura", en uso del H. Ayuntamiento de Salamanca, Estado de Guanajuato, como se desprende en los antecedentes administrativos del inmueble que obran en el expediente a cargo de la Dirección General de Administración del Patrimonio Inmobiliario Federal.
V.- Que mediante Ficha con Clave I-0011204152, derivada de la consulta pública del Catálogo Nacional de Monumentos Históricos Inmuebles del Instituto Nacional de Antropología e Historia de fecha 5 de septiembre de 2024, se hace constar que el inmueble denominado "Templo de San Agustín", es considerado como un monumento histórico.
VI.- Que mediante Certificado de Inscripción o No Inscripción, con número de solicitud 1082280, de fecha de resolución 5 de julio de 2022, el Registro Público de la Propiedad de Salamanca, Guanajuato, certificó que habiéndose realizado una búsqueda en los archivos correspondientes al Municipio de Salamanca, Guanajuato, no se encontró inscripción del inmueble denominado Ex Convento Fray Juan de Sahagún, ubicado en Avenida Revolución número 204, esquina Vasco de Quiroga, con una superficie de 10,571.225 metros cuadrados.
VII.- Que cumplidos los requisitos legales, integrando el expediente administrativo correspondiente, se dio inicio al procedimiento administrativo para expedir la Declaratoria prevista en el artículo 55 de la Ley General de Bienes Nacionales, realizándose las siguientes diligencias:
a)    Mediante oficio número DGAPIF/DIDI/STURI/DTI/0742/2024, de fecha 13 de marzo de 2024, recibido por la Dirección General de Gestión Financiera del Ayuntamiento de Salamanca en la misma fecha, se notificó al Presidente Municipal de Salamanca, Estado de Guanajuato el inicio del procedimiento administrativo para expedir la Declaratoria de que el inmueble con Registro Federal Inmobiliario 11-1549-6, denominado "Ex Convento Fray Juan de Sahagún", ubicado en Avenida Revolución 204, del municipio de Salamanca, Estado de Guanajuato, con superficie de 10,571.225 metros cuadrados, forma parte del patrimonio de la Federación, venciendo el término legal dispuesto a los interesados, el 5 de abril de 2024.
b)    Con fecha 12 de abril de 2024, se publicó el aviso de inicio de procedimiento a que se refiere el artículo 55 fracción I de la Ley General de Bienes Nacionales, en los periódicos denominados "MILENIO", en su página 9 y "Periódico Correo", en su página 7, venciendo el término legal dispuesto a los interesados, el 3 de mayo de 2024.
VIII.- Que habiéndose integrado el expediente correspondiente, sustanciado debidamente el proceso administrativo y transcurridos los plazos que señala el artículo 55 de la Ley General de Bienes Nacionales, sin que se presentase oposición de parte legítimamente interesada; es procedente en términos de lo dispuesto por el artículo 55 fracción IV de la ley en cita, emitir la siguiente:
DECLARATORIA
PRIMERO.- Se declara que el inmueble Federal denominado "Ex Convento Fray Juan de Sahagún", ubicado en Avenida Revolución 204, del municipio de Salamanca, Estado de Guanajuato, con superficie de 10,571.225 metros cuadrados, con Registro Federal Inmobiliario 11-1549-6, se encuentra bajo la posesión, control y administración a título de dueño del Gobierno Federal, a través de la Secretaría de Hacienda y Crédito Público, por conducto de su Órgano Administrativo Desconcentrado, Instituto de Administración y Avalúos de Bienes Nacionales, forma parte del patrimonio de la Federación, del cual, la fracción con superficie de 5,398.269 metros cuadrados, denominada "Centro de las Artes de Guanajuato", se destina al Gobierno del Estado de Guanajuato, para uso del Instituto Estatal de la Cultura; la fracción con superficie de 3,324.496 metros cuadrados, ocupada por el inmueble en uso de Asociación Religiosa o abierto al culto público, denominada "Convento de Fray Juan de Sahagún" o "Templo de San Agustín", por la Organización San Agustiniana; y la fracción con superficie de 1,848.461 metros cuadrados, denominada "Casa de la Cultura", se destina al H. Ayuntamiento de Salamanca, Estado de Guanajuato, con fundamento en lo dispuesto por el artículo 55 de la Ley General de Bienes Nacionales.
 
SEGUNDO.- Que la presente Declaratoria constituye el título de propiedad del inmueble a favor del Gobierno Federal.
TERCERO.- Publíquese la presente Declaratoria en el Diario Oficial de la Federación.
CUARTO.- Inscríbase en el Registro Público de la Propiedad que corresponde a la ubicación del inmueble objeto de esta Declaratoria y en el Registro Público de la Propiedad Federal.
QUINTO.- Cúmplase.
TRANSITORIO
ÚNICO.- La presente Declaratoria entrará en vigor al día siguiente de su publicación en el Diario Oficial de la Federación.
Ciudad de México, a los 12 días del mes de septiembre de 2024.- Directora General de Administración del Patrimonio Inmobiliario Federal, Gabriela Guerrero Aguilar.- Rúbrica.