DECRETO por el que se expropia por causa de utilidad pública la superficie de 25-70-55 hectáreas del ejido "Escárcega", municipio de Escárcega, estado de Campeche, a favor de Fonatur Tren Maya, S.A. de C.V.
Al margen un sello con el Escudo Nacional, que dice: Estados Unidos Mexicanos.- Presidencia de la República.
ANDRÉS MANUEL LÓPEZ OBRADOR, presidente de los Estados Unidos Mexicanos, en ejercicio de la facultad que me confiere el artículo 89, fracción I, de la Constitución Política de los Estados Unidos Mexicanos, con fundamento en los artículos 27, párrafos primero y segundo, de la propia Constitución; 13, 41 y 42 de la Ley Orgánica de la Administración Pública Federal; 93, fracciones I y VII, y 94 de la Ley Agraria; 60, 61 y 75 del Reglamento de la Ley Agraria en Materia de Ordenamiento de la Propiedad Rural, y
RESULTANDO
1. Que, mediante resolución presidencial publicada en el Diario Oficial de la Federación (DOF) el 4 de octubre de 1939, se dotó al poblado "Kilometro 47", municipio de El Carmen, estado de Campeche, la superficie de 14,000-00-00 ha. Dicha resolución se ejecutó el 11 de agosto de 1943;
2. Que, las acciones agrarias que se enlistan a continuación refieren indistintamente al ejido "Escárcega", municipio de Escárcega, estado de Campeche, como "Escárcega (antes Kilómetro 47)", "Escárcega de Matamoros" y "Escárcega de Matamoros (antes Kilómetro 47)":
| No. | Resolución presidencial | Publicación en el DOF | Acción | Superficie (hectáreas) |
| 1. | 6 de septiembre de 1950 | 13 de enero de 1951 | Expropiación | 10-00-00 |
| 2. | 5 de abril de 1976 | 24 de mayo de 1976 | Expropiación | 272-00-97 |
| 3. | 8 de noviembre de 1982 | 16 de noviembre de 1982 | Expropiación | 01-00-00 |
| 4. | 20 de enero de 1986 | 13 de marzo de 1986 | Expropiación | 00-99-19.02 |
| 5. | 18 de noviembre de 1988 | 30 de noviembre de 1988 | Expropiación | 02-99-99.73 |
| 6. | 4 de febrero de 1991 | 28 de febrero de 1991 | Expropiación | 04-00-16.01 |
| 7. | 29 de noviembre de 1991 | 4 de diciembre de 1991 | Expropiación | 30-07-74.37 |
| 8. | 22 de febrero de 1993 | 25 de febrero de 1993 | Expropiación | 08-64-18 |
| 9. | 29 de marzo de 1993 | 1 de abril de 1993 | Expropiación | 00-96-10.13 |
| 10. | 2 de julio de 1993 | 6 de julio de 1993 | Expropiación | 70-49-12 |
| 11. | 22 de noviembre de 1993 | 8 de diciembre de 1993 | Expropiación | 93-90-47 |
| 12. | 23 de noviembre de 1993 | 5 de enero de 1994 | Expropiación | 49-96-34 |
| 13. | 20 de julio de 1994 | 3 de agosto de 1994 | Expropiación | 00-25-00 |
| 14. | 17 de septiembre de 1997 | 23 de septiembre de 1997 | Expropiación | 261-04-50.96 |
| 15. | 17 de abril de 2000 | 3 de mayo de 2000 | Expropiación | 50-15-45.532 |
| 16. | 8 de octubre de 2002 | 10 de octubre de 2002 | Expropiación | 07-97-01 |
| 17. | 3 de mayo de 2023 | 3 de mayo de 2023 | Expropiación | 24-17-71 |
3. Que, mediante resolución presidencial publicada en el DOF el 2 de junio de 1964, se dotó por concepto de ampliación al poblado "Escárcega", municipio de El Carmen, estado de Campeche, la superficie de 5,376-66-67 ha. Dicha resolución se ejecutó el 12 de octubre de 1972;
4. Que, el Congreso Constitucional del Estado Libre y Soberano de Campeche, mediante decreto número 50, publicado el 19 de julio de 1990, en el Periódico Oficial del Estado de Campeche, formalizó la creación del municipio libre de Escárcega;
5. Que, mediante asamblea general de ejidatarios de 20 de diciembre de 1996, se determinó la delimitación, destino y asignación de tierras del ejido "Escárcega", municipio de Escárcega, estado de Campeche;
6. Que, el 27 de diciembre de 1996, el ejido "Escárcega", municipio de Escárcega, estado de Campeche, se inscribió en el sistema de inscripciones del Registro Agrario Nacional (RAN) con el folio de ejidos y comunidades 04009003104101939R;
7. Que, mediante escritura pública 98,727, de 5 de diciembre de 2018, se protocolizó el cambio de denominación de Fonatur Operadora Portuaria, S.A. de C.V., por el de FONATUR Tren Maya, S.A. de C.V. En la cláusula CUARTA de la citada escritura pública consta, como parte de su objeto social:
c) Tramitar todo tipo de asignaciones y permisos y ejecutar la construcción, operación, explotación, conservación y mantenimiento de vías férreas en el sureste de la República Mexicana.
d) Tramitar todo tipo de asignaciones y permisos y prestar el servicio público de transporte ferroviario de pasajeros o de carga, por sí mismo mediante asignación o de manera conjunta con concesionarios.
e) Tramitar todo tipo de asignaciones y permisos para prestar servicios auxiliares ferroviarios, así como todo tipo de servicios relacionados con la infraestructura ferroviaria.
(...)
g) Celebrar todo tipo de actos jurídicos por los cuales otorgue o reciba el uso y aprovechamiento de bienes muebles e inmuebles, así como el adquirirlos o enajenarlos, comprendidos en instalaciones turísticas o inmobiliarias de cualquier naturaleza, en cualquier destino turístico, polos de desarrollo turístico, Centros Integralmente Planeados, y en Centros Turísticos Sustentables del Fondo Nacional del Fomento al Turismo (FONATUR), en el sureste de la República Mexicana.
8. Que FONATUR Tren Maya, S.A. de C.V., es una empresa de participación estatal mayoritaria sectorizada a la Secretaría de Turismo, como se indica en la "Relación de Entidades Paraestatales de la Administración Pública Federal", publicada en el DOF el 9 de agosto de 2024;
9. Que el Decreto para la entrega del Proyecto Tren Maya a Tren Maya S.A. de C.V. y demás acciones que se indican, publicado en el DOF el 1 de marzo de 2024, establece en su transitorio Decimoprimero que los procedimientos expropiatorios y de adquisición de bienes inmuebles para la ejecución del Proyecto Tren Maya que se encuentren en trámite, a la entrada en vigor del citado instrumento jurídico, deben continuar a cargo de FONATUR Tren Maya, S.A. de C.V. hasta su conclusión, en términos de las disposiciones jurídicas aplicables;
10. Que el Plan Nacional de Desarrollo 2019-2024, publicado en el DOF el 12 de julio de 2019, establece los programas y proyectos que constituyen las prioridades de atención estratégica a problemas públicos identificados. Asimismo, expone como una de las tareas centrales impulsar la reactivación de la economía, para que esta vuelva a crecer a tasas aceptables y se fortalezca el mercado interno y el empleo mediante programas sectoriales, proyectos regionales y obras de infraestructura;
11. Que el capítulo "Proyectos regionales" del plan nacional dispone:
1. El Tren Maya es el más importante proyecto de infraestructura, desarrollo socioeconómico y turismo del presente sexenio. Tendrá un recorrido de mil 525 kilómetros, pasará por los estados de Chiapas, Tabasco, Campeche, Yucatán y Quintana Roo e interconectará las principales ciudades y sitios turísticos de la Península de Yucatán...
El Tren Maya es un proyecto orientado a incrementar la derrama económica del turismo en la Península de Yucatán, crear empleos, impulsar el desarrollo sostenible, proteger el medio ambiente de la zona desalentando actividades como la tala ilegal y el tráfico de especies y propiciar el ordenamiento territorial de la región. Se procurará integrar a la obra y a sus beneficios a los pobladores; se gestionarán los derechos de vía que aún no se tengan mediante acuerdos con los propietarios de los terrenos respectivos; se buscarán acuerdos benéficos en los casos en los que las vías de propiedad federal se encuentren invadidas y se pedirá la aprobación de las comunidades y pueblos originarios mediante consultas.
12. Que el Gobierno federal otorgó, por la entonces Secretaría de Comunicaciones y Transportes, a la empresa de participación estatal mayoritaria FONATUR Tren Maya, S.A. de C.V., la asignación para construir, operar y explotar la vía general de comunicación ferroviaria denominada Tren Maya, la cual incluye la prestación del servicio público de transporte ferroviario de carga y de pasajeros, y los permisos para prestar los servicios auxiliares requeridos (DOF, 21 de abril de 2020);
13. Que los programas sectoriales de Desarrollo Agrario, Territorial y Urbano 2020-2024 y de Turismo 2020-2024, publicados en el DOF el 26 de junio y 3 de julio, de 2020, establecen que la construcción del Tren Maya es el compromiso más relevante de infraestructura para impulsar el desarrollo socioeconómico y turístico de la historia del sureste del país y fortalecer la integración de cadenas productivas en la península de Yucatán, así como para elevar la calidad de los servicios turísticos y fomentar la capacitación y profesionalización del capital humano que forma parte de esta industria;
14. Que el Programa Institucional 2020-2024 del Fondo Nacional de Fomento al Turismo, publicado el 20 de noviembre de 2020 en el DOF, señala en su numeral 7.1 "Relevancia del Objetivo prioritario 1: Desarrollar el Proyecto Regional Tren Maya en los estados de Chiapas, Tabasco, Campeche, Yucatán y Quintana Roo";
15. Que, en cumplimiento del Programa Institucional 2020-2024 del Fondo Nacional de Fomento al Turismo, FONATUR Tren Maya, S.A. de C.V. elaboró dictámenes técnicos de viabilidad del proyecto Tren Maya, en los que se concluye que es de primera necesidad contar con un servicio confiable, eficiente, cómodo y seguro que permita, por una parte, el transporte de mercancías y, por otra, movilizar a sus usuarios con altos estándares de calidad, acceso y cobertura en el área urbana y conurbada. Dichos dictámenes acreditan que el Proyecto Tren Maya satisface el interés colectivo, e impulsa las actividades económicas del sur-sureste del país que garantizan el derecho a la movilidad en condiciones de seguridad, accesibilidad, comodidad, eficiencia, calidad e igualdad. Asimismo, la construcción del Tren Maya permitirá el desarrollo socioeconómico y turístico; reducirá los niveles de pobreza que existen en la zona, y mejorará las condiciones de vida de quienes habitan y transitan por la zona;
16. Que el Programa Institucional 2020-2024 de FONATUR Tren Maya, S.A. de C.V., publicado el 24 de diciembre de 2020 en el DOF, tiene como uno de sus objetivos prioritarios en su numeral 6 "Relevancia del objetivo prioritario 1.- Ejecutar el Proyecto Prioritario Integral Tren Maya para mejorar la conectividad, movilidad y el desarrollo integral sostenible del sureste";
17. Que, del 29 de mayo de 2020 al 7 de julio de 2023, se suscribieron diversos convenios de ocupación previa con los ejidatarios afectados del ejido "Escárcega", respecto de tierras de uso parcelado. En sendos convenios, se autorizó ocupar a título gratuito las superficies objeto de los mismos hasta la expedición del decreto respectivo, así como realizar un pago inmediato como anticipo a cuenta de la indemnización que proceda una vez decretada la expropiación;
18. Que FONATUR Tren Maya, S.A. de C.V., mediante oficio número DJ/APAT/275/2023, de 15 de mayo de 2023, solicitó al titular de la Secretaría de Desarrollo Agrario, Territorial y Urbano (Sedatu) la expropiación de la superficie de 25-66-27.48 ha del ejido "Escárcega", municipio de Escárcega, estado de Campeche, para destinarla a la construcción de obras de infraestructura ferroviaria, operación del proyecto Tren Maya y sus obras complementarias. Tramo 1 Palenque-Escárcega;
19. Que, la Dirección General de Ordenamiento de la Propiedad Rural (DGOPR) de la Sedatu, el 24 de mayo de 2023, emitió acuerdo de instauración del procedimiento de expropiación con número de expediente DGOPR-DE/SOE-04CC/0052FONATUR TREN MAYA, S.A. de C.V/2023;
20. Que FONATUR Tren Maya, S.A. de C.V., mediante oficio DJ/APAT/698/2023 de 26 de junio de 2023, precisó que la superficie correcta que se solicita expropiar al ejido "Escárcega" es de 25-85-91.97 ha;
21. Que, el 30 de junio de 2023, la DGOPR emitió acuerdo que regularizó el procedimiento expropiatorio y precisó que la superficie a expropiar al ejido "Escárcega" es de 25-85-91.97 ha;
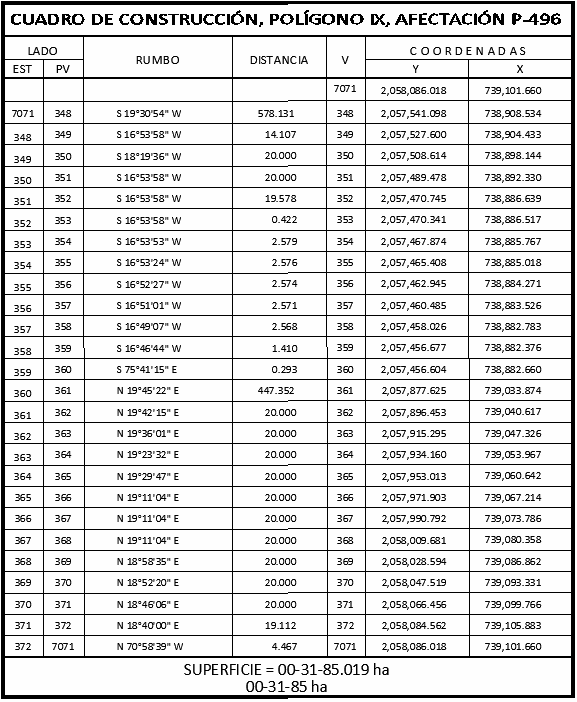
22. Que el comisionado técnico del RAN y el comisionado agrario de la Sedatu rindieron el "informe de comisión de Trabajos Técnicos e Informativos de Expropiación", de 28 de julio de 2023, en el que señalan que la superficie real a expropiar al ejido "Escárcega", municipio de Escárcega, estado de Campeche es de 25-70-55 ha de uso parcelado, que se describen en los siguientes planos y cuadros de construcción:
Asimismo, señala que las tierras de uso parcelado son las siguientes:
| Núm. | Núm. Parcela | Calidad agraria | Calidad de la Tierra | Polígono en el que se localiza | Sup. Afectada (ha) |
| 1. | 673 | Avecindado | Temporal | III | 00-30-61 |
| 2. | 541 | Ejidatario | Temporal | VII | 00-11-12 |
| 3. | 496 | Posesionario | Temporal | IX | 00-31-85 |
| 4. | 536 | Avecindado | Temporal | VII, VIII | 00-59-92 |
| 5. | 593 | Posesionario | Temporal | V | 00-13-97 |
| 6. | 704 | Avecindado | Temporal | I | 01-35-16 |
| 7. | 717 | Posesionario | Temporal | I | 01-66-86 |
| 8. | 592 | Ejidatario | Temporal | IV | 00-21-16 |
| 9. | 548 | Avecindado | Temporal | VI | 00-20-42 |
| 10. | 718 | Avecindado | Temporal | II | 00-24-31 |
| 11. | 719 | Avecindado | Temporal | II | 00-19-70 |
| 12. | 668 | Avecindado | Temporal | I | 00-50-12 |
| 13. | 573 | Avecindado | Temporal | IV | 00-10-61 |
| 14. | 705 | Avecindado | Temporal | II | 00-32-27 |
| 15. | 714 | Ejidatario | Temporal | I | 01-06-18 |
| 16. | 607 | Posesionario | Temporal | IV | 17-07-03 |
| 17. | 716 | Posesionario | Temporal | I | 00-98-20 |
| 18. | 690 | Avecindado | Temporal | I | 00-31-06 |
Superficie total a expropiar de uso parcelado (individual): 25-70-55 ha
23. Que a los afectados del ejido "Escárcega" se les notificaron el 26 de septiembre de 2023, la solicitud de expropiación, el oficio de alcance a la solicitud de expropiación, de 26 de junio de 2023, el acuerdo de instauración, el acuerdo de regularización, de 30 de junio de 2023, y la superficie real a expropiar. Asimismo, se les informó que contaban con 10 días hábiles para que manifestaran lo que a sus intereses conviniera. En dicho plazo no realizaron manifestaciones;
24. Que la Dirección General de Ordenamiento Territorial de la Sedatu, el 24 de octubre de 2023, emitió opinión técnica condicionada número SOTA/DGOT/077/CHIS.CAM.TAB/FONATUR TM1/001/2023 respecto del procedimiento de expropiación a favor de FONATUR Tren Maya S.A. DE C.V., que incluye la superficie de 25-70-55 ha relativas al ejido "Escárcega", municipio de Escárcega, estado de Campeche;
25. Que el 26 de febrero de 2024, el Instituto de Administración y Avalúos de Bienes Nacionales (Indaabin) emitió el dictamen valuatorio y anexo único, con número secuencial 04-24-140 y genérico G-38386-ZND, en el que determinó, con base en el valor comercial de la superficie a expropiar, que el monto total de indemnización asciende a $10,921,873.39 (diez millones novecientos veintiún mil ochocientos setenta y tres pesos 39/100 M.N.);
26. Que la DGOPR, el 17 de abril de 2024, emitió dictamen en el que determinó procedente la expropiación de la superficie a que se refiere el numeral 22 a favor de FONATUR Tren Maya S.A. de C.V. para destinarse a la construcción de obras de infraestructura ferroviaria y operación del proyecto Tren Maya y sus obras complementarias, y
CONSIDERANDO
I. Que, de conformidad con los artículos 27, párrafos primero y segundo, de la CPEUM; 93, fracciones I y VII, y 94 de la Ley Agraria, y 75 del RLAMOPR, procede, mediante indemnización y previo decreto expedido por el titular del Ejecutivo Federal publicado en el DOF, la expropiación por causa de utilidad pública, como lo es la construcción de obras de infraestructura ferroviaria, operación del Proyecto Tren Maya y sus obras complementarias;
II. Que la superficie de 25-70-55 ha de uso parcelado, pertenecientes al ejido "Escárcega", municipio de Escárcega, estado de Campeche, se solicitó para destinarse a la construcción de obras de infraestructura ferroviaria, operación del Proyecto Tren Maya y sus obras complementarias, así como a la prestación del servicio público de transporte de carga ferroviaria y de pasajeros. Como consecuencia, se acreditan las causas de utilidad pública del establecimiento, explotación o conservación de un servicio o función públicos, y de la construcción de puentes, carreteras, ferrocarriles y demás obras que faciliten el transporte, previstas en el artículo 93, fracciones I y VII, respectivamente, de la Ley Agraria;
III. Que la construcción de obras de infraestructura ferroviaria, operación del Proyecto Tren Maya y sus obras complementarias son acordes con el Plan Nacional de Desarrollo 2019-2024, toda vez que se prestará un servicio público de transporte de pasajeros para el beneficio del turismo nacional y extranjero, así como de transporte de carga ferroviario para acelerar el comercio de la península, lo que facilitará el intercambio de mercancías con el resto del país y diversificará los puntos turísticos de la región para generar una derrama económica. Como consecuencia, se generarán oportunidades laborales y se redistribuirá la riqueza a lo largo de la península; se dará protección y rehabilitación a las áreas naturales protegidas y a los sitios patrimoniales. De igual forma, el Tren Maya funcionará como corredor humanitario por medio del cual se entregarán apoyos alimentarios, médicos, etc. para las comunidades indígenas y pueblos marginados del sureste mexicano; tendrá un flujo constante, y solo por su conducto, se podrá llegar a dichos poblados de manera pronta y eficaz; su ubicación geográfica es fundamental para salvaguardar las costas y la zona fronteriza con Centroamérica;
IV. Que, de diversos documentos contenidos en el expediente de expropiación número DGOPR-DE/SOE-04CC/0052FONATUR TREN MAYA, S.A. de C.V/2023, se advierte que la superficie que se solicitó expropiar al ejido "Escárcega" fue de 25-85-91.97 ha; sin embargo, una vez realizados los trabajos técnicos, resultó que la superficie real es de 25-70-55 ha de uso parcelado, como consta en el informe de comisión de Trabajos Técnicos e Informativos de Expropiación, ya referido, motivo por el cual la superficie a expropiar al ejido "Escárcega", municipio de Escárcega, estado de Campeche debe ser 25-70-55 ha;
V. Que se otorgó garantía de audiencia a los afectados del ejido "Escárcega", municipio de Escárcega, estado de Campeche, como se acredita con las constancias que obran en el expediente DGOPR-DE/SOE-04CC/0052FONATUR TREN MAYA, S.A. de C.V/2023, con lo que se dio cumplimiento a los artículos 14 y 16 de la CPEUM y 65 del RLAMOPR;
VI. Que queda acreditado, asimismo, que se ha cumplido con lo dispuesto en los artículos 94 de la Ley Agraria y 70 del RLAMOPR, ya que el Indaabin emitió dictamen valuatorio, el 26 de febrero de 2024, en el cual determinó que el monto de indemnización, con base al valor comercial de la superficie a expropiar, es de $10,921,873.39 (diez millones novecientos veintiún mil ochocientos setenta y tres pesos 39/100 M.N.). Con base en dicho avalúo, procede pagar la indemnización al ejido por las tierras de uso común y a los titulares de las parcelas afectadas, en la que debe considerarse el pago anticipado que se haya hecho, en la inteligencia de que los bienes objeto de la expropiación solo podrán ser ocupados de manera definitiva, mediante el pago que se efectúe a las personas que acrediten tener derecho sobre tierras de uso parcelado en la proporción que corresponda;
VII. Que, de conformidad con el artículo 97 de la Ley Agraria, en caso de que los bienes expropiados se destinen a un fin distinto al señalado en el decreto respectivo, o si transcurrido un plazo de 5 años no se ha cumplido con la causa de utilidad pública, el Fideicomiso Fondo Nacional de Fomento Ejidal podrá ejercer las acciones necesarias para reclamar la reversión parcial o total, según corresponda, de los bienes expropiados, y operar la incorporación de estos a su patrimonio, y
VIII. Que, al quedar plenamente acreditado que el procedimiento de expropiación se ha tramitado ante la Sedatu y son justificadas las causas de utilidad pública que se hacen valer, se ha cumplido con los artículos 93, 94 y 95 de la Ley Agraria, y 60, 61, 63, 65, 67, 70, 72, 73, 74 y 75 del RLAMOPR, he tenido a bien expedir el siguiente
DECRETO
PRIMERO. Se expropia por causa de utilidad pública la superficie de 25-70-55 ha (veinticinco hectáreas, setenta áreas, cincuenta y cinco centiáreas) de uso parcelado del ejido "Escárcega", municipio de Escárcega, estado de Campeche, a favor de FONATUR Tren Maya, S.A. de C.V., para destinarla a la construcción de obras de infraestructura ferroviaria, operación del Proyecto Tren Maya y sus obras complementarias.
SEGUNDO. Queda a cargo de FONATUR Tren Maya, S.A. de C.V. pagar por concepto de indemnización por la superficie que se expropia la cantidad de $10,921,873.39 (diez millones novecientos veintiún mil ochocientos setenta y tres pesos 39/100 M.N.) señalada en el avalúo emitido por el Instituto de Administración y Avalúos de Bienes Nacionales, y en los términos señalados en la parte considerativa del presente decreto.
TERCERO. Cuando FONATUR Tren Maya, S.A. de C.V. haya acreditado el pago o depósito de la indemnización señalada en el numeral anterior, la Secretaría de Desarrollo Agrario, Territorial y Urbano procederá a su ejecución.
CUARTO. Publíquese en el Diario Oficial de la Federación e inscríbase en el Registro Agrario Nacional, en el Registro Público de la Propiedad Federal y en el Registro Público de la Propiedad estatal o municipal correspondiente. Notifíquese y ejecútese.
Dado en la residencia del Poder Ejecutivo Federal, en Ciudad de México a 30 de agosto de 2024.- Andrés Manuel López Obrador.- Rúbrica.- Secretario de Desarrollo Agrario, Territorial y Urbano, Román Guillermo Meyer Falcón.- Rúbrica.- Secretario de Turismo, Miguel Tomás Torruco Marqués.- Rúbrica.