NORMA Oficial Mexicana NOM-259-SE-2022, Sistemas para medición y despacho de Gas L.P., requisitos y especificaciones.

Al margen un sello con el Escudo Nacional, que dice: Estados Unidos Mexicanos.- ECONOMÍA.- Secretaría de Economía.- Unidad de Normatividad, Competitividad y Competencia.- Dirección General de Normas.- NOM-259-SE-2022.

NORMA OFICIAL MEXICANA NOM-259-SE-2022, SISTEMAS PARA MEDICIÓN Y DESPACHO DE GAS L.P., REQUISITOS Y ESPECIFICACIONES.
JULIO ELOY PÁEZ RAMÍREZ, Director General de Normas y Presidente del Comité Consultivo Nacional de Normalización de la Secretaría de Economía (CCONNSE), con fundamento en los artículos 34, fracciones II, XIII y XXXIII de la Ley Orgánica de la Administración Pública Federal; 4 de la Ley Federal de Procedimiento Administrativo; 3, fracción XI, 38, fracciones II y IX, 39, fracciones V y XII, 40, fracción IV, 41, 47, fracción IV de la Ley Federal sobre Metrología y Normalización; 28 y 34 del Reglamento de la Ley Federal sobre Metrología y Normalización; Tercero y Cuarto Transitorios del Decreto por el que se expide la Ley de Infraestructura de la Calidad y se abroga la Ley Federal sobre Metrología y Normalización; 36, fracciones I, II, IX y X del Reglamento Interior de la Secretaría de Economía, y
CONSIDERANDO
Que es facultad de la Secretaría de Economía procurar las medidas que sean necesarias para garantizar que los productos que se comercialicen en el territorio nacional contengan los requisitos necesarios con el fin de garantizar la protección de la vida, salud y seguridad del consumidor;
Que con fecha 12 de mayo de 2021, el Comité Consultivo Nacional de Normalización de la Secretaría de Economía (CCONNSE) aprobó la publicación en el Diario Oficial de la Federación del Proyecto de Norma Oficial Mexicana PROY-NOM-259-SE-2021, Sistemas para medición y despacho de Gas L.P., requisitos y especificaciones, la cual se realizó el día 12 de mayo de 2022, con el objeto de que las personas interesadas presentaran sus comentarios;
Que durante el plazo de 60 días naturales contados a partir de la fecha de publicación de dicho Proyecto de Norma Oficial Mexicana, el Análisis de Impacto Regulatorio a que se refiere el artículo 45 de la Ley Federal sobre Metrología y Normalización, estuvo a disposición del público en general para su consulta; y que dentro del mismo plazo, las personas interesadas presentaron comentarios sobre el contenido del citado Proyecto de Norma Oficial Mexicana, mismos que fueron analizados y estudiados por un grupo de trabajo aprobado e instalado por el CCONNSE, realizándose las modificaciones conducentes al Proyecto de Norma Oficial Mexicana;
Que con fecha 24 de agosto de 2022, durante la Décima Segunda Sesión Extraordinaria el CCONNSE aprobó la Norma Oficial Mexicana NOM-259-SE-2022, Sistemas para medición y despacho de Gas L.P., requisitos y especificaciones;
Que una de las áreas de oportunidad que esta Dependencia ha detectado, se encuentra en la modificación de las Normas Oficiales Mexicanas. El Proyecto de Norma Oficial Mexicana PROY-NOM-019-SE-2020, Equipos de tecnologías de la información y sus equipos asociados, así como equipo de uso de oficina-Requisitos de seguridad, una vez que se encuentre vigente, cancelará las disposiciones vigentes de la Norma Oficial Mexicana NOM-019-SCFI-1998.
Que en tanto, el Proyecto de Norma Oficial Mexicana PROY-NOM-064-SE-2020, Productos eléctricos - luminarios para uso en interiores y exteriores - especificaciones de seguridad y métodos de prueba, dejaría sin efecto la regulación vigente, la NOM-064-SCFI-2000. En ambos casos, se comprobó que existe una disminución en los costos de cumplimiento para los particulares y un ahorro neto disponible de 56 millones 894 mil 33 pesos y de 145 millones 205 mil 160 pesos, respectivamente. En suma, aún se contaría con saldo positivo en ahorro neto por 202 millones 99 mil 193 pesos.
Que con base en lo expuesto se solicita amablemente a la Comisión que, de dichos ahorros, sea considerado 1 millón de pesos de ahorros netos en costos para la presente propuesta regulatoria, a fin de acreditar el cumplimiento del requerimiento de simplificación establecido en el artículo 78 de la LGMR. En la Tabla 1 se muestran los costos de la regulación que ascienden a 3 millones 182 mil 96 pesos, los ahorros utilizados del PROY-NOM-019-SE-2020 y del PROY-NOM-064-SCFI-2000 representan un total de 3 millones 682 mil 96 pesos, por lo que, los ahorros netos en costos de cumplimiento corresponden a 500 mil pesos con lo que se comprueba el supuesto del artículo 78 de la Ley General de Mejora Regulatoria.
Que el Análisis de Impacto Regulatorio a que hace referencia el Capítulo III, del Título Tercero de la Ley General de Mejora Regulatoria, fue sometido a la consideración de la Comisión Nacional de Mejora Regulatoria, emitiéndose el Dictamen Final por parte de dicha Comisión el 17 de mayo de 2024, a través del oficio No. CONAMER/24/2218, y
Que la Ley Federal sobre Metrología y Normalización establece que las Normas Oficiales Mexicanas tienen como finalidad establecer las características y/o especificaciones relacionadas con los instrumentos para medir, los patrones de medida y sus métodos de medición, verificación, calibración y trazabilidad, por consiguiente, se expide la siguiente Norma Oficial Mexicana NOM-259-SE-2022, Sistemas para medición y despacho de Gas L.P., requisitos y especificaciones. SINEC-20220824125658151.
Ciudad de México, a 23 de mayo de 2024.- Director General de Normas y Presidente del Comité Consultivo Nacional de Normalización de la Secretaría de Economía, Julio Eloy Páez Ramírez.- Rúbrica.
NORMA OFICIAL MEXICANA NOM-259-SE-2022, SISTEMAS PARA MEDICIÓN Y DESPACHO DE GAS
L.P., REQUISITOS Y ESPECIFICACIONES
PREFACIO
La elaboración de la presente Norma Oficial Mexicana es competencia del Comité Consultivo Nacional de Normalización de la Secretaría de Economía (CCONNSE), integrado por:
·   Secretaría de Economía.
·   Secretaría de Salud.
·   Secretaría del Trabajo y Previsión Social.
·   Secretaría de Medio Ambiente y Recursos Naturales.
·   Secretaría de Agricultura y Desarrollo Rural.
·   Secretaría de Infraestructura, Comunicaciones y Transportes.
·   Secretaría de Turismo.
·   Secretaría de Bienestar.
·   Secretaría de Gobernación.
·   Secretaría de Energía.
·   Centro Nacional de Metrología.
·   Comisión Federal de Competencia Económica.
·   Procuraduría Federal del Consumidor.
·   Instituto Mexicano del Transporte.
·   Cámara Nacional de la Industria de Transformación.
·   Confederación de Cámaras Nacionales de Comercio, Servicios y Turismo.
·   Confederación de Cámaras Industriales de los Estados Unidos Mexicanos.
·   Asociación Nacional de Tiendas de Autoservicio y Departamentales, A.C.
·   Asociación Nacional de Importadores y Exportadores de la República Mexicana, A.C.
·   Cámara de Comercio de la Ciudad de México.
·   Consejo Nacional Agropecuario.
·   Universidad Nacional Autónoma de México.
·   Instituto Politécnico Nacional.
Asimismo, con el objeto de elaborar la presente Norma Oficial Mexicana, se constituyó un Grupo de Trabajo con la participación voluntaria de los siguientes actores:
·   Asociación de Distribuidores de Gas L.P., A.C.
·   Asociación de Distribuidores de Gas LP del Interior, A.C.
·   Asociación de Distribuidores de Gas L.P. del Noreste, A.C.
·   Asociación Mexicana de Distribuidores de Gas Licuado y Empresas Conexas, A.C.
·   Asociación Mexicana de Profesionales en Gas, A.C.
·   Agencia Nacional de Seguridad Industrial y de Protección al Medio Ambiente del Sector Hidrocarburos
·   Cámara Nacional de la Industria de Transformación
·   Cámara Regional del Gas, A.C.
·   Centro Nacional de Metrología
·   Certificadora Mexicana Internacional, S.A.P.I. de C.V.
·   Comisión Reguladora de Energía
·   Entidad de Verificación, S.A. de C.V.
·   Gasoductos y Estaciones del Norte, S.A. de C.V.
·   Normalización y Certificación NYCE, S.C.
·   Petrotec Inovacao e Industria, S.A.
·   Procuraduría Federal del Consumidor.
o     Dirección General de Verificación de Combustibles
·   Secretaría de Economía
o     Dirección General de Normas
·   Secretaría de Energía
·   Secretaría de Infraestructura, Comunicaciones y Transportes
·   SERSI, S.A. de C.V.
ÍNDICE DEL CONTENIDO
1.     Objetivo y campo de aplicación.
2.     Referencias normativas.
3.     Términos y definiciones.
4.     Componentes generales de los sistemas para medición y despacho de Gas L.P.
5.     Requisitos Generales de los sistemas para medición y despacho de Gas L.P.
6.     Especificaciones de funcionamiento para los dispositivos de medición y sus dispositivos asociados, auxiliares y adicionales.
7.     Control metrológico.
8.     Información comercial.
9.     Verificación y Vigilancia.
10.   Procedimiento de Evaluación de la conformidad.
11.   Concordancia con Normas Internacionales.
       Apéndice A (normativo). Plataforma de Vigilancia Permanente.
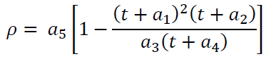
       Apéndice B (informativo). Estimación de los factores de corrección para el fluido de trabajo.
       Apéndice C (informativo). Traducción de los numerales referidos en el numeral 7.4.1 de la Norma Oficial Mexicana, respecto de la IEC 60079-11 Edición 6.0 2011-06 Atmósferas explosivas - Parte 11: Protección de equipos por seguridad intrínseca "i" Hoja de interpretación 4.
12.   Bibliografía.
       TRANSITORIOS.
1. Objetivo y campo de aplicación
Esta Norma Oficial Mexicana establece las especificaciones y los requisitos metrológicos y técnicos aplicables a los sistemas para medición y despacho de Gas L.P. en su fase líquida, independiente de su principio de operación, los cuales se utilizan en todas las transacciones comerciales efectuadas en auto-tanques, estaciones de servicio con fin específico y multimodales en territorio nacional.
Las disposiciones establecidas en esta Norma Oficial Mexicana son de observancia obligatoria para los sistemas para medición y despacho de Gas L.P. en fase liquida fabricados, importados, comercializados y que se utilicen en la distribución y comercialización de Gas L.P. en el territorio de los Estados Unidos Mexicanos.
La verificación y vigilancia de esta Norma Oficial Mexicana será obligatoria en el territorio nacional para todos:
a)    Los comercializadores de los sistemas para medición y despacho de Gas L.P. en su fase líquida;
b)    Los permisionarios de distribución de Gas L.P. que utilicen los sistemas para medición y despacho de Gas L.P. en su fase líquida en auto-tanques, y
c)    Los permisionarios de expendio al público en estaciones de servicio con fin específico y multimodales de Gas L.P.
2. Referencias normativas
Los siguientes documentos normativos vigentes o los que los sustituyan, son indispensables para la aplicación de esta Norma Oficial Mexicana:
2.1 Norma Oficial Mexicana NOM-001-SCFI-2018, Aparatos electrónicos-Requisitos de seguridad y métodos de prueba (cancela a la NOM-001-SCFI-1993), publicada en el Diario Oficial de la Federación el 17 de septiembre de 2019.
2.2 Norma Oficial Mexicana NOM-001-SEDE-2012, Instalaciones Eléctricas-(Utilización), publicada en el Diario Oficial de la Federación el 29 de noviembre de 2012.
2.3 Norma Oficial Mexicana NOM-003-SEDG-2004, Estaciones de gas L.P. para carburación. Diseño y construcción, publicada en el Diario Oficial de la Federación el 28 de abril de 2005.
2.4 Norma Oficial Mexicana NOM-007-SESH-2010, Vehículos para el transporte y distribución de Gas L.P.-Condiciones de seguridad, operación y mantenimiento, publicada en el Diario Oficial de la Federación el 11 de julio de 2011.
2.5 Norma Oficial Mexicana NOM-008-SCFI-2002, Sistema General de Unidades de Medida, publicada en el Diario Oficial de la Federación el 27 de noviembre de 2002.
2.6 Norma Mexicana NMX-Z-12/2-1987, Muestreo para la inspección por atributos-Parte 2: Métodos de muestreo, tablas y gráficas. Declaratoria de vigencia publicada en el Diario Oficial de la Federación el 28 de octubre de 1987.
2.7 Norma Mexicana NMX-CH-140-IMNC-2002, Guía para la expresión de Incertidumbre en las Mediciones (cancela a la NMX-CH-140-1996-IMNC), Declaratoria de vigencia publicada en el Diario Oficial de la Federación el 17 de febrero de 2003.
2.8 Norma Mexicana NMX-EC-17025-IMNC-2018, Requisitos generales para la competencia de los laboratorios de ensayo y calibración (Cancelará a la NMX-EC-17025-IMNC-2006), Declaratoria de vigencia publicada en el Diario Oficial de la Federación el 9 de agosto de 2018.
2.9 IEC 60079-11:2023, Explosive atmospheres - Part 11: Equipment protection by intrinsic safety "i".
2.10 Recomendación OIML R-117-1: Sistemas Dinámicos de Medición para líquidos diferentes al agua. Parte 1: Requisitos técnicos y metrológicos. Edición 2007 (E).
3. Términos y definiciones
Para los propósitos de esta Norma Oficial Mexicana, se aplican los términos y definiciones siguientes:
3.1 accesorios
dispositivos utilizados para instalar, acoplar y conectar los dispositivos de medición e instrumentos asociados; regular y controlar el gasto del Gas L.P. a través de las tuberías. Pueden ser: tuberías, niples,
coples, válvulas, reguladores, filtros, entre otros.
3.2 ajuste de un sistema para medición y despacho de Gas L.P.
conjunto de operaciones realizadas sobre un instrumento de medida y/o sistema para medición y despacho de Gas L.P., para que proporcione indicaciones preestablecidas, correspondientes a valores dados de la magnitud a medir.
El ajuste a ceros de un sistema para medición y despacho de Gas L.P. proporcionará una indicación nula cuando la magnitud a medir tenga valor cero.
3.3 aprobación de modelo o prototipo
validación del cumplimiento de especificaciones y requerimientos técnicos referidos en las Normas Oficiales Mexicanas y/o estándares aplicables, que emite el Centro Nacional de Metrología para un modelo o prototipo de un instrumento para medir sujeto a control metrológico legal. La aprobación de modelo o prototipo obtenida por un fabricante, importador o comercializador, le permite la comercialización del instrumento de medición en territorio nacional.
3.4 aprobación del modelo
documento oficial de aprobación emitido por el Centro Nacional de Metrología, a través del cual se acredita el cumplimiento de los requisitos metrológicos y técnicos establecidos en esta Norma Oficial Mexicana, respecto de un modelo de sistema para medición y despacho de Gas L.P., con base en un informe de evaluación.
3.5 autenticación de programas de cómputo
comprobación de que el o los programas de cómputo que operan el sistema para medición y despacho de Gas L.P., corresponden a los aprobados por la Secretaría.
3.6 bitácora de eventos
registros de todos los accesos a los dispositivos de medición, configuración y ajustes del sistema para medición y despacho de Gas L.P.
3.7 bomba
dispositivo cuya función es trasegar el Gas L.P. a través del sistema para medición y despacho de Gas L.P.
3.8 calculador
componente del medidor que recibe las señales de salida del dispositivo de medición y, en su caso, de los dispositivos asociados de medición, los procesa y almacena los resultados en la memoria hasta que sean utilizados.
NOTA: Pueden existir otros dispositivos auxiliares, por ejemplo, computadores de gasto que puedan realizar funciones similares.
3.9 cantidad mínima medible (MMQ)
el volumen o masa mínimo que el sistema para medición y despacho de Gas L.P. tiene la capacidad de medir.
En sistemas de medición previstos para operaciones de entrega, la cantidad más pequeña es conocida como la entrega mínima; en aquellos previstos para operaciones de recepción, es conocida como el recibo mínimo.
3.10 características de confiabilidad
son aquellas que facilitan la verificación e inspección de la legalidad y operación en los sistemas para medición y despacho de Gas L.P.
NOTA: Las características de confiabilidad pueden ser: irremovilidad de circuitos integrados, autenticación de programas de cómputo, bitácora de eventos, entre otras.
3.11 condiciones base
condiciones especificadas a las cuales será llevada la cantidad medida de Gas L.P.
3.12 condiciones de medición
los valores de las condiciones que caracterizan al líquido durante su medida en el punto de medición.
3.13 condiciones de referencia
conjunto de valores de referencia (presión y temperatura), establecidas para pruebas de desempeño de un medidor.
3.14 condiciones nominales de operación
condiciones de operación del sistema para medición y despacho de Gas L.P., dentro del intervalo de valores de presión y temperatura que permite mantener las características metrológicas adecuadas dentro de los errores máximos tolerados.
3.15 dispositivo de ajuste electrónico
elemento que permite ajustar electrónicamente las indicaciones de la cantidad de Gas L.P., del sistema para medición y despacho de Gas L.P., empleando la información obtenida durante el proceso de ajuste.
3.16 dispositivo de control de gasto
elemento que regula el flujo a valores dentro del intervalo de operación establecido en el sistema para medición y despacho de Gas L.P.
3.17 dispositivo de corrección
elemento conectado o incorporado al calculador para corregir automáticamente la cantidad medida al momento de la medición, tomando en cuenta el gasto y/o las condiciones de medición del Gas L.P. (temperatura, presión, entre otras) y las curvas o tablas de calibración preestablecidas.
3.18. dispositivo de eliminación de gases
detector de gases, conectado a un dispositivo y/o mecanismo que asegure las condiciones de medición para el suministro en fase líquida.
3.19 dispositivo de medición
parte del sistema para medición y despacho de Gas L.P. que convierte la señal de la cantidad de líquido medida en una indicación que representa volumen o masa, destinada al calculador.
3.20 dispositivo de medición asociado
dispositivo conectado al calculador o al dispositivo de corrección, que durante la medición de las condiciones de medición (temperatura, presión, entre otras) del Gas L.P., genera información que se convierte en señales destinadas al calculador, con el objetivo de hacer una corrección. Incluye el sensor asociado de medición y el transductor asociado de medición.
3.21 dispositivo de predeterminación
interfaz que permite el ingreso de los parámetros de configuración y datos de despacho al sistema de medición (calculador) ya sea de forma física o digital.
3.22 dispositivos adicionales
componentes que facilitan las operaciones de medición y evitan afectaciones en las mediciones.
3.23 dispositivos auxiliares
cualquier componente con funciones específicas no relacionadas con las mediciones.
3.24 distribuidor de Gas L.P. por auto-tanque
permisionario que realiza la actividad de distribución en instalaciones de aprovechamiento de usuario o usuarios finales de Gas L.P.
3.25 empaque (o llenado de línea)
proceso mediante el cual se desplaza el aire o gas inerte existente en una línea de suministro, reemplazándolo por Gas L.P.
3.26 error de repetibilidad
diferencia entre el resultado más grande y más pequeño de mediciones sucesivas de un mismo valor de gasto, realizadas bajo las mismas condiciones.
3.27 Error Máximo Tolerado (EMT)
valor extremo del error de medida, con respecto a un valor de referencia conocido, de acuerdo a lo que se establece en el numeral 5.4 de esta Norma Oficial Mexicana.
3.28 filtro
dispositivo para prevenir el paso de partículas hacia los dispositivos de medición y dispositivos adicionales.
3.29 fluido de trabajo
líquido con el cual se efectuarán las pruebas en laboratorio para los sistemas para medición y despacho de Gas L.P., el cual debe ser agua o Gas L.P. en fase líquida.
3.30 Gas L.P.
Gas Licuado de Petróleo.
3.31 gasto másico
masa de fluido que circula a través de una sección de conducto por unidad de tiempo, expresado en kg/min.
3.32 gasto volumétrico
magnitud correspondiente al fenómeno de gasto, cuyas unidades se expresan en L/min.
3.33 indicador
parte del sistema para medición y despacho de Gas L.P. que muestra los resultados de la medición corregida de la magnitud despachada en unidades de litros, así como el precio unitario del Gas L.P., y el importe total de la venta de cada operación.
3.34 inspección
constatación ocular o comprobación mediante muestreo, medición, pruebas de laboratorio o examen de documentos que se realiza por las unidades de inspección para evaluar la conformidad en un momento determinado a petición de parte interesada.
3.35 inspección extraordinaria
aquella que, no siendo inicial o periódica, se realiza respecto de las características de funcionamiento y uso de los sistemas para medición y despacho de Gas L.P. para determinar si operan de conformidad con las características metrológicas establecidas en la presente Norma Oficial Mexicana cuando lo soliciten los usuarios de los mismos o cuando pierdan su condición de instrumento verificado o cuando así lo determine la autoridad competente.
3.36 inspección inicial
aquella que, por primera ocasión y antes de su utilización para transacciones comerciales o para determinar el precio de un bien o un servicio, debe realizarse respecto de las características de funcionamiento y uso de los sistemas para medición y despacho de Gas L.P., para determinar si operan de conformidad con las características metrológicas establecidas en la presente Norma Oficial Mexicana.
3.37 inspección periódica
aquella que, una vez concluida la vigencia de la inicial, se debe realizar en los intervalos de tiempo establecidos en esta Norma Oficial Mexicana.
3.38 interfaz de comunicación
puerto que permite el intercambio de información, entre el sistema para medición y despacho de Gas L.P., y algún otro sistema de comunicación.
3.39 interruptor de acceso al modo de ajuste
dispositivo eléctrico que permite ingresar al modo de ajuste electrónico del sistema para medición y despacho de Gas L.P.
3.40 irremovilidad de circuitos integrados
característica lograda por un circuito integrado encapsulado o una tarjeta electrónica principal con sistema basado en circuito de montaje de superficie.
3.41 manguera de descarga
conducto flexible que sirve para conducir Gas L.P., desde la salida del sistema para medición y despacho de Gas L.P. para el suministro mediante la válvula de descarga en el vehículo o recipiente.
3.42 material autoextinguible
aquel que sometido a una fuente de ignición arde pero que una vez retirada ésta no mantiene la ignición y se extinguen las llamas.
3.43 material dieléctrico
elemento que no conduce la electricidad y aísla eléctricamente.
3.44 medidor
aparato diseñado para medir volumen y/o masa de Gas L.P. en estado líquido. Un medidor se compone por un dispositivo de medición, un dispositivo de corrección, un dispositivo de ajuste, un calculador y un dispositivo indicador.
3.45 patrón de referencia
patrón designado para la calibración de patrones de magnitudes de la misma naturaleza, en una organización o lugar dado.
3.46 Procuraduría
Procuraduría Federal del Consumidor.
3.47 pulsador
dispositivo electrónico integrado por sensores y, en su caso, transductores, acoplado al eje del dispositivo de medición, que convierte el movimiento mecánico en pulsos eléctricos.
3.48 punto de fractura
punto de separación constituido por una ranura perimetral en un niple de tubería rígida o en una válvula de llenado, con objeto de provocar su separación completa en dos partes. Este tiene la finalidad de actuar cuando se aplica una fuerza imprevista en caso de que se mueva el vehículo accidentalmente, estando conectada la manguera.
3.49 punto de transferencia
punto de conexión donde se considera que el Gas L.P. ha sido entregado.
3.50 Secretaría
Secretaría de Economía.
3.51 selector de modo de despacho y cantidad
teclado para establecer el despacho de Gas L.P., en términos de volumen, masa o importe de la venta que solicita el consumidor, este puede formar parte del calculador.
3.52 separador mecánico
dispositivo que ha sido diseñado para impedir la liberación de Gas L.P. al ambiente, al separarse dos tramos de manguera de una toma de suministro; asimismo, tiene la finalidad de actuar cuando se aplica una fuerza imprevista, en caso de que se mueva el vehículo accidentalmente estando conectada la manguera.
3.53 sistema para medición y despacho de Gas L.P.
conjunto de dispositivos y mecanismos utilizados para medir y despachar en forma automática la cantidad de Gas L.P. en fase líquida, independientemente de su principio de operación. Este sistema consta de un medidor, dispositivos asociados, auxiliares y adicionales que permiten convertir el resultado de la medición en un importe a pagar en una transacción comercial entre un permisionario y un usuario o usuario final.
NOTA: Los principios de operación pueden ser de tipo desplazamiento positivo, Coriolis, turbina, ultrasónico, entre otros.
3.54 suma de comprobación
cadena de 32 caracteres en formato hexadecimal, resultante del algoritmo de reducción criptográfica MD5 y que sirve para comprobar la autenticidad del programa de cómputo con que operan los sistemas para medición y despacho de Gas L.P.
3.55 totalizadores
aquel que indica los datos de las transacciones, como son: volumen, masa, monto, entre otros datos. Los totalizadores son de dos tipos:
3.55.1 totalizador acumulado
aquél que indica la cantidad de combustible de los despachos de Gas L.P. por manguera de descarga.
3.55.2 totalizador instantáneo
indica la lectura no acumulable de la cantidad de combustible despachado de Gas L.P. por manguera de descarga.
3.56 unidad de inspección
persona física o moral debidamente acreditada y aprobada que realiza actos de inspección consistentes en la constatación ocular o comprobación mediante muestreo, medición, pruebas de laboratorio o examen de documentos para efectos de evaluar la conformidad en un momento determinado a petición de la parte interesada respecto de esta Norma Oficial Mexicana.
3.57 válvula de descarga
dispositivo que permite realizar el despacho de Gas L.P.
3.58 válvula de exceso de flujo
dispositivo mecánico de acción automática que cierra cuando el flujo en estado líquido o vapor, excede el valor del gasto indicado en el cálculo.
3.59 válvula de relevo hidrostático
dispositivo mecánico de operación automática utilizado para liberar el exceso de presión hidrostática en los tramos de tubería y manguera de suministro de Gas L.P. en fase líquida, abriéndose al alcanzar un valor predeterminado y cerrándose al caer la presión por debajo de dicho valor.
3.60 válvula interna
dispositivo instalado directamente en un cople del recipiente no transportable, que está constituido por una válvula de exceso de flujo integrada a una válvula de cierre rápido, con accionamiento a control remoto.
3.61 verificación por autoridad competente
aquella que realiza la Procuraduría a los sistemas para medición y despacho de Gas L.P. que se utilizan en las transacciones comerciales efectuadas en auto-tanques, estaciones de servicio con fin específico y multimodales en el territorio nacional.
4. Componentes generales de los sistemas para medición y despacho de Gas L.P.
4.1 Para los efectos de esta Norma Oficial Mexicana, los sistemas para medición y despacho de Gas L.P. deben determinar y registrar la cantidad de combustible líquido despachado, así como calcular y registrar el importe de la venta de acuerdo con el precio por litro o kilogramo que se haya establecido.
4.2 Para su funcionamiento, se integrarán por los dispositivos de medición, dispositivos de medición asociados y dispositivos auxiliares obligatorios referidos en la Tabla 1 y los opcionales que el permisionario decida, los cuales deben ser compatibles para Gas L.P., siempre y cuando no interfieran con el cumplimiento de los requisitos de esta Norma Oficial Mexicana.
Figura Ilustrativa 1. Componentes de un Sistema para medición y despacho de Gas L.P. 1

Tabla 1. Componentes de un sistema para medición y despacho de Gas L.P.

NOTAS:
1     Los componentes que se señalan en la Figura Ilustrativa 1 y en la Tabla 1 son ilustrativos más no limitativos.
2     Aplica para tecnologías de medición con arreglos mecánicos y electrónicos para la cuantificación de la cantidad.
4.3 Los componentes obligatorios se consideran parte integral del sistema para medición y despacho de Gas L.P, lo que implica que están sujetos a inspección y vigilancia pues deben cumplir con las especificaciones contenidas en la presente Norma Oficial Mexicana.
4.4 Respecto de los componentes que son opcionales, únicamente se inspeccionará y vigilará que no afecten las características metrológicas ni el correcto funcionamiento del sistema para medición y despacho de Gas L.P.; independientemente si estos dispositivos están conectados o desconectados.
4.5 El sistema para medición y despacho de Gas L.P, debe incluir un dispositivo de medición de gasto, volumétrico o masa, que pueden operar bajo cualquiera de las siguientes tecnologías:
a)    Medidores de gasto volumétrico de desplazamiento positivo:
i.     Tipo pistón oscilante, y
ii.     Tipo pistón rotativo.
b)    Medidores de gasto másico tipo Coriolis;
c)    Medidores de gasto volumétrico tipo turbina;
d)    Medidores de gasto volumétrico del tipo ultrasónicos, o
e)    Medidores con tecnologías diferentes a las mencionadas en los incisos anteriores, que cumplan con lo dispuesto en la presente Norma Oficial Mexicana.
5. Requisitos Generales de los sistemas para medición y despacho de Gas L.P.
Todos los sistemas para medición y despacho de Gas L.P. deben cumplir con las siguientes especificaciones:
a)    Condiciones nominales de operación;
b)    Cantidad mínima medible, MMQ;
c)    Intervalo de gasto del sistema para medición y despacho de Gas L.P.;
d)    Error Máximo Tolerado;
e)    Indicaciones;
f)     Punto de transferencia;
g)    Llenado completo del sistema para medición y despacho de Gas L.P.;
h)    Marcado;
i)     Sellado de dispositivos;
j)     Eliminación de gases, y
k)    Mecanismos de control y cierre.
5.1 Condiciones nominales de operación
Los sistemas para medición y despacho de Gas L.P. deben operar dentro de las condiciones nominales especificadas, las cuales deben incluir los siguientes parámetros en su ficha técnica:
a)    Cantidad mínima medible, MMQ;
b)    Intervalo de gasto: definido por el gasto mínimo, Qmín, y el gasto máximo, Qmáx;
c)    Intervalo de densidad relativa a 15.6 ° C (mínima a máxima): de 0.504 a 0.540 adimensional;
d)    Intervalo de presión: definido por la presión mínima del líquido, pmín, y la presión máxima del líquido, pmáx;
e)    Intervalo de temperatura: definido por la temperatura mínima del líquido, Tmín, y la temperatura máxima del líquido, Tmáx, y
f)     Valor nominal de la tensión de alimentación de AC (corriente alterna) y/o límites del suministro de la tensión de alimentación de DC (corriente continua).
5.2 Cantidad mínima medible, MMQ
5.2.1 La cantidad mínima medible de un sistema para medición y despacho de Gas L.P. debe tomar alguno de los siguientes valores de 1 x 10n, 2 x 10n o 5 x 10n en unidades de volumen o masa, donde n es un número entero positivo o negativo.
5.2.2 El valor dependerá del intervalo de medida del sistema o del medidor u otro componente que forma el sistema y de la clase de exactitud. Como regla general, la cantidad mínima medida (MMQ) debe establecerse en un volumen correspondiente al gasto qvmin durante 1 minuto o, si mide masa, a la masa correspondiente al gasto másico mínimo qmmin durante 1 minuto.
5.2.3 La cantidad mínima medible debe incluirse dentro de las condiciones de uso del sistema para medición y despacho de Gas L.P.; no debe ser menor que la mayor de las cantidades mínimas medibles de los componentes del sistema para medición y despacho de Gas L.P., incluyendo el medidor, la bomba y el calculador, entre otros.
5.3 Intervalo de gasto del sistema para medición y despacho de Gas L.P.
5.3.1 El sistema para medición y despacho de Gas L.P. debe ser diseñado de tal manera que el gasto durante la operación se mantenga dentro del intervalo de gasto mínimo y el gasto máximo, excepto al iniciar y finalizar la medición (despacho) o durante las interrupciones.
5.3.2 La relación entre los gastos máximo y mínimo del sistema para medición y despacho de Gas L.P. será por lo menos 5:1.
5.3.3 El sistema para medición y despacho de Gas L.P. debe estar equipado con un dispositivo automático de seguridad para prevenir o detectar la operación fuera de los límites del intervalo de gasto especificado. Esto debe generar una alarma audible/visible para el operador y se mantendrá encendida hasta que el gasto se encuentre dentro de los límites permitidos.
5.4 Error Máximo Tolerado (EMT)
5.4.1 La clase de exactitud que aplica para los sistemas para medición y despacho de Gas L.P. a presión en condiciones de temperatura igual o superior a -10 °C es de 1.0 %.
5.4.2 Los EMT son aquellos que se establecen en la Tabla 2.
Tabla 2. Errores Máximos Tolerados (para indicaciones de masa y volumen en el sistema de medición
a condiciones nominales de operación).
Error Tolerado
 
Aprobación del modelo o prototipo
Inspección inicial, periódica o
extraordinaria, así como para la
verificación
Error Máximo Tolerado
0.6 %
1.0 %
NOTA: Los errores máximos tolerados serán en sentido positivo y negativo.
5.5 Indicaciones
El volumen se indicará en litros (L) y la masa en kilogramos (kg).
Para las mediciones realizadas por instrumentos asociados: la temperatura se indicará en grados Celsius (°C), la densidad se indicará en kilogramos por metro cúbico (kg/m3) y la presión en kilo Pascales (kPa).
5.5.1 El indicador de los sistemas para medición y despacho de Gas L.P. debe:
a)    Marcar ceros al inicio de cada operación de despacho. Esto se constatará visualmente;
b)    Indicar durante la venta directa al público, la cantidad del producto medido o despachado a condiciones de medición, el total de la venta directa al público y el precio por litro o kilogramo vigente, según corresponda; y las indicaciones dadas en las carátulas del dispositivo computador deben ser explícitas, de manera que la interpretación de las cifras registradas no permita confusión alguna; los números de indicación para la cantidad de Gas L.P. despachada y para el precio por litro o kilogramo deben integrarse por lo menos con 4 dígitos y con 5 dígitos para el importe de la venta. Asimismo, se debe apreciar claramente la carátula que corresponde a la manguera de descarga.
5.5.2 El indicador de los sistemas para medición y despacho de Gas L.P. debe permitir realizar las siguientes actividades:
a)    El acceso para realizar el proceso de ajuste;
b)    El acceso para la descarga de bitácora de eventos;
c)    El acceso para la descarga del programa que controla el sistema para medición y despacho de Gas L.P., para realizar el cálculo de la suma de comprobación binaria MD5;
d)    El acceso a la configuración de la interfaz de comunicación;
e)    Comunicarse con la Plataforma de Vigilancia Permanente (ver Apéndice A);
f)     En caso de que aplique, registrar las variaciones de temperatura, presión en las mediciones realizadas;
g)    En caso de que aplique, registrar el valor de la densidad en las mediciones realizadas;
h)    Observar el volumen a condiciones de medición;
i)     En caso de que aplique, observar el volumen a condiciones de referencia, y
j)     En caso de que aplique, el histórico de correcciones realizadas.
5.6 Punto de transferencia
5.6.1 Los sistemas para medición y despacho de Gas L.P. deben integrar al menos un punto de transferencia.
5.6.2 El sistema para medición y despacho de Gas L.P. debe mantenerse empacado.
5.6.3 Cuando la línea de suministro tenga un extremo libre, la válvula se debe instalar lo más cerca posible a este extremo.
5.7 Llenado completo del sistema para medición y despacho de Gas L.P.
5.7.1 La tubería antes del dispositivo de medición y entre el punto de transferencia debe mantenerse lleno de líquido durante la medición y en periodos de apagado o cierre.
5.7.2 Cuando no se cumpla esta condición, especialmente en el caso de instalaciones fijas, el llenado completo del sistema de medición hasta el punto de transferencia se debe realizar manual o automáticamente y debe monitorearse durante la medición y el apagado. Para garantizar la completa eliminación de aire y gases del sistema de medición, se debe incluir un dispositivo de eliminación de gases (detección visual o automática de llenado completo).
5.7.3 El efecto de la contracción debido a cambios en la temperatura del Gas L.P. en la tubería entre el medidor y el punto de transferencia no deben ser mayor al 1 % de la cantidad mínima medida, igual a:
a)    10 °C para tuberías expuestas.
b)    2 °C para tubería con aislante térmico o subterránea.
5.7.4 En caso de requerirse el volumen a una temperatura diferente de las condiciones de medición, se deberá corregir utilizando el procedimiento descrito en el Apéndice B de esta Norma Oficial Mexicana.
5.7.5 Para garantizar que la presión en el dispositivo de eliminación de gases y en el medidor sea siempre mayor que la presión atmosférica y la presión de vapor saturada del líquido, es necesario instalar un dispositivo aguas abajo del medidor para mantener la presión. Algunos sistemas para medición y despacho de Gas L.P. que operan bajo el principio de desplazamiento positivo pueden tener acoplada la válvula de presión diferencial.
5.7.6 El sistema de medición debe estar equipado con un dispositivo para prevenir que el líquido pueda fluir en la dirección contraria cuando se detenga la bomba, y eliminar errores de medición mayores que la desviación de cantidad mínima especificada y daños a los dispositivos instalados en la línea. Si es necesario, el sistema debe contar con una válvula de relevo hidrostático.
5.8 Marcado
5.8.1 Cada sistema para medición y despacho de Gas L.P. debe contener la siguiente información:
a)    Número de aprobación del modelo;
b)    Identificación de la marca: marca registrada o comercial o nombre del fabricante;
c)    Designación seleccionada por el fabricante (familia, tipo o modelo, entre otros), si aplica;
d)    Año de fabricación;
e)    Número de serie, e
f)     Intervalo de medición, clase de exactitud del medidor, tipo de fluido, cantidad mínima medible, presión máxima de operación, temperatura máxima de operación.
5.8.2 Esta información debe estar en una o varias placas de identificación, colocada en un espacio o lugar visible y donde no sea probable que se remueva bajo condiciones normales de uso.
5.8.3 La información marcada en el sistema para medición y despacho de Gas L.P., debe ser la información considerada en la aprobación de modelo, incluyendo el intervalo de temperatura del líquido, y no debe confundirse con descripciones colocadas por motivos de seguridad, en particular los límites de presión.
5.9 Sellado de dispositivos
5.9.1 El sellado se aplicará a todos los componentes del sistema para medición y despacho de Gas L.P. que pueden ser susceptibles de manipulación y/o alteración que afecten la exactitud del sistema de medición, la confiabilidad y validez de los resultados de la medición.
5.9.2 En el dispositivo calculador debe colocarse un precinto, u otros dispositivos de sellado siempre y cuando sean lo suficientemente duraderos y que proporcionen evidencia de manipulación, esto para evitar
cualquier alteración que se pueda dar por externos.
5.9.3 El dispositivo calculador debe contar con un interruptor electrónico, protegido detrás de un precinto, que permitirá únicamente bajo su activación la modificación de los parámetros de medición, accediendo a ellos mediante una "contraseña" y, después de cambiar los parámetros, el medidor podrá ponerse nuevamente en uso "bajo condiciones selladas", sin ninguna restricción. Esta "contraseña" podrá ser cambiada.
5.9.4 Cuando se encuentre en el modo de configuración (un modo en el que los parámetros se pueden cambiar), el dispositivo calculador: no debe operar o debe indicar claramente que se encuentra en modo de configuración. Este estado continuará hasta que el sistema de medición sea puesto nuevamente en uso "bajo condiciones selladas".
5.9.5 Se deben registrar automáticamente en la bitácora de eventos la información señalada en el numeral 7.4.2.1.4.
5.9.6 Las partes o componentes removibles y/o intercambiables, deben contar con mecanismos de seguridad para que su remoción se realice solo por personal autorizado. Esto se logra con la instalación de las partes dentro de gabinetes, colocación de guardas de protección, uso de conexiones especiales u otras medidas.
5.9.7 Las partes o componentes a instalar deben cumplir con las especificaciones indicadas por el fabricante, conforme a lo presentado en el proceso de aprobación de modelo.
5.10 Eliminación de gases
5.10.1 Los sistemas para medición y despacho de Gas L.P. deben incorporar un dispositivo de eliminación de gases para la apropiada eliminación de cualquier aire o gases no disueltos que puedan estar contenidos en el líquido antes de que entre al medidor.
5.10.2 El dispositivo de eliminación de gases debe ser apropiado según las condiciones del suministro y se instalará de tal manera, que el efecto debido a la influencia del aire o gases en el resultado de la medición no exceda una quinta parte del Error Máximo Tolerado señalado en la Tabla 2 de esta Norma Oficial Mexicana.
5.10.3 Los dispositivos de eliminación de gases se instalarán de conformidad con las instrucciones del fabricante.
5.11 Mecanismos de control y cierre
5.11.1 Si hay riesgo de que las condiciones de suministro puedan sobrecargar el medidor, se debe instalar un dispositivo de control de gasto aguas arriba del medidor. Dicho dispositivo de control puede ser manual utilizando una válvula o por medio de software.
5.11.2 Se debe instalar un separador mecánico en la manguera de descarga en el extremo opuesto al de la válvula de descarga, la cual deberá evitar fugas de Gas L.P. en el caso de desprendimiento de la manguera de descarga
Para evitar fugas debido a un desprendimiento accidental de la manguera de descarga se debe considerar lo siguiente:
a)    En el caso de estaciones de servicio con fin específico para el expendio al público a vehículos, las tomas de suministro deben contar con un separador mecánico o con un punto de fractura y que cumplan con lo dispuesto en los numerales 8.10.3.1, 8.10.3.2, 8.10.3.3, 8.10.4.1, 8.10.4.2, y 8.10.4.3 de la NOM-003-SEDG-2004. Adicionalmente, en caso de contar con un punto de fractura, este debe cumplir con las especificaciones del numeral 8.11 de la Norma Oficial Mexicana antes referida. La válvula de llenado puede cumplir con este requisito del punto de fractura.
b)    En el caso de estaciones de servicio multimodales, las tomas de suministro deben contar con un separador mecánico y cumplir con lo dispuesto en el inciso d) del numeral 25 del Anexo III de las "Disposiciones administrativas de carácter general que establecen los Lineamientos de Seguridad Industrial, Seguridad Operativa y Protección al Medio Ambiente, para el expendio simultáneo de Petrolíferos y/o Gas Natural", o el documento que lo sustituya.
c)    En el caso de auto-tanques estos deben contar con una válvula interna que cumpla con lo dispuesto en los numerales 6.1.1 de la NOM-007-SESH-2010.
5.11.3 Se debe instalar una válvula de descarga en el punto de transferencia para el despacho de Gas L.P. y mantener el sistema empacado.
6. Especificaciones de funcionamiento para los dispositivos de medición y sus dispositivos asociados, auxiliares y adicionales.
6.1 Dispositivo de medición
Debe cumplir con las especificaciones de funcionamiento establecidas en la ficha técnica del dispositivo de medición, mismas que deben ser consistentes con las características establecidas para el sistema para medición y despacho de Gas L.P. en el numeral 5.1.
6.2 Pulsador
6.2.1 El pulsador debe contar con las marcas o perforaciones especificadas y su estado físico deberá contener las conexiones de alimentación, datos y tierra en la forma indicada en los manuales emitidos por el fabricante y sin alteraciones.
6.2.2 En la apertura del pulsador se deben tomar en consideración las especificaciones declaradas por el fabricante.
6.3 Calculador
6.3.1 Todos los parámetros necesarios para la elaboración de las indicaciones que están sujetas a control metrológico legal, tales como el precio unitario, la tabla de cálculos o los polinomios de corrección, entre otros, deben estar presentes en el calculador al inicio de las operaciones de medición.
6.3.2 El calculador debe contar con la capacidad de comunicarse con los dispositivos auxiliares en ambas vías y puede ser suministrado con interfaces que permitan el acoplamiento de otros dispositivos. Cuando se utilicen estas interfaces, el instrumento debe seguir funcionando correctamente y sus funciones metrológicas no se deben ver influenciadas o afectadas.
6.3.3 Los componentes eléctricos y electrónicos que formen parte del dispositivo de medición, calculador, indicadores, totalizadores, dispositivo de ajuste y memorias deberán contar con las siguientes características de confiabilidad:
a)    Irremovilidad de circuitos integrados:
i.     Circuitos integrados encapsulados, o
ii.     Tarjeta electrónica principal con sistema basado en circuito de montaje de superficie.
b)    Facilidad para la autenticación de programas de cómputo del sistema para medición y despacho de Gas L.P., y
c)    Bitácora de eventos.
6.3.4 El calculador debe cumplir con las especificaciones y pruebas de la NOM-001-SCFI-2018 (ver 2.1).
6.4 Dispositivo de ajuste electrónico
El dispositivo calculador debe tener un dispositivo de ajuste electrónico o por software mediante el cual se efectúen ajustes de las indicaciones del sistema para la medición y despacho de Gas L.P. de volumen o masa, conforme al procedimiento indicado por el fabricante, de tal modo que los valores no excedan los EMT. Esto se constatará visualmente.
6.4.1 El interruptor de acceso al modo de ajuste electrónico debe incluir una protección para colocar los dispositivos oficiales de inviolabilidad (precintos, plomos, entre otros) y que no permita un puente eléctrico en sus terminales. Esto se constatará visualmente.
6.4.2 El sistema para medición y despacho de Gas L.P debe estar configurado de manera que impida los ajustes mediante dispositivos diferentes a los previstos, o en forma remota. Los procedimientos de ajuste deben ser compatibles con las especificaciones del fabricante.
6.5 Interfaz de Comunicación
En los sistemas para medición y despacho de Gas L.P. se debe identificar el arnés eléctrico que realice la función de comunicación, así como el puerto y el protocolo de comunicación empleado y la lista de comandos e instrucciones de comunicación. Esto se debe constatar visualmente contra las especificaciones del fabricante y el manual de operación correspondiente, en el cual, además se debe señalar la función específica a desempeñar por la interfaz y los componentes mencionados.
6.6 Indicador
La carátula del indicador del sistema para medición y despacho de Gas L.P. debe indicar como mínimo el volumen o masa del Gas L.P. despachado, el precio por litro o kilogramo y el importe de la venta. Esto se constatará visualmente.
6.6.1 Las indicaciones dadas en las carátulas del indicador del sistema para medición y despacho de Gas L.P. deben ser explícitas, de manera que la interpretación de las cifras registradas no permita confusión alguna; los números de indicación para el volumen o masa de Gas L.P. deben integrarse por lo menos con 5 dígitos y para el precio por litro o kilogramo por lo menos con 4 dígitos.
6.6.2 Resolución de la carátula del indicador
Debe indicar el volumen o masa de Gas L.P. con una división mínima de 0.1 L o 0.1 kg, y el importe de la venta con la cantidad exacta en centavos. Esto se constata visualmente.
6.7 Totalizador acumulado
Los sistemas para medición y despacho de Gas L.P. deben contar con un totalizador acumulado ya sea mecánico, electromecánico o electrónico en el computador para indicar el volumen o masa del Gas L.P. acumulado.
6.8 Dispositivo de retorno a ceros
Los sistemas para medición y despacho de Gas L.P. deben contar con un dispositivo mediante el cual el indicador al inicio de cada transacción retorne a ceros los valores del importe de la venta y la cantidad de litros o kilogramos despachada.
6.9 Dispositivo de corrección.
Los sistemas para medición y despacho de Gas L.P. podrán contar con dispositivos que hagan posible la corrección de las indicaciones por temperatura y presión, los cuales se podrán encontrar integrados dentro del dispositivo de medición y conectados directamente al calculador para realizar las correcciones correspondientes, se considerarán parte integral del medidor. La cantidad no corregida debe estar disponible para efectos de pruebas. Las correcciones por temperatura y presión podrán ser siempre sobre la medición en progreso. Al consumidor únicamente se le mostrará la cantidad del Gas L.P. a condiciones de medición.
Las condiciones de medición del Gas L.P. se medirán utilizando dispositivos asociados de medición y se almacenarán en la memoria del sistema.
6.10 Memoria
6.10.1 Los sistemas para medición y despacho de Gas L.P. deben integrar una memoria para almacenar los resultados de mediciones, transacciones, bitácora de eventos, entre otros.
6.10.2 La capacidad de almacenamiento de la memoria debe ser suficiente para garantizar la conservación de la siguiente información:
a)    Información de transacciones comerciales y mediciones hasta su descarga en los sistemas de control y/o almacenamiento conforme a la normatividad aplicable, y
b)    Bitácora de eventos por un plazo mínimo de 12 meses.
6.10.3 La memoria, no será susceptible a modificaciones de los valores almacenados fuera de la operación normal del sistema para medición y despacho de Gas L.P. La información memorizada debe estar protegida contra cambios intencionales y no intencionales.
6.10.4 Queda prohibido todo tipo de memoria removible, esto para garantizar que no se genere ningún tipo de alteración de la información por componentes no autorizados.
6.11 Bomba
El trasiego de Gas L.P. en operaciones de suministro debe hacerse mediante bombas para tal uso. No se permite el trasiego de Gas L.P. por gravedad.
6.12 Filtro
Los filtros deben ser instalados en la tubería de succión de la bomba, de tal manera que no permita el paso de partículas mayores a 150 µm. Este dato se constata visualmente contra la especificación del filtro.
6.13 Sensor de presión
Deben estar conectados directamente al calculador, para que se realice la corrección correspondiente.
Pueden ser secos o amortiguados por líquido.
Sensor de presión para mediciones en un intervalo de medida de 0.05 MPa a 2.06 MPa y clase de exactitud igual o menor de 2.5 % de la lectura.
6.14 Sensor de temperatura
Deben estar conectados directamente al calculador, para que se realice la corrección correspondiente.
Deben registrar temperaturas como mínimo de -10 °C a 50 °C, y clase de exactitud de 0.3 °C.
7. Control metrológico
7.1 Evaluación y Aprobación de modelo o prototipo
7.1.1 General
Los sistemas para medición y despacho de Gas L.P., están sujetos a la aprobación de modelo o prototipo. Para el proceso de Aprobación de Modelo o Prototipo, la documentación solicitada será responsabilidad del Centro Nacional de Metrología y/o de los Institutos Designados de Metrología.
Un sistema para medición y despacho de Gas L.P. debe cumplir los requisitos sin necesidad de ajustes durante el proceso de las pruebas. Las pruebas relevantes, que se realizan en conjunto, deben realizarse bajo las mismas condiciones y sin ajuste. Sin embargo, si se realiza un ajuste durante el proceso de las pruebas, este debe estar documentado y justificado en el informe.
Las disposiciones previstas en este capítulo no son aplicables a los permisionarios.
7.2 Documentación
La aprobación del modelo o prototipo debe efectuarse conforme a lo que establece el trámite CENAM-2020-013-002-A, "Aprobación de modelo de instrumentos de medición sujetos a Normas Oficiales Mexicanas de metrología legal, previo a su comercialización", o el que lo sustituya, registrado en el Catálogo Nacional de Regulaciones, Trámites y Servicios que administra la Comisión Nacional de Mejora Regulatoria.
7.3 Prueba de exactitud
El objetivo de esta prueba es evaluar que todos los resultados de las mediciones en cada valor de gasto cumplan con los requisitos de los errores máximos tolerados.
7.3.1 Materiales y fluidos
a)    Gas L.P.
b)    Mangueras flexibles de conexión especial y material compatible con Gas L.P.
7.3.2 Aparatos y equipo de referencia
7.3.2.1 Para los patrones de referencia que pueden usarse en la aprobación de modelo de los sistemas para medición y despacho de Gas L.P., se consideran los principios de operación siguientes: medida volumétrica, medidor Coriolis, medidor de desplazamiento positivo, tipo turbina, entre otros que cumplan con las recomendaciones metrológicas previstas en la OIML R-117, donde se establece que las incertidumbres de medida que se puedan alcanzar con estos patrones deben ser menores o iguales a 0.2 %, equivalentes a 1/5 del EMT de 1.0 %. Estos patrones de referencia deben contar con un certificado o informe de calibración vigente, esto es, debe cumplir con los requisitos para el caso establecidos en la Norma Mexicana NMX-EC-17025-IMNC-2018, y presentar mejores características metrológicas que los dispositivos de medición del sistema para medición y despacho de Gas L.P. sometido a aprobación.
7.3.2.2 Medida volumétrica cerrada con volumen mínimo de 100 L o mayor, con escala graduada cuya división mínima sea igual o menor a 0.05 % del volumen nominal de la medida volumétrica.
7.3.2.3 Medidor del tipo Coriolis, con relación máximo/mínimo de caudal > 10, con resolución tal que se observe la cantidad mínima medible especificada en el numeral 5.2.1.
7.3.2.4 Medidor de desplazamiento positivo con relación de gasto máximo/mínimo > 10, con resolución tal que se observe la cantidad mínima medible especificada en el numeral 5.2.1
7.3.2.5 Instrumentos asociados
a)    Sensor de temperatura ubicado en el patrón de referencia que incluya el intervalo de medida de -10 °C a 50 °C, resolución mínima de 0.01 °C y clase de exactitud igual o menor de 0.1 °C.
b)    Sensor de presión ubicado en el patrón de referencia que incluya el intervalo de medida de 0.05 MPa a 2.06 MPa de clase de exactitud igual o menor de 0.25 % de la lectura.
c)    Cronómetro con resolución mínima de 0.01 s.
d)    Estos instrumentos de medición deben contar con informe o certificado de calibración vigente (el cronómetro no necesariamente requiere de certificado de calibración ya que el valor de gasto es informativo).
7.3.3 Preparación del sistema para medición y despacho de Gas L.P.
a)    Asegurar que esté disponible la alimentación de energía eléctrica al sistema para medición y despacho de Gas L.P.
b)    La apertura y cierre continuo de una válvula de descarga, en el lado opuesto del sistema para medición y despacho de Gas L.P. seleccionado, no deben modificar los registros de los totalizadores instantáneos correspondientes a la válvula de descarga cerrada.
c)    Constatar visualmente que el dispositivo indicador de venta y la cantidad de litros o kilogramos despachada sea cero cada vez que se inicie un despacho del fluido de trabajo.
7.3.4 Preparación de la medida volumétrica (patrón de referencia 1).
a)    Revisar que la medida volumétrica se encuentre limpia.
b)    Nivelar la medida volumétrica apoyándose en las patas niveladoras y usando un instrumento de nivel en óptimas condiciones operativas.
7.3.5 Preparación del medidor tipo Coriolis (patrón de referencia 2).
a)    Los medidores Coriolis deben estar soportados firmemente en una estructura para que no se transmitan esfuerzos mecánicos de la tubería al medidor e instalar una válvula a la entrada del medidor.
       NOTA: No es necesario atender las disposiciones del estándar ANSI/API MPMS 5.6 Measurement of Liquid Hydrocarbons by Coriolis Meters, sobre las longitudes de tubería recta a la entrada y salida del medidor requeridas para la instalación de medidores Coriolis. Sin embargo, la aplicación de esos requisitos puede mejorar las condiciones de medición.
b)    Considerar la instalación de sensores de presión y temperatura a la entrada del medidor Coriolis.
c)    Asegurar que esté disponible la alimentación de energía eléctrica al patrón de referencia tipo Coriolis (computador, sensores asociados).
d)    La calibración de los patrones de referencia debe haber sido realizada en unidades de volumen.
7.3.6 Preparación del medidor de desplazamiento positivo, DP (patrón de referencia 3).
a)    Los medidores de desplazamiento positivo no requieren condiciones de instalación especial, pero son afectados por factores como: temperatura, presión, densidad, viscosidad. Se recomienda instalar una válvula a la entrada del medidor.
b)    Considerar la instalación de sensores de presión y temperatura a la salida del medidor de desplazamiento positivo.
c)    Asegurar que esté disponible la alimentación de energía eléctrica al patrón de referencia tipo desplazamiento positivo (computador, sensores asociados).
d)    La calibración se realizará en unidades de volumen.
7.3.7 Procedimiento de pruebas en la evaluación y aprobación del sistema para medición y despacho de Gas L.P. usando un patrón de referencia.
7.3.7.1 Empleando la medida volumétrica como patrón de referencia.
a)    Se conecta la medida volumétrica en serie con el sistema para medición y despacho de Gas L.P., usando los accesorios para tal fin (mangueras y conexiones rápidas).
b)    Se empaca o llena el sistema para medición y despacho de Gas L.P., y se procede a la apertura de la válvula de descarga para llenar la medida volumétrica hasta algún punto cercano al volumen nominal.
c)    Asegurar que el fluido de trabajo mantenga una presión suficiente para evitar su vaporización y mantenerlo en fase líquida.
d)    Durante el llenado se debe asegurar la eliminación de burbujas de aire presentes en la línea.
7.3.7.2 Empleando el medidor tipo Coriolis como patrón de referencia.
a)    Se conecta el patrón de referencia tipo Coriolis en serie con el sistema para medición y despacho de Gas L.P., usando los accesorios para tal fin (mangueras y conexiones rápidas).
b)    Conectar la alimentación eléctrica (127 V CA y 24 V CD) para el medidor patrón y los medidores de presión y temperatura.
c)    Se empaca o llena el sistema para medición y despacho de Gas L.P., y se procede a la apertura de la válvula de descarga para hacerlo pasar por el patrón de referencia tipo Coriolis.
d)    Durante el llenado se debe asegurar la eliminación de burbujas de aire presentes en la línea.
e)    Se debe asegurar que el fluido de trabajo mantenga una presión mínima para evitar su gasificación y se mantenga en fase liquida, siempre que la temperatura no exceda 50 °C.
7.3.7.3 Empleando el medidor de desplazamiento positivo como patrón de referencia.
a)    Se conecta el patrón de referencia tipo desplazamiento positivo en serie con el sistema para medición y despacho de Gas L.P., usando los accesorios para tal fin (mangueras y conexiones rápidas).
b)    Conectar la alimentación eléctrica (127 V CA y 24 V CD) para los medidores de presión y temperatura.
c)    Se empaca o llena el sistema para medición y despacho de Gas L.P., y se procede a la apertura de la válvula de descarga para hacerlo pasar por el patrón de referencia tipo desplazamiento positivo.
d)    Durante el llenado se debe asegurar la eliminación de burbujas de aire presentes en la línea.
e)    Se debe asegurar que el fluido de trabajo mantenga una presión suficiente para evitar su vaporización.
7.3.7.4 Condiciones ambientales a realizarse las pruebas de evaluación y aprobación de modelo:
-      Temperatura ambiente: 5 °C a 50 °C.
-      Humedad relativa: 10 % a 90 %.
-      Presión atmosférica: 74 kPa a 102 kPa.
NOTA: Durante cada prueba, la temperatura no debe variar en más de 5 °C y la humedad relativa no debe variar en más del 10 %.
La humedad relativa nunca deberá ser superior a los límites de humedad establecidos para la correcta operación de todos los componentes del sistema de medición involucrados durante las pruebas.
7.3.7.5 Inicio de la prueba de medición (aplica para todas las técnicas de medición como patrones de referencia).
a)    Una vez conectados los equipos debe realizarse la ambientación del circuito circulando el fluido a través de la instalación para lograr el equilibrio térmico.
       Así como precalentar los transmisores de gasto, medidor de presión y temperatura y los componentes que integran el sistema para medición y despacho de Gas L.P.
       NOTA: El equilibrio térmico lo determinará el laboratorio que realice las pruebas.
b)    La prueba debe realizarse a por lo menos los tres valores de gasto volumétrico: Qmin; ((Qmax - Qmin) × 0.25) + Qmin; y Qmax.
       Cada uno de estos valores se aproxima lo mejor posible haciendo uso de la válvula.
c)    En cada prueba o despacho se deberá colocar o constatar, que los indicadores del totalizador instantáneo del sistema para medición y despacho de Gas L.P. este en ceros.
d)    Para el caso del patrón de referencia tipo Coriolis, una vez ambientado junto con el sistema para medición y despacho de Gas L.P, cerrar la válvula de bloqueo situada a la entrada y a la salida del patrón de referencia tipo Coriolis, con el objeto de mantenerlo empacado o lleno y proceder a efectuarle el ajuste "Cero".
e)    Para el caso de la medida volumétrica, abriendo y cerrando la válvula de descarga del sistema para medición y despacho de Gas L.P., colectar de preferencia el volumen nominal de la medida o alguna cantidad cercana al volumen nominal.
f)     Para el caso de los medidores del tipo Coriolis o desplazamiento positivo se recomienda colectar una masa o volumen adecuada, donde la contribución a la incertidumbre de calibración debida este factor sea menor que 0.05 %.
g)    Para el caso de la medida volumétrica, lograda la estabilidad térmica se vacía la medida volumétrica, se igualan las presiones de vapor de la medida volumétrica y del sistema de medición y despacho Gas L.P. por medio de una manguera que une ambos equipos; se ajusta el nivel del fluido de trabajo a la marca de cero (escala inferior) en la medida volumétrica y se abre la válvula de descarga para colectar el fluido de trabajo en el patrón volumétrico; cuando el nivel del fluido de trabajo alcanza la marca de volumen nominal de la medida volumétrica se cierra la válvula. Se espera un tiempo de estabilización, para tomar y registrar la lectura de la medida volumétrica, la lectura de la temperatura, presión y densidad (obtenido a través de un densímetro, cromatografía o modelo matemático) del fluido de trabajo del sistema. para medición y despacho de Gas L.P.
h)    Para el caso de la medida volumétrica, drenarla antes de realizar nuevamente el cero (escala inferior) esperando el escurrido de la medida volumétrica, el tiempo de escurrido debe ser lo indicado en el informe de calibración de la medida volumétrica. Realizar 4 réplicas en cada uno de los valores de gasto seleccionados.
i)     Para el caso de los medidores de referencia tipo Coriolis y desplazamiento positivo, esperar a que la lectura del gasto sea estable y proceder con las corridas requeridas para la prueba de aprobación de modelo. Realizar 4 réplicas en cada uno de los valores de gasto seleccionados.
j)     Los valores de las lecturas de volumen o masa del patrón de referencia y sistema para medición y despacho de Gas L.P., temperatura, presión y densidad (obtenido a través de un densímetro, cromatografía o modelo matemático) del fluido de trabajo durante las pruebas deben de registrarse en la Tabla 2, para después procesarla mediante un programa que permita realizar el proceso de cálculo (ejemplo: Excel).
7.3.8 Cálculos
7.3.8.1 Coeficiente de corrección por expansión térmica del material del patrón de referencia, CTSPR.
CTSPR = 1 + a (tPR - 20)
Donde:
a /°C-1            Coeficiente de dilatación cúbica del material de fabricación del patrón de referencia.
                     0.000 047 7,    para acero inoxidable 304.
                     0.000 034,      para acero a bajo carbono.
tPR/°C             Temperatura del patrón de referencia observada durante la prueba.
20                  Valor de temperatura de referencia a la cual se especifica el coeficiente de expansión térmico del material del patrón de referencia.
NOTA: Para el caso de la medida volumétrica, es la temperatura a la cual fue informado en el certificado de calibración el volumen.
7.3.8.2 Coeficiente de corrección por efecto de la presión en el cuerpo del patrón de referencia, CPSPR.

Donde:
pg/kPa            presión manométrica de operación en el fluido al momento de la prueba.
DI/m               diámetro interno del patrón de referencia (especificar a qué diámetro se refiere para cada caso según el patrón que se use).
EPR/kPa          módulo de elasticidad del material del patrón de referencia.
e/m                espesor de la pared del patrón de referencia.
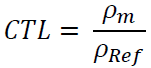
7.3.8.3 Coeficiente de dilatación cúbica por efecto de la expansión volumétrica del fluido, CTLPR. (Se estimará acorde a lo señalado en el Apéndice B).
7.3.8.4 Coeficiente de corrección por efecto de la presión en el fluido, CPLPR. (Se estimará acorde a lo señalado en el Apéndice B).
7.3.8.5 Calcular el volumen del patrón de referencia corregido.
a)    Para la medida volumétrica

Donde:
CPS               corrección por presión en el cuerpo de la medida volumétrica, el modelo matemático de este coeficiente se informa en el certificado de calibración.
VcPR/L             volumen de la medida volumétrica corregido a la temperatura de referencia.
V20/L             volumen de la medida volumétrica a temperatura de 20 °C.
                     NOTA: Este valor se encuentra en el informe de calibración de la medida volumétrica.
Lc/mL             es la lectura del menisco en la escala del cuello de la medida volumétrica.
                     NOTA: La lectura es positiva si se sitúa por encima de la marca de volumen nominal y negativa si la lectura se sitúa por abajo.
Kc /                es el factor de corrección de la escala graduada del cuello de la medida volumétrica.
                     NOTA: Este valor está reportado en el informe de calibración de la medida volumétrica).
CTSPR/            es el coeficiente de corrección por expansión térmica del material de fabricación de la medida volumétrica.
b)    Para el patrón de referencia tipo Coriolis o desplazamiento positivo.

Donde:
VcPR/L             volumen del patrón de referencia corregido a la temperatura y presión del fluido.
VPR/L              volumen del patrón de referencia a las condiciones de medición.
MF                 factor de corrección o calibración del patrón de referencia.
                     NOTA: este valor se informa en el certificado del patrón de referencia.
CTLPR/            Coeficiente de corrección por dilatación cúbica del material del patrón de referencia.
CPLPR/            Coeficiente de corrección por efecto de la presión del fluido.
7.3.8.6 Cálculo del error de indicación

Donde:
EI                  error de indicación del sistema para medición y despacho de Gas L.P.
LSMD/L             volumen registrado en el sistema para medición y despacho de Gas L.P. corregido a la temperatura.
VcPR/L             volumen del patrón de referencia corregido a la temperatura y presión.
7.3.8.7 Cálculo del error de repetibilidad
De acuerdo con el siguiente modelo matemático, el cual se determina en función del valor máximo y del valor mínimo del error de indicación, EI

NOTA: Para cualquier cantidad igual o superior a cinco veces la cantidad mínima medida, el error de repetibilidad del medidor no debe ser superior a dos quintos del valor EMT.
7.3.8.8 Errores Máximos Tolerados (EMT)
Para obtener el error promedio de una prueba a un gasto volumétrico, primero calcule el error de indicación de cada corrida y posteriormente calcule el promedio de ellas.
El error promedio obtenido para cada uno de los gastos, máximo, medio y mínimo, del sistema para medición y despacho de Gas L.P., no debe exceder, el EMT establecido en el inciso 5.4.1.
Los gastos máximo y mínimo obtenidos en las corridas no deben exceder el intervalo de medición del sistema para medición y despacho de Gas L.P. declarado por el fabricante.
7.3.8.9 Incertidumbre
7.3.8.9.1 La estimación de la incertidumbre expandida del error de indicación de volumen o masa debe ser menor de 1/5 del EMT durante la evaluación de modelo y un tercio del EMT para las siguientes evaluaciones:
7.3.8.9.2 La incertidumbre de la medición debe ser estimada conforme a la Norma Mexicana NMX-CH-140-IMNC-2002 (ver 2.5). La incertidumbre expandida se obtiene multiplicando la incertidumbre típica combinada por un factor de cobertura k = 2, el cual corresponde un nivel de confianza de aproximadamente 95 %, bajo la suposición de que la función de densidad de probabilidad del mensurando es normal.
Tabla 3. Registro de los datos y resultados de las pruebas de medición.
 
 
Tiempo
de
entrega
Gasto
volumétrico o
gasto másico
Temperatura
del fluido de
trabajo en el
sistema de
medición y
despacho
Presión de
fluido de
trabajo en
el sistema
para
medición
y
despacho
de Gas
L.P.
Temperatura
del fluido de
trabajo en el
patrón de
referencia
Presión del
fluido de
trabajo en
el patrón
de
referencia
Volumen
registrado en
el sistema
para medición
y despacho
de Gas L.P.,
corregido por
temperatura
Volumen del
patrón de
referencia
corregido por
temperatura y
presión
Densidad
Temperatura
de
observación
(densidad)
Error de
indicación
Unidades
min
L/min o kg/
min
°C
Pa
°C
Pa
L o kg
L o kg
kg/m³
°C
%
Prueba 1
 
 
 
 
 
 
 
 
 
 
 
Prueba 2
 
 
 
 
 
 
 
 
 
 
 
Prueba 3
 
 
 
 
 
 
 
 
 
 
 
Prueba 4
 
 
 
 
 
 
 
 
 
 
 
Promedio
 
 
 
 
 
 
 
 
 
 
 
7.4 Pruebas de autentificación del sistema electrónico y programas de cómputo.
7.4.1 Seguridad eléctrica.
El sistema para medición y despacho de Gas L.P. debe de cumplir con los lineamientos establecidos en los numerales 4.1.1, 4.1.2, 4.1.4 y 5.7 de la NOM-001-SCFI-2018 (Ver 2.1).
Aunado a lo anterior, los equipos de tecnologías de la información aplicados a un sistema para medición y despacho de Gas L.P. deben integrar circuitos intrínsecamente seguros y cumplir con los puntos 5.6.4, 6.3, 7.3, 7.5.2 y 8.3 de la norma IEC 60079-11, a excepción de los instalados en los auto-tanques.
Las interconexiones eléctricas de los sistemas para medición y despacho de Gas L.P. deben cumplir las disposiciones y especificaciones de carácter técnico, a fin de que ofrezcan condiciones de seguridad para las
personas y sus propiedades, en lo referente a protección contra choque eléctrico, efectos térmicos, sobre corrientes, corrientes de falla, sobretensiones, fenómenos atmosféricos e incendios, entre otros, así como contar con instalación a prueba de explosión y seguridad intrínseca y cumplir con lo indicado en la NOM-001-SEDE-2012 en lo referente a equipos instalados en áreas clasificadas como Clase I División I (Ver 2.2).
El sistema para medición y despacho de Gas L.P. debe cumplir con los lineamientos de seguridad indicados y requerimientos del fabricante para una operación segura de sus sistemas para medición y despacho de Gas L.P.
Además, el sistema no debe ser ubicado en lugares cercanos a líneas de transmisión de corriente eléctrica de alta tensión, que puedan alterar el contenido de los circuitos electrónicos o causar algún daño a los mismos.
7.4.2 Método de prueba de autentificación del sistema electrónico y programas de cómputo
7.4.2.1 Diseño
La aprobación del modelo o prototipo referente a la parte electrónica del sistema para medición y despacho de Gas L.P., debe ser determinada mediante la información proporcionada por el fabricante, la cual está indicada en el numeral 7.2, comprobando directamente que los componentes electrónicos que integran la parte electrónica del sistema para medición y despacho de Gas L.P. cumplan con las especificaciones y nomenclatura utilizada por el fabricante.
Los dispositivos auxiliares, no están sujetos a la aprobación del modelo o prototipo, sino que sólo deben ser declarados para los mismos efectos, esto es, comprobar que cumplan con las especificaciones y nomenclatura utilizada por el fabricante.
La evaluación se enfoca sobre los siguientes componentes:
7.4.2.1.1 Tarjetas electrónicas
Corroborar, mediante revisión ocular y física, que cada tarjeta contenga los siguientes identificadores, de forma visible, permanente e imborrable:
a)    Marca (Nombre, letra, holograma o logotipo de identificación característicos de la marca en función);
b)    Número de identificación de la tarjeta;
c)    Número de revisión o versión de la misma, y
d)    En caso de existir algún cambio, reemplazo, modificación o actualización de diseño, éste debe ser informado y explicado por el fabricante a la autoridad competente.
Todas las tarjetas electrónicas deben estar disponibles para su revisión.
7.4.2.1.2 Circuito integrado encapsulado
Evaluar visualmente que el circuito integrado que contiene el o los programas principales se encuentren cubiertos totalmente por una membrana de un material transparente que permita la identificación del circuito integrado, como resina epóxica, cerámica, vidrio, u otro material que lo adhiera permanentemente a la tarjeta de circuito impreso, para asegurar de que en caso de una alteración o intervención quede evidencia visual fácilmente identificable.
Los circuitos electrónicos que contienen software y/o información del software deben contar con encapsulados de montaje de superficie, deben encontrarse incluidos en la placa de manera permanente y sus partes no deben poder ser removidas o sustituidas sin dejar marca, para asegurar de que en caso de una alteración o intervención quede evidencia visual fácilmente identificable.
7.4.2.1.3 Programa del sistema para medición y despacho de Gas L.P.
El programa o programas de cómputo deben ser controlados y administrados única y exclusivamente por el fabricante del sistema para medición y despacho de Gas L.P. La autentificación de estos programas debe ser a través de la suma de comprobación MD5.
Los programas de cómputo deben estar disponibles para su lectura, exclusivamente a través de un puerto serial punto a punto (RS232, RS485, USB o MicroUSB), cuyos parámetros de comunicación deben ser proporcionados por el fabricante del sistema para medición y despacho de Gas L.P.
La actualización de los programas de cómputo debe realizarse de forma local, esto es, reemplazando la tarjeta que contiene los circuitos integrados que albergan tales programas de cómputo, o bien, mediante la escritura de los mismos a través de un puerto de comunicación, incluyendo el puerto serial punto a punto (RS232, RS485, USB o MicroUSB).
La lectura de los programas de cómputo a través del puerto serial punto a punto (RS232, RS485, USB o MicroUSB) debe de ser condicionada a digitar una contraseña en el panel de control del sistema para medición y despacho de Gas L.P., la cual debe ser entregada a la Procuraduría para poder realizar las verificaciones por autoridad competente, así como al Centro Nacional de Metrología o a los Institutos Designados de Metrología para la aprobación del modelo o prototipo.
7.4.2.1.4 Bitácora de eventos
El sistema para medición y despacho de Gas L.P. debe generar una bitácora de eventos, en la cual se deben registrar de manera consecutiva los eventos de hasta 12 meses de operación normal. La bitácora debe poder ser descargada por medio del puerto serial punto a punto (RS232, RS485, USB o MicroUSB), y su descarga debe estar condicionada a digitar una contraseña en el panel de control del sistema para medición y despacho de Gas L.P., la cual debe ser entregada a la Procuraduría para poder realizar las verificaciones por autoridad competente, así como al Centro Nacional de Metrología o a los Institutos Designados de Metrología para la aprobación del modelo o prototipo.
7.4.2.1.4.1 Los eventos que se deben registrar son:
a)    Contador de sucesos;
b)    Ajustes hechos a un sistema para medición y despacho de Gas L.P. (ajustes a la entrega) incluyendo lado, identificación del producto y valor del factor de ajuste;
c)    Cambio de precios incluyendo la identificación de la manguera de descarga de que se trate y el valor del nuevo precio;
d)    Accesos al sistema electrónico (apertura de puertas o del sistema electrónico);
e)    El acceso al modo de programación;
f)     Cambio de fecha y hora del sistema, incluyendo la nueva fecha y hora;
g)    Actualización del o los programas de cómputo incluyendo la o las versiones a la que se actualizó;
h)    Identificación del usuario que generó el evento;
i)     El parámetro afectado y su nuevo valor, y
j)     En caso de que aplique, el histórico de correcciones realizadas.
7.4.2.1.4.2 El registro del evento debe incluir la fecha y la hora de ejecución. En el caso de que la descripción de los eventos esté abreviada, se debe entregar a la Procuraduría, Centro Nacional de Metrología o a los Institutos Designados de Metrología la tabla donde se indique a que evento corresponde cada abreviatura.
7.4.2.2 Seguridad de operación en pruebas y análisis
7.4.2.2.1 Aparatos y equipo
a)    Computadora portátil con puerto serial punto a punto (RS232, RS485, USB o MicroUSB) y cables de conexión del sistema para medición y despacho de Gas L.P.
b)    Multímetro.
7.4.2.2.2 Características del sistema para medición y despacho de Gas L.P. a analizar.
Debe contar con todos los componentes propios y la evaluación se debe realizar a valores de tensión eléctrica nominales. El equipo debe contar con los lineamientos de seguridad interna y externa que señala la NOM-001-SCFI-2018 y la NOM-001-SEDE-2012 (ver 2.1 y 2.2).
7.4.2.2.3 Preparación del sistema para medición y despacho de Gas L.P.
Las carátulas indicadoras no deben presentar variaciones que sean producto o no del desplazamiento propio del dispositivo de medición seleccionado, cuando éste no se encuentre en función, y este desplazamiento sea sensado por el dispositivo computador.
7.4.2.2.4 Determinación de las condiciones de prueba
El sistema para medición y despacho de Gas L.P. debe cumplir con los lineamientos de seguridad indicados y requerimientos del fabricante para una operación segura de sus sistemas para medición y despacho de Gas L.P. Además, el instrumento no debe ser probado en lugares cercanos a líneas de transmisión de corriente eléctrica de alta tensión, que puedan alterar el contenido de los circuitos electrónicos o causar algún daño a los mismos.
7.4.2.2.5 Procedimiento de evaluación electrónica
Durante esta prueba los sistemas para medición y despacho de Gas L.P., no deben despachar combustible.
7.4.2.2.5.1 El sistema para medición y despacho de Gas L.P. debe estar libre de obstrucciones en sus secciones electrónica y mecánica para su evaluación.
7.4.2.2.5.2 Registrar por cada sistema para medición y despacho de Gas L.P., los datos siguientes, de acuerdo con el procedimiento o guía de configuración que proporcione el fabricante:
a)    Marca;
b)    Modelo;
c)    Número de serie del sistema para medición y despacho de Gas L.P.;
d)    Posición de carga o número de identificación del auto-tanque;
e)    Precio unitario y tipo de combustible, e
f)     Indicación del totalizador de ventas realizadas, en volumen (o masa) y precio unitario, para cada producto y posición de carga del sistema para medición y despacho de Gas L.P.
7.4.2.2.5.3 Toma de lecturas
Tomar lecturas del totalizador acumulado del sistema para medición y despacho de Gas L.P., con la finalidad de comprobar su operación y registro, respecto del totalizador instantáneo. Se debe comprobar manualmente el resultado del producto del volumen o masa entregada por el precio por litro o kilogramo del combustible, contra la lectura indicada del importe de la venta mostrado por el sistema para medición y despacho de Gas L.P.
7.4.2.2.5.4 Evaluación de las conexiones del módulo electrónico
Realizar la revisión de los arneses eléctricos y del cableado en general de las conexiones de tipo eléctrico, comunicaciones o datos; con el fin de determinar si se cumple con el prototipo, esto es, con las características técnicas designadas por el fabricante.
7.4.2.2.5.5 Revisión del pulsador
Abrir de ser posible, tomando en consideración que en algunos casos viene sellado de fábrica. Para ello se toma en cuenta lo siguiente, basado y fundamentado en la información especificada por el fabricante:
a)    El pulsador debe cumplir con las especificaciones y diseño del fabricante, a fin de atender lo dispuesto en los numerales 5.2 y 5.3 de esta Norma Oficial Mexicana.
b)    El estado físico del pulsador tenga las conexiones de alimentación, datos y tierra en la forma indicada en los manuales emitidos por el fabricante y sin alteraciones.
7.4.2.2.5.6 Revisión de sistema electrónico
Revisar visualmente las conexiones, así como las tarjetas electrónicas y de comunicaciones, mismas que deben corresponder a las especificadas por el fabricante del sistema para medición y despacho de Gas L.P. en función, revisando además que no existan cables, conexiones o dispositivos electrónicos ajenos al prototipo (ver 7.4.2).
Al constatar que no existe alteración en la parte electrónica, se procede a la revisión de la configuración del sistema para medición y despacho de Gas L.P., de acuerdo con el numeral 7.4.2.2.5.2.
7.4.2.2.5.7 Prueba de la configuración a través de la programación del sistema para medición y despacho de Gas L.P.
Dependiendo de la marca, modelo y dispositivo computador contenido en el sistema para medición y despacho de Gas L.P., ingresar al modo de programación del mismo.
a)    Tomar los datos correspondientes a la programación del dispositivo computador y cotejarlos con los proporcionados por el fabricante.
b)    Realizar ensayos a las funciones de programación del dispositivo computador, de acuerdo con la información proporcionada por el fabricante, respecto de:
i.     Los despachos, tanto en volumen (o masa) como en monto programados;
ii.     El cambio de precios;
iii.    La descarga de la bitácora de eventos;
iv.    Los ajustes electrónicos;
v.     La versión del programa de cómputo que opera el sistema para medición y despacho de Gas L.P, y
vi.    La batería de respaldo.
7.4.2.2.5.8 Prueba de retención de información en pantallas y configuración ante una falla en el suministro de energía.
Apegado al manual correspondiente a la marca del sistema para medición y despacho de Gas L.P., interrumpir su suministro de energía eléctrica. La prueba se da por aprobada si cumple las dos siguientes condiciones:
a)    Al menos por cinco minutos, las carátulas indicadoras mantienen visibles e inalterables los datos del último despacho:
i.     Volumen o masa (según aplique).
ii.     Precio unitario.
iii.    Importe de la venta.
b)    Al restablecerse el suministro de energía eléctrica, el sistema para medición y despacho de Gas L.P. mantiene la configuración.
7.4.2.2.5.9 Prueba de evaluación de la o las versiones de los programas de cómputo que controlan el funcionamiento del sistema para medición y despacho de Gas L.P. contenidas en la o las tarjetas de control.
Apegarse al manual correspondiente del sistema para medición y despacho de Gas L.P. según sea la marca y dependiendo de su modelo, puede estar dotado con más de un programa que controla su funcionamiento.
7.4.2.2.6 Procedimiento de evaluación de los programas de cómputo que controlan el funcionamiento del sistema para medición y despacho de Gas L.P.
7.4.2.2.6.1 Para evaluar los programas de cómputo:
a)    De ser necesario libere la sección de comunicación;
b)    De ser necesario, interrumpir el suministro de energía al sistema para medición y despacho de Gas L.P. desde el tablero de control eléctrico o desde su fuente de alimentación independiente, siguiendo las recomendaciones del fabricante;
c)    Dependiendo de la marca, modelo y computador contenido en el sistema para medición y despacho de Gas L.P., realizar la conexión del puerto serial punto a punto (RS232, RS485, USB o MicroUSB) a la computadora portátil y ejecutar el programa de comunicación correspondiente. Este programa debe establecer y utilizar el protocolo de comunicación indicado por el fabricante del sistema para medición y despacho de Gas L.P.;
d)    Seguir el procedimiento de descarga del programa que controla el funcionamiento del sistema para medición y despacho de Gas L.P., debiendo realizar la descarga por el puerto serial punto a punto (RS232, RS485, USB o MicroUSB) a que hace referencia el numeral 7.4.2.1.3, de tal manera que se obtenga el programa en un archivo electrónico para poder realizar su autenticación de acuerdo con el numeral 7.4.2;
e)    Para realizar la descarga del programa por el puerto serial punto a punto (RS232, RS485, USB o MicroUSB), debe utilizarse un programa comercial para realizar la comunicación con la computadora. En caso de que el fabricante utilice un programa propietario para realizar la descarga del programa de cómputo, tal programa propietario debe ser autenticado con el mismo procedimiento descrito en el numeral 7.4.2, y
f)     Para obtener la suma de comprobación, el programa para aplicar el algoritmo de reducción criptográfica MD5 debe ser comercial.
7.4.2.2.6.2 Suma de comprobación de los programas de cómputo.
Conocida la versión del o los programas de cómputo que operan el sistema para medición y despacho de Gas L.P. (la cual se muestra en la pantalla del sistema para medición y despacho de Gas L.P.), se compara la suma de comprobación obtenida en la computadora contra la suma de comprobación proporcionada por el fabricante, debiendo coincidir. El algoritmo utilizado para el cálculo de la suma de comprobación es el conocido como MD5.
7.4.2.2.6.3 Validación, evaluación y aprobación del o los programas de cómputo.
Anotar los datos desplegados en la pantalla del sistema para medición y despacho de Gas L.P. y el resultado de la lectura de la suma de comprobación obtenida en el numeral 7.4.2.2.6.2.
7.4.2.2.6.4 Bitácora de eventos.
La bitácora, debe ser descargada por medio del puerto serial punto a punto (RS232, RS485, USB o MicroUSB), conforme a las instrucciones del fabricante, y su descarga debe estar condicionada a digitar una contraseña en el panel de control del sistema para medición y despacho de Gas L.P., la cual debe ser entregada a la Procuraduría para poder realizar las verificaciones por autoridad competente, al Centro Nacional de Metrología o a los Institutos Designados de Metrología para la aprobación del modelo o prototipo.
El registro del evento debe incluir la fecha y la hora de ejecución, en el caso de que la descripción de los eventos esté abreviada, se debe entregar a la Procuraduría, al Centro Nacional de Metrología o a los Institutos Designados de Metrología la tabla en donde se indique a qué evento corresponde.
7.4.2.2.6.5 Restablecimiento del sistema para medición y despacho de Gas L.P.:
a)    Salir del programa de comunicación del sistema para medición y despacho de Gas L.P., siguiendo las recomendaciones del fabricante;
b)    Desconectar el conector serial del puerto de comunicación punto a punto (RS232, RS485, USB o
MicroUSB), entre el sistema para medición y despacho de Gas L.P. y la computadora portátil;
c)    Restablecer el sistema para medición y despacho de Gas L.P. mediante el tablero eléctrico de control o por su fuente de poder independiente (en caso de haberse requerido suspender la energía eléctrica para su evaluación);
d)    Realizar prueba efectuando un despacho de combustible del sistema para medición y despacho de Gas L.P. para corroborar su funcionamiento, y
e)    Cerrar el sistema para medición y despacho de Gas L.P. anotando todos los datos encontrados durante la evaluación.
8. Información comercial
Los fabricantes, importadores y comercializadores de los sistemas para medición y despacho de Gas L.P. deben estampar en forma permanente y visible en la parte externa del cuerpo del sistema para medición y despacho de Gas L.P., los siguientes datos como mínimo:
a)    Marca o nombre del fabricante;
b)    Número de serie asignado por el fabricante;
c)    Tipo y modelo;
d)    Intervalo de gasto del sistema para medición y despacho de Gas L.P. para el cual está diseñado;
e)    Año de fabricación, y
f)     Número de aprobación del modelo o prototipo.
Para los sistemas para medición y despacho de Gas L.P. instalados en las Estaciones de Servicio con fin Específico y multimodal, adicionalmente deben llevar en forma permanente y visible lo siguiente:
a)    La leyenda aviso al consumidor;
b)    Identificación del producto, y
c)    La leyenda "HECHO EN MÉXICO" para productos de fabricación nacional o indicación del país de origen para los de importación.
NOTA. Las leyendas o avisos al consumidor consisten en letreros con las siguientes leyendas o equivalentes:
i.     Importante para el consumidor;
ii.     Asegúrese que antes de la venta los indicadores marquen ceros;
iii.    Verifique que el precio por litro o kilogramo sea el correcto, y
iv.    Signo de pesos en la carátula.
En el empaque o embalaje de los sistemas para medición y despacho de Gas L.P., se deben marcar como mínimo los datos siguientes:
a)    Marca o nombre del fabricante;
b)    Modelo;
c)    Número de serie;
d)    La leyenda "HECHO EN MÉXICO" para productos de fabricación nacional o indicación del país de origen para los de importación, y
e)    Nombre y domicilio del fabricante nacional o del importador.
9. Verificación y Vigilancia
La Verificación y Vigilancia de la presente Norma Oficial Mexicana estará a cargo de la Secretaría, por conducto de la Dirección General de Normas y de la Procuraduría, conforme a sus respectivas atribuciones.
Para tal efecto, se requerirá que todos los sujetos obligados a la Verificación y Vigilancia de la presente Norma Oficial Mexicana se den de alta en la Plataforma de Vigilancia Permanente (ver Apéndice A), mediante la cual se ejercerá una verificación permanente y se revisará el cumplimiento de las especificaciones contenidas en el presente documento.
9.1 Verificación por autoridad competente
La verificación realizada por la Procuraduría a los sistemas para medición y despacho de Gas L.P., enajenados e instalados, debe efectuarse de conformidad con los siguientes numerales:
9.1.1 Verificación visual
Se verifica que el sistema para medición y despacho de Gas L.P. cumpla con las especificaciones y los requisitos siguientes:
El sistema para medición y despacho de Gas L.P. para ser usado y considerado, como apto, para realizar transacciones comerciales, no debe presentar en su funcionamiento condiciones que generen desperfectos, es decir, se requiere que estén instalados correctamente, no haya piezas sueltas u otras deficiencias evidentes. Además, se debe verificar que cuenta con las leyendas siguientes:
a)    Importante para el consumidor;
b)    Asegúrese que antes de la venta los indicadores marquen ceros;
c)    Verifique que el precio por litro o kilogramo sea el correcto, y
d)    Signo de pesos en la carátula.
Los sistemas para medición y despacho de Gas L.P., una vez instalados en auto-tanques, Estaciones de Servicio con fin Específico y multimodales deben indicar en forma clara y precisa la cantidad de producto a despachar.
9.1.1.1 Dispositivo computador
El totalizador acumulado del dispositivo computador al inicio de cada transacción debe marcar ceros y debe indicar como mínimo el volumen de combustible despachado, el precio por litro o kilogramo y el importe de la venta.
9.1.1.2 Carátula indicadora
Se debe verificar que cumpla con lo establecido en el numeral 5.5.1, inciso c).
9.1.1.3 Interruptor de acceso al modo de ajuste electrónico
Además de cumplir con el numeral 6.4.1 este interruptor debe poseer los aditamentos especiales necesarios para colocar los dispositivos oficiales de inviolabilidad, con el objeto de que éstos permanezcan en el lugar correspondiente.
El sistema para medición y despacho de Gas L.P. debe contar con la contraseña de verificación señalada en el numeral 10.3.4 de la verificación inicial o periódica o extraordinaria anterior y se debe constatar que éstos no han sido violados o alterados por cualquier medio como, por ejemplo: aplicación de calor o acción de una fuerza.
9.1.1.4 Manguera de descarga
Se debe verificar visualmente que las mangueras de descarga no presenten un riesgo evidente de fugas por daños, para lo cual se recomienda la prueba con soluciones jabonosas, así como las adaptaciones que afecten su funcionamiento.
9.1.2 Verificación de cualidades metrológicas
Para este numeral se debe aplicar lo indicado en el capítulo 7.
9.1.2.1 Verificación del sistema electrónico y programas de cómputo
Con la información indicada en el numeral 7.4.2, se debe efectuar una verificación para autentificar el sistema electrónico y programas de cómputo, los accesorios y demás componentes, equipos o sistemas vinculados o conectados al sistema para medición y despacho de Gas L.P., los cuales deben coincidir con la aprobación del modelo o prototipo.
9.1.2.3 Procedimiento
La verificación referente a la parte electrónica del sistema para medición y despacho de Gas L.P., debe ser determinada mediante la información proporcionada por el fabricante, la cual está indicada en el numeral 7.2, comprobando directamente que los componentes electrónicos que integran la parte electrónica del sistema para medición y despacho de Gas L.P., cumplan con las especificaciones y nomenclatura aprobadas.
Se hace excepción de los componentes electrónicos originales, cuando los sustituidos cuenten con la aprobación de la autoridad competente y siempre y cuando los programas de cómputo sean los originales instalados por el fabricante y la verificación de la suma de comprobación cumpla con lo establecido en el numeral 8.3.2.6.2.
9.1.2.4 Seguridad de operación en pruebas y análisis
9.1.2.4.1 Aparatos y equipo.
Para este numeral se debe aplicar lo indicado en el numeral 7.4.2.2.1.
9.1.2.4.2 Características del sistema para medición y despacho de Gas L.P. a verificar.
Debe contar con todos los aditamentos propios y la verificación se debe realizar a valores de tensión eléctrica nominales.
El equipo debe contar con los lineamientos de seguridad interna y externa que señala la NOM-001-SCFI-2018.
9.1.2.4.3 Preparación del sistema para medición y despacho de Gas L.P.
Las carátulas indicadoras no deben presentar variaciones que sean producto o no del desplazamiento propio del sistema para medición y despacho de Gas L.P. cuando éste no se encuentre en función, según el numeral 7.4.2.2.3, y este desplazamiento sea sensado por el dispositivo computador.
9.1.2.4.4 Procedimiento de verificación electrónica.
Durante esta prueba, los instrumentos de medición del sistema para medición y despacho de Gas L.P. necesitan no despachar combustible y la verificación debe realizarse en presencia del visitado.
9.1.2.4.4.1 El sistema para medición y despacho de Gas L.P. debe estar libre de obstrucciones en sus secciones electrónica y mecánica para su evaluación.
9.1.2.4.4.2 Registrar por cada sistema para medición y despacho de Gas L.P., los datos siguientes, de acuerdo con el procedimiento o guía de configuración que proporcione el fabricante:
a)    Marca;
b)    Modelo;
c)    Número de serie del sistema para medición y despacho de Gas L.P.;
d)    Posición de carga o número de identificación del auto-tanque;
e)    Precio unitario y tipo de combustible, e
f)     Indicación del totalizador de ventas realizadas, en volumen o masa y precio unitario, para cada producto y posición de carga del sistema para medición y despacho de Gas L.P.
9.1.2.4.4.3 Toma de lecturas.
Tomar lecturas del totalizador acumulado del sistema para medición y despacho de Gas L.P., con la finalidad de comprobar su operación y registro, respecto del totalizador instantáneo. Se debe comprobar manualmente el resultado del producto del volumen o masa entregada por el precio por litro o kilogramo del combustible, contra el importe de la venta mostrado por el sistema para medición y despacho de Gas L.P.
9.1.2.4.4.4 Evaluación de las conexiones del módulo electrónico.
Realizar la revisión de los arneses eléctricos y del cableado en general de las conexiones de tipo eléctrico, comunicaciones o datos; con el fin de determinar si se cumple con el prototipo, esto es, con las características técnicas designadas por el fabricante para el modelo aprobado.
9.1.2.4.4.5 Revisión del pulsador.
Abrir de ser posible, tomando en consideración que en algunos casos viene sellado de fábrica. Para ello se toma en cuenta lo siguiente, basado y fundamentado en la información especificada por el fabricante:
a)    El pulsador debe cumplir con las especificaciones y diseño del fabricante, a fin de atender lo dispuesto en los numerales 5.2 y 5.3 de esta Norma Oficial Mexicana.
b)    El estado físico del pulsador tenga las conexiones de alimentación, datos y tierra en la forma indicada en los manuales emitidos por el fabricante y sin alteraciones.
9.1.2.4.4.6 Revisión de sistema electrónico.
Revisar visualmente las conexiones, así como las tarjetas electrónicas y de comunicaciones, mismas que deben corresponder a las especificadas por el fabricante del sistema para medición y despacho de Gas L.P. en función, revisando además que no existan cables, conexiones o dispositivos electrónicos ajenos al prototipo (ver 7.4.2).
Al constatar que no existe alteración en la parte electrónica, se procede a la revisión de la configuración del sistema para medición y despacho de Gas L.P., de acuerdo con el numeral 7.4.2.2.5.2.
9.1.2.4.4.7 Prueba de la configuración a través de la programación del sistema para medición y despacho de Gas L.P.
Dependiendo de la marca, modelo y dispositivo computador contenido en el sistema para medición y despacho de Gas L.P., ingresar al modo de programación del mismo.
a)    Tomar los datos correspondientes a la programación del dispositivo computador y cotejarlos con los proporcionados por el fabricante.
b)    Realizar ensayos a las funciones de programación del dispositivo computador, de acuerdo con la información proporcionada por el fabricante, respecto de:
i.     Los despachos, tanto en volumen o masa como en el monto programado;
ii.     El cambio de precios;
iii.    La descarga de la bitácora de eventos;
iv.    Los ajustes electrónicos;
v.     La versión del programa de cómputo que opera el sistema para medición y despacho de Gas L.P., y
vi.    La batería de respaldo.
9.1.2.4.4.8 Prueba de retención de información en pantallas y configuración ante una falla en el suministro de energía.
Apegado al manual correspondiente a la marca del sistema para medición y despacho de Gas L.P., interrumpir su suministro de energía eléctrica. La prueba se da por aprobada si cumple las dos siguientes condiciones:
a)    Al menos por cinco minutos, las carátulas indicadoras mantienen visibles e inalterables los datos del último despacho:
i.     Volumen o masa (según aplique);
ii.     Precio unitario, y
iii.    Importe de la venta.
b)    Al restablecerse el suministro de energía eléctrica, el sistema para medición y despacho de Gas L.P. mantiene la configuración.
9.1.2.4.4.9 Prueba de evaluación de la o las versiones de los programas de cómputo que controlan el funcionamiento del sistema para medición y despacho de Gas L.P. contenidas en la o las tarjetas de control.
Apegarse al manual correspondiente del sistema para medición y despacho de Gas L.P. según sea la marca y dependiendo de su modelo, puede estar dotado con más de un programa que controla su funcionamiento.
9.1.2.4.4.10 Procedimiento de evaluación de los programas de cómputo que controlan el funcionamiento del sistema para medición y despacho de Gas L.P.
9.1.2.4.4.11 Para evaluar los programas de cómputo:
a)    De ser necesario libere la sección de comunicación;
b)    De ser necesario, interrumpir el suministro de energía al sistema para medición y despacho de Gas L.P. desde el tablero de control eléctrico o desde su fuente de alimentación independiente, siguiendo las recomendaciones del fabricante;
c)    Dependiendo de la marca, modelo y computador contenido en el sistema para medición y despacho de Gas L.P., realizar la conexión del puerto serial punto a punto (RS232, RS485, USB o MicroUSB) a la computadora portátil y ejecutar el programa de comunicación correspondiente. Este programa debe establecer y utilizar el protocolo de comunicación indicado por el fabricante del sistema para medición y despacho de Gas L.P.;
d)    Seguir el procedimiento de descarga del programa que controla el funcionamiento del sistema para medición y despacho de Gas L.P., debiendo realizar la descarga por el puerto serial punto a punto (RS232, RS485, USB o MicroUSB) a que hace referencia el numeral 7.4.2.1.3, de tal manera que se obtenga el programa en un archivo electrónico para poder realizar su autenticación de acuerdo con el numeral 7.4.2;
e)    Para realizar la descarga del programa por el puerto serial punto a punto (RS232, RS485, USB o MicroUSB), debe utilizarse un programa comercial para realizar la comunicación con la computadora. En caso de que el fabricante utilice un programa propietario para realizar la descarga del programa de cómputo, tal programa propietario debe ser autenticado con el mismo procedimiento descrito en el numeral 7.4.2, y
f)     Para obtener la suma de comprobación, el programa para aplicar el algoritmo de reducción criptográfica MD5 debe ser comercial.
9.1.2.4.4.12 Suma de comprobación de los programas de cómputo.
Conocida la versión del o los programas de cómputo que operan el sistema para medición y despacho de Gas L.P. (la cual se muestra en la pantalla del sistema para medición y despacho de Gas L.P.), se compara la suma de comprobación obtenida en la computadora contra la suma de comprobación proporcionada por el fabricante, debiendo coincidir. El algoritmo utilizado para el cálculo de la suma de comprobación es el conocido como MD5.
9.1.2.4.4.13 Validación, evaluación y aprobación del o los programas de cómputo.
Anotar los datos desplegados en la pantalla del sistema para medición y despacho de Gas L.P. y el resultado de la lectura de la suma de comprobación obtenida en el numeral 9.1.2.4.4.12.
9.1.2.4.4.14 Bitácora de eventos.
La bitácora, debe ser descargada por medio del puerto serial punto a punto (RS232, RS485, USB o MicroUSB), conforme a las instrucciones del fabricante, y su descarga debe estar condicionada a digitar una contraseña en el panel de control del sistema para medición y despacho de Gas L.P., la cual debe ser entregada a la Procuraduría para poder realizar las verificaciones por autoridad competente, así como al Centro Nacional de Metrología o a los Institutos Designados de Metrología para la aprobación del modelo o prototipo.
El registro del evento debe incluir la fecha y la hora de ejecución, en el caso de que la descripción de los eventos esté abreviada, se debe entregar a la Procuraduría, al Centro Nacional de Metrología o a los Institutos Designados de Metrología la tabla en donde se indique a qué evento corresponde.
Los eventos a verificar deben apegarse a lo indicado en la siguiente Tabla:
 
Descripción
Verificar
CALI
Los registros de ajuste deben estar documentados con dictámenes expedidos por unidad de inspección acreditada y aprobada o por la Procuraduría.
CAMP
Los registros del cambio de precio deben coincidir con la información proporcionada a la autoridad competente.
APPU
Los registros de la apertura de puerta deben coincidir con la información señalada en hojas de control que al efecto se lleven.
ACMO
Los registros de acceso al modo de programación y las acciones realizadas (actividades, comandos y rutinas) deben coincidir con la información señalada en las hojas de control que al efecto se lleven.
CAMF
Registro del cambio de fecha y hora del sistema incluyendo la nueva fecha y hora, debe coincidir con la información señalada en las hojas de control que al efecto se lleven.
ACTU
Registro de actualización del o los programas del sistema para medición y despacho de Gas L.P. incluyendo la versión a la que se actualizó, debe coincidir con la información señalada en las hojas de control que al efecto se lleven.
 
9.1.2.4.4.15 Restablecimiento del sistema para medición y despacho de Gas L.P.
a)    Salir del programa de comunicación del sistema para medición y despacho de Gas L.P., siguiendo las recomendaciones del fabricante;
b)    Desconectar el conector serial del puerto de comunicación punto a punto (RS232, RS485, USB o MicroUSB), entre el sistema para medición y despacho de Gas L.P. y la computadora portátil;
c)    Restablecer el sistema para medición y despacho de Gas L.P. mediante el tablero eléctrico de control o por su fuente de poder independiente (en caso de haberse requerido suspender la energía eléctrica para su evaluación);
d)    Realizar prueba efectuando un despacho de combustible del sistema para medición y despacho de Gas L.P. para corroborar su funcionamiento, y
e)    Cerrar el sistema para medición y despacho de Gas L.P. anotando todos los datos encontrados durante la evaluación.
10. Procedimiento de Evaluación de la conformidad.
La evaluación de la conformidad de los sistemas para medición y despacho de Gas L.P. objeto de la presente Norma Oficial Mexicana, se llevará a cabo por la Procuraduría y las unidades de inspección acreditadas y aprobadas en términos de lo dispuesto por la Ley de Infraestructura de la Calidad y su Reglamento.
10.1 El esquema de evaluación de la conformidad de la presente Norma Oficial Mexicana se compondrá de tres tipos de inspección: inicial, periódica y extraordinaria.
10.1.1 El permisionario de distribución por medio de auto-tanque o expendio de Gas L.P. debe solicitar la inspección inicial del sistema para medición y despacho de Gas L.P., previo a su utilización en transacciones comerciales.
10.1.2 La inspección periódica para los sistemas para medición y despacho de Gas L.P. se debe realizar anualmente y es responsabilidad del permisionario de distribución por medio de auto-tanque o expendio de Gas L.P. solicitar dicha inspección.
10.1.3 La inspección extraordinaria podrá ser solicitada por el permisionario de distribución por medio de auto-tanque o expendio de Gas L.P. en cualquier momento.
En cualquiera de sus modalidades, la inspección de los sistemas para medición y despacho de Gas L.P. contempla la inspección visual y de cualidades metrológicas a fin de determinar el cabal cumplimiento de las especificaciones contenidas en los capítulos 4, 5, 6, 7 y 8 de la presente Norma Oficial Mexicana.
10.2 Inspección visual
Se verifica que el sistema para medición y despacho de Gas L.P. cumpla con las especificaciones y los requisitos siguientes:
El sistema para medición y despacho de Gas L.P. para ser usado y considerado, como apto, para realizar transacciones comerciales, no debe presentar en su funcionamiento condiciones que generen desperfectos, es decir, se requiere que estén instalados correctamente, no haya piezas sueltas u otras deficiencias evidentes. Además, se debe verificar que cuenta con las leyendas siguientes:
a)    Importante para el consumidor;
b)    Asegúrese que antes de la venta los indicadores marquen ceros;
c)    Verifique que el precio por litro sea el correcto, y
d)    Signo de pesos en la caratula.
Los sistemas para medición y despacho de Gas L.P., una vez instalados en auto-tanques, Estaciones de Servicio con fin Específico y multimodales deben indicar de forma clara y precisa el tipo de operación.
10.2.1 Dispositivo computador
El totalizador acumulador del dispositivo computador debe marcar ceros e indicar como mínimo el volumen o masa del Gas L.P. despachado, el precio por litro o kilogramo y el importe de la venta.
10.2.2 Carátula indicadora
Debe cumplir con lo establecido en el numeral 5.5.1, inciso c).
10.2.3 Interruptor de acceso al modo de ajuste electrónico
Además de cumplir con el numeral 6.4.1 este interruptor debe poseer los aditamentos especiales necesarios para colocar los dispositivos oficiales de inviolabilidad; éstos deben permanecer en el lugar correspondiente.
En la inspección periódica o extraordinaria el sistema para medición y despacho de Gas L.P. debe contar con la "contraseña" señalada en el numeral 5.9.3 de la inspección inicial, periódica o extraordinaria anterior y se debe constatar que éstos no han sido violados o alterados por cualquier medio, como, por ejemplo: aplicación de calor o acción de una fuerza.
10.2.4 Dispositivos de despacho.
10.2.4.1 Manguera de descarga.
Se debe constatar visualmente que las mangueras de descarga, así como el separador mecánico y la válvula de descarga, no presenten daños en la pared externa, ni fisuras que permitan fugas, así como adaptaciones que afecten su funcionamiento según especificaciones del fabricante del sistema para medición y despacho de Gas L.P.
10.3 Inspección de cualidades metrológicas.
Esta evaluación debe llevarse a cabo en todas las inspecciones: inicial, periódicas y extraordinarias, de acuerdo con lo establecido en el capítulo 7.
10.3.1 Procedimiento.
Para esta inspección se debe aplicar lo indicado en el numeral 5.4.
10.3.2 Dispositivo de medición.
Se debe comprobar que la operación del sistema para medición y despacho de Gas L.P., dentro del intervalo de los valores de presión y temperatura definidos en 5.4.1, permite mantener las características metrológicas y su desempeño dentro de los errores máximos tolerados declarados en 5.4.2.
10.3.3 Ajustes.
En toda inspección inicial o periódica o extraordinaria, el sistema para medición y despacho de Gas L.P. debe ser ajustado siguiendo las indicaciones del procedimiento del fabricante, de forma tal, que permita un cambio en la curva de error, con el objetivo de que los errores se mantengan dentro del EMT especificado en
el numeral 5.4.2.
De no lograrse el ajuste del sistema para medición y despacho de Gas L.P. en los límites citados, la unidad que practica la inspección debe proceder a colocar una calcomanía, en la manguera de despacho correspondiente, que indique que el sistema para medición y despacho de Gas L.P. no cumple con los requerimientos de esta Norma Oficial Mexicana y, por lo tanto, no es apto para usarse en transacciones comerciales. El sistema para medición y despacho de Gas L.P. no debe ser usado hasta que se lleve a cabo la inspección extraordinaria correspondiente.
10.3.4 Contraseña de inspección.
Una vez realizada la inspección y determinado que el sistema para medición y despacho de Gas L.P. cumple satisfactoriamente con las características técnicas establecidas en este procedimiento, se procede a colocar los precintos de inviolabilidad de inspección en el dispositivo de ajuste electrónico y el holograma correspondiente a la altura del dispositivo computador sin obstruir el marcado ni las lecturas del sistema para medición y despacho de Gas L.P., que denoten que éste ha sido inspeccionado. Se expide el dictamen de inspección correspondiente con los datos de identificación del sistema para medición y despacho de Gas L.P., y de los auto-tanques, Estaciones de Servicio con fin Específico y multimodales en donde se encuentra instalado.
10.4 Las unidades de inspección y la Procuraduría, deberán llevar un registro consecutivo de manera documental y electrónica, de los servicios de inspección (ver 3.26, 3.27, 3.28 y 3.29 de esta Norma Oficial Mexicana), tales como solicitudes, hojas de resultados y dictámenes de inspección, de los sistemas para medición y despacho de Gas L.P. atendidos, donde se indique la marca, modelo, número de serie, aprobación del modelo o prototipo y los resultados de los mismos debiendo informar de ello, en cualquier tiempo, a la Dirección General de Normas o a la Procuraduría, cuando se les requiera.
Cuando se trate de sistemas para medición y despacho de Gas L.P. instalados en auto-tanques, adicional a lo indicado en el párrafo anterior deben registrar el número de placas y descripción del vehículo.
10.4.1 La aprobación del modelo o prototipo se otorgará a los fabricantes, importadores o comercializadores de los sistemas para medición y despacho de Gas L.P. que demuestren que el sistema para medición y despacho de Gas L.P. cumple con la presente Norma Oficial Mexicana.
Los sistemas para medición y despacho de Gas L.P. nuevos, que no cuenten con la aprobación del modelo o prototipo no podrán ser utilizados para realizar transacciones comerciales.
10.4.2 Para obtener la aprobación del modelo o prototipo se requiere un informe de prueba emitido por el Centro Nacional de Metrología o los Institutos Designados de Metrología conforme a lo dispuesto por la Ley de Infraestructura de la Calidad.
10.4.3 Cuando el modelo o prototipo de un sistema para medición y despacho de Gas L.P. cuente con su aprobación por parte del Centro Nacional de Metrología o los Institutos Designados de Metrología y requiera ser modificado, deberá solicitar nuevamente su aprobación de modelo o prototipo.
10.4.4 El Centro Nacional de Metrología o los Institutos Designados de Metrología pondrán a disposición del público en general en la Plataforma Tecnológica Integral de Infraestructura de la Calidad, el registro de los sistemas para medición y despacho de Gas L.P. que cuentan con la aprobación del modelo o prototipo; así como de los programas informáticos y sistemas electrónicos que controlan el funcionamiento de los sistemas de control a distancia o de administración, que cuentan con el Dictamen de compatibilidad respectivo.
10.4.5 Es responsabilidad de los fabricantes, importadores, comercializadores o desarrolladores de los Sistemas de control a distancia que se conectan a los Sistemas para medición y despacho de Gas L.P., obtener el dictamen de compatibilidad de dicho programa informático y/o sistemas electrónicos.
10.4.6 Es responsabilidad de los permisionarios utilizar en sus transacciones comerciales Sistemas de control a distancia que se conectan a los Sistemas para medición y despacho de Gas L.P., que cuenten con dictamen de compatibilidad de dicho programa informático y/o sistemas electrónicos.
En caso de que los programas informáticos y/o sistemas electrónicos incorporen partes, programas o mecanismos diferentes a los declarados y además se estén utilizando en transacciones comerciales se les aplicarán las sanciones previstas en la normatividad vigente.
10.5 Las unidades de inspección, la Procuraduría y las entidades de acreditación, deberán llevar un registro de los servicios de inspección (solicitudes y dictámenes), debiendo contener dentro de los registros de los expedientes de las unidades de inspección: la solicitud, hoja de resultados y dictámenes de los sistemas para medición y despacho de Gas L.P. atendidos, donde se indiquen los resultados de los mismos, teniendo la obligación de remitir la información y copia del expediente a las autoridades competentes, en el plazo que estas establezcan.
10.6 Las unidades de inspección y la Procuraduría usarán, para la prestación de sus servicios, instrumentos de medición y patrones de medida calibrados, debiendo contar con informe o certificado de calibración vigente expedido por laboratorios de calibración acreditados y aprobados o, en su caso, por el Centro Nacional de Metrología y los Institutos Designados de Metrología.
10.7 Una vez efectuada la inspección, si los resultados demuestran que el sistema para medición y despacho de Gas L.P. cumple con las especificaciones metrológicas que establece la presente Norma Oficial Mexicana, la unidad de inspección o la Procuraduría, deberán expedir un Dictamen de inspección donde se informen los resultados.
Adicionalmente deberá colocar en el sistema para medición y despacho de Gas L.P. un holograma que lo acredite, así como los dispositivos de inviolabilidad siguientes:
a)    En el indicador, y
b)    En los mecanismos de ajuste del propio sistema para medición y despacho de Gas L.P. de conformidad con lo previsto en el numeral 6.4.1, cuando éstos se encuentren fuera del indicador.
Las unidades de inspección deberán, además, adherir calcomanía, etiqueta o distintivo de su empresa, foliado, indicando la fecha de la inspección.
10.7.1 Para el caso del sistema para medición y despacho de Gas L.P. instalado en un auto-tanque, debe colocarse, en forma visible, sobre el sistema para medición y despacho de Gas L.P. un holograma, a fin de que se pueda constatar por parte del usuario final o bien de la autoridad competente que dicho instrumento ya fue verificado.
11.   Concordancia con Normas Internacionales
Esta Norma Oficial Mexicana no es equivalente (NEQ) con ninguna Norma Internacional, por no existir esta última al momento de su elaboración.
Apéndice A
(normativo)
Plataforma de Vigilancia Permanente (PVP)
A.1  Objetivo
Contar con una herramienta informática administrada por la Secretaría, a través de la Procuraduría, que apoye a la verificación y vigilancia de los sistemas para medición y despacho de Gas L.P. en el cumplimiento de las obligaciones previstas en esta Norma Oficial Mexicana y contribuyendo a la protección de los derechos del consumidor en materia de Gas L.P.
A.2  Sujetos Obligados
Permisionarios que emplean los sistemas para medición y despacho de Gas L.P. objeto de esta Norma Oficial Mexicana.
A.3  Características
La PVP cuenta con un módulo de registro de los sistemas para medición y despacho de Gas L.P. destinados a la venta, reparto y distribución de Gas L.P. El sistema para medición y despacho de Gas L.P., debe contar con las facilidades de comunicación y trasmisión de datos hacia la PVP. Para tal efecto, se presenta un ejemplo de diagrama para el envío de información:

Diagrama A.1 Ejemplo de diagrama para el envío de información.
Los datos a registrar del sistema para medición y despacho de Gas L.P. en auto-tanques, estaciones con fin Específico y multimodales deben ser los siguientes:
a)    Número de permiso otorgado por la Comisión Reguladora de Energía;
b)    Nombre o Razón social del Permisionario y Marca comercial correspondiente;
c)    Número de serie del sistema para medición y despacho de Gas L.P.;
d)    En el caso de auto-tanques, el número de serie del vehículo auto propulsado;
e)    En el caso de auto-tanques, número de serie del recipiente no desmontable;
f)     En el caso de auto-tanques, el número de placas del auto-tanque;
g)    Número de serie del o los dispositivos de inviolabilidad previstos en el numeral 10.3.4 de esta Norma Oficial Mexicana;
h)    Evidencia fotográfica de la instalación hidráulica;
i)     Dictamen vigente de calibración del sistema para medición y despacho de Gas L.P.;
j)     Precios registrados en el sistema para medición y despacho de Gas L.P. del periodo a reportar;
k)    Versión de software que controla el funcionamiento del sistema de medición;
l)     Fecha y hora del último ajuste de las cualidades metrológicas, y
m)   Factor de calibración del último ajuste de las cualidades metrológicas.
La información se debe integrar en la PVP conforme a lo siguiente:
A.    Del inciso a) al f): por la Procuraduría con base en los registros de los permisos otorgados por la Comisión Reguladora de Energía, para el alta o modificación;
B.    Del inciso g) al j): por el Permisionario de manera manual, al alta y/o dentro de las 24 h siguientes a que se dé algún cambio, y
C.    Del inciso k) al m): por el sistema para medición y despacho de Gas L.P. de manera mensual.
La PVP permitirá la baja de los sistemas para medición y despacho de Gas L.P. siempre y cuando exista evidencia documental que acredite la baja ante la Comisión Reguladora de Energía.
Se podrá modificar la información correspondiente al indicador o al dispositivo de medición, siempre y cuando existan las evidencias documentales de su reemplazo y se actualicen los números de serie según correspondan, los cuales deben constar en dichas evidencias.
Apéndice B
(Informativo)
Estimación de los factores de corrección para el fluido de trabajo
B.1  Agua
Estimación del factor de corrección por presión (CPL), se hace apegado al siguiente modelo matemático:
Donde:

Referencia: "Tabla recomendada para la densidad del agua entre 0 °C y 40 °C basada en informes experimentales recientes", M. Tanaka, G. Girant, R. Davis, A. Peuto y N. Bignell.
Estimación del factor de corrección por efecto de la expansión térmica (CTL), se hace apegado al siguiente modelo matemático:

Donde:
La densidad para el agua se estima empleando el siguiente modelo matemático:

Donde:
B.2  Gas L.P.
Estimación del factor de corrección por presión en el Gas LP (CPL), se hace apegado al siguiente diagrama de flujo:

Una forma simplificada se realiza con el siguiente modelo:

Donde:
F factor de compresibilidad del Gas L.P. (Adiabatic compressibility).
P Presión del fluido.
Estimación del factor de corrección por efecto de la expansión térmica en el Gas L.P. (CTL), se hace apegado al modelo matemático declarado en el documento MPMS API 11.2.4 o una forma simplificada se realiza apegándose al siguiente modelo:

Donde:
 











 
Apéndice C
(informativo)
Traducción de los numerales referidos en el numeral 7.4.1 de la Norma Oficial Mexicana, respecto de
la IEC 60079-11 Edición 6.0 2011-06
Atmósferas explosivas - Parte 11: Protección de equipos por seguridad intrínseca "i" Hoja de
interpretación 4.
5.6.4 Pistas en placas de circuito impreso para el Grupo I y el Grupo II
La clasificación de temperatura de las pistas de las placas de circuito impreso se determinará utilizando los datos disponibles o mediante mediciones reales.
Cuando las pistas estén hechas de cobre, la clasificación de temperatura puede determinarse usando la Tabla 3.
Por ejemplo, en placas de circuito impreso de al menos 0.5 mm de espesor, que tengan una pista conductora de al menos 33 mm de espesor en uno o ambos lados, aplicando los factores indicados en la Tabla 3, una clasificación de temperatura de T4 o Grupo I se dará a las pistas impresas si tienen un ancho mínimo de 0.3 mm y la corriente continua en las pistas no supera los 0.444 A. Asimismo, para anchos de pista mínimos de 0.5 mm, 1.0 mm y 2.0 mm, se dará T4 para corrientes máximas correspondientes de 0.648 A, 1.092 A y 1.833 A respectivamente.
Las longitudes de pista de 10 mm o menos no se tendrán en cuenta para fines de clasificación de temperatura.
Cuando la clasificación de temperatura de una vía deba determinarse experimentalmente, se utilizará la corriente continua máxima.
Las tolerancias de fabricación no deberán reducir los valores establecidos en esta cláusula en más del 10 % o 1 mm, lo que sea menor.
A falta de ensayo, donde la potencia máxima no supere los 1.3 W, las vías son aptas para una clasificación de temperatura T4 o Grupo I.
En ausencia de pruebas, donde se excluye el polvo y la potencia máxima no supera los 3.3 W, las pistas son aptas para el Grupo I.
Consulte la tabla de evaluación de clasificación de temperatura para áreas superficiales de componentes ³ 20 mm2 en IEC 60079-0. Variación en la disipación de potencia máxima con la temperatura ambiente en IEC 60079-0 donde se requiere una reducción para temperaturas ambiente superiores a 40 °C.
Tabla 3 - Clasificación de temperatura de pistas en placas de circuito impreso (a una temperatura
ambiente máxima de 40 °C)
Ancho de pista mínimo
Corriente máxima admisible para la clasificación de temperatura
mm
T1 a T4 y Grupo I
A
T5
A
T6
A
0.075
0.1
0.125
0.15
0.2
0.3
0.4
0.5
0.7
1.0
1.5
2.0
2.5
3.0
4.0
5.0
6.0
0.8
1.0
1.2
1.4
1.8
2.4
3.0
3.5
4.6
5.9
8.0
9.9
11.6
13.3
16.4
19.3
22.0
0.6
0.8
1.0
1.1
1.4
1.9
2.4
2.8
3.5
4.8
6.4
7.9
9.3
10.7
13.2
15.5
17.7
0.5
0.7
0.8
1.0
1.2
1.7
2.1
2.5
3.2
4.1
5.6
6.9
8.1
9.3
11.4
13.5
15.4
NOTA. El valor dado para la corriente máxima permitida, en amperes, es el valor r.m.s. a.c. o d.c..
Esta Tabla aplica para placas impresas de 1.6 mm o más de espesor con una sola capa de cobre de 33 mm de espesor
Para tableros con un espesor entre 0.5 mm y 1.6 mm, dividir la corriente máxima especificada por 1.2.
Para tableros con pistas conductoras en ambos lados, divida la corriente máxima especificada por 1.5.
Para tableros multicapa, para la capa de pista en consideración, divida la corriente máxima especificada por 2.
Para espesores de cobre de 18 mm, dividir la corriente máxima por 1.5.
Para espesores de cobre de 70 mm, multiplique la corriente máxima por 1.3.
Para pistas que pasan por debajo de componentes que disipan 0.25 W o más, ya sea normalmente o en condiciones de falla, divida la corriente máxima especificada por 1.5.
En las terminaciones de los componentes que disipan 0.25 W o más, ya sea normalmente o en condiciones de falla, y para 1.00 mm a lo largo del conductor, multiplique el ancho de vía por 3 o divida la corriente máxima especificada por 2. Además, si la vía va debajo del componente, aplique el factor especificado para pistas que pasan debajo de componentes que disipan 0.25 W o más.
Para temperatura ambiente de hasta 60 °C, divida la corriente máxima por 1.2.
Para temperatura ambiente hasta 80 °C, divida la corriente máxima por 1.3.
6.3 Distancias de separación
6.3.1 General
Los requisitos para las distancias de separación se dan en 6.3.2 a 6.3.14. En el Anexo F se proporciona un método alternativo para dimensionar las distancias de separación.
6.3.2 Separación de partes conductoras
Separación de partes conductoras entre:
-      circuitos intrínsecamente seguros y no intrínsecamente seguros, o
-      diferentes circuitos intrínsecamente seguros, o
-      un circuito y partes metálicas puestas a tierra o aisladas,
Se ajustará a lo siguiente si el tipo de protección depende de la separación.
Las distancias de separación se medirán o evaluarán teniendo en cuenta cualquier posible movimiento de los conductores o partes conductoras. Las tolerancias de fabricación no deberán reducir las distancias en más del 10 % o 1 mm, lo que sea menor.
Las distancias de separación que cumplan con los valores de la Tabla 5 o del Anexo F bajo las condiciones de 6.1.2.2, 6.1.2.3 o 6.1.3 no estarán sujetas a falta.
El modo de falla de la segregación será solo un cortocircuito.
Los requisitos de separación no se aplicarán cuando el metal puesto a tierra, por ejemplo, las pistas de una placa de circuito impreso o una división, separe un circuito intrínsecamente seguro de otros circuitos, siempre que la ruptura a tierra no afecte negativamente al tipo de protección y que la parte conductora puesta a tierra pueda transportar la corriente máxima que fluiría en condiciones de falla. Los requisitos de distancia de fuga no se aplicarán cuando la placa de circuito impreso conectada a tierra siga pistas conductoras separadas que requieran separación, pero se seguirán aplicando los requisitos de separación. Los requisitos de separación no se aplicarán cuando una división metálica puesta a tierra de suficiente altura no permita una descarga entre componentes que requieran separación.
NOTA 1. Por ejemplo, el tipo de protección depende de la separación de las partes metálicas aisladas o conectadas a tierra si una resistencia limitadora de corriente puede derivarse mediante cortocircuitos entre el circuito y la parte metálica aislada o conectada a tierra.
Una división metálica puesta a tierra debe tener resistencia y rigidez para que sea poco probable que se dañe y debe tener suficiente espesor y suficiente capacidad de conducción de corriente para evitar que se queme o se pierda la tierra en condiciones de falla. Una división debe tener al menos 0.45 mm de espesor y estar unida a una parte metálica rígida conectada a tierra del dispositivo, o debe cumplir con 10.6.3 si es de menor espesor.
Cuando se coloque entre las partes conductoras una división aislante no metálica que tenga un espesor y un CTI apropiado de acuerdo con la Tabla 5, los espacios libres, las distancias de fuga y otras distancias de separación se medirán alrededor de la división, siempre que la división tenga un grosor de al menos 0.9 mm, o cumple con 10.6.3 si es de menor espesor.
NOTA 2. Los métodos de evaluación se dan en el Anexo C.
6.3.2.1 Distancias según Tabla 5
Para los Niveles de Protección "ia" e "ib", las distancias de separación menores, que sean inferiores a los valores especificados en la Tabla 5 pero superiores o iguales a un tercio de dicho valor, se considerarán sujetas a faltas contables por cortocircuito. si esto perjudica la seguridad intrínseca.
Para los Niveles de Protección "ia" e "ib", si las distancias de separación son inferiores a un tercio de los valores especificados en la Tabla 5, se considerarán sujetos a faltas de cortocircuito no contabilizables si ello perjudica la seguridad intrínseca.
Para el Nivel de Protección "ic", si las distancias de separación son menores que los valores especificados en la tabla 5, se considerarán cortocircuitos si ello perjudica la seguridad intrínseca.
6.3.2.2 Distancias según Anexo F
Para los Niveles de Protección "ia" e "ib", si las distancias de separación son inferiores a los valores especificados en el Anexo F, se considerará en defecto según lo previsto en F.3.1 si ello perjudica la seguridad intrínseca.
Para el Nivel de Protección "ic", si las distancias de separación son inferiores a los valores especificados en el Anexo F, se considerarán como cortocircuitos si ello perjudica la seguridad intrínseca.
Tabla 5 - Espacios libres, distancias de fuga y separaciones
1
2
3
4
5
6
7
Voltaje
(valor pico)
Espacio
Libre
Distancia de
separación a
través
compuesto
de fundición
Distancia de
separación a
través de
sólido
aislamiento
Distancia de
fuga
Distancia
bajo
revestimiento
Seguimiento
comparativo
índice (CTI)a)
V
mm
mm
mm
mm
mm
 
Nivel de
protección
ia, ib
ic
ia, ib
ic
ia, ib
ic
ia, ib
ic
ia, ib
ic
ia
ib, ic
10
1.5
0.4
0.5
0.2
0.5
0.2
1.5
1.0
0.5
0.3
-
-
30
2.0
0.8
0.7
0.2
0.5
0.2
2.0
1.3
0.7
0.3
100
100
60
3.0
0.8
1.0
0.3
0.5
0.3
3.0
1.9
1.0
0.6
100
100
90
4.0
0.8
1.3
0.3
0.7
0.3
4.0
2.1
1.3
0.6
100
100
190
5.0
1.5
1.7
0.6
0.8
0.6
8.0
2.5
2.6
1.1
175
175
375
6.0
2.5
2.0
0.6
1.0
0.6
10.0
4.0
3.3
1.7
175
175
550
7.0
4.0
2.4
0.8
1.2
0.8
15.0
6.3
5.0
2.4
275
175
750
8.0
5.0
2.7
0.9
1.4
0.9
18.0
10.0
6.0
2.9
275
175
1 000
10.0
7.0
3.3
1.1
1.7
1.1
25.0
12.5
8.3
4.0
275
175
1 300
14.0
8.0
4.6
1.7
2.3
1.7
36.0
13.0
12.0
5.8
275
175
1 575
16.0
10.0
5.3
 
2.7
 
49.0
15.0
16.3
 
275
175
3.3 k
 
18.0
9.0
 
4.5
 
 
32.0
 
 
 
 
4.7 k
 
22.0
12.0
 
6.0
 
 
50.0
 
 
 
 
9.5 k
 
45.0
20.0
 
10.0
 
 
100.0
 
 
 
 
15.6 k
 
70.0
33.0
 
16.5
 
 
150.0
 
 
 
 
a)  El fabricante debe proporcionar evidencia del cumplimiento de los requisitos de CTI de los materiales
aislantes. A tensiones de hasta 10 V, no es necesario especificar el CTI de los materiales aislantes.

Figura 2 - Ejemplo de separación de partes conductoras
6.3.3 Tensión entre partes conductoras
La tensión que se tiene en cuenta al usar la Tabla 5 o el Anexo F será la tensión entre dos partes conductoras cualesquiera para las cuales la separación tiene un efecto sobre el tipo de protección del circuito en consideración, es decir, por ejemplo (ver Figura 2) el voltaje entre un circuito intrínsecamente seguro y:
-      parte del mismo circuito que no es intrínsecamente segura, o
-      circuitos sin seguridad intrínseca, o
-      otros circuitos intrínsecamente seguros.
El valor de tensión a considerar será cualquiera de los siguientes, según corresponda.
a) Para circuitos que están separados galvánicamente dentro del aparato, el valor del voltaje a ser considerado entre los circuitos, será el voltaje más alto que pueda aparecer a través de la separación cuando los dos circuitos están conectados juntos en cualquier punto, derivado de:
-      las tensiones nominales de los circuitos, o
-      las tensiones máximas especificadas por el fabricante que pueden suministrarse con seguridad a los circuitos, o
-      cualquier voltaje generado dentro del mismo aparato.
Cuando una de las tensiones sea inferior al 20 % de la otra, se ignorará. Las tensiones de alimentación de la red se tomarán sin añadir las tolerancias de red estándar. Para dichas tensiones sinusoidales, se considerará tensión de pico la siguiente:

b) Entre partes de un circuito: el valor pico máximo del voltaje que puede ocurrir en cualquier parte de ese circuito. Esta puede ser la suma de los voltajes de diferentes fuentes conectadas a ese circuito. Uno de los voltajes puede ignorarse si es inferior al 20 % del otro.
En todos los casos, los voltajes que surjan durante las condiciones de falla de la Cláusula 5 se utilizarán, cuando corresponda, para obtener el máximo.
Cualquier tensión externa se supondrá que tiene el valor Um o Ui declarado para las instalaciones de conexión por las que entra. Los voltajes transitorios como los que pueden existir antes de un dispositivo de protección, por ejemplo, un fusible que abre el circuito no se deben considerar al evaluar la distancia de fuga, pero se deben considerar al evaluar las distancias libres.
6.3.4 Espacio libre
Las divisiones aislantes que no cumplan con los requisitos de 6.3.2 deben ignorarse, otras partes aislantes deben cumplir con la columna 4 de la Tabla 5.
Para tensiones superiores a 1 575 V de pico, se utilizará una división aislante interpuesto o una división metálica puesto a tierra. En cualquier caso, la división deberá cumplir con 6.3.2.
6.3.5 Distancias de separación a través del compuesto de colado
El compuesto de fundición deberá cumplir con los requisitos de 6.6. Para aquellas partes que requieran encapsulamiento, la distancia mínima de separación entre las partes y componentes conductores encapsulados y la superficie libre del compuesto de fundición será al menos la mitad de los valores indicados en la columna 3 de la Tabla 5, con un mínimo de 1 mm. Cuando el compuesto de vaciado está en contacto directo y se adhiere a un recinto de material aislante sólido de acuerdo con la columna 4 de la Tabla 5, no se requiere ninguna otra separación (consulte la Figura D.1).
El aislamiento del circuito encapsulado debe cumplir con 6.3.13.
El fallo de un componente que está encapsulado o sellado herméticamente, por ejemplo, un semiconductor, que se utiliza de acuerdo con 7.1 y en el que no se definen los juegos internos y las distancias a través del encapsulante, debe considerarse como un único fallo contable.
NOTA. En el Anexo D se proporciona más orientación.
6.3.6 Distancias de separación mediante aislamiento sólido
El aislamiento sólido es un aislamiento que se extruye o moldea, pero no se vierte. Deberá tener una rigidez dieléctrica que cumpla con 6.3.13 cuando la distancia de separación esté de acuerdo con la Tabla 5 o el Anexo F. La corriente máxima en el cableado aislado no deberá exceder la clasificación especificada por el fabricante del cable.
NOTA 1. Si el aislador está fabricado con dos o más piezas de material aislante eléctrico que están sólidamente unidas entre sí, entonces el material compuesto puede considerarse sólido.
NOTA 2. Para los fines de esta norma, se considera que el aislamiento sólido es prefabricado, por ejemplo, láminas o fundas o aislamiento elastomérico en el cableado.
NOTA 3. El barniz y revestimientos similares no se consideran aislamiento sólido.
NOTA 4. La separación entre pistas adyacentes en capas intermedias de placas de circuito impreso debe considerarse como distancias de separación a través de un aislamiento sólido.
6.3.7 Separaciones compuestas
Cuando las separaciones que cumplan con la Tabla 5 sean compuestas, por ejemplo, a través de una combinación de aire y aislamiento, la separación total debe calcularse sobre la base de referir todas las separaciones a una columna de la Tabla 5. Por ejemplo, a 60 V:
-      espacio libre (columna 2) = 6 ´ separación mediante aislamiento sólido (columna 4);
-      holgura (columna 2) = 3 ´ separación a través del compuesto de colado (columna 3);
-      espacio libre equivalente = espacio real + (3 ´ cualquier separación adicional a través del encapsulante) + (6 ´ cualquier separación adicional a través del aislamiento sólido).
Para los Niveles de Protección "ia" e "ib", para que la separación sea infalible, el resultado anterior no deberá ser inferior al valor de holgura especificado en la Tabla 5.
Cualquier espacio libre o separación que esté por debajo de un tercio del valor relevante especificado en la Tabla 5 se ignorará a los efectos del cálculo.
Para el nivel de protección "ic", los resultados anteriores no serán inferiores al valor de espacio libre especificado en la Tabla 5.
6.3.8 Distancia de fuga
Para las distancias de fuga especificadas en la columna 5 de la Tabla 5, el material aislante debe cumplir con la columna 7 de la Tabla 5 o el Anexo F cuando corresponda, que especifican el índice de seguimiento comparativo mínimo (CTI) medido de acuerdo con IEC 60112. El método de medición o la evaluación de estas distancias se hará de acuerdo con la Figura 3.
Cuando se cementa una junta, el cemento debe tener propiedades de aislamiento equivalentes a las del material adyacente.
Cuando la distancia de fuga se obtenga sumando distancias más cortas, por ejemplo, cuando se interponga una parte conductora, no se tendrán en cuenta las distancias inferiores a un tercio del valor correspondiente de la columna 5 de la Tabla 5. Para tensiones superiores a 1 575 V de pico, se utilizará una división aislante interpuesto o una división metálica puesto a tierra. En cualquier caso, la partición deberá cumplir con 6.3.2.

Figura 3 - Determinación de las distancias de fuga
6.3.9 Distancia bajo revestimiento
Un revestimiento de conformación debe sellar el camino entre los conductores en cuestión contra el ingreso de humedad y contaminación, y debe brindar un sello continuo efectivo y duradero. Se adherirá a las partes conductoras y al material aislante. Si el recubrimiento se aplica por aspersión, se aplicarán dos capas separadas.
Una máscara de soldadura por sí sola no se considera un revestimiento de conformación, pero se puede aceptar como una de las dos capas cuando se aplica una capa adicional, siempre que no se produzcan daños durante la soldadura. Otros métodos de aplicación requieren solo una capa, por ejemplo, recubrimiento por inmersión, cepillado o impregnación al vacío. Una máscara de soldadura que cumple con los requisitos de un recubrimiento Tipo 1 de acuerdo con IEC 60664-3 se considera un recubrimiento de conformación y no se requiere un recubrimiento adicional. El fabricante deberá proporcionar evidencia del cumplimiento de estos requisitos.
NOTA 1. No es un requisito de esta norma que se deba verificar la conformidad de la especificación del revestimiento del fabricante.
El método utilizado para recubrir el tablero se debe especificar en la documentación de acuerdo con los requisitos de documentación de IEC 60079-0. Cuando el revestimiento se considere adecuado para evitar que las piezas conductoras, por ejemplo, las uniones soldadas y los cables de los componentes, sobresalgan del revestimiento, esto se indicará en la documentación y se confirmará mediante un examen. Las distancias dentro del revestimiento deben estar de acuerdo con la columna 6 de la Tabla 5.
Cuando los conductores desnudos o las partes conductoras emerjan del revestimiento, el índice de seguimiento comparativo (CTI) en la columna 7 de la Tabla 5 o la columna 7 de la Tabla F.2 o el grupo de materiales como se especifica en F.3.1 se debe aplicar tanto al aislamiento como al revestimiento.
NOTA 2. El concepto de distancia bajo el revestimiento se desarrolló para superficies planas, por ejemplo, placas de circuito impreso no flexibles. Las placas de circuito impreso flexibles deben tener un revestimiento elástico adecuado que no se agriete. Las diferencias radicales de este formato requieren una consideración especial.
6.3.10 Requisitos para placas de circuito impreso ensambladas
Cuando las distancias de fuga y de separación afecten la seguridad intrínseca del aparato, el circuito impreso deberá cumplir con lo siguiente (ver Figura 4):
Cuando un circuito impreso está cubierto por un revestimiento de conformación de acuerdo con 6.3.9, los requisitos de 6.3.4 y 6.3.8 se aplicarán solo a cualquier parte conductora que se encuentre fuera del revestimiento, incluyendo, por ejemplo
Huellas que emergen del revestimiento;
La superficie libre de un circuito impreso que está recubierta por un solo lado;
Partes descubiertas de componentes capaces de sobresalir a través del revestimiento;
Los requisitos de 6.3.9 se aplicarán a los circuitos o partes de circuitos y sus componentes fijos cuando el recubrimiento cubra las clavijas de conexión, las juntas de soldadura y las partes conductoras de cualquier componente;
Cuando un componente esté montado sobre o junto a pistas en las placas de circuito impreso, se considerará que se produce un fallo no contabilizable entre la parte conductora del componente y la pista a menos que:
1) la separación está de acuerdo con 6.3.2 entre la parte conductora del componente y la pista, o
2) la falla resulta en una condición menos onerosa.

Figura 4a - Tablero parcialmente revestido

Figura 4b: placa con cables soldados que sobresalen

Figura 4c: placa con cables soldados doblados o recortados
NOTA. El grosor del revestimiento no está dibujado a escala.
Donde:
a     Aplicar los requisitos de distancia de espacio libre de 6.3.4
b     Aplique los requisitos de distancia de fuga de 6.3.8
c      Aplique los requisitos de distancia bajo revestimiento de 6.3.9
6.3.11 Separación por pantallas puestas a tierra
Cuando la separación entre circuitos o partes de circuitos esté proporcionada por una pantalla metálica puesta a tierra, la pantalla, así como cualquier conexión a ella, deberá ser capaz de transportar la máxima corriente posible a la que podría estar continuamente sujeta de acuerdo con la Cláusula 5.
Cuando la conexión se realice a través de un conector, el conector se debe construir de acuerdo con 6.5.
6.3.12 Cableado interno
El aislamiento, excepto el barniz y revestimientos similares, que cubre los conductores del cableado interno se debe considerar como aislamiento sólido (ver 6.3.6).
La separación de los conductores debe determinarse sumando los espesores radiales del aislamiento extruido en los alambres que se encuentran uno al lado del otro, ya sea como alambres separados o en forma de cable o en un cable.
La distancia entre los conductores de cualquier núcleo de un circuito intrínsecamente seguro y la de cualquier núcleo de un circuito no intrínsecamente seguro debe estar de acuerdo con la columna 4 de la Tabla 5, teniendo en cuenta los requisitos de 6.3.7 excepto cuando uno de los aplica lo siguiente:
-      los núcleos del circuito intrínsecamente seguro o no intrínsecamente seguro están encerrados en una pantalla puesta a tierra, o
-      en los Niveles de Protección de aparatos eléctricos "ib" y "ic", el aislamiento de los núcleos intrínsecamente seguros es capaz de soportar un valor eficaz de r.m.s. C.A. tensión de prueba de 2 000 V cuando se prueba de acuerdo con 10.3.
NOTA. Un método para lograr un aislamiento capaz de resistir este voltaje de prueba es agregar una funda aislante sobre el núcleo.
6.3.13 Requisito de rigidez dieléctrica
El aislamiento entre un circuito intrínsecamente seguro y la estructura del equipo eléctrico o de las piezas que pueden conectarse a tierra debe ser capaz de cumplir con la prueba descrita en 10.3 a un valor eficaz de 10.3 mm. C.A. voltaje de prueba del doble del voltaje del circuito intrínsecamente seguro o 500 V r.m.s., el que sea mayor. Cuando el circuito no satisfaga este requisito, el aparato se marcará con el símbolo "X" y la documentación indicará la información necesaria para la correcta instalación.
El aislamiento entre un circuito intrínsecamente seguro y un circuito no intrínsecamente seguro debe ser capaz de soportar un valor eficaz de r.m.s. C.A. tensión de prueba de 2 U + 1 000 V, con un mínimo de 1 500 V r.m.s., donde U es la suma de los r.m.s. valores de las tensiones del circuito intrínsecamente seguro y del circuito no intrínsecamente seguro.
Cuando la ruptura entre circuitos separados intrínsecamente seguros pudiera producir una condición insegura, el aislamiento entre estos circuitos debe ser capaz de soportar un valor eficaz de r.m.s. tensión de prueba de 2 U, con un mínimo de 500 V r.m.s., donde U es la suma de los r.m.s. valores de los voltajes de los circuitos bajo consideración.
6.3.14 Relevadores
Cuando la bobina de un relevador esté conectada a un circuito intrínsecamente seguro, los contactos en operación normal no deberán exceder la clasificación del fabricante y no deberán conmutar más del valor nominal de 5 A r.m.s. o 250 V r.m.s. o 100 VA. Cuando los valores conmutados por los contactos excedan estos valores, pero no excedan 10 A o 500 VA, los valores de distancia de fuga y espacio libre de la Tabla 5 para el voltaje relevante deben duplicarse.
Para valores más altos, los circuitos intrínsecamente seguros y los circuitos no intrínsecamente seguros deben conectarse al mismo relevador solo si están separados por una barrera metálica puesta a tierra o una barrera aislante que cumpla con 6.3.2. Las dimensiones de dicha barrera aislante deberán tener en cuenta la ionización que surge de la operación del relé, que generalmente requeriría distancias de fuga y espacios libres mayores que los que se dan en la Tabla 5.
Cuando un relé tenga contactos en circuitos intrínsecamente seguros y otros contactos en circuitos no intrínsecamente seguros, los contactos intrínsecamente seguros y no intrínsecamente seguros deben estar separados por una barrera metálica aislante o puesta a tierra de acuerdo con 6.3.2 además de la Tabla 5. El relevador debe diseñarse de manera que los arreglos de contactos rotos o dañados no puedan desprenderse y afectar la integridad de la separación entre circuitos intrínsecamente seguros y no intrínsecamente seguros.
Alternativamente, la segregación de los relevadores se puede evaluar mediante la aplicación del Anexo F, teniendo en cuenta las condiciones ambientales y las categorías de sobrevoltaje aplicables según se indica en el Anexo F. Los requisitos para las barreras aislantes o metálicas puestas a tierra también se aplicarán en este caso. Si la barrera de metal aislante o puesta a tierra está empotrada en un gabinete de relevador cerrado, entonces 10.6.3 se debe aplicar al gabinete de relevador cerrado y no a la barrera de metal aislante o conectado a tierra en sí.
7.3 Fusibles
Cuando se utilicen fusibles para proteger otros componentes, se supondrá que 1.7 Influyen continuamente. La resistencia en frío del fusible a la temperatura ambiente mínima especificada puede tomarse como una resistencia infalible que cumple con 8.5 para propósitos de limitación de corriente. (En ausencia de información disponible, esto puede tomarse como la resistencia mínima a la temperatura ambiente mínima especificada cuando se mide en 10 muestras como se requiere en 10.4.) Las características de corriente de tiempo del fusible deben asegurar que las capacidades transitorias de los componentes protegidos no sean excedidas. Cuando la característica tiempo-corriente del fusible no esté disponible a partir de los datos del fabricante, se debe realizar una prueba de tipo de acuerdo con 10.4 en al menos 10 muestras. Esta prueba muestra la capacidad de la muestra para resistir 1.5 veces cualquier transitorio que
pueda ocurrir cuando se aplica Um a través de un fusible.
Los fusibles para los Niveles de Protección "ia" e "ib", que pueden transportar corriente cuando se ubican en atmósferas explosivas, deben estar encapsulados de acuerdo con 6.6.
La ruptura de fusibles para Nivel de Protección "ic", no se considera para efectos de ignición térmica.
Cuando los fusibles estén encapsulados, el compuesto no deberá entrar en el interior del fusible. Este requisito debe cumplirse mediante el ensayo de muestras de acuerdo con 10.6.2 o mediante una declaración del fabricante del fusible que confirme la aceptabilidad del fusible para el encapsulado. Alternativamente, el fusible debe sellarse antes de la encapsulación.
Los fusibles utilizados para proteger los componentes deben ser reemplazables solo abriendo la caja del aparato. En el caso de los fusibles reemplazables, la designación del tipo y la clasificación del fusible In, o las características importantes para la seguridad intrínseca, deben marcarse junto a los fusibles.
Los fusibles deben tener una tensión nominal de al menos Um (o Ui en aparatos y circuitos intrínsecamente seguros) aunque no tienen que cumplir con la Tabla 5. Se deben aplicar las normas industriales generales para la construcción de fusibles y portafusibles y su método de montaje, incluido el cableado de conexión no debe reducir las distancias de fuga, las distancias de fuga y las separaciones proporcionadas por el fusible y su soporte. Cuando sea necesario para la seguridad intrínseca, las distancias a otras partes del circuito deben cumplir con 6.3.
NOTA 1. Los microfusibles que cumplen con la serie IEC 60127 son aceptables.
Un fusible debe tener una capacidad de corte no menor que la corriente máxima prevista del circuito en el que está instalado. Para los sistemas de suministro de electricidad de red que no superen los 250 V CA, la corriente esperada normalmente se considerará de 1 500 A CA. La capacidad de ruptura del fusible se determina de acuerdo con la serie IEC 60127 o ANSI/UL 248-1 y debe ser declarada por el fabricante de los fusibles.
NOTA 2. Es posible que existan corrientes prospectivas más altas en algunas instalaciones, por ejemplo, en voltajes más altos.
Si es necesario un dispositivo limitador de corriente para limitar la corriente prevista a un valor no mayor que la capacidad nominal de ruptura del fusible, este dispositivo deberá ser infalible de acuerdo con la Cláusula 8 y los valores nominales deberán ser al menos:
-      corriente nominal 1.5 ¡Error! Marcador no definido.´1.7 ¡Error! Marcador no definido.´In;
-      tensión nominal Um o Ui;
-      potencia nominal 1.5 ¡Error! Marcador no definido.´(1.7 ¡Error! Marcador no definido.´In)2 ¡Error! Marcador no definido.´resistencia máxima del dispositivo limitador.
Las distancias de aislamiento y de fuga a través de la resistencia limitadora de corriente y sus vías de conexión se calcularán utilizando la tensión de 1.7 ¡Error! Marcador no definido.´In ¡Error! Marcador no definido.´resistencia máxima de la resistencia limitadora de corriente. No se considerará la tensión transitoria. Las distancias de separación entre la resistencia y otras partes del circuito deben cumplir con 6.3.
7.5.2 Limitadores de tensión de derivación
Los semiconductores se pueden utilizar como dispositivos limitadores de voltaje en derivación siempre que cumplan con los siguientes requisitos y siempre que se tengan en cuenta las condiciones transitorias pertinentes. Por ejemplo, la inclusión de un solo fusible y un diodo Zener clasificado de acuerdo con 7.1 se considera un medio adecuado para limitar los transitorios para los circuitos conectados al diodo Zener.
Los semiconductores deberán ser capaces de transportar, sin abrir el circuito, la corriente que fluiría en su lugar de instalación si fallaran en el modo de cortocircuito, multiplicada por el factor de seguridad apropiado. En los siguientes casos, esto deberá ser confirmado a partir de los datos de su fabricante por:
a)    diodos, transistores conectados a diodos, tiristores y dispositivos semiconductores equivalentes que tengan una corriente directa nominal de al menos 1.5 veces la corriente de cortocircuito máxima posible para el nivel de protección "ia" o "ib", y 1.0 veces la máxima corriente de cortocircuito posible para el Nivel de Protección "ic";
b)    Diodos Zener siendo clasificados:
i.     en el sentido Zener a 1.5 veces la potencia que se disiparía en el modo Zener, y
ii.     en sentido directo a 1.5 veces la corriente máxima que fluiría si estuvieran cortocircuitados para el Nivel de Protección "ia" o "ib", y 1.0 veces la corriente máxima que fluiría si estuvieran cortocircuitados -circuitado para Nivel de Protección "ic".
Para el nivel de protección "ia", se puede permitir la aplicación de componentes semiconductores controlables como dispositivos limitadores de voltaje en derivación, por ejemplo, transistores, tiristores, reguladores de voltaje/corriente, etc., si los circuitos de entrada y salida son circuitos intrínsecamente seguros o donde se puede demostrar que no pueden estar sujetos a transitorios de la red de alimentación. En circuitos que cumplan con lo anterior, dos dispositivos se consideran un conjunto infalible.
Para el nivel de protección "ia", se pueden usar tres circuitos semiconductores de limitación de voltaje activos independientes en el aparato asociado, siempre que se cumplan las condiciones transitorias de 7.5.1. Estos circuitos también deben probarse de acuerdo con 10.1.5.3.
8.3 Transformadores distintos de los transformadores de red
La infalibilidad y los modos de falla de estos transformadores deben cumplir con 8.2.
NOTA. Estos transformadores pueden ser transformadores de acoplamiento como los que se utilizan en los circuitos de señales o transformadores para otros fines, por ejemplo, los que se utilizan para las unidades de alimentación del inversor.
La construcción y las pruebas de estos transformadores deben cumplir con 8.2, excepto que deben probarse con la carga que proporciona la máxima disipación de potencia en el transformador sin abrir el circuito de los devanados, para garantizar que el aislamiento tenga la clasificación correcta. Cuando no sea factible operar el transformador en condiciones de corriente alterna, cada devanado debe estar sujeto a una corriente continua de 1.7 In en la prueba de tipo de 8.2.4. Sin embargo, la prueba de rutina de acuerdo con 11.2 debe usar un voltaje reducido entre los devanados de entrada y salida de 2 U + 1 000 V r.m.s. o 1 500 V, cualquiera que sea mayor, siendo U la tensión nominal más alta de cualquier devanado bajo prueba.
Si dichos transformadores están conectados en ambos lados a circuitos intrínsecamente seguros, se debe aplicar una tensión reducida de 500 V entre el devanado primario y el devanado secundario para una prueba de rutina, como se indica en 11.2.
Cuando dichos transformadores se conecten a circuitos no intrínsecamente seguros derivados de voltajes de red, se deben incluir medidas de protección de acuerdo con 8.2.2 o un fusible y un diodo Zener en la conexión de suministro de acuerdo con 8.9 para que la energía no especificada no perjudique la infalibilidad de las distancias de fuga y los espacios libres del transformador. El voltaje nominal de entrada de 8.2.4 será el del diodo Zener.
Cuando dichos transformadores estén conectados a circuitos intrínsecamente seguros y no haya un fusible presente, entonces cada devanado debe estar sujeto a la corriente máxima que puede fluir bajo las fallas especificadas en la Cláusula 5.
12. Bibliografía
12.1 Ley de Infraestructura de la Calidad. Publicada en el Diario Oficial de la Federación el 1 de julio de 2020.
12.2 Ley Federal sobre Metrología y Normalización. Publicada en el Diario Oficial de la Federación el 1 de julio de 1992 y sus reformas.
12.3 Reglamento de la Ley Federal sobre Metrología y Normalización. Publicada en el Diario Oficial de la Federación el 14 de enero de 1999 y sus reformas.
12.4 Norma Mexicana NMX-Z-013-SCFI-2015, Guía para la estructuración y redacción de normas (cancela a la NMX-Z-013/1-1977). Declaratoria de vigencia publicada en el Diario Oficial de la Federación el 18 de noviembre de 2015, así como su aclaración publicada en el Diario Oficial de la Federación el 16 de junio 2016.
12.5 Disposiciones administrativas de carácter general que establecen los Lineamientos de Seguridad Industrial, Seguridad Operativa y Protección al Medio Ambiente, para el expendio simultáneo de Petrolíferos y/o Gas Natural, con fecha de publicación en el Diario Oficial de la Federación el 9 de agosto de 2019.
12.6 Tabla recomendada para la densidad del agua entre 0 °C y 40 °C basada en informes experimentales recientes, M. Tanaka, G. Girant, R. Davis, A. Peuto y N. Bignell.
TRANSITORIOS
PRIMERO. La presente Norma Oficial Mexicana, entrará en vigor 548 días naturales después de su publicación en el Diario Oficial de la Federación.
SEGUNDO. Los propietarios de los sistemas para medición y despacho de Gas L.P., empleados con anterioridad a la entrada en vigor de la presente Norma Oficial Mexicana, contarán con un plazo hasta de doce meses para realizar la sustitución correspondiente.
TERCERO. Los sistemas para medición y despacho de Gas L.P., que se estén implementando a la fecha de la entrada en vigor de la presente Norma Oficial Mexicana deben ajustarse a los Errores Máximos Tolerados establecidos en este instrumento.
CUARTO. Dentro del periodo de la publicación de la presente Norma Oficial Mexicana y hasta su entrada en vigor, la Procuraduría Federal del Consumidor, con la aprobación de la Secretaría de Economía, emitirá los
lineamientos para el uso de la Plataforma de Vigilancia Permanente.
QUINTO. Los interesados en acreditarse como Organismos de Evaluación de la Conformidad, pueden iniciar su proceso de acreditación ante la Entidad de Acreditación que corresponda y de Aprobación ante esta Secretaría desde la fecha de publicación de esta Norma Oficial Mexicana en el Diario Oficial de la Federación.
Ciudad de México, a 23 de mayo de 2024.- Director General de Normas y Presidente del Comité Consultivo Nacional de Normalización de la Secretaría de Economía, Julio Eloy Páez Ramírez.- Rúbrica.