AVISO de medición y deslinde del predio denominado Polígono 7, el cual está inmerso en la Reserva de la Biosfera de Calakmul, con una superficie aproximada de 12,254.2761 hectáreas, ubicado en el Municipio de Calakmul, Estado de Campeche.

Al margen un sello con el Escudo Nacional, que dice: Estados Unidos Mexicanos.- DESARROLLO TERRITORIAL.- Secretaría de Desarrollo Agrario, Territorial y Urbano.

AVISO DE DESLINDE
AVISO DE MEDICIÓN Y DESLINDE DEL PREDIO DENOMINADO "POLÍGONO 7", EL CUAL ESTÁ INMERSO EN LA RESERVA DE LA BIOSFERA DE CALAKMUL, CON UNA SUPERFICIE APROXIMADA DE 12,254.2761 HECTÁREAS, UBICADO EN EL MUNICIPIO DE CALAKMUL, ESTADO DE CAMPECHE.
Las Áreas Naturales Protegidas en México, son zonas de suma importancia estas no han sido afectadas en gran medida por las actividades del ser humano, por lo tanto, se debe fortalecer la protección, conservación y la restauración de los ecosistemas para mantener los beneficios ambientales y sociales que ofrecen, así como enfrentar los efectos del cambio climático.
El artículo 63 párrafo cuarto de la Ley General de Equilibrio Ecológico y la Protección del Ambiente establece que: "Los Terrenos Nacionales ubicados dentro de áreas naturales protegidas de competencia federal, quedarán a disposición de la Secretaría de Medio Ambiente y Recursos Naturales, quien los destinará a los fines establecidos en el decreto correspondiente, conforme a las disposiciones jurídicas que resulten aplicables."
Es por ello, que la Secretaría de Medio Ambiente y Recursos Naturales por conducto de la Comisión Nacional de Áreas Naturales Protegidas, mediante oficio No. DGOR/0501/2023 del 28 de abril de 2023, solicitó a la SEDATU la puesta a disposición del "Polígono 7", presunto terreno nacional localizado al interior de la Reserva de la Biosfera de Calakmul, autorizando mediante oficio No.II210.DGOPR.DTN.08301.2024 del 26 de abril de 2024, los trabajos de medición y deslinde del predio citado, con una superficie aproximada de 12,254.2761 hectáreas, ubicado en el municipio de Calakmul, estado de Campeche.
Asimismo, en el oficio de referencia se comisionó al perito deslindador para llevar a cabo la medición y deslinde del referido predio, por lo que, en cumplimiento a los artículos 14 Constitucional, 3 de la Ley Federal de Procedimiento Administrativo, 160 de la Ley Agraria, 101, 104 y 105 Fracción I del Reglamento de la Ley Agraria en Materia de Ordenamiento de la Propiedad Rural, se deberá de publicar por una sola vez en el Diario Oficial de la Federación, así como en el Periódico Oficial del Gobierno del estado de Campeche y en el periódico de mayor circulación de esa entidad federativa, con el objeto de notificar a los propietarios, poseedores, colindantes y todo aquel que considere que los trabajos de deslinde lo pudiesen afectar, con el fin de que dentro del plazo de 30 días hábiles contados a partir de la publicación del presente Aviso en el Diario Oficial de la Federación, comparezcan para exponer o hacer valer lo que a su derecho convenga; así como acompañar la documentación en copia certificada o simple que fundamente su dicho, acompañada del documento original para su cotejo, en términos de la fracción II del artículo 15-A de la Ley Federal de Procedimiento Administrativo. Asimismo, en su comparecencia deberán señalar domicilio cierto para oír y recibir notificaciones. El croquis se fijará a la vista de cualquier interesado en la oficina de representación ubicada en Avenida 16 de Septiembre S/N, Palacio Federal, 2° Piso, Colonia Centro, San Francisco de Campeche, Campeche, C.P. 24000, México, y solo una vez en los parajes cercanos al predio.
A las personas que no presenten sus documentos dentro del plazo señalado o que, hayan sido debidamente notificadas para presenciar el deslinde y éstas no concurran al mismo, se les tendrá como conformes con sus resultados.
Para tal efecto, se especifica sobre el predio lo siguiente:
Predio: "Polígono 7"
Solicitante: Comisión Nacional de Áreas Naturales Protegidas
Expediente: DGOPR/IETN-04CC/163/2023
Estado: Campeche
Municipio: Calakmul
Superficie: 12,254.2761 hectáreas
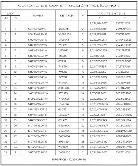
Las medidas, colindancias y coordenadas de ubicación geográfica del predio son las siguientes:
AL NORTE: Con el N.C.P.E Plan de San Luis
AL SUR: Con Presunto Terreno Nacional y Ejido Moch-Couch
AL ESTE: Con Ejido Moch-Couch y Presunto Terreno Nacional
AL OESTE: Con el Ejido Xcupilcacab, Ejido Conhuas y Presunto Terreno Nacional


Campeche, Campeche, a 9 de mayo de 2024.- Perito Comisionado, Juan Carlos Reyes Troncoso.- Rúbrica.