AVISO de medición y deslinde del predio denominado TN1-PAL-013 también denominado TN1-PAL-013 (SUP. 012), con una superficie aproximada de 86,766.84 metros cuadrados, ubicado en el Municipio de Palenque, Estado de Chiapas.

Al margen un sello con el Escudo Nacional, que dice: Estados Unidos Mexicanos.- DESARROLLO TERRITORIAL.- Secretaría de Desarrollo Agrario, Territorial y Urbano.- Subsecretaría de Ordenamiento Territorial y Agrario.- Dirección General de Ordenamiento de la Propiedad Rural.- Dirección de Terrenos Nacionales.

AVISO DE DESLINDE
AVISO DE MEDICIÓN Y DESLINDE DEL PREDIO DENOMINADO "TN1-PAL-013" TAMBIEN DENOMINADO "TN1-PAL-013 (SUP. 012)", CON UNA SUPERFICIE APROXIMADA DE 86,766.84 METROS CUADRADOS, UBICADO EN EL MUNICIPIO DE PALENQUE, ESTADO DE CHIAPAS.
En atención a las Obras del Gobierno de México consideradas de interés público y seguridad nacional, así como los proyectos prioritarios y estratégicos para el desarrollo nacional, con la finalidad de procurar por el óptimo aprovechamiento de los bienes del dominio público de la federación y atendiendo al Plan Nacional de Desarrollo 2019-2024, en el caso específico del Proyecto Prioritario denominado Tren Maya, FONATUR Tren Maya, S.A. de C.V., realiza una solicitud sobre el polígono "TN1-PAL-013" tambien denominado "TN1-PAL-013 (SUP. 012)", por lo que con fundamento en lo dispuesto por los artículos 27 de la Constitución Política de los Estados Unidos Mexicanos; 41 de la Ley Orgánica de la Administración Pública Federal; 1, 2, 12, 13, 19, y 50 de la Ley Federal de Procedimiento Administrativo; 2, 6 fracción VII, 28, 49, 59 al 61, 66 y 84 de la Ley General de Bienes Nacionales; 2, 158, 159, 161 y demás aplicables de la Ley Agraria; 112 del Reglamento de la Ley Agraria en materia de Ordenamiento de la Propiedad Rural y 20 fracciones V y XII del Reglamento Interior de la Secretaría de Desarrollo Agrario, Territorial y Urbano, se faculta a la Secretaría de Desarrollo Agrario, Territorial y Urbano, a través de la Subsecretaría de Ordenamiento Territorial y Agrario y, la Dirección General de Ordenamiento de la Propiedad Rural, para la administración de los terrenos baldíos y nacionales.
Esta última, mediante oficio II210.DGOPR.DTN.01184.2024 del 18 de enero de 2024, autorizó los trabajos técnicos de medición y deslinde del predio presuntamente propiedad de la nación "TN1-PAL-013" tambien denominado "TN1-PAL-013 (SUP. 012)", con una superficie aproximada de 86,766.84 metros cuadrados, ubicado en el municipio de Palenque, estado de Chiapas. Asimismo, en el oficio de referencia se comisionó entre otros el suscrito perito deslindador, para llevar a cabo la medición y deslinde del citado predio, por lo que, en cumplimiento a los artículos 14 Constitucional, 3 de la Ley Federal de Procedimiento Administrativo, 160 de la Ley Agraria, 101, 104 y 105 Fracción I del Reglamento de la Ley Agraria en Materia de Ordenamiento de la Propiedad Rural, se publica, por una sola vez en el Diario Oficial de la Federación, en el Periódico Oficial del Gobierno del estado de Chiapas y en el periódico de mayor circulación de esa entidad federativa con efectos de notificación a los propietarios, poseedores, colindantes y todo aquel que considere que los trabajos Técnicos de Medición y Deslinde lo pudiesen afectar, para que dentro del plazo de 30 días hábiles contados a partir de la publicación del presente Aviso en el Diario Oficial de la Federación, comparezcan para exponer lo que a su derecho convenga, así como para presentar la documentación que fundamente su dicho en copia certificada o en copia simple acompañada del documento original para su cotejo, en términos de la fracción II del artículo 15-A de la Ley Federal de Procedimiento Administrativo. Así mismo, en su comparecencia deberán señalar domicilio cierto para oír y recibir notificaciones. El croquis se encontrará a la vista de cualquier interesado correspondiente en la oficina de representación ubicada en Carretera a Chicoasen Km. 0.350 S/N, entre río Panuco y Blvr. Escritor Armando Jiménez, fraccionamiento Los Laguitos, C.P. 29020, Tuxtla Gutiérrez, Chiapas. Se hace saber que dicho aviso con el croquis respectivo se fijará a su vez, en los parajes cercanos al predio.
A las personas que no presenten sus documentos dentro del plazo señalado, o que habiendo sido notificadas a presenciar el deslinde no concurran al mismo, se les tendrá como conformes con sus resultados.
Para tal efecto, se especifica sobre el predio lo siguiente:
Predio: "TN1-PAL-013" tambien denominado "TN1-PAL-013 (SUP. 012)"
Solicitante: FONATUR Tren Maya, S.A. de C.V.
Expediente: DGOPR/IETN-07CS/235/2023
Estado Chiapas
Municipio: Palenque
Superficie: 86,766.84 metros cuadrados
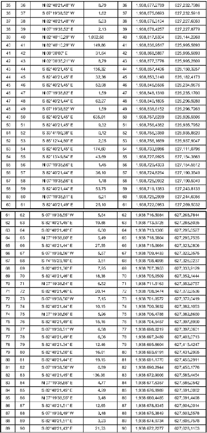
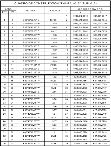
Las medidas, colindancias y coordenadas de ubicación geográfica del predio son las siguientes:
AL NORTE: PRESUNTO TERRENO NACIONAL
AL SUR: PRESUNTO TERRENO NACIONAL
AL ESTE: DERECHO DE VÍA DEL TREN MAYA TRAMO 1
AL OESTE: DERECHO DE VÍA DEL TREN MAYA TRAMO 1


 


Cabe señalar que el polígono en cuestión versa sobre el Proyecto Prioritario denominado Tren Maya, por lo que al tratarse de una obra destinada al beneficio social se acredita un interés general; en esa tesitura, se deben de otorgar todas las facilidades para sustanciar el debido procedimiento.
Tuxtla Gutiérrez, Chiapas, a 18 de enero de 2024.- Perito Comisionado, José Roberto Benítez Domínguez.- Rúbrica.