MODIFICACIONES a las Disposiciones de carácter general que establecen el procedimiento para la construcción de los Indicadores de Rendimiento Neto de las Sociedades de Inversión Especializadas de Fondos para el Retiro.

Al margen un sello con el Escudo Nacional, que dice: Estados Unidos Mexicanos.- HACIENDA.- Secretaría de Hacienda y Crédito Público.- Comisión Nacional del Sistema de Ahorro para el Retiro.

MODIFICACIONES A LAS DISPOSICIONES DE CARÁCTER GENERAL QUE ESTABLECEN EL
PROCEDIMIENTO PARA LA CONSTRUCCIÓN DE LOS INDICADORES DE RENDIMIENTO NETO DE
LAS SOCIEDADES DE INVERSIÓN ESPECIALIZADAS DE FONDOS PARA EL RETIRO
El Presidente de la Comisión Nacional del Sistema de Ahorro para el Retiro, con fundamento en los artículos 1o., 2o., 3o. fracción V bis, 5o. fracciones I, II y XVI, 12 fracciones I, VIII y XIII, 37, 74 y 76 de la Ley de los Sistemas de Ahorro para el Retiro; el artículo Quinto Transitorio del Decreto por el que se reforman y adicionan diversas disposiciones de la Ley de los Sistemas de Ahorro para el Retiro, publicado en el Diario Oficial de la Federación el 21 de enero de 2009; los artículos 1o., 12, 41, 52, 53, Tercero y Quinto Transitorios del Reglamento de la Ley de los Sistemas de Ahorro para el Retiro; los artículos 1o., 2o. fracción III y 8o. primer párrafo del Reglamento Interior de la Comisión Nacional del Sistema de Ahorro para el Retiro, y
CONSIDERANDO
Que el Artículo 74 de la Ley de los Sistemas de Ahorro para el Retiro establece el derecho de los trabajadores a traspasar su cuenta individual de una administradora a otra, cuyas sociedades de inversión hubieren registrado un mayor Rendimiento Neto, en el período de cálculo inmediato anterior;
Que los artículos 3º fracción V bis., 74 y 76 de la Ley de los Sistemas de Ahorro para el Retiro facultan a la Junta de Gobierno a autorizar la metodología para construir los Indicadores de Rendimiento Neto de las Sociedades de Inversión Especializadas de Fondos para el Retiro para que orienten adecuadamente la decisión de los trabajadores en caso de Traspasos, así como para la Asignación y Reasignación de cuentas;
Que es importante establecer lineamientos específicos y dinámicos para las Calculadoras de Retiro, emitidos por la Comisión, a fin de brindar certeza a los regulados respecto de los elementos que deberán ser considerados en su elaboración, y permitir su adecuación en razón de las circunstancias propias de los Sistemas de Ahorro para el Retiro;
Que es necesario realizar adecuaciones al Anexo "D" relativo al Mecanismo de proporcionalidad que deberá observarse para la distribución de las cuentas individuales que se asignarán y reasignarán a las administradoras con la finalidad de incentivar su registro y el ahorro voluntario, y
Que en términos del artículo 71 párrafo cuarto de la Ley General de Mejora Regulatoria, y conforme a lo determinado por la Comisión Nacional de Mejora Regulatoria mediante oficio CONAMER/24/1440 de fecha 4 de abril de 2024 las presentes modificaciones no implican costos de cumplimiento para los particulares, por lo que ha tenido a bien expedir las siguientes:
MODIFICACIONES A LAS DISPOSICIONES DE CARÁCTER GENERAL QUE ESTABLECEN EL
PROCEDIMIENTO PARA LA CONSTRUCCIÓN DE LOS INDICADORES DE RENDIMIENTO NETO DE
LAS SOCIEDADES DE INVERSIÓN ESPECIALIZADAS DE FONDOS PARA EL RETIRO
ÚNICO. Se MODIFICAN los artículos 2 y 17 y el Anexo D de las Disposiciones de carácter general que establecen el procedimiento para la construcción de los Indicadores de Rendimiento Neto de las Sociedades de Inversión Especializadas de Fondos para el Retiro, para quedar como sigue:
"Artículo 2: ...
I. a II. ...
III. Calculadora de Retiro, a cualquier herramienta que, a partir de las características demográficas y laborales del trabajador, estima el monto de la pensión que éste podría obtener de conformidad con el esquema de retiros programados o de acuerdo a los seguros de retiro, cesantía en edad avanzada y vejez establecidos en la Ley del Seguro Social y, en la Ley del Instituto de Seguridad y Servicios Sociales de los Trabajadores del Estado, o que proyecte saldos, tasa de reemplazo o estimaciones personalizadas de Ahorro Voluntario que atienda a los lineamientos emitidos por la Comisión;"
"Artículo 17. Con fines informativos y de promoción, las Administradoras que así lo deseen, podrán poner a disposición del público en general o de los Asesores Previsionales una Calculadora de Retiro. Para tal efecto, las Administradoras deberán cumplir con el procedimiento, requisitos y plazo contenidos en los lineamientos que establezca la Comisión.
Asimismo, la información que brinde la Calculadora de Retiro, atenderá a los principios de Claridad, Veracidad, Finalidad, Pertinencia y Comprobación previstos en las Disposiciones de carácter general en materia de publicidad y promoción de los Sistemas de Ahorro para el Retiro, lo cual podrá ser supervisado por la Comisión.
Las proyecciones de rendimiento a futuro deberán guardar relación con el indicador establecido en el Anexo "A" de las presentes disposiciones de carácter general o bien, con la Trayectoria de Inversión o el portafolio de referencia definido por los Comités de Inversión atendiendo a lo previsto en las Disposiciones de carácter general en materia financiera de los Sistemas de Ahorro para el Retiro."
"ANEXO D
MECANISMO DE PROPORCIONALIDAD QUE DEBERÁ OBSERVARSE PARA LA DISTRIBUCIÓN DE
LAS CUENTAS INDIVIDUALES QUE SE ASIGNARÁN Y REASIGNARÁN A LAS ADMINISTRADORAS
CUYAS SOCIEDADES DE INVERSIÓN BÁSICAS O SOCIEDADES DE INVERSIÓN BÁSICAS INICIALES
SE ENCUENTREN EN EL TERCIL QUE REGISTRE LOS MAYORES INDICADORES DE RENDIMIENTO
NETO PARA ASIGNACIÓN Y REASIGNACIÓN
El mecanismo de proporcionalidad a que hacen referencia los artículos 11, fracción II y 13, fracción II inciso b) de las presentes disposiciones de carácter general, consiste en determinar los porcentajes de asignación y reasignación para cada Grupo del total de Cuentas Individuales sin registro que, de conformidad con las presentes disposiciones de carácter general, deberán ser asignadas o reasignadas a las Sociedades de Inversión Básicas y a las Sociedades de Inversión Básicas Iniciales elegibles para estos fines. Para tales efectos, para cada Sociedad de Inversión Básica y Sociedad de Inversión Básica Inicial elegible de cada Grupo, se determinarán los porcentajes de asignación y reasignación de acuerdo a tres factores, cada uno de los cuales tiene asignado un ponderador. Dichos factores se describen a continuación:
I.     El Factor de Registro de cuentas individuales se calculará de acuerdo a lo siguiente:
a.   Para el periodo de cálculo, se obtendrá para cada Administradora que participe en los procesos de Asignación y Reasignación de Cuentas Individuales, el Factor de registro de cuentas asignadas, el cual considerará el desempeño del registro de las Cuentas Individuales asignadas en las Administradoras o en las Prestadoras de Servicios que hayan realizado aquellas Administradoras que recibirán cuentas derivado del proceso de Asignación y/o Reasignación, tomando en consideración el origen de la cuenta individual para su registro (Misma o diferente Administradora), conforme a lo siguiente
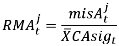
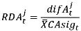
i.      Se obtendrá la proporción de registro de cuentas individuales en la misma Administradora que le fueron asignadas, conforme a lo siguiente:

       Donde
        Proporción de registro de cuentas individuales asignadas provenientes de la misma Administradora j en el periodo t
        Número de cuentas individuales asignadas en la Administradora j registradas por la misma durante el periodo t
        Promedio de Cuentas Asignadas con recursos en las Administradoras y Prestadora de Servicios durante el periodo t.
        Periodo de cálculo, equivalente a 12 meses para el caso de Asignación de cuentas y 24 meses para la Reasignación de cuentas individuales.
        cada Administradora que pertenece al conjunto de n Administradoras cuyas Sociedades de Inversión Básicas o Sociedades de Inversión Básicas Iniciales del mismo Grupo se encuentren en el tercil que registre los mayores indicadores de Rendimiento Neto (j= 1, 2, ..., n), de conformidad con los artículos 11 fracción I y 13 fracción II inciso a) de las presentes disposiciones de carácter general.
ii.     Se obtendrá la proporción de registro de cuentas individuales provenientes de otra Administradora o la Prestadora de Servicios, conforme a lo siguiente:

       Donde
        Proporción de registro de cuentas individuales asignadas provenientes de otra Administradora o en la Prestadora de Servicios por la Administradora j en el periodo t
        Número de cuentas individuales asignadas en otra Administradora o Prestadora de Servicios registradas por la Administradora j durante el periodo t
 
        Promedio de Cuentas Asignadas con recursos en las Administradoras y Prestadora de Servicios durante el periodo t.
        Periodo de cálculo, equivalente a 12 meses para el caso de Asignación de cuentas y 24 meses para la Reasignación de cuentas individuales.
        cada Administradora que pertenece al conjunto de n Administradoras cuyas Sociedades de Inversión Básicas o Sociedades de Inversión Básicas Iniciales del mismo Grupo se encuentren en el tercil que registre los mayores indicadores de Rendimiento Neto (j= 1, 2, ..., n), de conformidad con los artículos 11 fracción I y 13 fracción II inciso a) de las presentes disposiciones de carácter general.
b.   Una vez obtenidas las proporciones descritas en el inciso a) que antecede, se calculará el registro de cuentas asignadas de conformidad con la siguiente formula:

       Donde
        Proporción de registro de cuentas individuales por la Administradora j en el periodo t
        Ponderador que afecta a la proporción de registro de cuentas individuales asignadas provenientes de la misma Administradora j en el periodo t, con valor a 2/3
        Ponderador que afecta a la proporción de registro de cuentas individuales asignadas provenientes de otra Administradora o en la Prestadora de Servicios por la Administradora j en el periodo t, con valor a 1/3
        Periodo de cálculo, equivalente a 12 meses para el caso de Asignación de cuentas y 24 meses para la Reasignación de cuentas individuales.
        cada Administradora que pertenece al conjunto de n Administradoras cuyas Sociedades de Inversión Básicas o Sociedades de Inversión Básicas Iniciales del mismo Grupo se encuentren en el tercil que registre los mayores indicadores de Rendimiento Neto (j= 1, 2, ..., n), de conformidad con los artículos 11 fracción I y 13 fracción II inciso a) de las presentes disposiciones de carácter general.
c.    Una vez determinadas la proporción de registro de las Administradoras que recibirán Cuentas Individuales, se ponderará la participación de cada una con respecto a la suma de las proporciones de registro de las administradoras que recibirán Cuentas Individuales en cada Sociedad de Inversión Básica o Sociedad de Inversión Básica Inicial perteneciente al mismo Grupo de acuerdo con la fórmula establecida en la fracción IV del presente Anexo. Este resultado será el factor de registro de cuentas asignadas, para Asignación o Reasignación según corresponda. El ponderador del factor de registro de cuentas asignadas será de 50%.
       Cuando el historial de una Administradora no cubra el periodo establecido, la Comisión considerará la proporción de trabajadores registrados durante aquellos meses en que tenga un historial.
       En el caso de nuevas Administradoras que participen en el proceso de Asignación y/o de Reasignación por primera vez y que por lo tanto no cuenten con historial, se deberá considerar el promedio de la proporción de registro que observen las Administradoras cuyas Sociedades de Inversión Básicas o Sociedades de Inversión Básicas Iniciales se encuentren en el tercil de los mayores Indicadores de Rendimiento Neto para Asignación y Reasignación.
II.     El Factor de comisión sobre saldo se calculará de acuerdo a lo siguiente:
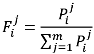
a.   Para cada Administradora que opere cuando menos una Sociedad de Inversión elegible para recibir Cuentas Individuales en los procesos de Asignación y Reasignación, según corresponda, se considerará el promedio aritmético de la comisión sobre saldo vigente y la comisión sobre saldo inmediata anterior. A partir de dicho promedio, se calculará la proporción de comisiones de conformidad con la siguiente fórmula:

Donde
Proporción de comisión sobre saldo para la Administradora j
Valor máximo del conjunto de promedios aritméticos de la comisión sobre saldo vigente y la comisión sobre saldo inmediata anterior de las n Administradoras que cuenten con Sociedades de Inversión Básicas o Sociedades de Inversión Básicas Iniciales elegibles pertenecientes al mismo Grupo.
Comisión sobre saldo promedio de la Administradora j
Cada Administradora que pertenece al conjunto de n Administradoras cuyas Sociedades de Inversión Básicas o Sociedades de Inversión Básicas Iniciales del mismo Grupo se encuentren en el tercil que registre los mayores indicadores de Rendimiento Neto (j=1,2,...,n), de conformidad con los artículos 11 fracción I y 13 fracción II inciso a) de las presentes disposiciones de carácter general.
b.   Para obtener el factor de comisión sobre saldo de cada Administradora, se ponderará su proporción de comisión sobre saldo con respecto a la suma de las proporciones de comisiones sobre saldo de las Administradoras que cuenten con al menos una Sociedad de Inversión Básica o una Sociedad de Inversión Básica Inicial elegible para recibir Cuentas Individuales de cada Grupo, de acuerdo con la fórmula establecida en la fracción IV del presente Anexo. El ponderador del factor de comisión sobre saldo será de 20%.
III.    El Factor de Ahorro Voluntario se calculará de acuerdo a lo siguiente:
a.   Para el periodo de cálculo, se obtendrá para cada Administradora que participe en los procesos de Asignación y Reasignación de Cuentas Individuales, el Factor de Ahorro Voluntario, el cual considerará el número de aportaciones de Ahorro Voluntario (cuyo monto sea mayor a $50.00, sin considerar la subcuenta de Ahorro Solidario, ni las aportaciones patronales) registradas por las Administradoras y el monto que acumulan, el número de Cuentas Individuales en las que se hayan realizado dichas aportaciones en relación al número de Cuentas Individuales registradas en la Administradora, conforme a la siguiente fórmula:

Donde
Proporción de Ahorro Voluntario de la Administradora j en el periodo t
Monto de las aportaciones de Ahorro Voluntario recaudadas por la Administradora j en el periodo t.
Número de aportaciones de Ahorro Voluntario registradas por la Administradora j en el periodo t.
Número de Cuentas Individuales en la Administradora j que recibieron aportaciones voluntarias durante el periodo t.
Promedio de cuentas registradas en la Administradora j en el periodo t.
Periodo de cálculo, equivalente a 12 meses para el caso de Asignación de cuentas y 24 meses para la Reasignación de cuentas individuales.
cada Administradora que pertenece al conjunto de n Administradoras cuyas Sociedades de Inversión Básicas o Sociedades de Inversión Básicas Iniciales del mismo Grupo se encuentren en el tercil que registre los mayores indicadores de Rendimiento Neto (j= 1, 2, ..., n), de conformidad con los artículos 11 fracción I y 13 fracción II inciso a) de las presentes disposiciones de carácter general.
b.   Una vez que se han determinado las proporciones de Ahorro Voluntario para las Administradoras que recibirán Cuentas Individuales, se pondera su participación con respecto a la suma de las proporciones de Ahorro Voluntario de las Administradoras que recibirán Cuentas Individuales en cada Sociedad de Inversión Básica o Sociedad de Inversión Básica Inicial perteneciente al mismo Grupo de acuerdo con la fórmula establecida en la fracción IV del presente Anexo. Este resultado será el factor de Ahorro Voluntario. El ponderador del factor de Ahorro Voluntario será de 30%.
       Cuando el historial de una Administradora no cubra el periodo requerido, la Comisión considerará la proporción de Ahorro Voluntario durante aquellos meses en que tenga un historial.
       En el caso de nuevas Administradoras que participen en el proceso de Asignación y/o Reasignación por primera vez, se deberá considerar el promedio de la proporción de Ahorro Voluntario que observen las Administradoras cuyas Sociedades de Inversión Básicas o Sociedades de Inversión Básicas Iniciales se encuentren en el tercil de los mayores Indicadores de Rendimiento Neto para Asignación y Reasignación.
IV.   Para el cálculo de los factores i de la Sociedad de Inversión Básica j o Sociedad de Inversión Básica Inicial j elegible de cada Grupo, se pondera la proporción correspondiente al factor i de cada una de las Sociedades de Inversión Básicas o Sociedades de Inversión Básicas Iniciales con respecto a la suma de las proporciones de todas las Sociedades de Inversión Básicas o Sociedades de Inversión Básicas Iniciales elegibles del mismo Grupo, de acuerdo con la siguiente fórmula:
 

Donde
Factor i de la Sociedad de Inversión Básica j y Sociedades de Inversión Básicas Iniciales j
Proporción del Factor i de la Sociedad de Inversión Básica j y Sociedades de Inversión Básicas Iniciales j
Número de Sociedades de Inversión pertenecientes a un Grupo, elegibles para recibir Cuentas Individuales en el proceso de Asignación o Reasignación
V.    Para el cálculo de los factores i de la Sociedad de Inversión Básica j o Sociedad de Inversión Básica Inicial j elegible de cada Grupo, se pondera la proporción correspondiente al factor i de cada una de las Sociedades de Inversión Básicas o Sociedades de Inversión Básicas Iniciales con respecto a la suma de las proporciones de todas las Sociedades de Inversión Básicas o Sociedades de Inversión Básicas Iniciales elegibles del mismo Grupo, de acuerdo con la siguiente fórmula:

Donde
Porcentaje de asignación o Reasignación de la j-ésima Sociedad de Inversión Básica o Sociedad de Inversión Básica Inicial elegible de cada Grupo.
Factor de registro de cuentas asignadas de la j-ésima Sociedad de Inversión Básica o Sociedad de Inversión Básica Inicial elegible de cada Grupo.
Factor de comisión sobre saldo de la j-ésima Sociedad de Inversión Básica o Sociedad de Inversión Básica Inicial elegible de cada Grupo.
Factor de Ahorro Voluntario de la j-ésima Sociedad de Inversión Básica o Sociedad de Inversión Básica Inicial elegible de cada Grupo."
TRANSITORIOS
Primero. Las presentes modificaciones entrarán en vigor al día siguiente de su publicación en el Diario Oficial de la Federación, aplicando por primera vez el Mecanismo de proporcionalidad previsto en el Anexo D de las presentes modificaciones al proceso de Asignación y Reasignación de las Cuentas Individuales de 2024.
Segundo. Con la entrada en vigor de las presentes modificaciones, se derogan todas las disposiciones que se opongan a las mismas.
Ciudad de México, a 12 de abril de 2024.- El Presidente de la Comisión Nacional del Sistema de Ahorro para el Retiro, Mtro. Julio César Cervantes Parra.- Rúbrica.