DECRETO por el que se expropia por causa de utilidad pública la superficie de 19-57-27 hectáreas del ejido "El Cerro" (Paso de la Sabana y Boca del Cerro), municipio de Tenosique, estado de Tabasco, a favor de Fonatur Tren Maya, S.A. de C.V.
Al margen un sello con el Escudo Nacional, que dice: Estados Unidos Mexicanos.- Presidencia de la República.
ANDRÉS MANUEL LÓPEZ OBRADOR, presidente de los Estados Unidos Mexicanos, en ejercicio de la facultad que me confiere el artículo 89, fracción I, de la Constitución Política de los Estados Unidos Mexicanos, con fundamento en los artículos 27, párrafos primero y segundo, de la propia Constitución; 13, 41 y 42 de la Ley Orgánica de la Administración Pública Federal; 93, fracciones I y VII, y 94 de la Ley Agraria; 60, 61 y 75 del Reglamento de la Ley Agraria en Materia de Ordenamiento de la Propiedad Rural, y
RESULTANDO
1. Que, mediante resolución presidencial publicada en el Diario Oficial de la Federación (DOF) el 18 de diciembre de 1939, se dotó al poblado "El Cerro" (Paso de la Sabana y Boca del Cerro), municipio de Tenosique, estado de Tabasco, la superficie de 1,548 ha. Dicha resolución se ejecutó el 1 de mayo de 1940;
2. Que, mediante asamblea general de ejidatarios de 10 de diciembre de 1996, se determinó la delimitación, destino y asignación de tierras del ejido "El Cerro" (Paso de la Sabana y Boca del Cerro), municipio de Tenosique, estado de Tabasco;
3. Que, el 3 de enero de 1997, el ejido "El Cerro" (Paso de la Sabana y Boca del Cerro), municipio de Tenosique, estado de Tabasco, se inscribió en el sistema de inscripciones del Registro Agrario Nacional (RAN) con el folio de ejidos y comunidades 27017014118121939R;
4. Que, mediante escritura pública 98,727, de 5 de diciembre de 2018, se protocolizó el cambio de denominación de Fonatur Operadora Portuaria, S.A. de C.V., por el de FONATUR Tren Maya, S.A. de C.V. En la cláusula CUARTA de la citada escritura pública consta, como parte de su objeto social:
c) Tramitar todo tipo de asignaciones y permisos y ejecutar la construcción, operación, explotación, conservación y mantenimiento de vías férreas en el sureste de la República Mexicana.
d) Tramitar todo tipo de asignaciones y permisos y prestar el servicio público de transporte ferroviario de pasajeros o de carga, por sí mismo mediante asignación o de manera conjunta con concesionarios.
e) Tramitar todo tipo de asignaciones y permisos para prestar servicios auxiliares ferroviarios, así como todo tipo de servicios relacionados con la infraestructura ferroviaria.
(...)
g) Celebrar todo tipo de actos jurídicos por los cuales otorgue o reciba el uso y aprovechamiento de bienes muebles e inmuebles, así como el adquirirlos o enajenarlos, comprendidos en instalaciones turísticas o inmobiliarias de cualquier naturaleza, en cualquier destino turístico, polos de desarrollo turístico, Centros Integralmente Planeados, y en Centros Turísticos Sustentables del Fondo Nacional del Fomento al Turismo (FONATUR), en el sureste de la República Mexicana.
5. Que FONATUR Tren Maya, S.A. de C.V., es una empresa de participación estatal mayoritaria sectorizada a la Secretaría de Turismo, como se indica en la "Relación de Entidades Paraestatales de la Administración Pública Federal", publicada en el DOF el 7 de agosto de 2023;
6. Que el Decreto para la entrega del Proyecto Tren Maya a Tren Maya S.A. de C.V. y demás acciones que se indican, publicado en el DOF el 1 de marzo de 2024, establece en su transitorio Decimoprimero que los procedimientos expropiatorios y de adquisición de bienes inmuebles para la ejecución del Proyecto Tren Maya que se encuentren en trámite, a la entrada en vigor del citado instrumento jurídico, deben continuar a cargo de FONATUR Tren Maya, S.A. de C.V. hasta su conclusión, en términos de las disposiciones jurídicas aplicables;
7. Que el Plan Nacional de Desarrollo 2019-2024, publicado en el DOF el 12 de julio de 2019, establece los programas y proyectos que constituyen las prioridades de atención estratégica a problemas públicos identificados. Asimismo, expone como una de las tareas centrales impulsar la reactivación de la economía, para que esta vuelva a crecer a tasas aceptables y se fortalezca el mercado interno y el empleo mediante programas sectoriales, proyectos regionales y obras de infraestructura;
8. Que el capítulo "Proyectos regionales" del plan nacional dispone:
1. El Tren Maya es el más importante proyecto de infraestructura, desarrollo socioeconómico y turismo del presente sexenio. Tendrá un recorrido de mil 525 kilómetros, pasará por los estados de Chiapas, Tabasco, Campeche, Yucatán y Quintana Roo e interconectará las principales ciudades y sitios turísticos de la Península de Yucatán...
El Tren Maya es un proyecto orientado a incrementar la derrama económica del turismo en la Península de Yucatán, crear empleos, impulsar el desarrollo sostenible, proteger el medio ambiente de la zona desalentando actividades como la tala ilegal y el tráfico de especies y propiciar el ordenamiento territorial de la región. Se procurará integrar a la obra y a sus beneficios a los pobladores; se gestionarán los derechos de vía que aún no se tengan mediante acuerdos con los propietarios de los terrenos respectivos; se buscarán acuerdos benéficos en los casos en los que las vías de propiedad federal se encuentren invadidas y se pedirá la aprobación de las comunidades y pueblos originarios mediante consultas.
9. Que el Gobierno federal otorgó, por la entonces Secretaría de Comunicaciones y Transportes, a la empresa de participación estatal mayoritaria FONATUR Tren Maya, S.A. de C.V., la asignación para construir, operar y explotar la vía general de comunicación ferroviaria denominada Tren Maya, la cual incluye la prestación del servicio público de transporte ferroviario de carga y de pasajeros, y los permisos para prestar los servicios auxiliares requeridos (DOF, 21 de abril de 2020);
10. Que los programas sectoriales de Desarrollo Agrario, Territorial y Urbano 2020-2024 y de Turismo 2020-2024, publicados en el DOF el 26 de junio y 3 de julio, de 2020, establecen que la construcción del Tren Maya es el compromiso más relevante de infraestructura para impulsar el desarrollo socioeconómico y turístico de la historia del sureste del país y fortalecer la integración de cadenas productivas en la península de Yucatán, así como para elevar la calidad de los servicios turísticos y fomentar la capacitación y profesionalización del capital humano que forma parte de esta industria;
11. Que el Programa Institucional 2020-2024 del Fondo Nacional de Fomento al Turismo, publicado el 20 de noviembre de 2020 en el DOF, señala en su numeral 7.1 "Relevancia del Objetivo prioritario 1: Desarrollar el Proyecto Regional Tren Maya en los estados de Chiapas, Tabasco, Campeche, Yucatán y Quintana Roo";
12. Que, en cumplimiento del Programa Institucional 2020-2024 del Fondo Nacional de Fomento al Turismo, FONATUR Tren Maya, S.A. de C.V. elaboró dictámenes técnicos de viabilidad del proyecto Tren Maya, en los que se concluye que es de primera necesidad contar con un servicio confiable, eficiente, cómodo y seguro que permita, por una parte, el transporte de mercancías y, por otra, movilizar a sus usuarios con altos estándares de calidad, acceso y cobertura en el área urbana y conurbada. Dichos dictámenes acreditan que el Proyecto Tren Maya satisface el interés colectivo, e impulsa las actividades económicas del sur-sureste del país que garantizan el derecho a la movilidad en condiciones de seguridad, accesibilidad, comodidad, eficiencia, calidad e igualdad. Asimismo, la construcción del Tren Maya permitirá el desarrollo socioeconómico y turístico; reducirá los niveles de pobreza que existen en la zona, y mejorará las condiciones de vida de quienes habitan y transitan por la zona;
13. Que el Programa Institucional 2020-2024 de FONATUR Tren Maya, S.A. de C.V., publicado el 24 de diciembre de 2020 en el DOF, tiene como uno de sus objetivos prioritarios en su numeral 6 "Relevancia del objetivo prioritario 1.- Ejecutar el Proyecto Prioritario Integral Tren Maya para mejorar la conectividad, movilidad y el desarrollo integral sostenible del sureste";
14. Que, el 26 de marzo y 26 de agosto, de 2021, el ejido "El Cerro" (Paso de la Sabana y Boca del Cerro), en asambleas generales, aprobó la celebración de los convenios de ocupación previa con FONATUR Tren Maya, S.A. de C.V., respecto de tierras de uso común y una parcela sin asignar, suscritos del 26 de marzo de 2021 al 7 de diciembre de 2022 por el comisariado ejidal; asimismo, del 17 de junio de 2020 al 25 de mayo de 2023, se suscribieron diversos convenios de ocupación previa con los ejidatarios afectados, respecto de tierras uso parcelado. En sendos convenios, se autorizó ocupar a título gratuito las superficies objeto de los mismos hasta la expedición del decreto respectivo, así como realizar un pago inmediato como anticipo a cuenta de la indemnización que proceda una vez decretada la expropiación;
15. Que FONATUR Tren Maya, S.A. de C.V., mediante oficio número DJ/APAT/276/2023, de 15 de mayo de 2023, solicitó al titular de la Secretaría de Desarrollo Agrario, Territorial y Urbano (Sedatu) la expropiación de la superficie de 19-53-20.16 ha del ejido "El Cerro" (Paso de la Sabana y Boca del Cerro), municipio de Tenosique, estado de Tabasco, para destinarla a la construcción de obras de infraestructura ferroviaria, operación del proyecto Tren Maya y sus obras complementarias. Tramo 1 Palenque-Escárcega;
16. Que, la Dirección General de Ordenamiento de la Propiedad Rural (DGOPR) de la Sedatu, el 26 de mayo de 2023, emitió acuerdo de instauración del procedimiento de expropiación con número de expediente DGOPR-DE/SOE-27TB/0049FONATUR TREN MAYA, S.A. de C.V/2023; 17. Que FONATUR Tren Maya, S.A. de C.V., mediante oficio DJ/APAT/678/2023, de 26 de junio de 2023, aclaró que la superficie que solicita sea expropiada es de 19-57-26.27 ha;
18. Que, el 7 de julio de 2023, la DGOPR emitió acuerdo que regulariza el procedimiento expropiatorio y señala que la superficie a expropiar es de 19-57-26.27 ha;
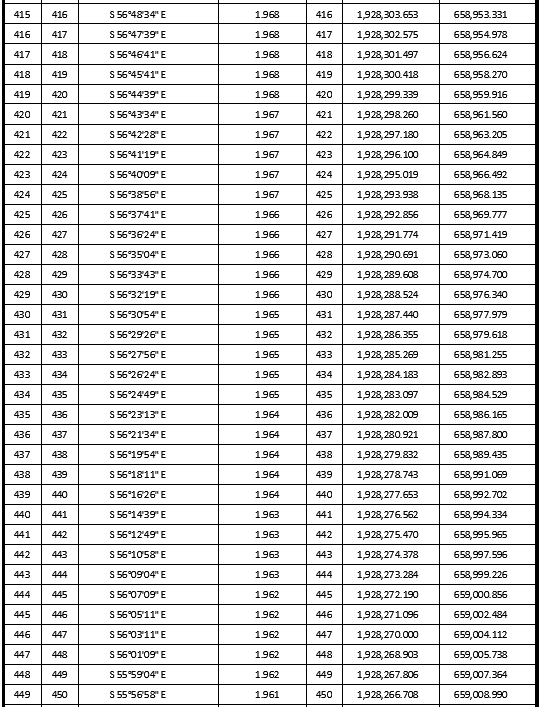
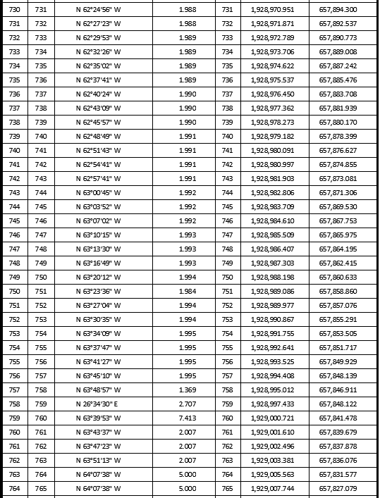
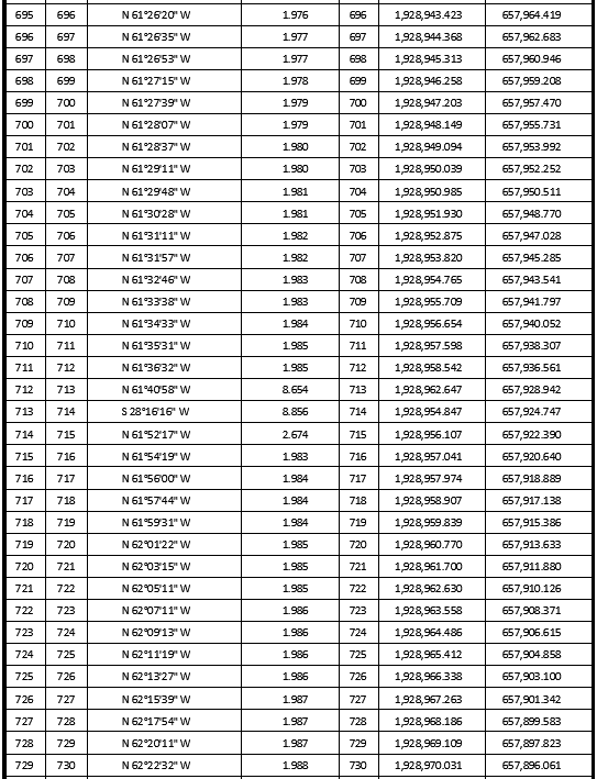
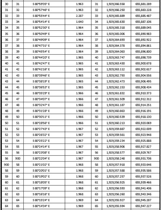
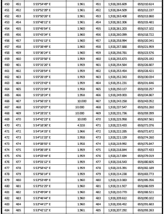
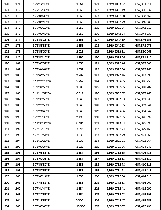
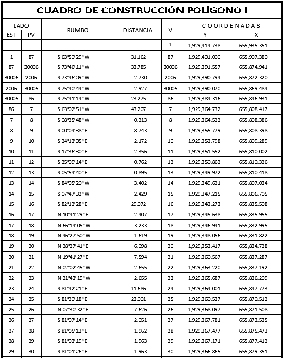
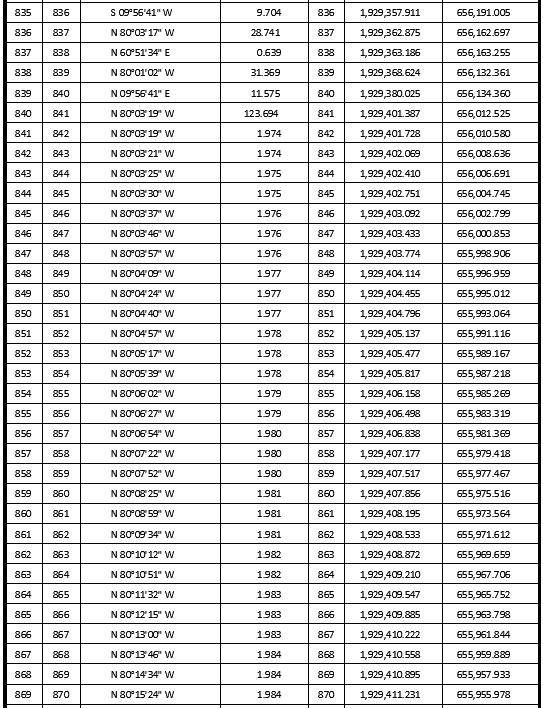
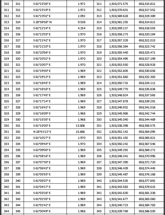
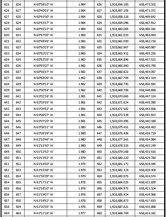
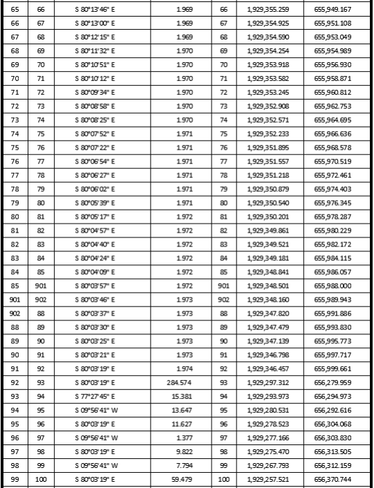
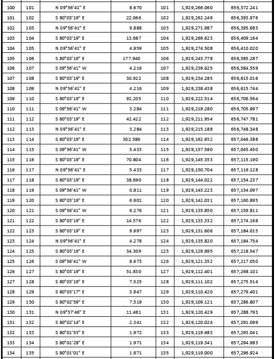
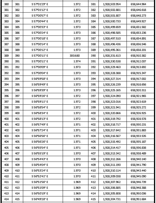
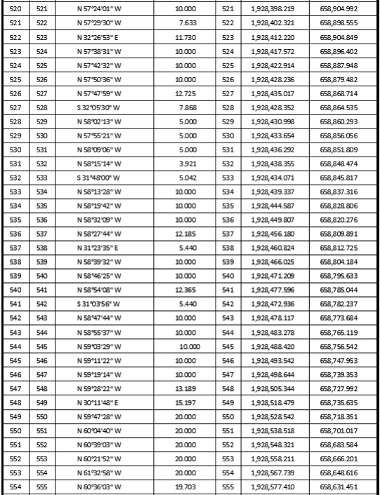
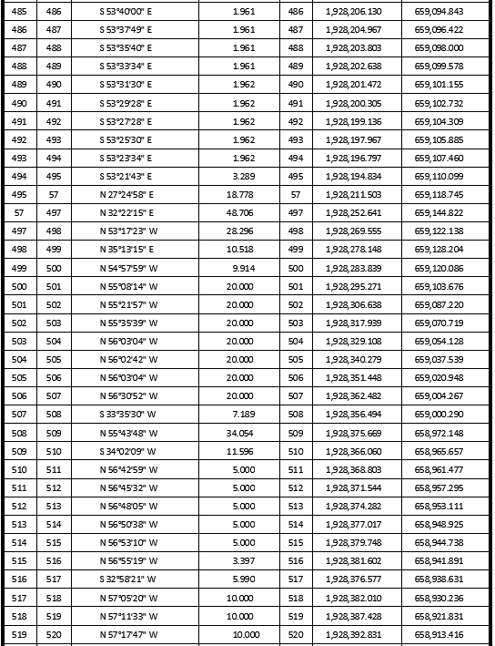
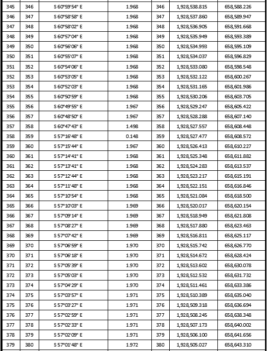
19. Que el comisionado técnico del RAN y el comisionado agrario de la Sedatu rindieron el "informe de comisión de Trabajos Técnicos e Informativos de Expropiación", de 28 de julio de 2023, en el que señalan que la superficie real a expropiar al ejido "El Cerro" (Paso de la Sabana y Boca del Cerro), municipio de Tenosique, estado de Tabasco es de 19-57-27 ha, de las cuales 09-04-17 ha son de uso común, y 10-53-10 ha son de uso parcelado, que se describen en el siguiente plano y cuadros de construcción:
Asimismo, señala que las tierras de uso parcelado son las siguientes:
| Núm. | Núm. parcela | Calidad agraria | Calidad de la tierra | Polígono en el que se localiza | Sup. Afectada (ha) |
| 1 | 82 | Ejidatario | Agostadero | I | 00-01-13 |
| 2 | 73 | Ejidatario | Agostadero | I | 01-49-87 |
| 3 | 61 | Ejidatario | Agostadero | I | 00-29-32 |
| 79 | Ejidatario | Agostadero | I | 00-03-91 |
| 4 | 62 | Ejidatario | Agostadero | I | 00-35-25 |
| 5 | 85 | Avecindado | Temporal | I | 00-04-59 |
| 6 | 86 | Avecindado | Agostadero | I | 00-18-00 |
| 7 | 60 | Ejidatario | Agostadero | I | 00-50-60 |
| 78 | Ejidatario | Agostadero | I | 00-05-67 |
| 8 | 63 | Ejidatario | Temporal | I | 00-37-51 |
| 80 | Ejidatario | Agostadero | I | 00-10-92 |
| 81 | Ejidatario | Agostadero | I | 00-15-28 |
| 9 | 77 | Ejidatario | Agostadero | I | 00-14-58 |
| 10 | 68 | Ejidatario | Agostadero | I | 00-60-75 |
| 11 | 67 | Posesionario | Temporal | I | 00-52-83 |
| 12 | 74 | Posesionario | Temporal | I | 00-13-52 |
| 13 | 69 | Ejidatario | Agostadero | I | 00-27-02 |
| 70 | Ejidatario | Agostadero | I | 00-12-44 |
| 95 | Ejidatario | Agostadero | I | 00-04-73 |
| 96 | Ejidatario | Agostadero | I | 00-23-36 |
| 97 | Ejidatario | Agostadero | I | 00-09-23 |
| 14 | 92 | Avecindado | Agostadero | I | 00-27-81 |
| 93 | Avecindado | Agostadero | I | 00-09-26 |
| 94 | Avecindado | Agostadero | I | 00-07-71 |
| 15 | 98 | Posesionario | Agostadero | I | 00-20-86 |
| 16 | 71 | Posesionario | Agostadero | I | 00-26-69 |
| 99 | Posesionario | Agostadero | I | 00-10-10 |
| 17 | 89 | Ejidatario | Agostadero | I | 00-73-23 |
| 18 | 66 | Ejidatario | Temporal | I | 00-00-04 |
| 19 | 64 | Ejidatario | Temporal | I | 00-22-78 |
| 20 | 91 | Ejidatario | Agostadero | I | 00-35-73 |
| 21 | 72 | Si calidad | Agostadero | I | 00-91-75 |
| 22 | 90 | Ejidatario | Agostadero | I | 00-47-83 |
| 23 | 88 | Ejidatario | Agostadero | I | 00-56-64 |
| 24 | 87 | Ejidatario | Agostadero | I | 00-42-16 |
Superficie a expropiar de uso parcelado (individual): 10-53-10 ha
Superficie a expropiar de uso común: 09-04-17 ha
Superficie total a expropiar: 19-57-27 ha
20. Que al comisariado ejidal y a los afectados del "El Cerro" (Paso de la Sabana y Boca del Cerro) se les notificaron el 28 y 29 de agosto, de 2023, la solicitud de expropiación, el acuerdo de instauración, el oficio de 26 de junio de 2023 de aclaración respecto de la superficie, el acuerdo de regularización del procedimiento y la superficie real a expropiar. Asimismo, se les informó que contaban con 10 días hábiles para que manifestaran lo que a sus intereses conviniera. En dicho plazo no realizaron manifestaciones;
21. Que la Dirección General de Ordenamiento Territorial de la Sedatu, el 24 de octubre de 2023, emitió opinión técnica condicionada número SOTA/DGOT/077/CHIS.CAM.TAB/FONATUR TM1/001/2023 respecto del procedimiento de expropiación a favor de FONATUR Tren Maya S.A. DE C.V., que incluye la superficie de 19-57-27 ha relativas al ejido "El Cerro" (Paso de la Sabana y Boca del Cerro), municipio de Tenosique, estado de Tabasco;
22. Que, el 27 de octubre de 2023, el Instituto de Administración y Avalúos de Bienes Nacionales (Indaabin) emitió el dictamen valuatorio y anexo único, con número secuencial 04-23-1858 y genérico G-35874-ZND, en el que determinó, con base en el valor comercial de la superficie a expropiar, que el monto total de indemnización asciende a $2,065,991.46 (dos millones sesenta y cinco mil novecientos noventa y un pesos 46/100 M.N.);
23. Que la DGOPR, el 3 de noviembre de 2023, emitió dictamen en el que determinó procedente la expropiación de la superficie a que se refiere el numeral 19 a favor de FONATUR Tren Maya S.A. de C.V. para destinarse a la construcción de obras de infraestructura ferroviaria y operación del proyecto Tren Maya y sus obras complementarias, y
CONSIDERANDO
I. Que, de conformidad con los artículos 27, párrafos primero y segundo, de la Constitución Política de los Estados Unidos Mexicanos (CPEUM); 93, fracciones I y VII, y 94 de la Ley Agraria, y 75 del Reglamento de la Ley Agraria en Materia de Ordenamiento de la Propiedad Rural (RLAMOPR), procede, mediante indemnización y previo decreto expedido por el titular del Ejecutivo Federal publicado en el DOF, la expropiación por causa de utilidad pública, como lo es la construcción de obras de infraestructura ferroviaria, operación del Proyecto Tren Maya y sus obras complementarias;
II. Que la superficie de 19-57-27 ha, de las cuales 09-04-17 ha son de uso común y 10-53-10 ha son de uso parcelado, pertenecientes al ejido "El Cerro" (Paso de la Sabana y Boca del Cerro), municipio de Tenosique, estado de Tabasco, se solicitó para destinarse a la construcción de obras de infraestructura ferroviaria, operación del Proyecto Tren Maya y sus obras complementarias, así como a la prestación del servicio público de transporte de carga ferroviaria y de pasajeros. Como consecuencia, se acreditan las causas de utilidad pública del establecimiento, explotación o conservación de un servicio o función públicos, y de la construcción de puentes, carreteras, ferrocarriles y demás obras que faciliten el transporte, previstas en el artículo 93, fracciones I y VII, respectivamente, de la Ley Agraria;
III. Que la construcción de obras de infraestructura ferroviaria, operación del Proyecto Tren Maya y sus obras complementarias son acordes con el Plan Nacional de Desarrollo 2019-2024, toda vez que se prestará un servicio público de transporte de pasajeros para el beneficio del turismo nacional y extranjero, así como de transporte de carga ferroviario para acelerar el comercio de la península, lo que facilitará el intercambio de mercancías con el resto del país y diversificará los puntos turísticos de la región para generar una derrama económica. Como consecuencia, se generarán oportunidades laborales y se redistribuirá la riqueza a lo largo de la península; se dará protección y rehabilitación a las áreas naturales protegidas y a los sitios patrimoniales. De igual forma, el Tren Maya funcionará como corredor humanitario por medio del cual se entregarán apoyos alimentarios, médicos, etc. para las comunidades indígenas y pueblos marginados del sureste mexicano; tendrá un flujo constante, y solo por su conducto, se podrá llegar a dichos poblados de manera pronta y eficaz; su ubicación geográfica es fundamental para salvaguardar las costas y la zona fronteriza con Centroamérica;
IV. Que, de diversos documentos contenidos en el expediente de expropiación número DGOPR-DE/SOE-27TB/0049FONATUR TREN MAYA, S.A. de C.V/2023, se advierte que la superficie que se solicitó expropiar al ejido "El Cerro" (Paso de la Sabana y Boca del Cerro) fue de 19-57-26.27 ha; sin embargo, una vez realizados los trabajos técnicos, resultó que la superficie real es de 19-57-27 ha, de las cuales 09-04-17 ha son de uso común y 10-53-10 ha son de uso parcelado, como consta en el informe de comisión de Trabajos Técnicos e Informativos de Expropiación, ya referido, motivo por el cual la superficie a expropiar al ejido "El Cerro" (Paso de la Sabana y Boca del Cerro), municipio de Tenosique, estado de Tabasco debe ser 19-57-27 ha;
V. Que se otorgó garantía de audiencia al órgano de representación y afectados del ejido "El Cerro" (Paso de la Sabana y Boca del Cerro), municipio de Tenosique, estado de Tabasco, como se acredita con las constancias que obran en el expediente DGOPR-DE/SOE-27TB/0049FONATUR TREN MAYA, S.A. de C.V/2023, con lo que se dio cumplimiento a los artículos 14 y 16 de la CPEUM y 65 del RLAMOPR;
VI. Que queda acreditado, asimismo, que se ha cumplido con lo dispuesto en los artículos 94 de la Ley Agraria y 70 del RLAMOPR, ya que el Indaabin emitió dictamen valuatorio, el 27 de octubre de 2023, en el cual determinó que el monto de indemnización, con base al valor comercial de la superficie a expropiar, es de $2,065,991.46 (dos millones sesenta y cinco mil novecientos noventa y un pesos 46/100 M.N.). Con base en dicho avalúo, procede pagar la indemnización al ejido por las tierras de uso común y a los titulares de las parcelas afectadas, en la que debe considerarse el pago anticipado que se haya hecho, en la inteligencia de que los bienes objeto de la expropiación solo podrán ser ocupados de manera definitiva, mediante el pago que se efectúe al ejido o a las personas que acrediten tener derecho sobre tierras de uso común y de uso parcelado en la proporción que corresponda;
VII. Que, de conformidad con el artículo 97 de la Ley Agraria, en caso de que los bienes expropiados se destinen a un fin distinto al señalado en el decreto respectivo, o si transcurrido un plazo de 5 años no se ha cumplido con la causa de utilidad pública, el Fideicomiso Fondo Nacional de Fomento Ejidal podrá ejercer las acciones necesarias para reclamar la reversión parcial o total, según corresponda, de los bienes expropiados, y operar la incorporación de estos a su patrimonio, y
VIII. Que, al quedar plenamente acreditado que el procedimiento de expropiación se ha tramitado ante la Sedatu y son justificadas las causas de utilidad pública que se hacen valer, se ha cumplido con los artículos 93, 94 y 95 de la Ley Agraria, y 60, 61, 63, 65, 67, 70, 72, 73, 74 y 75 del RLAMOPR, he tenido a bien expedir el siguiente
DECRETO
PRIMERO. Se expropia por causa de utilidad pública la superficie de 19-57-27 ha (diecinueve hectáreas, cincuenta y siete áreas, veintisiete centiáreas), de las cuales 10-53-10 ha (diez hectáreas, cincuenta y tres áreas, diez centiáreas) son de uso parcelado y 09-04-17 ha (nueve hectáreas, cuatro áreas, diecisiete centiáreas) son de uso común del ejido "El Cerro" (Paso de la Sabana y Boca del Cerro), municipio de Tenosique, estado de Tabasco, a favor de FONATUR Tren Maya, S.A. de C.V., para destinarla a la construcción de obras de infraestructura ferroviaria, operación del Proyecto Tren Maya y sus obras complementarias.
SEGUNDO. Queda a cargo de FONATUR Tren Maya, S.A. de C.V. pagar por concepto de indemnización por la superficie que se expropia la cantidad de $2,065,991.46 (dos millones sesenta y cinco mil novecientos noventa y un pesos 46/100 MN) señalada en el avalúo emitido por el Instituto de Administración y Avalúos de Bienes Nacionales, y en los términos señalados en la parte considerativa del presente decreto.
TERCERO. Cuando FONATUR Tren Maya, S.A. de C.V. haya acreditado el pago o depósito de la indemnización señalada en el numeral anterior, la Secretaría de Desarrollo Agrario, Territorial y Urbano procederá a su ejecución. CUARTO. Publíquese en el Diario Oficial de la Federación e inscríbase en el Registro Agrario Nacional, en el Registro Público de la Propiedad Federal y en el Registro Público de la Propiedad estatal o municipal correspondiente. Notifíquese y ejecútese.
Dado en la residencia del Poder Ejecutivo Federal, en Ciudad de México a 15 de abril de 2024.- Andrés Manuel López Obrador.- Rúbrica.- Secretario de Desarrollo Agrario, Territorial y Urbano, Román Guillermo Meyer Falcón.- Rúbrica.- Secretario de Turismo, Miguel Tomás Torruco Marqués.- Rúbrica.