DECRETO por el que se expropia por causa de utilidad pública la superficie de 09-60-44 hectáreas del ejido "Alpotzonga de Lira y Ortega", municipio de Ixtacuixtla de Mariano Matamoros, estado de Tlaxcala, a favor de la Secretaría de Infraestructura, Comunicaciones y Transportes.

Al margen un sello con el Escudo Nacional, que dice: Estados Unidos Mexicanos.- Presidencia de la República.

ANDRÉS MANUEL LÓPEZ OBRADOR, presidente de los Estados Unidos Mexicanos, en ejercicio de la facultad que me confiere el artículo 89, fracción I, de la Constitución Política de los Estados Unidos Mexicanos, con fundamento en los artículos 27, párrafos primero y segundo, de la propia Constitución; 13, 36 y 41 de la Ley Orgánica de la Administración Pública Federal; 93, fracción VII, y 94 de la Ley Agraria, y 60, 61 y 75 del Reglamento de la Ley Agraria en Materia de Ordenamiento de la Propiedad Rural, y
RESULTANDO
1. Que, mediante resolución presidencial publicada en el Diario Oficial de la Federación (DOF) el 8 de abril de 1929, se dotó a la ranchería "Alpotzonga de Lira y Ortega", municipio de Ixtlacuixtla, estado de Tlaxcala, la superficie de 396 ha. Dicha resolución se ejecutó el 19 de mayo de 1933;
2. Que, mediante resolución presidencial publicada en el DOF el 9 de abril de 1940, se dotó por concepto de ampliación al poblado "Alpotzonga de Lira y Ortega", municipio de Ixtaquixtla, estado de Tlaxcala, la superficie de 73-40-00 ha. Dicha resolución se ejecutó el 30 de junio de 1941;
3. Que, mediante asamblea general de ejidatarios de 8 de julio de 1994, se determinó la delimitación, destino y asignación de tierras del ejido "Alpotzonga de Lira y Ortega", municipio de Ixtacuixtla, estado de Tlaxcala;
4. Que, el 28 de febrero de 1995, el ejido "Alpotzonga de Lira y Ortega", municipio de Ixtacuixtla de Mariano Matamoros, estado de Tlaxcala, quedó inscrito en el sistema de inscripciones del Registro Agrario Nacional (RAN) con el folio de ejidos y comunidades 29015009108041929R;
5. Que, el 20 de diciembre de 2004 y 11 de julio de 2007, el ejido "Alpotzonga de Lira y Ortega", en asambleas generales, aprobó la celebración de los convenios de ocupación previa con la entonces Secretaría de Comunicaciones y Transportes (SCT) respecto de tierras de uso común, suscritos el 18 de octubre de 2005 y 22 de agosto de 2007 por el comisariado ejidal. En sendos convenios, se autorizó ocupar a título gratuito las superficies objeto de los mismos hasta la expedición del decreto respectivo, así como realizar un pago inmediato como anticipo a cuenta de la indemnización que proceda una vez decretada la expropiación;
6. Que la SCT, hoy Secretaría de Infraestructura, Comunicaciones y Transportes (SICT), mediante oficio número 6.28.2599/2015, de 23 de noviembre de 2015, solicitó a la entonces titular de la Secretaría de Desarrollo Agrario, Territorial y Urbano (Sedatu) la opinión técnica del ejido "Alpotzonga de Lira y Ortega", municipio de Ixtacuixtla de Mariano Matamoros, estado de Tlaxcala" respecto de la superficie total de 89,570.455 m2;
7. Que la Dirección General de Ordenamiento Territorial y de Atención a Zonas de Riesgo, de la entonces Subsecretaría de Ordenamiento Territorial de la Sedatu, el 28 de junio de 2016, emitió opinión número DGOTAZR/DGAGO/0066/TLAX/SCT/0028/2016, respecto del procedimiento de expropiación a favor de la SICT por la superficie de 08-95-70.460 ha relativas al ejido "Alpotzonga de Lira y Ortega", municipio de Ixtacuixtla de Mariano Matamoros, estado de Tlaxcala";
8. Que la SICT, mediante oficio número 1.2.402-014774, de 14 de octubre de 2016, solicitó a la entonces titular de la Sedatu la expropiación de la superficie de 08-95-70.45 ha del ejido "Alpotzonga de Lira y Ortega", municipio de "Ixtacuitla", estado de Tlaxcala, para destinarlos al Libramiento Norte de Ciudad de México;
9. Que la Dirección General de la Propiedad Rural, hoy Dirección General de Ordenamiento de la Propiedad Rural (DGOPR) de la Sedatu, el 26 de octubre de 2016, emitió acuerdo de instauración del procedimiento de expropiación con número de expediente 13782/S.C.T.;
10. Que el presidente municipal de Ixtacuixtla de Mariano Matamoros, estado de Tlaxcala, mediante oficio de 30 de marzo de 2017, informó que se reconoce al ejido "Alpotzonga de Lira y Ortega" dentro del territorio de Ixtacuixtla de Mariano Matamoros, estado de Tlaxcala;
11. Que la Subdelegación de Registro y Asuntos Jurídicos de la Delegación del RAN en el estado de Tlaxcala, el 4 de abril de 2017, emitió constancia número SR/0104/2017, en la que precisó:
...SE TOMO CONOCIMIENTO QUE SI BIEN LA RESOLUCION PRESIDENCIAL EMITIDA EL VEINTIDOS DE NOVIEMBRE DE MIL NOVECIENTOS VEINTIOCHO, PARA LA CREACIÓN DEL NÚCLEO AGRARIO, SE EXPIDIO A NOMBRE DE ALPOTZONGA DE LIRA Y ORTEGA, MUNICIPIO DE IXTACUIXTLA. EL NOMBRE DE ALPOTZONGA DE LIRA Y ORTEGA, Y LOS MUNICIPIOS DE IXTACUIXTLA Y/O IXTACUIXTLA DE MARIANO MATAMOROS, CORRESPONDEN Y SE HAN UTILIZADO PARA IDENTIFICAR AL NÚCLEO EJIDAL ALPOTZONGA DE LIRA Y ORTEGA, MUNICIPIO DE IXTACUIXTLA DE MARIANO MATAMOROS, ESTADO DE TLAXCALA.
COMO RESULTADO DE LOS TRABAJOS DEL PROGRAMA DE CERTIFICACION DE DERECHOS EJIDALES (...) EL NUCLEO EJIDAL QUEDO INSCRITO CON EL NOMBRE DE ALPOTZONGA DE LIRA Y ORTEGA, MUNICIPIO DE IXTACUIXTLA DE MARIANO MATAMOROS, ESTADO DE TLAXCALA, EN EL FOLIO MATRIZ 29TM00000156.
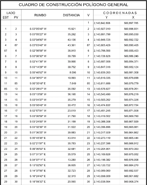
12. Que el comisionado técnico del RAN rindió el "informe de Trabajos Técnicos e Informativos", de 28 de abril de 2017, en el que señala que la superficie real a expropiar al ejido "Alpotzonga de Lira y Ortega", municipio de Ixtacuixtla de Mariano Matamoros, estado de Tlaxcala, es de 09-60-44 ha, de uso común, que se describen en el siguiente plano y cuadros de construcción:


 

 

 

13. Que al comisariado ejidal de "Alpotzonga de Lira y Ortega" se les notificaron el 7 de julio de 2017, la solicitud de expropiación, el acuerdo de instauración y la superficie real a expropiar. Asimismo, se les informó que contaban con 10 días hábiles para que manifestaran lo que a su interés conviniera. En dicho plazo no realizaron manifestaciones;
14. Que el 17 de abril de 2023, el Instituto de Administración y Avalúos de Bienes Nacionales (Indaabin) emitió el dictamen valuatorio, con número secuencial 03-23-159 y genérico G-16972-B-ZNC, en el que determinó, con base en el valor comercial de la superficie a expropiar, que el monto total de indemnización asciende a $19,158,000.00 (diecinueve millones ciento cincuenta y ocho mil pesos 00/100 M.N.);
15. Que al comisariado ejidal de "Alpotzonga de Lira y Ortega" se les notificó el 11 de mayo de 2023, el dictamen valuatorio a que hace referencia el numeral anterior. Asimismo, se les informó que contaban con 10 días hábiles para que manifestaran lo que a su interés conviniera. En dicho plazo no realizaron manifestaciones;
16. Que la Dirección General de Ordenamiento Territorial de la Sedatu, el 22 de diciembre de 2023, emitió opinión técnica número DGOT.0457.2023 respecto del procedimiento de expropiación a favor de la SICT, por la superficie de 09-60-44 ha relativas al ejido "Alpotzonga de Lira y Ortega", municipio de Ixtacuixtla de Mariano Matamoros, estado de Tlaxcala;
17. Que la DGOPR, el 9 de enero de 2023, emitió dictamen en el que determinó procedente la expropiación de la superficie a que se refiere el numeral 12 a favor de la SICT para destinarse al Libramiento Norte de Ciudad de México, y
18. Que la DGOPR, el 25 de enero de 2024, emitió el siguiente acuerdo aclaratorio en el que aclara: "ÚNICO.- Téngase como fecha de emisión del dictamen de procedencia, relativo al procedimiento de expropiación de la superficie de 9-60-44 hectáreas de tierras del ejido 'Alpotzonga de Lira y Ortega', municipio de Ixtacuixtla de Mariano Matamoros, estado de Tlaxcala, a favor de la Secretaría de Infraestructura, Comunicaciones y Transportes para destinarlos al 'Libramiento Norte de la Ciudad de México' el 09 de enero de 2024"
CONSIDERANDO
I. Que, de conformidad con los artículos 27, párrafos primero y segundo, de la CPEUM; 93, fracción VII, y 94 de la Ley Agraria, y 75 del RLAMOPR, procede, mediante indemnización y previo decreto expedido por el titular del Ejecutivo Federal publicado en el DOF, la expropiación por causa de utilidad pública, como lo es la construcción de puentes, carreteras, ferrocarriles, campos de aterrizaje y demás obras que faciliten el transporte;
II. Que los documentos señalados en los resultandos 1 al 3 del presente instrumento indican de manera indistinta que el ejido "Alpotzonga de Lira y Ortega", se ubica en los municipios de "Ixtlacuixtla", "Ixtaquixtla" e Ixtacuixtla, estado de Tlaxcala; sin embargo, de las publicaciones referidas en los resultandos 4,11 y 12, los datos actuales y correctos del ejido son "Alpotzonga de Lira y Ortega", municipio de Ixtacuixtla de Mariano Matamoros, estado de Tlaxcala, tal como consta en la inscripción del Registro Agrario Nacional, en la constancia emitida por la Subdelegación de Registro y Asuntos Jurídicos de la Delegación del RAN en el estado de Tlaxcala, así como en el informe de comisión de Trabajos Técnicos e Informativos de Expropiación, por lo que el nombre del ejido y el municipio en el que se ubica debe identificarse como "Alpotzonga de Lira y Ortega", municipio de Ixtacuixtla de Mariano Matamoros, estado de Tlaxcala;
III. Que la superficie de 09-60-44 ha de uso común, pertenecientes al ejido "Alpotzonga de Lira y Ortega", municipio de Ixtacuixtla de Mariano Matamoros, estado de Tlaxcala, se solicitó para destinarse al Libramiento Norte de la Ciudad de México. Como consecuencia, se acredita la causa de utilidad pública de la construcción de puentes, carreteras, ferrocarriles, campos de aterrizaje y demás obras que faciliten el transporte, prevista en el artículo 93, fracción VII, de la Ley Agraria;
IV. Que el Libramiento Norte de Ciudad de México es una vía de comunicación que sirve como circunvalación de la zona metropolitana del Valle de México, evita el paso de miles de vehículos por la congestionada Ciudad de México, la autopista pasa por cuatro estados del centro de la República Mexicana: Puebla, Tlaxcala, Hidalgo y México, enlaza con las autopistas de México-Nogales, México-Nuevo Laredo, Acapulco-Tuxpan y Puebla-Ciudad de Hidalgo, con el cruce de estos ejes carreteros se mejora la logística de transporte ya que une la región sureste con el norte, noroeste y occidental del país; se impulsa la creación de polos de desarrollo porque intercomunican las zonas industriales y comerciales del centro del país en forma rápida, segura y eficiente. El libramiento permite dar salida en forma eficiente a la producción agrícola, ganadera, textil y artesanal de dichos estados, lo que reduce en forma considerable el tiempo de recorrido y consumo de energéticos de los vehículos de transporte pesado y turístico que no tengan necesidad de circular por Ciudad de México;
V. Que, de diversos documentos contenidos en el expediente de expropiación número 13782/S.C.T. se advierte que la superficie que se solicitó expropiar al ejido "Alpotzonga de Lira y Ortega", fue de 08-95-70.45 ha; sin embargo, una vez realizados los trabajos técnicos, resultó que la superficie real es de 09-60-44 ha de uso común como consta en el informe de comisión de Trabajos Técnicos e Informativos, ya referido, motivo por el cual la superficie a expropiar del ejido "Alpotzonga de Lira y Ortega", municipio de Ixtacuixtla de Mariano Matamoros, estado de Tlaxcala, debe ser de 09-60-44 ha;
VI. Que se otorgó garantía de audiencia al órgano de representación del ejido Alpotzonga de Lira y Ortega", municipio de Ixtacuixtla de Mariano Matamoros, estado de Tlaxcala, como se acredita con las constancias que obran en el expediente 13782/S.C.T., con lo que se dio cumplimiento a los artículos 14 y 16 de la CPEUM y 65 del RLAMOPR;
VII. Que queda acreditado, asimismo, que se ha cumplido con lo dispuesto en los artículos 94 de la Ley Agraria y 70 del RLAMOPR, ya que el Indaabin emitió dictamen valuatorio, el 17 de abril de 2023, en el cual determinó que el monto de indemnización, con base al valor comercial de la superficie a expropiar, es de $19,158,000.00 (diecinueve millones ciento cincuenta y ocho mil pesos 00/100 M.N.). Con base en dicho avalúo, procede pagar la indemnización al ejido por las tierras de uso común, en la que debe considerarse el pago anticipado que se haya hecho, en la inteligencia de que los bienes objeto de la expropiación solo podrán ser ocupados de manera definitiva, mediante el pago que se efectúe al ejido en la proporción que corresponda;
VIII. Que, de conformidad con el artículo 97 de la Ley Agraria, en caso de que los bienes expropiados se destinen a un fin distinto al señalado en el decreto respectivo, o si transcurrido un plazo de 5 años no se ha cumplido con la causa de utilidad pública, el Fideicomiso Fondo Nacional de Fomento Ejidal podrá ejercer las acciones necesarias para reclamar la reversión parcial o total, según corresponda, de los bienes expropiados, y operar la incorporación de estos a su patrimonio, y
IX. Que, al quedar plenamente acreditado que el procedimiento de expropiación se ha tramitado ante la Sedatu y son justificadas las causas de utilidad pública que se hacen valer, se ha cumplido con los artículos 93, 94 y 95 de la Ley Agraria, y 60, 61, 63, 65, 67, 70, 72, 73, 74 y 75 del RLAMOPR, he tenido a bien expedir el siguiente
DECRETO
PRIMERO. Se expropia por causa de utilidad pública la superficie de 09-60-44 ha (nueve hectáreas, sesenta áreas, cuarenta y cuatro centiáreas) de uso común del ejido "Alpotzonga de Lira y Ortega", municipio de Ixtacuixtla de Mariano Matamoros, estado de Tlaxcala, a favor de la Secretaría de Infraestructura, Comunicaciones y Transportes, para destinarla al Libramiento Norte de Ciudad de México.
SEGUNDO. Queda a cargo de la Secretaría de Infraestructura, Comunicaciones y Transportes pagar por concepto de indemnización por la superficie que se expropia la cantidad de $19,158,000.00 (diecinueve millones ciento cincuenta y ocho mil pesos 00/100 M.N.) señalada en el avalúo emitido por el Instituto de Administración y Avalúos de Bienes Nacionales, y en los términos señalados en la parte considerativa del presente decreto.
TERCERO. Cuando la Secretaría de Infraestructura, Comunicaciones y Transportes haya acreditado el pago o depósito de la indemnización señalada en el numeral anterior, la Secretaría de Desarrollo Agrario, Territorial y Urbano procederá a su ejecución.
CUARTO. Publíquese en el Diario Oficial de la Federación e inscríbase en el Registro Agrario Nacional, en el Registro Público de la Propiedad Federal y en el Registro Público de la Propiedad estatal o municipal correspondiente. Notifíquese y ejecútese.
Dado en la residencia del Poder Ejecutivo Federal, en Ciudad de México a 12 de abril de 2024.- Andrés Manuel López Obrador.- Rúbrica.- Secretario de Infraestructura, Comunicaciones y Transportes, Jorge Nuño Lara.- Rúbrica.- Secretario de Desarrollo Agrario, Territorial y Urbano, Román Guillermo Meyer Falcón.- Rúbrica.