DECRETO por el que se expropia por causa de utilidad pública la superficie de 07-02-17 hectáreas del ejido "Dzitbalché", municipio de Dzitbalché, estado de Campeche, a favor de Fonatur Tren Maya, S.A. de C.V.

Al margen un sello con el Escudo Nacional, que dice: Estados Unidos Mexicanos.- Presidencia de la República.

ANDRÉS MANUEL LÓPEZ OBRADOR, presidente de los Estados Unidos Mexicanos, en ejercicio de la facultad que me confiere el artículo 89, fracción I, de la Constitución Política de los Estados Unidos Mexicanos, con fundamento en los artículos 27, párrafos primero y segundo, de la propia Constitución; 13, 41 y 42 de la Ley Orgánica de la Administración Pública Federal; 93, fracciones I y VII, 94 de la Ley Agraria; 60, 61 y 75 del Reglamento de la Ley Agraria en Materia de Ordenamiento de la Propiedad Rural, y
RESULTANDO
1. Que, mediante resolución presidencial publicada en el Diario Oficial de la Federación (DOF) el 28 de enero de 1924, se dotó al poblado de "Villa de Dzitbalché", municipio de Calkiní, estado de Campeche, la superficie de 9,000 hectáreas. Dicha resolución se ejecutó el 31 de octubre de 1927;
2. Que el ejido "Dzitbalché", municipio de Calkiní, estado de Campeche, quedó inscrito en el sistema de inscripciones del Registro Agrario Nacional (RAN) con el folio de ejidos y comunidades 04001003128011924R;
3. Que en escritura pública 98,727, de 5 de diciembre de 2018, se protocolizó el cambio de denominación de Fonatur Operadora Portuaria, S.A. de C.V., por el de Fonatur Tren Maya, S.A. de C.V. En la cláusula CUARTA de la citada escritura pública consta, como parte de su objeto social:
c) Tramitar todo tipo de asignaciones y permisos y ejecutar la construcción, operación, explotación, conservación y mantenimiento de vías férreas en el sureste de la República Mexicana.
d) Tramitar todo tipo de asignaciones y permisos y prestar el servicio público de transporte ferroviario de pasajeros o de carga, por mismo mediante asignación o de manera conjunta con concesionarios.
e) Tramitar todo tipo de asignaciones y permisos para prestar servicios auxiliares ferroviarios, así como todo tipo de servicios relacionados con la infraestructura ferroviaria.
(...)
g) Celebrar todo tipo de actos jurídicos por los cuales otorgue o reciba el uso y aprovechamiento de bienes muebles e inmuebles, así como el adquirirlos o enajenarlos, comprendidos en instalaciones turísticas o inmobiliarias de cualquier naturaleza, en cualquier destino turístico, polos de desarrollo turístico, Centros Integralmente Planeados, y en Centros Turísticos Sustentables del Fondo Nacional del Fomento al Turismo (FONATUR), en el sureste de la República Mexicana.
4. Que, el 26 de abril de 2019, se publicó en el periódico oficial del estado de Campeche, el decreto 45 mediante el cual se crea el municipio libre de Dzitbalché;
5. Que el Plan Nacional de Desarrollo 2019-2024, publicado en el DOF el 12 de julio de 2019, establece los programas y proyectos que constituyen las prioridades de atención estratégica a problemas públicos identificados. Asimismo, expone como una de las tareas centrales impulsar la reactivación de la economía, para que esta vuelva a crecer a tasas aceptables y se fortalezca el mercado interno y el empleo mediante programas sectoriales, proyectos regionales y obras de infraestructura;
6. Que, en el capítulo "Proyectos regionales" de dicho plan nacional, se dispone expresamente:
1. El Tren Maya es el más importante proyecto de infraestructura, desarrollo socioeconómico y turismo del presente sexenio. Tendrá un recorrido de mil 525 kilómetros, pasará por los estados de Chiapas, Tabasco, Campeche, Yucatán y Quintana Roo e interconectará las principales ciudades y sitios turísticos de la Península de Yucatán...
El Tren Maya es un proyecto orientado a incrementar la derrama económica del turismo en la Península de Yucatán, crear empleos, impulsar el desarrollo sostenible, proteger el medio ambiente de la zona desalentando actividades como la tala ilegal y el tráfico de especies y propiciar el ordenamiento territorial de la región. Se procurará integrar a la obra y a sus beneficios a los pobladores; se gestionarán los derechos de vía que aún no se tengan mediante acuerdos con los propietarios de los terrenos respectivos; se buscarán acuerdos benéficos en los casos en los que las vías de propiedad federal se encuentren invadidas y
se pedirá la aprobación de las comunidades y pueblos originarios mediante consultas.
7. Que, mediante publicación en el DOF el 21 de abril de 2020, el Gobierno federal otorgó, por conducto de la entonces Secretaría de Comunicaciones y Transportes, a la empresa de participación estatal mayoritaria Fonatur Tren Maya, S.A. de C.V., la asignación para construir, operar y explotar la vía general de comunicación ferroviaria denominada Tren Maya, la cual incluye la prestación del servicio público de transporte ferroviario de carga y de pasajeros, y los permisos para prestar los servicios auxiliares requeridos;
8. Que los programas sectoriales de Desarrollo Agrario, Territorial y Urbano 2020-2024 y de Turismo 2020-2024, publicados en el DOF el 26 de junio y 3 de julio, respectivamente, ambos de 2020, establecen que la construcción del Tren Maya es el compromiso más relevante de infraestructura para impulsar el desarrollo socioeconómico y turístico de la historia del sureste del país y fortalecer la integración de cadenas productivas en la península de Yucatán, así como para elevar la calidad de los servicios turísticos y fomentar la capacitación y profesionalización del capital humano que forma parte de esta industria;
9. Que el Programa Institucional 2020-2024 del Fondo Nacional de Fomento al Turismo, publicado el 20 de noviembre de 2020 en el DOF, tiene como uno de sus objetivos prioritarios en su numeral 7.1 "Relevancia del Objetivo prioritario 1: Desarrollar el Proyecto Regional Tren Maya en los estados de Chiapas, Tabasco, Campeche, Yucatán y Quintana Roo";
10. Que, en cumplimiento del Programa Institucional 2020-2024 del Fondo Nacional de Fomento al Turismo, Fonatur Tren Maya, S.A. de C.V. elaboró dictámenes técnicos de viabilidad del proyecto Tren Maya, en los que se concluye que es de primera necesidad contar con un servicio confiable, eficiente, cómodo y seguro que permita, por una parte, el transporte de mercancías y, por otra, movilizar a sus usuarios con altos estándares de calidad, acceso y cobertura en el área urbana y conurbada. Dichos dictámenes acreditan que el Proyecto Tren Maya satisface el interés colectivo, e impulsa las actividades económicas del sur-sureste del país que garantizan el derecho a la movilidad en condiciones de seguridad, accesibilidad, comodidad, eficiencia, calidad e igualdad. Asimismo, la construcción del Tren Maya permitirá el desarrollo socioeconómico y turístico; reducirá los niveles de pobreza que existen en la zona, y mejorará las condiciones de vida de quienes habitan y transitan por la zona;
11. Que el Programa Institucional 2020-2024 de Fonatur Tren Maya, S.A. de C.V., publicado el 24 de diciembre de 2020 en el DOF, tiene como uno de sus objetivos prioritarios en su numeral 6 "Relevancia del objetivo prioritario 1.- Ejecutar el Proyecto Prioritario Integral Tren Maya para mejorar la conectividad, movilidad y el desarrollo integral sostenible del sureste";
12. Que el ejido "Dzitbalché", en asamblea general de 2 de julio de 2022, aprobó la celebración del convenio de ocupación previa a título gratuito con Fonatur Tren Maya, S.A. de C.V., respecto de la superficie de 1-88-50.00 hectáreas de tierras de uso común, el cual fue suscrito en la misma fecha por los integrantes del comisariado ejidal. En dicho convenio, se autorizó ocupar a título gratuito la superficie materia del convenio, hasta la expedición del decreto respectivo, así como realizar un pago inmediato como anticipo a cuenta de la indemnización que proceda una vez decretada la expropiación;
13. Que Fonatur Tren Maya, S.A. de C.V., mediante oficio número DJ/APAT/251/2023, de 15 de mayo de 2023, y con fundamento en la Constitución Política de los Estados Unidos Mexicanos (CPEUM), la Ley Agraria y el Reglamento de la Ley Agraria en Materia de Ordenamiento de la Propiedad Rural (RLAMOPR), solicitó al titular de la Secretaría de Desarrollo Agrario, Territorial y Urbano (Sedatu) la expropiación de la superficie de 06-90-96.48 hectáreas de terrenos del ejido "Dzitbalché", municipio de Dziltbalché, estado de Campeche, para destinarla a la construcción de obras de infraestructura ferroviaria, operación del proyecto Tren Maya y sus obras complementarias, Tramo 3 Calkiní-Izamal;
14. Que la Dirección General de Ordenamiento de la Propiedad Rural (DGOPR) de la Sedatu, el 26 de mayo de 2023, emitió acuerdo de instauración del procedimiento de expropiación con número de expediente DGOPR-DE/SOE-04CC/0070FONATUR TREN MAYA, S.A. DE C.V/2023;
15. Que Fonatur Tren Maya, S.A. de C.V., mediante oficio número DJ/APAT/836/2023, de 14 de julio de 2023, aclaró que la superficie que solicita sea expropiada es de 07-18-80.12 hectáreas;
16. Que Fonatur Tren Maya, S.A. de C.V., es una empresa de participación estatal mayoritaria sectorizada a la Secretaría de Turismo, como se indica en la "Relación de Entidades Paraestatales de la Administración Pública Federal", publicada en el DOF el 7 de agosto de 2023;
17. Que la Dirección General de Ordenamiento de la Propiedad Rural (DGOPR) de la Sedatu, el 8 de septiembre de 2023, emitió acuerdo que regulariza el procedimiento expropiatorio y señala que la superficie a expropiar es de 07-18-80.12 hectáreas;
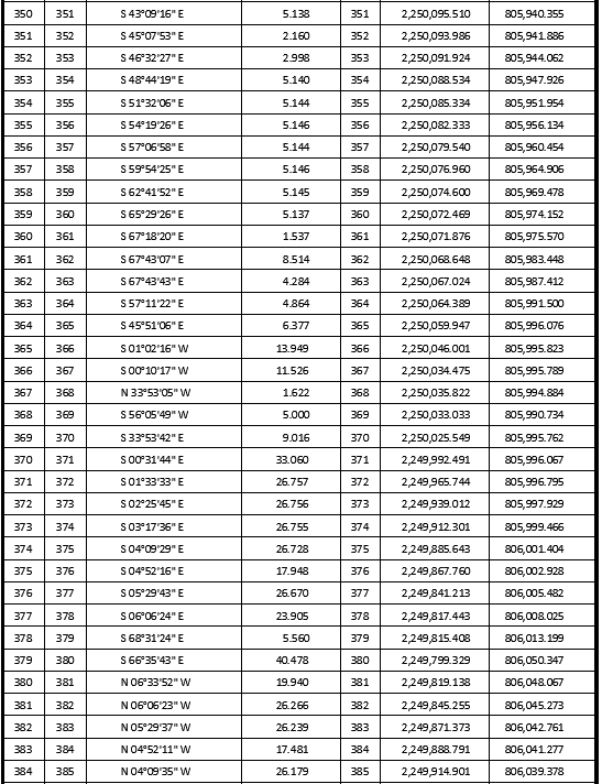
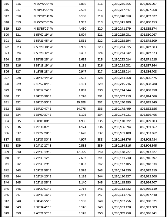
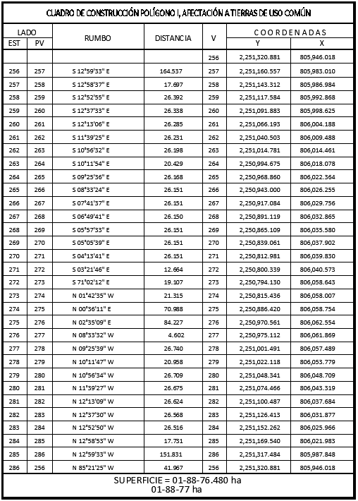
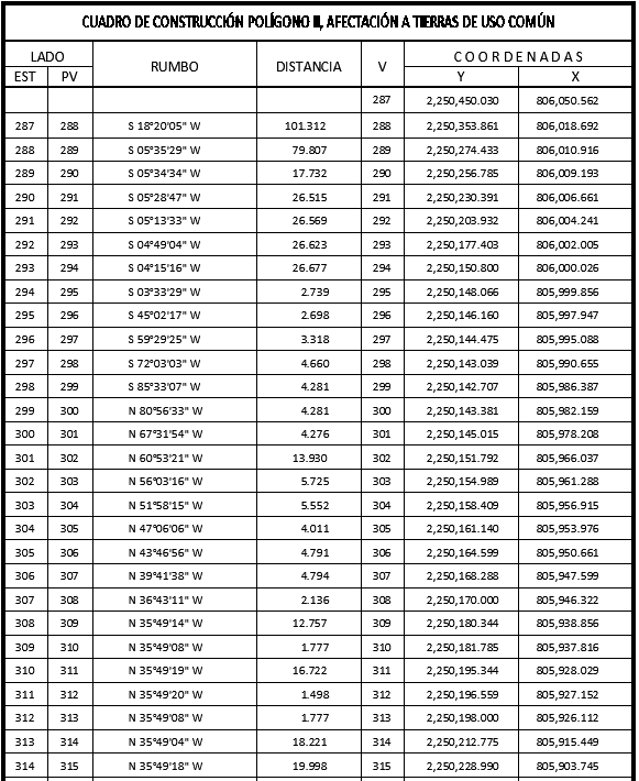
18. Que el comisionado técnico del RAN y el comisionado agrario de la Sedatu rindieron el "informe de comisión de Trabajos Técnicos e Informativos de Expropiación", de 29 de septiembre de 2023, en el que señalan que la superficie real a expropiar al ejido "Dzitbalché", municipio de Dziltbalché, estado de Campeche, es de 07-02-17 hectáreas de terrenos de temporal de uso común, lo cual se describe en los siguientes planos y cuadros de construcción:


 


 

 

 

 

 

 


Superficie total a expropiar 07-02-17 ha
19. Que la Dirección General de Ordenamiento Territorial de la Sedatu, el 26 de octubre de 2023, emitió opinión técnica condicionada número SOTA/DGOT/079/CAM.YUC/FONATUR TM3/002/2023 "respecto del procedimiento de expropiación a favor de Fonatur Tren Maya S.A. DE C.V., por una superficie de 94-20-92 hectáreas", que corresponde a diversos ejidos, entre ellos, "Dzitbalché", municipio de Dziltbalché, estado de Campeche, por la superficie de 07-02-17 hectáreas;
20. Que a los integrantes del comisariado y afectados del ejido "Dzitbalché" se les notificó el 28 de octubre de 2023, la solicitud de expropiación, el acuerdo de instauración, el oficio de 14 de julio de 2023, el acuerdo de regularización y la superficie real a expropiar. Asimismo, se les informó que contaban con 10 días hábiles para que manifestaran lo que a sus intereses conviniera. En dicho plazo no realizaron manifestaciones;
21. Que el Instituto de Administración y Avalúos de Bienes Nacionales (Indaabin) emitió el dictamen valuatorio y anexo único, con número secuencial 04-23-2155 y genérico G-37161-ZND, de 7 de noviembre de 2023, en el que determinó que el monto total de indemnización asciende a $7,219,551.14 (siete millones doscientos diecinueve mil quinientos cincuenta y un pesos 14/100 M.N.) con base en el valor comercial de la superficie a expropiar;
22. Que la DGOPR, el 7 de noviembre de 2023, emitió dictamen en el que determinó "procedente la expropiación por causa de utilidad pública, a favor de Fonatur Tren Maya, S.A. de C.V. para destinarse a la construcción de obras de infraestructura ferroviaria, operación del proyecto Tren Maya y sus obras complementarias, con una superficie de 07-02-17 (siete hectáreas, dos áreas, diecisiete centiáreas), de temporal de uso común del ejido "Dzitbalché", municipio de Dziltbalché, estado de Campeche";
23. Que el Decreto para la entrega del Proyecto Tren Maya a Tren Maya S.A. de C.V. y demás acciones que se indican, publicado en el DOF el 1 de marzo de 2024, establece en su transitorio Decimoprimero que los procedimientos expropiatorios y de adquisición de bienes inmuebles para la ejecución del Proyecto Tren Maya que se encuentren en trámite, a la entrada en vigor del citado instrumento jurídico, deben continuar a cargo de Fonatur Tren Maya, S.A. de C.V. hasta su conclusión, en términos de las disposiciones jurídicas aplicables, y
CONSIDERANDO
I. Que, de conformidad con los artículos 27, párrafos primero y segundo, de la CPEUM; 93, fracciones I y VII, y 94 de la Ley Agraria, y 75 del RLAMOPR, procede, mediante indemnización y previo decreto expedido por el titular del Ejecutivo Federal publicado en el DOF, la expropiación por causa de utilidad pública, como lo es la construcción de obras de infraestructura ferroviaria, operación del Proyecto Tren Maya y sus obras complementarias;
II. Que los documentos señalados en los resultandos 1 y 2 del presente instrumento indican que el ejido "Dzitbalché" se ubica en el municipio de Calkiní, estado de Campeche; sin embargo, de la publicación referida en el resultando 4, los datos actuales y correctos del ejido son "Dzitbalché", municipio de Dzitbalché, estado de Campeche, tal como consta en el informe de comisión de Trabajos Técnicos e Informativos de Expropiación, por lo que el nombre del ejido y el municipio en el que se ubica debe identificarse como "Dzitbalché", municipio de Dziltbalché, estado de Campeche;
III. Que la superficie de 07-02-17 hectáreas de terrenos de temporal de uso común pertenecientes al ejido "Dzitbalché", municipio de Dziltbalché, estado de Campeche, se solicitó para destinarse a la construcción de obras de infraestructura ferroviaria, operación del Proyecto Tren Maya y sus obras complementarias, así como a la prestación del servicio público de transporte de carga ferroviaria y de pasajeros. Como consecuencia, se acreditan las causas de utilidad pública del establecimiento, explotación o conservación de un servicio o función públicos, y de la construcción de puentes, carreteras, ferrocarriles y demás obras que faciliten el transporte, previstas en el artículo 93, fracciones I y VII, respectivamente, de la Ley Agraria;
IV. Que la construcción de obras de infraestructura ferroviaria, operación del Proyecto Tren Maya y sus obras complementarias son acordes con el Plan Nacional de Desarrollo 2019-2024, toda vez que se prestará un servicio público de transporte de pasajeros para el beneficio del turismo nacional y extranjero, así como de transporte de carga ferroviario para acelerar el comercio de la península, lo que facilitará el intercambio de mercancías con el resto del país y diversificará los puntos turísticos de la región para generar una derrama económica. Como consecuencia, se generarán oportunidades laborales y se redistribuirá la riqueza a lo largo de la península; se dará protección y rehabilitación a las áreas naturales protegidas y a los sitios patrimoniales. De igual forma, el Tren Maya funcionará como corredor humanitario por medio del cual se entregarán apoyos alimentarios, médicos, etc. para las comunidades indígenas y pueblos marginados del sureste mexicano; tendrá un flujo constante, y solo por su conducto, se podrá llegar a dichos poblados de manera pronta y eficaz; su ubicación geográfica es fundamental para salvaguardar las costas y la zona fronteriza con Centroamérica;
V. Que, de diversos documentos contenidos en el expediente de expropiación número DGOPR-DE/SOE-04CC/0070FONATUR TREN MAYA, S.A. DE C.V/2023, se advierte que la superficie que se solicitó expropiar al ejido "Dzitbalché" fue de 07-18-80.12 hectáreas; sin embargo, una vez realizados los trabajos técnicos, resultó que la superficie real es de 07-02-17 hectáreas de terrenos de temporal de uso común, como consta en el informe de comisión de Trabajos Técnicos e Informativos de Expropiación de 29 de septiembre de 2023, motivo por el cual la superficie a expropiar del ejido "Dzitbalché", municipio de Dziltbalché, estado de Campeche, debe ser de 07-02-17 hectáreas;
 
VI. Que de las constancias señaladas en el resultando 20 del presente instrumento, se acredita que en el procedimiento DGOPR-DE/SOE-04CC/0070FONATUR TREN MAYA, S.A. DE C.V/2023, se otorgó garantía de audiencia al órgano de representación del ejido "Dzitbalché", municipio de Dziltbalché, estado de Campeche, toda vez que se les notificó la solicitud de expropiación, el acuerdo de instauración, el oficio de 14 de julio de 2023, el acuerdo de regularización y la superficie real a expropiar, sin que en el plazo concedido realizaran manifestaciones respecto del procedimiento expropiatorio materia del presente decreto; con lo anterior, se dio cumplimiento a los artículos 14 y 16 de la CPEUM y 65 del RLAMOPR;
VII. Que el Indaabin emitió dictamen valuatorio con número secuencial 04-23-2155 y genérico G-37161-ZND, de 7 de noviembre de 2023, en el cual determinó que el monto de indemnización, con base al valor comercial de la superficie a expropiar, es de $7,219,551.14 (siete millones doscientos diecinueve mil quinientos cincuenta y un pesos 14/100 M.N.), con lo que se acredita el cumplimiento a los artículos 94 de la Ley Agraria y 70 del RLAMOPR. Con base en dicho avalúo, procede pagar la indemnización al ejido por las tierras de uso común, en la que se considere el pago anticipado;
VIII. Que el presente procedimiento de expropiación debe continuar a cargo de Fonatur Tren Maya, S.A. de C.V. hasta su conclusión, debido a que se inició previo a la entrada en vigor del decreto a que hace referencia el resultando 23;
IX. Que, en caso de que los bienes expropiados se destinen a un fin distinto al señalado en el decreto respectivo, o si transcurrido un plazo de 5 años no se ha cumplido con la causa de utilidad pública, el Fideicomiso Fondo Nacional de Fomento Ejidal podrá ejercer las acciones necesarias para reclamar la reversión parcial o total, según corresponda, de los bienes expropiados, y operar la incorporación de estos a su patrimonio; ello de conformidad con el artículo 97 de la Ley Agraria. Asimismo, los bienes objeto de la expropiación solo podrán ser ocupados de manera definitiva, mediante el pago que se efectúe al ejido o a las personas que acrediten tener derecho sobre tierras de uso común en la proporción que les corresponda;
X. Que, de conformidad con los artículos 94 de la Ley Agraria, y 75 y 76 del RLAMOPR, debe ordenarse que el decreto expropiatorio se publique en el DOF, se notifique al núcleo agrario por conducto de su comisariado ejidal, y se inscriba en el RAN, en el Registro Público de la Propiedad de la entidad federativa de que se trate y en el Registro Público de la Propiedad Federal, cuando así corresponda, y
XI. Que, en términos de los artículos 93, 94 y 95 de la Ley Agraria, y 60, 61, 63, 65, 67, 70, 72, 73, 74 y 75 del RLAMOPR, el procedimiento de expropiación se ha tramitado ante la Sedatu y han sido acreditadas las causas de utilidad pública, he tenido a bien expedir el siguiente
DECRETO
PRIMERO. Se expropia por causa de utilidad pública la superficie de 07-02-17 hectáreas (siete hectáreas, dos áreas, diecisiete centreas), de temporal de uso común del ejido "Dzitbalché", municipio de Dziltbalché, estado de Campeche, a favor de Fonatur Tren Maya, S.A. de C.V., para destinarla a la construcción de obras de infraestructura ferroviaria, operación del Proyecto Tren Maya y sus obras complementarias.
SEGUNDO. Queda a cargo de Fonatur Tren Maya, S.A. de C.V., pagar por concepto de indemnización por la superficie que se expropia la cantidad de $7,219,551.14 (siete millones doscientos diecinueve mil quinientos cincuenta y un pesos 14/100 M.N.), señalada en el avalúo emitido por el Instituto de Administración y Avalúos de Bienes Nacionales, y en los términos señalados en el considerando VII del presente decreto.
TERCERO. La Secretaría de Desarrollo Agrario, Territorial y Urbano, una vez publicado el presente decreto en el Diario Oficial de la Federación, procederá a su ejecución cuando Fonatur Tren Maya, S.A. de C.V. haya acreditado el pago o depósito de la indemnización señalada en el numeral anterior.
CUARTO. Publíquese en el Diario Oficial de la Federación e inscríbase en el Registro Agrario Nacional, en el Registro Público de la Propiedad Federal y en el Registro Público de la Propiedad estatal o municipal correspondiente. Notifíquese y ejecútese.
Dado en la residencia del Poder Ejecutivo Federal, en Ciudad de México a 4 de marzo de 2024.- Andrés Manuel López Obrador.- Rúbrica.- Secretario de Desarrollo Agrario, Territorial y Urbano, Román Guillermo Meyer Falcón.- Rúbrica.- Secretario de Turismo, Miguel Tomás Torruco Marqués.- Rúbrica.