NORMA Oficial Mexicana NOM-039-SSA-2023, En materia de Certificación de la Discapacidad.
RUY LÓPEZ RIDAURA, Subsecretario de Prevención y Promoción de la Salud y Presidente del Comité Consultivo Nacional de Normalización de Salud Pública, con fundamento en lo dispuesto por los Artículos 39, fracción VIII de la Ley Orgánica de la Administración Pública Federal; 4 de la Ley Federal de Procedimiento Administrativo; 3o, fracciones I, II, VII y X, 6o, fracción III, 7o, fracción V, 13, apartado A, fracciones I y IX, 45, 46, 48, 59, 104, fracción I, 105, 106, 107, 388, 389, fracción I Ter, 389 Bis 2, 389 Bis 3 y 392 de la Ley General de Salud; 22 y 23 de la Ley General para Inclusión de las Personas con Discapacidad; 10, fracciones I y XV, 24, 30, 34, 35, fracción X y 37 de la Ley de la Infraestructura de la Calidad; 28 y 33 del Reglamento de la Ley Federal sobre Metrología y Normalización en relación con el Transitorio Tercero del Decreto por el que se expide la Ley de Infraestructura de la Calidad y se abroga la Ley Federal sobre Metrología y Normalización, publicado en el Diario Oficial de la Federación el 1 de julio de 2020; 1, 8, fracción V y 10, fracción VII del Reglamento Interior de la Secretaría de Salud, y 5, fracción I del Acuerdo por el que se emiten las Reglas de Operación del Comité Consultivo Nacional de Normalización de Salud Pública, publicado en el Diario Oficial de la Federación el 31 de octubre de 2022, y
CONSIDERANDO
Que el 13 de diciembre de 2006, la Asamblea General de las Naciones Unidas aprobó la Convención de las Naciones Unidas sobre los Derechos de las Personas con Discapacidad, la cual tiene como objetivo principal cambiar el paradigma, al pasar de un modelo en el que las personas con discapacidad son tratadas como sujetos de tratamiento médico, caridad y protección social a un modelo en el que las personas con discapacidad son reconocidas como titulares de derechos humanos, activas en las decisiones que influyen en su vida y capacitadas para reivindicar sus derechos;
Que el 30 de marzo de 2007, México firmó la Convención y ratificó su Protocolo Facultativo, misma que fue confirmada por la Cámara de Senadores el 27 de septiembre de 2007 y promulgada en el Diario Oficial de la Federación (DOF) el 2 de mayo de 2008, convirtiéndose así en parte de los Estados comprometidos a proteger y promover los derechos y la dignidad de las personas con discapacidad, con miras a una sociedad mundial inclusiva;
Que el 12 de julio de 2018, se publicó en el DOF el Decreto por el que se reforman y adicionan diversas disposiciones de la Ley General para la Inclusión de las Personas con Discapacidad, de la Ley General de Salud y de la Ley General de Población. En su Transitorio Segundo establece que el Sector Salud deberá publicar e implementar la Norma Oficial Mexicana en materia de Certificación de la Discapacidad. Esta NOM deberá elaborarse de acuerdo con los tratados internacionales de los que México forma parte y adoptar la Clasificación Internacional del Funcionamiento, la Discapacidad y la Salud;
Que de conformidad con el artículo 24, fracciones VI y VII del Reglamento Interior de la Secretaría de Salud, la Dirección General de Información en Salud, coordina el funcionamiento del Centro Mexicano para la Clasificación de Enfermedades y promueve y vigila el adecuado uso de clasificaciones internacionales de la Organización Mundial de la Salud;
Que en México existen numerosos esfuerzos para la valoración y certificación de la discapacidad por parte de las distintas dependencias federales y estatales, sin embargo se requiere contar con un documento de certificación con un modelo integrador biopsicosocial, por lo cual, es prioritario unificar la metodología de valoración, registro, formatos y presentación de datos para la mejor toma de decisiones en salud pública y cubrir las necesidades de la población, así como partir de un mismo marco conceptual para que las personas profesionales de la salud y relacionados cuenten con bases equiparadas para la realización de este proceso;
Que los artículos 1, 4, fracción XVI y 10, fracción I de la Ley de Infraestructura de la Calidad establecen que las Normas Oficiales Mexicanas tienen como fin esencial el fomento de la calidad para el desarrollo económico y la protección de los objetivos legítimos de interés público como la protección y promoción a la salud, mediante el establecimiento de reglas, denominación, especificaciones o características aplicables a un bien, producto, proceso o servicio, así como aquéllas relativas a terminología, marcado o etiquetado y de información;
Que con fecha 12 de abril de 2023, fue publicado en el Diario Oficial de la Federación el Proyecto de Norma Oficial Mexicana PROY-NOM-039-SSA3-2023, en materia de Certificación de la Discapacidad, en cumplimiento de la aprobación del Comité Consultivo Nacional de Normalización de Salud Pública, de conformidad con lo descrito en los artículos 35, fracción V y 38 de la Ley de Infraestructura de la Calidad, para que dentro de los posteriores 60 días naturales, contados a partir del día siguiente de la fecha de su publicación en el DOF, las personas interesadas presentaran sus comentarios por escrito, en medio magnético y en idioma español ante el Comité Consultivo Nacional de Normalización de Salud Pública, sito en Homero 213, piso 17, Colonia Chapultepec Morales, Alcaldía Miguel Hidalgo, C.P. 11570, Ciudad de México, teléfonos (55) 55 50621600 ext. 55139, correo electrónico ccnnsp@salud.gob.mx;
Que durante el periodo de Consulta Pública de 60 días naturales que concluyó el día 12 de junio del 2023, fueron recibidos ciento veinticuatro comentarios en la sede del citado Comité, los comentarios formulados por los interesados respecto del proyecto de la Norma Oficial Mexicana, razón por la cual, con fecha previa fueron publicadas en el Diario Oficial de la Federación las respuestas a los mismos, en términos de lo previsto por el artículo 35, fracción VIII y IX, de la Ley de Infraestructura de la Calidad;
Que derivado de la incorporación de los comentarios procedentes presentados al Proyecto de Norma Oficial Mexicana PROY-NOM-039-SSA3-2023, en materia de certificación de la discapacidad, así como de la revisión final del propio proyecto, se realizaron diversas modificaciones con el propósito de dar claridad, congruencia y certeza jurídica en cuanto a las disposiciones que aplican y
Que, en atención a las anteriores consideraciones, y toda vez que el Comité Consultivo Nacional de Normalización de Salud Pública, en su Tercera Sesión Ordinaria de 2023 otorgó la aprobación respectiva, por lo que se expide la siguiente
NORMA OFICIAL MEXICANA NOM-039-SSA-2023 EN MATERIA DE CERTIFICACIÓN DE LA
DISCAPACIDAD
PREFACIO
En la elaboración de esta Norma participaron:
SECRETARÍA DE SALUD
Subsecretaría de Prevención y Promoción de la Salud
Dirección General de Información en Salud
Centro Mexicano para la Clasificación de Enfermedades
Comisión Coordinadora de Institutos Nacionales de Salud y Hospitales de Alta Especialidad
Instituto Nacional de Rehabilitación Luis Guillermo Ibarra Ibarra
Instituto Nacional de Perinatología Isidro Espinosa de los Reyes
Instituto Nacional de Enfermedades Respiratorias Ismael Cosío Villegas
Hospital Infantil de México Federico Gómez
SECRETARÍA DE GOBERNACIÓN
Registro Nacional de Población e Identidad
Secretaría General del Consejo Nacional de Población
SECRETARÍA DE BIENESTAR
Consejo Nacional para el Desarrollo y la Inclusión de las Personas con Discapacidad
SECRETARÍA DE EDUCACIÓN PÚBLICA
Dirección General de Desarrollo Curricular
INSTITUTO MEXICANO DEL SEGURO SOCIAL RÉGIMEN ORDINARIO
División de Unidades y Servicios de Rehabilitación
INSTITUTO MEXICANO DEL SEGURO SOCIAL- BIENESTAR
Unidad del Programa IMSS-Bienestar
INSTITUTO DE SEGURIDAD Y SERVICIOS SOCIALES DE LOS TRABAJADORES DEL ESTADO
Dirección Normativa de Salud
SISTEMA NACIONAL PARA EL DESARROLLO INTEGRAL DE LA FAMILIA
SISTEMA PARA EL DESARROLLO INTEGRAL DE LA FAMILIA DE LA CIUDAD DE MÉXICO
SECRETARÍA DE SALUD DE LA CIUDAD DE MÉXICO
SECRETARÍA DE SALUD DE JALISCO
OPD SERVICIOS DE SALUD JALISCO
GOBIERNO DEL ESTADO DE GUANAJUATO
INSTITUTO NACIONAL DE ESTADÍSTICA Y GEOGRAFÍA
COLEGIO DE MEDICINA DE REHABILITACIÓN DEL ESTADO DE MÉXICO
COLEGIO DE REHABILITACIÓN DE GUANAJUATO
COMISIÓN NACIONAL DE LOS DERECHOS HUMANOS
CENTRO NACIONAL DE PREVENCIÓN DE DESASTRES
CONFEDERACIÓN MEXICANA DE ORGANIZACIONES EN FAVOR DE LA PERSONA CON DISCAPACIDAD INTELECTUAL A. C.
INSTITUCIÓN CONFE A FAVOR DE LA PERSONA CON DISCAPACIDAD INTELECTUAL IAP
FUNDACIÓN TELETÓN I.A.P.
LLÉVAME A TU MAR, A. C.
COMUNIDAD NACIONAL DE PERSONAS QUE TENEMOS RELACIÓN CON EL AUTISMO (CONPERA)
SCORZA ICJ, A.C.
FEDERACIÓN MEXICANA DE MÉDICOS ESPECIALISTAS EN LA ATENCIÓN INTEGRAL DE LA DISCAPACIDAD A. C.
FUNDACIÓN K7
ASOCIACIÓN DE INTEGRACIÓN Y REHABILITACIÓN DE AUTISTAS DE ENSENADA, A. C. (AIRADE)
LIBRE ACCESO, A.C.
EN PRIMERA PERSONA A.C.
LOZA ARQUITECTAS CONSULTORAS
ÍNDICE
0. Introducción
1. Objetivo y campo de aplicación
2. Referencias normativas
3. Términos y definiciones
4. Términos abreviados
5. Generalidades
6. De los Centros de Valoración de la discapacidad y expedición del Certificado Electrónico de Discapacidad
7. Procedimiento de Evaluación de la Conformidad
8. Del proceso de valoración de la discapacidad
9. De la ponderación de los apartados de la valoración de la discapacidad
10. De la expedición del Certificado Electrónico de Discapacidad
11. De la información de discapacidad
12. Concordancia con normas mexicanas e internacionales
13. Bibliografía
14. Vigilancia
15. Apéndices
0. Introducción
La Ley General de Salud en sus Artículos 389, fracción I Ter, 389 Bis 2 y 389 Bis 3, establece que para fines sanitarios se extenderán, entre otros certificados, el de Discapacidad, el cual será expedido conforme a la legislación vigente y acorde con los tratados internacionales de los que México forme parte, por las personas profesionales de la medicina o persona autorizada por la autoridad sanitaria.
Las personas profesionales de la medicina o persona autorizada por la autoridad sanitaria responsables de emitir el Certificado Electrónico de Discapacidad deberán notificarlo al Sistema Nacional de Información en Salud para los fines del Registro Nacional de Población con Discapacidad, toda vez que la Secretaría de Salud y los gobiernos de las entidades federativas, en el ámbito de sus respectivas competencias, captarán, producirán y procesarán la información relativa a las estadísticas de discapacidad, a fin de integrarlas al proceso de planeación, programación, presupuestación y control del Sistema Nacional de Salud y, con ello, contribuir a la consolidación del sistema nacional de información en salud.
Para hacer efectivo lo establecido por esta Norma, se realizará una valoración basada en un modelo integrador biopsicosocial, a partir de la cual se certifique la discapacidad, de manera objetiva y homologada.
1. Objetivo y campo de aplicación
1.1. Objetivo. Esta Norma tiene por objeto establecer los criterios, procesos y metodología para la certificación de la discapacidad bajo el modelo integrador biopsicosocial, alineado a los tratados internacionales de los que México forma parte en materia de derechos humanos, y a la Clasificación Internacional del Funcionamiento, de la Discapacidad y de la Salud, así como el otorgamiento de la impresión del Certificado Electrónico de Discapacidad a la persona solicitante.
1.2. Campo de aplicación. Esta Norma es de observancia obligatoria en todo el territorio nacional para los integrantes del Sistema Nacional de Salud que cuenten con Centros de valoración y expedición de Certificado Electrónico de Discapacidad.
2. Referencias normativas
Para la correcta aplicación de esta Norma, es necesario consultar las siguientes Normas Oficiales Mexicanas o las que las sustituyan:
2.1. Norma Oficial Mexicana NOM-004-SSA3-2012, Del expediente clínico.
2.2. Norma Oficial Mexicana NOM-005-SSA3-2018, Que establece los requisitos mínimos de infraestructura y equipamiento de establecimientos para la atención médica de pacientes ambulatorios.
2.3. Norma Oficial Mexicana NOM-007-SSA2-2016, Para la atención de la mujer durante el embarazo, parto y puerperio, y de la persona recién nacida.
2.4. Norma Oficial Mexicana NOM-008-SEGOB-2015, Personas con discapacidad. - Acciones de prevención y condiciones de seguridad en materia de protección civil en situación de emergencia o desastre.
2.5. Norma Oficial Mexicana NOM-015-SSA3-2023 Para la atención médica integral a personas con discapacidad.
2.6. Norma Oficial Mexicana NOM-016-SSA3-2012, Que establece las características mínimas de infraestructura y equipamiento de hospitales y consultorios de atención médica especializada.
2.7. Norma Oficial Mexicana NOM-024-SSA3-2012, Sistemas de información de registro electrónico para la salud. Intercambio de información en salud.
2.8. Norma Oficial Mexicana NOM-025-SSA2-2014, Para la prestación de servicios de salud en unidades de atención integral hospitalaria médico-psiquiátrica.
2.9. Norma Oficial Mexicana NOM-030-SSA3-2013, Que establece las características arquitectónicas para facilitar el acceso, tránsito, uso y permanencia de las personas con discapacidad en establecimientos para la atención médica ambulatoria y hospitalaria del Sistema Nacional de Salud.
2.10. Norma Oficial Mexicana NOM-034-SSA2-2013, Para la prevención y control de los defectos al nacimiento.
2.11. Norma Oficial Mexicana NOM-035-SSA3-2012, En materia de información en salud.
3. Términos y definiciones
Para los propósitos de esta norma, se aplican los términos y definiciones siguientes:
3.1. Accesibilidad. Las medidas pertinentes para asegurar el acceso de las personas con discapacidad, en igualdad de condiciones con las demás, al entorno físico, el transporte, la información y las comunicaciones, incluidos los sistemas y las tecnologías de la información y las comunicaciones, y a otros servicios e instalaciones abiertos al público o de uso público, tanto en zonas urbanas como rurales.
3.2. Actividad. Es la realización de una tarea o acción por parte de una persona, representa la perspectiva de ésta respecto al funcionamiento.
3.3. Ajustes razonables. Son las modificaciones y adaptaciones necesarias y adecuadas que no impongan una carga desproporcionada o indebida, cuando se requieran en un caso particular, para garantizar a las personas con discapacidad el goce o ejercicio, en igualdad de condiciones con las demás, de todos los derechos humanos y libertades fundamentales.
3.4. Apoyo. Es el acto de prestar ayuda, asesoría, orientación o asistencia a una persona que la requiere para realizar las actividades cotidianas y participar en la sociedad. El apoyo a las personas con discapacidad comprende una amplia gama de intervenciones de carácter oficial y oficioso, como la asistencia humana o animal y los intermediarios, las ayudas para la movilidad, los dispositivos técnicos y las tecnologías de apoyo. También incluye la asistencia personal; el apoyo para la adopción de decisiones, incluso las que tengan efectos jurídicos (asesoría, orientación y acompañamiento); apoyos que serán prestados por instancias públicas competentes, personas físicas o morales, según sea el caso; el apoyo para la comunicación, como asistentes de la comunicación efectiva, los intérpretes de lengua de señas y los medios alternativos y aumentativos de comunicación; el apoyo para la movilidad, como las tecnologías de apoyo o los animales de asistencia; los servicios para vivir con arreglo a un sistema de vida específico que garanticen la vivienda y la ayuda doméstica; y los servicios comunitarios. Las personas con discapacidad pueden precisar también apoyo para acceder a servicios generales como los de salud, educación y justicia y utilizar esos servicios.
3.5. Ayudas técnicas. Dispositivos tecnológicos, materiales y animales de servicios que permiten habilitar, rehabilitar o compensar una o más limitaciones y/o restricciones. Entre las que se encuentran: a) Ayudas técnicas genéricas. Cualquier ayuda externa (dispositivos, equipos, instrumentos o programas informáticos) fabricada especial o ampliamente disponible, cuya principal finalidad es mantener o mejorar la autonomía y el funcionamiento de las personas y, por tanto, promover su bienestar. b) Ayudas técnicas prioritarias. Ayudas absolutamente esenciales e imprescindibles para mantener o mejorar el funcionamiento de las personas, c) Tecnologías de apoyo. Aplicación de los conocimientos y las aptitudes organizadas a través de la tecnología, incluidos los sistemas y servicios, d) Animales de servicio o asistencia. Aquellos que han sido certificados para el acompañamiento, conducción y auxilio de las personas con discapacidad y e) Animales que proporcionan apoyo físico, emocional o psicológico, animales utilizados para la movilidad personal o el transporte.
3.6. Barreras. De acuerdo a la Clasificación Internacional del Funcionamiento, de la Discapacidad y de la Salud, son todos aquellos factores en el entorno de una persona que, cuando están presentes, limitan el funcionamiento y generan discapacidad. Entre ellos se incluyen aspectos tales como que el ambiente físico sea inaccesible, falta de tecnología asistencial adecuada, actitudes negativas de la población respecto a la discapacidad, y también los servicios, sistemas y políticas que bien, no existen o dificultan la participación de las personas con una condición de salud en todas las áreas de la vida.
3.7 Capacitación para la valoración de la discapacidad. Actividad indispensable con la que debe cumplir el personal de salud involucrado en los procesos de valoración de la discapacidad con la finalidad de tener las bases y los conocimientos para extender un certificado de discapacidad bajo un modelo integrador biopsicosocial de forma homologada a nivel nacional.
3.8. Centro de Valoración de la Discapacidad y Expedición del Certificado Electrónico de Discapacidad. Todo aquel establecimiento, público, social o privado, fijo o móvil, cualquiera que sea su denominación y nivel de atención del Sistema Nacional de Salud, que preste servicios de atención médica y cuente con Clave Única de Establecimiento de Salud que se encuentre acreditado para valorar la discapacidad y expedir el Certificado Electrónico de Discapacidad en términos del Capítulo 7 de esta norma.
3.9. Centro Mexicano para la Clasificación de Enfermedades (CEMECE). Grupo Técnico multidisciplinario e interinstitucional coordinado por la Dirección General de Información en Salud responsable de promover y vigilar el correcto uso de la Familia de Clasificaciones Internacionales en su carácter de Centro Colaborador de la Organización Mundial de la Salud.
3.10. Certificado Electrónico de Discapacidad (CEDis). Documento oficial, personal e intransferible, expedido por las personas profesionales de la medicina o persona autorizada por la autoridad sanitaria, el cual se entrega a una persona con discapacidad posterior a la valoración de la misma con base en un modelo integrador biopsicosocial y de derechos humanos.
3.11. Clasificación Internacional de Enfermedades (CIE). Estándar internacional de uso obligatorio en todo el país, para la codificación y generación de estadísticas de morbilidad y mortalidad uniformes, que permiten la comparabilidad nacional e internacional. Para efectos de esta Norma se considera la versión vigente adoptada en nuestro país.
3.12. Clasificación Internacional del Funcionamiento, de la Discapacidad y de la Salud (CIF). Clasificación de referencia dentro de la Familia de Clasificaciones Internacionales de la OMS. Estándar internacional de uso obligatorio en todo el país para el estudio, codificación y generación de estadísticas de funcionamiento y discapacidad, que permiten la comparabilidad nacional e internacional.
3.13. Clasificación Internacional del Funcionamiento, de la Discapacidad y de la Salud, versión para la infancia y la adolescencia (CIF-IA). Versión en la que se adicionan dominios a la Clasificación Internacional del Funcionamiento, de la Discapacidad y de la Salud para categorizar en niños y adolescentes, incluye una visión de derechos humanos, así como aspectos específicos que deben considerarse en infancia y adolescencia.
3.14. Clave Única de Establecimientos de Salud (CLUES). Es un identificador único, consecutivo e intransferible que asigna la Secretaría de Salud, a través de la Dirección General de Información en Salud, de manera obligatoria a cada establecimiento de salud (entre los que se encuentran: unidades médicas, laboratorios, centros de diagnóstico, centros de tratamiento, oficinas administrativas, sean éstos fijos o móviles) que exista en el territorio nacional, sea público, privado o social, y con la cual se identifica toda la información reportada por el mismo a cada uno de los componentes del Sistema Nacional de Información en Salud.
3.15. Componentes de la Clasificación Internacional del Funcionamiento, de la Discapacidad y de la Salud. Los que interactúan de acuerdo con el modelo integrador biopsicosocial que es una valoración conjunta de la condición de salud y los factores contextuales. Sus componentes se subdividen en dos partes: la parte 1 se ocupa del funcionamiento y la discapacidad y dentro de ésta están las funciones y estructuras corporales y actividad y participación. La parte 2 se ocupa de los factores contextuales, donde se encuentran los factores ambientales y los factores personales. La CIF-IA, mantiene el mismo modelo. La valoración integral debe considerar todos los componentes tal como se muestra en la Figura 1.
Figura 1. Componentes de la valoración integral.
Figura 1. En esta figura se representa la Interacción de los componentes de la CIF
3.16. Comunicación. Al lenguaje escrito, oral y la lengua de señas mexicana, la visualización de textos, sistema de lectura y escritura Braille, la comunicación táctil, los macrotipos, los pictogramas, los dispositivos multimedia escritos o auditivos de fácil acceso, de fácil lectura, el lenguaje sencillo, los medios de voz digitalizada y otros modos, medios, sistemas y formatos aumentativos o alternativos de comunicación, incluida la tecnología de la información y las comunicaciones de fácil acceso.
3.17. Condición de salud. Es un término genérico que incluye enfermedad crónica, trastorno, traumatismo, lesión y anomalías congénitas determinadas por causas biomédicas (somáticas) y psicológicas (mentales) complementarias, con la influencia del contexto sociológico (social) que inciden en el funcionamiento/discapacidad de una persona. La condición de salud es con la que inicia la interacción de los componentes de la Clasificación Internacional del Funcionamiento, de la Discapacidad y de la Salud.
3.18. Convención de las Naciones Unidas sobre los Derechos de las Personas con Discapacidad (CDPD). Tratado internacional del cual México forma parte, el cual tiene como propósito promover, proteger y asegurar el goce pleno y en condiciones de igualdad de todos los derechos humanos y libertades fundamentales por todas las personas con discapacidad, y promover el respeto de su dignidad inherente.
3.19. Datos sociodemográficos. Son rasgos de la identidad de los integrantes de una agrupación; por ejemplo: edad, sexo, género, parentesco, estado civil, condición de residencia, escolaridad, trabajo, entre otras. Dentro de la valoración e interacción de los componentes de la Clasificación Internacional del Funcionamiento, de la Discapacidad y de la Salud, esta información está considerada para los factores personales.
3.20. Deficiencias. Son problemas en las funciones o estructuras corporales, tales como una desviación respecto a la norma estadística establecida o una pérdida significativa. Las deficiencias pueden ser permanentes; progresivas, regresivas o estáticas; intermitentes o continuas y pueden fluctuar de ligera a completa en el tiempo. Las deficiencias deben ser parte de un estado de salud, pero no indican necesariamente que esté presente una enfermedad o que la persona deba ser considerada como enferma/o.
3.21. Discapacidad. De acuerdo con la Clasificación Internacional del Funcionamiento, de la Discapacidad y de la Salud, es un término genérico que incluye deficiencias, limitaciones en la actividad y restricciones en la participación. Indica los aspectos negativos de la interacción entre un individuo con una condición de salud y sus factores contextuales (factores ambientales y personales). De acuerdo con la Convención sobre los Derechos de las Personas con Discapacidad es un concepto que evoluciona y que resulta de la interacción entre las personas con deficiencias a largo plazo y las barreras debidas a la actitud y al entorno que evitan su participación plena y efectiva en la sociedad en igualdad de condiciones con las demás.
3.22. Diseño universal. Se entenderá el diseño de productos, entornos, programas y servicios que puedan utilizar todas las personas, en la mayor medida posible, sin necesidad de adaptación ni diseño especializado. El «diseño universal» no excluirá las ayudas técnicas para grupos particulares de personas con discapacidad, cuando se necesiten. Es importante tener presente este concepto en los Centros de valoración y expedición del Certificado Electrónico de Discapacidad.
3.23. Establecimiento para la atención médica. Establecimiento público, social o privado, fijo o móvil, cualquiera que sea su denominación y nivel de atención del Sistema Nacional de Salud, que preste servicios de atención médica y cuente con Clave Única de Establecimiento de Salud.
3.24. Estructuras corporales. Son las partes anatómicas del cuerpo, tales como órganos, extremidades y sus componentes. El estándar empleado para valorar estas estructuras es lo que consideramos la norma estadística para los seres humanos.
3.25. Factores ambientales. Constituyen el entorno físico, social y actitudinal en el que las personas viven y conducen sus vidas. Son externos a la persona y pueden tener una influencia negativa (barreras) o positiva (facilitadores) en su desempeño / realización como integrante de la sociedad, o en sus estructuras y funciones corporales.
3.26. Factores contextuales. Representan el trasfondo total tanto de la vida de una persona como de su estilo de vida. Incluyen los factores ambientales y los factores personales que pueden tener efecto en la salud y los estados relacionados con la salud de la persona.
3.27. Factores personales. Constituyen el trasfondo particular de la vida de una persona y de su estilo de vida. Están compuestos por características que no forman parte de una condición de salud. Estos factores pueden incluir el sexo, la raza, la edad, los estilos de vida, los hábitos, los estilos de enfrentarse a los problemas y tratar de resolverlos, la educación, la profesión, la experiencia de vida, tipo de personalidad, los aspectos psicológicos personales y otras características. Todos ellos en su conjunto como algunos de ellos
individualmente pueden desempeñar un papel en la discapacidad a cualquier nivel. Para esta Norma, los factores personales están contenidos dentro de los datos sociodemográficos.
3.28. Firma Electrónica Avanzada (FIEL). Es el conjunto de datos y caracteres emitidos por el Servicio de Administración Tributaria que permite la identificación del firmante, que ha sido creada por medios electrónicos bajo su exclusivo control, de manera que está vinculada únicamente al mismo y a los datos a los que se refiere, lo que permite que sea detectable cualquier modificación ulterior de éstos, la cual produce los mismos efectos jurídicos que la firma autógrafa.
3.29. Funcionamiento. Es un término genérico que incluye funciones corporales, estructuras corporales, actividades y participación. Indica los aspectos positivos de la interacción entre un individuo con una condición de salud y sus factores contextuales (ambientales y personales).
3.30. Funciones corporales. Son las funciones fisiológicas de los sistemas corporales (incluyendo las funciones psicológicas). Con "cuerpo" se refiere al organismo humano como un todo, y por tanto se incluye la mente en la definición. Por ello, las funciones mentales (o psicológicas) están incluidas dentro de las funciones corporales. El estándar empleado para valorar estas funciones es lo que consideramos la norma estadística para los seres humanos.
3.31. Limitaciones en la actividad. Son dificultades que una persona puede tener en el desempeño/realización de actividades y que se encuentran determinadas por los factores contextuales, en función de las deficiencias y estructuras corporales. El rango que comprende una limitación en la actividad va de ligera a completa en términos de cantidad o calidad de vida y bienestar.
3.32. Modelo Integrador Biopsicosocial. Es una síntesis coherente de las diferentes dimensiones de la salud desde una perspectiva biológica individual y social.
3.33. Ponderación de los apartados de la valoración de la discapacidad. Método numérico que se aplica para ponderar los distintos componentes de la Clasificación Internacional del Funcionamiento, de la Discapacidad y de la Salud que se evalúan para la expedición del Certificado Electrónico de Discapacidad.
3.34. Participación. Es el acto de involucrarse en una situación de la vida cotidiana, en el ejercicio de un derecho individual y colectivo, representa la perspectiva de la sociedad respecto al funcionamiento. Incluye aspectos intrínsecos (tales como, competencia en las actividades, nivel de involucramiento y sentido de sí mismo) y extrínsecos (que pueden ser, actividades culturales y/o comunitarias).
3.35. Persona autorizada por la autoridad sanitaria para la expedición del Certificado Electrónico de Discapacidad. Profesional de la salud o relacionado con la salud del Centro de valoración y expedición del Certificado Electrónico de Discapacidad. En los casos donde no exista un profesional de la medicina, es la persona autorizada para la expedición del Certificado Electrónico de Discapacidad.
3.36. Persona con discapacidad. Incluye a aquellas que tengan deficiencias físicas, mentales, intelectuales o sensoriales a largo plazo que, al interactuar con diversas barreras, puedan impedir su participación plena y efectiva en la sociedad, en igualdad de condiciones con las demás personas.
3.37. Persona de apoyo o asistencia personal. Servicio de apoyo humano que se pone a disposición de una persona con discapacidad como un instrumento para facilitar la vida independiente. Se basa en las necesidades individuales y las circunstancias vitales de cada persona. Las personas con discapacidad pueden personalizar su servicio, es decir, planear y decidir por quién, cómo, cuándo, dónde y de qué manera se presta, así como dar instrucciones y dirigir a las personas que los presten. La asistencia personal puede ser: Intermitente, continua o permanente. Asimismo, es quien puede brindar su ayuda a la persona solicitante para responder o expresar sus dudas durante el proceso para la emisión del Certificado Electrónico de Discapacidad.
3.38. Persona que ejerce la patria potestad. Quien ejerce sobre las (los) hijas/os menores de edad o que por dictamen judicial salvaguarde a la persona. Lo anterior en concordancia con las disposiciones legales aplicables, así como en materia de derechos humanos.
3.39. Profesional de la medicina. Toda persona que se haya graduado de la carrera de medicina, cuente con cédula profesional, forme parte de la valoración y expedición del Certificado Electrónico de Discapacidad.
3.40. Profesional de la salud. Persona con una formación profesional en una rama de las ciencias de la salud. Tiene conocimientos para atender a las personas desde el ámbito de la atención primaria o especializada y colabora en la valoración de las personas que acuden a solicitar su Certificado Electrónico de Discapacidad.
3.41. Profesional relacionado con la salud. Toda persona con formación profesional en diversas áreas que participan en el proceso de valoración de la discapacidad, a partir de la visión específica de sus distintas disciplinas.
3.42. Restricción en la participación. Son los problemas que una persona puede experimentar para involucrarse en situaciones de la vida cotidiana. La restricción de la participación viene determinada por la comparación de la participación de esa persona con la participación esperable de una persona sin discapacidad. Las cuales se encuentran determinadas por los factores contextuales, en función de las deficiencias y estructuras corporales.
3.43. Subsistema de Información sobre Discapacidad. (SIDIS) Subsistema que forma parte del Sistema Nacional de Información en Salud para el registro y valoración de la discapacidad, administrado por la Dirección General de Información en Salud, el cual se integra por una sección de datos sociodemográficos, valoración de la actividad y participación, identificación de deficiencias en funciones y estructuras corporales a partir de dominios preseleccionados, así como la identificación de barreras en los factores ambientales.
3.44. Sistema Nacional de Información en Salud. (SINAIS) Sistema que integra la información para elaborar las estadísticas nacionales en salud, el cual se encuentra conformado por: a) estadísticas de natalidad, mortalidad, morbilidad y discapacidad; b) factores demográficos, económicos, sociales y ambientales vinculados a la salud; y, c) recursos físicos, humanos y financieros disponibles para la protección de la salud de la población y su utilización, el cual es administrado por la Secretaría de Salud, por conducto de la Dirección General de Información en Salud y que se encuentra regulado en los Artículos 104 y 105 de la Ley General de Salud, así como en la norma oficial mexicana en materia de información en salud citada en el inciso 2.11 de esta Norma.
3.45. Tutor. Persona designada por resolución judicial que guarda de la persona y bienes de los que no están sujetos a patria potestad. Lo anterior, en concordancia con las disposiciones legales aplicables, así como en materia de derechos humanos.
3.46. Valoración de la discapacidad. Proceso por el que se valora, pondera y califica el porcentaje de discapacidad de una persona. Se basa en el conocimiento y experiencia del profesional de la medicina, profesional de salud y relacionado con la salud que participa en él. Su soporte es el registro de la información, la calificación y ponderación de los componentes en el Subsistema de Información sobre Discapacidad construido con base en la Clasificación Internacional del Funcionamiento, de la Discapacidad y de la Salud, por lo que le permite, además de tener un modelo integrador biopsicosocial, fungir como facilitador para la homologación de diversas valoraciones clínicas e instrumentadas, realizadas por las personas profesionales de la salud.
3.47. Valoraciones médico-clínicas previas. Son los documentos emitidos por una (un) médica/o con cédula profesional perteneciente al Sistema Nacional de Salud, en los que se establezcan las condiciones de salud relacionadas con la solicitud del Certificado Electrónico de Discapacidad (diagnóstico nosológico, etiológico, patológico, sindromático, etc.), incluye resultados de gabinete o laboratorio; por el que ha tenido atención la (el) solicitante y se identifican los pronósticos, así como los tratamientos farmacológicos, quirúrgicos, psicológicos, habilitatorios y rehabilitatorios. Estas valoraciones deben contar con firma de la persona médica/o que las expide.
4. Términos abreviados
4.1. CURP. Clave Única de Registro de Población.
4.2. DGIS. Dirección General de Información en Salud.
4.3. DOF. Diario Oficial de la Federación
4.4. SS. Secretaría de Salud.
4.5. SNS. Sistema Nacional de Salud.
5. Generalidades
5.1. Para fines sanitarios, la SS es la responsable del diseño del certificado de discapacidad, alineado a lo establecido en los tratados internacionales de los que México forma parte, entre los que destaca la CDPD y adoptar la CIF.
5.2. En este sentido, a toda persona que lo solicite, de acuerdo al proceso de valoración, se le debe extender un CEDis en términos de lo plasmado en el Capítulo 8 de esta Norma.
5.3. La SS, a través de la DGIS, es la responsable de elaborar, difundir y vigilar la normatividad para los procesos de diseño, captación, integración, procesamiento y difusión de las estadísticas en salud, entre la que se encuentra la relacionada con la discapacidad.
5.4. Todo profesional de la salud o relacionado con la salud que participe en la valoración de la discapacidad, así como las personas profesionales de la medicina o persona autorizada por la autoridad sanitaria para la expedición del CEDis, debe estar capacitado en este proceso de acuerdo al modelo integrador biopsicosocial, en apego a la CDPD y la CIF.
5.5. Los datos personales y sensibles que se obtengan derivado del proceso de valoración y certificación de la discapacidad en cualquiera de sus apartados deben tratarse de conformidad con las disposiciones aplicables en materia de Transparencia, Acceso a la Información y Protección de Datos Personales.
6. De los Centros de valoración de la discapacidad y expedición del Certificado Electrónico de Discapacidad
6.1. Los integrantes del SNS propondrán aquellos establecimientos de atención médica que fungirán como Centros de valoración de la discapacidad y de expedición del CEDis, apoyándose de las Instituciones, Dependencias u Organismos que consideren pertinentes, previendo las siguientes características:
6.1.1. CLUES.
6.1.2. Profesional de la salud o relacionado con la salud, así como las personas profesionales de la medicina o personas autorizadas por la autoridad sanitaria, que hayan recibido capacitación para la valoración de la discapacidad bajo el modelo integrador biopsicosocial contenido en el SIDIS, por parte de la DGIS, a través del CEMECE, en coordinación con las dependencias, instituciones u organismos afines a la materia.
6.1.3. Infraestructura informática para llevar a cabo el registro de información en el SIDIS.
6.1.4. Accesibilidad para la mejor atención de las personas solicitantes del CEDis, programas y procesos que fomenten de manera progresiva la accesibilidad en la infraestructura y los servicios con criterios de diseño universal, disponibilidad de ajustes razonables y formas de comunicación hacia la persona solicitante.
6.2. Los establecimientos propuestos por los integrantes del SNS, deben acreditar el cumplimiento de las características señaladas en los incisos previos, de acuerdo al procedimiento previsto en el Capítulo 7.
7. Procedimiento de Evaluación de la Conformidad
7.1. Objetivo
Este Procedimiento tiene como objetivo establecer los requisitos y criterios para la Evaluación de la Conformidad de todo aquel establecimiento para la atención médica que solicite fungir como Centro de Valoración de la Discapacidad y Expedición del Certificado Electrónico de Discapacidad.
7.2. Referencias
Para la correcta aplicación de este Procedimiento de Evaluación de la Conformidad, es necesario consultar y observar, en su parte conducente, los siguientes ordenamientos, o los que los sustituyan:
7.2.1. Ley de la Infraestructura de la Calidad (LIC).
7.2.2. Reglamento de la Ley Federal sobre Metrología y Normalización (RLFMN), hasta en tanto no se emita el Reglamento de la Ley de Infraestructura de la Calidad.
7.2.3. Norma Oficial Mexicana NOM-005-SSA3-2018, Que establece los requisitos mínimos de infraestructura y equipamiento de establecimientos para la atención médica de pacientes ambulatorios.
7.2.4. Norma Oficial Mexicana NOM-015-SSA-2023, Para la atención médica integral a personas con discapacidad.
7.2.5 Norma Oficial Mexicana NOM-030-SSA3-2013, Que establece las características arquitectónicas para facilitar el acceso, tránsito, uso y permanencia de las personas con discapacidad en establecimientos para la atención médica ambulatoria y hospitalaria del Sistema Nacional de Salud.
7.3. Disposiciones generales
7.3.1. Los Certificados como Centro de Valoración de la Discapacidad y Expedición del Certificado Electrónico de Discapacidad, pueden obtenerse de la SS, a través de la DGIS y de los Organismos de Certificación y verificación acreditados y aprobados en términos de lo dispuesto por la LIC, sin costo alguno.
7.3.2. Para obtener el Certificado expedido por la SS, a través de la DGIS, se debe proceder conforme a lo siguiente:
7.3.2.1. El establecimiento para la atención médica debe solicitar a la DGIS el paquete informativo que contendrá el formato de solicitud para ser un Centro de valoración y expedición de CEDis, el listado de documentos que deberá de presentar, así como la documentación e información que se considere relevante al momento de realizar su solicitud.
7.3.2.2. El responsable del establecimiento para la atención médica debe presentar a la DGIS en original y copia la solicitud debidamente requisitada y firmada. Asimismo, debe anexar a la solicitud la documentación en original y copia para su cotejo correspondiente.
7.3.2.3. Una vez realizadas las gestiones señaladas en el inciso inmediato anterior, la DGIS debe revisar la documentación presentada y en caso de detectar alguna deficiencia, la hará del conocimiento mediante oficio al responsable que funja como solicitante en el presente procedimiento.
7.3.2.4. La respuesta a la solicitud de Certificación se emitirá en un plazo máximo de 60 días hábiles contados a partir de que se haya presentado la solicitud en forma completa.
7.3.3. Para obtener el Certificado por parte de un Organismo de Certificación, se debe llevar a cabo de conformidad al Procedimiento de Evaluación de la Conformidad establecido en esta Norma.
7.3.4. Una vez que se cuente con organismos de tercera parte que se acrediten y aprueben como Organismos de Certificación para la evaluación de la conformidad de la presente Norma, la SS, a través de la DGIS, dejará de prestar dichos servicios de Certificación y se limitará únicamente a labores de supervisión y vigilancia que las disposiciones jurídicas aplicables le confieren respecto de la presente Norma.
7.4. Procedimiento de Verificación
7.4.1. La DGIS o, en su caso, la Unidad de Verificación acreditada y aprobada, deben establecer los mecanismos para los trabajos de verificación. El interesado debe entregar toda la información que la DGIS o a la Unidad de Verificación acreditada y aprobada, considere necesaria para realizar este Procedimiento, al momento de realizar esta solicitud.
7.4.2. Con base en lo anterior y aunado a lo establecido en el Capítulo 6 de la presente Norma, la DGIS o, en su caso, la Unidad de Verificación acreditada y aprobada, debe verificar que los establecimientos de atención médica que soliciten certificarse como Centro de Valoración de la Discapacidad y Expedición del Certificado Electrónico de Discapacidad demuestren los aspectos siguientes:
7.4.2.1. CLUES. La DGIS o, en su caso, la Unidad de Verificación acreditada y aprobada, debe verificar que el establecimiento de atención medica se encuentre registrada dentro del Catálogo de Establecimientos en Salud.
7.4.2.2. Recursos Humanos
7.4.2.2.1. Para la valoración de la discapacidad. La DGIS o, en su caso, la Unidad de Verificación acreditada y aprobada, debe verificar que las personas profesionales de la salud o relacionados con la salud propuestos para participar en la valoración de la discapacidad, cuente con la constancia de capacitación expedida por el CEMECE, bajo el modelo integrador biopsicosocial contenido en el SIDIS.
7.4.2.2.2. Para la expedición del CEDis. La DGIS o, en su caso, la Unidad de Verificación acreditada y aprobada, debe verificar que las personas profesionales de la medicina o la persona autorizada por la autoridad sanitaria cuente con título, cédula profesional, FIEL y que haya recibido capacitación en la valoración de la discapacidad bajo el modelo integrador biopsicosocial contenido en el SIDIS.
7.4.3. Infraestructura Tecnológica. Los establecimientos para la atención médica deben contar con la infraestructura informática necesaria para llevar a cabo la valoración y expedición del CEDis.
7.4.3.1. La DGIS o, en su caso, la Unidad de Verificación acreditada y aprobada, debe verificar que el establecimiento cuente con alguno de los siguientes tipos de conexión de internet:
· Redes fijas de Wifi;
· Wifi de Banda Ancha, o
· Redes Móviles de Celular o tipo de Banda Ancha Móvil (BAM).
Lo anterior, de acuerdo a las posibilidades de cada establecimiento para la atención médica.
7.4.3.2. La DGIS o, en su caso, la Unidad de Verificación acreditada y aprobada, debe verificar que el establecimiento cuente con equipo de cómputo acorde a las características técnicas mínimas establecidas por la DGIS al momento de realizar su solicitud.
7.4.4. Accesibilidad. La DGIS o, en su caso, la Unidad de Verificación acreditada y aprobada, debe verificar que los establecimientos para la atención médica cuenten con accesibilidad en la infraestructura y los servicios con criterios de diseño universal, considerando una disponibilidad de ajustes razonables con independencia de que la persona solicitante cuente o no con una persona de apoyo o asistencia personal.
7.4.5. Si el establecimiento para la atención médica no cumple con lo establecido en la presente Norma, la DGIS o, en su caso, la Unidad de Verificación acreditada y aprobada, debe notificarlo al responsable del establecimiento o, en su caso, al personal que funge como representante del establecimiento para efecto del presente procedimiento. Los hallazgos encontrados se asentarán en el informe correspondiente, en el que se puede dar la opción de presentar nuevamente su solicitud una vez que haya solventado los hallazgos emitidos.
7.4.5.1. Los trabajos de verificación concluyen con la entrega del Dictamen de Verificación. Cuando el Procedimiento de Verificación haya sido ejecutado por alguna Unidad de Verificación acreditada y aprobada, ésta debe entregar copia a la DGIS del dictamen respectivo.
7.5. Procedimiento de Certificación
7.5.1. Una vez que el establecimiento para la atención médica cuente con el Dictamen de Verificación favorable, la DGIS o, en su caso, el Organismo de Certificación acreditado y aprobado, expedirá un certificado como Centro de valoración y expedición del CEDis.
7.5.2. En caso de que sea un Organismo de Certificación acreditado y aprobado, el que expida un certificado a nombre del establecimiento para la atención medica de conformidad con lo dispuesto en este Procedimiento de Evaluación de la Conformidad, éste deberá notificarlo a la DGIS.
7.6. La vigencia de los Certificados como Centros de valoración y expedición del CEDis será de 4 años y queda sujeta a las verificaciones correspondientes por parte de la DGIS y, en su caso, de los Organismos de Certificación acreditados y aprobados que puedan realizar en el trascurso de la vigencia del certificado.
7.6.1. El responsable del Centro de valoración y expedición del CEDis, o bien, el responsable del establecimiento para la atención médica, podrá solicitar a la DGIS o, en su caso, a los Organismos de Certificación acreditados y aprobados, una extensión de vigencia del certificado como Centros de valoración y expedición del CEDis, a partir de treinta y hasta quince días hábiles previos a su vencimiento, la cual únicamente tendrá una duración de 2 años contados a partir de la conclusión de la vigencia del certificado inicial.
7.6.1.1. La extensión de vigencia del certificado como Centros de valoración y expedición del CEDis, únicamente se otorgará en caso de que el establecimiento continúe operando con las características relacionadas señaladas en los incisos 7.4.2.1, 7.4.2.2, 7.4.3, 7.4.4 de la presente Norma previamente verificadas, manifestando por escrito bajo protesta de decir verdad a la DGIS o, al Organismo de Certificación acreditado y aprobado dicha situación, bajo el apercibimiento que en caso de faltar a la verdad, con independencia de las sanciones que se haga acreedor en términos de las disposiciones jurídicas aplicables, se le suspenderá o cancelará la vigencia del Certificado.
7.6.2. Previo a la terminación de la extensión de la vigencia del certificado como Centros de valoración y expedición del CEDis, el responsable del Centro de valoración y expedición del Certificado Electrónico de Discapacidad, o bien, el responsable del establecimiento para la atención médica, podrá solicitar a la DGIS o, en su caso, a los Organismos de Certificación acreditados y aprobados, someterse a un nuevo procedimiento de certificación, el cual podrá iniciarlo a partir de sesenta días hábiles previos a la culminación de la extensión de la vigencia.
7.7. La DGIS publicará en su página electrónica www.dgis.salud.gob.mx los Centros de valoración y expedición del Certificado Electrónico de Discapacidad certificados en este proceso, así como las personas profesionales de la medicina y personas autorizadas para expedir el CEDis.
8. Del proceso de valoración de la discapacidad
8.1. La valoración de la discapacidad y expedición del CEDis es un procedimiento voluntario y gratuito.
8.2. Toda persona en territorio nacional, sin importar su entidad de residencia, o bien, a través de su persona de apoyo, asistencia profesional, tutor o quien ejerce la patria potestad que acredite ese carácter, puede solicitar la valoración de la discapacidad en los Centros de valoración de la discapacidad y expedición del CEDis, debiendo presentar inicialmente, la documentación que acredite identidad y condición de salud de la persona solicitante, misma que se indica a continuación:
· CURP;
En mayores de 18 años: Una identificación oficial vigente con fotografía, la cual puede ser alguna de las siguientes opciones:
Credencial del Instituto Nacional Electoral;
Cedula Profesional;
Título Profesional;
Carta de Pasante;
Cartilla de Identidad del Servicio Militar Nacional Liberada;
Credencial vigente expedida por el Instituto Nacional de las Personas Adultas Mayores (INAPAM);
Certificado de Matrícula Consular de alta seguridad;
Carta de naturalización;
Certificado de nacionalidad mexicana;
Declaratoria de nacionalidad mexicana por nacimiento, o
Credencial de servicios médicos de una institución pública de salud o seguridad social, con fotografía cancelada con el sello oficial de la institución, firma y cargo de quien la expide.
En caso de credenciales en formato digital, podrán ser aceptadas aun cuando el sello no cancele la fotografía y Credencial para jubilados o pensionados, emitida por una institución de seguridad social, con fotografía cancelada con el sello oficial, firma y cargo de quien la expide. En caso de credenciales en formato digital, podrán ser aceptadas aun cuando el sello no cancele la fotografía;
· En menores de 18 años; un documento oficial, el cual puede ser alguno de las siguientes opciones:
Acta de nacimiento;
Credencial escolar vigente;
Cédula de identidad personal;
Constancia médica con fotografía, exclusivamente para menores de 7 años, acompañada de una copia simple y legible de la cédula o título profesional con fotografía y firma de quien la emite;
Certificado escolar expedido por la Secretaría de Educación Pública (SEP);
Constancia del grado de estudios que cursa;
Carta de Naturalización;
Credencial de servicios médicos de una institución pública de salud o seguridad social, o
Certificado de Matrícula Consular de alta seguridad);
· Comprobante de domicilio no mayor a 3 meses de antigüedad;
· Valoraciones médico-clínicas previas;
· En caso de que corresponda, documento que acredite la tutela de la persona solicitante;
· Para extranjeros, documento de identidad vigente expedido por país de origen o tarjeta de visitante o residente o pasaporte, y
· No haber sido valorado bajo el proceso de valoración de la discapacidad en los últimos 30 días de conformidad a lo establecido en la presente Norma.
8.3. En caso de no cumplir con la documentación señalada en el inciso 8.2, las personas profesionales de la salud o relacionados con la salud, las personas profesionales de la medicina o personas autorizadas por la autoridad sanitaria, así como el personal administrativo que apoye este proceso, deben hacerlo del conocimiento de la persona solicitante, o bien, a su persona de apoyo, asistencia profesional, tutor o quien ejerce la patria potestad, para que recabe la totalidad de los documentos a efecto de continuar el proceso de valoración y certificación si así lo desea.
8.4. Es responsabilidad de la persona solicitante, o bien, su persona de apoyo, asistencia profesional, tutor o quien ejerza la patria potestad, que la documentación, información y declaración presentada sea veraz.
8.5. Una vez que se cumpla con la documentación prevista en el inciso 8.2 de esta Norma, las personas profesionales de la salud o relacionados con la salud, así como las personas profesionales de la medicina o personas autorizadas por la autoridad sanitaria, deben realizar la valoración de la discapacidad bajo el modelo integrador biopsicosocial de acuerdo con los siguientes incisos:
8.5.1. Identificación de los datos sociodemográficos. Las personas profesionales de la medicina o las personas profesionales de la salud, que participen en la valoración de la discapacidad, así como las personas profesionales de la medicina o persona autorizada por la autoridad sanitaria deben registrar en el SIDIS los datos sociodemográficos de la persona solicitante, los cuales, de manera enunciativa más no limitativa, se refieren a: nombres, primer apellido, segundo apellido, fecha de nacimiento, entidad de nacimiento, CURP y lugar de residencia.
El correcto registro de los datos sociodemográficos forma parte de los factores personales como componente interactivo del modelo integrador biopsicosocial de la CIF.
8.5.2. Determinación de la condición de salud y su codificación con la CIE. Posterior al registro de datos sociodemográficos, las personas profesionales de la medicina o las personas profesionales de la salud con base en las valoraciones médico-clínicas y su experiencia deben identificar el diagnóstico médico que le presente la persona solicitante, tutor o persona de apoyo, o asistencia personal para realizar la valoración médica, a fin de determinar el diagnóstico posible. Lo anterior, también es aplicable a las comorbilidades y el origen de las afecciones detectadas. En ambos casos, se registra a texto libre en el SIDIS y, posteriormente, se codifica con base en lo previsto en la CIE vigente.
La condición de salud registrada puede ser la misma o no al finalizar la valoración que la considerada al inicio. Esta modificación se debe realizar únicamente, si las personas profesionales de la medicina o las personas profesionales de la salud encuentran elementos suficientes para sustentar un diagnóstico posterior a la valoración de la persona que sea más específico o esté más relacionado con las condiciones que presenta la persona solicitante.
8.5.3. Identificación de la limitación en la actividad y la restricción en la participación. Una vez concluido el registro de los datos sociodemográficos y la determinación de la condición de salud, las personas profesionales de la medicina o las personas profesionales de la salud, que participen en la valoración de la discapacidad, así como las personas profesionales de la medicina o persona autorizada por la autoridad sanitaria, realizarán una entrevista estructurada para identificar y calificar la limitación en la actividad y la restricción en la participación, de acuerdo a lo especificado en el Apéndice A Identificación de la limitación en la actividad y la restricción en la participación de esta Norma, el cual forma parte del SIDIS.
Durante la entrevista, las personas profesionales de la salud o relacionado con la salud que participen en la valoración de la discapacidad, así como las personas profesionales de la medicina o persona autorizada por la autoridad sanitaria, deben considerar lo siguiente:
a. Encauzar la entrevista de manera empática y objetiva a efecto de que se mantenga el propósito y validez de las preguntas de cada dominio de la entrevista sobre actividad y participación.
b. Poner énfasis a la persona solicitante en que la información que se obtenga sobre sus actividades y participación se maneja con confidencialidad y profesionalismo.
c. Durante la entrevista en esta sección, la persona solicitante siempre debe tener accesible la tabla donde se muestran los gradientes de las dificultades en cada dominio.
d. En el caso de menores de 18 años, se aplica un cuestionario desarrollado para el rango de 0-17 años de edad. (Véase "Apéndice A" de esta Norma).
8.5.4. Identificación de las barreras en los factores ambientales. Después de haber concluido la
entrevista sobre actividad y participación, las personas profesionales de la medicina o las personas profesionales de la salud, que participen en la valoración de la discapacidad, así como las personas profesionales de la medicina o persona autorizada por la autoridad sanitaria, identifica dentro de los factores contextuales, los factores ambientales, los cuales constituyen el ambiente físico, social y actitudinal en el que vive y conduce su vida la persona solicitante. Estos factores se registran en el SIDIS, de conformidad con lo previsto en el "Apéndice B" Sobre la identificación de las barreras en los factores ambientales.
8.5.5. Identificación de las deficiencias en las funciones y estructuras corporales. Completados los anteriores incisos, las personas profesionales de la medicina o las personas profesionales de la salud, deben identificar las categorías correspondientes a los componentes de funciones y estructuras corporales para asignar un grado de deficiencia. Lo anterior, con base en las valoraciones médico-clínicas previas, el interrogatorio, la exploración física y la aplicación en su caso de pruebas clínicas o instrumentadas que estén a su alcance en el momento de la valoración y que sean aplicables de acuerdo a su experiencia y conocimiento.
La identificación de las deficiencias en las funciones y estructuras corporales no sustituye el proceso de análisis que las personas profesionales de la medicina o las personas profesionales de la salud, deben realizar a la persona solicitante del certificado, sino que coadyuva al mismo. Es decir, no excluye ni limita el conocimiento y experiencia médica. Este apartado se valora y registra de acuerdo con el "Apéndice C" Sobre la identificación de las deficiencias en las funciones y estructuras corporales.
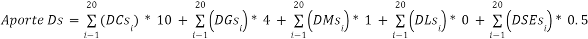
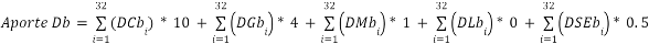
9. De la ponderación de los apartados de la valoración de la discapacidad
9.1. Una vez concluido el registro de los apartados en la valoración integral de la discapacidad, el SIDIS realiza una ponderación estandarizada de acuerdo con los componentes de la CIF, mismos que arrojan el resultado global que determina el porcentaje de discapacidad. Dichos valores corresponden a la siguiente distribución:
Tabla 1. Ponderación que determina el porcentaje de discapacidad.
| COMPONENTES | PONDERACIÓN |
| Funciones y estructuras corporales | 40 |
| Actividad y participación | 40 |
| Factores ambientales | 20 |
| Factores personales | 0 |
| TOTAL | 100 |
9.1.1. El detalle de la cuantificación de los valores de la ponderación de cada componente, se encuentran previstos en el "Apéndice D" De la ponderación de los componentes de la CIF.
9.2. La mayor ponderación se centra en los apartados de funciones y estructuras corporales y actividad y participación, porque, de acuerdo con el modelo integrador biopsicosocial de la CIF, es en esa parte donde reside el funcionamiento y la discapacidad.
9.3. Los factores ambientales son parte del contexto en el que vive la persona y que influye en su funcionamiento y discapacidad.
10. De la expedición del Certificado Electrónico de Discapacidad
10.1. Una vez concluido el proceso previsto en los Capítulos 8 y 9 de esta Norma, el SIDIS realiza una ponderación sistematizada y estandarizada de los componentes de CIF, la cual determina el porcentaje de discapacidad que presenta la persona solicitante.
10.2. Si el resultado de la valoración de la discapacidad es igual o mayor de 25, se expide el CEDis, con el cual se certifica que la persona solicitante es una persona con discapacidad. Posterior a ello, se le entrega una representación impresa del CEDis, a la persona solicitante, a su persona de apoyo, asistencia personal, tutor o quien ejerce la patria potestad.
10.3. Únicamente las personas profesionales de la medicina o las personas autorizadas por la autoridad sanitaria expedirán el Certificado Electrónico de Discapacidad.
10.4. Cuando tenga un resultado menor a 25, el solicitante podrá iniciar un nuevo proceso de valoración 30 días naturales posteriores a la emisión del resultado obtenido.
10.5. Independientemente de los resultados, toda la información derivada de la valoración y sus respectivas ponderaciones quedarán registrados en el SIDIS y se tomarán como referencia para las subsecuentes valoraciones.
10.6. Los datos presentados a continuación, deben contenerse siempre en la representación impresa del CEDis:
· Folio;
· CURP;
· Nombre, Primer Apellido, Segundo Apellido;
· Sexo;
· Género (electivo a mostrar);
· Edad;
· Porcentaje alcanzado resultado de la valoración de la discapacidad;
· Ayudas técnicas que utiliza;
· Tipo de apoyo;
· Nombre y FIEL del profesional de la medicina o persona autorizada por la autoridad sanitaria que expide el CEDis, y
· Vigencia del certificado.
10.7. Cuando se expida el CEDis podrá tener una vigencia de 1 a 5 años máximo, contados a partir de su emisión. La temporalidad está determinada por las personas profesionales de la medicina o persona autorizada por la autoridad sanitaria que lo expida, quien debe considerar los resultados que se obtengan del proceso de valoración previsto en el Capítulo 8 de esta Norma.
11. De la información de discapacidad
11.1. El SIDIS y el CEDis son la fuente oficial de información para la generación de estadísticas de discapacidad que generan los integrantes del SNS. Esta información forma parte del SINAIS.
11.2. La información generada se utiliza para fines epidemiológicos, estadísticos, perfil de funcionamiento/discapacidad de la población, para la planeación y elaboración de políticas públicas, asignación de recursos y la evaluación de los servicios de atención a la salud y de los programas implementados del SNS en favor de las personas con discapacidad, de acuerdo a la CDPC.
11.3. La SS, por conducto de la DGIS, emite las estadísticas de discapacidad mensualmente de forma preliminar y anualmente de forma definitiva.
11.4. La responsabilidad del correcto registro de la información en el SIDIS le corresponde a los Centros de Valoración de la Discapacidad y Expedición del Certificado Electrónico de Discapacidad.
11.5. La información de discapacidad contenida en el SINAIS, a través del SIDIS, coadyuva para los fines del Registro Nacional de Población con Discapacidad.
12. Concordancia con normas mexicanas e internacionales
12.1. Esta norma tiene concordancia con los tratados internacionales de los que México forma parte, los cuales son:
12.1.1. Convención de las Naciones Unidas sobre los Derechos de las Personas con Discapacidad.
12.1.2. Clasificación Internacional del Funcionamiento, de la Discapacidad y de la Salud.
13. Bibliografía
· Bickenbach, J. Cieza, A. Rauch, A. Stucki, G. (2012). ICF Core Sets: Manual for clinical practice. Germany: Hogrefe Publishing.
· Cortes, E. Moreno, M. Cárdenas, A. Mena, L. Giraldo, Z. (2013). Estado del arte en certificación de discapacidad. Bogotá, Colombia: Universidad Nacional de Colombia.
· Imms C, Granlund M, Wilson PH, Steenbergen B, Rosenbaum PL, Gordon AM (2017) Participation, both a means and an end: a conceptual analysis of processes and outcomes in childhood disability. Dev Med Child Neurol 59: 16-25.
· Kostanjsek, N. (2011). Use of The International Classification of Functioning, Disability and Health (ICF) as a conceptual framework and common language for disability statistics and health information systems. BMC Public Health. 2011.
· Ley 20422 2010. Establece las normas sobre igualdad de oportunidades e inclusión social de las personas con discapacidad. 03 de febrero de 2010. Chile.
· Organización Mundial de la Salud y Ministerio de Sanidad, Política Social e Igualdad (2001). Clasificación Internacional del Funcionamiento, de la Discapacidad y de la Salud (CIF). Madrid, España.
· Organización Mundial de la Salud y Ministerio de Sanidad, Política Social e Igualdad (2011). Clasificación Internacional del Funcionamiento, de la Discapacidad y de la Salud (CIF): versión para
la infancia y adolescencia. Madrid, España. Disponible en: https://apps.who.int/iris/bitstream/10665/81610/1/9789243547329_spa.pdf
· Organización Mundial de la Salud (2015). Medición de la salud y la discapacidad: manual para el cuestionario de evaluación de la discapacidad de la OMS: WHODAS 2.0. Servicio Nacional de Rehabilitación. https://iris.who.int/handle/10665/170500
· Organización Mundial de la Salud (2016). Classifications WHO Disability Assessment Schedule 2.0 (WHODAS 2.0).
· Organización Mundial de la Salud (2016).
· Lista de ayudas técnicas prioritarias. Ginebra, Suiza.
· Organización de las Naciones Unidas (2008). Convención de las Nacionales Unidas sobre los derechos de las personas con discapacidad. New York, EUA.
· Organización Panamericana de la Salud, Organización Mundial de la Salud. Clasificación Estadística Internacional de Enfermedades y Problemas Relacionados con la Salud, Décima Revisión (CIE-10). (2018). Washington, DC: OPS/OMS.
· World Health Organization (2013) How to use the ICF: A practical manual for using the International Classification of Functioning, Disability and Health (ICF). Exposure draft for comment. Geneva: WHO.
· Consejo Nacional de Población, (2022) Nota técnico-metodológica Índice de calidad del entorno 2020 disponible en: https://www.gob.mx/cms/uploads/attachment/file/784373/Nota_t_cnica_ICE_2020.pdf
14. Vigilancia
14.1. La vigilancia de la aplicación de esta norma, corresponde a la Secretaría y a los gobiernos de las entidades federativas, en el ámbito de sus respectivas competencias.
TRANSITORIOS
PRIMERO. La presente Norma entrará en vigor a los 180 días naturales, contados a partir de la fecha de su publicación en el DOF.
SEGUNDO. A partir de la publicación en el DOF de la presente Norma, la SS por conducto de la DGIS, capacitará de manera continua a los integrantes del SNS que propongan establecimientos para la atención médica que fungirán como centros de valoración y expedición de CEDis
TERCERO. A partir de la publicación en el DOF de la presente Norma, los integrantes del SNS podrán enviar a la SS a través de la DGIS, sus propuestas de establecimientos para la atención médica que fungirán como centros de valoración y expedición de CEDis, a fin de que ésta emita sus observaciones previas a la entrada en vigor de la presente Norma.
CUARTO. A partir de la entrada en vigor de la presente Norma, la DGIS iniciará el Procedimiento de Evaluación de la Conformidad de los establecimientos para la atención médica que los integrantes del SNS propongan como centros de valoración y expedición de CEDis.
QUINTO. A partir de que la DGIS emita los certificados como centros de valoración y expedición de CEDis, es responsabilidad de los integrantes del SNS llevar a cabo las acciones necesarias para asegurar su puesta en operación.
Ciudad de México, a 18 de diciembre de 2023.- El Subsecretario de Prevención y Promoción de la Salud y Presidente del Comité Consultivo Nacional de Normalización de Salud Pública, Ruy López Ridaura.- Rúbrica.
15. Apéndices
Apéndice A. Identificación de la limitación en la actividad y la restricción en la participación
A.1. Para el componente de actividad y participación, el SIDIS incorpora para la evaluación de los componente de actividad y participación el instrumento Cuestionario para evaluación de la discapacidad 2.0 (WHODAS, por sus siglas en inglés) en su versión de 36 preguntas, el WHODAS 2.0, de evaluación genérica, esto significa que independientemente de la enfermedad, lesión o trastorno, puede obtener una medición común del impacto de cualquier condición de salud en términos del funcionamiento, además esta misma característica, hace que el instrumento no se concentre en una condición de salud específica, por lo que puede utilizarse para comparar la expresión de discapacidad entre diferentes condiciones de salud.
A.2. El WHODAS 2.0. tiene además la posibilidad de identificar seis dominios de la vida:
· Dominio 1 Cognición: comprensión y comunicación;
· Dominio 2 Movilidad: movilidad y desplazamiento;
· Dominio 3 Cuidado personal: cuidado de la propia higiene, posibilidad de vestirse, comer, y quedarse solo;
· Dominio 4 Relaciones: interacción con otras personas;
· Dominio 5 Actividades cotidianas: responsabilidades domésticas, tiempo libre, trabajo y escuela, y
· Dominio 6 Participación: participación en actividades comunitarias y en la sociedad.
A.3. La capacidad de recuerdo se fija en 30 días previos, otra de sus características es que tiene posibilidades de ser auto administrada, administrada por un(a) investigador(a) y, también, aplicarse por medio de una persona de apoyo o asistencia profesional. Para el CEDis se definió la versión de 36 preguntas en su modalidad administrada por personal médico, profesional de salud o persona autorizada por la autoridad sanitaria al interesado(a) o a través de su persona de apoyo o asistencia personal según fuera el caso. Se estableció la versión de 36 preguntas, por su capacidad de generar puntuaciones para los seis dominios de funcionamiento y calcular una puntuación general.
A.4. Para la valoración de actividad y participación en menores de 18 años, la DGIS, a través de un grupo de expertos en el tema y el CEMECE, desarrolló el Cuestionario de Actividad y Participación para la Infancia y Adolescencia (CAPIA), que es un instrumento que considera rangos de edad, los cuales tienen compatibilidad con los niveles educativos, a efecto de identificar características ligadas a puntos específicos del neurodesarrollo, educativos y de inicio laboral.
A.4.1. Los grupos de edad que considera el cuestionario son:
· 0 a 2 años
· 2 a 3 años
· 3 a 6 años
· 6 a 12 años
· 12 a 14 años
· 15 a 17 años
A.5. Se considera el término de actividad como la posibilidad de realizar acciones y participación el involucramiento en las actividades y el sentido de sí mismo. El cuestionario plantea una pregunta general independiente de la condición de salud, una vez que el objetivo está enfocado a su actividad y participación en comparabilidad con sus pares y en distintos ámbitos (escolar, hogar, entorno, recreación y deportes).
A.5.1. Los ámbitos evaluados, se consideran con base en los capítulos de la CIF, en ese apartado que incluyen:
· Aprendizaje y aplicación del conocimiento
· Tareas y demandas generales
· Comunicación
· Movilidad
· Autocuidado
· Vida doméstica
· Interacciones y relaciones interprofesionales
· Áreas principales de la vida
· Vida comunitaria, social y cívica
A.6. Cuestionario para la evaluación de la discapacidad de la OMS. Versión 36 preguntas. Versión de 36 preguntas, administrada por entrevistador (WHODAS 2.0)
A.6.1. Dígale al entrevistado: La entrevista es acerca de las dificultades que tienen las personas debido a las condiciones de salud.
A.6.2. Entréguele la Figura 2. Tarjeta #1 al entrevistado y dígale: Por "condición de salud" me refiero a una enfermedad u otros problemas de salud de corta o larga duración, lesiones, problemas mentales o emocionales y problemas relacionados con el uso del alcohol o drogas.
A.6.3. Le recuerdo que, cuando conteste a las preguntas, piense en todos sus problemas de salud. Cuando le pida que me hable acerca de las dificultades que tiene a la hora de realizar una actividad, por favor, tome en consideración:
A.6.4. Señale la Figura 2. Tarjeta #1 y explique que "dificultad con una actividad" significa:
· Aumento del esfuerzo
· Malestar o dolor
· Lentitud
· Cambios en el modo en que realiza la actividad
A.6.5. Dígale al entrevistado: Cuando esté respondiendo cada pregunta, me gustaría que pensara en los últimos 30 días. Me gustaría también que respondiera estas preguntas pensando en cuánta dificultad usted ha tenido, en promedio, en los últimos 30 días, al realizar esta actividad como acostumbra a hacerla.
A.6.6. Entréguele la Figura 3. Tarjeta #2 al entrevistado y dígale: Cuando responda las preguntas, utilice esta escala. Lea la escala en voz alta:
1. Ninguna, 2. leve, 3 moderada, 4 severa, 5 extrema o no puede hacerlo.
A.6.7. Asegúrese de que el entrevistado pueda ver fácilmente las Figura 2. Tarjetas #1 y Figura 3. Tarjetas #2 durante toda la entrevista.
Figura 2. Tarjeta #1
Figura 3. Tarjeta #2
Tabla 2. Cuestionario WHODAS 2.0
| Dominio 1. Cognición |
| Dom 1.1 | ¿Concentrarse en hacer algo durante diez minutos? |
| Dom 1.2 | ¿Recordar las cosas importantes que tiene que hacer? |
| Dom 1.3 | ¿Analizar y encontrar soluciones a los problemas de la vida diaria? |
| Dom 1.4 | ¿Aprender una nueva tarea, por ejemplo, aprender cómo llegar a un nuevo lugar? |
| Dom 1.5 | ¿Entender en general lo que dice la gente? |
| Dom 1.6 | ¿Comenzar y mantener una conversación? |
| Dominio 2. Movilidad |
| Dom 2.1 | ¿Estar de pie por largos períodos de tiempo, como por ejemplo 30 minutos? |
| Dom 2.2 | ¿Pararse luego de estar sentado? |
| Dom 2.3 | ¿Moverse adentro de su hogar? |
| Dom 2.4 | ¿Salir de su hogar? |
| Dom 2.5 | ¿Caminar una larga distancia, como un kilómetro [o equivalente]? |
| Dominio 3. Cuidado Profesional |
| Dom 3.1 | ¿Lavarse todo el cuerpo (bañarse)? |
| Dom 3.2 | ¿Vestirse? |
| Dom 3.3 | ¿Comer? |
| Dom 3.4 | ¿Quedarse solo(a) durante unos días? |
| Dominio 4. Relacionarse con otras personas |
| Dom 4.1 | ¿Relacionarse con personas que no conoce? |
| Dom 4.2 | ¿Mantener una amistad? |
| Dom 4.3 | ¿Llevarse bien con personas cercanas a usted? |
| Dom 4.4 | ¿Hacer nuevos amigos? |
| Dom 4.5 | ¿Realizar actividades sexuales? |
| Dominio 5. Actividades de la vida diaria |
| Dom 5.1 | ¿Ocuparse de sus responsabilidades domésticas? |
| Dom 5.2 | ¿Realizar bien sus tareas domésticas más importantes? |
| Dom 5.3 | ¿Terminar todo el trabajo doméstico que necesitaba realizar? |
| Dom 5.4 | ¿Terminar las tareas domésticas tan rápido como era necesario? |
| Si alguna de las preguntas comprendidas entre el Dom 5.1 -Dom 5.4 se puntúa por encima de "1" (ninguna), pregunte: |
| Dom 5.01 | ¿En los últimos 30 días, durante cuántos días disminuyó o dejó de hacer sus tareas domésticas debido a su condición de salud? (anote el número de días) |
| Si el entrevistado trabaja (remunerado, no remunerado, autónomo) o va a la escuela, complete las preguntas Dom 5.5 - Dom 5.10 en la próxima página. De lo contrario vaya al Dominio 6.1 |
| Dom 5.5 | ¿Llevar a cabo su trabajo diario o las actividades escolares diarias? |
| Dom 5.6 | ¿Realizar bien las tareas más importantes de su trabajo o de la escuela? |
| Dom 5.7 | ¿Terminar todo el trabajo que necesitaba realizar? |
| Dom 5.8 | ¿Terminar su trabajo tan rápido como era necesario? |
| Dom 5.9 | ¿Ha tenido que reducir su nivel de trabajo debido a su condición de salud? |
| Dom 5.10 | ¿Ha ganado menos dinero debido a su condición de salud? |
| Si alguna de las preguntas comprendidas entre el D5.5 -D5.8 se puntúa por encima de "1" (ninguna), pregunte: |
| Dom 5.02 | ¿En los últimos 30 días, durante cuántos días faltó a su trabajo (medio día o más horas) debido a su condición de salud? (anote el número de días) |
| Dominio 6. Participación en la sociedad |
| Dom 6.1 | ¿Cuánta dificultad ha tenido para participar en actividades de su comunidad (por ejemplo, festividades, actividades religiosas o de otro tipo) de la misma forma que cualquier otra persona? |
| Dom 6.2 | ¿Cuánta dificultad ha tenido debido a barreras u obstáculos existentes en el mundo que lo rodea? |
| Dom 6.3 | ¿Cuánta dificultad ha tenido para vivir con dignidad debido a las actitudes y acciones de otros? |
| Dom 6.4 | ¿Cuánto tiempo dedicó usted a su condición de salud o a sus consecuencias? |
| Dom 6.5 | ¿Cuánto ha sido afectado emocionalmente por su condición de salud? |
| Dom 6.6 | ¿Qué impacto económico ha tenido para usted o para su familia su condición de salud? |
| Dom 6.7 | ¿Cuánta dificultad ha tenido su familia debido a sus problemas de salud? |
| Dom 6.8 | ¿Cuánta dificultad ha tenido para realizar por sí mismo(a) cosas que le ayuden a relajarse o disfrutar? |
| H1 | En general, en los últimos 30 días, ¿durante cuántos días ha tenido esas dificultades? |
| H2 | En los últimos 30 días, ¿cuántos días no pudo realizar nada de sus actividades habituales o su trabajo debido a una condición de salud? |
| H3 | En los últimos 30 días, sin contar los días en los que no pudo realizar nada de sus actividades habituales, ¿cuántos días tuvo que recortar o reducir sus actividades habituales o su trabajo por una condición de salud? |
A.7. Cuestionario de Actividad y Participación para la Infancia y Adolescencia (CAPIA)
A.7.1 Instrucciones del Cuestionario de Actividad y Participación para la Infancia y Adolescencia:
Asegurar la comparabilidad de conductas o actividades esperadas.
¿Identifica en la escuela, con su familia o con vecinos a niños o adolescentes de la misma edad del o la entrevistada?
Si la respuesta es sí, realice la pregunta
Comparado con otros niños/adolescentes de su edad, ¿Qué tanta dificultad tiene para...?
Si la respuesta es NO, directamente pregunte:
¿Qué tanta dificultad tiene para...?
A.7.2. Respuestas posibles del Cuestionario de Actividad y Participación para la Infancia y Adolescencia.
Figura 4. Respuestas CAPIA
A.7.3. Cuestionario. Comparado con otros niños/adolescentes de su edad, ¿qué tanta dificultad tiene para...?
Tabla 3. Cuestionario CAPIA
| A.7.3 Comparado con otros niños/adolescentes de su edad, ¿qué tanta dificultad tiene para...? | 0 a 1 año | 1 a 2 años | 2 a 3 años | 3 a 6 años | 6 a 12 años | 12 a 15 años | 15 a 17 años |
| A.7.3.1 ¿... mirar o seguir con la vista los objetos o a las personas? | d110 | d110 | d110 | d110 | d110 | d110 | d110 |
| A.7.3.2 ¿... escuchar sonidos como la radio, voz humana o música? | d115 | d115 | d115 | d115 | d115 | d115 | d115 |
| A.7.3.3 ¿... chupar o meter a su boca objetos para explorarlos? | d1200 | d1200 | N/A | N/A | N/A | N/A | N/A |
| A.7.3.4 ¿... explorar los objetos utilizando manos, dedos u otras partes de su cuerpo? | d1201 | d1201 | N/A | N/A | N/A | N/A | N/A |
| A.7.3.5 ¿... saborear y masticar alimentos o bebidas para explorarlos? | N/A | d1203 | d1203 | d1203 | d1203 | d1203 | d1203 |
| A.7.3.6 ¿... imitar o copiar gestos, sonidos o un trazado de letras? | N/A | d130 | d130 | d130 | d130 | d130 | d130 |
| A.7.3.7 ¿... aprender realizando diversas acciones con uno o varios objetos? | N/A | N/A | d1312 | d1312 | d1312 | N/A | N/A |
| A.7.3.8 ¿... utilizar objetos para jugar o simular algún juego? | N/A | N/A | d1313 | d1313 | d1313 | d1313 | N/A |
| A.7.3.9 ¿... obtener información sobre objetos o personas para obtener información sobre estos? | N/A | N/A | d132 | d132 | d132 | d132 | d132 |
| A.7.3.10 ¿... aprender el significado de palabras simples, símbolos o gestos convencionales? | N/A | d1330 | d1330 | N/A | N/A | N/A | N/A |
| A.7.3.11 ¿... combinar palabras y formar frases? | N/A | N/A | d1331 | d1331 | N/A | N/A | N/A |
| A.7.3.12 ¿...para decir una oración ordenada adecuadamente y que tenga sentido? | N/A | N/A | d1332 | d1332 | d1332 | N/A | N/A |
| A.7.3.12 ¿...para aprender a expresarse con señas símbolos, pictogramas o gestos comunes? | N/A | d134 | d134 | d134 | d134 | N/A | N/A |
| A.7.3.13 ¿... repetir frases o secuencias, como, por ejemplo: contar del 1 al 10? | N/A | N/A | d135 | d135 | d135 | d135 | d135 |
| A.7.3.14 ¿... reconocer las características de objetos, personas o palabras? | N/A | N/A | d137 | d137 | d137 | N/A | N/A |
| A.7.3.15 ¿...aprender a leer de forma fluida y entonación correcta? | N/A | N/A | N/A | d140 | d140 | d140 | d140 |
| A.7.3.16 ¿... aprender a utilizar símbolos y escribir de forma fluida y con significado? | N/A | N/A | N/A | d145 | d145 | d145 | d145 |
| A.7.3.17 ¿... desarrollar habilidades matemáticas de acuerdo con el grado escolar? | N/A | N/A | N/A | N/A | d150 | d150 | d150 |
| A.7.3.18 ¿... adquirir habilidades para utilizar herramientas o juguetes dentro de una tarea? | N/A | N/A | N/A | N/A | d155 | d155 | d155 |
| A.7.3.19 ¿...adquirir las habilidades necesarias para practicar juegos o actividades complejas como el futbol o ajedrez? | N/A | N/A | N/A | N/A | d1551 | d1551 | d1551 |
| A.7.3.20 ¿... dirigir su atención a diferentes estímulos visuales y auditivos? | N/A | N/A | d160 | d160 | d160 | d160 | d160 |
| A.7.3.21 ¿... mantener la atención hasta finalizar una actividad? | N/A | N/A | N/A | d161 | d161 | d161 | d161 |
| A.7.3.22 ¿... formar ideas en su mente, tales como planear cosas? | N/A | N/A | N/A | N/A | d163 | d163 | N/A |
| A.7.3.23 ¿... comprender lo que lee? | N/A | N/A | N/A | N/A | d166 | d166 | d166 |
| A.7.3.24 ¿... escribir para transmitir información, como hacer una carta? | N/A | N/A | N/A | N/A | d170 | d170 | d170 |
| A.7.3.25 ¿... realizar cálculos matemáticos? | N/A | N/A | N/A | N/A | d172 | d172 | d172 |
| A.7.3.26 ¿... resolver problemas de vida diaria y relación social? | N/A | N/A | N/A | N/A | d175 | d175 | d175 |
| A.7.3.27 ¿... elegir entre varias opciones de servicios o productos? | N/A | N/A | d177 | d177 | d177 | d177 | d177 |
| A.7.3.28 ¿... realizar una tarea por sí solo/a de inicio a fin? | N/A | N/A | N/A | N/A | d210 | d210 | d210 |
| A.7.3.29 ¿... realizar una tarea o actividad en equipo con otros? | N/A | N/A | N/A | N/A | d2103 | d2103 | d2103 |
| A.7.3.30 ¿... realizar varias tareas o actividades consecutivas (seguidas una de otra) y/o simultaneas (al mismo tiempo)? | N/A | N/A | N/A | N/A | N/A | d220 | d220 |
| A.7.3.31 ¿... realizar las rutinas diarias? | N/A | N/A | N/A | N/A | N/A | d230 | d230 |
| A.7.3.32 ¿... realizar y cumplir con responsabilidad sus obligaciones? | N/A | N/A | N/A | N/A | d2400 | d2400 | d2400 |
| A.7.3.33 ¿... regular su comportamiento según el lugar, personas y/o situaciones? | N/A | N/A | N/A | N/A | d250 | d250 | d250 |
| A.7.3.34 ¿... adaptar su conducta y comportamiento ante nuevas personas, lugares o situaciones? | N/A | N/A | d2500 | d2500 | d2500 | d2500 | d2500 |
| A.7.3.35 ¿... regular su comportamiento cuando se le solicita o exige algo? | N/A | N/A | N/A | d2501 | d2501 | N/A | N/A |
| A.7.3.36 ¿... actuar y dirigirse de forma apropiada con otras personas o situaciones? | N/A | N/A | N/A | N/A | d2502 | d2502 | d2502 |
| A.7.3.37 ¿... entender un mensaje mediante lenguaje oral? | N/A | N/A | N/A | d310 | d310 | d310 | d310 |
| A.7.3.38 ¿... responder a la voz humana de forma básica como voltear o realizando cambios en patrón ¿respiratorio o algún movimiento? | d3100 | d3100 | d3100 | d3100 | d3100 | d3100 | d3100 |
| A.7.3.39 ¿... entender ordenes sencillas? como: ¡dame! o ¡ven aquí! | N/A | N/A | d3101 | d3101 | d3101 | d3101 | d3101 |
| A.7.3.40 ¿... entender mensajes complejos como una pregunta o instrucción larga? | N/A | N/A | N/A | d3102 | d3102 | d3102 | d3102 |
| A.7.3.41¿... entender lenguaje no verbal como gestos, movimientos o signos hechos con las manos o alguna otra forma de lenguaje corporal? | N/A | d3150 | d3150 | d3150 | d3150 | d3150 | d3150 |
| A.7.3.42 ¿... entender mensajes en lengua de señas mexicanas u otro método diferente al verbal? | N/A | N/A | N/A | d320 | d320 | d320 | d320 |
| A.7.3.43 ¿... entender mensajes escritos o expresados en lenguaje escrito (incluido el Braille)? | N/A | N/A | N/A | N/A | d325 | d325 | d325 |
| A.7.3.44 ¿... expresar sus ideas mediante lenguaje hablado? | N/A | N/A | d330 | d330 | d330 | d330 | d330 |
| A.7.3.45 ¿... balbucear en respuesta a lenguaje verbal o la presencia de una persona? | d331 | d331 | N/A | N/A | N/A | N/A | N/A |
| A.7.3.46 ¿... expresar mensajes con gestos, símbolos o dibujos? | N/A | d335 | d335 | d335 | d335 | d335 | d335 |
| A.7.3.47 ¿... expresar ideas mediante signos y símbolos o algún sistema de notación simbólica? | N/A | N/A | N/A | d3351 | d3351 | d3351 | d3351 |
| A.7.3.48 ¿... transmitir un mensaje en lengua de señas mexicanas o señas convencionales? | N/A | N/A | d340 | d340 | d340 | d340 | d340 |
| A.7.3.49 ¿... mantener una conversación mediante lenguaje hablado, escrito, signos u otra forma de lenguaje? | N/A | N/A | N/A | d350 | d350 | d350 | d350 |
| A.7.3.50 ¿... iniciar una conversación, estableciendo contacto visual o presentarse o saludar? | N/A | N/A | d3500 | d3500 | d3500 | d3500 | d3500 |
| A.7.3.51 ¿... mantener una conversación expresando su punto de vista o introduciendo un tema? | N/A | N/A | N/A | d3501 | d3501 | d3501 | d3501 |
| A.7.3.52 ¿... mantener una discusión con argumentos mediante lenguaje hablado, escrito, de signos y otras formas de lenguaje? | N/A | N/A | N/A | N/A | d355 | d355 | d355 |
| A.7.3.53 ¿... utilizar algún dispositivo u otro medio para comunicarse como usar el teléfono? | N/A | N/A | d360 | d360 | d360 | d360 | d360 |
| A.7.3.54 ¿... levantarse de una silla para acostarse en una cama o pararse, arrodillarse o colocarse en cuclillas? | N/A | N/A | N/A | d410 | d410 | d410 | d410 |
| A.7.3.55 ¿... adoptar y abandonar la posición de estar acostado a ponerse de pie o sentarse? | N/A | N/A | d4100 | d4100 | d4100 | d4100 | d4100 |
| A.7.3.56 ¿... sentarse por sí solo y ponerse de pie o acostarse? | N/A | d4103 | d4103 | d4103 | d4103 | d4103 | d4103 |
| A.7.3.57 ¿... ponerse de pie y al estar de pie sentarse o acostarse? | N/A | N/A | d4104 | d4104 | d4104 | d4104 | d4104 |
| A.7.3.58 ¿... rodarse al estar acostado de boca arriba a boca abajo y viceversa? | N/A | d4107 | d4107 | d4107 | d4107 | d4107 | d4107 |
| A.7.3.59 ¿... permanecer sentado en una silla o el suelo durante el tiempo necesario para realizar una tarea? | N/A | N/A | d4153 | d4153 | d4153 | d4153 | d4153 |
| A.7.3.60 ¿... permanecer de pie en cualquier tipo de terreno? | N/A | N/A | d4154 | d4154 | d4154 | d4154 | d4154 |
| A.7.3.61 ¿... sostener o controlar su cabeza? | d4155 | N/A | N/A | N/A | N/A | N/A | N/A |
| A.7.3.62 ¿... levantar un objeto (juguete, caja, etc.) y llevarlo de un lugar a otro? | N/A | N/A | N/A | d430 | d430 | d430 | d430 |
| A.7.3.63 ¿... llevar con las manos un objeto como un vaso o maleta de un lugar a otro? | N/A | N/A | N/A | d430 | d430 | d430 | d430 |
| A.7.3.64 ¿... patear una pelota o dar patadas? | N/A | N/A | d4351 | d4351 | d4351 | d4351 | d4351 |
| A.7.3.65 ¿... levantar o recoger un objeto pequeño como un lápiz con las manos y los dedos? | N/A | d4400 | d4400 | d4400 | d4400 | d4400 | d4400 |
| A.7.3.67 ¿... agarrar un objeto con una o ambas manos? | N/A | N/A | d4401 | d4401 | d4401 | d4401 | d4401 |
| A.7.3.68 ¿... dibujar, cortar con tijeras o utilizar cubiertos para comer? | N/A | N/A | d4402 | d4402 | d4402 | d4402 | d4402 |
| A.7.3.69 ¿... abrir una puerta, atrapar y lanzar una pelota con la mano y el brazo? | N/A | N/A | N/A | d445 | d445 | d445 | d445 |
| A.7.3.70 ¿... caminar en diferentes direcciones o superficies? | N/A | N/A | d450 | d450 | d450 | d450 | d450 |
| A.7.3.71 ¿... correr? | N/A | N/A | d4552 | d4552 | d4552 | d4552 | d4552 |
| A.7.3.72 ¿... saltar? | N/A | N/A | d4553 | d4553 | d4553 | d4553 | d4553 |
| A.7.3.73 ¿... caminar, moverse, arrastrarse o trepar por diferentes lugares como dentro o fuera de una casa? | N/A | N/A | d460 | N/A | N/A | N/A | N/A |
| A.7.3.74 ¿... caminar o desplazarse dentro de su propia casa? | N/A | d4600 | d4600 | d4600 | d4600 | d4600 | d4600 |
| A.7.3.75 ¿... caminar o desplazarse en casas que no son la suya, áreas cerradas, edificios privados o públicos? | N/A | N/A | N/A | d4601 | d4601 | d4601 | d4601 |
| A.7.3.76 ¿... lavar sus manos y cara? | N/A | N/A | N/A | N/A | d5100 | N/A | N/A |
| A.7.3.77 ¿... bañarse en regadera o con jícara? | N/A | N/A | N/A | N/A | d5101 | N/A | N/A |
| A.7.3.75 ¿... secarse con una toalla? | N/A | N/A | N/A | d5102 | N/A | N/A | N/A |
| A.7.3.76 ¿... peinarse, lubricar su piel o cortarse las uñas? | N/A | N/A | N/A | N/A | d520 | d520 | d520 |
| A.7.3.77 ¿... cepillarse los dientes? | N/A | d5201 | d5201 | d5201 | d5201 | d5201 | d5201 |
| A.7.3.78 ¿... avisar que quiere ir al baño a orinar y hacerlo de manera adecuada? | N/A | N/A | N/A | d5300 | d5300 | d5300 | d5300 |
| A.7.3.79 ¿... avisar que quiere ir al baño a defecar y hacerlo de manera adecuada? | N/A | N/A | N/A | d5301 | d5301 | d5301 | d5301 |
| A.7.3.80 ¿... cuidar del periodo menstrual y anticipar higiene y uso de productos específicos? | N/A | N/A | N/A | N/A | N/A | d5302 | d5302 |
| A.7.3.81 ¿... vestirse? | N/A | N/A | d540 | d540 | d540 | d540 | d540 |
| A.7.3.82 ¿... comer? | d550 | d550 | d550 | d550 | d550 | d550 | d550 |
| A.7.3.83 ¿... avisar que tiene hambre, ya sea llorando o mediante alguna otra forma de comunicación? | d5500 | N/A | N/A | N/A | N/A | N/A | N/A |
| A.7.3.84 ¿... avisar que tiene sed o que quiere tomar líquidos, ya sea con llanto u otra actitud o mediante otra forma de comunicación? | N/A | d5600 | d5600 | d5600 | d5600 | d5600 | d5600 |
| A.7.3.85 ¿... succionar bien el pecho materno? | d5601 | d5601 | N/A | N/A | N/A | N/A | N/A |
| A.7.3.86 ¿... succionar bien el biberón? | d5602 | d5602 | d5602 | N/A | N/A | N/A | N/A |
| A.7.3.87 ¿... cuidar de su salud, como hacer ejercicio o comer saludablemente? | N/A | N/A | N/A | N/A | N/A | d570 | d570 |
| A.7.3.88 ¿... evitar riesgos que le puedan provocar lesiones físicas, como manipular fuego? | N/A | N/A | N/A | N/A | N/A | d571 | d571 |
| A.7.3.89 ¿... comprar por sí solo en un establecimiento? | N/A | N/A | N/A | N/A | N/A | d6200 | d6200 |
| A.7.3.90 ¿... recolectar recursos para la vida diaria, como leña, frutas, etc.? | N/A | N/A | N/A | N/A | N/A | d6201 | d6201 |
| A.7.3.91 ¿... preparar comidas sencillas para sí mismo o para alguien más? | N/A | N/A | N/A | N/A | N/A | d630 | d630 |
| A.7.3.92 ¿... realizar de manera rutinaria actividades para ordenar o limpiar su casa? | N/A | N/A | N/A | N/A | N/A | d640 | d640 |
| A.7.3.93 ¿... ayudar de manera rutinaria actividades para ordenar o limpiar su casa? | N/A | N/A | N/A | d6406 | d6406 | d6406 | d6406 |
| A.7.3.94 ¿... ayudar a otros miembros de su familia en actividades escolares, de higiene o a desplazarse fuera o dentro de casa? | N/A | N/A | N/A | d660 | d660 | d660 | d660 |
| A.7.3.95 ¿... demostrar aprecio y consideración a los sentimientos de otras personas? | N/A | N/A | d710 | d710 | d710 | d710 | d710 |
| A.7.3.96 ¿... regular su conducta en función del contexto o entorno social en donde se encuentran? | N/A | N/A | N/A | d7102 | d7102 | d7102 | d7102 |
| A.7.3.97 ¿... comprender y reaccionar adecuadamente a los comportamientos no verbales, tales como expresiones faciales o lenguaje corporal de las demás personas? | N/A | N/A | N/A | d7104 | d7104 | d7104 | d7104 |
| A.7.3.98 ¿... interactuar físicamente con las demás personas? Por ejemplo, ¿cómo da y recibe una muestra de afecto tales como un abrazo? | N/A | N/A | d7105 | d7105 | d7105 | d7105 | d7105 |
| A.7.3.99 ¿... establecer relaciones (interactuar) con las demás personas? | N/A | N/A | N/A | N/A | d7200 | d7200 | d7200 |
| A.7.3.100¿...regular sus impulsos o emociones en el contexto en los que se desenvuelve? | N/A | N/A | N/A | N/A | d7202 | d7202 | d7202 |
| A.7.3.101 ¿...regular su conducta en ambientes formales como el trabajo? | N/A | N/A | N/A | N/A | N/A | N/A | d740 |
| A.7.3.102 ¿... relacionarse con las demás personas fuera de su círculo familiar? | N/A | N/A | N/A | d750 | d750 | d750 | d750 |
| A.7.3.103 ¿... relacionarse con las personas de su familia? | N/A | N/A | N/A | d760 | d760 | d760 | d760 |
| A.7.3.104 ¿... relacionarse de forma íntima/amorosa/sexual con otras personas? | N/A | N/A | N/A | N/A | N/A | d770 | d770 |
| A.7.3.105 ¿... aprender o desarrollar habilidades en casa, terapia, guardería, etc.? | d810 | d810 | d810 | d810 | d810 | d810 | d810 |
| A.7.3.106 ¿... ingresar o incorporarse a la escuela? | N/A | N/A | N/A | d8150 | N/A | N/A | N/A |
| A.7.3.107 ¿... permanecer durante el año/ciclo escolar? | N/A | N/A | N/A | d8151 | N/A | N/A | N/A |
| A.7.3.108 ¿... avanzar/aprender en el año/ciclo escolar? | N/A | N/A | N/A | d8152 | N/A | N/A | N/A |
| A.7.3.109 ¿...terminar el año escolar, en educación preescolar o alguno de sus niveles? | N/A | N/A | N/A | d8153 | N/A | N/A | N/A |
| A.7.3.110 ¿... ingresar al nivel inicial como guarderías o maternal? | d8158 | d8158 | d8158 | N/A | N/A | N/A | N/A |
| A.7.3.111 ¿... participar o integrarse a la vida preescolar y actividades relacionadas como excursiones y celebraciones? | N/A | N/A | N/A | d816 | N/A | N/A | N/A |
| A.7.3.112 ¿... ingresar o incorporarse a la escuela? | N/A | N/A | N/A | N/A | d8200 | d8200 | d8200 |
| A.7.3.113 ¿... permanecer durante el año/ciclo escolar? | N/A | N/A | N/A | N/A | d8201 | d8201 | d8201 |
| A.7.3.114 ¿... avanzar/aprender en el año/ciclo? | N/A | N/A | N/A | N/A | d8202 | d8202 | d8202 |
| A.7.3.115 ¿... concluir el año/ciclo escolar? | N/A | N/A | N/A | N/A | d8203 | d8203 | d8203 |
| A.7.3.116 ¿... participar o integrarse a Centro de Atención Múltiple (CAM) o institución que brinde capacitación laboral? | N/A | N/A | N/A | N/A | N/A | N/A | d825 |
| A.7.3.117 ¿... participar en excursiones o celebraciones relacionadas con la escuela? | N/A | N/A | N/A | N/A | d835 | d835 | d835 |
| A.7.3.118 ¿... participar en prácticas laborales o integrarse en programas de inclusión laboral? | N/A | N/A | N/A | N/A | N/A | N/A | d840 |
| A.7.3.119 ¿... participar o integrarse a las actividades que implican la inclusión laboral como organizar actividades, buscar y conseguir trabajo, cumplir las obligaciones del trabajo, ser puntual, supervisar a otros trabajadores o ser supervisado y cumplir las obligaciones solo o en grupo, SIN remuneración económica? | N/A | N/A | N/A | N/A | N/A | N/A | d855 |
| A.7.3.120 ¿... realizar actividades que impliquen el uso de dinero, por ejemplo: comprar o ahorrar? | N/A | N/A | N/A | N/A | d860 | d860 | d860 |
| A.7.3.121 ¿... para jugar, convivir o integrarse con otros niños? | d880 | d880 | d880 | d880 | d880 | d880 | d880 |
| A.7.3.122 ¿... jugar solo? | N/A | N/A | d8800 | d8800 | d8800 | d8800 | d8800 |
| A.7.3.123 ¿... observar el juego de los demás sin involucrarse? | N/A | N/A | d8801 | d8801 | d8801 | d8801 | d8801 |
| A.7.3.124 ¿... jugar en un mismo espacio, bajo la misma u otra dinámica, pero sin involucrarse con los demás? Por ejemplo, cuando acompaña a su hermano/a a un partido de fut pero no es parte del equipo. | d8802 | d8802 | d8802 | d8802 | d8802 | N/A | N/A |
| A.7.3.125 ¿... jugar con otras niñas y niños, haciendo uso de juguetes, materiales o juegos que ellos creen u organicen? | N/A | d8803 | d8803 | d8803 | d8803 | N/A | N/A |
| A.7.3.126 ¿... participar en un equipo deportivo o algún club de teatro o lectura? | N/A | N/A | N/A | N/A | N/A | d910 | d910 |
| A.7.3.127 ¿... participar en cualquier actividad recreativa o de ocio? | d920 | d920 | d920 | d920 | d920 | d920 | d920 |
| A.7.3.128 ¿... participar en actividades de su iglesia o religión? | N/A | N/A | N/A | N/A | N/A | N/A | d930 |
Apéndice B. Sobre la identificación de las barreras en los factores ambientales
En este apartado, se toma como base dos instrumentos para identificar si, desde la experiencia de la persona solicitante, los factores que se cuestionan fungen como barreras y en qué nivel: leve, moderado, grave, completo. A la par, para la conformación de la ponderación total de este componente, desde la información sociodemográfica, se enlazará la localidad declarada por la persona solicitante del CEDis para vincularlo con el Índice de Calidad del Entorno (ICE).
B.1. Para este componente, las tres partes aportan un peso equitativo proporcional, de tal manera que se consideran:
a) Inventario de Factores Ambientales del Hospital Craig (CHIEF, por sus siglas en inglés)
b) Encuesta Modelo de Discapacidad (extracto, EMD)
c) Índice de Calidad del Entorno (ICE)
B.2. La valoración del componente de factores ambientales, se realiza mediante la identificación de barreras por dos vías: 1) Aspectos valorados a partir de la experiencia de vida de la persona, como la posesión y uso de ayudas técnicas, principales necesidades de apoyo, así como la identificación e intensidad de las barreras experimentadas en su entorno de manera cotidiana, y 2) mediante el aprovechamiento de la información estadística e indicadores disponibles por la cual sea caracterizada la circunscripción del domicilio geográfico donde la persona manifiesta habitar, para ello el CONAPO ha diseñado el indicador ICE.
B.2.1. Aspectos valorados a partir de la experiencia de vida de la persona y su entorno
Los ítems que integran la valoración de estos aspectos están basados en los siguientes instrumentos: la EMD de la OMS, y el CHIEF. De estas herramientas se aprovecha su probada validez para conocer, la experiencia de vida de las personas y cómo el entorno puede ser favorecedor o limitante, la ponderación del efecto de las barreras en su vida diaria, así como identificar algunos facilitadores como, por ejemplo, sus ayudas técnicas.
La EMD de la OMS, con base en la CIF y tiene entre otros objetivos: "Proporcionar información detallada y matizada sobre la vida de las personas con discapacidad."
B.2.1.1. Si bien la EMD está diseñada para población en general, permite contar con información sobre la población en distintos aspectos. Para el SIDIS se seleccionaron preguntas que abordan acerca de la necesidad y el uso de ayuda personal y ayudas técnicas.
B.2.1.2. El CHIEF, fue creado por Whiteneck y colaboradores en el 2001 con la finalidad de medir de forma objetiva los factores ambientales que restringen la participación de las personas con discapacidad. Este cuestionario constituye el primer instrumento que evaluó con qué frecuencia y magnitud las personas mayores de 18 años encontraron barreras ambientales en su vida diaria.
B.2.1.3. La frecuencia se mide mediante una escala en formato Likert de cero a cuatro (0=nunca, 1=menos que mensualmente, 2=mensualmente, 3=semanalmente, 4=diariamente) y la magnitud de cero a dos (0=ningún problema, la barrera nunca ha sido experimentada, 1=problema pequeño, 2=gran problema). Al finalizar, se hace un análisis del impacto total de la barrera a través del producto de la frecuencia por la magnitud, donde a mayor puntuación mayor es el impacto de la barrera ambiental.
Se toma la base de este mismo instrumento para la identificación de las barreras en las personas menores de edad.
B.2.2. Valoración mediante el aprovechamiento de la información estadística e indicadores disponibles
B.2.2.1. El ICE es una medida-resumen desarrollada por el CONAPO que permite identificar mediante una inferencia estadística la intensidad de la barrera que representa la localidad de residencia de la persona, basado en datos de tres fuentes de información geoestadística: el índice de marginación, el índice de equipamiento urbano y la condición de ubicación geográfica de dicha localidad.
B.2.2.2. A través del uso del ICE es posible, por ejemplo, valorar la manera en que una pequeña localidad y de difícil acceso, representa un grado mayor de barrera, respecto a otra localidad de mayor tamaño y mejor disponibilidad de servicios como puede serlo la cabecera municipal o las capitales en las Entidades federativas.
B.3. Inventario de Factores Ambientales del Hospital Craig (CHIEF)
B.3.1. Se debe seleccionar un favor para la frecuencia:
Tabla 3. Respuestas de Frecuencia del CHIEF
| A diario (4) |
| Semanalmente (3) |
| Mensualmente (2) |
| Menos de una vez al mes (1) |
| Nunca (0) |
| No aplica |
y para la magnitud del problema
Tabla 4. Respuestas de Magnitud del problema del CHIEF
| Problema pequeño (1) |
| Problema grande (2) |
B.3.2 Cuestionario. Cuando te has encontrado este problema ¿ha sido un problema grande o pequeño?
Tabla 5. Cuestionario. Cuando te has encontrado este problema
| Num | Pregunta | Frecuencia en que se presenta la dificultad | Cuando te has encontrado este problema ¿ha sido un problema grande o pequeño? |
| B.3.2.1 | En los últimos meses ¿con qué frecuencia supone un problema para ti la disponibilidad de un medio de transporte? | | |
| B.3.2.2 | En los últimos meses ¿con qué frecuencia es difícil hacer lo que quieres o necesitas hacer debido a factores naturales como la temperatura, el terreno o el clima? | | |
| B.3.2.3 | En los últimos meses ¿con qué frecuencia es difícil hacer lo que quieres o necesitas hacer debido a otros aspectos de tu entorno como la iluminación, el ruido o la aglomeración de muchas personas, etc.? | | |
| B.3.2.4 | En los últimos meses ¿con qué frecuencia no puedes acceder a la información que quieres o necesitas en un formato que puedas utilizar o entender? | | |
| B.3.2.5 | En los últimos meses ¿con qué frecuencia es difícil para ti acceder a servicios de salud o médicos? | | |
| B.3.2.6 | En los últimos meses ¿con qué frecuencia necesitas la ayuda de otra persona en tu casa, pero no puedes obtenerla fácilmente? | | |
| B.3.2.7 | En los últimos meses, ¿con qué frecuencia necesitas la ayuda de otra persona en la escuela o en el trabajo, pero no puedes obtenerla fácilmente? | | |
| B.3.2.8 | En los últimos meses ¿con qué frecuencia las actitudes de otras personas hacia ti son un problema en casa? | | |
| B.3.2.9 | En los últimos meses ¿con qué frecuencia las actitudes de otras personas hacia ti son un problema en la escuela/facultad o en el trabajo? | | |
| B.3.2.10 | En los últimos meses, ¿con qué frecuencia experimentas prejuicios o discriminación? | | |
| B.3.2.11 | En los últimos meses, ¿con qué frecuencia las políticas de las empresas u organizaciones te causan problemas o dificultades? | | |
| B.3.2.12 | En los últimos meses, ¿con qué frecuencia las políticas gubernamentales te dificultan hacer lo que quieres o necesitas hacer? | | |
B.3.3 Extracto de la Encuesta Modelo sobre Discapacidad (EMD)
Tabla 6. Respuestas Encuesta Modelo sobre Discapacidad
| No para nada |
| Muy pocas veces/en algunas actividades |
| Ocasionalmente/en distintas actividades |
| Frecuentemente/en la mayoría de las actividades |
| Sí completamente |
| No responde/No aplica |
B.3.3.1. ¿Tiene usted alguien que lo ayuda con sus actividades diarias dentro o fuera de casa?
B.3.3.2. ¿Cree que necesitaría ayuda adicional para realizar sus actividades diarias dentro o fuera de casa?
B.3.3.3. ¿Cree que necesitaría alguien que lo ayude?
B.3.3.4. ¿Puede tomar sus propias decisiones en relación con su vida diaria? Por ejemplo, a dónde ir, qué hacer, qué comer.
B.3.3.5. ¿Siente que las demás personas lo respetan? Por ejemplo, ¿siente que lo valoran como persona y que escuchan lo que tiene que decir?
B.3.3.6. ¿Utiliza actualmente alguna de estas ayudas técnicas?
1) Ninguno
2) Bastones o palos
3) Muletas (axilares o codo)
4) Órtesis para miembro inferior, miembro superior o columna vertebral
5) Cojines de alivio de presión
6) Prótesis, miembro inferior
7) Andadores de ruedas
8) Bipedestador (ajustable)
9) Calzado terapéutico; diabético, neuropático, ortopédico
10) Triciclos
11) Andadores
12) Silla de ruedas
13) Gafas, anteojos o lentes para: Baja visión, corta distancia, larga distancia, filtros y protección
14) Bastón blanco
15) Audífonos
16) Otros
B.3.3.7. ¿Usted piensa que necesitaría otras ayudas técnicas? ¿Cuáles?
1) Ninguno
2) Bastones o palos
3) Muletas (axilares o codo)
4) Órtesis para miembro inferior, miembro superior o columna vertebral
5) Cojines de alivio de presión
6) Prótesis, miembro inferior
7) Andadores de ruedas
8) Bipedestador (ajustable)
9) Calzado terapéutico; diabético, neuropático, ortopédico
10) Triciclos
11) Andadores
12) Silla de ruedas
13) Gafas, anteojos o lentes para: Baja visión, corta distancia, larga distancia, filtros y protección
14) Bastón blanco
15) Audífonos
16) Otros
Apéndice C. Sobre la identificación de las deficiencias en las funciones y estructuras corporales
C.1. Respecto al componente de funciones y estructuras corporales, al igual que la condición de salud, es de uso exclusivo de las personas profesionales de la medicina o profesional de la salud, quienes basan su identificación y calificación en los elementos puntuales que contengan las valoraciones médico-clínicas previas, su experiencia y sapiencia y la identificación del o los dominios que se encuentran con afectación.
C.2. No es obligatorio que todos los dominios contengan un calificador, pero sí es muy importante que pueda ampliar la información más allá de la correlación directa con la condición de salud; por ejemplo, una condición de ceguera no limita que se pueda reportar deficiencias en funciones digestivas o del dolor.
C.3. Lo anterior, es útil para definir qué dominio o dominios están afectados y en qué grado; no será obligado que se califique todos los dominios, pero sí los más destacables de acuerdo con el criterio médico. En esta sección debe tomarse en cuenta como orientativos, los dominios identificados como afectados en el cuestionario utilizado en los componentes de actividad y participación, ya que este instrumento puede proporcionar aspectos que no se manifestaron inicialmente o que incluso pueden no estar relacionados a la condición de salud expresada por la persona solicitante. Además de las categorías del dominio inicial a segundo nivel, se puede registrar hasta un máximo de 5 dominios adicionales que no hayan formado parte de la selección preestablecida.
C.4. Este componente se construyó a partir de las recomendaciones y base metodológica del uso de la CIF y sus conjuntos básicos (Bickenbach, et al. 2012), el documento de OMS titulado "How to use the ICF" (WHO, 2013) y el anexo 9 de la misma Clasificación. Esta serie de códigos son los sugeridos como requerimientos mínimos y óptimos, para los sistemas o estudios de información de la Salud, asimismo se incluyeron algunos dominios a partir de las pruebas en campo de la primera versión del SIDIS y la aportación de expertos en el tema. Además, en caso de que no esté una categoría en el cual desee reportar información es posible agregarlo directamente, con hasta 5 espacios a texto libre para su registro.
C.5. Para la ponderación del componente de funciones y estructuras corporales, se consideró un crecimiento exponencial, en donde a los calificadores de cada categoría se les asignó un valor de acuerdo con su grado. Tanto funciones como estructuras corporales aportan un puntaje de 20 respectivamente al resultado global de la herramienta que contiene el SIDIS, siendo una aportación máxima de 40 en la interacción completa de los componentes.
Tabla 7. Calificadores CIF
| Calificador CIF | Valor |
| 0 - NO hay deficiencia | 0 |
| 1- Deficiencia LIGERA | 0 |
| 2- Deficiencia MODERADA | 1 |
| 3 - Deficiencia GRAVE | 4 |
| 4 - Deficiencia COMPLETA | 10 |
| 8 - Sin especificar | .5 |
| 9 - No Aplicable | 0 |
Tabla7. Cuadro de los valores por calificador en cada categoría de funciones y estructuras corporales, así como su contribución máxima en ese componente.
Figura 5. Determinación exponencial del aporte por calificador CIF.
Figura 5. Gráfica para la corroboración de la determinación exponencial del aporte por calificador CIF en cada categoría de funciones y estructuras corporales.
Apéndice D. De la ponderación de los componentes de la CIF
D.1. Además de la condición de salud y las valoraciones médico-clínicas previas para la identificación de las deficiencias en funciones y estructuras corporales, se consideran integralmente todos los aspectos de los componentes de la CIF y de la CIF-IA para determinar la discapacidad: limitación en la actividad y restricción en la participación, así como los factores ambientales que fungen como barreras.
D.2. En el componente de funciones corporales, se tienen previstas 32 categorías preseleccionadas a segundo nivel y se cuenta con cinco espacios adicionales para reportar a texto libre, en caso de que el dominio que quiere reportar quien evalúe no se encuentre disponible. Lo anterior se respalda con la siguiente fórmula:
. Equivale a 10 cada una y se consideran dos para sumar el máximo en ese componente que se integrará a la valoración.
. Equivale a 4 cada una y se consideran tres para sumar el máximo en ese componente que se integrará a la valoración.
. Equivale a 1 y se consideran 6 para sumar el máximo en ese componente que se integrará a la valoración.
. Equivale a 0 y no tiene límite de informe.
. Equivale a 0.5 y se consideran 4 para sumar el máximo en ese componente que se integrará a la valoración. D.3. Para estructuras corporales es similar al punto anterior. Se cuenta con 20 categorías preseleccionadas a segundo nivel, de igual manera con cinco espacios a texto libre en caso de que el evaluador no identifique lo que quiere reportar en la lista prevista. Lo anterior se respalda con la siguiente fórmula:
. Equivale a 10 cada una y se consideran dos para sumar el máximo en ese componente que se integrará a la valoración.
Equivale a 4 cada una y se consideran tres para sumar el máximo en ese componente que se integrará a la valoración.
. Equivale a 1 y se consideran 6 para sumar el máximo en ese componente que se integrará a la valoración.
. Equivale a 0 y no tiene límite de informe.
. Equivale a 0.5 y se consideran 4 para sumar el máximo en ese componente que se integrará a la valoración. D.4. Para el componente de actividad y participación en mayores de 18 años, la valoración será a través del WHO-DAS 2.0 (36 ítems) ya que es la más detallada y permite a los usuarios generar puntuaciones para los seis dominios de funcionamiento y calcular una puntuación general. Se tomó la sintaxis de ese instrumento con los seis dominios correspondientes. Será la versión administrada por el entrevistador. Para la persona solicitante entre 0-17 años de edad se utiliza el CAPIA de acuerdo al rango de edad. El porcentaje máximo en la identificación de dificultades por dominio será de 40/100 en la interacción completa. Cabe mencionar que el resultado del WHODAS 2.0 es de 0-100 con el cual se determina el factor de discapacidad. Para el caso del CAPIA de identifica el nivel de limitación en la actividad y restricción en la participación en una medida de 0-100.
D.5. Para los factores ambientales, se identifican, califican y suman las barreras respectivas que están presente en la persona que está siendo evaluada, esto se determina con tres instrumentos: la EMD (extracto), el CHIEF y el ICE.
. El resultado equivale a la parte proporcional con 33.3/100 sobre su aporte de 20.
El resultado equivale a la parte proporcional con 33.3/100 sobre su aporte de 20.
El resultado equivale a la parte proporcional con 33.3/100 sobre su aporte de 20. ______________________________