

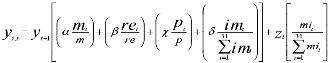
![]() | Recurso distribuido en el estado i, en el periodo t (2024). |
![]() | Valor base (gasto en infraestructura educativa para educación básica, 2023). |
![]() | Matrícula pública de educación básica y educación especial del estado i. |
![]() | Matrícula pública de educación básica y educación especial a nivel nacional (considerando a la Ciudad de México-CDMX-). |
![]() | Coeficiente de Matrícula. |
![]() | Población de 6 a 14 años de edad que no asiste a la escuela del estado i. |
![]() | Población de 6 a 14 años de edad que no asiste a la escuela a nivel nacional (considerando a la CDMX). |
![]() | Coeficiente de inasistencia escolar. |
![]() | Crecimiento de la población 5 a 14 años de edad del estado i. |
![]() | Crecimiento de la población 5 a 14 años de edad nacional (considerando a la CDMX). |
![]() | Coeficiente de Crecimiento Poblacional. |
![]() | Índice de marginación del estado i. |
![]() | Coeficiente de Grado de Marginación. |
![]() | Valor incremento presupuestal en el periodo t. |
![]() | Índice de migración interestatal de 3 a 15 años de edad del estado i. |
![]() | Coeficiente de Migración. |
![]() | Ponderadores de Matrícula, Inasistencia Escolar, Crecimiento Poblacional y Grado de Marginación respectivamente. |
| Matrícula | 42.5% |
| Inasistencia escolar | 25.0% |
| Crecimiento Poblacional | 7.5% |
| Grado de Marginación | 25.0% |
| Total | 100.0% |

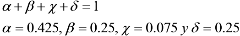
![]() | Son los recursos del FAM de infraestructura educativa que le corresponden a la entidad federativa j (j = 1,2,..., 32). |
![]() | Es la distribución relativa de la matrícula de educación media superior, al inicio de cursos del ciclo lectivo 2022-2023 de la entidad federativa j (j = 1,2,..., 32). |

![]() | Es la distribución relativa de la matrícula de educación media superior, al inicio de cursos del ciclo lectivo 2022-2023 de la entidad federativa j (j = 1,2,..., 32). |
![]() | Es la matrícula de educación media superior, al inicio de cursos del ciclo lectivo 2022-2023 de la entidad federativa j (j = 1,2,..., 32). |

![]() | Porcentaje de recursos por tipo de IES coordinadas por la SES. |
![]() | Porcentaje de recursos para proyectos estratégicos= 10% |
![]() | Matrícula de Educación Superior por tipo de IES coordinada por la SES, del ciclo 2020-2021. |
![]() | Matrícula Total de Educación Superior de las IES coordinadas por la SES, del ciclo 2020-2021. |
![]() | Factor de ajuste por proyectos estratégicos | ![]() |
![]() | Es el valor absoluto, del mayor decremento de matrícula por tipo de IES en el ciclo 2020-2021, respecto al 2019-2020. |
![]() | Factor de ajuste para disminución de brechas | ![]() | 1 si el tipo de IES presentó la mayor disminución en la matrícula del ciclo 2020-2021, respecto al ciclo 2019-2020. -1 si el tipo de IES presentó la menor disminución en la matrícula del ciclo 2020-2021, respecto al ciclo 2019-2020. 0 En otros casos. |

![]() | Porcentaje final de recursos por tipo de IES coordinadas por la SES. |
![]() | Porcentaje de recursos por tipo de IES coordinadas por la SES. |
![]() | Es la diferencia entre el porcentaje de recursos por tipo de IES coordinadas por la SES y el porcentaje de recursos por tipo de IES que integró la UR coordinadora del tipo de IES. |

![]() | Porcentaje final de recursos para proyectos estratégicos |
![]() | Porcentaje de recursos para proyectos estratégicos= 10% |
![]() | Es la diferencia entre el porcentaje de recursos por tipo de IES coordinadas por la SES y el porcentaje de recursos por tipo de IES que integró la UR coordinadora del tipo de IES. |
| Concepto | Distribución de recursos del FAM 2024 | |
| Porcentajes | Monto (Pesos)* | |
| Total | 100.000000000% | 6,270,236,889.00 |
| Proyectos Estratégicos | 11.293687900% | 708,140,985.00 |
| UPES, UPEAS y UUII | 45.000000000% | 2,821,606,599.00 |
| Universidades Tecnológicas y Universidades Politécnicas | 17.000000000% | 1,065,940,271.00 |
| Normales Públicas | 2.706312110% | 169,692,180.00 |
| Tecnológico Nacional de México | 21.000000000% | 1,316,749,747.00 |
| Unidades Académicas de la UPN | 3.000000000% | 188,107,107.00 |
| n: | clave de la Entidad Federativa |
| X1n: | Suma de recursos de los proyectos ESTRATÉGICOS en la Entidad Federativa n |
| X2n: | Suma de recursos de los proyectos de las UPES, UPEAS y UUII en la Entidad Federativa n |
| X3n: | Suma de recursos de los proyectos de las Universidades Tecnológicas y Universidades politécnicas en la Entidad Federativa n |
| X4n: | Suma de recursos de los proyectos de los Institutos Tecnológicos de Tecnológico Nacional de México en la Entidad Federativa n |
| X5n: | Suma de recursos de los proyectos de las Normales Públicas en la Entidad Federativa n |
| X6n: | Suma de recursos de los proyectos de las Unidades Académicas de la UPN en la Entidad Federativa n |
| Instituciones por apoyar con recursos de proyectos estratégicos | ||
| Entidad Federativa | Nombre de la Institución de Educación Superior (IES) | Total asignado por IES (Pesos) |
| Aguascalientes | Universidad Intercultural para la Igualdad | 70,000,000.00 |
| Guerrero | Universidad Autónoma de Guerrero | 113,290,332.00 |
| Guerrero | Universidad Tecnológica y Politécnica de Coyuca de Benítez | 65,794,947.00 |
| Guerrero | Universidad Tecnológica y Politécnica de la Sierra de Guerrero | 65,794,947.00 |
| Jalisco | Universidad Intercultural de Jalisco | 20,000,000.00 |
| México | Escuela Normal de Educación Física General "Ignacio M. Beteta" | 22,073,441.00 |
| México | Universidad Intercultural del Estado de México | 36,457,376.00 |
| Michoacán de Ocampo | Universidad Intercultural Tecnológica y Politécnica de Aquila | 59,673,161.00 |
| Oaxaca | Afro Universidad Politécnica Intercultural | 52,528,390.00 |
| Oaxaca | Universidad Politécnica y Tecnológica del Istmo de Tehuantepec | 52,528,391.00 |
| Puebla | Benemérita Universidad Autónoma de Puebla | 150,000,000.00 |
| Total | 708,140,985.00 | |
| Entidad Federativa | Monto Asignado a UUII y UPES, UPEAS (Pesos) |
| Aguascalientes | 28,088,761.00 |
| Baja California | 91,144,733.00 |
| Baja California Sur | 33,979,022.00 |
| Campeche | 134,004,910.00 |
| Coahuila de Zaragoza | 39,515,969.00 |
| Colima | 84,359,970.00 |
| Chiapas | 217,599,107.00 |
| Chihuahua | 61,865,255.00 |
| Durango | 40,988,915.00 |
| Guanajuato | 55,909,700.00 |
| Guerrero | 66,733,585.00 |
| Hidalgo | 62,517,024.00 |
| Jalisco | 91,000,000.00 |
| México | 232,243,042.00 |
| Michoacán de Ocampo | 125,658,727.00 |
| Morelos | 32,487,873.00 |
| Nayarit | 41,190,129.00 |
| Nuevo León | 43,451,792.00 |
| Oaxaca | 262,350,475.00 |
| Puebla | 174,029,057.00 |
| Querétaro | 34,677,411.00 |
| Quintana Roo | 101,257,368.00 |
| San Luis Potosí | 58,476,596.00 |
| Sinaloa | 184,821,514.00 |
| Sonora | 164,340,909.00 |
| Tabasco | 111,672,752.00 |
| Tamaulipas | 32,118,587.00 |
| Tlaxcala | 75,482,531.00 |
| Veracruz de Ignacio de la Llave | 22,900,000.00 |
| Yucatán | 65,288,057.00 |
| Zacatecas | 51,452,828.00 |
| Total | 2,821,606,599.00 |
| Entidad Federativa | Monto Asignado a Universidades Tecnológicas y Politécnicas (Pesos) |
| Aguascalientes | 43,892,363.00 |
| Baja California | 53,154,096.00 |
| Baja California Sur | 48,270,333.00 |
| Campeche | 10,996,945.00 |
| Coahuila de Zaragoza | 12,710,988.00 |
| Colima | 1,407,947.00 |
| Chiapas | 63,989,189.00 |
| Chihuahua | 10,772,679.00 |
| Durango | 38,914,865.00 |
| Guanajuato | 54,105,219.00 |
| Guerrero | 52,647,363.00 |
| Hidalgo | 60,962,561.00 |
| Jalisco | 5,914,892.00 |
| México | 124,427,031.00 |
| Michoacán de Ocampo | 28,820,976.00 |
| Morelos | 27,505,676.00 |
| Nayarit | 130,487,641.00 |
| Nuevo León | 58,826,901.00 |
| Puebla | 18,868,380.00 |
| Querétaro | 23,530,994.00 |
| Quintana Roo | 17,808,722.00 |
| San Luis Potosí | 8,231,504.00 |
| Sinaloa | 47,959,054.00 |
| Sonora | 11,242,460.00 |
| Tabasco | 16,525,259.00 |
| Tamaulipas | 24,892,307.00 |
| Tlaxcala | 50,943,673.00 |
| Veracruz de Ignacio de la Llave | 6,433,475.00 |
| Yucatán | 7,001,277.00 |
| Zacatecas | 4,695,501.00 |
| Total | 1,065,940,271.00 |
| Entidad Federativa | Monto Asignado a Normales Públicas (Pesos) |
| Coahuila de Zaragoza | 5,448,566.00 |
| Chiapas | 30,728,829.00 |
| Durango | 43,378,830.00 |
| Michoacán de Ocampo | 30,410,000.00 |
| Nuevo León | 20,926,601.00 |
| Oaxaca | 11,731,341.00 |
| Zacatecas | 27,068,013.00 |
| Total | 169,692,180.00 |
| Entidad Federativa | Tecnológico Nacional de México (TecNM) (Pesos) |
| Aguascalientes | 43,150,000.00 |
| Baja California | 45,200,000.00 |
| Baja California Sur | 21,000,000.00 |
| Campeche | 84,602,288.00 |
| Coahuila de Zaragoza | 6,901,951.00 |
| Chiapas | 46,493,165.00 |
| Chihuahua | 28,000,000.00 |
| Durango | 36,400,000.00 |
| Guanajuato | 73,129,829.00 |
| Guerrero | 44,645,000.00 |
| Hidalgo | 37,700,000.00 |
| Jalisco | 8,279,959.00 |
| México | 24,732,000.00 |
| Michoacán de Ocampo | 34,601,107.00 |
| Nayarit | 35,650,000.00 |
| Nuevo León | 30,420,000.00 |
| Oaxaca | 282,155,070.00 |
| Querétaro | 39,000,000.00 |
| Quintana Roo | 42,900,000.00 |
| San Luis Potosí | 13,000,000.00 |
| Sinaloa | 70,150,000.00 |
| Sonora | 44,669,142.00 |
| Tabasco | 47,550,236.00 |
| Tamaulipas | 58,900,000.00 |
| Tlaxcala | 28,250,000.00 |
| Veracruz de Ignacio de la Llave | 80,450,000.00 |
| Yucatán | 8,820,000.00 |
| Total | 1,316,749,747.00 |
| Entidad Federativa | Unidades Académicas de la Universidad Pedagógica Nacional (UPN) (Pesos) |
| Aguascalientes | 5,317,949.00 |
| Baja California | 11,592,370.00 |
| Coahuila de Zaragoza | 21,833,700.00 |
| Colima | 5,193,007.00 |
| Guerrero | 17,797,005.00 |
| Jalisco | 33,982,782.00 |
| Morelos | 6,014,544.00 |
| Nayarit | 5,083,023.00 |
| Puebla | 19,834,909.00 |
| Querétaro | 5,634,572.00 |
| San Luis Potosí | 12,583,653.00 |
| Tabasco | 5,805,362.00 |
| Tamaulipas | 31,645,570.00 |
| Yucatán | 5,788,661.00 |
| Total | 188,107,107.00 |
| RAMO GENERAL 33: APORTACIONES FEDERALES PARA ENTIDADES FEDERATIVAS Y MUNICIPIOS Anexo 1 | |||||||||||||
| FONDO V. FONDO DE APORTACIONES MÚLTIPLES (FAM) | |||||||||||||
| V. ii INFRAESTRUCTURA EDUCATIVA BÁSICA 2024 | |||||||||||||
| (PESOS) | |||||||||||||
| ENTIDAD FEDERATIVA | ASIGNACIÓN ORIGINAL | ENERO | FEBRERO | MARZO | ABRIL | MAYO | JUNIO | JULIO | AGOSTO | SEPTIEMBRE | OCTUBRE | NOVIEMBRE | DICIEMBRE |
| Aguascalientes | 217,917,613 | 18,159,802 | 18,159,801 | 18,159,801 | 18,159,801 | 18,159,801 | 18,159,801 | 18,159,801 | 18,159,801 | 18,159,801 | 18,159,801 | 18,159,801 | 18,159,801 |
| Baja California | 358,991,285 | 29,915,941 | 29,915,941 | 29,915,941 | 29,915,941 | 29,915,941 | 29,915,940 | 29,915,940 | 29,915,940 | 29,915,940 | 29,915,940 | 29,915,940 | 29,915,940 |
| Baja California Sur | 174,317,328 | 14,526,444 | 14,526,444 | 14,526,444 | 14,526,444 | 14,526,444 | 14,526,444 | 14,526,444 | 14,526,444 | 14,526,444 | 14,526,444 | 14,526,444 | 14,526,444 |
| Campeche | 167,212,577 | 13,934,381 | 13,934,382 | 13,934,382 | 13,934,383 | 13,934,381 | 13,934,381 | 13,934,381 | 13,934,381 | 13,934,381 | 13,934,381 | 13,934,382 | 13,934,381 |
| Coahuila | 324,122,658 | 27,010,221 | 27,010,222 | 27,010,221 | 27,010,221 | 27,010,221 | 27,010,222 | 27,010,222 | 27,010,222 | 27,010,221 | 27,010,221 | 27,010,222 | 27,010,222 |
| Colima | 164,534,721 | 13,711,226 | 13,711,226 | 13,711,226 | 13,711,227 | 13,711,227 | 13,711,227 | 13,711,227 | 13,711,227 | 13,711,227 | 13,711,227 | 13,711,227 | 13,711,227 |
| Chiapas | 1,056,272,199 | 88,022,683 | 88,022,684 | 88,022,684 | 88,022,683 | 88,022,683 | 88,022,683 | 88,022,683 | 88,022,683 | 88,022,683 | 88,022,683 | 88,022,683 | 88,022,684 |
| Chihuahua | 375,724,660 | 31,310,389 | 31,310,389 | 31,310,389 | 31,310,389 | 31,310,388 | 31,310,388 | 31,310,388 | 31,310,388 | 31,310,388 | 31,310,388 | 31,310,388 | 31,310,388 |
| Ciudad de México | 546,293,299 | 45,524,441 | 45,524,441 | 45,524,441 | 45,524,441 | 45,524,441 | 45,524,442 | 45,524,442 | 45,524,442 | 45,524,442 | 45,524,442 | 45,524,442 | 45,524,442 |
| Durango | 233,464,656 | 19,455,388 | 19,455,388 | 19,455,388 | 19,455,388 | 19,455,388 | 19,455,388 | 19,455,388 | 19,455,388 | 19,455,388 | 19,455,388 | 19,455,388 | 19,455,388 |
| Guanajuato | 564,092,205 | 47,007,683 | 47,007,683 | 47,007,683 | 47,007,684 | 47,007,684 | 47,007,684 | 47,007,684 | 47,007,684 | 47,007,684 | 47,007,684 | 47,007,684 | 47,007,684 |
| Guerrero | 347,040,277 | 28,920,024 | 28,920,023 | 28,920,023 | 28,920,023 | 28,920,023 | 28,920,023 | 28,920,023 | 28,920,023 | 28,920,023 | 28,920,023 | 28,920,023 | 28,920,023 |
| Hidalgo | 289,133,491 | 24,094,457 | 24,094,457 | 24,094,457 | 24,094,457 | 24,094,457 | 24,094,458 | 24,094,458 | 24,094,458 | 24,094,458 | 24,094,458 | 24,094,458 | 24,094,458 |
| Jalisco | 697,577,958 | 58,131,496 | 58,131,496 | 58,131,497 | 58,131,497 | 58,131,496 | 58,131,497 | 58,131,497 | 58,131,496 | 58,131,497 | 58,131,496 | 58,131,496 | 58,131,497 |
| Estado de México | 1,165,209,916 | 97,100,827 | 97,100,827 | 97,100,827 | 97,100,827 | 97,100,826 | 97,100,826 | 97,100,826 | 97,100,826 | 97,100,825 | 97,100,826 | 97,100,826 | 97,100,827 |
| Michoacán | 473,739,398 | 39,478,284 | 39,478,284 | 39,478,283 | 39,478,283 | 39,478,283 | 39,478,283 | 39,478,283 | 39,478,283 | 39,478,283 | 39,478,283 | 39,478,283 | 39,478,283 |
| Morelos | 227,924,087 | 18,993,674 | 18,993,674 | 18,993,674 | 18,993,674 | 18,993,674 | 18,993,674 | 18,993,673 | 18,993,674 | 18,993,674 | 18,993,674 | 18,993,674 | 18,993,674 |
| Nayarit | 186,758,389 | 15,563,200 | 15,563,199 | 15,563,199 | 15,563,199 | 15,563,199 | 15,563,199 | 15,563,199 | 15,563,199 | 15,563,199 | 15,563,199 | 15,563,199 | 15,563,199 |
| Nuevo León | 816,397,282 | 68,033,106 | 68,033,106 | 68,033,107 | 68,033,107 | 68,033,107 | 68,033,107 | 68,033,107 | 68,033,107 | 68,033,107 | 68,033,107 | 68,033,107 | 68,033,107 |
| Oaxaca | 373,407,572 | 31,117,297 | 31,117,297 | 31,117,297 | 31,117,297 | 31,117,298 | 31,117,298 | 31,117,298 | 31,117,298 | 31,117,298 | 31,117,298 | 31,117,298 | 31,117,298 |
| Puebla | 579,376,362 | 48,281,363 | 48,281,363 | 48,281,364 | 48,281,363 | 48,281,364 | 48,281,363 | 48,281,364 | 48,281,364 | 48,281,364 | 48,281,364 | 48,281,364 | 48,281,362 |
| Querétaro | 314,918,575 | 26,243,214 | 26,243,214 | 26,243,215 | 26,243,214 | 26,243,215 | 26,243,215 | 26,243,215 | 26,243,215 | 26,243,215 | 26,243,215 | 26,243,215 | 26,243,213 |
| Quintana Roo | 408,132,112 | 34,011,009 | 34,011,010 | 34,011,010 | 34,011,010 | 34,011,010 | 34,011,009 | 34,011,009 | 34,011,009 | 34,011,009 | 34,011,009 | 34,011,009 | 34,011,009 |
| San Luis Potosí | 283,332,083 | 23,611,006 | 23,611,007 | 23,611,007 | 23,611,007 | 23,611,007 | 23,611,007 | 23,611,007 | 23,611,007 | 23,611,007 | 23,611,007 | 23,611,007 | 23,611,007 |
| Sinaloa | 299,839,812 | 24,986,651 | 24,986,651 | 24,986,651 | 24,986,651 | 24,986,651 | 24,986,651 | 24,986,651 | 24,986,651 | 24,986,651 | 24,986,651 | 24,986,651 | 24,986,651 |
| Sonora | 290,751,074 | 24,229,257 | 24,229,257 | 24,229,256 | 24,229,256 | 24,229,256 | 24,229,256 | 24,229,256 | 24,229,256 | 24,229,256 | 24,229,256 | 24,229,256 | 24,229,256 |
| Tabasco | 277,228,125 | 23,102,344 | 23,102,344 | 23,102,344 | 23,102,343 | 23,102,344 | 23,102,344 | 23,102,344 | 23,102,344 | 23,102,344 | 23,102,344 | 23,102,343 | 23,102,343 |
| Tamaulipas | 337,733,878 | 28,144,490 | 28,144,490 | 28,144,489 | 28,144,489 | 28,144,490 | 28,144,490 | 28,144,490 | 28,144,490 | 28,144,490 | 28,144,490 | 28,144,490 | 28,144,490 |
| Tlaxcala | 200,894,486 | 16,741,208 | 16,741,207 | 16,741,207 | 16,741,207 | 16,741,207 | 16,741,207 | 16,741,207 | 16,741,207 | 16,741,207 | 16,741,207 | 16,741,207 | 16,741,208 |
| Veracruz | 612,643,314 | 51,053,610 | 51,053,610 | 51,053,609 | 51,053,610 | 51,053,610 | 51,053,609 | 51,053,609 | 51,053,609 | 51,053,610 | 51,053,610 | 51,053,609 | 51,053,609 |
| Yucatán | 233,026,152 | 19,418,846 | 19,418,846 | 19,418,846 | 19,418,846 | 19,418,846 | 19,418,846 | 19,418,846 | 19,418,846 | 19,418,846 | 19,418,846 | 19,418,846 | 19,418,846 |
| Zacatecas | 231,121,643 | 19,260,137 | 19,260,136 | 19,260,137 | 19,260,137 | 19,260,137 | 19,260,137 | 19,260,137 | 19,260,137 | 19,260,137 | 19,260,137 | 19,260,137 | 19,260,137 |
| TOTAL | 12,829,129,187 | 1,069,094,099 | 1,069,094,099 | 1,069,094,099 | 1,069,094,099 | 1,069,094,099 | 1,069,094,099 | 1,069,094,099 | 1,069,094,099 | 1,069,094,099 | 1,069,094,099 | 1,069,094,099 | 1,069,094,098 |
| RAMO GENERAL 33: APORTACIONES FEDERALES PARA ENTIDADES FEDERATIVAS Y MUNICIPIOS Anexo 2 | |||||||||||||
| FONDO V. FONDO DE APORTACIONES MÚLTIPLES (FAM) | |||||||||||||
| V. iii a INFRAESTRUCTURA EDUCATIVA MEDIA SUPERIOR 2024 | |||||||||||||
| (PESOS) | |||||||||||||
| ENTIDAD FEDERATIVA | ASIGNACIÓN ORIGINAL | ENERO | FEBRERO | MARZO | ABRIL | MAYO | JUNIO | JULIO | AGOSTO | SEPTIEMBRE | OCTUBRE | NOVIEMBRE | DICIEMBRE |
| Aguascalientes | 9,049,497 | 754,124 | 754,124 | 754,124 | 754,125 | 754,125 | 754,125 | 754,125 | 754,125 | 754,125 | 754,125 | 754,125 | 754,125 |
| Baja California | 24,675,631 | 2,056,302 | 2,056,302 | 2,056,302 | 2,056,302 | 2,056,302 | 2,056,303 | 2,056,303 | 2,056,303 | 2,056,303 | 2,056,303 | 2,056,303 | 2,056,303 |
| Baja California Sur | 6,150,991 | 512,582 | 512,582 | 512,582 | 512,582 | 512,582 | 512,583 | 512,583 | 512,583 | 512,583 | 512,583 | 512,583 | 512,583 |
| Campeche | 7,632,650 | 636,055 | 636,055 | 636,054 | 636,054 | 636,054 | 636,054 | 636,054 | 636,054 | 636,054 | 636,054 | 636,054 | 636,054 |
| Coahuila | 15,910,002 | 1,325,833 | 1,325,833 | 1,325,833 | 1,325,833 | 1,325,833 | 1,325,833 | 1,325,834 | 1,325,834 | 1,325,834 | 1,325,834 | 1,325,834 | 1,325,834 |
| Colima | 6,371,604 | 530,967 | 530,967 | 530,967 | 530,967 | 530,967 | 530,967 | 530,967 | 530,967 | 530,967 | 530,967 | 530,967 | 530,967 |
| Chiapas | 54,105,349 | 4,508,779 | 4,508,779 | 4,508,779 | 4,508,779 | 4,508,779 | 4,508,780 | 4,508,779 | 4,508,779 | 4,508,779 | 4,508,779 | 4,508,779 | 4,508,779 |
| Chihuahua | 26,499,740 | 2,208,312 | 2,208,312 | 2,208,312 | 2,208,312 | 2,208,312 | 2,208,311 | 2,208,311 | 2,208,311 | 2,208,311 | 2,208,312 | 2,208,312 | 2,208,312 |
| Ciudad de México | 6,150,368 | 512,531 | 512,531 | 512,531 | 512,531 | 512,531 | 512,530 | 512,530 | 512,530 | 512,530 | 512,531 | 512,531 | 512,531 |
| Durango | 13,175,086 | 1,097,924 | 1,097,924 | 1,097,924 | 1,097,924 | 1,097,924 | 1,097,923 | 1,097,923 | 1,097,924 | 1,097,924 | 1,097,924 | 1,097,924 | 1,097,924 |
| Guanajuato | 45,001,945 | 3,750,162 | 3,750,162 | 3,750,162 | 3,750,162 | 3,750,162 | 3,750,162 | 3,750,162 | 3,750,163 | 3,750,162 | 3,750,162 | 3,750,162 | 3,750,162 |
| Guerrero | 32,383,378 | 2,698,615 | 2,698,615 | 2,698,615 | 2,698,615 | 2,698,615 | 2,698,615 | 2,698,615 | 2,698,615 | 2,698,614 | 2,698,614 | 2,698,615 | 2,698,615 |
| Hidalgo | 28,303,283 | 2,358,607 | 2,358,607 | 2,358,607 | 2,358,607 | 2,358,607 | 2,358,607 | 2,358,607 | 2,358,607 | 2,358,607 | 2,358,607 | 2,358,606 | 2,358,607 |
| Jalisco | 76,444,913 | 6,370,410 | 6,370,410 | 6,370,410 | 6,370,410 | 6,370,410 | 6,370,409 | 6,370,409 | 6,370,409 | 6,370,409 | 6,370,409 | 6,370,409 | 6,370,409 |
| Estado de México | 158,288,614 | 13,190,718 | 13,190,718 | 13,190,718 | 13,190,718 | 13,190,718 | 13,190,718 | 13,190,718 | 13,190,717 | 13,190,718 | 13,190,718 | 13,190,718 | 13,190,717 |
| Michoacán | 31,354,162 | 2,612,847 | 2,612,847 | 2,612,847 | 2,612,847 | 2,612,847 | 2,612,847 | 2,612,847 | 2,612,846 | 2,612,847 | 2,612,847 | 2,612,847 | 2,612,846 |
| Morelos | 9,665,220 | 805,435 | 805,435 | 805,435 | 805,435 | 805,435 | 805,435 | 805,435 | 805,435 | 805,435 | 805,435 | 805,435 | 805,435 |
| Nayarit | 9,023,634 | 751,969 | 751,969 | 751,969 | 751,970 | 751,970 | 751,970 | 751,970 | 751,970 | 751,970 | 751,969 | 751,969 | 751,969 |
| Nuevo León | 41,623,574 | 3,468,632 | 3,468,632 | 3,468,631 | 3,468,631 | 3,468,631 | 3,468,631 | 3,468,631 | 3,468,631 | 3,468,631 | 3,468,631 | 3,468,631 | 3,468,631 |
| Oaxaca | 27,190,246 | 2,265,854 | 2,265,854 | 2,265,854 | 2,265,853 | 2,265,853 | 2,265,854 | 2,265,854 | 2,265,854 | 2,265,854 | 2,265,854 | 2,265,854 | 2,265,854 |
| Puebla | 65,297,099 | 5,441,424 | 5,441,425 | 5,441,425 | 5,441,425 | 5,441,425 | 5,441,425 | 5,441,425 | 5,441,425 | 5,441,425 | 5,441,425 | 5,441,425 | 5,441,425 |
| Querétaro | 16,720,163 | 1,393,347 | 1,393,346 | 1,393,347 | 1,393,347 | 1,393,347 | 1,393,347 | 1,393,347 | 1,393,347 | 1,393,347 | 1,393,347 | 1,393,347 | 1,393,347 |
| Quintana Roo | 15,101,711 | 1,258,476 | 1,258,476 | 1,258,476 | 1,258,476 | 1,258,475 | 1,258,476 | 1,258,476 | 1,258,476 | 1,258,476 | 1,258,476 | 1,258,476 | 1,258,476 |
| San Luis Potosí | 13,941,311 | 1,161,776 | 1,161,776 | 1,161,775 | 1,161,776 | 1,161,776 | 1,161,776 | 1,161,776 | 1,161,776 | 1,161,776 | 1,161,776 | 1,161,776 | 1,161,776 |
| Sinaloa | 33,514,175 | 2,792,848 | 2,792,848 | 2,792,848 | 2,792,847 | 2,792,848 | 2,792,848 | 2,792,848 | 2,792,848 | 2,792,848 | 2,792,848 | 2,792,848 | 2,792,848 |
| Sonora | 20,381,779 | 1,698,481 | 1,698,481 | 1,698,482 | 1,698,482 | 1,698,482 | 1,698,482 | 1,698,482 | 1,698,482 | 1,698,482 | 1,698,481 | 1,698,481 | 1,698,481 |
| Tabasco | 27,970,805 | 2,330,901 | 2,330,901 | 2,330,901 | 2,330,901 | 2,330,901 | 2,330,900 | 2,330,900 | 2,330,900 | 2,330,900 | 2,330,900 | 2,330,900 | 2,330,900 |
| Tamaulipas | 13,527,194 | 1,127,266 | 1,127,266 | 1,127,267 | 1,127,266 | 1,127,266 | 1,127,266 | 1,127,266 | 1,127,266 | 1,127,266 | 1,127,266 | 1,127,266 | 1,127,267 |
| Tlaxcala | 12,184,820 | 1,015,402 | 1,015,402 | 1,015,402 | 1,015,402 | 1,015,402 | 1,015,402 | 1,015,402 | 1,015,402 | 1,015,402 | 1,015,402 | 1,015,401 | 1,015,399 |
| Veracruz | 64,220,520 | 5,351,710 | 5,351,710 | 5,351,710 | 5,351,710 | 5,351,710 | 5,351,710 | 5,351,710 | 5,351,710 | 5,351,710 | 5,351,710 | 5,351,710 | 5,351,710 |
| Yucatán | 19,797,840 | 1,649,820 | 1,649,820 | 1,649,820 | 1,649,820 | 1,649,820 | 1,649,820 | 1,649,820 | 1,649,820 | 1,649,820 | 1,649,820 | 1,649,820 | 1,649,820 |
| Zacatecas | 14,490,974 | 1,207,581 | 1,207,581 | 1,207,581 | 1,207,581 | 1,207,581 | 1,207,581 | 1,207,581 | 1,207,581 | 1,207,581 | 1,207,581 | 1,207,582 | 1,207,582 |
| TOTAL | 946,148,278 | 78,845,690 | 78,845,690 | 78,845,690 | 78,845,690 | 78,845,690 | 78,845,690 | 78,845,690 | 78,845,690 | 78,845,690 | 78,845,690 | 78,845,690 | 78,845,688 |
| RAMO 33: APORTACIONES FEDERALES PARA ENTIDADES FEDERATIVAS Y MUNICIPIOS Anexo 3 | |||||||||||||
| FONDO V. FONDO DE APORTACIONES MÚLTIPLES (FAM) | |||||||||||||
| V. iii b INFRAESTRUCTURA EDUCATIVA SUPERIOR 2024 | |||||||||||||
| (PESOS) | |||||||||||||
| ENTIDAD FEDERATIVA | ASIGNACIÓN ORIGINAL | ENERO | FEBRERO | MARZO | ABRIL | MAYO | JUNIO | JULIO | AGOSTO | SEPTIEMBRE | OCTUBRE | NOVIEMBRE | DICIEMBRE |
| Aguascalientes | 190,449,073 | 15,870,757 | 15,870,756 | 15,870,756 | 15,870,756 | 15,870,756 | 15,870,756 | 15,870,756 | 15,870,756 | 15,870,756 | 15,870,756 | 15,870,756 | 15,870,756 |
| Baja California | 201,091,199 | 16,757,599 | 16,757,600 | 16,757,600 | 16,757,600 | 16,757,600 | 16,757,600 | 16,757,600 | 16,757,600 | 16,757,600 | 16,757,600 | 16,757,600 | 16,757,600 |
| Baja California Sur | 103,249,355 | 8,604,112 | 8,604,113 | 8,604,113 | 8,604,113 | 8,604,113 | 8,604,113 | 8,604,113 | 8,604,113 | 8,604,113 | 8,604,113 | 8,604,113 | 8,604,113 |
| Campeche | 229,604,143 | 19,133,678 | 19,133,678 | 19,133,678 | 19,133,678 | 19,133,678 | 19,133,679 | 19,133,679 | 19,133,679 | 19,133,679 | 19,133,679 | 19,133,679 | 19,133,679 |
| Coahuila | 86,411,174 | 7,200,931 | 7,200,931 | 7,200,931 | 7,200,931 | 7,200,931 | 7,200,931 | 7,200,931 | 7,200,931 | 7,200,931 | 7,200,931 | 7,200,932 | 7,200,932 |
| Colima | 90,960,924 | 7,580,077 | 7,580,077 | 7,580,077 | 7,580,077 | 7,580,077 | 7,580,077 | 7,580,077 | 7,580,077 | 7,580,077 | 7,580,077 | 7,580,077 | 7,580,077 |
| Chiapas | 358,810,290 | 29,900,857 | 29,900,857 | 29,900,857 | 29,900,857 | 29,900,857 | 29,900,858 | 29,900,858 | 29,900,858 | 29,900,858 | 29,900,858 | 29,900,857 | 29,900,858 |
| Chihuahua | 100,637,934 | 8,386,494 | 8,386,494 | 8,386,494 | 8,386,494 | 8,386,494 | 8,386,495 | 8,386,495 | 8,386,495 | 8,386,495 | 8,386,495 | 8,386,495 | 8,386,494 |
| Durango | 159,682,610 | 13,306,885 | 13,306,885 | 13,306,884 | 13,306,884 | 13,306,884 | 13,306,884 | 13,306,884 | 13,306,884 | 13,306,884 | 13,306,884 | 13,306,884 | 13,306,884 |
| Guanajuato | 183,144,748 | 15,262,063 | 15,262,062 | 15,262,063 | 15,262,063 | 15,262,062 | 15,262,062 | 15,262,062 | 15,262,062 | 15,262,062 | 15,262,062 | 15,262,063 | 15,262,062 |
| Guerrero | 426,703,179 | 35,558,599 | 35,558,599 | 35,558,599 | 35,558,598 | 35,558,598 | 35,558,598 | 35,558,598 | 35,558,598 | 35,558,598 | 35,558,598 | 35,558,598 | 35,558,598 |
| Hidalgo | 161,179,585 | 13,431,633 | 13,431,632 | 13,431,632 | 13,431,632 | 13,431,632 | 13,431,632 | 13,431,632 | 13,431,632 | 13,431,632 | 13,431,632 | 13,431,632 | 13,431,632 |
| Jalisco | 159,177,633 | 13,264,802 | 13,264,802 | 13,264,803 | 13,264,803 | 13,264,803 | 13,264,803 | 13,264,803 | 13,264,803 | 13,264,803 | 13,264,802 | 13,264,803 | 13,264,803 |
| Estado de México | 439,932,890 | 36,661,075 | 36,661,075 | 36,661,074 | 36,661,074 | 36,661,074 | 36,661,074 | 36,661,074 | 36,661,074 | 36,661,074 | 36,661,074 | 36,661,074 | 36,661,074 |
| Michoacán | 279,163,971 | 23,263,665 | 23,263,665 | 23,263,665 | 23,263,664 | 23,263,664 | 23,263,664 | 23,263,664 | 23,263,664 | 23,263,664 | 23,263,664 | 23,263,664 | 23,263,664 |
| Morelos | 66,008,093 | 5,500,675 | 5,500,675 | 5,500,675 | 5,500,675 | 5,500,675 | 5,500,674 | 5,500,674 | 5,500,674 | 5,500,674 | 5,500,674 | 5,500,674 | 5,500,674 |
| Nayarit | 212,410,793 | 17,700,900 | 17,700,900 | 17,700,900 | 17,700,900 | 17,700,900 | 17,700,899 | 17,700,899 | 17,700,899 | 17,700,899 | 17,700,899 | 17,700,899 | 17,700,899 |
| Nuevo León | 153,625,294 | 12,802,108 | 12,802,107 | 12,802,108 | 12,802,107 | 12,802,108 | 12,802,108 | 12,802,108 | 12,802,108 | 12,802,108 | 12,802,108 | 12,802,108 | 12,802,108 |
| Oaxaca | 661,293,667 | 55,107,805 | 55,107,805 | 55,107,805 | 55,107,806 | 55,107,806 | 55,107,806 | 55,107,806 | 55,107,806 | 55,107,806 | 55,107,806 | 55,107,805 | 55,107,805 |
| Puebla | 362,732,346 | 30,227,695 | 30,227,695 | 30,227,695 | 30,227,696 | 30,227,695 | 30,227,696 | 30,227,696 | 30,227,696 | 30,227,696 | 30,227,696 | 30,227,695 | 30,227,695 |
| Querétaro | 102,842,977 | 8,570,249 | 8,570,248 | 8,570,248 | 8,570,248 | 8,570,248 | 8,570,248 | 8,570,248 | 8,570,248 | 8,570,248 | 8,570,248 | 8,570,248 | 8,570,248 |
| Quintana Roo | 161,966,090 | 13,497,174 | 13,497,175 | 13,497,174 | 13,497,174 | 13,497,174 | 13,497,174 | 13,497,174 | 13,497,174 | 13,497,174 | 13,497,175 | 13,497,175 | 13,497,173 |
| San Luis Potosí | 92,291,753 | 7,690,980 | 7,690,980 | 7,690,980 | 7,690,980 | 7,690,980 | 7,690,979 | 7,690,979 | 7,690,979 | 7,690,979 | 7,690,979 | 7,690,979 | 7,690,979 |
| Sinaloa | 302,930,568 | 25,244,214 | 25,244,214 | 25,244,214 | 25,244,214 | 25,244,214 | 25,244,214 | 25,244,214 | 25,244,214 | 25,244,214 | 25,244,214 | 25,244,214 | 25,244,214 |
| Sonora | 220,252,511 | 18,354,375 | 18,354,376 | 18,354,376 | 18,354,376 | 18,354,376 | 18,354,376 | 18,354,376 | 18,354,376 | 18,354,376 | 18,354,376 | 18,354,376 | 18,354,376 |
| Tabasco | 181,553,609 | 15,129,468 | 15,129,468 | 15,129,468 | 15,129,468 | 15,129,468 | 15,129,467 | 15,129,467 | 15,129,467 | 15,129,467 | 15,129,467 | 15,129,467 | 15,129,467 |
| Tamaulipas | 147,556,464 | 12,296,372 | 12,296,372 | 12,296,372 | 12,296,372 | 12,296,372 | 12,296,372 | 12,296,372 | 12,296,372 | 12,296,372 | 12,296,372 | 12,296,372 | 12,296,372 |
| Tlaxcala | 154,676,204 | 12,889,683 | 12,889,683 | 12,889,683 | 12,889,683 | 12,889,684 | 12,889,684 | 12,889,684 | 12,889,684 | 12,889,684 | 12,889,684 | 12,889,684 | 12,889,684 |
| Veracruz | 109,783,475 | 9,148,622 | 9,148,623 | 9,148,623 | 9,148,623 | 9,148,623 | 9,148,623 | 9,148,623 | 9,148,623 | 9,148,623 | 9,148,623 | 9,148,623 | 9,148,623 |
| Yucatán | 86,897,995 | 7,241,499 | 7,241,499 | 7,241,499 | 7,241,499 | 7,241,499 | 7,241,500 | 7,241,500 | 7,241,500 | 7,241,500 | 7,241,500 | 7,241,500 | 7,241,500 |
| Zacatecas | 83,216,342 | 6,934,695 | 6,934,695 | 6,934,695 | 6,934,696 | 6,934,696 | 6,934,695 | 6,934,695 | 6,934,695 | 6,934,695 | 6,934,695 | 6,934,695 | 6,934,695 |
| TOTAL | 6,270,236,889 | 522,519,741 | 522,519,741 | 522,519,741 | 522,519,741 | 522,519,741 | 522,519,741 | 522,519,741 | 522,519,741 | 522,519,741 | 522,519,741 | 522,519,741 | 522,519,738 |
| RAMO GENERAL 33: APORTACIONES FEDERALES PARA ENTIDADES FEDERATIVAS Y MUNICIPIOS Anexo 4 | |||||||||||||
| FONDO V. FONDO DE APORTACIONES MÚLTIPLES (FAM) | |||||||||||||
| INFRAESTRUCTURA EDUCATIVA BÁSICA, MEDIA SUPERIOR Y SUPERIOR 2024 (CONSOLIDADO) | |||||||||||||
| (PESOS) | |||||||||||||
| ENTIDAD FEDERATIVA | ASIGNACIÓN ORIGINAL | ENERO | FEBRERO | MARZO | ABRIL | MAYO | JUNIO | JULIO | AGOSTO | SEPTIEMBRE | OCTUBRE | NOVIEMBRE | DICIEMBRE |
| Aguascalientes | 417,416,183 | 34,784,683 | 34,784,681 | 34,784,681 | 34,784,682 | 34,784,682 | 34,784,682 | 34,784,682 | 34,784,682 | 34,784,682 | 34,784,682 | 34,784,682 | 34,784,682 |
| Baja California | 584,758,115 | 48,729,842 | 48,729,843 | 48,729,843 | 48,729,843 | 48,729,843 | 48,729,843 | 48,729,843 | 48,729,843 | 48,729,843 | 48,729,843 | 48,729,843 | 48,729,843 |
| Baja California Sur | 283,717,674 | 23,643,138 | 23,643,139 | 23,643,139 | 23,643,139 | 23,643,139 | 23,643,140 | 23,643,140 | 23,643,140 | 23,643,140 | 23,643,140 | 23,643,140 | 23,643,140 |
| Campeche | 404,449,370 | 33,704,114 | 33,704,115 | 33,704,114 | 33,704,115 | 33,704,113 | 33,704,114 | 33,704,114 | 33,704,114 | 33,704,114 | 33,704,114 | 33,704,115 | 33,704,114 |
| Coahuila | 426,443,834 | 35,536,985 | 35,536,986 | 35,536,985 | 35,536,985 | 35,536,985 | 35,536,986 | 35,536,987 | 35,536,987 | 35,536,986 | 35,536,986 | 35,536,988 | 35,536,988 |
| Colima | 261,867,249 | 21,822,270 | 21,822,270 | 21,822,270 | 21,822,271 | 21,822,271 | 21,822,271 | 21,822,271 | 21,822,271 | 21,822,271 | 21,822,271 | 21,822,271 | 21,822,271 |
| Chiapas | 1,469,187,838 | 122,432,319 | 122,432,320 | 122,432,320 | 122,432,319 | 122,432,319 | 122,432,321 | 122,432,320 | 122,432,320 | 122,432,320 | 122,432,320 | 122,432,319 | 122,432,321 |
| Chihuahua | 502,862,334 | 41,905,195 | 41,905,195 | 41,905,195 | 41,905,195 | 41,905,194 | 41,905,194 | 41,905,194 | 41,905,194 | 41,905,194 | 41,905,195 | 41,905,195 | 41,905,194 |
| Ciudad de México | 552,443,667 | 46,036,972 | 46,036,972 | 46,036,972 | 46,036,972 | 46,036,972 | 46,036,972 | 46,036,972 | 46,036,972 | 46,036,972 | 46,036,973 | 46,036,973 | 46,036,973 |
| Durango | 406,322,352 | 33,860,197 | 33,860,197 | 33,860,196 | 33,860,196 | 33,860,196 | 33,860,195 | 33,860,195 | 33,860,196 | 33,860,196 | 33,860,196 | 33,860,196 | 33,860,196 |
| Guanajuato | 792,238,898 | 66,019,908 | 66,019,907 | 66,019,908 | 66,019,909 | 66,019,908 | 66,019,908 | 66,019,908 | 66,019,909 | 66,019,908 | 66,019,908 | 66,019,909 | 66,019,908 |
| Guerrero | 806,126,834 | 67,177,238 | 67,177,237 | 67,177,237 | 67,177,236 | 67,177,236 | 67,177,236 | 67,177,236 | 67,177,236 | 67,177,235 | 67,177,235 | 67,177,236 | 67,177,236 |
| Hidalgo | 478,616,359 | 39,884,697 | 39,884,696 | 39,884,696 | 39,884,696 | 39,884,696 | 39,884,697 | 39,884,697 | 39,884,697 | 39,884,697 | 39,884,697 | 39,884,696 | 39,884,697 |
| Jalisco | 933,200,504 | 77,766,708 | 77,766,708 | 77,766,710 | 77,766,710 | 77,766,709 | 77,766,709 | 77,766,709 | 77,766,708 | 77,766,709 | 77,766,707 | 77,766,708 | 77,766,709 |
| Estado de México | 1,763,431,420 | 146,952,620 | 146,952,620 | 146,952,619 | 146,952,619 | 146,952,618 | 146,952,618 | 146,952,618 | 146,952,617 | 146,952,617 | 146,952,618 | 146,952,618 | 146,952,618 |
| Michoacán | 784,257,531 | 65,354,796 | 65,354,796 | 65,354,795 | 65,354,794 | 65,354,794 | 65,354,794 | 65,354,794 | 65,354,793 | 65,354,794 | 65,354,794 | 65,354,794 | 65,354,793 |
| Morelos | 303,597,400 | 25,299,784 | 25,299,784 | 25,299,784 | 25,299,784 | 25,299,784 | 25,299,783 | 25,299,782 | 25,299,783 | 25,299,783 | 25,299,783 | 25,299,783 | 25,299,783 |
| Nayarit | 408,192,816 | 34,016,069 | 34,016,068 | 34,016,068 | 34,016,069 | 34,016,069 | 34,016,068 | 34,016,068 | 34,016,068 | 34,016,068 | 34,016,067 | 34,016,067 | 34,016,067 |
| Nuevo León | 1,011,646,150 | 84,303,846 | 84,303,845 | 84,303,846 | 84,303,845 | 84,303,846 | 84,303,846 | 84,303,846 | 84,303,846 | 84,303,846 | 84,303,846 | 84,303,846 | 84,303,846 |
| Oaxaca | 1,061,891,485 | 88,490,956 | 88,490,956 | 88,490,956 | 88,490,956 | 88,490,957 | 88,490,958 | 88,490,958 | 88,490,958 | 88,490,958 | 88,490,958 | 88,490,957 | 88,490,957 |
| Puebla | 1,007,405,807 | 83,950,482 | 83,950,483 | 83,950,484 | 83,950,484 | 83,950,484 | 83,950,484 | 83,950,485 | 83,950,485 | 83,950,485 | 83,950,485 | 83,950,484 | 83,950,482 |
| Querétaro | 434,481,715 | 36,206,810 | 36,206,808 | 36,206,810 | 36,206,809 | 36,206,810 | 36,206,810 | 36,206,810 | 36,206,810 | 36,206,810 | 36,206,810 | 36,206,810 | 36,206,808 |
| Quintana Roo | 585,199,913 | 48,766,659 | 48,766,661 | 48,766,660 | 48,766,660 | 48,766,659 | 48,766,659 | 48,766,659 | 48,766,659 | 48,766,659 | 48,766,660 | 48,766,660 | 48,766,658 |
| San Luis Potosí | 389,565,147 | 32,463,762 | 32,463,763 | 32,463,762 | 32,463,763 | 32,463,763 | 32,463,762 | 32,463,762 | 32,463,762 | 32,463,762 | 32,463,762 | 32,463,762 | 32,463,762 |
| Sinaloa | 636,284,555 | 53,023,713 | 53,023,713 | 53,023,713 | 53,023,712 | 53,023,713 | 53,023,713 | 53,023,713 | 53,023,713 | 53,023,713 | 53,023,713 | 53,023,713 | 53,023,713 |
| Sonora | 531,385,364 | 44,282,113 | 44,282,114 | 44,282,114 | 44,282,114 | 44,282,114 | 44,282,114 | 44,282,114 | 44,282,114 | 44,282,114 | 44,282,113 | 44,282,113 | 44,282,113 |
| Tabasco | 486,752,539 | 40,562,713 | 40,562,713 | 40,562,713 | 40,562,712 | 40,562,713 | 40,562,711 | 40,562,711 | 40,562,711 | 40,562,711 | 40,562,711 | 40,562,710 | 40,562,710 |
| Tamaulipas | 498,817,536 | 41,568,128 | 41,568,128 | 41,568,128 | 41,568,127 | 41,568,128 | 41,568,128 | 41,568,128 | 41,568,128 | 41,568,128 | 41,568,128 | 41,568,128 | 41,568,129 |
| Tlaxcala | 367,755,510 | 30,646,293 | 30,646,292 | 30,646,292 | 30,646,292 | 30,646,293 | 30,646,293 | 30,646,293 | 30,646,293 | 30,646,293 | 30,646,293 | 30,646,292 | 30,646,291 |
| Veracruz | 786,647,309 | 65,553,942 | 65,553,943 | 65,553,942 | 65,553,943 | 65,553,943 | 65,553,942 | 65,553,942 | 65,553,942 | 65,553,943 | 65,553,943 | 65,553,942 | 65,553,942 |
| Yucatán | 339,721,987 | 28,310,165 | 28,310,165 | 28,310,165 | 28,310,165 | 28,310,165 | 28,310,166 | 28,310,166 | 28,310,166 | 28,310,166 | 28,310,166 | 28,310,166 | 28,310,166 |
| Zacatecas | 328,828,959 | 27,402,413 | 27,402,412 | 27,402,413 | 27,402,414 | 27,402,414 | 27,402,413 | 27,402,413 | 27,402,413 | 27,402,413 | 27,402,413 | 27,402,414 | 27,402,414 |
| TOTAL | 20,045,514,354 | 1,670,459,530 | 1,670,459,530 | 1,670,459,530 | 1,670,459,530 | 1,670,459,530 | 1,670,459,530 | 1,670,459,530 | 1,670,459,530 | 1,670,459,530 | 1,670,459,530 | 1,670,459,530 | 1,670,459,524 |