ANEXOS 1 y 2 del Acuerdo 07/XLIX/2023 del Consejo Nacional de Seguridad Pública, aprobados en su Cuadragésima Novena Sesión Ordinaria, celebrada el 18 de diciembre de 2023, publicado el 22 de diciembre de 2023.

Al margen un sello con el Escudo Nacional, que dice: Estados Unidos Mexicanos.- SEGURIDAD.- Secretaría de Seguridad y Protección Ciudadana.- Secretariado Ejecutivo del Sistema Nacional de Seguridad Pública.

ANEXO 1 DEL ACUERDO 07/XLIX/2023
LINEAMIENTOS DE OPERACIÓN PARA EL OTORGAMIENTO Y EJERCICIO DEL FONDO PARA EL
FORTALECIMIENTO DE LAS INSTITUCIONES DE SEGURIDAD PÚBLICA (FOFISP) PARA EL
EJERCICIO FISCAL 2024.
CAPÍTULO I
DISPOSICIONES GENERALES
Artículo 1. Los presentes Lineamientos tienen por objeto establecer las disposiciones para la gestión, otorgamiento, administración, ejercicio, seguimiento y verificación de los recursos convenidos del Fondo para el Fortalecimiento de las Instituciones de Seguridad Pública.
Artículo 2. El objetivo de los recursos convenidos es el fortalecimiento de las instituciones de Seguridad Pública, mediante la certificación, profesionalización y el equipamiento en alineación con los Ejes Estratégicos, Programas con Prioridad Nacional aprobados por el Consejo Nacional de Seguridad Pública y Subprogramas.
Artículo 3. Para efectos de los presentes Lineamientos, además de las definiciones establecidas en la Ley General del Sistema Nacional de Seguridad Pública y en el Reglamento del Secretariado Ejecutivo del Sistema Nacional de Seguridad Pública, se entenderá por:
I. Adecuación.- a las modificaciones de las metas y montos convenidos originalmente en el Anexo Técnico y proyecto de inversión en razón de una reprogramación o reasignación de recursos;
II. Ahorro presupuestario.- a los remanentes de recursos del presupuesto modificado, una vez cumplidas las metas contenidas en el Anexo Técnico;
III. Catálogo.- al documento que establece los conceptos de gasto autorizados relacionados con bienes y servicios que se podrán adquirir o contratar con los recursos convenidos para atender los propósitos de los Programas con Prioridad Nacional y Subprogramas;
IV. Clasificador.- al Clasificador por Objeto de Gasto emitido por el Consejo Nacional de Armonización Contable (CONAC), y que es el instrumento que permite registrar de manera ordenada, sistemática y homogénea las compras, los pagos y las erogaciones autorizados en capítulos, conceptos y partidas con base en la clasificación económica del gasto;
V. El Comité de FOFISP.- al órgano colegiado, previsto en los presentes Lineamientos;
VI. Consejo Nacional: al Consejo Nacional de Seguridad Pública;
VII. Conceptos de Gasto.- a los bienes y servicios asociados a los Programas con Prioridad Nacional y, en su caso Subprogramas aplicables a los recursos convenidos alineados al Clasificador por Objeto del Gasto;
VIII. Economías.- a los remanentes de recursos no devengados de los convenidos o modificados en el Anexo Técnico;
IX. Ejes Estratégicos.- a las políticas públicas aprobadas por el Consejo Nacional mediante Acuerdo 06/XLVIII/22, en relación a la actualización de los Programas con Prioridad Nacional, para el cumplimiento de los fines de la seguridad pública, alineados a los objetivos, estrategias, metas y líneas de acción plasmadas en el Plan Nacional de Desarrollo y en el Programa Nacional de Seguridad Pública;
X. Entidades Federativas.- a las partes integrantes de la Federación a que se refiere el artículo 43 de la Constitución Política de los Estados Unidos Mexicanos y que se encuentran seleccionadas para acceder al FOFISP conforme a la fórmula de distribución;
XI. FOFISP.- Fondo para el Fortalecimiento de las Instituciones de Seguridad Pública;
XII. Fondo Federal.- a los recursos destinados para el fortalecimiento de las instituciones de seguridad pública distribuidos en proporción directa al número de habitantes con que cuente cada Entidad Federativa, de acuerdo con la información estadística más reciente que al efecto emita el Instituto Nacional de Estadística y Geografía. Hasta un veinticinco por ciento de dicho Fondo se asignará a las entidades federativas con mejores resultados en materia de seguridad pública, conforme los indicadores que establezca el Consejo Nacional de Seguridad Pública;
XIII. Fondo Estatal.- al Fondo de Apoyo a las Instituciones de Seguridad Pública de los Municipios, en especial aquéllos con menor población o mayor grado de marginación que asigne anualmente cada Entidad Federativa, en proporción uno a uno respecto de los recursos federales que reciban;
XIV. Gasto comprometido.- al momento contable del gasto que refleja, a través de un acto administrativo, la formalización de una relación jurídica con terceros para la adquisición de bienes y servicios o ejecución de obras;
XV. Gasto devengado.- al momento contable del gasto que refleja el reconocimiento de una obligación de pago a favor de terceros por la recepción de conformidad de bienes y servicios oportunamente contratados;
XVI. Gasto ejercido.- al momento contable del gasto que refleja la emisión de una cuenta por liquidar certificada debidamente aprobada por la autoridad competente;
XVII. Gasto pagado.- al momento contable del gasto que refleja la cancelación total o parcial de las obligaciones de pago, que se concreta mediante el desembolso de efectivo o cualquier otro medio de pago;
XVIII. Instrumentos del Servicio Profesional de Carrera Policial.- al reglamento, catálogo de puestos, manual de organización, manual de procedimientos y herramienta de seguimiento y control del Servicio Profesional de Carrera;
XIX. Ley General.- a la Ley General del Sistema Nacional de Seguridad Pública;
XX. Lineamientos.- a los presentes Lineamientos;
XXI. Mecanismo de Seguimiento.- a la(s) herramienta(s) que determina el Secretariado Ejecutivo para realizar el seguimiento de los recursos convenidos;
XXII. Metas.- a las acciones a realizar para el cumplimiento de los objetivos de los Ejes Estratégicos, Programas con Prioridad Nacional, Subprogramas y Acuerdos del Consejo Nacional, establecidos en el proyecto de inversión y/o Anexo Técnico conforme a los plazos convenidos incluyendo los bienes y servicios a adquirir o contratar, según corresponda, mismas que son coordinadas y verificadas por las Unidades Administrativas del Secretariado Ejecutivo, en el ámbito de su competencia;
XXIII. Municipios.- a los municipios de las entidades federativas y demarcaciones territoriales de la Ciudad de México;
XXIV. Presupuesto de Egresos.- al Presupuesto de Egresos de la Federación para el ejercicio fiscal 2024;
XXV. Programas con Prioridad Nacional.- a las estrategias nacionales aprobadas por el Consejo Nacional mediante el Acuerdo 06/XLVIII/22, publicado en el Diario Oficial de la Federación el día 23 de diciembre del 2022, que dan cumplimiento a los Ejes Estratégicos vinculados al ejercicio del FOFISP que se otorgue a las entidades federativas y municipios;
XXVI. Propuesta de Inversión.- al conjunto de proyectos de inversión que presenten las entidades federativas, alineados a los Ejes Estratégicos, Programas con Prioridad Nacional y Subprogramas;
XXVII. Reasignación de Recursos.- al destino que se otorgue a los rendimientos financieros y/o ahorros presupuestarios derivados del cumplimiento de las metas convenidas hacia otras metas pendientes de cumplir, para ampliar metas o incorporar nuevas;
XXVIII. Reprogramación.- a la adecuación que se realiza a las metas, conceptos y/o montos de los Programas con Prioridad Nacional convenidos en el Anexo Técnico, derivada de economías o por situaciones extraordinarias de alteración del orden y la paz públicos, emergencia o desastre natural con declaratoria emitida en términos de la Ley General de Protección Civil o por emergencia extraordinaria sanitaria emitida por el Consejo de Salubridad General que afecte los objetivos y fines del FOFISP;
XXIX. Revisiones de Gabinete.- son aquellas que se practican en las oficinas del Secretariado Ejecutivo del Sistema Nacional de Seguridad Pública para la revisión de los documentos, instrumentos y mecanismos inherentes o relativos al ejercicio de los recursos del año vigente;
XXX. Secretariado Ejecutivo.- al Secretariado Ejecutivo del Sistema Nacional de Seguridad Pública;
XXXI. Secretariado Ejecutivo Estatal.- al Secretariado Ejecutivo del Sistema Estatal de Seguridad Pública o Equivalente;
XXXII. Subprogramas.- a los proyectos específicos que se implementan para contribuir al cumplimiento de los objetivos de los Programas con Prioridad Nacional;
XXXIII. Unidades Administrativas.- al Centro Nacional de Certificación y Acreditación, así como a las Direcciones Generales de Vinculación y Seguimiento, Planeación y Apoyo Técnico del Secretariado Ejecutivo, encargadas del seguimiento al cumplimiento de las metas establecidas en los Programas con Prioridad Nacional a su cargo, y las Direcciones Generales de Administración y Asuntos Jurídicos; y
XXXIV. Visitas de Verificación.- son aquellas que se practican a las entidades federativas o municipios para la revisión de los documentos, instrumentos y mecanismos inherentes o relativos al ejercicio de los recursos del año vigente.
Artículo 4. Los recursos federales convenidos no son regularizables y no pierden su carácter al ser ministrados; por lo tanto, su administración, ejercicio, seguimiento y verificación, se sujetarán a lo dispuesto por el Presupuesto de Egresos de la Federación para el Ejercicio Fiscal 2024; a la Ley Federal de Presupuesto y Responsabilidad Hacendaria; Ley de Disciplina Financiera de las Entidades Federativas y los Municipios; a la Ley General de Contabilidad Gubernamental y demás disposiciones aplicables federales.
Los recursos de origen estatal son aquéllos aportados por las entidades federativas uno a uno en
cumplimiento al Decreto, se sujetarán a las disposiciones locales conforme a su legislación siempre que no se contrapongan con los presentes Lineamientos.
Artículo 5. Los recursos convenidos del FOFISP, son adicionales y complementarios a los proporcionados por otros programas federales y locales vigentes, por lo que deberá evitarse la duplicidad de su aplicación con los recursos de otros fondos, subsidios y demás recursos de carácter federal que se otorguen en materia de seguridad pública, las limitantes para la ministración de los recursos son, entre otras, la disponibilidad presupuestaria y la calendarización del gasto que establezca la Secretaría de Hacienda y Crédito Público.
Artículo 6. Los recursos convenidos y sus accesorios a que se refiere este Capítulo que reciban las entidades federativas, municipios y demarcaciones territoriales de la Ciudad de México, no serán embargables, ni los gobiernos correspondientes podrán, bajo ninguna circunstancia, gravarlos ni afectarlos en garantía o destinarse a mecanismos de fuente de pago, salvo por lo dispuesto en los presentes Lineamientos.
Artículo 7. El Secretariado Ejecutivo, a través de la Dirección General Vinculación y Seguimiento, será la instancia facultada para interpretar los presentes Lineamientos y resolver lo no previsto en ellos, conforme a la normatividad aplicable y en caso de ser necesario, se auxiliará para tal efecto de las Unidades Administrativas, La Ley Federal de Procedimiento Administrativo será supletoria de los presentes Lineamientos en lo conducente.
Artículo 8. Cualquier comunicado relacionado con los recursos convenidos que realicen las entidades federativas al Secretariado Ejecutivo, deberá ser dirigido a la Dirección General de Vinculación y Seguimiento, quien podrá efectuar notificaciones a las entidades federativas y en caso de ser necesario a los municipios mediante correo electrónico, el cual tendrá los mismos efectos que una notificación oficial, siempre que así lo hayan aceptado expresamente en términos del documento que determine el Secretariado Ejecutivo a través de la Dirección General de Vinculación y Seguimiento, no será necesario recabar el acuse de recepción para entender que la notificación se realizó conforme a derecho.
CAPÍTULO II
DE LA PLANEACIÓN, PROGRAMACIÓN Y PRESUPUESTACIÓN
SECCIÓN I
DE LA PLANEACIÓN
Artículo 9. En la planeación del ejercicio de los recursos convenidos se deberá considerar el cumplimiento del Eje Estratégico, de los Programas con Prioridad Nacional aprobados por el Consejo Nacional de Seguridad Pública y Subprogramas siguientes:
Eje Estratégico
Programa con Prioridad Nacional
Subprograma
I. Mejorar las condiciones de seguridad pública en las regiones del territorio nacional para construir la paz.
1. Dignificación del personal de las Instituciones de Seguridad Pública y Procuración de Justicia conforme al Modelo Nacional de Policía y Justicia Cívica.
2. Equipamiento del personal de las instituciones de Seguridad Pública y Procuración de Justicia.
2. Certificación, capacitación y profesionalización de los elementos policiales de las Instituciones de Seguridad Pública conforme al Modelo Nacional de Policía y Justicia Cívica.
3. Fortalecimiento de las capacidades de evaluación en control de confianza.
4. Capacitación en todas sus modalidades para el mejor desempeño de los elementos de las instituciones de seguridad pública y de procuración de justicia conforme al Modelo Nacional de Policía y Justicia Cívica
Artículo 10. Las entidades federativas, en adición a los recursos federales establecidos, asignarán un Fondo de Apoyo a las Instituciones de Seguridad Pública de los Municipios, en especial aquéllos con menor población o mayor grado de marginación en, al menos, una proporción uno a uno respecto de los recursos federales asignados a cada Entidad Federativa para el cumplimiento de los Programas con Prioridad Nacional, Subprogramas y destinos de gasto establecidos.
Artículo 11. Las entidades federativas deberán acreditar mediante las constancias necesarias (SPEI y estado de cuenta) la aportación estatal, así como la transferencia de recursos o, en su caso, la entrega en especie de los conceptos establecidos en el Anexo Técnico.
SECCIÓN II
DE LA PROGRAMACIÓN Y PRESUPUESTACIÓN
Artículo 12. En la segunda semana del mes de enero de cada ejercicio fiscal, se convocará a las entidades federativas y Unidades Administrativas, a la conferencia virtual que tendrá como objetivo dar a conocer la capacitación y el procedimiento de concertación de los recursos del FOFISP.
Las entidades federativas durante la tercera semana del mes de enero del 2024 presentarán a la Dirección General de Vinculación y Seguimiento, la propuesta y justificación del listado de municipios a beneficiar con recursos estatales, misma que deberá validar en cinco (5) días hábiles contados posteriormente a la recepción, una vez conformado el listado, este se deberá considerar en los Proyectos de Inversión.
Las entidades federativas a través del Secretariado Ejecutivo del Sistema Estatal de Seguridad Pública entregaran firmados los proyectos de inversión, que se financiarán con recursos federales y de origen estatal en el proceso de concertación en una carpeta que contendrá en cuatro tantos los proyectos con sus respectivas estructuras programáticas presupuestales, previamente validadas por cada Unidad Administrativa.
La convocatoria para la concertación, se deberá realizar conforme a la programación que establezca la Dirección General de Vinculación y Seguimiento, acompañándose de los siguientes documentos:
I. Inversión requerida por Eje Estratégico, Programa con Prioridad Nacional y Subprograma (s), a través del mecanismo que proporcione el Secretariado Ejecutivo.
II. Proyecto de Inversión con base en el formato que para tal efecto determine el Secretariado Ejecutivo, el cual contendrá como mínimo lo siguiente:
a)      Denominación: Nombre del Proyecto que se implementa para contribuir al cumplimiento de los objetivos de los Programas con Prioridad Nacional y/o Subprogramas.
b)      Objetivos: Es el propósito que se pretende alcanzar con el proyecto específico. Es el resultado de la sumatoria de una serie de metas y procesos.
c)      Alineación con los Ejes Estratégicos y Programas con Prioridad Nacional: La alineación se realizará con base a lo dispuesto en el artículo 3 Bis del Capítulo GENERALIDADES del anexo del Acuerdo 06/XLVIII/22 aprobado por el Consejo Nacional de Seguridad Pública en su Cuadragésima Octava Sesión Ordinaria, publicado en el Diario Oficial de la Federación el 23 de diciembre del 2022.
d)      Responsables de la Implementación del Subprograma: La institución de seguridad pública o instancia responsable de su implementación a nivel local (estatal o municipal) y el área Administrativa o Instancia responsable de su seguimiento a nivel federal.
e)      Diagnóstico: Información que justifica las necesidades de invertir en el proyecto. Se deberá identificar y describir la situación que da origen a dicha necesidad considerando que las condiciones en que se encuentra actualmente y las brechas existentes, así como las debilidades y oportunidades de mejora.
f)       Descripción de Metas: se establecerán las acciones que se deberán cumplir para el logro de los objetivos, las cuales deben ser medibles y evaluables. Se considera que serán entregables del Programa con Prioridad Nacional y Subprograma, incluyendo los bienes y servicios a adquirir o contratar, según corresponda, en los plazos convenidos en el mecanismo de seguimiento, mismas que son coordinadas y verificadas por las Unidades Administrativas del Secretariado Ejecutivo, en el ámbito de su competencia.
g)      Plazo de Ejecución y Modelo de Operación: El plazo de ejecución establece el tiempo en el que se tiene considerado desarrollar el proyecto y su conclusión. El modelo de operación establecerá las fases que permitan su seguimiento y evaluación, así como la conclusión respectiva.
h)      Conceptos de Gasto Asociados al Subprograma: Los conceptos de gasto deberán considerar los bienes y servicios en el Subprograma identificándolos por Capítulo, Concepto y Partida Genérica del Clasificador por Objeto de Gasto. Los conceptos de gasto permitirán a los responsables de su aplicación, determinar la inversión a la que pueden acceder con recursos convenidos en materia de seguridad pública.
        El formato deberá establecer lo siguiente: (1) anotar la partida genérica que corresponda al concepto; (2) Anotar el número consecutivo del bien o servicio; (3) Anotar el nombre del bien o servicio: (4) Señalar si existe alguna restricción que considerar en el concepto: (5) Anotar RF si se trata de Recurso Federal o RE si se trata de un Recurso Estatal.
i)       Monto Requerido: La cantidad de recursos del Financiamiento Conjunto que se destinará al Eje Estratégico, Programa con Prioridad Nacional y Subprograma.
j)       De los recursos estatales: Los municipios que serán beneficiarios de los recursos estatales y el monto asignado a cada uno de ellos.
III.- Reporte de la capacitación aplicada en la Entidad Federativa y municipios a beneficiar, mismo que deberá estar firmado por los titulares de los Secretariados Ejecutivos Estatales, y deberá contener información del ejercicio fiscal inmediato anterior de los elementos policiales, (estatales y municipales), peritos, policías ministeriales y de Investigación y custodios en activo o cualquier otro a beneficiar con los recursos del FOFISP; la información deberá entregarse de forma detallada respecto a los cursos con los que cuenta.
IV.- Reporte de inventario del equipamiento, equipo institucional, equipo personal (Uniformes, Chalecos Balísticos y Cascos Balísticos) firmados por los titulares de los Secretariados Ejecutivos Estatales, adquiridos con recursos del FOFISP, en el último año inmediato anterior, así como de cualquier otro bien que se pretenda programar.
Los proyectos financiados con recursos federales y estales, deberán ser firmados por las Unidades Administrativas y el Secretariado Ejecutivo Estatal, en general los responsables de verificar el cumplimiento de metas en la Entidad Federativa, según corresponda.
V.- El proyecto de inversión que corresponda a Profesionalización, deberá acompañarse con el calendario de ejecución; éste contará con las firmas referidas en el párrafo anterior.
Cuando en los procesos de concertación y/o en las solicitudes de adecuación, las entidades federativas requieran destinar recursos a conceptos de gasto distintos, las Unidades Administrativas determinarán sobre la viabilidad de la solicitud, siempre y cuando los conceptos solicitados, sean acordes con los objetivos y metas de los Programas con Prioridad Nacional, así como con la normatividad aplicable.
En los Convenios Específicos de Adhesión y Anexos Técnicos, se podrá establecer la posibilidad de realizar compras en forma consolidada y la transferencia de recursos en especie por parte de la Federación a las entidades federativas, así como otros mecanismos que faciliten el ejercicio de los recursos, conforme a los procedimientos determinados para tal efecto.
El Secretariado Ejecutivo y las entidades federativas, podrán convenir metas, aún y cuando no se hayan asignado recursos del FOFISP.
En el caso de aquellas entidades federativas con alteración grave del orden y la paz públicos donde se encuentren participando los tres órdenes de gobierno, podrán concertar recursos para la atención de necesidades generadas por la problemática local.
CAPÍTULO III
DEL ACCESO Y MINISTRACIÓN DE LOS RECURSOS
SECCIÓN I
DEL ACCESO A LOS RECURSOS
Artículo 13. Las entidades federativas, deberán asistir y presentar en la reunión de concertación en la fecha que al efecto señale la Dirección General de Vinculación y Seguimiento, lo siguiente:
Escrito libre dirigido a la Dirección General de Vinculación y Seguimiento donde manifiesten su aceptación de adherirse al FOFISP y designe al servidor público que será el enlace entre la Entidad Federativa y el Secretariado Ejecutivo, el cual deberá estar firmado por la persona Titular del Poder Ejecutivo de la Entidad Federativa en términos de las disposiciones locales, e incluir la validación del listado de municipios y demarcaciones territoriales de la Ciudad de México.
En los casos que la persona Titular del Poder Ejecutivo, por circunstancias extraordinarias, se encuentre ausente o impedido para llevar a cabo la firma del escrito, éste podrá ser firmado por el servidor público que cuente con las facultades de suplencia, adjuntando al escrito de adhesión, la documentación oficial que así lo acredite.
SECCIÓN II
DE LOS CONVENIOS Y ANEXOS TÉCNICOS
Artículo 14. Los Convenios Específicos de Adhesión deberán suscribirse a más tardar el último día hábil del mes de marzo del 2024, conforme al modelo determinado por el Secretariado Ejecutivo. Dicho instrumento será suscrito por la persona Titular del Secretariado Ejecutivo y Titulares del Poder Ejecutivo de las entidades federativas, salvo que las leyes locales prevean lo contrario.
Los Anexos Técnicos serán suscritos por el Secretario Ejecutivo Adjunto del Secretariado Ejecutivo, las personas Titulares de las Unidades Administrativas del Secretariado Ejecutivo, según corresponda y la persona Titular de los Secretariados Ejecutivos Estatales.
En dichos Anexos Técnicos se establecerán los municipios y el monto asignado a cada uno de ellos, así como los destinos, conceptos de gasto, cuadros de metas y demás compromisos para atender las Acciones Prioritarias, de los recursos federales, así como de los compromisos que se desprendan de los recursos de origen estatal.
Artículo 15. En caso de suspensión de las obligaciones y derechos establecidos en los Lineamientos, en el Convenio Específico de Adhesión y su Anexo Técnico, con motivo de caso fortuito o fuerza mayor, éstas podrán reanudarse en el momento que desaparezcan las causas que dieron origen a la suspensión.
No será imputable al Secretariado Ejecutivo, entidades federativas y municipios, las consecuencias derivadas con motivo de la suspensión debidamente justificada.
SECCIÓN III
DE LA MINISTRACIÓN DE LOS RECURSOS
Artículo 16. La ministración de los recursos se sujetará a lo siguiente:
I. Las entidades federativas, recibirán dos ministraciones, en una proporción de setenta (70) por ciento la primera y al treinta (30) por ciento en la segunda, respecto del monto de asignación definido en los Criterios de Distribución previstos en los Anexos que derivan de los acuerdos del Consejo Nacional de Seguridad Pública y sólo podrán ser solicitadas por los titulares de los Secretariados Ejecutivos Estatales;
II. Las entidades federativas que transfieran los recursos correspondientes al uno a uno en las cuentas bancarias productivas específicas de los municipios, lo deberán realizar dentro de los veinte (20) días hábiles posteriores a la fecha de recepción de los recursos federales correspondientes a las ministraciones, según sea el caso; y
III. En caso de que la Entidad Federativa, opte por entregar a los municipios, los recursos en especie, deberán acreditarlo, conforme a los informes mensuales del mecanismo de seguimiento que para tal efecto se emitan.
Artículo 17. La primera ministración que corresponderá al setenta (70) por ciento del monto total convenido se transferirá a las entidades federativas que hayan concluido el proceso de concertación; por lo que para tal efecto, deberán entregar previamente a la Dirección General de Vinculación y Seguimiento, la documentación siguiente:
I. Carta original de la institución bancaria que acredite la apertura de una cuenta bancaria productiva específica destinada para la recepción y administración de los recursos federales, las cuales deberán contener como mínimo nombre de la Entidad Federativa, número de cuenta y Clave Bancaria Estandarizada (CLABE) con 18 posiciones;
II. Copia de la Constancia de Situación Fiscal de la entidad federativa, expedida por el Servicio de Administración Tributaria, adjuntando el archivo electrónico XML;
III. Constancia de domicilio fiscal, y
IV. Copia de la Carta Bancaria que acredite la apertura de una cuenta productiva específica destinada para la administración de los recursos estatales aportados por la Entidad Federativa.
Los recursos federales asignados a las entidades federativas que opten por no adherirse a los recursos del FOFISP, formarán parte de la Bolsa de Recursos Concursables.
Artículo 18. La segunda ministración corresponderá al treinta (30) por ciento del monto total convenido y podrá solicitarse a más tardar del 01 al 10 de julio del 2024.
Las entidades federativas que no presenten la solicitud de acceso a la segunda ministración o la presenten fuera del plazo establecido, perderán su derecho a recibirla, debiendo dar cumplimiento al Anexo Técnico, con recursos propios.
En caso de que exista una reducción presupuestaria al FOFISP, el Secretariado Ejecutivo les hará la notificación correspondiente, a efecto de que estos soliciten, dentro de los plazos establecidos en los presentes Lineamientos, los montos que correspondan a ahorros presupuestarios o rendimientos financieros, que serán destinados a dar suficiencia a las partidas originalmente convenidas.
Los recursos federales no transferidos a las entidades federativas por concepto de la segunda ministración del FOFISP, serán destinados a la Bolsa de Recursos Concursables.
Artículo 19. Una vez presentada la solicitud de la segunda ministración se iniciarán los trámites para la transferencia de los recursos.
Artículo 20. Los rendimientos financieros generados en las cuentas bancarias productivas específicas, de las entidades federativas serán utilizados para alcanzar y/o ampliar las metas programadas y acciones previstas en el Anexo Técnico, así como a los destinos de gasto establecidos en los Lineamientos que no hayan sido considerados.
SECCIÓN IV
DEL EJERCICIO DE LOS RECURSOS
Artículo 21. Las entidades federativas deberán registrar los avances físico-financieros mensuales y trimestrales a través del mecanismo de seguimiento que establezca el Secretariado Ejecutivo y presentar a la Dirección General de Vinculación y Seguimiento, conforme a la aplicación de los recursos convenidos, debidamente suscritos por las autoridades competentes, los cuales contendrán como mínimo la información siguiente:
a)      Datos sobre los recursos convenidos, comprometidos, devengados, ejercidos y pagados a la fecha de corte del periodo que corresponda; y
b)      Disponibilidad presupuestal y financiera del FOFISP y de los recursos de origen estatal con la que cuenten a la fecha de corte del reporte.
El informe mensual deberá remitirse dentro de los diez (10) días hábiles siguientes a la terminación del mes, conciliado y validado con sus Secretarías de Finanzas o equivalentes, previo a su remisión al Secretariado Ejecutivo.
Una vez transferida la primera ministración, las entidades federativas enviarán en el plazo de veinte (20) días hábiles, contados a partir de la notificación del mecanismo de seguimiento, los informes mensuales que se encuentren pendientes.
Dicha información será la base para elaborar el informe trimestral que deberá entregarse al Secretariado Ejecutivo, a más tardar dentro de los veinte (20) días naturales siguientes a la terminación de cada trimestre.
Los datos contenidos en los informes a que se refiere este artículo son responsabilidad del Secretariado Ejecutivo Estatal que los emite.
Artículo 22. Las solicitudes que requieran validación de las Unidades Administrativas para el ejercicio de los recursos convenidos, serán desechadas por el Secretariado Ejecutivo a través de la Dirección General de Vinculación y Seguimiento, cuando con motivo de la fecha de su presentación, el plazo para emitir la resolución correspondiente, exceda el ejercicio fiscal 2024. Cuando el plazo para el desahogo de las prevenciones se ubique en el supuesto al que se refiere el presente párrafo, también serán desechadas.
SECCIÓN V
DE LOS RECURSOS CONCURSABLES
Artículo 23. La bolsa de los recursos concursables se conforma por los recursos asignados a las entidades federativas que opten por no adherirse a los recursos del FOFISP y de los recursos que deriven de las entidades federativas que no presenten la solicitud de acceso a la segunda ministración o la presenten fuera del plazo establecido, así como de los recursos provenientes de una terminación anticipada del Convenio y su Anexo Técnico antes del proceso de solicitud de la segunda ministración.
Artículo 24. El Secretariado Ejecutivo, por conducto de la Dirección General de Vinculación y Seguimiento, publicará en su página de Internet, el monto de la bolsa de recursos concursables a más tardar el 19 de agosto de 2024.
Artículo 25. El acceso a la bolsa de recursos concursables se sujetara a lo establecido en los Criterios que emita el Secretariado Ejecutivo, los cuales serán publicados en la página de internet a más tardar el 31 de julio de 2024.
Las solicitudes para el acceso a la bolsa de recursos concursables deberán presentarse a la Dirección General de Vinculación y Seguimiento, a partir de la fecha de publicación señalado en el artículo 24 de los presentes Lineamientos y hasta el 26 de agosto de 2024.
Artículo 26. Las entidades federativas presentarán a la Dirección General de Vinculación y Seguimiento, el oficio de solicitud para acceder a la bolsa de recursos concursables, suscrito por el titular del Secretariado Ejecutivo Estatal, adjuntando lo siguiente:
I.     El formato que dará a conocer el Secretariado Ejecutivo en la página de Internet, y
II.    El proyecto con las características señaladas en el artículo 12.
Artículo 27. El procedimiento para emitir el dictamen sobre la procedencia de las solicitudes para el acceso a la bolsa de recursos concursables es el siguiente:
I.       El Secretariado Ejecutivo contará con un Comité de FOFISP, cuyas funciones serán dictaminar sobre la procedencia de las solicitudes de la bolsa de recursos concursables, mismo que se regirá por estatutos de organización y funcionamiento que la Dirección General de Vinculación y Seguimiento determine y estará conformado por las y los titulares de las Unidades Administrativas competentes, incluyendo a la Dirección General de Asuntos Jurídicos, quien fungirá como asesor jurídico en el Órgano Colegiado y contará con voz pero sin voto.
II.      El Comité de FOFISP podrá invitar al Órgano de Control Interno, quien contara con voz, pero sin voto.
III.     El Comité de FOFISP contará con un Secretario Técnico, que será la o el servidor público de la Dirección General de Vinculación y Seguimiento, responsable del FOFISP, cuyo cargo no podrá ser inferior a Director de Área.
IV.     Los miembros del Comité de FOFISP, podrán designar un servidor público, que fungirá como suplente en las sesiones del Comité de FOFISP quien no deberá tener un cargo inferior a Director de Área.
V.      La Dirección General de Vinculación y Seguimiento una vez concluido el término para presentar las solicitudes de acceso a bolsa de recursos concursables, revisará en un plazo de tres (3) días hábiles si la entidad federativa cumple con lo establecido en los Criterios de acceso a la bolsa de recursos concursables. En caso de incumplimiento se desechará la solicitud, notificándose a la entidad federativa dentro de los tres (3) días hábiles posteriores al plazo señalado anteriormente;
VI.     Cuando la solicitud cumpla con los requisitos, la Dirección General de Vinculación y Seguimiento convocará al Comité de FOFISP dentro del término de tres (3) días hábiles posteriores al primer plazo señalado en la fracción anterior;
VII.    La resolución del Comité de FOFISP será notificada a la entidad federativa por la Dirección General de Vinculación y Seguimiento en un plazo no mayor a tres (3) días hábiles siguientes a la fecha en que haya emitido la misma. Las resoluciones que emita el Comité de FOFISP serán firmes e inapelables, y
VIII.   La asignación del recurso concursable deberá formalizarse en un Anexo Técnico Complementario y estará sujeto a la disponibilidad presupuestal.
SECCIÓN VI
DE LAS ADECUACIONES
Artículo 28. Serán consideradas Adecuaciones, las modificaciones de las metas que impliquen alteración a los montos convenidos originalmente en el Anexo Técnico, en razón de una reprogramación o reasignación, para lo siguiente:
I.       La ampliación y/o disminución de conceptos de gasto que se hayan convenido, y
II.      La transferencia de recursos para dar suficiencia presupuestaria a los conceptos de gasto convenidos.
Artículo 29. Las adecuaciones referidas en el artículo que antecede estarán sujetas a lo siguiente:
I.       Cuando las adecuaciones provengan de ahorros presupuestarios, la Entidad Federativa deberá acreditar el cumplimiento de las metas establecidas en el Anexo Técnico, las cuales serán verificadas por las Unidades Administrativas en el ámbito de sus respectivas competencias;
II.      No se autorizarán reprogramaciones respecto de las metas, conceptos y/o montos relacionados con las evaluaciones de control de confianza, salvo que haya una disminución en el estado de fuerza, previsto en el listado de evaluaciones de permanencia concertado; o exista el inicio de procedimientos administrativos de baja ante los órganos competentes o no se puedan reclutar a las o los aspirantes necesarios para las evaluaciones de control de confianza de nuevo ingreso convenidas, debidamente acreditado;
III.     En el caso de las metas convenidas en Formación Inicial y Formación Continua, dentro del Subprograma Capacitación en todas sus modalidades para el mejor desempeño de los elementos de las instituciones de seguridad pública y de procuración de justicia conforme al Modelo Nacional de Policía y Justicia Cívica, solamente podrá autorizarse la reprogramación cuando se compruebe el avance de cuando menos el 80 (ochenta) por ciento de cumplimiento de metas, mismas que deberán comprobarse con las fichas de verificación y reportes de cumplimiento de metas de capacitación, señalados en el Programa Rector de Profesionalización, cuando exista una disminución en el estado de fuerza o bien por situaciones extraordinarias de alteración del orden y la paz públicos o emergencia o desastre natural con declaratoria emitida en términos de la Ley General de Protección Civil o por emergencia extraordinaria sanitaria emitida por el Consejo de Salubridad General que afecte los objetivos. Cuando se trate de capacitación en formación inicial de aspirantes, se podrá autorizar la reprogramación cuando no exista el reclutamiento necesario o que las personas aspirantes no hayan aprobado el proceso de evaluación de control de confianza.
        En lo que se refiere a las evaluaciones de competencias Básicas de la Función y Evaluaciones del Desempeño, de igual manera únicamente podrá autorizarse la reprogramación cuando se compruebe el avance de cuando menos el 80 (ochenta) por ciento del cumplimiento de las metas, mismas que deberán comprobarse con los formatos establecidos para tal fin;
IV.     Las Adecuaciones a las metas concertadas sin recursos, serán dictaminadas únicamente por las Unidades Administrativas y se sujetará a los plazos establecidos en los presentes Lineamientos;
V.      Los ahorros presupuestarios que se obtengan del ejercicio de los recursos convenidos, así como los rendimientos financieros, estarán disponibles para la atención de los supuestos señalados en las fracciones que anteceden y podrán destinarse a cualquiera de los Programas con Prioridad Nacional y Subprogramas establecidos en el Anexo Técnico. Los ahorros presupuestarios y los rendimientos financieros, se ejercerán conforme a lo previsto en la Ley General y demás normativa aplicable y deberán destinarse para el cumplimiento de los objetivos y metas de los Ejes Estratégicos, Programas con Prioridad Nacional y Subprogramas. Cualquier incumplimiento dará lugar a su no registro y se procederá a solicitar su reintegro; y
VI.     No serán aplicables las reprogramaciones a los recursos obtenidos de la Bolsa de Recursos Concursables.
Artículo 30. Las solicitudes de Adecuaciones a las metas y montos convenidos deberán ser presentadas por la Entidad Federativa en la Dirección General de Vinculación y Seguimiento, únicamente en el mes de octubre de 2024. Las solicitudes deberán presentarse adjuntando la documentación impresa y en archivo electrónico que establezca lo siguiente:
a) El origen y destino de los recursos objeto de la Adecuación, en los formatos que la Dirección General de Vinculación y Seguimiento a conocer en la página de Internet del Secretariado Ejecutivo a más tardar el último día hábil del mes de agosto de 2024; y
b) La justificación de la Adecuación.
Las solicitudes de Adecuaciones presentadas en la Dirección General de Vinculación y Seguimiento con posterioridad al mes referido en el primer párrafo de este artículo serán desechadas.
Las Adecuaciones se dictaminarán, por la Dirección General de Vinculación y Seguimiento en cuanto a la suficiencia presupuestal considerando el último reporte de avance físico financiero.
Se turnará a las Unidades Administrativas, según sea el origen y destino de la meta convenida y de acuerdo con las atribuciones correspondientes. Éstas deberán sujetarse al plazo de cinco (5) días hábiles para determinar su procedencia y aplicación.
La resolución será notificada a la Entidad Federativa por la Dirección General de Vinculación y Seguimiento en un plazo no mayor a cinco (5) días hábiles siguientes a la fecha en que se haya emitido el último dictamen de las Unidades Administrativas, por lo que sus resultados serán firmes e inapelables.
Las modificaciones que se realicen a las metas financiadas con recursos de origen estatal, bastará con la notificación que se realice a la Dirección General de Vinculación y Seguimiento, para su registro, en estos supuestos, en materia de Control de Confianza se deberá considerar lo previsto en el artículo 29 fracción II de los presentes Lineamientos.
CAPITULO IV
DE LAS VISITAS DE VERIFICACIÓN Y/O REVISIONES DE GABINETE
SECCIÓN I
GENERALIDADES
Artículo 31. La Dirección General de Vinculación y Seguimiento, en el ámbito de su competencia, podrá efectuar Visitas de Verificación y/o Revisiones de Gabinete en cualquier momento, para efecto de control, vigilancia, transparencia y supervisión en la aplicación de los recursos.
Artículo 32. Las Visitas de Verificación se practicarán en las oficinas oficiales, las cuales podrán incluir revisiones físicas y/o financieras.
Las Revisiones de Gabinete, se practicarán en las oficinas del Secretariado Ejecutivo, con la información que para tal efecto, se solicite a la Entidad Federativa, por conducto del Secretariado Ejecutivo Estatal.
Artículo 33. Las Visitas de Verificación se harán del conocimiento a las Unidades Administrativas, quienes se incorporarán en caso de tener interés de participar en los procesos señalados en el ámbito de sus respectivas competencias, con base en la revisión de los informes de avance presupuestal presentados por la Entidad Federativa del ejercicio de los recursos convenidos y/o modificados, así como de la documentación comprobatoria del mismo, los cuales se tomarán en cuenta para establecer el orden para la programación de las Visitas de Verificación, podrá ser modificado según las opiniones de las Unidades Administrativas, necesidades, posibilidades y recursos con los que cuente el Secretariado Ejecutivo, atentos a los principios de austeridad.
Artículo 34. La Dirección General de Vinculación y Seguimiento podrá requerir a las autoridades hacendarias, instituciones en materia de seguridad pública, Secretariados Ejecutivos Estatales y municipios, toda clase de informes, documentos, instrumentos y mecanismos referentes al ejercicio de los recursos que se haya acordado en los Convenios Específicos de Adhesión y Anexos Técnicos respectivos.
SECCIÓN II
DEL DESARROLLO DE LAS VISITAS DE VERIFICACIÓN Y/O REVISIONES DE GABINETE
Artículo 35. Las Visitas de Verificación y/o Revisiones de Gabinete se notificarán con una anticipación de cinco (5) días hábiles, mediante oficio de orden, correo electrónico y/o correo postal, dirigido al Secretariado Ejecutivo Estatal, señalando al servidor o servidores públicos que llevarán a cabo el desarrollo de las mismas, así como el periodo, objetivo, documentación y rubros a revisar.
Para efectos del párrafo anterior y con relación a las visitas de verificación, las Unidades Administrativas participantes deberán designar mediante oficio a los servidores públicos adscritos a su Unidad Administrativa e informar a la Dirección General de Vinculación y Seguimiento, quien a su vez emitirá el oficio único de los servidores públicos que llevarán a cabo la Visita de Verificación. Así mismo la Entidad Federativa deberá designar por escrito a un servidor público que fungirá como enlace responsable de atender los requerimientos que deriven.
Artículo 36. Los servidores públicos designados como Enlace de las entidades federativas y/o municipios seleccionados, están obligados en los términos normativos aplicables a proporcionar todas las facilidades necesarias, atender los requerimientos que al respecto se les formulen y, en su caso, firmar el acta circunstanciada de la Visita de Verificación y los Anexos correspondientes.
Artículo 37. La Entidad Federativa y/o municipio únicamente podrán solicitar prórroga para atender a los servidores públicos designados para llevar a cabo la Visita de Verificación, cuando por situaciones extraordinarias de alteración del orden y la paz públicos, emergencia o desastre natural con declaratoria emitida en términos de la Ley General de Protección Civil o por emergencia extraordinaria sanitaria emitida por el Consejo de Salubridad General, se vean imposibilitados para su cumplimiento.
La Dirección General de Vinculación y Seguimiento, analizará la justificación expuesta y notificará la resolución a la Entidad Federativa, por conducto del Secretariado Ejecutivo Estatal, en un plazo no mayor a tres (3) días hábiles.
Artículo 38. La Dirección General de Vinculación y Seguimiento notificará a la entidad federativa visitada o revisada los incumplimientos y/o inconsistencias detectadas, para que en un plazo de diez (10) días hábiles a partir del día siguiente al de su recepción, manifieste lo que a su derecho convenga y aporte la información necesaria para solventar los señalamientos que se le formulen.
Una vez recibida y analizada la información referida en el párrafo anterior, se informará a la entidad federativa el resultado final de la Visita de Verificación y/o Revisión de Gabinete. Aquella información que fuera entregada fuera del plazo establecido en el presente artículo será desechada, ratificando los resultados.
Para el caso de que se confirme el incumplimiento por parte de la Entidad Federativa y/o Municipio a los presentes Lineamientos, la Dirección General de Vinculación y Seguimiento remitirá el informe donde se determine el incumplimiento, a la Dirección General de Asuntos Jurídicos del Secretariado Ejecutivo, para que de acuerdo a la normatividad en la materia, se vista a la Auditoría Superior de la Federación y/o a las Instancias Fiscalizadoras Locales, y demás autoridades competentes, con objeto de que en el ámbito de su competencia ejerzan sus facultades, o en su caso, las acciones que resulten procedentes.
CAPÍTULO V
DEL CIERRE DEL EJERCICIO
SECCIÓN I
DEL CIERRE DEL EJERCICIO PROGRAMÁTICO PRESUPUESTAL
Artículo 39. Las entidades federativas, deberán entregar a la Dirección General de Vinculación y Seguimiento, a más tardar el último día hábil de abril del 2025, el acta de cierre con firmas autógrafas de las autoridades correspondientes con la siguiente documentación:
I.       Reporte de la aplicación de los recursos convenidos y del cumplimiento de metas correspondiente al cuarto trimestre del 2024, en los formatos establecidos por la Dirección General de Vinculación y Seguimiento. Este documento deberá entregarse impreso y con firmas autógrafas;
II.      Comprobantes de reintegro a la Tesorería de la Federación por conceptos de recursos federales y comprobantes de reintegro a la Entidad Federativa por concepto de recursos estatales, documento impreso y digital; y
III.     Constancia de cancelación de las cuentas bancarias productivas específicas abiertas en el ejercicio fiscal 2024 para la administración de los recursos convenidos.
La información contenida en el citado artículo, será responsabilidad de la Entidad Federativa. En el caso de que se detecte incumplimiento con las obligaciones referidas en el presente artículo, se dará vista a la Auditoría Superior de la Federación.
De igual forma, aquella información que fuera entregada fuera del plazo establecido en el presente artículo no será considerada para su revisión y análisis en el cierre del ejercicio, procediéndose a dar vista a la Auditoría Superior de la Federación.
Artículo 40. La Dirección General de Vinculación y Seguimiento remitirá a las Unidades Administrativas, dentro de los diez (10) días hábiles siguientes a la recepción de la documentación referida en la fracción I del artículo anterior, una copia de la misma, con la finalidad de que en un término no mayor a diez (10) días hábiles remitan un informe final con el avance en el cumplimiento de metas de las entidades federativas al cierre del ejercicio.
Artículo 41. Cuando se identifiquen posibles incumplimientos e inconsistencias entre la información proporcionada por las entidades federativas y el informe final remitido por las Unidades Administrativas, la Dirección General de Vinculación y Seguimiento podrá requerir su solventación.
Las entidades federativas deberán desahogar el requerimiento en un plazo no mayor a diez (10) días hábiles siguientes a la fecha de notificación del mismo.
Una vez revisada y analizada la información, se emitirá un informe final del Cierre del Ejercicio, por lo que en caso de que el requerimiento no sea atendido o fuera insuficiente, se informará a la Dirección General de Asuntos Jurídicos para que a su vez vista a la Auditoría Superior de la Federación.
SECCIÓN II
DE LOS REINTEGROS
Artículo 42. El reintegro de los recursos convenidos se sujetará a lo siguiente:
I. Cuando los recursos convenidos no se encuentren devengados al 31 de diciembre de 2024, deberán reintegrarse con sus rendimientos financieros no aplicados, a la Tesorería de la Federación y a las entidades federativas, según corresponda el origen de los recursos, a más tardar el 15 de enero de 2025;
II. Sin perjuicio de lo anterior, cuando los recursos convenidos se encuentren comprometidos o devengados pero no pagados al 31 de diciembre de 2024, se deberán cubrir los pagos respectivos a más tardar durante el primer trimestre del ejercicio fiscal 2025, y una vez cumplido el plazo referido, los recursos remanentes con sus rendimientos financieros no aplicados, deberán reintegrarse a la Tesorería de la Federación a más tardar dentro de los quince (15) días naturales siguientes, y
III. Cuando se haya dado por terminado anticipadamente el Convenio Específico de Adhesión y su Anexo Técnico por incumplimiento a los presentes Lineamientos, las entidades federativas que hayan recibido la primera o segunda ministración, deberán reintegrar los recursos con los rendimientos financieros que no hayan sido devengados, acreditando que los recursos devengados fueron erogados en los términos
convenidos.
En caso contrario, estos recursos también deberán ser reintegrados y la Entidad Federativa tendrá la obligación de cubrir las cargas financieras a la Tesorería de la Federación o, en su caso, a la Entidad Federativa según corresponda el origen de los recursos, con base en las disposiciones aplicables.
En los casos previstos en las fracciones I, II y III del presente artículo, las entidades federativas deberán solicitar por oficio a la Dirección General de Vinculación y Seguimiento la línea de captura para el reintegro de recursos federales no aplicados, dentro de los siguientes cinco (5) días hábiles a que se den los supuestos previstos en el presente artículo; así como el procedimiento para el reintegro de rendimientos financieros no aplicados.
Los recursos de origen estatal deberán reintegrarse conforme a lo que establezca cada Entidad Federativa.
CAPÍTULO VI
DEL INCUMPLIMIENTO
Artículo 43. Serán motivo del procedimiento previsto en el presente Capítulo, los incumplimientos siguientes:
I.       No destinar los recursos federales y de origen estatal exclusivamente al cumplimiento de los fines previstos en el Convenio Específico de Adhesión y su Anexo Técnico;
II.      No comprobar la transferencia por parte de las entidades federativas o en su caso no acreditar la entrega en especie conforme a los informes mensuales y lo estipulado en los presentes Lineamientos;
III.     No aceptar la realización de revisiones y visitas de supervisión e inspección;
IV.     La falta de atención a los requerimientos relacionados con el ejercicio de los recursos o cumplimiento de metas efectuados por la Dirección General de Vinculación y Seguimiento;
V.      No proporcionar el Fondo de Apoyo a las Instituciones de Seguridad Pública de los Municipios convenidos; y
VI.     Destinar recursos a aquéllos municipios que omitan presentar los informes trimestrales del ejercicio fiscal 2023 al Secretariado Ejecutivo Estatal del avance físico financiero de los Fondos de Ayuda Federal que se destinan a la atención de necesidades directamente vinculadas con la seguridad pública, en cumplimiento a los propósitos de los Programas con Prioridad Nacional y Subprogramas vigentes, conforme a lo que establece el artículo 142 párrafo cuatro de la Ley General y Lineamientos aplicables.
Artículo 44. El procedimiento de incumplimiento se sujetará a lo siguiente:
I.       La Dirección General de Vinculación y Seguimiento notificará a las entidades federativas, el incumplimiento en que incurrió, en un plazo no mayor a cinco (5) días hábiles siguientes a la fecha en que dicha Dirección General tuvo conocimiento del mismo;
II.      La Entidad Federativa, en un plazo no mayor a cinco (5) días hábiles siguientes a la fecha de notificación, manifestará lo que a su derecho convenga y aportará, en su caso, las pruebas que estime pertinentes;
III.     Las Unidades Administrativas competentes recibirán de la Dirección General de Vinculación y Seguimiento en un plazo no mayor a cinco (5) días hábiles siguientes a la recepción de la respuesta de la Entidad Federativa, para que determinen si existe o no incumplimiento, lo cual deberán dictaminar en un plazo no mayor a cinco (5) días hábiles posteriores a la recepción de la información; y
IV.     La Dirección General de Vinculación y Seguimiento dentro de los diez (10) días hábiles siguientes a la recepción del último dictamen que emita la Unidad Administrativa competente, resolverá lo que en derecho corresponda. En la misma resolución, en caso de incumplimiento, ordenará el reintegro de los recursos federales y sus rendimientos financieros; dicha resolución será notificada en un plazo no mayor a cinco (5) días hábiles.
En este supuesto, la Entidad Federativa deberá entregar a la Dirección General de Vinculación y Seguimiento el acta de cierre con corte a la fecha que establezca la resolución, la cancelación de la cuenta bancaria productiva específica y la documentación que acredite los recursos devengados y/o pagados, dentro de los diez (10) días hábiles posteriores a la notificación de la resolución.
CAPÍTULO VII
DE LOS DERECHOS Y OBLIGACIONES
SECCIÓN I
DE LAS ENTIDADES FEDERATIVAS
Artículo 45. Son derechos de la Entidad Federativa, los siguientes:
I. Acceder a los recursos del FOFISP una vez que cumplan los requisitos establecidos en los presentes Lineamientos, Convenio Específico de Adhesión y su Anexo Técnico;
II. Recibir asesoría, capacitación y asistencia técnica de manera continua y permanente de la Dirección General de Vinculación y Seguimiento y las Unidades Administrativas en razón de su competencia para el ejercicio de los recursos convenidos;
III. Solicitar las ministraciones de los recursos federales, adecuaciones a las metas y montos de los recursos convenidos en los plazos establecidos, siempre y cuando cumpla con la normatividad aplicable;
IV. Solicitar, el acceso a la Bolsa de Recursos Concursables en los plazos establecidos, siempre y cuando cumpla con los presentes Lineamientos y con los Criterios para el acceso a la Bolsa de Recursos Concursables; y
V. Solicitar del titular de la Dirección General de Vinculación y Seguimiento, las visitas que sean necesarias para conocer las necesidades inherentes a los recursos y que tengan como propósito fortalecer la coordinación y seguimiento.
Artículo 46. Son obligaciones de la Entidad Federativa, las siguientes:
I. Entregar a la Dirección General de Vinculación y Seguimiento el día de la concertación, los documentos establecidos en los presentes Lineamientos;
II. Establecer un Fondo de Apoyo a las Instituciones de Seguridad Pública de los Municipios, en especial aquéllos con menor población o mayor grado de marginación. Los recursos que se asignen por cada Entidad Federativa deberán ser, al menos, en una proporción uno a uno respecto de los recursos federales;
III. Coordinarse con los municipios que autorice la Dirección General de Vinculación y Seguimiento a propuesta de la Entidad Federativa, para la integración del proyecto de inversión respecto los recursos estatales;
IV. Remitir a la Dirección General de Vinculación y Seguimiento el recibo por concepto de las ministraciones de los recursos federales, en los términos que para tal efecto se establezcan;
V. Ejercer los recursos para el cumplimiento de las metas convenidas, con base en lo establecido en los presentes Lineamientos, los Convenios Específicos de Adhesión, Anexos Técnicos, Proyectos de Inversión y demás normativa aplicable;
VI. Establecer una cuenta bancaria productiva específica generadora de rendimientos financieros y abierta por la Entidad Federativa para la administración de los recursos federales, no pudiendo ser consideradas como tales aquellas cuentas que representen riesgos para los recursos, así como una cuenta con las mismas características para la administración de los recursos que aporte la Entidad Federativa;
VII. Registrar los avances físico-financieros mensuales y trimestrales a través del mecanismo de seguimiento que establezca el Secretariado Ejecutivo y presentarlos a la Dirección General de Vinculación y Seguimiento;
VIII. Atender en tiempo y forma las solicitudes de información que realice el Secretariado Ejecutivo sobre la administración y avances en la aplicación de los recursos convenidos, así como permitir llevar a cabo las visitas y acciones de verificación sobre su aplicación que estime pertinentes, dando el acceso a equipo, material, información, registros y documentos requeridos para ejecutar el seguimiento de las acciones realizadas;
IX. Cancelar la documentación comprobatoria original del gasto con la leyenda "Operado FOFISP 2024", o como se establezca en las disposiciones locales, y reportarla en caso de requerimiento al Secretariado Ejecutivo;
X. Obtener de la Dirección General de Apoyo Técnico las validaciones de cursos de capacitación, la Entidad Federativa deberá presentar a la Dirección General de Vinculación y Seguimiento las solicitudes correspondientes a más tardar el 15 de julio de 2024; en caso de ser presentadas con posterioridad a la fecha señalada, serán desechadas, todas las acciones de capacitación deberán concluir a más tardar el último día hábil del mes diciembre del 2024;
XI. Remitir a la Dirección General de Vinculación y Seguimiento dentro de los siguientes diez (10) días hábiles, contados a partir de que el curso haya concluido, la Ficha de Verificación y Seguimiento y el reporte de cumplimiento de metas, debidamente firmados por las autoridades competentes, de acuerdo a los formatos que para dicho fin emita la Dirección General de Apoyo Técnico;
XII. Remitir a la Dirección General de Vinculación y Seguimiento el Formato Único de Resultados de la Evaluación de Competencias Básicas del Policía Preventivo en activo y El Formato Único de Resultados de la Evaluación del Desempeño del personal en activo de las Instituciones de Seguridad Pública, debidamente firmados por las autoridades correspondientes;
XIII. Remitir los proyectos de Reglamento, Catálogo de Puestos, Manual de Organización, Manual de Procedimientos y, en su caso, la presentación del software denominado Herramienta de Seguimiento y Control, todos del Servicio Profesional de Carrera, para su revisión o en su caso acreditación, así como los documentos que acrediten el cumplimiento de las metas del Servicio Profesional de Carrera, conforme al Anexo Técnico correspondiente;
XIV. Remitir los Informes del avance de cumplimiento de metas de evaluación de control de confianza, los cuales deberán ser emitidos por el Centro Estatal de Evaluación y Control de Confianza a través de los mecanismos, formatos y/o plazos que determine el Centro Nacional de Certificación y Acreditación;
XV. Las evaluaciones de control de confianza convenidas deberán ser aplicadas a más tardar al 31 de diciembre de 2024;
XVI. Informar mediante oficio al Secretariado Ejecutivo, los casos de cambio en la designación de la persona que funja como enlace;
XVII. Colaborar y participar en términos de la normativa aplicable, en operativos conjuntos con las autoridades competentes;
XVIII. Dirigir toda la documentación que se remita al Secretariado Ejecutivo, a la Dirección General de Vinculación y Seguimiento, la cual fungirá como ventanilla única;
XIX. Remitir las actas de cierre y la documentación dentro de los plazos establecidos en los presentes Lineamientos;
XX. Informar al Secretariado Ejecutivo el cambio de administración que en su caso se realice durante el ejercicio fiscal 2024, para lo cual deberá remitir con quince (15) días hábiles de anticipación al cambio, un pre cierre en el que refleje el estado que guarda la aplicación de los recursos convenidos y el avance en el cumplimiento de metas;
XXI. Acompañamiento a los municipios en las visitas y acciones de verificación sobre la aplicación del recurso convenido, facilitando el acceso a equipo, material, información, registros y documentos requeridos para ejecutar el seguimiento de las acciones realizadas; y
XXII. Las demás establecidas en el Convenio Específico de Adhesión, Anexo Técnico y las disposiciones aplicables.
SECCIÓN II
DE LOS MUNICIPIOS
Artículo 47. Son derechos de los municipios beneficiados, con los recursos estatales, los siguientes:
I. Recibir los recursos, que le haya asignado la Entidad Federativa, conforme a los proyecto de inversión;
II. A la asesoría, capacitación y asistencia técnica de manera continua y permanente de la Dirección General de Vinculación y Seguimiento y de las Unidades Administrativas, a través de la Entidad Federativa en razón de su competencia para el ejercicio de los recursos;
III. Que la Entidad Federativa realice las acciones necesarias ante el Secretariado Ejecutivo para las validaciones relacionadas con la capacitación y proyectos de inversión que así lo requieran, de las Unidades Administrativas; y
IV. Al acompañamiento de la Entidad Federativa, cuando en el municipio que recibió recursos de origen estatal, se lleven a cabo visitas y acciones de verificación sobre la aplicación del recurso convenido, facilitando el acceso a equipo, material, información, registros y documentos requeridos para ejecutar el seguimiento de las acciones realizadas.
Artículo 48. Son obligaciones de los municipios, las siguientes:
I. Atender en tiempo y forma, a través de los Secretariados Ejecutivos Estatales, las solicitudes de información que realice el Secretariado Ejecutivo, sobre el avances del ejercicio de los recursos estatales convenidos y asignados del FOFISP;
II. Colaborar con la Entidad Federativa, en el envío de información que tenga como propósito solicitar las validaciones relacionadas con la capacitación y proyectos de inversión que así lo requieran, de las Unidades Administrativas, hasta su conclusión;
III. Proporcionar la información que la Entidad Federativa requiera, para el cumplimiento del envío de los informes correspondientes al avance físico financiero;
IV. Realizar las acciones que solicite la Entidad Federativa, para la atención de los requerimientos que realice el Secretariado Ejecutivo, encaminados al cumplimiento de los acuerdos y exhortos que emita el Consejo Nacional de Seguridad Pública; y
V. Las demás establecidas en las disposiciones aplicables.
SECCIÓN III
DEL SECRETARIADO EJECUTIVO
Artículo 49. Son obligaciones del Secretariado Ejecutivo, las siguientes:
I. Emitir las disposiciones referidas en los presentes Lineamientos;
II. Brindar, a través de las Unidades Administrativas, asesoría y asistencia técnica para el debido ejercicio de los recursos convenidos de manera continua y permanente;
III. El Secretariado Ejecutivo, a través de la Dirección General de Vinculación y Seguimiento, deberá publicar y actualizar trimestralmente en su página de Internet un reporte especial sobre el ejercicio de los recursos, con base en la información que le proporcionen las entidades federativas de los recursos;
IV. Proceder, en los términos de los Lineamientos y demás normativa aplicable, en caso de incumplimiento de las obligaciones a que están sujetas las entidades federativas; y
V. Las demás referidas en el Convenio Específico de Adhesión, su Anexo Técnico y las disposiciones aplicables.
Artículo 50. Son obligaciones de las Unidades Administrativas, las siguientes:
I. Dictaminar sobre la procedencia de las solicitudes de incorporación de conceptos al Catálogo en el ámbito de su competencia;
II. Validar las metas y montos de su competencia que serán incorporados en el Anexo Técnico, los cuales deberán estar alineados a los Ejes Estratégicos, Programas con Prioridad Nacional y, en su caso, Subprogramas, de su competencia y destinos de gasto;
III. Dar seguimiento a los compromisos adquiridos por la Entidad Federativa, respecto a lo establecido en los Convenios Específicos de Adhesión y sus Anexos Técnicos, en el ámbito de su competencia;
IV. Dictaminar las solicitudes y proyectos de su competencia, en los plazos previstos en los Lineamientos y la normatividad aplicable;
V. Emitir opinión en el ámbito de su competencia respecto del contenido de los programas de capacitación que pretenda realizar la Entidad Federativa, (o en su caso municipio) dentro de un plazo de cinco (5) días hábiles siguientes a la recepción del oficio de solicitud a la Dirección General de Apoyo Técnico;
VI. Emitir por una sola ocasión comentarios y en su caso, el registro correspondiente respecto al contenido del Reglamento, Catálogo de Puestos, Manual de Organización, Manual de Procedimientos y del Software denominado Herramienta de Seguimiento y Control, todos del Servicio Profesional de Carrera;
VII. Realizar el seguimiento en el cumplimiento de las metas convenidas, en coordinación con la Dirección General de Vinculación y Seguimiento;
VIII. Apoyar a la Dirección General de Vinculación y Seguimiento con el desarrollo del programa de verificación que aplicará en el ejercicio fiscal correspondiente;
IX. Las Unidades Administrativas facultadas para resguardar en original los Convenios Específicos de Adhesión y los Anexos Técnicos del FOFISP serán exclusivamente la Dirección General de Asuntos Jurídicos y la Dirección General de Vinculación y Seguimiento conforme su respectiva competencia;
X. Revisar los informes de cumplimiento de metas remitidos por las entidades federativas; elaborar y enviar a la Dirección General de Vinculación y Seguimiento, el reporte de revisión de los mismos en el formato y términos que ésta determine, atendiendo las obligaciones del cierre del ejercicio; y
XI. Las demás establecidas en los Lineamientos.
Artículo 51. Son obligaciones de la Dirección General de Administración, las siguientes:
I. Realizar los registros correspondientes en la cuenta de la Hacienda Pública Federal;
II. Realizar las acciones necesarias para la ministración de los recursos federales a las entidades federativas, en las cuentas bancarias productivas específicas, de acuerdo con lo establecido en la solicitud de ministración que realice la Dirección General de Vinculación y Seguimiento;
III. Transferir a las entidades federativas, en un plazo no mayor a cinco (5) días hábiles, a que reciba la solicitud de ministración del recurso por parte la Dirección General de Vinculación y Seguimiento, conforme a las disponibilidades presupuestarias en el calendario del gasto autorizado, así como informar a dicha Unidad Administrativa la fecha de transferencia de los recursos de las ministraciones señaladas a más tardar al tercer día hábil siguiente de su realización, debiendo proporcionar copia de la Cuenta por Liquidar Certificada (CLC) correspondiente;
IV. Informar a la Dirección General de Vinculación y Seguimiento a más tardar el 16 de agosto, el monto de los recursos al 19 de septiembre del año en curso estuvieran disponibles del FOFISP.
V. Transferir a las entidades federativas en un plazo no mayor a cinco (5) días hábiles, a que reciba la solicitud de ministración de los recursos que deriven de la Bolsa de Recursos Consursables, por parte la Dirección General de Vinculación y Seguimiento, conforme a las disponibilidades presupuestarias; e
VI. Informar periódicamente a la Dirección General de Vinculación y Seguimiento sobre los reintegros de los recursos federales realizados por las entidades federativas.
Artículo 52. Son obligaciones de la Dirección General de Vinculación y Seguimiento, las siguientes:
I. Coordinar con las Unidades Administrativas y las entidades federativas, la suscripción de los Convenios Específicos de Adhesión y Anexos Técnicos;
II. Verificar el cumplimiento de los requisitos del acceso a los recursos federales y a los de origen estatal;
III. Autorizar y gestionar ante la Dirección General de Administración las ministraciones del FOFISP, previo cumplimiento de los requisitos y obligaciones previstos en estos Lineamientos;
IV. Solicitar a la Entidad Federativa, realice la aportación de los recursos de origen estatal convenidos conforme a la autorización de la Dirección General de Vinculación y Seguimiento;
V. Realizar las notificaciones y actuaciones necesarias para dar cumplimiento a lo establecido en los Lineamientos mediante correo certificado, correo electrónico o algún medio de validez jurídica;
VI. Notificar a las entidades federativas sobre las afectaciones presupuestarias y la cancelación de los recursos convenidos;
VII. Determinar el programa de verificación aplicable al ejercicio fiscal;
VIII. Realizar Visitas de Verificación y/o Revisiones de Gabinete, en coordinación con las Unidades Administrativas que estén interesadas en participar, conforme al programa de verificación;
IX. Solicitar a las entidades federativas la información relacionada con la comprobación de la aplicación de los recursos convenidos, así como el reintegro de los recursos federales; los de origen estatal los solicitará la Entidad Federativa conforme a la notificación correspondiente;
X. Cancelar las ministraciones en los términos previstos en los Lineamientos;
XI. Realizar el seguimiento físico-financiero de la aplicación de los recursos convenidos y el cumplimiento de metas, en coordinación con las Unidades Administrativas;
XII. Dar vista a los órganos fiscalizadores competentes cuando detecte que los recursos son administrados en instrumentos distintos a las cuentas bancarias productivas específicas;
XIII. Emitir y publicar el Catálogo de bienes y servicios en la página del Secretariado Ejecutivo;
XIV. Informar a la Dirección General de Administración, cuando las entidades federativas opten por no adherirse a los recursos federales del FOFISP;
XV. Revisar la documentación correspondiente al cierre del ejercicio de los recursos convenidos;
XVI. Emitir un informe final como resultado de las Visitas de Verificación, Revisiones de Gabinete e Informes Finales remitidos por la Unidades Administrativas competentes con la información proporcionada por las entidades federativas y como parte de la Transparencia y rendición de cuentas, mismo que deberá publicarse en la página de internet del Secretariado Ejecutivo.
CAPÍTULO VIII
DE LA TRANSPARENCIA Y RENDICIÓN DE CUENTAS
Artículo 53. Los recursos federales del FOFISP estarán sujetos a la fiscalización y auditoría de las Secretarías de Hacienda y Crédito Público, de la Función Pública, la Auditoría Superior de la Federación y demás órganos supervisores, en el ámbito de sus respectivas competencias y en términos de la normativa aplicable.
Los recursos de origen estatal estarán sujetos a la supervisión de los órganos fiscalizadores competentes de las entidades federativas.
Artículo 54. Corresponderá al Secretariado Ejecutivo trasparentar la asignación, ministración, ejercicio y seguimiento de los recursos convenidos en los Programas con Prioridad Nacional y Subprogramas, a fin de dar cumplimiento a la Ley General de Transparencia y Acceso a la Información Pública, a la Ley Federal de Transparencia y Acceso a la Información Pública y 85 y 106 de la Ley Federal de Presupuesto y Responsabilidad Hacendaria.
Las entidades federativas y los municipios, en el ámbito de su competencia, deberán dar cumplimiento, entre otros, al artículo 70, fracciones XXVI y XLIII de la Ley General de Transparencia y Acceso a la Información Pública.
Artículo 55. El Secretariado Ejecutivo y las entidades federativas harán públicos los Convenios Específicos de Adhesión y sus Anexos Técnicos, siempre que no se comprometan las acciones en materia de seguridad pública.
Artículo 56. El Secretariado Ejecutivo y las entidades federativas determinarán la información que será sujeta a la confidencialidad y reserva a que se refiere la Ley General de Transparencia y Acceso a la Información Pública y demás disposiciones aplicables.
Artículo 57. Las entidades federativas promoverán la participación de la sociedad civil organizada en el seguimiento de los recursos convenidos.
TRANSITORIOS
PRIMERO.- Los presentes Lineamientos entrarán en vigor al día siguiente de su publicación en el Diario Oficial de la Federación.
SEGUNDO.- El Comité de FOFISP previsto en el artículo 27 de los Lineamientos deberá aprobar en su primera sesión ordinaria los estatutos que regirán su organización y funcionamiento.
Ciudad de México, 18 de diciembre de 2023.- Secretario Ejecutivo Adjunto del Secretariado Ejecutivo del Sistema Nacional de Seguridad Pública, Lic. Fernando Bedel Tiscareño Luján.- Rúbrica.
ANEXO 2 DEL ACUERDO 07/XLIX/2023
CRITERIOS DE DISTRIBUCIÓN, FÓRMULAS Y VARIABLES PARA LA ASIGNACIÓN DE LOS RECURSOS DEL FONDO PARA EL FORTALECIMIENTO DE LAS INSTITUCIONES DE SEGURIDAD PÚBLICA(1) (FOFISP) PARA EL EJERCICIO FISCAL 2024.
I. Criterios de Distribución.
De conformidad con el artículo 6, fracción X, párrafo tercero, inciso a) del Presupuesto de Egresos de la Federación para el ejercicio fiscal 2024 (PEF 2024) así como, con el artículo Segundo Transitorio tercer párrafo del Decreto por el que se reforma el Artículo Quinto Transitorio del Decreto por el que se reforman, adicionan y derogan diversas disposiciones de la Constitución Política de los Estados Unidos Mexicanos, en materia de Guardia Nacional, publicado en el Diario Oficial de la Federación el 26 de marzo de 2019; los criterios conforme a los cuales se distribuirán los recursos del FOFISP para el ejercicio fiscal 2024, son los siguientes:
A.    Población, y
B.    Mejor Desempeño en Materia de Seguridad Pública.
II.    Ponderación de los Criterios de Distribución.
Los recursos del FOFISP para el ejercicio fiscal 2024, se asignarán conforme a los anteriores criterios y ponderaciones siguientes:
A.    Setenta y cinco (75) por ciento para el criterio de Población, y
B.    Veinticinco (25) por ciento para el criterio de Mejor Desempeño en Materia de Seguridad Pública.
III.    Fórmulas y Variables de Distribución.
Los recursos del FOFISP para el ejercicio fiscal 2024 quedarán definidos en primera instancia mediante la siguiente fórmula:

Donde:
:       Es el monto total del Fondo Permanente para el Fortalecimiento de las Instituciones de Seguridad Pública (FOFISP), dispuesto en el Presupuesto de Egresos de la Federación para el ejercicio fiscal 2024.
:     Es el monto a distribuir entre las entidades federativas, publicado en el Presupuesto de Egresos de la Federación perteneciente al ramo 36 (Seguridad y Protección Ciudadana).
:             Resultado de la aplicación de las fórmulas y variables correspondiente al criterio de Población.
:             Resultado de la aplicación de las fórmulas y variables correspondiente al criterio de Mejor Desempeño en Materia de Seguridad Pública.
A.    Fórmulas y Variables del Criterio de Población.
Población de la entidad federativa.- Refleja la proporción de la población en la entidad federativa de acuerdo con el Censo de Población y Vivienda 2020 publicado por el Instituto Nacional de Estadística y Geografía (INEGI).(2)
El monto correspondiente al criterio de Población será el setenta y cinco (75) por ciento del monto total a distribuir entre las entidades federativas.


Donde cada una de las variables representa lo siguiente:
:             Resultado de la aplicación de las fórmulas y variables correspondiente al criterio de Población.
:        Es el monto a distribuir por entidad federativa , correspondiente al indicador de Población.
:     Es el monto a distribuir entre las entidades federativas, publicado en el Presupuesto de Egresos de la Federación perteneciente al ramo 36 (Seguridad y Protección Ciudadana).
:       Es la población en la entidad federativa , de acuerdo con el Censo de Población y Vivienda 2020 publicado por el Instituto Nacional de Estadística y Geografía.
Fuente de información: Censo de Población y Vivienda 2020 INEGI. https://www.inegi.org.mx/app/
tabulados/interactivos/?pxq=Poblacion_Poblacion_01_e60cd8cf-927f-4b94-823e-
972457a12d4b&idrt=123&opc=t
B.    Fórmulas y Variables del Criterio de Mejor Desempeño en Materia de Seguridad Pública.
Mejor Desempeño en Materia de Seguridad Pública.- Refleja la proporción de los mejores resultados en materia de seguridad pública por entidad federativa tales como, la disminución en la incidencia delictiva de alto impacto social entre otros, conforme a variables alineadas a los Programas con Prioridad Nacional aprobados mediante acuerdo 06/XLVIII/22 en la Cuadragésima Octava Sesión Ordinaria del Consejo Nacional de Seguridad Pública celebrada el 2 de diciembre de 2022 y sus respectivos subprogramas.
El monto correspondiente a este criterio, se obtiene al multiplicar el monto total a distribuir entre las entidades federativas, por la suma ponderada de los indicadores que conforman el criterio de Mejor Desempeño en Materia de Seguridad Pública. Dicho monto será el veinticinco (25) por ciento del monto total a distribuir entre las entidades federativas como se muestra a continuación.


Donde:
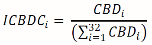
:             Es el monto por entidad federativa , correspondiente al criterio de Mejor Desempeño en Materia de Seguridad Pública.
:     Es el monto a distribuir entre las entidades federativas, publicado en el Presupuesto de Egresos de la Federación perteneciente al ramo 36 (Seguridad y Protección Ciudadana).
:         Índice de avance en la obtención del Certificado Único Policial de la entidad federativa .
:            Índice del nivel de aprobación en exámenes de Control de Confianza de la entidad federativa .
:           Índice de depuración del Registro Nacional de Personal de Seguridad Pública con respecto a las altas y bajas acumuladas mensualmente en la entidad federativa .
:          Índice de disponibilidad de la Red Nacional de Radiocomunicación en la entidad federativa .
:           Índice de llamadas procedentes del número de atención de llamadas de emergencia 9-1-1 en la entidad federativa .
:        Índice de cumplimiento en las bases de datos criminalísticas de acuerdo con la Metodología para la Evaluación de las Bases de Datos Criminalísticas y de Personal de Seguridad Pública(3) en la entidad federativa .
:            Índice de disminución en la Incidencia Delictiva de alto impacto social considerando: Extorsión, Secuestro, Homicidio Doloso, Feminicidio, Robos con y sin violencia considerando a: Casa Habitación, Negocio, Vehículos, Transportistas, Transeúntes e Instituciones Bancarias, comparando un periodo anual con respecto al inmediato anterior en la entidad federativa .
:          Índice de avance en el Registro Público Vehicular en la entidad federativa .
:          Índice del Desempeño Policial en la entidad federativa .
:           Es el índice de victimización inversa con respecto al total de la población de 18 años y más en la entidad federativa en 2021, de acuerdo con los datos de la ENVIPE 2022.
El resultado de la aplicación de las fórmulas y variables del criterio de Mejor Desempeño en Materia de Seguridad Pública se obtiene a través de los indicadores siguientes:
I.     Avance en la Obtención del Certificado Único Policial. Mide el avance porcentual del número de elementos (policías estatales, ministeriales o de investigación y custodios) que cuentan con su Certificado Único Policial, con respecto al Estado de Fuerza total susceptible de obtener el Certificado Único Policial(4) en la entidad federativa .

Donde:
:  Índice de avance en la Obtención del Certificado Único Policial de la entidad federativa .
:   Número de elementos del Estado de Fuerza susceptible de obtener el Certificado Único Policial (policías estatales, ministeriales o de investigación y custodios) de la entidad federativa que cuentan con el Certificado Único Policial.
:      Estado de Fuerza susceptible de obtener el Certificado Único Policial (policías estatales, ministeriales y custodios) de la entidad federativa .
Fuente de información: Información suministrada por las entidades federativas en el Registro Nacional de Personal de Seguridad Pública y proporcionada por Plataforma México a través del Centro Nacional de Información del Secretariado Ejecutivo del Sistema Nacional de Seguridad Pública (SESNSP) con fecha de corte al 30 de septiembre de 2023.
II.     Nivel de aprobación en exámenes de Control de Confianza. Mide el avance porcentual del número de elementos (policías estatales, ministeriales o de investigación y custodios) con exámenes de Control de Confianza Aprobados, con respecto al Estado de Fuerza total4 susceptible de obtener el Certificado Único Policial (policías estatales, ministeriales o de investigación y custodios) en la entidad federativa .

Donde:
:     Índice de aprobación en el examen de Control de Confianza de la entidad federativa .
:      Número de elementos del Estado de Fuerza susceptible de obtener el Certificado Único Policial (policías estatales, ministeriales o de investigación y custodios) de la entidad federativa , que aprobaron sus exámenes de Control de Confianza.
:      Estado de Fuerza susceptible de obtener el Certificado Único Policial (policías estatales, ministeriales o de investigación y custodios) de la entidad federativa .
Fuente de información: Centro Nacional de Certificación y Acreditación (CNCA) - Secretariado Ejecutivo del Sistema Nacional de Seguridad Pública (SESNSP). Centros de Evaluación y Control de Confianza con fecha de corte al 30 de septiembre de 2023.
III.    Depuración del Registro Nacional de Personal de Seguridad Pública. Mide la actualización del Registro Nacional de Personal de Seguridad Pública en cuanto a sus altas y bajas acumuladas mensualmente, respecto al listado nominal proporcionado mensualmente por la entidad federativa , respectivamente.

Donde:
:   Índice de depuración del Registro Nacional de Personal de Seguridad Pública con respecto a las altas y bajas acumuladas mensualmente en la entidad federativa .
:     Índice de actualización del Registro Nacional de Personal de Seguridad Pública con respecto a las altas acumuladas mensualmente en la entidad federativa , calculado a partir de la proporción directa de la diferencia contra el promedio porcentual nacional y sólo sí, es menor al mismo, en caso contrario su valor es cero.
:    Índice de actualización del Registro Nacional de Personal de Seguridad Pública con
respecto a las bajas acumuladas mensualmente en la entidad federativa , calculado a partir de la proporción directa de la diferencia contra el promedio porcentual nacional y sólo sí, es menor al mismo, en caso contrario su valor es cero.
Fuente de información: Centro Nacional de Información (CNI) Secretariado Ejecutivo del Sistema Nacional de Seguridad Pública (SESNSP). Registro Nacional de Personal de Seguridad Pública conforme a la información suministrada por las entidades federativas, y proporcionada por Plataforma México con fecha de corte al 30 de septiembre de 2023.
IV.   Disponibilidad promedio de la Red Nacional de Radiocomunicación. Mide el porcentaje de disponibilidad de la Red Nacional de Radiocomunicación en la entidad federativa , en un periodo que comprende de enero a septiembre de 2023.

Donde:
:  Índice de disponibilidad de la Red Nacional de Radiocomunicación en la entidad federativa en un periodo que comprende de enero a septiembre de 2023.
:  Porcentaje promedio de disponibilidad de la Red Nacional de Radiocomunicación en la entidad federativa en un periodo que comprende de enero a septiembre de 2023.
Fuente de información: Centro Nacional de Información (CNI) - Secretariado Ejecutivo del Sistema Nacional de Seguridad Pública (SESNSP). A partir de la disponibilidad de las redes estatales por entidad federativa con corte al 30 de septiembre de 2023.
V.    Llamadas procedentes del número de atención de llamadas de emergencia 9-1-1. Mide el porcentaje de llamadas procedentes del número de atención de llamadas de emergencia 9-1-1 en la entidad federativa .

Donde:
:    Índice de llamadas procedentes del número de atención de llamadas de emergencia 9-1-1 en la entidad federativa , con respecto a la suma total del porcentaje de llamadas procedentes a nivel nacional.
:    Porcentaje de llamadas procedentes del número de atención de llamadas de emergencia 9-1-1 en la entidad federativa .
Fuente de información: Centro Nacional de Información (CNI) - Secretariado Ejecutivo del Sistema Nacional de Seguridad Pública (SESNSP). Información proporcionada por los Centros de Atención de Llamadas de Emergencia (CALLE) de las distintas entidades federativas. Porcentaje de llamadas procedentes del número de atención de llamadas de emergencia 9-1-1 por entidad federativa con corte al 30 de septiembre de 2023.
VI.   Cumplimiento en las Bases de Datos Criminalísticas. Mide el porcentaje de cumplimiento en las bases criminalísticas de acuerdo con la Metodología para la Evaluación de las Bases de Datos Criminalísticas(5) y de Personal de Seguridad Pública(6) (No considerando al Registro Nacional de Personal de Seguridad Pública para evitar colinealidad con el indicador del numeral III de éste mismo criterio).

Donde:
: Índice de cumplimiento en las bases criminalísticas de acuerdo con la Metodología para la Evaluación de las Bases de Datos Criminalísticas y de Personal de Seguridad Pública en la entidad federativa .
:    Promedio porcentual de los promedios de las evaluaciones de las cinco bases de datos criminalísticas6, de acuerdo con la Metodología para la Evaluación de las Bases de Datos Criminalísticas y de Personal de Seguridad Pública en la entidad federativa .
Fuente de información: Centro Nacional de Información (CNI) - Secretariado Ejecutivo del Sistema Nacional de Seguridad Pública (SESNSP). A partir de los resultados obtenidos mediante la Metodología para la Evaluación de las Bases de Datos Criminalísticas y de Personal de Seguridad Pública por entidad federativa con corte al 30 de septiembre de 2023.
VII.   Disminución de Incidencia Delictiva de Alto Impacto Social. Mide la contribución por cada entidad federativa al decremento de la tasa de prevalencia delictiva de alto impacto social por cada 100 habitantes(7) (Extorsión, Secuestro, Homicidio Doloso, Feminicidio, Robos con y sin violencia considerando a: Casa Habitación, Negocio, Vehículo Automotor, Transportistas, Transeúntes, Transporte Público e Instituciones Bancarias) durante un periodo anual con respecto a otro similar inmediato anterior(8).


Donde:
:     Índice de disminución en las prevalencias delictivas de alto impacto social incluyendo feminicidio por cada 100 habitantes en la entidad federativa .
:     Es la diferencia inversa(9) entre la suma de prevalencias delictivas de alto impacto social por cada 100 habitantes, que incluyen los delitos de Extorsión, Secuestro, Homicidio Doloso, Feminicidio, Robos con y sin violencia considerando, a: Casa Habitación, Negocio, Vehículo Automotor, Transportistas, Transeúntes, Transporte Público e Instituciones Bancarias, durante un periodo anual con respecto a otro similar(10) inmediato anterior, en la entidad federativa .
:     Es la prevalencia delictiva total de alto impacto social por cada 100 habitantes, que incluye los delitos de Extorsión, Secuestro, Homicidio Doloso, Feminicidio, Robos con y sin violencia considerando a: Casa Habitación, Negocio, Vehículo Automotor, Transportistas, Transeúntes, Transporte Público e Instituciones Bancarias, correspondiente a un primer periodo anual en la entidad federativa : De octubre de 2021 a septiembre de 2022.
:     Es la prevalencia delictiva total de alto impacto social por cada 100 habitantes, que incluye los delitos de Extorsión, Secuestro, Homicidio Doloso, Feminicidio, Robos con y sin violencia considerando a: Casa Habitación, Negocio, Vehículo Automotor, Transportistas, Transeúntes, Transporte Público e Instituciones Bancarias, correspondiente a un segundo periodo anual en la entidad federativa : De octubre de 2022 a septiembre de 2023.
Fuente de información: Centro Nacional de Información (CNI) - Secretariado Ejecutivo del Sistema Nacional de Seguridad Pública (SESNSP). Instrumento para el registro, clasificación y reporte de los delitos CNSP/38/15, 2021, 2022 y 2023, con corte al 30 de septiembre de 2023.
VIII.  Avance en el Registro Público Vehicular. Mide los avances en cuanto a la operación y conectividad de los arcos lectores así como, de las constancias colocadas en las entidades federativas.

Donde:
:   Índice de avance en el Registro Público Vehicular en la entidad federativa .
:   Proporción de la suma ponderada porcentual, de la relación de puntos de monitoreo vehicular operando entre los puntos de monitoreo existentes, y la relación de puntos de monitoreo interactuando con la base de datos federal, entre los puntos de monitoreo existentes, al cincuenta (50) por ciento respectivamente, entre la suma de todas las relaciones consideradas por entidad federativa ,
: Número de constancias colocadas en el parque vehicular, entre la suma de éstas relaciones por entidad federativa .
Fuente de información: Dirección General del Registro Público Vehicular (REPUVE. - Secretariado Ejecutivo del Sistema Nacional de Seguridad Pública (SESNSP). Dirección de Implementación Operativa Estatal y Federal. Puntos de monitoreo implementados y constancias de inscripción colocadas, con corte al 30 de septiembre de 2023.
IX.   Desempeño Policial. Mide la percepción del desempeño de las autoridades de seguridad pública (Policía Estatal, Policía Preventiva Municipal, Policía de Tránsito y Ministerio Público y Fiscalías Estatales) tomando en cuenta las escalas de Muy efectivo y Algo efectivo, sin tomar en cuenta las escalas de poco efectivo y nada efectivo.

Donde:
:   Índice de la percepción del desempeño de las autoridades de seguridad pública (Policía Estatal, Policía Preventiva Municipal, Policía de Tránsito y Ministerio Público; y Fiscalías Estatales) en la entidad federativa .
:      Suma de los promedios de las percepciones porcentuales del desempeño de las autoridades de seguridad pública (Policía Estatal, Policía Preventiva Municipal, Policía de Tránsito y Ministerio Público; y Fiscalías Estatales), percibidas como Muy efectivas y Algo efectivas, en la entidad federativa .
Fuente de información: Encuesta Nacional de Victimización y Percepción sobre Seguridad Pública 2023 INEGI-ENVIPE (Población de 18 años y más que identifica a las autoridades de Seguridad Pública por entidad federativa y tipo de autoridad, según percepción de desempeño), marzo y abril de 2023. Tabulados Básicos. Tabulado 6.20.
X.    Porcentaje de Victimización. Refleja la relación inversamente proporcional del número de víctimas con respecto a la población de 18 años y más en la entidad federativa .

Donde:
:    Índice de victimización inversa con respecto al total de la población de 18 años y más en la entidad federativa en 2022, de acuerdo con los datos de la ENVIPE 2023.
:   Es el porcentaje de victimización con respecto al total de la población de 18 años y más en la entidad federativa en 2022, de acuerdo con los datos de la ENVIPE 2023.
Fuentes de información: Víctimas por entidad federativa, según lugar de victimización 2022. Encuesta Nacional de Victimización y Percepción sobre Seguridad Pública 2023. Tabulados Básicos. Tabulado 1.16.
Resultados de la Aplicación de la Fórmula de Distribución por Entidad Federativa.
En el Presupuesto de Egresos de la Federación para el ejercicio fiscal 2024, se aprobó la cantidad de $1,079'363,467.00 (MIL SETENTA Y NUEVE MILLONES TRECIENTOS SESENTA Y TRES MIL CUATROCIENTOS SESENTA Y SIETE PESOS 00/100 M.N.), para el Fondo para el Fortalecimiento de las Instituciones de Seguridad Pública (FOFISP), los cuales se distribuyen entre cada una de las treinta y dos (32) entidades federativas conforme a los criterios de distribución, fórmulas y variables de asignación aprobados por el Consejo Nacional de Seguridad Pública mediante Acuerdo 07/XLIX/23, en el que se determinó se asignara a cada entidad federativa el monto resultante de la aplicación de la fórmula en los términos descritos, lo cual da como resultado la siguiente distribución:
Entidad Federativa
Distribución Final FOFISP
2024
Aguascalientes
16,173,172.00
Baja California
29,986,425.00
Baja California Sur
14,933,941.00
Campeche
13,065,505.00
Coahuila de Zaragoza
27,720,521.00
Colima
27,575,540.00
Chiapas
42,883,415.00
Chihuahua
32,486,611.00
Ciudad de México
65,963,529.00
Durango
29,898,344.00
Guanajuato
46,993,623.00
Guerrero
29,645,243.00
Hidalgo
26,660,497.00
Jalisco
65,418,848.00
México
120,529,770.00
Michoacán de Ocampo
35,684,606.00
Morelos
18,473,912.00
Nayarit
14,437,179.00
Nuevo León
50,091,655.00
Oaxaca
33,685,191.00
Puebla
46,944,095.00
Querétaro
20,765,608.00
Quintana Roo
16,912,462.00
San Luis Potosí
30,323,699.00
Sinaloa
24,951,644.00
Sonora
26,260,948.00
Tabasco
25,535,381.00
Tamaulipas
28,568,481.00
Tlaxcala
13,831,281.00
Veracruz de Ignacio de la Llave
65,190,205.00
Yucatán
20,735,756.00
Zacatecas
17,036,380.00
TOTAL
1,079,363,467.00
 
Ciudad de México, 18 de diciembre de 2023.- Secretario Ejecutivo Adjunto del Secretariado Ejecutivo del Sistema Nacional de Seguridad Pública, Lic. Fernando Bedel Tiscareño Luján.- Rúbrica.
 
1     Referencia al artículo Segundo Transitorio del Decreto por el que se reforma el Artículo Quinto Transitorio del Decreto por el que se reforman, adicionan y derogan diversas disposiciones de la Constitución Política de los Estados Unidos Mexicanos, en materia de Guardia Nacional, publicado en el Diario Oficial de la Federación el 26 de marzo de 2019. Publicado el viernes 18 de noviembre de 2022 en el Diario Oficial de la Federación.
2     Para dar cumplimiento con lo estipulado en el artículo Segundo Transitorio tercer párrafo del Decreto por el que se reforma el Artículo Quinto Transitorio del Decreto por el que se reforman, adicionan y derogan diversas disposiciones de la Constitución Política de los Estados Unidos Mexicanos, en materia de Guardia Nacional, publicado en el Diario Oficial de la Federación el 26 de marzo de 2019.
3     La metodología puede ser consultada en las siguientes ligas de internet: https://www.gob.mx/sesnsp/documentos/metodologias-normateca-sesnsp?state=published y https://secretariadoejecutivo.gob.mx/docs/pdfs/consejo/Metodologia_evaluacion_bases_datos.pdf
4     Omitiendo la información relativa al personal administrativo, así como a la policía auxiliar, bancaria e industrial, privada, subrogada o equivalentes a las mismas.
5     Aprobada por medio del Acuerdo 16/XL/16 de la cuadragésima sesión ordinaria del Consejo Nacional de Seguridad Pública celebrada el 30 de agosto de 2016, disponible para su consulta en la siguiente dirección electrónica: https://www.gob.mx/sesnsp/documentos/metodologias-normateca-sesnsp?state=published
y https://secretariadoejecutivo.gob.mx/docs/pdfs/consejo/Metodologia_evaluacion_bases_datos.pdf
6     Registro Nacional de Información Penitenciaria, Informe Policial Homologado, Mandamientos Judiciales, Registro de Vehículos Robados y Recuperados y Licencias de Conducir. No se considera al Registro Nacional de Personal de Seguridad Pública para evitar colinealidad, dado que es un criterio independiente considerado mediante otro indicador dentro del mismo criterio general de Mejor Desempeño en Materia de Seguridad Pública en el numeral III.
7     Tasas de prevalencia por cada 100 habitantes calculadas a partir del Censo de Población y Vivienda 2020 publicado por el Instituto Nacional de Estadística y Geografía INEGI.
8     Primer periodo anual: De octubre de 2021 a septiembre de 2022. Segundo periodo anual: De octubre de 2022 a septiembre de 2023, a partir de la información proporcionada por el Centro Nacional de Información (CNI) - Secretariado Ejecutivo del Sistema Nacional de Seguridad Pública (SESNSP). Instrumento para el registro, clasificación y reporte de los delitos y las víctimas CNSP/38/15 2021, 2022 y 2023, con corte al 30 de septiembre de 2023.
9     La diferencia inversa garantiza que a mayor disminución en las prevalencias delictivas de alto impacto social incluyendo feminicidio por cada 100 habitantes, sea mayor el recurso FASP que se otorga en este indicador por entidad federativa según sea el caso.
10    Se tomaron en cuenta dos anuales que son: De octubre de 2021 a septiembre de 2022 y de octubre de 2022 a septiembre de 2023, a partir de la información proporcionada por el Centro Nacional de Información (CNI) - Secretariado Ejecutivo del Sistema Nacional de Seguridad Pública (SESNSP). Incidencia Delictiva obtenida mediante el Instrumento para el registro, clasificación y reporte de los delitos CNSP/38/15, 2021, 2022 y 2023, con corte al 30 de septiembre de 2023.