DECRETO por el que se expropia por causa de utilidad pública la superficie de 57-17-70 hectáreas del ejido "Tenabo", municipio de Tenabo, estado de Campeche, a favor de Fonatur Tren Maya, S.A. de C.V.

Al margen un sello con el Escudo Nacional, que dice: Estados Unidos Mexicanos.- Presidencia de la República.

ANDRÉS MANUEL LÓPEZ OBRADOR, presidente de los Estados Unidos Mexicanos, en ejercicio de la facultad que me confiere el artículo 89, fracción I, de la Constitución Política de los Estados Unidos Mexicanos, con fundamento en los artículos 27, párrafos primero y segundo, de la propia Constitución; 13, 41 y 42 de la Ley Orgánica de la Administración Pública Federal; 93, fracciones I y VII, y 94 de la Ley Agraria; 60, 61 y 75 del Reglamento de la Ley Agraria en Materia de Ordenamiento de la Propiedad Rural, y
RESULTANDO
1. Que, mediante resolución presidencial publicada en el Diario Oficial de la Federación (DOF) el 6 de febrero 1923, se dotó al pueblo de "Tenabo", municipio de Tenabo, estado de Campeche, la superficie de nueve mil ciento cuarenta hectáreas. Dicha resolución se ejecutó el 28 de julio de 1924;
2. Que, mediante resoluciones presidenciales publicadas en el DOF el 23 de marzo de 1936, 9 de mayo de 1939 y 23 de noviembre de 1940, se concedió por conceptos de primera, segunda y tercera ampliación al poblado de "Tenabo", municipio de Tenabo, estado de Campeche, las superficies de 7,189-48 hectáreas, 5,833 hectáreas y 43,400 hectáreas, respectivamente. Dichas resoluciones se ejecutaron el 1 de mayo de 1936, 30 de junio de 1942 y 12 de enero de 1983, respectivamente;
3. Que, el ejido denominado Tenabo, municipio de Tenabo, estado de Campeche, fue afectado por las siguientes acciones agrarias:
Núm.
Resolución presidencial
Publicación en el DOF
Acción
Superficie
(hectáreas)
1.
17 de febrero de 1997
21 de febrero de 1997
Expropiación
43,400-00-00
2.
10 de febrero de 2016
12 de febrero de 2016
Expropiación
58-19-57
 
4. Que, mediante asamblea general de ejidatarios de 13 de agosto de 2006, se determinó la delimitación, destino y asignación de tierras del ejido "Tenabo", municipio de Tenabo, estado de Campeche;
5. Que, el 24 de agosto de 2006, el ejido "Tenabo", municipio de Tenabo, estado de Campeche, quedó inscrito en el sistema de inscripciones del Registro Agrario Nacional (RAN) con el folio de ejidos y comunidades 04008001106021923R;
6. Que en escritura pública 98,727, de 5 de diciembre de 2018, se protocolizó el cambio de denominación de Fonatur Operadora Portuaria, S.A. de C.V., por el de Fonatur Tren Maya, S.A. de C.V. En la cláusula CUARTA de la citada escritura pública consta, como parte de su objeto social:
c) Tramitar todo tipo de asignaciones y permisos y ejecutar la construcción, operación, explotación, conservación y mantenimiento de vías férreas en el sureste de la República Mexicana.
d) Tramitar todo tipo de asignaciones y permisos y prestar el servicio público de transporte ferroviario de pasajeros o de carga, por mismo mediante asignación o de manera conjunta con concesionarios.
e) Tramitar todo tipo de asignaciones y permisos para prestar servicios auxiliares ferroviarios, así como todo tipo de servicios relacionados con la infraestructura ferroviaria.
(...)
g) Celebrar todo tipo de actos jurídicos por los cuales otorgue o reciba el uso y aprovechamiento de bienes muebles e inmuebles, así como el adquirirlos o enajenarlos, comprendidos en instalaciones turísticas o inmobiliarias de cualquier naturaleza, en cualquier destino turístico, polos de desarrollo turístico, Centros Integralmente Planeados, y en Centros Turísticos Sustentables del Fondo Nacional del Fomento al Turismo (FONATUR), en el sureste de la República Mexicana.
7. Que el Plan Nacional de Desarrollo 2019-2024, publicado en el DOF el 12 de julio de 2019, establece los programas y proyectos que constituyen las prioridades de atención estratégica a problemas públicos identificados. Asimismo, expone como una de las tareas centrales impulsar la reactivación de la economía, para que esta vuelva a crecer a tasas aceptables y se fortalezca el mercado interno y el empleo mediante programas sectoriales, proyectos regionales y obras de infraestructura;
8. Que, en el capítulo "Proyectos regionales" de dicho plan nacional, se dispone expresamente:
1. El Tren Maya es el más importante proyecto de infraestructura, desarrollo socioeconómico y turismo del presente sexenio. Tendrá un recorrido de mil 525 kilómetros, pasará por los estados de Chiapas, Tabasco, Campeche, Yucatán y Quintana Roo e interconectará las principales ciudades y sitios turísticos de la Península de Yucatán...
El Tren Maya es un proyecto orientado a incrementar la derrama económica del turismo en la Península de Yucatán, crear empleos, impulsar el desarrollo sostenible, proteger el medio ambiente de la zona desalentando actividades como la tala ilegal y el tráfico de especies y propiciar el ordenamiento territorial de la región. Se procurará integrar a la obra y a sus beneficios a los pobladores; se gestionarán los derechos de vía que aún no se tengan mediante acuerdos con los propietarios de los terrenos respectivos; se buscarán acuerdos benéficos en los casos en los que las vías de propiedad federal se encuentren invadidas y se pedirá la aprobación de las comunidades y pueblos originarios mediante consultas.
9. Que, mediante publicación en el DOF el 21 de abril de 2020, el Gobierno federal otorgó, por conducto de la entonces Secretaría de Comunicaciones y Transportes, a la empresa de participación estatal mayoritaria Fonatur Tren Maya, S.A. de C.V., la asignación para construir, operar y explotar la vía general de comunicación ferroviaria denominada Tren Maya, la cual incluye la prestación del servicio público de transporte ferroviario de carga y de pasajeros, y los permisos para prestar los servicios auxiliares requeridos;
10. Que los programas sectoriales de Desarrollo Agrario, Territorial y Urbano 2020-2024 y de Turismo 2020-2024, publicados en el DOF el 26 de junio y 3 de julio, respectivamente, ambos de 2020, establecen que la construcción del Tren Maya es el compromiso más relevante de infraestructura para impulsar el desarrollo socioeconómico y turístico de la historia del sureste del país y fortalecer la integración de cadenas productivas en la península de Yucatán, así como para elevar la calidad de los servicios turísticos y fomentar la capacitación y profesionalización del capital humano que forma parte de esta industria;
11. Que el Programa Institucional 2020-2024 del Fondo Nacional de Fomento al Turismo, publicado el 20 de noviembre de 2020 en el DOF, tiene como uno de sus objetivos prioritarios en su numeral 7.1 "Relevancia del Objetivo prioritario 1: Desarrollar el Proyecto Regional Tren Maya en los estados de Chiapas, Tabasco, Campeche, Yucatán y Quintana Roo";
12. Que, en cumplimiento del Programa Institucional 2020-2024 del Fondo Nacional de Fomento al Turismo, Fonatur Tren Maya, S.A. de C.V. elaboró dictámenes técnicos de viabilidad del proyecto Tren Maya, en los que se concluye que es de primera necesidad contar con un servicio confiable, eficiente, cómodo y seguro que permita, por una parte, el transporte de mercancías y, por otra, movilizar a sus usuarios con altos estándares de calidad, acceso y cobertura en el área urbana y conurbada. Dichos dictámenes acreditan que el Proyecto Tren Maya satisface el interés colectivo, e impulsa las actividades económicas del sur-sureste del país que garantizan el derecho a la movilidad en condiciones de seguridad, accesibilidad, comodidad, eficiencia, calidad e igualdad. Asimismo, la construcción del Tren Maya permitirá el desarrollo socioeconómico y turístico; reducirá los niveles de pobreza que existen en la zona, y mejorará las condiciones de vida de quienes habitan y transitan por la zona;
13. Que el Programa Institucional 2020-2024 de Fonatur Tren Maya, S.A. de C.V., publicado el 24 de diciembre de 2020 en el DOF, tiene como uno de sus objetivos prioritarios en su numeral 6 "Relevancia del objetivo prioritario 1.- Ejecutar el Proyecto Prioritario Integral Tren Maya para mejorar la conectividad, movilidad y el desarrollo integral sostenible del sureste";
14. Que, el 31 de diciembre de 2021 y 25 de junio de 2022, el ejido "Tenabo", en asambleas generales, aprobó la celebración de los convenios de ocupación previa a título gratuito con Fonatur Tren Maya, S.A. de C.V., respecto de la superficie de 56-45-48.05 hectáreas de tierras de uso común, los cuales fueron suscritos el 31 de diciembre de 2021 y 25 de junio de 2022 por los integrantes del comisariado ejidal. En dichos convenios, se autorizó ocupar a título gratuito la superficie materia del convenio, hasta la expedición del decreto respectivo, así como realizar un pago inmediato como anticipo a cuenta de la indemnización que proceda una vez decretada la expropiación;
15. Que Fonatur Tren Maya, S.A. de C.V., mediante oficio número DJ/APAT/219/2023, de 15 de mayo de 2023, y con fundamento en la Constitución Política de los Estados Unidos Mexicanos (CPEUM), la Ley Agraria y el Reglamento de la Ley Agraria en Materia de Ordenamiento de la Propiedad Rural (RLAMOPR), solicitó al titular de la Secretaría de Desarrollo Agrario, Territorial y Urbano (Sedatu) la expropiación de la superficie de 57-24-99.06 hectáreas del ejido "Tenabo", municipio de Tenabo, estado de Campeche, para destinarla a la construcción de obras de infraestructura ferroviaria y operación del Proyecto Tren Maya y sus obras complementarias, en su Tramo 2 Escárcega-Kalkiní;
16. Que la Dirección General de Ordenamiento de la Propiedad Rural (DGOPR) de la Sedatu, el 31 de mayo de 2023, emitió acuerdo de instauración del procedimiento de expropiación con número de expediente DGOPR-DE/SOE-04CC/0056FONATUR TREN MAYA, S.A. de C.V/2023;
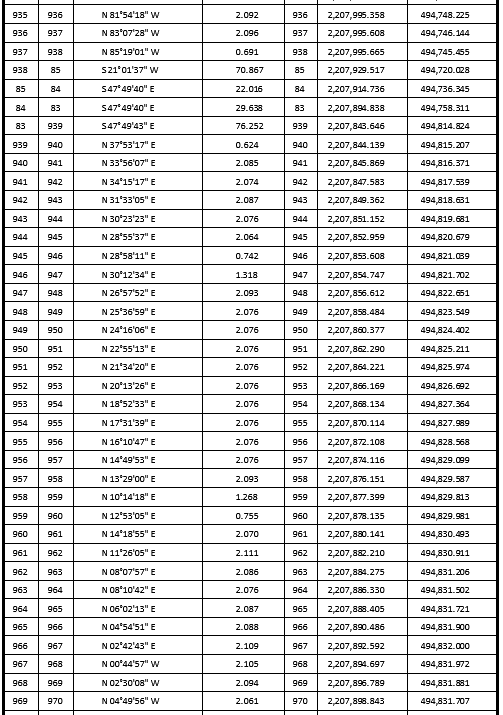
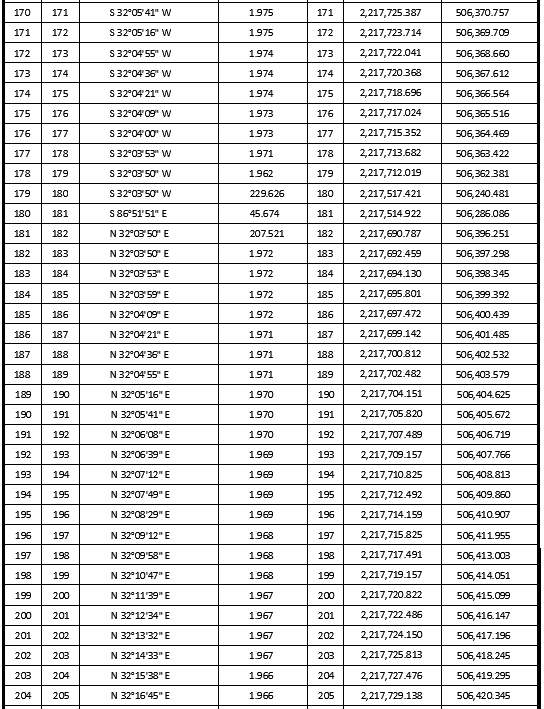
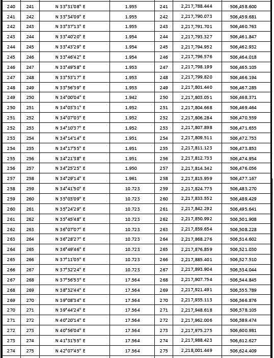
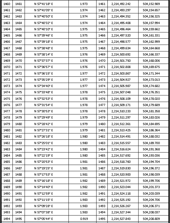
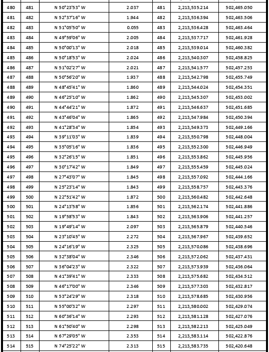
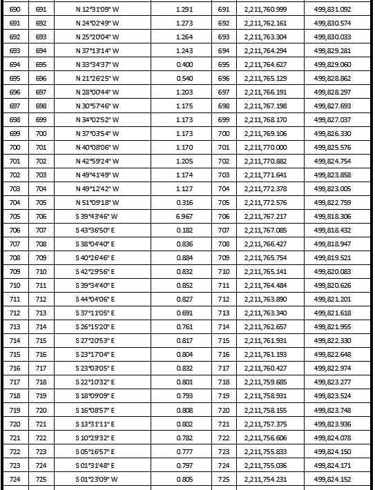
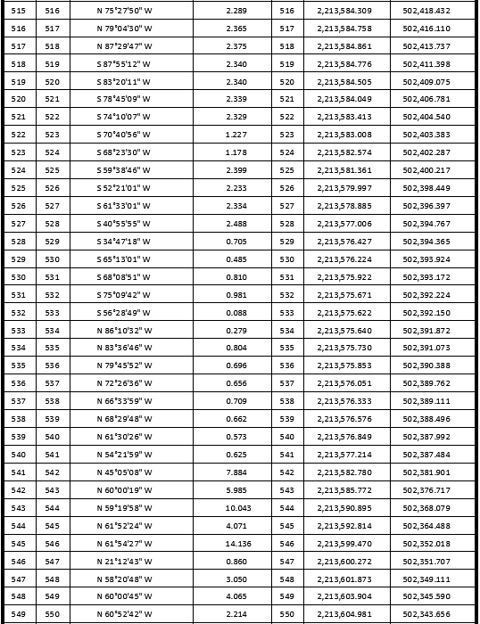
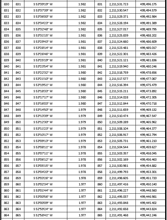
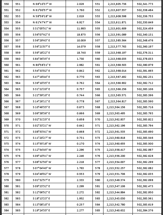
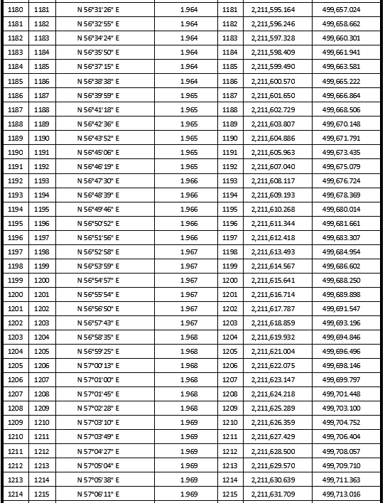
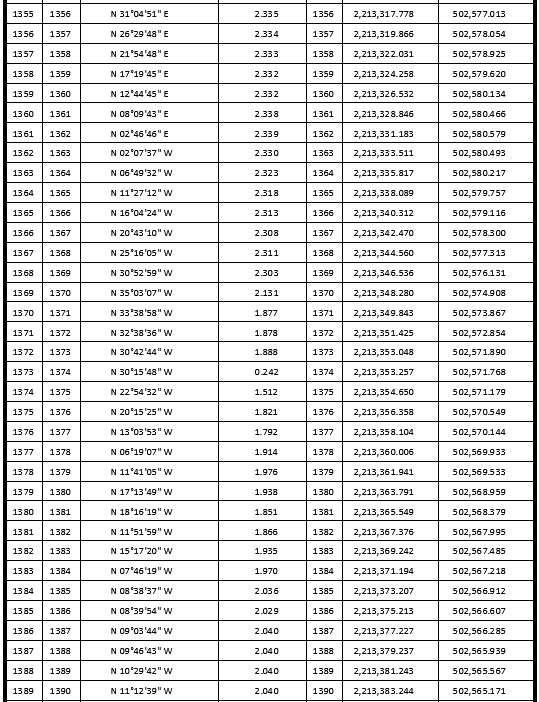
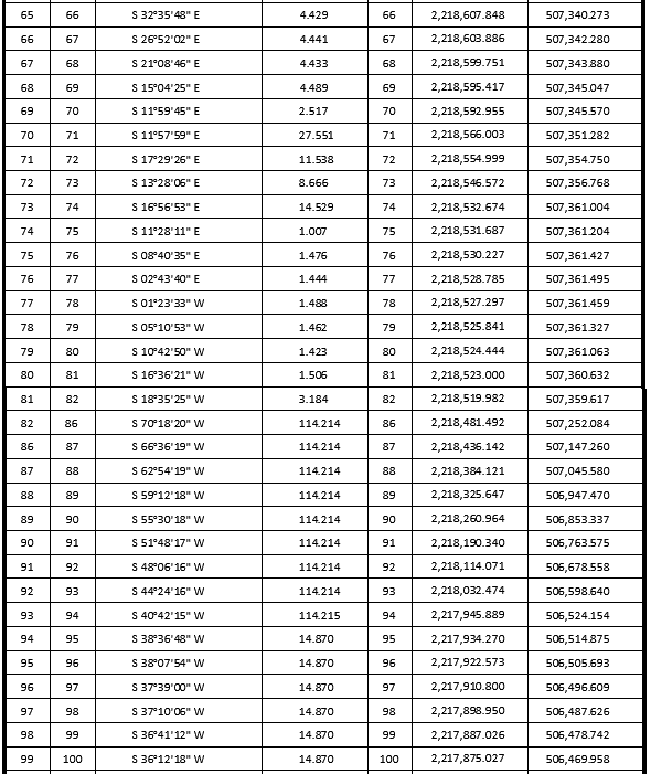
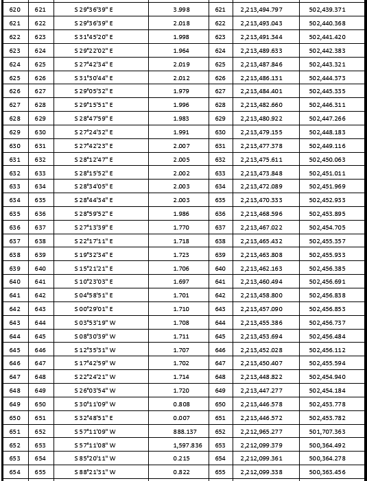
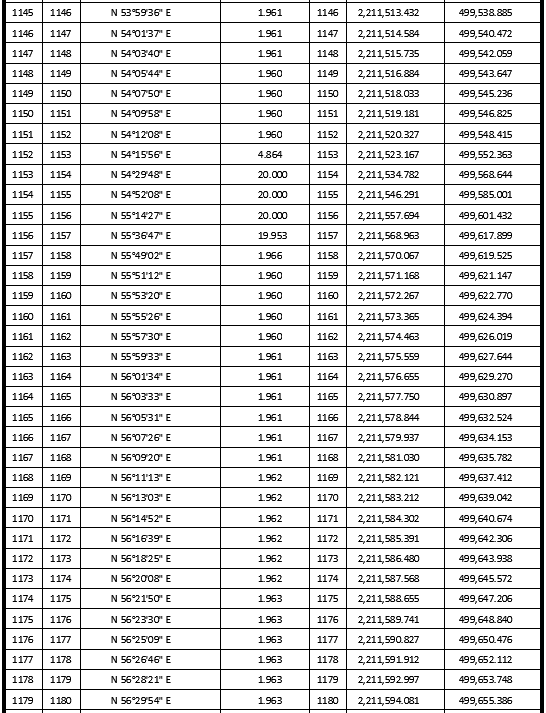
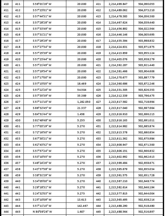
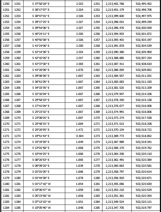
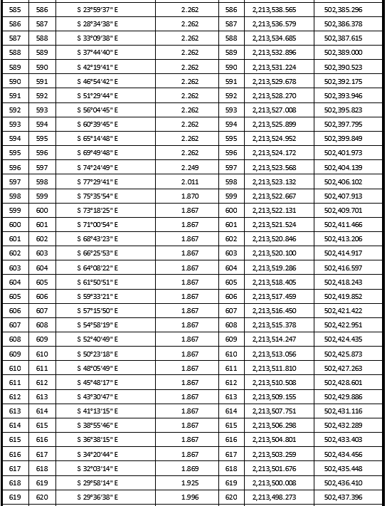
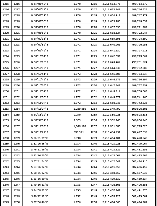
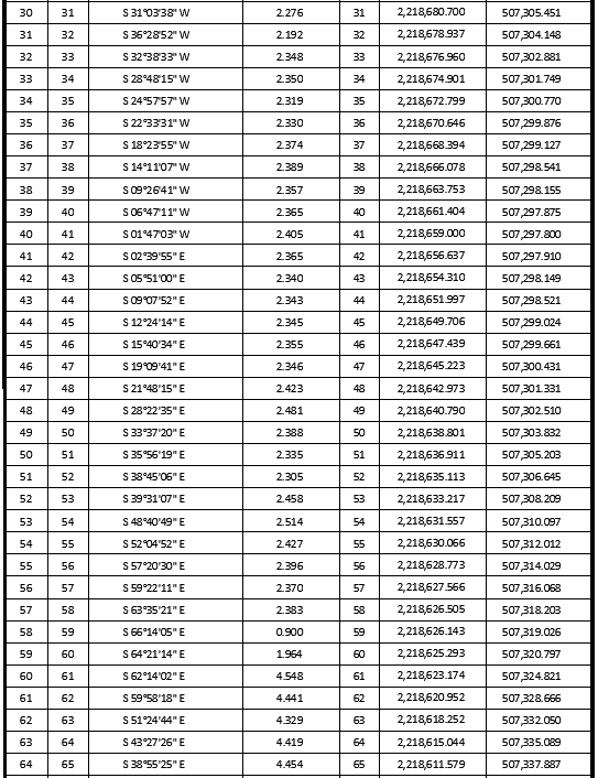
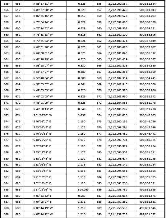
17. Que el comisionado técnico del RAN y el comisionado agrario de la Sedatu rindieron el "informe de comisión de Trabajos Técnicos e Informativos de Expropiación", de 4 de agosto de 2023, en el que señalan que la superficie real a expropiar al ejido "Tenabo", municipio de Tenabo, estado de Campeche, es de 57-17-70 hectáreas de temporal de uso común, lo cual se describe en los siguientes planos y cuadros de construcción:




 


 


 


 


 


 

 


 


 


 


 


 


 


 


 


 


 


 


 


 


 


 


 


*Meridiano central de referencia 90° 18' para los polígonos I y III, y 90° 15' para el polígono II.
18. Que Fonatur Tren Maya, S.A. de C.V., es una empresa de participación estatal mayoritaria sectorizada a la Secretaría de Turismo, como se indica en la "Relación de Entidades Paraestatales de la Administración Pública Federal", publicada en el DOF el 7 de agosto 2023;
19. Que a los integrantes del comisariado del ejido "Tenabo" se les notificó el 31 de agosto de 2023, la solicitud de expropiación, el acuerdo de instauración y la superficie real a expropiar. Asimismo, se les informó que contaban con 10 días hábiles para que manifestaran lo que a su interés conviniera. En dicho plazo no realizaron manifestaciones;
20. Que el Instituto de Administración y Avalúos de Bienes Nacionales (Indaabin) emitió el dictamen valuatorio y anexo único, con número secuencial 04-23-1933 y genérico G-35994-ZND, de 10 de octubre de 2023, en el que determinó que el monto total de indemnización asciende a $18,544,306.75 (dieciocho millones quinientos cuarenta y cuatro mil trescientos seis pesos 75/100 M.N.) con base en el valor comercial de la superficie a expropiar;
21. Que la Dirección General de Ordenamiento Territorial de la Sedatu, el 24 de octubre de 2023, emitió opinión técnica condicionada número SOTA/DGOT/078/CAM/FONATUR TM2/0034/2023 "respecto del procedimiento de expropiación a favor de Fonatur Tren Maya S.A. DE C.V. por una superficie de 558-91-90 hectáreas", que corresponden a diversos ejidos, entre ellos, "Tenabo", municipio de Tenabo, estado de Yucatán, por la superficie de 57-17-70 hectáreas;
22. Que la DGOPR, el 25 de octubre de 2023, emitió dictamen en el que determinó "procedente la expropiación por causa de utilidad pública, a favor de Fonatur Tren Maya, S.A. de C.V., para destinarse a la construcción de obras de infraestructura ferroviaria y operación del Proyecto Tren Maya y sus obras complementarias, con una superficie de 57-17-70 (cincuenta y siete hectáreas, diecisiete áreas, setenta centiáreas) de temporal de uso común del ejido "Tenabo", municipio de Tenabo, estado de Campeche", y
CONSIDERANDO
I. Que, de conformidad con los artículos 27, párrafos primero y segundo, de la CPEUM; 93, fracciones I y VII, y 94 de la Ley Agraria, y 75 del RLAMOPR, procede, mediante indemnización y previo decreto expedido por el titular del Ejecutivo Federal publicado en el DOF, la expropiación por causa de utilidad pública, como lo es la construcción de obras de infraestructura ferroviaria, operación del Proyecto Tren Maya y sus obras complementarias;
II. Que la superficie de 57-17-70 hectáreas de terrenos de temporal de uso común, pertenecientes al ejido de "Tenabo", municipio de Tenabo, estado de Campeche, se solicitó para destinarse a la construcción de obras de infraestructura ferroviaria, operación del Proyecto Tren Maya y sus obras complementarias, así como a la prestación del servicio público de transporte de carga ferroviaria y de pasajeros. Como consecuencia, se acreditan las causas de utilidad pública del establecimiento, explotación o conservación de un servicio o función públicos, y de la construcción de puentes, carreteras, ferrocarriles y demás obras que faciliten el transporte, previstas en el artículo 93, fracciones I y VII, respectivamente, de la Ley Agraria;
III. Que la construcción de obras de infraestructura ferroviaria, operación del Proyecto Tren Maya y sus obras complementarias son acordes con el Plan Nacional de Desarrollo 2019-2024, toda vez que se prestará un servicio público de transporte de pasajeros para el beneficio del turismo nacional y extranjero, así como de transporte de carga ferroviario para acelerar el comercio de la península, lo que facilitará el intercambio de mercancías con el resto del país y diversificará los puntos turísticos de la región para generar una derrama económica. Como consecuencia, se generarán oportunidades laborales y se redistribuirá la riqueza a lo largo de la península; se dará protección y rehabilitación a las áreas naturales protegidas y a los sitios patrimoniales. De igual forma, el Tren Maya funcionará como corredor humanitario por medio del cual se entregarán apoyos alimentarios, médicos, etc. para las comunidades indígenas y pueblos marginados del sureste mexicano; tendrá un flujo constante, y solo por su conducto, se podrá llegar a dichos poblados de manera pronta y eficaz; su ubicación geográfica es fundamental para salvaguardar las costas y la zona fronteriza con Centroamérica;
IV. Que, de diversos documentos contenidos en el expediente de expropiación número DGOPR-DE/SOE-04CC/0056FONATUR TREN MAYA, S.A. de C.V/2023, se advierte que la superficie que se solicitó expropiar al ejido "Tenabo" fue de 57-24-99.06 hectáreas; sin embargo, una vez realizados los trabajos técnicos, resultó que la superficie real es de 57-17-70 hectáreas de temporal de uso común, como consta en el informe de comisión de Trabajos Técnicos e Informativos de Expropiación de 4 de agosto de 2023, motivo por el cual la superficie a expropiar al ejido "Tenabo", municipio de Tenabo, estado de Campeche, debe ser de 57-17-70 hectáreas;
V. Que de las constancias señaladas en el resultando 19 del presente instrumento, se acredita que en el procedimiento DGOPR-DE/SOE-04CC/0056FONATUR TREN MAYA, S.A. de C.V/2023, se otorgó garantía de audiencia al órgano de representación del ejido "Tenabo", municipio de Tenabo, estado de Campeche, toda vez que se les notificó la solicitud de expropiación, el acuerdo de instauración y la superficie real a expropiar, sin que en el plazo concedido realizaran manifestaciones respecto del procedimiento expropiatorio materia del presente decreto; con lo anterior, se dio cumplimiento a los artículos 14 y 16 de la CPEUM y 65 del RLAMOPR;
VI. Que el Indaabin emitió dictamen valuatorio con número secuencial 04-23-1933 y genérico G-35994-ZND, de 10 de octubre de 2023, en el cual determinó que el monto de indemnización, con base al valor comercial de la superficie a expropiar, es de $18,544,306.75 (dieciocho millones quinientos cuarenta y cuatro mil trescientos seis pesos 75/100 M.N.), con lo que se acredita el cumplimiento a los artículos 94 de la Ley Agraria y 70 del RLAMOPR. Con base en dicho avalúo, procede pagar la indemnización al ejido por las tierras de uso común, en la que se considere el pago anticipado;
VI. Que, en caso de que los bienes expropiados se destinen a un fin distinto al señalado en el decreto respectivo, o si transcurrido un plazo de 5 años no se ha cumplido con la causa de utilidad pública, el Fideicomiso Fondo Nacional de Fomento Ejidal podrá ejercer las acciones necesarias para reclamar la reversión parcial o total, según corresponda, de los bienes expropiados, y operar la incorporación de estos a su patrimonio; ello de conformidad con el artículo 97 de la Ley Agraria. Asimismo, los bienes objeto de la expropiación solo podrán ser ocupados de manera definitiva, mediante el pago que se efectúe al ejido o a las personas que acrediten tener derecho sobre tierras de uso común en la proporción que les corresponda;
VII. Que, de conformidad con los artículos 94 de la Ley Agraria, y 75 y 76 del RLAMOPR, debe ordenarse que el decreto expropiatorio se publique en el DOF, se notifique al núcleo agrario por conducto de su comisariado ejidal y se inscriba en el RAN, en el Registro Público de la Propiedad de la entidad federativa de que se trate y en el Registro Público de la Propiedad Federal, cuando así corresponda, y
VIII. Que, en términos de los artículos 93, 94 y 95 de la Ley Agraria, y 60, 61, 63, 65, 67, 70, 72, 73, 74 y 75 del RLAMOPR, el procedimiento de expropiación se ha tramitado ante la Sedatu y han sido acreditadas las causas de utilidad pública, he tenido a bien expedir el siguiente
DECRETO
PRIMERO. Se expropia por causa de utilidad pública la superficie de 57-17-70 hectáreas (cincuenta y siete hectáreas, diecisiete áreas, setenta centiáreas) de temporal de uso común, del ejido "Tenabo", municipio de Tenabo, estado de Campeche, a favor de Fonatur Tren Maya, S.A. de C.V., para destinarla a la construcción de obras de infraestructura ferroviaria, operación del Proyecto Tren Maya y sus obras complementarias.
SEGUNDO. Queda a cargo de Fonatur Tren Maya, S.A. de C.V. pagar, por concepto de indemnización por la superficie que se expropia, la cantidad señalada en el avalúo emitido por el Instituto de Administración y Avalúos de Bienes Nacionales, y en los términos señalados en el considerando VI del presente decreto.
TERCERO. La Secretaría de Desarrollo Agrario, Territorial y Urbano, una vez publicado el presente decreto en el Diario Oficial de la Federación, procederá a su ejecución cuando Fonatur Tren Maya, S.A. de C.V. haya acreditado el pago o depósito de la indemnización señalada en el numeral anterior.
CUARTO. Publíquese en el Diario Oficial de la Federación e inscríbase en el Registro Agrario Nacional, en el Registro Público de la Propiedad Federal y en el Registro Público de la Propiedad estatal o municipal correspondiente. Notifíquese y ejecútese.
Dado en la residencia del Poder Ejecutivo Federal, en Ciudad de México a 21 de diciembre de 2023.- Andrés Manuel López Obrador.- Rúbrica.- Secretario de Desarrollo Agrario, Territorial y Urbano, Román Guillermo Meyer Falcón.- Rúbrica.- Secretario de Turismo, Miguel Tomás Torruco Marqués.- Rúbrica.