RESOLUCIÓN que modifica las Disposiciones de carácter general aplicables a las entidades financieras y demás personas que proporcionen servicios de inversión.

Al margen un sello con el Escudo Nacional, que dice: Estados Unidos Mexicanos.- HACIENDA.- Secretaría de Hacienda y Crédito Público.- Comisión Nacional Bancaria y de Valores.

La Comisión Nacional Bancaria y de Valores, con fundamento en lo dispuesto por los artículos 171, párrafo primero, fracciones II, VII, IX y X; 189, párrafo tercero, fracción III; 190, párrafos segundo y tercero; 190 Bis; 190 Bis 1, párrafos primero y segundo, fracción I; 191; 200, fracción VIII, párrafo segundo; 203, párrafo primero; 224, párrafo primero; 226, párrafos primero, fracción IX y cuarto y 413 de la Ley del Mercado de Valores; 46, párrafo primero, fracción IX; 53, párrafo primero; 81 Bis, párrafo primero y 98 Bis de la Ley de Instituciones de Crédito; 39 Bis 1, párrafos tercero y cuarto; 39 Bis 2, párrafo segundo, fracción III; 39 Bis 3, párrafos segundo y tercero; 39 Bis 4; 39 Bis 5; 40 Bis 3 y 80 Bis, párrafo primero de la Ley de Fondos de Inversión; así como 4, fracciones II, XXXVI y XXXVIII y 16, fracción I de la Ley de la Comisión Nacional Bancaria y de Valores, y
CONSIDERANDO
Que, el 9 de enero de 2015 fueron publicadas en el Diario Oficial de la Federación las "Disposiciones de carácter general aplicables a las entidades financieras y demás personas que proporcionen servicios de inversión", con motivo de las reformas a las Leyes del Mercado de Valores y de Fondos de Inversión, mediante el "Decreto por el que se reforman, adicionan y derogan diversas disposiciones en materia financiera y se expide la Ley para Regular las Agrupaciones Financieras", publicado el 10 de enero de 2014, señalándose la facultad de la Comisión Nacional Bancaria y de Valores para regular la prestación de servicios de inversión por parte de los asesores en inversiones, sociedades operadoras de fondos de inversión, sociedades distribuidoras de acciones de fondos de inversión, así como las casas de bolsa e instituciones de crédito, y
Que, resulta necesario realizar adecuaciones al marco normativo aplicable a las entidades financieras y demás personas que proporcionen servicios de inversión en aras de dotarlas de mayores elementos que les permitan el debido cumplimiento de sus obligaciones, además de certeza jurídica en la realización de los servicios que proporcionan, y que, a su vez, permita a la Comisión Nacional Bancaria y de Valores el mejor ejercicio de sus facultades de supervisión procurando el sano y equilibrado desarrollo del mercado de valores en México, ha resuelto expedir la siguiente:
RESOLUCIÓN QUE MODIFICA LAS DISPOSICIONES DE CARÁCTER GENERAL APLICABLES A LAS
ENTIDADES FINANCIERAS Y DEMÁS PERSONAS QUE PROPORCIONEN SERVICIOS DE INVERSIÓN
ÚNICO.- Se REFORMAN los artículos 2, párrafos segundo y tercero, fracción I, párrafo segundo; 3; 5, párrafo primero, fracciones I y II; 9, párrafo tercero; 15, párrafos primero, fracción I y tercero; 16, párrafo primero; 21, párrafo primero; 29; 30; 31, párrafo segundo; 38, párrafo primero, fracción I; 44, párrafo primero; 45, párrafo tercero; se ADICIONAN los artículos 5, párrafo primero, fracción III y 19, párrafo quinto, y se SUSTITUYEN los Anexos 1, 3, 4, 6, 12, 13, 14, 17 y 18 de las "Disposiciones de carácter general aplicables a las entidades financieras y demás personas que proporcionen servicios de inversión", publicadas en el Diario Oficial de la Federación el 9 de enero de 2015 y reformadas por última vez por resolución publicada en el citado Diario el 9 de febrero de 2016, para quedar como sigue:
"TÍTULOS PRIMERO a SEXTO . . .
ANEXO 1     Formatos de las manifestaciones respecto del cumplimiento de los requisitos para ser considerado como Cliente sofisticado así como de aquella relativa a la prestación del servicio de Ejecución de operaciones cuando se haya contratado, a su vez, a un Asesor en inversiones.
ANEXO 2       . . .
ANEXO 3       Elementos para determinar el perfil del cliente en servicios de inversión asesorados.
ANEXO 4       Elementos para determinar el perfil del producto financiero en servicios de inversión asesorados.
ANEXO 5 y 5 Bis       . . .
ANEXO 6       Valores o instrumentos objeto de comercialización o promoción.
ANEXOS 7 al 11        . . .
ANEXO 12      Estándares para la divulgación de información mediante la red electrónica mundial denominada Internet.
ANEXO 13      De los conflictos de interés.
ANEXO 14      Información adicional que contendrán los estados de cuenta e informes de operaciones.
ANEXOS 15 y 16       . . .
ANEXO 17      Datos de la persona responsable de proporcionar la información por SITI (Capturar los datos de la persona que va a proporcionar por el sistema la información, a esa persona se le asignarán las claves de acceso).
ANEXO 18      Equivalencia entre calificaciones de corto y largo plazo.
ANEXO 19      . . ."
"Artículo 2.-   . . .
Las personas que pretendan ser consideradas como Clientes sofisticados deberán suscribir una carta de acuerdo con el Formato A, contenido en el Anexo 1 de estas disposiciones. Dicha carta deberá ser presentada y firmada en un documento por separado de cualquier otro requerido por las Entidades financieras o por los Asesores en inversiones y no las exceptúa de realizar la evaluación para determinar el perfil del cliente, tratándose de Servicios de inversión asesorados. La carta que los clientes suscriban, conforme a lo previsto en el presente párrafo, deberá ser conservada en los expedientes del cliente de que se trate.
. . .
I.          . . .
           La solicitud a que alude el párrafo anterior en ningún caso procederá cuando se trate de Inversionistas institucionales que sean instituciones de crédito, casas de bolsa, sociedades operadoras de fondos de inversión, sociedades distribuidoras de acciones de fondos de inversión, administradoras de fondos para el retiro, instituciones de seguros o instituciones de fianzas, por lo que a estas entidades no les resultará aplicable lo dispuesto en las presentes disposiciones;
II. a V.   . . .
. . .
. . .
Artículo 3.- La prestación de Servicios de inversión deberá realizarse por las Entidades financieras a través de personas físicas autorizadas por la Comisión, siempre que estén certificadas para celebrar operaciones con el público de asesoría, promoción, compra y venta de Valores con el público, conforme a la Ley del Mercado de Valores y las disposiciones aplicables. Tratándose de Asesores en inversiones que sean personas morales, la prestación de Servicios de inversión deberá efectuarse a través de personas que cuenten con calidad técnica, honorabilidad e historial crediticio satisfactorio, ante un organismo autorregulatorio reconocido por la Comisión, de conformidad con el artículo 226, fracción VI de la Ley del Mercado de Valores, y para el caso de Asesores en inversiones que sean personas físicas deberán cumplir con el artículo 225 de dicha Ley."
"Artículo 5.-  . . .
I.     El perfil del cliente o de la cuenta de que se trate;
II.     El perfil del Producto financiero y su adecuación con el perfil del cliente o de la cuenta, y
III.    La política para la diversificación de la cartera de inversión que al efecto establezcan las Entidades financieras o los Asesores en inversiones.
. . .
. . .
. . .
. . .
. . .
. . ."
"Artículo 9.-  . . .
. . .
Las Entidades financieras o los Asesores en inversiones, estarán obligados a capacitar al personal que proporcione Asesoría de inversiones sobre las características de los Productos financieros y del propio Servicio de inversión asesorado que ofrecen previamente a la presentación de dicho servicio. Tratándose de Asesores en inversiones que sean personas físicas estarán obligados a conocer la información a que aluden las fracciones I a III anteriores.
. . ."
"Artículo 15.- . . .
I.     Advirtieron al cliente que las operaciones solicitadas no provendrían de una recomendación en términos de lo previsto por el artículo 5 de estas disposiciones, hicieron de su conocimiento los riesgos inherentes a este tipo de Servicio de inversión no asesorado y que por lo tanto, sería el cliente mismo el responsable de verificar que los Valores o Instrumentos financieros derivados sean acordes con sus objetivos de inversión así como evaluar sus riesgos inherentes. Asimismo, deberán señalar expresamente las diferencias entre la Ejecución de operaciones y los Servicios de inversión asesorados, y
II.     . . .
. . .
Adicionalmente, las Entidades financieras podrán prestar a través de la misma cuenta, el servicio de Comercialización o promoción a aquellos clientes que hayan contratado el servicio de Ejecución de operaciones, siempre y cuando identifiquen expresamente las operaciones que provienen de una instrucción del cliente de aquellas cuyo origen fue la Comercialización o promoción, conforme a lo previsto por la fracción V del Anexo 11 de estas disposiciones.
Artículo 16.- Las Entidades financieras para proporcionar el servicio de Ejecución de operaciones cuando el cliente a su vez haya contratado a un Asesor en inversiones o a cualquier otra entidad financiera que le formule recomendaciones sobre Valores o Instrumentos financieros derivados, deberán recabar de sus clientes una carta en el Formato B contenido en el Anexo 1 de estas disposiciones para poder asumir que el cliente es un Cliente sofisticado. Lo anterior, sin perjuicio de las responsabilidades a que se encuentra sujeto el Asesor en inversiones en la prestación de sus servicios.
. . ."
"Artículo 19.- . . .
. . .
. . .
. . .
Las políticas y lineamientos establecidos en términos de este artículo serán de observancia obligatoria para directivos, empleados y personal que presten los Servicios de inversión a los clientes de las Entidades financieras o de los Asesores en inversiones."
"Artículo 21.- Las Entidades financieras deberán contar con una persona responsable de supervisar el cumplimiento de las presentes disposiciones, así como de las políticas y lineamientos a que se refiere el artículo 19 de las presentes disposiciones, quien será designada por el consejo de administración. Asimismo, deberá tener independencia, recursos, conocimientos y experiencia necesarios para el desempeño de sus funciones, así como acceso a toda la información relacionada con los Servicios de inversión, sin que en ningún caso pueda participar en su prestación o en la estructuración de Productos financieros.
. . .
. . .
. . .
. . .
. . ."
"Artículo 29.- Las Entidades financieras estarán obligadas a grabar o documentar, así como a conservar, toda comunicación verbal o escrita que mantengan con sus clientes, al momento de la prestación de los Servicios de inversión y la realización de las transacciones, en su caso, así como a mantenerla a disposición de la Comisión durante un plazo de cuando menos cinco años.
Artículo 30.- Las Entidades financieras o los Asesores en inversiones, deberán poner a disposición de sus clientes y de la Comisión, cuando así se lo soliciten, la totalidad de los documentos contenidos en sus expedientes; tratándose de la documentación proporcionada por la Entidad financiera o el Asesor en inversiones durante la prestación de cualquier Servicio de inversión, esta deberá ponerse a disposición de los clientes igualmente cuando así lo soliciten, salvo que sean los clientes señalados en las fracciones I a V del artículo 2 de las presentes disposiciones.
Artículo 31.- . . .
Tratándose de la publicidad y propaganda relativa a fondos de inversión que las sociedades operadoras de fondos de inversión y sociedades y entidades que proporcionen los servicios de distribución de acciones de fondos de inversión, divulguen a través de la red electrónica mundial denominada Internet en términos de lo previsto por este artículo, adicionalmente deberán dar cumplimiento a lo dispuesto en las Disposiciones de carácter general aplicables a los fondos de inversión y a las personas que les presten servicios, publicadas en el Diario Oficial de la Federación el 24 de noviembre de 2014, o las que las sustituyan."
"Artículo 38.- . . .
I.     Proporcionen Servicios de inversión asesorados respecto de instrumentos de capital que puedan considerarse para efectos de la integración de capital, en términos de las Disposiciones de carácter general aplicables a las instituciones de crédito publicadas en el Diario Oficial de la Federación el 2 de diciembre de 2005 y sus respectivas modificaciones, en caso de que la emisora de dichos instrumentos forme parte del mismo Consorcio o Grupo empresarial al que pertenezca la casa de bolsa, institución de crédito, sociedad operadora de fondos de inversión, sociedad distribuidora de acciones de fondos de inversión o Asesor en inversiones que no sea independiente.
II. y III.    . . .
. . ."
"Artículo 44.- Las casas de bolsa, sociedades operadoras de fondos de inversión y sociedades o entidades que proporcionen los servicios de distribución de acciones de fondos de inversión, así como los Asesores en inversiones deberán informar a sus clientes de manera previa a la prestación de cualquier Servicio de inversión, las comisiones o contraprestaciones que les cobrarán por estos, asegurándose de diferenciarlas de las que provengan de algún otro servicio que proporcionen. La divulgación deberá realizarse a través de la guía de Servicios de inversión a que se refiere el artículo 24 de estas disposiciones y los conceptos de dichas comisiones deberán ser consistentes con los que se den a conocer a través de estados de cuenta en términos del Anexo 14, o bien, tratándose de sociedades distribuidoras de acciones de fondos de inversión que se encuentren autorizadas por la Comisión para realizar únicamente las operaciones a que se refiere el artículo 40 Bis, fracciones I y VI de la Ley de Fondos de Inversión, así como Asesores en inversiones, a través de los informes sobre las operaciones que entreguen a sus clientes en términos de lo señalado en las presentes disposiciones.
. . .
Artículo 45.- . . .
. . .
Tratándose de sociedades operadoras de fondos de inversión, sociedades distribuidoras de acciones de fondos de inversión que se encuentren autorizadas por la Comisión para realizar únicamente las operaciones a que se refiere el artículo 40 Bis, fracciones I y VI de la Ley de Fondos de Inversión y Asesores en inversiones deberán proporcionar a sus clientes los informes sobre las posiciones de valores que mantengan de sus propios clientes. Dichos informes deberán contener las especificaciones señaladas en el Anexo 14 de las presentes disposiciones. Los Asesores en inversiones, deberán proporcionar los referidos informes a sus clientes por lo menos de manera semestral."
TRANSITORIO
ÚNICO.- La presente Resolución entrará en vigor el día siguiente al de su publicación en el Diario Oficial de la Federación.
Atentamente
Ciudad de México, a 4 de septiembre de 2023.- Presidente de la Comisión Nacional Bancaria y de Valores, Dr. Jesús de la Fuente Rodríguez.- Rúbrica.
ANEXO 1
FORMATOS DE LAS MANIFESTACIONES RESPECTO DEL CUMPLIMIENTO DE LOS REQUISITOS
PARA SER CONSIDERADO COMO CLIENTE SOFISTICADO ASÍ COMO DE AQUELLA RELATIVA A LA
PRESTACIÓN DEL SERVICIO DE EJECUCIÓN DE OPERACIONES CUANDO SE HAYA CONTRATADO,
A SU VEZ, A UN ASESOR EN INVERSIONES.
Formato A.     Manifestación de cumplimiento de los requisitos para ser considerado como Cliente sofisticado.
Yo [NOMBRE DEL CLIENTE] declaro que es mi interés ser considerado como Cliente sofisticado.
Estoy consciente de que actuar con la calidad de Cliente sofisticado conlleva las siguientes implicaciones:
1.     Reconozco que tengo la capacidad para determinar que las inversiones que realice son acordes a mis objetivos de inversión; cuento con la experiencia y conocimientos en materia financiera para comprender los riesgos, así como la capacidad económica para determinar el impacto de las pérdidas potenciales de las mismas en mi patrimonio.
2.     Recibir información promocional en un idioma diferente al español respecto de productos o servicios que pudieran no estar supervisados por la Comisión, al ser negociados en el sistema internacional de cotizaciones de las bolsas de valores.
3.     Recibir información sobre cualquier tipo de Valor o Instrumento financiero derivado al amparo del servicio de Comercialización o promoción de valores, por lo que la Entidad financiera no está obligada a evaluar si el mismo es acorde a mi objetivo de inversión, situación financiera y conocimiento o experiencia financiera.
4.     Recibir el servicio de Asesoría de inversiones respecto a cualquier tipo de Valor o Instrumento financiero derivado, por lo que la Entidad financiera o Asesor en inversiones solo estará obligada a conocer mi objetivo de inversión a efecto de proporcionar dicho servicio.
5.     Tener acceso a inversiones en Valores que por su estructura, volatilidad o liquidez, entre otras características, podrían representar riesgos mayores, que pudieran incluir, entre otros, la posibilidad de:
a.   Perder mi inversión, tanto capital como intereses y, en su caso, en atención a la naturaleza de la operación de que se trate, generarse obligaciones adicionales a mi cargo.
b.   No recibir mis recursos invertidos en tiempo y forma.
c.    Invertir en Valores cuya compensación y liquidación no se realice a través de una contraparte central ni bajo términos estandarizados, lo que pudiera significar un mayor riesgo de contraparte.
d.   Invertir con base en estrategias de inversión complejas que pudieran generar rendimientos muy volátiles.
e.   Invertir en Valores e Instrumentos financieros derivados en los que ni la Emisora, ni el mercado, ni los inversionistas, estarían en posibilidad de contar con información relevante y oportuna, lo cual pudiera dificultar la evaluación de los riesgos, rendimientos o toma de decisiones de inversión. Ello, debido a la estructura legal o económica de la operación, la escasa disponibilidad de información de los Valores y activos subyacentes, así como la dificultad para interpretarla.
f.    Invertir en Valores o Instrumentos financieros derivados cuyo rendimiento esté sujeto al comportamiento de uno o más activos subyacentes, bienes o derechos, respecto de los cuales resulte difícil evaluar su riesgo en comparación con otros Valores.
g.   Invertir en Valores o Instrumentos financieros derivados que no cuenten con un mercado secundario, o bien, este sea limitado, lo cual complicaría o incluso podría impedir vender o deshacer la posición en el Valor o Instrumento financiero derivado, según corresponda, en un momento determinado y en condiciones favorables.
Habiendo reconocido los riesgos que implican las inversiones a las que pudiera tener acceso por ser considerado como Cliente sofisticado, declaro que cumplo con uno de los siguientes requisitos: [MARCAR EL RECUADRO]
 
Cuento con ingresos brutos de al menos el equivalente en moneda nacional a 1'000,000 (un millón) de unidades de inversión, durante cada uno de los últimos dos años.
 
 
 
 
Mantengo en promedio inversiones en Valores en una o varias Entidades financieras por un monto igual o mayor al equivalente en moneda nacional a 3'000,000 (tres millones) de unidades de inversión, durante el último año.
 
 
Entiendo que [NOMBRE DE LA ENTIDAD FINANCIERA DE QUE SE TRATE] no tiene el deber de verificar la veracidad de la presente declaración.
(___________________________________)
Nombre del inversionista o su representante legal y firma
INCLUIR FECHA A PARTIR DE LA QUE SE SUSCRIBE Y SURTE EFECTOS EL TRATAMIENTO COMO CLIENTE SOFISTICADO.
[FORMATO DE LIBRE IMPRESIÓN. TIPOGRAFÍA DE AL MENOS 12 PUNTOS. SE EXPIDE POR DUPLICADO].
Formato B.     Manifestación relativa a la prestación del servicio de Ejecución de operaciones cuando se haya contratado a su vez a un Asesor en inversiones.
Tratándose de inversionistas que celebren contratos con Entidades financieras para que les proporcionen el servicio de Ejecución de operaciones cuando a su vez haya contratado a un Asesor en inversiones, deberán manifestar lo siguiente:
Estoy consciente de que en términos del artículo 16 de las "Disposiciones de carácter general aplicables a las entidades financieras y demás personas que proporcionen servicios de inversión", al tener celebrado un contrato de prestación de servicios con un Asesor en inversiones instruiré la celebración de operaciones sobre Valores e Instrumentos financieros derivados únicamente a través de un servicio de inversión no asesorado.
(___________________________________)
Nombre del inversionista o su representante legal y firma
INCLUIR FECHA A PARTIR DE LA QUE SE SUSCRIBE.
[FORMATO DE LIBRE IMPRESIÓN. TIPOGRAFÍA DE AL MENOS 12 PUNTOS. SE EXPIDE POR DUPLICADO].
ANEXO 3
ELEMENTOS PARA DETERMINAR EL PERFIL DEL CLIENTE EN SERVICIOS DE INVERSIÓN
ASESORADOS
A.    Elementos a considerar
I.     Conocimientos y experiencia del cliente:
a)   El nivel de estudios, la edad, la ocupación, actividad profesional actual y, en su caso, las ocupaciones o actividades profesionales anteriores que resulten relevantes parala determinación del perfil;
b)   Los Valores e Instrumentos financieros derivados en que haya invertido el cliente, señalando su frecuencia, plazo y volumen, especificando el tipo de Valor o Instrumento financiero derivado, incluyendo, de manera enunciativa mas no limitativa:
1.     Instrumentos de deuda emitida por los Estados Unidos Mexicanos;
2.     Instrumentos representativos de una deuda a cargo de personas morales o fideicomisos;
3.     Acciones representativas del capital social de fondos de inversión;
4.     Valores estructurados a que se refieren las Disposiciones de carácter general aplicables a las emisoras de valores y a otros participantes del mercado de valores, publicadas en el Diario Oficial de la Federación el 19 de marzo de 2003 y sus respectivas modificaciones;
5.     Valores respaldados por activos a que se refieren las Disposiciones de carácter general aplicables a las emisoras de valores y a otros participantes del mercado de valores, publicadas en el Diario Oficial de la Federación el 19 de marzo de 2003 y sus respectivas modificaciones;
6.     Certificados bursátiles fiduciarios de desarrollo, inmobiliarios, de inversión en energía e infraestructura y de proyectos de inversión a que se refieren las Disposiciones de carácter general aplicables a las emisoras de valores y a otros participantes del mercado de valores, publicadas en el Diario Oficial de la Federación el 19 de marzo de 2003 y sus respectivas modificaciones;
7.     Acciones de sociedades anónimas bursátiles o sociedades anónimas promotoras de inversión bursátil de alta, media, baja o nula bursatilidad;
8.     Valores extranjeros, y
9.     Vehículos de inversión colectiva, listados y cotizados a lo largo de las sesiones bursátiles en las bolsas de valores, cuyo objetivo primordial consista en buscar reproducir el comportamiento de uno o más índices, activos financieros o parámetros de referencia.
      Para efectos de lo anterior, las Entidades financieras o los Asesores en inversiones deberán considerar las inversiones que el cliente haya efectuado en los últimos 2 años y no podrán tomar en cuenta operaciones aisladas.
c)   Estrategias de inversión de las operaciones realizadas por el cliente;
d)   Los Servicios de inversión que conozca el cliente, y
e)   El nivel general de conocimientos financieros sobre las operaciones realizadas, en su caso, y respecto de los Servicios de inversión asesorados a contratar.
II.     Situación y capacidad financiera del cliente:
a)   El origen y el porcentaje aproximado de sus ingresos y activos que serán destinados a las operaciones de los Servicios de inversión;
b)   El porcentaje de los compromisos financieros que, en su caso, el cliente asuma en la contratación de los Servicios de inversión, en relación con el patrimonio de dicho cliente, y
c)   El porcentaje que los recursos invertidos en la Entidad financiera representa, en relación a los invertidos en otras.
III.    Objetivos de inversión del cliente, respecto de los montos invertidos en la cuenta de que se trate:
a)   Propósito de la inversión;
b)   Duración prevista para la inversión;
c)   El nivel de tolerancia al riesgo del cliente por cada objetivo de inversión, y
d)   Limitantes y restricciones para la inversión, por voluntad del cliente.
Las Entidades financieras y los Asesores en inversiones deberán evaluar los conocimientos y experiencia, situación y capacidad financiera, así como objetivos de inversión del cliente considerando mayores o menores elementos a los señalados en los incisos anteriores, previa determinación del comité responsable del análisis de los Productos financieros, y cuya justificación deberá incluirse en las políticas y lineamientos previstos en la fracción I del artículo 19 de estas disposiciones.
Cuando las Entidades financieras o los Asesores en inversiones, no cuenten con los elementos necesarios para determinar el perfil de inversión del cliente a que se refiere este Apartado, o bien, cuando el propio cliente no proporcione información suficiente, la Entidad financiera o el Asesor en inversiones deberá asumir que en relación con el aspecto omiso o insuficiente, el cliente no tiene conocimientos o experiencia previos en materia financiera, que no ha invertido en Valores o Instrumentos financieros derivados o que su nivel de tolerancia al riesgo es el más conservador o el de mayor aversión al riesgo de la Entidad financiera o del Asesor en inversiones, según se trate.
El perfil del cliente podrá particularizarse en cada una de las cuentas que este mantenga en la Entidad financiera o Asesor en inversiones, de conformidad, en su caso, con sus distintos objetivos de inversión respecto de los montos invertidos en cada una de las cuentas.
En el caso de clientes que sean personas morales, la Entidad Financiera o el Asesor en inversiones determinará aquellos aspectos de los contenidos en este Apartado que les resulten aplicables, a fin de evaluar su situación financiera, conocimientos y experiencia en materia financiera, así como sus objetivos de inversión.
Tratándose de clientes que sean considerados como Clientes sofisticados, para la elaboración del perfil a que se refiere este Anexo, las Entidades financieras o los Asesores en inversiones únicamente estarán obligadas a conocer sus objetivos de inversión.
B.    Obligaciones al determinar el perfil de inversión del cliente
Las Entidades financieras o los Asesores en inversiones podrán realizar la evaluación en relación con las fracciones del Apartado A de este Anexo de manera simultánea o individual por cada una de ellas.
Adicionalmente, la información que las Entidades financieras o los Asesores en inversiones obtengan a fin de realizar la evaluación de dichas fracciones estará en función del Producto financiero o Servicio de inversión asesorado, pudiendo considerar un número mayor o menor de los aspectos señalados en cada una de ellas. Cuando las Entidades financieras o los Asesores en inversiones, conforme a las políticas y lineamientos aprobadas por su consejo de administración u órgano equivalente, o bien, aquellas determinadas por el propio Asesor en inversiones que sean personas físicas, utilicen las entrevistas o cuestionarios a que se refiere el penúltimo párrafo del artículo 19 de las presentes disposiciones, dichas entrevistas o cuestionarios no podrán inducir al cliente a responder de una determinada manera; contener respuestas referidas solamente a escalas numéricas sin estar asociadas a elementos cualitativos; dar la posibilidad de que se generen varias respuestas para el mismo cliente con respecto de la misma cuenta. Asimismo, las entrevistas o cuestionarios deberán contener preguntas claras y de fácil comprensión para los clientes que les permitan responderlas de manera adecuada.
La evaluación a que se refiere este Anexo deberá realizarse de nueva cuenta, a fin de determinar un perfil de inversión distinto, cuando los propios clientes proporcionen información adicional a la Entidad financiera o al Asesor en inversiones, cuando a juicio de estos últimos deban considerarse elementos que pudieran modificar el perfil o cuando la información de la que disponga la Entidad financiera o el Asesor en inversiones resulte insuficiente para verificar que el Producto financiero que se recomiende es razonable.
C.    Informe del perfil de inversión a los clientes
Una vez efectuada la evaluación considerando los elementos señalados en el Apartado A de este Anexo, las Entidades financieras o los Asesores en inversiones deberán informar al cliente el perfil que haya resultado, explicando detalladamente su significado a fin de obtener su conformidad con dicho perfil. En caso de que el cliente no dé su conformidad, la Entidad financiera o el Asesor en inversiones deberán solicitarle más información a fin de que esta determine un perfil que sea aceptable para el cliente y que la propia Entidad financiera o Asesor en inversiones considere aplicable. Tratándose de clientes que no aporten mayores elementos o información pero que deseen que su perfil de inversión sea más riesgoso con respecto al propuesto por la Entidad financiera o por el Asesor en inversiones, será necesario que para su determinación intervenga el responsable de supervisar el cumplimiento de las disposiciones en materia de Servicios de inversión asesorados a que alude el artículo 22 de estas disposiciones, el contralor normativo, o la persona o área que conforme al manual de conducta de los Asesores en inversiones que sean personas morales se encuentre a cargo de los mecanismos de control interno, caso en el cual dicha persona deberá verificar que al cliente se le informen los riesgos de recibir los Servicios de inversión asesorados con tal perfil. Cuando la Entidad financiera o el Asesor en inversiones no cuenten con la conformidad del cliente sobre su perfil de inversión, no podrá proporcionar Servicios de inversión asesorados.
Adicionalmente, la Entidad financiera o el Asesor en inversiones deberán solicitar al cliente que confirme, por lo menos una vez cada dos años, que los elementos utilizados para determinar su perfil no han sufrido cambios significativos. En el evento de no tener esta confirmación, las Entidades financieras o los Asesores en inversiones deberán advertir a sus clientes que seguirán proporcionando los Servicios de inversión asesorados con ese mismo perfil de inversión.
Las Entidades financieras o los Asesores en inversiones que utilicen categorías de perfiles, en ningún caso podrán solicitar a sus clientes la selección de alguna de ellas y deberán:
I.     Asociarlas a variables cuantitativas y cualitativas;
II.     Explicar las diferencias entre las distintas categorías, utilizando lenguaje claro y de fácil comprensión, así como abstenerse de emplear frases abiertas a interpretación o juicios de valor, y
III.    Reflejar expresamente la relación entre el riesgo y el rendimiento de la categoría de que se trate.
D.    Uso de sistemas
Las Entidades financieras o los Asesores en inversiones que utilicen sistemas o medios electrónicos como herramientas para la realización de la evaluación del cliente a que se refiere este Anexo a fin de determinar su perfil, deberán asegurarse de que dichos sistemas o medios electrónicos son utilizados en las circunstancias y en los mercados conforme a los cuales fueron diseñados. Adicionalmente, las Entidades financieras o los Asesores en inversiones que sean personas morales deberán cerciorarse de que el personal, áreas u órganos colegiados encargados de determinar el perfil del cliente, conozcan adecuadamente los sistemas o medios electrónicos que utilicen para realizar tal evaluación.
Igualmente, las Entidades financieras o los Asesores en inversiones deberán determinar el alcance en el uso de los sistemas o medios electrónicos, así como contar con herramientas que les permitan validar los resultados generales o de cada uno de los conceptos evaluados por tales sistemas o medios electrónicos.
E.    Otras obligaciones
Las Entidades financieras o los Asesores en inversiones deberán conservar soporte documental de la evaluación a que se refiere este Anexo, identificando la fecha en la cual fue realizada, como parte integrante del expediente del cliente haciendo alusión, en su caso, a la cuenta de que se trate. Asimismo, las Entidades financieras o los Asesores en inversiones que sean personas morales deberán identificar y designar a las personas, áreas u órganos colegiados responsables de realizar la evaluación de los clientes, así como de los sistemas, herramientas o medios electrónicos utilizados en términos del Apartado D de este Anexo. Para el caso de Asesores en inversiones que sean personas físicas, deberán identificar y documentar claramente los sistemas, herramientas o medios electrónicos correspondientes.
Las Entidades financieras o los Asesores en inversiones podrán entregar la justificación a que se refiere el artículo 7 de estas disposiciones, relativa a que la Estrategia de inversión o composición de la cartera de inversión recomendadas son razonables, conjuntamente cuando informen a sus clientes la determinación de su perfil de inversión.
ANEXO 4
ELEMENTOS PARA DETERMINAR EL PERFIL DEL PRODUCTO FINANCIERO EN SERVICIOS DE
INVERSIÓN ASESORADOS
A.     Productos financieros en general
Para efectos de realizar un análisis razonable de los Productos financieros a que se refiere el presente inciso y para determinar su perfil, las Entidades financieras o los Asesores en inversiones deberán considerar la información pública relacionada con los elementos siguientes, cuando les sean aplicables a dichos Productos financieros y atendiendo a su naturaleza:
I.       Las necesidades de inversión que pudieran satisfacer;
II.      Los objetivos y especificaciones;
III.     Los riesgos asociados, incluyendo el riesgo de crédito, de liquidez y de mercado, así como la evaluación de los riesgos inherentes a los subyacentes.
        Las Entidades financieras o los Asesores en inversiones respecto de los Valores que cuenten con una calificación otorgada por alguna institución calificadora de valores, deberán considerar elementos adicionales a dicha calificación para determinar el riesgo de crédito;
IV.     Su liquidez, la existencia de un mercado secundario y las opciones que existan para su negociación. Adicionalmente, deberán considerar si la distribución del Valor es entre el gran público inversionista;
V.     La situación financiera actual e histórica de la Emisora del Valor, contraparte o proveedor del Instrumento financiero derivado;
VI.     La volatilidad de su precio;
VII.    Los costos de operación asociados, incluyendo comisiones y compensaciones que deberán pagarse;
VIII.   La calidad de los custodios, fiduciarios, administradores de activos o garantes asociados con el Valor o Instrumento financiero derivado;
IX.     El precio en función de los riesgos del Producto financiero;
X.     La información sobre sus características;
XI.     La prelación en su pago, en el evento de concurso mercantil de la Emisora o contraparte;
XII.    Para el caso de Valores representativos de capital, considerar si son objeto de oferta pública inicial o si son considerados para el cálculo de alguno de los índices bursátiles, y
XIII.   Tratándose de los Valores o Instrumentos financieros derivados señalados en el Apartado B de este Anexo deberán evaluar adicionalmente lo siguiente:
a)    Los activos subyacentes o componentes de los que dependen los flujos de efectivo asociados al Valor o Instrumento financiero derivado, en su caso;
b)    La estructura del Valor o Instrumento financiero derivado, incluyendo sus flujos de efectivo, la forma en que los riesgos asociados son mitigados o acrecentados y las funciones y responsabilidades de terceras partes en dicha estructura, en su caso;
c)     La disponibilidad y relevancia de la información del Valor o Instrumento financiero derivado en el mercado en que se negocia, así como de los activos subyacentes o componentes que lo integren, y
d)    Que el análisis de los activos subyacentes o componentes del Valor o Instrumento financiero derivado haya sido realizado con base en información relevante sobre dichos activos o componentes, en su caso.
Las Entidades financieras o los Asesores en inversiones deberán asegurarse de que el perfilamiento a que se refiere el presente Anexo se encuentre actualizado en todo momento. En tal virtud, estarán obligados a considerar cualquier cambio en los elementos previstos en el mismo, así como los eventos relevantes de las Emisoras.
B.     Otros Productos financieros
A los Productos financieros que se indican a continuación les será aplicable la fracción XIII del Apartado A anterior para efectos de la determinación de su perfil:
I.       Valores estructurados.
II.      Valores respaldados por activos, certificados bursátiles fiduciarios de desarrollo, inmobiliarios, de inversión en energía e infraestructura y de proyectos de inversión a que se refieren las Disposiciones de carácter general aplicables a las emisoras de valores y a otros participantes del mercado de valores publicadas en el Diario Oficial de la Federación el 19 de marzo de 2003 y sus respectivas modificaciones.
III.     Valores emitidos en el extranjero reconocidos por la Comisión en términos de las Disposiciones de carácter general aplicables al Sistema Internacional de Cotizaciones publicadas en el Diario Oficial de la Federación el 18 de diciembre de 2003 y sus respectivas modificaciones, o análogos.
IV.     Instrumentos de capital que puedan considerarse para efectos de la integración de capital, en términos de las Disposiciones de carácter general aplicables a las instituciones de crédito publicadas en el Diario Oficial de la Federación el 2 de diciembre de 2005 y sus respectivas modificaciones, en caso de que la emisora de dichos instrumentos forme parte del mismo Consorcio o Grupo empresarial al que pertenezca la Entidad financiera;
V.     Valores emitidos por vehículos de inversión colectiva, listados y cotizados a lo largo de las sesiones bursátiles en las bolsas de valores, inscritos en el Registro cuyo objetivo primordial consista en buscar reproducir el comportamiento de uno o más índices, activos financieros o parámetros de referencia, cuando dichos vehículos se ubiquen en alguno de los supuestos siguientes:
a)    Mantengan invertido directamente o indirectamente menos del 80 por ciento de su patrimonio en activos que formen parte del índice, activo financiero o parámetro de referencia al que se encuentre referenciado.
       El supuesto anterior no resultará aplicable tratándose de vehículos de inversión colectiva, listados y cotizados a lo largo de sesiones bursátiles en las bolsas de valores, inscritos en el Registro cuyo objetivo primordial consista en buscar reproducir el comportamiento de uno o más índices, activos financieros o parámetros de referencia, cuyo subyacente, en todos los casos, sean instrumentos financieros derivados referidos a mercaderías. Se entenderá por activos financieros a lo definido en el glosario de términos contenido en las Normas de Información Financiera emitidas por el Consejo Mexicano de Normas de Información Financiera, A.C.
b)    Sean de gestión activa entendiendo por ello, actos que den por resultado la revolvencia de cualquier bien o derecho integrante de los haberes del vehículo, con el propósito de procurar aprovechar oportunidades de mercado e incrementar el rendimiento esperado, y con ello superar el parámetro de referencia;
c)     Existan créditos, préstamos o financiamientos a cargo del vehículo de inversión que deban ser pagados con los activos financieros del propio vehículo;
d)    Tomen posiciones cortas en alguno de los activos objeto de inversión, las cuales resulten de operaciones distintas al préstamo de valores;
e)    Busquen reproducir matemática o estadísticamente en forma inversa o exponencial, los activos, el índice o parámetro de referencia;
f)     Los índices, activos financieros, o parámetros de referencia que reproduzcan matemática o estadísticamente, sean inversos o exponenciales de otros índices, activos financieros o parámetros de referencia, y
g)    Los índices, activos financieros o parámetros de referencia que reproduzcan matemática o estadísticamente no cuenten con una metodología pública que permita replicar dichos índices, activos o parámetros de referencia.
VI.     Valores emitidos por vehículos de inversión colectiva, listados y cotizados a lo largo de las sesiones bursátiles en las bolsas de valores, inscritos en el Registro, cuyo objetivo primordial consista en buscar reproducir el comportamiento de uno o más índices, activos financieros o parámetros de referencia, cuando a su vez inviertan directa o indirectamente en Valores emitidos por sociedades o mecanismos de inversión conocidos internacionalmente como "hedge funds".
VII.    Instrumentos financieros derivados.
VIII.   Otros Productos financieros complejos, incluyendo Valores extranjeros no listados en el sistema internacional de cotizaciones de las bolsas de valores ni inscritos en el Registro.
Las Entidades financieras y los Asesores en inversiones podrán considerar mayores o menores elementos a los señalados en el presente Anexo, previa determinación del comité responsable del análisis de los Productos financieros, y cuya justificación deberá incluirse en las políticas y lineamientos previstos en la fracción II del artículo 19 de estas disposiciones.
ANEXO 6
VALORES O INSTRUMENTOS OBJETO DE COMERCIALIZACIÓN O PROMOCIÓN
Las Entidades financieras únicamente podrán Comercializar o promover a clientes que no sean considerados como Clientes sofisticados, los Valores siguientes:
I.       Valores gubernamentales como se definen en la Circular 3/2012 emitida por el Banco de México o el instrumento que la sustituya, así como aquellos Valores garantizados o avalados por los Estados Unidos Mexicanos, cuyo plazo a vencimiento al momento de proporcionar el servicio de Comercialización o promoción sea igual o menor a tres años;
II.      Valores que sean:
a)    De captación bancaria inscritos en el Registro que cuenten con una calificación otorgada por alguna institución calificadora de valores igual a AAA, o su equivalente en términos de la tabla contenida en el Anexo 18 de estas disposiciones.
b)    Aquellos que cuenten con una calificación otorgada por alguna institución calificadora de valores igual a AAA, o su equivalente en términos de la tabla contenida en el Anexo 18 de estas disposiciones.
c)     Títulos opcionales, emitidos por entidades financieras que formen parte del mismo Grupo financiero, Grupo Empresarial o Consorcio que la Entidad financiera, o Emisoras que también cuenten con una calificación otorgada por una institución calificadora de valores igual a AAA, o su equivalente en términos de la tabla contenida en el Anexo 18 de estas disposiciones, en caso de que sean las responsables finales del pago del Valor.
        Lo anterior, siempre que el plazo a vencimiento de los Valores referidos en los incisos a) a c) de esta fracción, al momento de proporcionar el servicio de Comercialización o promoción sea igual o menor a un año y obliguen a su vencimiento a liquidar una cantidad por lo menos igual al principal invertido por el cliente.
III.     Valores estructurados a que se refieren las Disposiciones de carácter general aplicables a las emisoras de valores y a otros participantes del mercado de valores, publicadas en el Diario Oficial de la Federación el 19 de marzo de 2003 y sus respectivas modificaciones, siempre que el plazo a vencimiento del valor al momento de proporcionar el servicio de Comercialización o promoción sea igual o menor a un año, obliguen a su vencimiento a liquidar una cantidad por lo menos igual al principal invertido por el cliente, así como que la entidad que respalde el pago del principal invertido cuente con una calificación otorgada por alguna institución calificadora de valores igual a AAA, o su equivalente en términos de la tabla contenida en el Anexo 18 de estas disposiciones;
IV.     Valores que sean instrumentos de deuda a cargo de personas morales o fideicomisos, siempre que el plazo a vencimiento del valor al momento de proporcionar el servicio de Comercialización o promoción sea igual o menor a un año y cuenten con una calificación otorgada por alguna institución calificadora de valores igual a AAA, o su equivalente en términos de la tabla contenida en el Anexo 18 de estas disposiciones, y
V.     Acciones de fondos de inversión cuyos activos objeto de inversión sean exclusivamente los Valores señalados en las fracciones I y IV anteriores, o bien, acciones de fondos de inversión en instrumentos de deuda que sean clasificadas de acuerdo a la duración de sus activos objeto de inversión como de corto o mediano plazo conforme a las Disposiciones de carácter general aplicables a los fondos de inversión y a las personas que les prestan servicios, publicadas en el Diario Oficial de la Federación el 24 de noviembre de 2014 y sus respectivas modificaciones.
VI.     Certificados bursátiles fiduciarios indizados referenciados a Valores gubernamentales como se definen en la Circular 3/2012 emitida por el Banco de México o el instrumento que la sustituya, así como aquellos Valores garantizados o avalados por los Estados Unidos Mexicanos, siempre y cuando sean gestionados por Entidades financieras y Asesores en inversiones.
Las Entidades financieras, salvo las sociedades distribuidoras de acciones de fondos de inversión y entidades que presten dichos servicios, podrán recomendar a sus clientes de manera generalizada al amparo del servicio de Comercialización o promoción, realizar operaciones de reporto con plazo igual o menor a un año, en términos de las Reglas a las que deberán sujetarse las instituciones de crédito, casas de bolsa, fondos de inversión, sociedades de inversión especializadas de fondos para el retiro, y la Financiera Rural en sus operaciones de reporto, expedidas por el Banco de México el 12 de enero de 2007 y sus respectivas modificaciones o las que las sustituyan, respecto de Valores que cuenten con una calificación otorgada por alguna institución calificadora de valores igual a AAA, o su equivalente en términos de la tabla contenida en el Anexo 18 de estas disposiciones o cuando la contraparte de la operación también cuente con tal calificación.
ANEXO 12
ESTÁNDARES PARA LA DIVULGACIÓN DE INFORMACIÓN MEDIANTE LA RED ELECTRÓNICA
MUNDIAL DENOMINADA INTERNET
Las especificaciones mínimas en el uso de la red electrónica mundial denominada Internet, por parte de las Entidades financieras o los Asesores en inversiones, en caso de contar con ella, para la divulgación de información, son las siguientes:
I.       Que la información publicada en la página de Internet sea redactada en idioma español y además sea consistente con aquella contenida en los documentos impresos;
II.      La posibilidad de realizar descargas de los documentos que contengan información que los clientes deban conocer de manera previa a la celebración de una operación o la contratación de un Servicio de inversión;
III.     Que se registren todas las modificaciones realizadas por la Entidad financiera o por el Asesor en inversiones a la información publicada en la página electrónica de la red mundial denominada Internet, y
IV.     En caso de utilizar hipervínculos, la clara señalización para el cliente del momento en que está abandonando la página electrónica de la red mundial denominada Internet de la Entidad financiera o del Asesor en inversiones, advirtiendo que ingresa a un sitio distinto, cuyo contenido no es responsabilidad de la Entidad financiera o del Asesor en inversiones de que se trate.
En todo caso, las Entidades financieras o los Asesores en inversiones deberán permitir la consulta y descarga gratuita al público en general, de la guía de servicios de inversión a que se refiere el artículo 24 de estas disposiciones a través de su página electrónica en la red mundial denominada Internet, así como las características de las entrevistas o los cuestionarios a que se refiere el artículo 19, penúltimo párrafo de estas disposiciones.
ANEXO 13
DE LOS CONFLICTOS DE INTERÉS
A.     De los conflictos de interés a que alude el artículo 36 de estas disposiciones
I.       Las Entidades financieras o Asesores en inversiones no independientes deberán contar con políticas y procedimientos para evitar conflictos de interés, que se refieran por lo menos a los supuestos siguientes:
a)    Proporcionar Servicios de inversión asesorados respecto de Valores que hayan sido emitidos por la propia Entidad financiera o por Personas relacionadas con esta directamente o a través de fideicomisos y sean colocados por la casa de bolsa como Líder colocador, miembro del sindicato colocador o como Participante en la colocación y la propia Entidad financiera o el Asesor en inversiones no independiente cuyos accionistas, socios, consejeros, directivos, apoderados o empleados participen en el capital u órganos de administración de dicha Entidad financiera, pretenda vender a sus propios clientes hasta el veinte por ciento de la emisión de que se trate, salvo que se trate de clientes que sean Clientes sofisticados a los que les esté prestando el servicio de Asesoría de inversiones;
b)    Proporcionar Servicios de inversión asesorados respecto de los Valores que hayan sido emitidos por personas que no sean relacionadas, y sean colocados por la casa de bolsa como Líder colocador, miembro del sindicato colocador o como Participante en la colocación y la Entidad financiera o el Asesor en inversiones no independiente cuyos accionistas, socios, consejeros, directivos, apoderados o empleados participen en el capital u órganos de administración de dicha Entidad financiera, pretenda vender a sus propios clientes hasta el cuarenta por ciento de la emisión de que se trate, salvo que se trate de clientes que sean Clientes sofisticados a los que les esté prestando el servicio de Asesoría de inversiones;
c)     Proporcionar Comercialización o promoción a Clientes sofisticados respecto de Valores que hayan sido emitidos por la propia Entidad financiera o por Personas relacionadas con esta directamente o a través de fideicomisos y sean colocados por la casa de bolsa como Líder colocador, miembro del sindicato colocador o como Participante en la colocación y la Entidad financiera que forme parte del Consorcio o Grupo empresarial al cual pertenezca la casa de bolsa, pretenda vender a sus propios clientes dichos Valores;
d)    Proporcionar Asesoría de inversiones a Clientes sofisticados ubicándose en cualesquiera de los supuestos a que alude el artículo 38, fracción III o el Apartado D de este Anexo;
e)    Proporcionar Servicios de inversión asesorados o bien, proporcionar Comercialización o promoción sobre Valores e Instrumentos financieros derivados respecto de los cuales la propia Entidad financiera o el Asesor en inversiones no independiente cuyos accionistas, socios, consejeros, directivos, apoderados o empleados participen en el capital u órganos de administración de dicha Entidad financiera haya participado en su estructuración, y
f)     Proporcionar Servicios de inversión asesorados respecto de Valores objeto de oferta pública que hayan sido emitidos por la propia Entidad financiera o por Emisoras que formen parte del mismo Grupo Financiero, Grupo Empresarial o Consorcio que la Entidad financiera o Asesor en inversiones no independiente, que resulten en una tenencia entre los clientes de la propia Entidad financiera o Asesor en inversiones no independiente de hasta el veinte por ciento del total de la emisión, salvo que se trate de clientes que sean Clientes sofisticados a los que les esté prestado el servicio de Asesoría de inversiones.
II.      Los Asesores en inversiones en la prestación de Servicios de inversión asesorados deberán contar con políticas y procedimientos para evitar conflictos de interés, que se refieran por lo menos a los supuestos siguientes:
a)    Cuando se proporcionen adicionalmente cualquier otro servicio o actividad, incluyendo sin limitar, fusiones, adquisiciones, gestoría de créditos y testamentos.
b)    Cuando se celebren convenios de exclusividad o se puedan obtener beneficios no económicos para el cliente, con determinados intermediarios del mercado de valores o instituciones financieras del exterior del mismo tipo, que impliquen un interés en las recomendaciones que formulen a sus clientes.
c)     Proporcionar Servicios de inversión asesorados cuando exista cualquier otro potencial conflicto de interés que por la naturaleza de sus operaciones no hubieren identificado debiendo informar a sus clientes de manera inmediata la existencia de dicho potencial conflicto de interés, señalándoles expresamente en qué consiste, así como los mecanismos para su gestión.
B.     Contenido mínimo de las políticas y lineamientos para evitar la existencia de conflictos de interés
Las políticas y lineamientos a que se refiere el artículo 36 de estas disposiciones, deberán contener, por lo menos, lo siguiente:
I.       Los procedimientos para supervisar el flujo de información al interior de las distintas áreas que integran la Entidad financiera o el Asesor en inversiones que sea una persona moral, incluidas las comunicaciones que realice el personal adscrito a las Áreas de negocio o cualquiera otra que pudiera implicar un conflicto de interés, con aquellas personas que laboren en las áreas encargadas de proporcionar Servicios de inversión;
II.      La prohibición para evitar cualquier presión, persuasión o transmisión de información confidencial del personal que labore en las áreas, en su caso, encargadas del diseño y estructuración de Productos financieros, financiamiento corporativo, banca de inversión colocación de Valores, administración de activos de fondos de inversión, distribución de acciones de fondos de inversión o cualquier otro que pudiera implicar un conflicto de interés, respecto de las actividades de las personas que laboren en las áreas encargadas de proporcionar Servicios de inversión y sus clientes;
III.     Los procedimientos para impedir o controlar el intercambio de información entre directivos y empleados de la Entidad financiera o el Asesor en inversiones que sea una persona moral, cuando tal intercambio de información pueda ir en detrimento de los intereses de uno o más clientes;
IV.     La definición de los responsables del manejo de las operaciones por cuenta propia de la Entidad financiera o el Asesor en inversiones que sea una persona moral, así como la obligación de separar adecuadamente las funciones y responsabilidades de dichas personas respecto de los empleados y directivos de la Entidad financiera o del Asesor en inversiones que sea una persona moral encargados de la prestación de Servicios de inversión, y
V.     La prohibición para los Analistas, apoderados para celebrar operaciones con el público, operadores de bolsa y otros empleados de las Entidades financieras o Asesores en inversiones que sean personas morales que proporcionen Servicios de inversión, de aceptar beneficios económicos o de cualquier otra índole de personas que tengan un interés en el sentido de las recomendaciones u operaciones que formulen o efectúen.
C.     De los conflictos de interés a que se refiere el artículo 37 de estas disposiciones
Las Entidades financieras o Asesores en inversiones no independientes cuyos accionistas, socios, consejeros, directivos, apoderados o empleados participen en el capital u órganos de administración de la Entidad financiera de que se trate que se ubiquen en cualquiera de los supuestos siguientes incurrirán en un conflicto de interés por no haber cumplido con la obligación de diversificar la emisión. Los supuestos son:
I.       Proporcionar Servicios de inversión asesorados respecto de Valores en oferta pública, cuya colocación entre sus propios clientes, exceda del veinte por ciento del total de la emisión como resultado de dichos Servicios de inversión asesorados, tratándose de Valores emitidos por la propia Entidad financiera o por Personas relacionadas con la misma, o bien, cuando el Asesor en inversiones no independiente cuyos accionistas, socios, consejeros, directivos, apoderados o empleados participen en el capital u órganos de administración de la Entidad financiera de que se trate, recomienden la adquisición de tales Valores;
II.      Proporcionar Servicios de inversión asesorados respecto de Valores en oferta pública, cuya colocación entre sus propios clientes, exceda del cuarenta por ciento del total de la emisión cuando se trate de emisiones de personas que no sean relacionadas con la Entidad financiera o Asesor en inversiones no independiente cuyos accionistas, socios, consejeros, directivos, apoderados o empleados participen en el capital u órganos de administración de la Entidad financiera de que se trate, en los siguientes casos:
a)    Se trate de Valores objeto de oferta pública en la que la Entidad financiera actúe como Líder colocador, miembro del sindicato colocador, forme parte del proceso de dicha oferta pública o sea Participante en la colocación o bien, cuando el Asesor en inversiones no independiente cuyos accionistas, socios, consejeros, directivos, apoderados o empleados participen en el capital u órganos de administración de la Entidad financiera de que se trate, recomienden la adquisición de tales Valores;
b)    Se trate de Valores objeto de oferta pública y una parte o la totalidad de los recursos obtenidos a través de ella, se destinen al pago de obligaciones o pasivos a favor de la Entidad financiera colocadora o de las personas morales que formen parte del mismo Consorcio o Grupo empresarial al que pertenezca dicha Entidad financiera, o bien, cuando el Asesor en inversiones no independiente cuyos accionistas, socios, consejeros, directivos, apoderados o empleados participen en el capital u órganos de administración de la Entidad financiera de que se trate, recomienden la adquisición de tales Valores;
c)     Se trate de Valores respaldados por activos a que se refieren las Disposiciones de carácter general aplicables a las emisoras de valores y a otros participantes del mercado de valores publicadas en el Diario Oficial de la Federación el 19 de marzo de 2003 y sus respectivas modificaciones, cuando los activos sean de la Entidad financiera o de las personas que formen parte del mismo Consorcio o Grupo empresarial al que pertenezca, o bien, cuando el Asesor en inversiones no independiente cuyos accionistas, socios, consejeros, directivos, apoderados o empleados participen en el capital u órganos de administración de la Entidad financiera de que se trate, recomienden la adquisición de tales Valores, o
d)    Se trate de Valores que se encuentren en la posición propia de la Entidad financiera, del Asesor en inversiones no independiente, o en la de cualquier entidad que forme parte del mismo Consorcio o Grupo empresarial al que estos pertenezcan, si en la oferta pública inicial actuó con el carácter de Líder colocador, miembro del sindicato colocador o Participante en la colocación.
D.     Excepciones a los límites previstos en el artículo 38, fracción III y Apartado C de este Anexo para evitar un conflicto de interés
Se considerará que las Entidades financieras o los Asesores en inversiones no independientes no incurren en alguno de los conflictos de interés a que alude el artículo 38, fracción III y Apartado C anterior, en los casos y en las condiciones siguientes:
I.       Cuando proporcionen Servicios de inversión asesorados excediendo los límites a que aluden el artículo 38, fracción III o bien, el Apartado C anterior, fracción II, siempre que: a) hayan obtenido la previa autorización del comité responsable del análisis de los Productos financieros u órgano equivalente o persona responsable por cada emisión o por cada programa de colocación estos últimos tratándose de emisiones de corto plazo; la autorización se otorgará respecto de los programas de colocación en los que se prevea su realización sucesiva, siempre y cuando en cada una de las emisiones correspondientes se cumpla con las condiciones previstas en estas disposiciones, y b) se trate de cualquiera de los valores siguientes:
a)    Valores que cuenten con una calificación igual o superior a AAA o AA o su equivalente, en términos de la tabla contenida en el Anexo 18 de estas disposiciones, emitida por alguna institución calificadora de valores, o
b)    Valores estructurados a que se refieren las Disposiciones de carácter general aplicables a las emisoras de valores y a otros participantes del mercado de valores, publicadas en el Diario Oficial de la Federación el 19 de marzo de 2003 y sus respectivas modificaciones, cuando el plazo total al momento de la emisión del instrumento sea igual o menor a un año y obliguen a su vencimiento a liquidar una cantidad por lo menos igual al principal invertido por el cliente.
II.      Cuando excedan los límites previstos en las fracciones I y II, incisos a) y d) del Apartado C de este Anexo, o bien, cuando excedan el límite previsto en el artículo 38, fracción III de estas disposiciones y en cualquiera de estos casos proporcionen Servicios de inversión asesorados, siempre que hayan obtenido la previa autorización del programa de colocación por parte del comité responsable del análisis de los Productos financieros, se trate de títulos opcionales y se cumpla con lo siguiente:
a)    En caso de que el título opcional contenga una porción retornable de su importe, los instrumentos de deuda que formen parte de la cobertura de dicho importe no podrán ser Valores emitidos por la propia Entidad financiera o por Personas relacionadas con esta;
b)    La Entidad financiera mantenga hasta el vencimiento de cada emisión de títulos opcionales un portafolio de cobertura que compense en un intervalo de entre 95 % y 105 % la exposición de la Emisora derivada de la colocación de los títulos, a los movimientos del subyacente del título opcional (medida por su "delta"). Lo anterior en el entendido de que el portafolio de cobertura se deberá conformar por Valores o Instrumentos financieros derivados correlacionados con el subyacente del título emitido.
       Sin perjuicio de lo anterior, si la cobertura se ubica fuera del intervalo mencionado debido a movimientos en las condiciones de mercado, a efecto de considerarse que no se incurre en conflicto de interés, se deberán realizar las operaciones de ajuste en un plazo que no exceda de dos días hábiles contados a partir de que se presente la desviación. En todo caso, lo anterior deberá documentarse debidamente por el comité responsable del análisis de los Productos financieros, órgano equivalente o persona responsable;
c)     Las Entidades financieras emisoras de títulos opcionales deberán contar con una calificación otorgada por alguna institución calificadora de valores igual a AAA o AA, o su equivalente en términos de la tabla contenida en el Anexo 18 de estas disposiciones, en caso de que sea la responsable final del pago del Valor.
        La autorización a que se refiere esta fracción únicamente podrá ser otorgada por el citado comité u órgano equivalente o persona responsable cuando se cerciore de que se cumple con lo previsto en todos y cada uno de los incisos anteriores y ello quede asentado en la minuta correspondiente.
III.     Cuando se trate de cualquiera de los Valores siguientes:
a)    Acciones representativas del capital social de Emisoras o títulos de crédito que las representen;
b)    Acciones representativas del capital social de fondos de inversión;
c)     Valores emitidos por vehículos de inversión colectiva, listados y cotizados a lo largo de las sesiones bursátiles en las bolsas de valores, inscritos en el Registro cuyo objetivo primordial consista en buscar reproducir el comportamiento de uno o más índices, activos financieros o parámetros de referencia;
d)    Certificados bursátiles fiduciarios de desarrollo, inmobiliarios, de inversión en energía e infraestructura y de proyectos de inversión a que aluden las Disposiciones de carácter general aplicables a las emisoras de valores y a otros participantes del mercado de valores, publicadas en el Diario Oficial de la Federación el 19 de marzo de 2003 y sus respectivas modificaciones, o
e)    Valores a que se refiere el Anexo 6 de estas disposiciones.
E.     De los conflictos de interés respecto de los Asesores en inversiones que sean personas físicas
Los Asesores en inversiones que sean personas físicas deberán contar con políticas y lineamientos para evitar incurrir en conflictos de interés. Se considerará de manera enunciativa más no limitativa que los Asesores en inversiones que sean personas físicas incurrieron en un conflicto de interés en los siguientes supuestos:
I.       Obtengan algún beneficio no económico, incluyendo reportes o análisis de Productos financiero, de una Entidad financiera a cambio de ejecutar las órdenes de sus clientes con dicha Entidad o a cambio de cualquier otro arreglo entre las partes y no revelen dicha situación a sus clientes.
II.      Recomienden a sus clientes celebrar un contrato de intermediación bursátil o de administración de valores en alguna Entidad financiera para ejecutar órdenes, cuando el propio Asesor en inversiones sea accionista de una institución de crédito, casa de bolsa, sociedad operadora de fondos de inversión, sociedad distribuidora de acciones de fondos de inversión, institución calificadora de valores o entidad financiera del exterior, o bien, si es miembro del consejo de administración, directivo, gerente, apoderado, empleado o participa en los órganos de administración de una institución de crédito, casa de bolsa, sociedad operadora de fondos de inversión, sociedad distribuidora de acciones de fondos de inversión, institución calificadora de valores o entidad financiera del exterior y no revelen dicha situación a sus clientes.
        En caso de que el Asesor en inversiones sí revele a sus clientes que se ubica en el supuesto establecido en el párrafo anterior no se considerará que incurrió en un conflicto de interés pero en dicha revelación deberá además explicar las razones por las que efectúa tal recomendación.
ANEXO 14
INFORMACIÓN ADICIONAL QUE CONTENDRÁN LOS ESTADOS DE CUENTA E INFORMES DE
OPERACIONES
A.     Información mínima
I.       Los Valores, Instrumentos financieros derivados, operaciones de reporto, garantías, préstamo de Valores y efectivo que conformen la cartera de inversión de sus clientes, así como los Gastos y Comisiones de intermediación incurridos en la realización y ejecución de toda operación efectuada en el periodo al que se refiere la información;
II.      El resultado del cálculo del Rendimiento de la Cartera de Inversión así como el Rendimiento de la Cartera de Inversión Neto, efectuados conforme a lo previsto en el Apartado B del presente anexo;
III.     El diferencial por valuación de cada uno de los Valores, Instrumentos financieros derivados, operaciones de reporto, garantías y préstamo de Valores, conforme a lo siguiente:
a)    Para cada uno de los Valores, Instrumentos financieros derivados, operaciones de reporto, garantías y préstamo de Valores que conformen la cartera de inversión al cierre del periodo reportado, entre el precio provisto por un proveedor de precios para el cierre de dicho periodo y el precio al cierre del periodo anterior reportado o en caso de que dichos instrumentos hubieran sido adquiridos o traspasados al contrato para el que se emite el estado de cuenta o el informe de operaciones durante el periodo reportado, respecto al costo de adquisición o de traspaso, pudiendo en su caso, utilizar el costo promedio, y
b)    Para cada uno de los Valores, Instrumentos financieros derivados, operaciones de reporto, garantías y préstamo de Valores que las Entidades financieras hubieran vendido o traspasado a otra cuenta o contrato distinto al contrato para el que se emite el estado de cuenta durante el periodo reportado, entre el precio de venta o traspaso y el precio de adquisición o de traspaso, pudiendo en su caso, utilizar el costo promedio determinado a la fecha de la venta.
        Asimismo, se deberán reportar cualquier pago recibido o pagado, incluyendo en su caso dividendos, en relación con cada Valor, Instrumento financiero derivado, operación de reporto, garantía y préstamo de Valores que formen parte de la cartera de inversión del cliente.
        Los Asesores en inversiones no estarán obligados a incorporar la información a que alude la presente fracción.
IV.     Cuando previamente se hubiera acordado un índice de referencia entre la casa de bolsa o el Asesor en inversiones y el cliente, se deberá incluir una comparación entre el Rendimiento de la Cartera de Inversión durante el mes reportado y el rendimiento de dicho índice, y
V.     El desglose de las Comisiones y Gastos de Intermediación, por Servicios de inversión y Administrativos cobrados al cliente, así como el Impuesto sobre la Renta Retenido, incluyendo la forma de cálculo y el monto de estos como proporción del valor total de la cartera de inversión, incluyendo una declaración en el sentido de que se podrá proporcionar información adicional más detallada a petición del cliente. Las Comisiones cobradas al cliente deberán ser consistentes con lo establecido en el artículo 44 y con los criterios a que hace referencia el artículo 45 de estas disposiciones, e igualmente deberán incluirse los gastos pagados. Para efectos de su presentación en el estado de cuenta o en el informe de operaciones, para el caso de Asesores en inversiones, se deberán clasificar de acuerdo a lo siguiente:
a)    En el rubro "Comisiones y Gastos de Intermediación" se deberán incluir todos los importes cobrados al cliente, relacionados a las operaciones realizadas durante el periodo que se reporte. Los importes revelados deberán incorporar el Impuesto al Valor Agregado (I.V.A.) concerniente a cada operación realizada.
b)    En el rubro "Comisiones y Gastos por Servicios" se deberán incluir todos los importes cobrados al cliente por concepto de manejo de cartera, comisiones por tipo de Servicio de inversión y comisiones por desempeño, entre otros. Los importes revelados deberán incorporar el Impuesto al Valor Agregado (I.V.A.) que corresponda a cada gasto o comisión cobrada al cliente.
c)     En el rubro "Comisiones y Gastos Administrativos" se deberán incluir todos los importes cobrados al cliente por cada concepto que no sea considerado como "Comisiones y Gastos por Servicios" ni como "Comisiones y Gastos de Intermediación". Los gastos y comisiones revelados deberán incluir, entre otros, los siguientes: comisión por custodia de Valores, comisión por servicio de recolección de cheques, intereses por saldo deudor. Los importes revelados deberán incorporar el Impuesto al Valor Agregado (I.V.A.) concerniente a cada gasto o comisión cobrada al cliente.
d)    En el rubro "Impuesto sobre la Renta Retenido" se deberá revelar el monto total de Impuesto sobre la Renta retenido en términos de la legislación fiscal, en el periodo correspondiente.
VI.     Tratándose de los estados de cuenta que envíen las sociedades o entidades que presten los servicios de distribución de acciones de fondos de inversión a sus clientes, deberán contener, además de lo previsto en el artículo 61 Bis de la Ley de Fondos de Inversión, la información siguiente:
a)    La descripción detallada de todas las operaciones efectuadas por el inversionista, así como de los cobros que a cargo de este lleve a cabo la sociedad operadora de fondos de inversión que administre al fondo de inversión de que se trate o, en su caso, la sociedad o entidad que actúe como distribuidora de acciones de fondos de inversión.
b)    La indicación del precio al que se efectuaron las operaciones de compra y venta con el inversionista, el cual deberá corresponder al precio actualizado de valuación de las acciones de los fondos de inversión de renta variable y en instrumentos de deuda.
c)     En el supuesto de que el fondo de inversión en instrumentos de deuda y de renta variable de que se trate, hubiera efectuado la aplicación del diferencial a que se refiere el artículo 15 de las Disposiciones de carácter general aplicables a los fondos de inversión y a las personas que les prestan servicios, publicadas en el Diario Oficial de la Federación el 24 de noviembre de 2014, o las que las sustituyan, sobre el precio actualizado de valuación, dicho fondo deberá señalar en el estado de cuenta tanto el precio ajustado de valuación como el diferencial aplicado y el precio de mercado resultante, incluyendo la posición de cada inversionista al finalizar el mes de que se trate, tomando en consideración el precio de valuación del día del cierre del periodo correspondiente y, en su caso, el diferencial aplicado en esa fecha.
d)    La posición de acciones al último día del corte mensual y la posición al corte mensual anterior.
e)    La relación de los activos que integran la cartera de inversión del fondo de inversión, o bien, especificar el sitio de la página electrónica en la red mundial denominada Internet de las sociedades o entidades que le proporcionen los servicios de administración de activos de fondos de inversión y de distribución de acciones de fondos de inversión, en donde se publique la relación de dichos activos.
f)     La categoría que corresponda al fondo de inversión, conforme a lo que se establece en el Anexo 1 de las Disposiciones de carácter general aplicables a los fondos de inversión y a las personas que les prestan servicios, publicadas en el Diario Oficial de la Federación el 24 de noviembre de 2014, o las que las sustituyan.
g)    La calificación vigente que les sea otorgada por una institución calificadora de valores, tratándose de fondos de inversión en instrumentos de deuda.
h)    Los datos del sitio de la página electrónica en la red mundial denominada Internet donde se encuentra la información del fondo de inversión.
i)     Los datos de la Unidad Especializada que atenderá las consultas y reclamaciones que, en su caso, formulen los clientes, de conformidad con el artículo 50 Bis de la Ley de Protección y Defensa al Usuario de Servicios Financieros.
j)     Al calce del estado de cuenta que corresponda, la leyenda siguiente: "Las inversiones en acciones de los fondos de inversión señaladas no garantizan rendimientos futuros, ni sus sociedades operadoras son responsables de las pérdidas que el inversionista pueda sufrir como consecuencia de dichas inversiones o asumen el riesgo de las variaciones en el diferencial del precio a favor de los clientes".
k)     El aviso respecto a las modificaciones relacionadas con el régimen de inversión o de adquisición de acciones propias de los fondos de inversión de renta variable y en instrumentos de deuda previsto en el segundo párrafo del artículo 14 de las Disposiciones de carácter general aplicables a los fondos de inversión y a las personas que les prestan servicios, publicadas en el Diario Oficial de la Federación el 24 de noviembre de 2014, o las que las sustituyan.
B.     Cálculo del rendimiento de la cartera de inversión
Las casas de bolsa, Asesores en inversiones y sociedades distribuidoras de acciones de fondos de inversión, así como las entidades que proporcionen dicho servicio, que proporcionen Servicios de inversión, divulgarán a sus clientes a través de sus estados de cuenta o del informe de operaciones, el rendimiento de sus carteras de inversión, ajustándose a lo siguiente:
I.       Debe realizarse:
a)    Para el cálculo del Rendimiento de la Cartera de Inversión, descontando las Comisiones y Gastos de Intermediación del periodo reportado, y
b)    Al cierre del último día calendario del mes de que se trate.
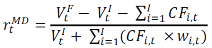
II.      Debe realizarse mediante el cálculo de tasas de rendimiento ponderadas por tiempo que ajusten los Flujos de Efectivo Externos, conforme a lo siguiente:

Donde
= La tasa de retorno del portafolio para el mes t
= El valor final del portafolio para el mes t
= El valor inicial del portafolio para el mes t
= el número de flujos de efectivo externos (1, 2, 3 . . . I) en el mes t
= el valor del flujo de efectivo i en el mes t
= la ponderación del flujo de efectivo i en el mes t (considerando el flujo de efectivo al final del día), calculado de acuerdo a la siguiente fórmula:

Donde
= el número total de días calendario en el mes t
= el número de días calendario desde el inicio del mes t para el flujo de efectivo i
III.     Los Valores, Instrumentos financieros derivados, operaciones de reporto, garantías y préstamo de Valores, deberán registrarse en las carteras de inversión en las fechas en que sean liquidados o traspasados para efectos del cálculo del rendimiento.
        No obstante, las operaciones de compra o venta de dichos instrumentos deberán reconocerse en el estado de cuenta en su fecha de concertación, incluyendo una sección en la cual se presente cada operación pendiente por liquidar;
IV.     En cada período reportado, se deberá presentar el Rendimiento de la Cartera de Inversión (como se señala en el inciso a) del numeral I del presente apartado B) y el Rendimiento Neto de la Cartera de Inversión (descontando las Comisiones y Gastos de Intermediación, las Comisiones y Gastos por Servicios, las Comisiones y Gastos Administrativos y el Impuesto sobre la Renta Retenido), diferenciando claramente ambos rendimientos;
V.     Los estados de cuenta e informes de operaciones deberán incluir el Rendimiento Neto de la Cartera de Inversión de los 11 meses previos al mes que corresponda, y
VI.     Se debe incluir la referencia de la moneda utilizada en el cálculo del rendimiento.
Los rendimientos calculados para periodos de tiempo menores a un año no podrán ser anualizados.
ANEXO 17
DATOS DE LA PERSONA RESPONSABLE DE PROPORCIONAR LA INFORMACIÓN POR SITI
(CAPTURAR LOS DATOS DE LA PERSONA QUE VA A PROPORCIONAR POR EL SISTEMA LA
INFORMACIÓN, A ESA PERSONA SE LE ASIGNARÁN LAS CLAVES DE ACCESO)
Nombre de la Entidad financiera o Asesor en inversiones:
 
Clave de la Entidad financiera o Asesor en inversiones:
 
 
Nombre:
Nombre de la persona responsable de proporcionar por el sistema la información correspondiente a los reportes por SITI
Registro Federal de Contribuyentes (RFC):
(Capturar el RFC de la persona responsable de proporcionar la información, no el de la sociedad)
Puesto:
 
Teléfono:
(Correspondiente al de la sociedad, no al particular)
Dirección completa de la sociedad:
(Calle y número, colonia, delegación / municipio / población, ciudad, estado y código postal)
Dirección de Correo Electrónico:
(Correo institucional de la persona responsable de proporcionar la información)
Reportes a los que se requiere acceso
(Se deberá especificar cada uno de los reportes a los que se requiere tener acceso)
 
Datos de la persona responsable del envío y calidad de la información. (Capturar los datos de la persona responsable de supervisar el cumplimiento de las disposiciones)
Nombre:
La persona responsable de supervisar el cumplimiento de las disposiciones es quién tiene la facultad de responder por el envío y calidad de los datos remitidos.
Registro Federal de Contribuyentes (RFC):
(Capturar el del responsable, no el de la sociedad)
Puesto:
 
Teléfono:
(Correspondiente al de la sociedad, no al particular)
Dirección completa de la sociedad:
(Calle y número, colonia, delegación / municipio / población, ciudad, estado y código postal)
Dirección de Correo Electrónico:
Correo institucional
Reporte(s) de los que es responsable:
(La persona responsable de supervisar el cumplimiento de las disposiciones será responsable del envío y calidad de la información a que se refiere el artículo 53 de las presentes disposiciones)
 
El documento deberá presentarse debidamente llenado. Exclusivamente se proporcionarán accesos al sistema, al(los) responsable(s) de proporcionar la información por SITI.
El documento deberá estar debidamente firmado por directivos que se encuentren dentro de las 2 jerarquías inferiores a la del director general de la Entidad financiera o del Asesor en inversiones, así como de la persona responsable de supervisar el cumplimiento de las disposiciones en materia de servicios de inversión, y enviarse previamente digitalizado a la Coordinación de Diseño y Recepción de Información, a la siguiente dirección de correo electrónico: cesiti@cnbv.gob.mx
ANEXO 18
EQUIVALENCIA ENTRE CALIFICACIONES DE CORTO Y LARGO PLAZO
A efecto de que las Entidades financieras y Asesores en inversiones puedan determinar las equivalencias entre calificaciones de emisoras y emisiones, a que hacen referencia estas disposiciones, deberán utilizar las tablas que a continuación se señalan, según la calificadora de que se trate en cada caso.
Tablas de equivalencias de calificaciones
A.    Largo plazo
Escala local México
S&P
FITCH
MOODY'S
HR
RATINGS
VERUM
A.M. BEST
Correspondencia
mxAAA
AAA(mex)
AAA.mx
HR AAA
AAA/M
aaa.mx
AAA
mxAA+
AA+(mex)
AA+.mx
HR AA+
AA+/M
aa+.mx
AA
mxAA
AA(mex)
AA.mx
HR AA
AA/M
aa.mx
AA
mxAA-
AA-(mex)
AA-.mx
HR AA-
AA-/M
aa-.mx
AA
 
B.    Corto plazo
Escala local México
S&P
FITCH
MOODY'S
HR
RATINGS
VERUM
A.M. BEST
Correspondencia
mxA-1+
F1+
ML A-1.mx
HR1
1+/M
AMB-1+
AAA
mxA-1
F1+
ML A-1.mx
HR1
1/M
AMB-1
AA
 
__________________________________