PROYECTO de Norma Oficial Mexicana PROY-NOM-003-ARTF-2023, Sistema Ferroviario-Seguridad-Clasificación y Especificaciones de Vía.
Al margen un sello con el Escudo Nacional, que dice: Estados Unidos Mexicanos.- COMUNICACIONES.- Secretaría de Infraestructura, Comunicaciones y Transportes.- Agencia Reguladora del Transporte Ferroviario.
CONSIDERANDO
EVARISTO IVÁN ÁNGELES ZERMEÑO, Titular de la Agencia Reguladora del Transporte Ferroviario y Presidente del Comité Consultivo Nacional de Normalización de Transporte Ferroviario (CCNN-TF), con fundamento en los artículos 17, 36 fracciones VII, VIII, XII y XXVII de la Ley Orgánica de la Administración Pública Federal; 4 de la Ley Federal de Procedimiento Administrativo; 3, fracciones VII, VIII y IX, 10, fracciones VII, XI, XII y XV, 24, 25, 30 y 35 de la Ley de Infraestructura de la Calidad; 6 Bis, fracciones I y XIX de la Ley Reglamentaria del Servicio Ferroviario; 40 del Reglamento Interior de la Secretaría de Comunicaciones y Transportes, y Segundo del Decreto por el que se crea la Agencia Reguladora del Transporte Ferroviario, como un órgano desconcentrado de la Secretaría de Comunicaciones y Transportes, y
Que conforme al artículo 28, párrafos cuarto y quinto, de la Constitución Política de los Estados Unidos Mexicanos, los ferrocarriles son un área prioritaria para el desarrollo nacional en términos del artículo 25 del ordenamiento en mención y que el Estado, al ejercer en ella su rectoría, protegerá la seguridad y la soberanía de la Nación, y al otorgar concesiones o permisos mantendrá o establecerá el dominio de las respectivas vías de comunicación de acuerdo con las leyes de la materia.
Que la Ley Reglamentaria del Servicio Ferroviario en su artículo 6 Bis, fracciones I, II y XVI establecen la atribución de la Agencia Reguladora del Transporte Ferroviario para determinar las características y especificaciones técnicas de las vías férreas, verificar que las mismas cumplan con las disposiciones aplicables y emitir lineamientos y disposiciones de observancia obligatoria para los concesionarios, permisionarios y usuarios de los servicios ferroviarios.
Que con fecha 18 de agosto de 2016, se publicó en el Diario Oficial de la Federación el Decreto por el que se crea la Agencia Reguladora del Transporte Ferroviario como un órgano desconcentrado de la Secretaría de Comunicaciones y Transportes (DECRETO), ahora Secretaría de Infraestructura, Comunicaciones y Transportes.
Que la Agencia Reguladora del Transporte Ferroviario tiene dentro de su objeto, establecido en el artículo SEGUNDO del DECRETO, el de regular, promover, vigilar y verificar la construcción, operación, explotación, conservación, mantenimiento de la infraestructura ferroviaria y la prestación del servicio público de transporte ferroviario y de sus servicios auxiliares, garantizar la interconexión en las vías férreas cuando sean vías generales de comunicación, fomentar la interrelación de las terminales ferroviarias con la operación multimodal, así como imponer sanciones.
Que el transporte ferroviario en nuestro país ha presentado un desarrollo considerable en los últimos años, lo que significa un aumento en la infraestructura ferroviaria, y los elementos que la conforman cobran una gran importancia, ya que, constituyen el medio que soportará las cargas estáticas y dinámicas del equipo ferroviario, razón por la que es necesario contar con los más altos estándares regulatorios de seguridad.
Que las normas internacionales, en lo referente a la clasificación y especificaciones de vía han actualizado ciertos parámetros y criterios de seguridad con base en las mejores prácticas internacionales emitidas por los fabricantes y constructores de vía, por lo que es pertinente establecer una regulación con la finalidad de contar con una Norma Oficial Mexicana alineada a esos estándares y prácticas internacionales, aplicable a los proyectos prioritarios de desarrollo en materia ferroviaria que se llevan a cabo en nuestro país.
Que actualmente, los proyectos prioritarios del Plan Nacional de Desarrollo exigen la existencia de parámetros y especificaciones técnicas en materia ferroviaria para ser aplicados de manera urgente para los proyectos ferroviarios que se desarrollan en nuestro país, tales como el Tren Maya, el Corredor Interoceánico del Istmo de Tehuantepec y el Tren Interurbano México - Toluca. Esos parámetros y especificaciones técnicas deben abarcar temas relacionados con las clases de vía para servicios de pasajeros a velocidades de 160 km/h, así como las disposiciones que conlleva esa condición, sistemas de vías no balastadas, fijaciones, desviaciones, velocidades y geometría de vía, etc. Por ello, es pertinente contar con una regulación para establecer la clasificación y los requerimientos mínimos que debe cumplir cada clase de vía para garantizar la seguridad del tráfico de trenes en el Sistema Ferroviario Mexicano, que incorpore las mejoras a la vía de acuerdo con los avances tecnológicos y que se aplique de inmediato para satisfacer las demandas técnicas de los proyectos prioritarios.
Que el Comité Consultivo Nacional de Normalización de Transporte Ferroviario (CCNN-FT), en su Cuarta Sesión Extraordinaria del 2023, celebrada el día 4 de agosto de 2023, aprobó el Proyecto de Norma Oficial Mexicana PROY-NOM-003-ARTF-2023, Sistema Ferroviario - Seguridad - Clasificación y Especificaciones de Vía, a efecto de que en un plazo de 60 días naturales contados a partir de su fecha de publicación, los interesados presenten sus comentarios ante el CCNN-TF, ubicado en Avenida Universidad número 1738, Edificio B Planta baja, Colonia Barrio Santa Catarina, Alcaldía Coyoacán, C.P. 04010, CDMX, teléfono 55-5723-9300, extensión 73463, o bien a los correos electrónicos: artf.ccnntf@sct.gob.mx, miguel.ramirezs@sct.gob.mx y martha.zapata@sct.gob.mx, para que en los términos de la ley de la materia se consideren en el seno del Comité que lo propuso, toda vez que la Plataforma Tecnológica Integral de Infraestructura de la Calidad a que se refiere el artículo 35 de la Ley de Infraestructura de la Calidad se encuentra en desarrollo.
En virtud de lo anterior, en cumplimiento a lo que dispone el artículo 35, fracción V y 38 de la Ley de Infraestructura de la Calidad, he tenido a bien ordenar la publicación en el Diario Oficial de la Federación del Proyecto de Norma Oficial Mexicana PROY-NOM-003-ARTF-2023 Sistema Ferroviario - Seguridad - Clasificación y Especificaciones de Vía, para que, en un plazo de 60 días naturales contados a partir de su fecha de publicación, los interesados presenten sus comentarios ante el Comité Consultivo Nacional de Normalización de Transporte Ferroviario.
Ciudad de México, a 22 de agosto de 2023.- El Titular de la Agencia Reguladora del Transporte Ferroviario y Presidente del Comité Consultivo Nacional de Normalización de Transporte Ferroviario, Evaristo Iván Ángeles Zermeño.- Rúbrica.
PROY-NOM-003-ARTF-2023 SISTEMA FERROVIARIO-SEGURIDAD-CLASIFICACIÓN Y
ESPECIFICACIONES DE VÍA
La elaboración del presente Proyecto de Norma Oficial Mexicana es competencia del Comité Consultivo Nacional de Normalización de Transporte Ferroviario (CCNN-TF) integrado por:
· Administradora de la Vía Corta Tijuana-Tecate
· Agencia de Seguridad, Energía y Ambiente
· Agencia Reguladora del Transporte Ferroviario
· Asociación Mexicana de Agentes de Carga, A.C.
· Asociación Mexicana de Distribuidores de Gas Licuado y Empresas Conexas, A.C.
· Asociación Mexicana de Ferrocarriles, A.C.
· Asociación Nacional de la Industria Química, A.C.
· Cámara Mexicana de la Industria de la Construcción
· Cámara Nacional de la Industria del Hierro y el Acero
· Cámara Nacional de la Industria Molinera de Trigo
· Cámara Nacional de las Industrias Azucarera y Alcoholera
· Cámara Nacional del Maíz Industrializado
· Centro Nacional para la Prevención de Desastres
· Colegio de Ingenieros Civiles de México, A.C.
· Colegio de Ingenieros Mecánicos y Electricistas, A.C.
· Colegio Nacional de Educación Profesional Técnica
· Comisión Ambiental de la Megalópolis (CAMe)
· Comisión Nacional de Hidrocarburos
· Comisión Reguladora de Energía
· Confederación de Cámaras Industriales de los Estados Unidos Mexicanos
· Consejo Nacional Agropecuario
· Consejo Nacional de Normalización y Certificación de Competencias Laborales
· Dirección General de Autotransporte Federal
· Dirección General de Desarrollo Ferroviario y Multimodal
· Dirección General de Servicios Técnicos
· Ferrocarril del Istmo de Tehuantepec, S.A. de C.V. (Corredor Interoceánico del Istmo de Tehuantepec).
· Ferrocarril Mexicano, S.A. de C.V.
· Ferrocarriles Suburbanos, S.A.P.I. de C.V.
· Ferrosur, S.A. de C.V.
· FONATUR Tren Maya, S.A. de C.V.
· Instituto Mexicano de Normalización y Certificación, A.C
· Instituto Mexicano del Transporte
· Instituto Politécnico Nacional
· Kansas City Southern de México, S.A. de C.V.
· Línea Coahuila Durango, S.A. de C.V.
· Mexicana de Acreditación, MAAC, A.C.
· Organismo Nacional de Normalización y Certificación de la Construcción y Edificación, S.C.
· Procuraduría Federal del Consumidor
· Secretaría de Agricultura y Desarrollo Rural
· Secretaría de Economía
· Secretaría de Gobernación
· Secretaría de Medio Ambiente y Recursos Naturales
· Secretaría de Salud
· Secretaría de Turismo
· Secretaría del Trabajo y Previsión Social
· Servicio de Administración Tributaria
· Sociedad Internacional de Acreditación, A.C.
· Universidad Autónoma de Nuevo León
· Universidad Autónoma del Estado de México
· Universidad Nacional Autónoma de México
· Universidad Tecnológica de San Juan del Río
Con el objeto de elaborar el presente Proyecto de Norma Oficial Mexicana, se constituyó un Grupo de Trabajo con la participación voluntaria de los siguientes actores:
· Administradora de la Vía Corta Tijuana Tecate
· Agencia Reguladora del Transporte Ferroviario
· Asociación Mexicana de Ferrocarriles, A.C.
· Asociación Mexicana de la Industria del Concreto Premezclado, A.C.
· Asociación Nacional de Transporte Privado, A.C.
· CIBA Group
· Colegio de Ingenieros Civiles de México, A.C.
· Dirección General de Desarrollo Ferroviario y Multimodal
· Dirección General de Servicios Técnicos
· Escuela Superior de Ingeniería y Arquitectura Unidad Zacatenco, ESIAZ-IPN
· Ferrocarril del Istmo de Tehuantepec, S.A. de C.V. (Corredor Interoceánico del Istmo de Tehuantepec)
· Ferrocarril Mexicano, S.A. de C.V.
· Ferrocarril y Terminal del Valle de México S.A. de C.V.
· Ferrocarriles Suburbanos, S.A.P.I. de C.V.
· Ferrosur, S.A. de C.V.
· Impulsora Tlaxcalteca de Industrias, S.A. de C.V
· Ingeniero Civiles y Asociados, S.A.B. de C.V.
· Instituto Mexicano del Transporte
· Instituto Politécnico Nacional
· Kansas City Southern de México, S.A. de C.V.
· Línea Coahuila Durango, S.A. de C.V.
· RCTI de México, S. DE R.L. DE C.V.
· Tren Maya, S.A. de C.V.
· Unidad Profesional Interdisciplinaria de Ingeniería Campus Palenque, UPIIP-IPN
· Unidad Profesional Interdisciplinaria de Ingeniería y Ciencias Sociales y Administrativas, UPIICSA-IPN
· Universidad Autónoma de Chihuahua
· Universidad Autónoma del Estado de México
· Universidad Tecnológica de San Juan del Río
PREFACIO
ÍNDICE
INTRODUCCIÓN
1. Objetivo, campo de aplicación, objetivos legítimos de interés público
2. Términos y definiciones
3. Clasificación y especificaciones de seguridad para vías clase 1 a 5 para el Servicio Público de Transporte Ferroviario
4. Inspecciones
5. Especificaciones de seguridad para vías clase 6 para el Servicio Público de Transporte Ferroviario
6. Procedimiento de Evaluación de la Conformidad (PEC)
7. Verificación y vigilancia
8. Sanción
9. Referencia a estándares para su implementación
10. Bibliografía
11. Clasificación
12. Concordancia con normas internacionales
13. Transitorios
14. Apéndices
Los elementos de las vías férreas conforman la estructura que soporta las cargas estáticas y dinámicas
por eje de los ferrocarriles que circulan a diario brindando el servicio público de transporte de pasajeros y carga, por lo que es necesario garantizar la seguridad operativa.
En virtud de lo anterior, y en cumplimiento de las disposiciones contenidas en la Ley de Infraestructura de la Calidad, en la presente Norma Oficial Mexicana se establecen de forma integral las disposiciones y parámetros para la clasificación y los requerimientos mínimos que debe cumplir cada clase de vía para garantizar la seguridad del tráfico de trenes en el Sistema Ferroviario Mexicano, así como incorporar mejoras a la vía de acuerdo con los avances tecnológicos.
1. Objetivo, campo de aplicación, objetivos legítimos de interés público 1.1. Objetivo
La presente Norma Oficial Mexicana tiene por objetivo establecer la clasificación y los requerimientos mínimos que debe cumplir cada clase de vía para garantizar la seguridad del tráfico de trenes en el Sistema Ferroviario Mexicano, así como incorporar mejoras a la vía de acuerdo con los avances tecnológicos.
1.2. Campo de aplicación
Esta Norma Oficial Mexicana es aplicable a las vías generales de comunicación ferroviaria ubicadas dentro del territorio de los Estados Unidos Mexicanos.
Los sujetos obligados a su cumplimiento son los concesionarios y asignatarios que presten el Servicio Público de Transporte Ferroviario.
Las vías en el interior de una instalación que no son parte del sistema de las vías generales de comunicación o aquellas que se utilizan exclusivamente para operaciones de tránsito rápido en un área urbana que no están conectadas con dicho sistema, quedan excluidas del ámbito de aplicación la presente Norma Oficial Mexicana.
1.3. Objetivos legítimos de interés público
Los objetivos legítimos de interés público que persigue esta Norma Oficial Mexicana son:
I. La seguridad nacional.
II. Las obras y servicios públicos.
III. La seguridad vial.
2. Términos y definiciones Los términos, definiciones y términos abreviados serán los establecidos en la Ley de Infraestructura de la Calidad (LIC), la Ley Reglamentaria del Servicio Ferroviario (LRSF), el Reglamento del Servicio Ferroviario (RSF) y los siguientes:
2.1. Agencia o ARTF
Agencia Reguladora del Transporte Ferroviario.
2.2. Aguja de cambio
Componente móvil de un herraje de cambio que tiene un extremo en punta que se ajusta contra el riel de apoyo para desviar el equipo ferroviario de una vía a otra. Su movimiento puede ser manual, automático o semiautomático.
2.3. Ajustar o destensar (Liberación de esfuerzos)
Procedimiento aplicado en aquellos lugares que se observa un desalineamiento lateral de la vía ocasionado por excesivas fuerzas de compresión en el riel, inestabilidad de la vía o combinación de ambas (chicoteo de vía), manteniendo el riel en la temperatura neutra requerida de acuerdo con la zona geográfica existente.
2.4. Alabeo
Diferencia de nivel en una longitud determinada de vía, o variación de la elevación transversal en situación diagonal en uno de los dos rieles medido en mm, y que produce un efecto de torsión en el bogie o truck de los coches o carros que conforman un tren.
2.5. Alcantarilla
Estructura hidráulica con claro menor de 6 m que permite el drenaje transversal bajo la vía.
2.6. Alineamiento horizontal
Localización horizontal de una vía para describir curvas y tangentes.
2.7. Ancla o anclaje de riel
Accesorio de vía que se sujeta en el patín del riel y se ajusta contra el durmiente con el propósito de evitar que el riel se mueva longitudinalmente y que el durmiente se abanique por efecto del tráfico o de la temperatura.
2.8. Árbol de cambio
Dispositivo para la operación manual de las agujas de un cambio de vía.
2.9. Balasto
Material pétreo seleccionado, producto de la trituración de roca, que se coloca sobre el subbalasto, debajo de los durmientes y entre ellos, cuya función es soportar las cargas rodantes y transmitirlas a la terracería, distribuyéndolas de tal forma que no se produzcan deformaciones perjudiciales en éstas.
2.10. B.O. (Bad Order)
Mal Orden.
2.11. Boca del sapo
Extremo del sapo del lado de la punta, es la parte del sapo más cercana a las agujas.
2.12. Cambio de vía
Mecanismo de vía que permite direccionar al equipo ferroviario de una vía a otra.
2.13. Cambios hidráulicos (Hydraswitch)
Aparato con sistema hidráulico para mover las agujas de cambio, que se opera a modo vía radio, local (botones) y control remoto.
2.14. Canal de cejas
Abertura a través de una estructura o elemento de la vía para guiar la ceja de la rueda a través de ella.
2.15. Candado de cambio
Accesorio que se coloca en la palanca del árbol de cambio para impedir el movimiento de las agujas.
2.16. Ceja de la rueda
Porción de la rueda que sobresale de la pisada para guiar al equipo ferroviario a lo largo de la vía.
2.17. Chicoteo de vía
Desalineamiento de la vía causado por excesivas fuerzas de compresión en el riel debido al incremento de temperatura. Es el proceso físico por el cual la vía con Largo Riel Soldado (LRS) termina severamente desalineada respecto a su trazo original en curva o tangente (vía chicoteada), a causa de la alta compresión inducida, la baja resistencia lateral de la vía y la carga dinámica de los trenes.
2.18. Clase de vía
Vía categorizada en diferentes clases segregadas por límites de velocidad máxima de operación. De esta manera se establecen los requerimientos mínimos de mantenimiento y conservación que deben cumplirse en cada una de ellas.
2.19. Clavo de vía
Pieza alargada con cabeza, de sección cuadrada y un extremo cortante, usado para sujetar los rieles y otros componentes de la vía.
2.20. Confiabilidad de vía
Es la probabilidad de que las partes y componentes de la vía, cumplan cabalmente a un nivel de confianza con la velocidad con que fue diseñada.
2.21. Contrarriel
Riel u otra barra de sección especial colocado en forma paralela a los rieles de la vía para evitar que las ruedas se descarrilen o para mantener las ruedas alineadas para prevenir que las cejas golpeen las puntas de las agujas o las puntas de sapo.
2.22. Corrimiento de riel
Deslizamiento longitudinal de los rieles en la vía bajo tráfico o por cambio de temperatura.
2.23. Cortavía
Combinación de dos cambios que conectan dos vías adyacentes.
2.24. Crucero ferroviario
Estructura que permite que se intersequen dos vías a nivel.
2.25. Cuneta
Canal abierto construido lateralmente a lo largo de la vía con el propósito de conducir los escurrimientos superficiales procedentes del terraplén, taludes y áreas adyacentes a fin de proteger la estructura de la vía.
2.26. Curva
Configuración del alineamiento de la vía que permite cambiar de dirección por medio de un arco del mismo radio.
2.27. Desbalance
Inclinación normal, negativa a positiva del riel; expresada en radio de inclinación.
2.28. Descarrilamiento
Evento que se produce cuando cualquier rueda del equipo ferroviario se sale del hongo del riel.
2.29. Deslave de vía
Erosión de la capa de balasto o del terraplén originado por escurrimientos derivados de precipitaciones extraordinarias, entre otros.
2.30. División
Cada una de las partes territoriales en que se divide el sistema ferroviario de un concesionario o asignatario para su operación y administración.
2.31. Durmiente
Componente de la vía donde se apoyan los rieles, que sirve para mantener el escantillón de la vía y para trasmitir las cargas de los trenes al balasto y de éste al lecho de la vía. Los durmientes pueden ser de madera, concreto, acero u otros materiales.
2.32. Equipo ferroviario
Los vehículos tractivos, de arrastre o de trabajo que circulan en las vías férreas.
2.33. Escantillón abierto
Cualquier escantillón mayor que el estándar causado por deterioro de la vía o por instalación incorrecta.
2.34. Escantillón de la vía
Distancia entre las caras internas del hongo de los rieles de la vía, medido en el plano a 16 mm (5/8 in) abajo de la banda de rodamiento en ángulo recto. El escantillón estándar de la vía es 1435 mm (56 1/2 in).
2.35. Escantillón del contrarriel
Distancia entre la línea de escantillón del sapo y la cara exterior del contrarriel medido en ángulo recto.
2.36. Escape o ladero
Vía férrea auxiliar conectada por ambos extremos para evitar el encuentro en la misma vía y permitir el paso de trenes, o para almacenar equipo ferroviario.
2.37. Espiral
Transición de la vía entre una tangente y una curva con incremento gradual y uniforme de curvatura.
2.38. Estabilización mecánica
Es un tipo de procedimiento utilizado para restaurar la resistencia de la vía alterada después de ciertas operaciones de mantenimiento. Este procedimiento podrá incorporar estabilizadores dinámicos de vía o consolidadores de balasto, que son equipos de trabajo que se utilizan como sustitutos de la acción estabilizadora que proporciona el paso de trenes de gran tonelaje.
2.39. Fijación
Dispositivo mediante el cual el riel se sujeta al durmiente, integrada por: planchuelas, tornillos, clips, almohadilla (para durmiente de concreto) y clavos.
2.40. Fuerzas inducidas por el tren
Son las fuerzas dinámicas verticales, longitudinales y laterales que se generan durante el movimiento del tren y que pueden contribuir a un potencial chicoteo de vía.
2.41. Geometría de la vía
Requerimientos que se utilizan en el diseño de construcción y mantenimiento de la vía férrea tales como el ancho de la vía o escantillón, alineamiento, nivelación, elevación de los rieles exteriores en curvas, superficie de rodamiento de los rieles y los límites de velocidad.
2.42. Golpe de vía
Variación de nivel o línea en una misma sección transversal de la vía.
2.43. Grado de curvatura
Ángulo que subtiende una cuerda de 20 m.
2.44. Hachazuelear
Emparejar la superficie de los durmientes de madera en la zona de la placa de asiento, cortando con una hachazuela para que la placa de asiento quede a nivel y sobre una superficie plana y uniforme.
2.45. Hombro
Es la porción del balasto entre los extremos del durmiente y el inicio de la pendiente del balasto. También el tope levantado en una placa de asiento en la línea del clavo.
2.46. Inclinación de riel
Posición de diseño del riel en la vía de 1:40 proporcionada por la superficie de apoyo del durmiente o de la placa de asiento.
2.47. Inserto de acero al manganeso para cruceros
Colado de acero al manganeso que se inserta en un crucero ferroviario en cada una de las intersecciones formando los diamantes y las alas del crucero.
2.48. Inserto de la aguja
Aditamento intercambiable de acero al manganeso que se ensambla por medio de tornillos al riel de la aguja para formar su punta a fin de proporcionar mayor duración en su uso.
Actividad que realiza el Personal de Servicio Ferroviario calificado conforme al Reglamento del Servicio Ferroviario, para conservar y mantener en buen estado físico las Vías Férreas, las señales, las instalaciones y sistemas de telecomunicaciones utilizados en la concesión o asignación, así como del Equipo Ferroviario.
2.50. Junta de riel
Unión de los extremos entre dos rieles asegurada ya sea con planchuelas atornilladas o con soldadura.
2.51. Junta suspendida
Unión de dos rieles situada entre dos durmientes consecutivos con la separación reglamentaria.
2.52. Largo Riel Soldado (LRS)
Riel de mayor longitud formado por la unión mediante soldadura de varios rieles elementales nuevos o de recobro.
2.53. Lecho de la vía
Base sobre la que se coloca el balasto, los durmientes y el riel de una vía férrea.
2.54. Línea de escantillón
Línea paralela al riel por el lado interior de la vía a 16 mm (5/8 in) abajo de la superficie del hongo del riel.
2.55. Línea
Trazo de la vía en distancias cortas para definir tangentes o curvas.
2.56. Máquina de cambio
Aparato usado para mover las agujas del cambio. Puede operar a control remoto a través del controlador o en forma manual.
2.57. MTB
Millones de toneladas brutas.
2.58. NOM
Norma Oficial Mexicana.
2.59. Número del cambio
Corresponde al número del sapo en un cambio de vía.
2.60. Número del sapo
Es el cociente de dividir la longitud de la punta teórica a una sección cualquiera del sapo entre el ancho del sapo en esa sección. Es la mitad de la cotangente de la mitad del ángulo del sapo (½ cot (ø/2)).
2.61. Paso a nivel
Es un cruce o intersección al mismo nivel entre una vía férrea y una carretera o camino.
2.62. Patio
Sistema de vías férreas conformado por vías principales y auxiliares que se utilizan para recibir, formar y despachar trenes, y para apoyar la prestación del servicio público de transporte ferroviario, así como los servicios de interconexión y servicios auxiliares.
2.63. Pendiente
Tangente del ángulo que forma el plano de la vía respecto al plano horizontal; es el cambio gradual de elevación o descenso de la vía medido en por ciento.
2.64. Personal de Servicio Ferroviario Trabajador de un concesionario, asignatario o permisionario que participa en la construcción, mantenimiento, inspección y conservación de la infraestructura ferroviaria y del equipo ferroviario.
2.65. Pisada
Porción de la rueda que hace contacto con la parte superior del hongo del riel o banda de rodamiento.
2.66. Placa de asiento
Placa que se coloca entre el riel y el durmiente.
2.67. Placas del cambio
Conjunto de placas especialmente diseñadas para usarse en el área del cambio.
2.68. Planchuela
Barra de acero que se usa en pares en una junta para unir los extremos de dos rieles para proporcionar continuidad a la vía.
2.69. Profundidad del canal de la ceja
Distancia vertical libre en el canal de cejas para el paso de las ruedas con seguridad.
2.70. Protector de agujas tipo contrarriel
Dispositivo conformado con riel u otro perfil colocado paralelamente al riel de apoyo delante de la punta de la aguja, formando un canal de cejas con el riel de apoyo, para mantener las cejas de las ruedas en su correcto alineamiento cuando se aproximan al cambio. El protector puede ser ajustable para mantener la separación con el riel de apoyo.
2.71. Puente
Estructura elevada con claro de 6 m o mayor que se construye para salvar un obstáculo natural o artificial y darle continuidad a la vía férrea.
2.72. Punta de agujas
Extremo de la aguja donde se inicia el herraje de cambio.
2.73. Resistencia lateral de la vía
Significa la resistencia proporcionada a la estructura del riel-durmiente contra el desplazamiento lateral.
2.74. Resistencia longitudinal de vía
Resistencia proporcionada por los anclajes de riel o fijaciones de riel y la sección de balasto a la estructura de riel-durmiente contra el desplazamiento longitudinal.
2.75. Riel
Cada uno de los elementos que forman la superestructura de un sistema de vía férrea, fabricado con una aleación de acero con otros metales, bajo especificaciones de metalurgia, geometría, resistencia, durabilidad y sección, que permitan el rodamiento cómodo y seguro del equipo, transmitiendo los esfuerzos a la subestructura de la vía.
2.76. Riel de apoyo
Riel de la vía contra el que se ajusta la aguja en un cambio.
2.77. Riel soldado continuo (RSC)
Riel sin juntas emplanchueladas que se extiende entre estaciones o laderos.
2.78. Riel tenso o retorcido
LRS que exhibe pequeñas irregularidades de alineación que indican que el riel está en compresión.
2.79. Sapo
Componente de un cambio de vía utilizado en la intersección de dos vías para proporcionar soporte a las ruedas y guiar las cejas a través de sus alas, permitiendo así que las ruedas crucen de una vía a otra.
2.80. Secretaría o SICT
Secretaría de Infraestructura, Comunicaciones y Transportes.
2.81. Sobreelevación
Elevación que se le da al riel exterior de una curva con respecto al riel interior, para que el equipo ferroviario transite en forma segura a la velocidad establecida.
2.82. Subbalasto
Capa de material graduado que se coloca sobre la superficie terminada de la rasante del terraplén y debajo del balasto para proporcionar mejor distribución de la carga al lecho de la vía.
2.83. Tangente
Tramo de vía recto entre dos curvas.
2.84. Temperatura de riel
Temperatura medida con un termómetro de riel.
2.85. Temperatura neutra
Rango deseado de temperatura en la instalación del riel. Rango de temperatura del riel, dentro de un área geográfica específica, en el que las fuerzas en el LRS no causan un incidente de chicoteo en condiciones de compresión de calor extremo, o una separación en condiciones de tensión durante un clima de frío extremo.
2.86. Tirafondo
Perno con punta y cuerda que se coloca con herramienta especial en taladros practicados en el durmiente para asegurar el riel o las placas de asiento.
2.87. Tramo de vía
Límite de la jurisdicción del ingeniero de vía.
2.88. Unidad de inspección
Unidad encargada de la constatación ocular o comprobación mediante muestreo, medición, pruebas de laboratorio o examen de documentos para evaluar la conformidad en un momento determinado a petición de parte interesada.
2.89. Vía
Estructura compuesta de diferentes elementos que sirven de soporte y guía para el movimiento de equipo ferroviario.
2.90. Vía alterada
Perturbación de la plataforma o sección de balasto, como resultado del mantenimiento de la vía o cualquier otro evento, que reduce la resistencia lateral o longitudinal de la vía, o ambas.
2.91. Vía clásica
Vía construida con rieles unidos con planchuelas y tornillos, fijados a durmientes de madera por medio de la placa de asiento y clavos.
2.92. Vía de excepción
Aquella que un concesionario o asignatario ha identificado en el Horario reglamentario, instrucciones especiales, órdenes generales o en cualquier otro registro apropiado. Que no esté localizada a menos de 9 m de una vía adyacente que pueda estar en uso simultáneo a velocidades superiores a 20 km/h (12 mph), ni a 30 m de un puente o un cruce a nivel. No se permite la operación para trenes de pasajeros, excepto vacíos. La velocidad máxima permisible es de 15 km/h (10 mph) para trenes de carga.
2.93. Vía elástica
Vía construida con LRS y fijado a durmientes de concreto o de madera con fijación elástica.
2.94. Vía nerviosa
Estado en el cual la vía con LRS se mueve lentamente, mostrando pequeñas desalineaciones e indicios de desplazamiento previos a un chicoteo de vía paulatino o repentino.
2.95. Vía principal
Vía que se extiende a través de patios y entre estaciones que no debe ser ocupada sin autorización del controlador o protección.
2.96. Vías industriales (espuelas)
Vías particulares de las industrias. Vía férrea de propiedad particular conectada por un solo extremo a una vía auxiliar o la vía principal para acceder a una vía general de comunicación ferroviaria.
3. Clasificación y especificaciones de seguridad para vías clase 1 a 5 para el Servicio Público de Transporte Ferroviario En este capítulo se establece la clasificación y especificaciones de seguridad para vías clase 1 a 5. Las clases superiores para la operación de trenes a una velocidad superior a 145 km/h (90 mph) para equipos de pasajeros y superior a 125 km/h (78 mph) para equipos de carga se detallan en el capítulo 5.
3.1. Clasificación de la vía El sistema de clasificación de vías se divide en cinco categorías de acuerdo con la velocidad máxima permisible de operación. Debe tomarse en cuenta para cada una de las líneas, la velocidad máxima de operación de los trenes consignada en los Horarios autorizados y vigentes, ver Tabla 1.
Tabla 1 Velocidad máxima de operación de los trenes. | Clase de vía | Velocidad máxima de operación de trenes de carga (km/h) | Velocidad máxima de operación de trenes de pasajeros (km/h) |
| Vía clase 1 | 15 | 25 |
| Vía clase 2 | 40 | 45 |
| Vía clase 3 | 65 | 95 |
| Vía clase 4 | 95 | 125 |
| Vía clase 5 | 125 | 145 |
3.1.1. Vía de excepción
Se designará un segmento de vía como vía de excepción siempre que:
1. El segmento identificado sea inspeccionado, conforme al numeral 4, Tabla 9. El segmento identificado de la vía no esté ubicado a 30 m (100 ft) de un cruce a nivel o de un puente, incluida la vía que se acerca al puente por 30 m (100 ft) a cada lado, ni esté ubicado en una calle o carretera pública, si las unidades de arrastre que se mueven sobre la vía portan cartel de Materiales Peligrosos.
Para una vía de excepción:
I. Ningún tren deberá ser operado a velocidades superiores a 15 km/h (10 mph).
II. No se operará ningún tren ocupado con pasajeros.
III. No se operará ningún tren de carga que contenga más de cinco vagones con carteles de Materiales Peligrosos.
IV. La medida máxima del escantillón será de 1,479 mm (58 ¼ in) y la mínima de 1,422 mm (56 in).
V. En caso de que exista un incremento en la incidencia de siniestros deberá revisarse la vía para cumplir con los parámetros mínimos de seguridad establecidos en la Tabla 6 de la presente Norma Oficial Mexicana.
3.1.2. Disposiciones de cumplimiento para la clasificación de vía
Si un segmento de vía no cumple con los requisitos de su clase, se reclasificará a la clase de vía inmediata inferior en la que cumpla con los requisitos de seguridad en tanto se realizan las operaciones para regresar la vía a la clase correspondiente de acuerdo con lo especificado en los Horarios.
Si el segmento de vía no cumple al menos con los requisitos de la vía de clase 1, las operaciones pueden continuar a velocidades de clase 1 por un período no mayor de 30 días, cumpliendo con el numeral 4, Tabla 9.
El concesionario o asignatario que tenga el conocimiento que la vía no cumple con los requisitos de seguridad, deberá:
1. Hacer las correcciones adecuadas.
2. Detener las operaciones sobre la vía.
3. Operar bajo la autoridad de Personal de Servicio Ferroviario. Si la operación es en una vía de LRS, la persona bajo cuya autoridad se realizan las operaciones, también debe ser calificado.
3.1.3. Escantillón
El escantillón se mide entre la cara interna por debajo de la parte superior del hongo del riel en un ángulo recto en un plano de 16 mm (5/8 in). El escantillón estará dentro de los límites establecidos de acuerdo con la Tabla 2.
Tabla 2 Medidas del escantillón según tipo de vía. | Clase de vía | Medida mínima mm (in) | Medida máxima mm (in) |
| Vía clase 1 | 1,422 (56) | 1,473 (58) |
| Vías clase 2 y 3 | 1,422 (56) | 1,467 (57 3/4) |
| Vías clase 4 y 5 | 1,422 (56) | 1,461 (57 1/2) |
El alineamiento de la vía no puede desviarse de la uniformidad por arriba de la cantidad prescrita, ver Tabla 3.
Tabla 3 Alineamiento de la vía. | Clase de vía | Tangente | Curva |
| Desviación máxima de las flechas en cuerdas de 20 m (*) mm (in) | Desviación máxima de las flechas en cuerdas de 10 m (**) mm (in) | Desviación máxima de las flechas en cuerdas de 20 m (**) mm (in) |
| Vía clase 1 | 133 (5 1/4) | (***) | 133 (5 1/4) |
| Vía clase 2 | 79 (3 1/8) | (***) | 79 (3 1/8) |
| Vía clase 3 | 48 (1 7/8) | 33 (1 5/16) | 48 (1 7/8) |
| Vía clase 4 | 40 (1 9/16) | 25 (1) | 40 (1 9/16) |
| Vía clase 5 | 19 (3/4) | 13 (1/2) | 16 (5/8) |
| (*) Los extremos de la línea deben estar en puntos sobre el lado del escantillón de la línea del riel, 16 mm (5/8 in) por debajo de la parte superior del hongo del riel. Cualquiera de los rieles puede ser utilizado como la línea de riel; sin embargo, el mismo riel debe utilizarse para toda la longitud de ese segmento tangencial de la vía. (**) Los extremos de la cuerda deben estar en puntos sobre el lado del escantillón del riel exterior, 16 mm (5/8 in) por debajo de la parte superior del hongo del riel. (***) N/A - No aplica. |
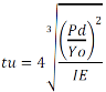
3.1.4. Curvas: Sobreelevación y velocidad máxima Los trenes no operan siempre con la misma velocidad al pasar una curva, los trenes cargados y de subida llevan una velocidad menor que los trenes ligeros y de bajada. Lo anterior afecta la sobreelevación y velocidad máxima que se calculan de la siguiente manera:
a) La sobreelevación se fija con la condición de equilibrio (igual reacción sobre ambos rieles para evitar el desgaste excesivo de los rieles) para los trenes lentos de acuerdo con la velocidad a la que pueden operar (velocidad real) considerando la fórmula:
Ecuación 1
Donde:
= Sobreelevación, in
= Velocidad de los trenes (velocidad real), km/h
= Grado de curvatura métrico (con cuerdas de 20m), grados La máxima elevación del riel exterior en una curva no puede ser mayor que 152 mm (6 in) para ninguna clase de vía, con excepción en lo dispuesto en la Figura 3 patrón 1.
b) El riel exterior de una curva no puede estar por debajo del nivel del riel interior.
c) La sobreelevación superior a 152 mm (6 in) requiere de autorización especial.
d) La máxima velocidad de operación permitida para los trenes se obtiene aplicando la fórmula:
Ecuación 2
Donde:
= Velocidad máxima de operación permitida de acuerdo con el Horario establecido, km/h
= Sobreelevación, in
= Grado de curvatura métrico (con cuerdas de 20m), grados
= Desbalance, 38 mm a 76 mm (1 1/2 in a 3 in), in e) Los ferrocarriles utilizarán el desbalance que se ajuste más a su operación, geometría de vía y pendiente desde 38 mm a 76 mm (1 1/2 in a 3 in).
f) Todos los vehículos son considerados calificados para operar en la vía con un desbalance,
, sin exceder de 76 mm (3 in). Las velocidades son calculadas de acuerdo con la fórmula: Donde:
= Velocidad de operación máxima permitida en el Horario, km/h
= Grado de curvatura métrico (con cuerdas de 20 m), grados
= Desbalance, 38 mm a 76 mm (1 1/2 in a 3 in), in
= Sobreelevación, in Los valores resultantes de esta fórmula para diferentes valores de
se muestran en la Tabla 13, del Apéndice 1. 3.1.5. Remate de sobreelevación
La elevación que debe darse al riel exterior de una curva y la proporción a la que se debe ir elevando o descendiendo de manera uniforme a la entrada y salida de ésta, será fijada por el Personal de Servicio Ferroviario, quien considerará cada curva por separado y guardará nota de ella.
a) Las curvas que no tengan espirales, el remate de la sobreelevación del riel exterior se hará en las tangentes, en la proporción de 13 mm (1/2 in), por cada 10 m (33 ft), de manera que al comenzar la curva se tenga ya la sobreelevación completa.
b) En las curvas reversas, cuando no exista tangente intermedia o cuando ésta no tenga la suficiente longitud para que se pueda rematar la elevación en la proporción indicada, se tomará la mitad de dicha tangente para comenzar en este punto a elevar el riel exterior de cada curva, en la proporción que resulte de manera que a la entrada de cada una de ellas se tenga ya la sobreelevación asignada a esa curva.
c) Las marcas de sobreelevación, hechas de acuerdo con las normas reglamentarias se conservarán en los puntos donde empieza la sobreelevación, en los puntos donde ya se tenga completa y en los puntos intermedios, como está prescrito.
d) La sobreelevación establecida y la longitud de la espiral de cualquier curva no se cambiará sin instrucciones del personal responsable.
3.1.6. Nivelación de la vía
Para conseguir que el movimiento de los trenes sobre la vía sea suave y cómodo se requiere que ésta esté correctamente alineada y nivelada. Para conservar la vía debidamente alineada y nivelada, se ejecutarán tres clases de trabajos, según corresponda; estos trabajos son: reparación parcial o por tramos, reparación general o continua y reconstrucción y balastado. Antes de alinear la vía, deberá siempre nivelarse debidamente y tener el escantillón correcto.
Cada concesionario o asignatario mantendrá sus vías niveladas dentro de los límites establecidos, ver
Tabla 4 Límites de nivelación de la vía. | Nivelación de la vía | Clase de vía |
| 1 | 2 | 3 | 4 | 5 |
| mm (in) | mm (in) | mm (in) | mm (in) | mm (in) |
| El remate máximo de la elevación por cada 10 m al final de un levante es: | 94 (3 11/16) | 79 (3 1/8) | 54 (2 1/8) | 40 (1 9/16) | 25 (1) |
| En uno u otro riel la desviación máxima de un perfil uniforme de la ordenada media de una cuerda de 20 m es: | 79 (3 1/8) | 73 (2 7/8) | 60 (2 3/8) | 54 (2 1/8) | 33 (1 5/16) |
| La desviación máxima de un nivel cero en cualquier punto de vía tangente o una elevación reversa de nivel en curvas es: | 79 (3 1/8) | 54 (2 1/8) | 46 (1 13/16) | 33 (1 5/16) | 25 (1) |
| La diferencia máxima de niveles entre dos puntos separados menos de 20 m es: | 79 (3 1/8) | 60 (2 3/8) | 54 (2 1/8) | 46 (1 13/16) | 40 (1 9/16) |
| Donde se determine por una decisión de ingeniería anterior a la promulgación de esta regla, a causa de restricciones físicas en la longitud de la espiral y practicas operativas y por experiencia, el cambio de nivel en espirales máximo a cada 10 m es: | 54 (2 1/8) | 46 (1 13/16) | 33 (1 5/16) | 25 (1) | 19 (3/4) |
| 1. La diferencia de nivel entre ese punto y otro con mayor elevación comprendidos en un tramo de 20 m no debe ser mayor de 38 mm (1 1/2 in). 2. Sin embargo, para controlar movimientos armónicos en vías de clase 5 hasta clase 2 con juntas emplanchueladas y cuatrapeadas, las diferencias de nivel no excederán de 32 mm (1 1/4 in) en un total de 6 pares de juntas comprendidas dentro de 7 juntas bajas. Las vías con un cuatrapeo menor de 3 m (10 ft) no se considerarán como juntas cuatrapeadas. Las juntas comprendidas dentro de las 7 juntas bajas y que no cumplan con la distancia normal entre juntas no se consideran como juntas para los propósitos de esta nota. |
3.1.7. Remate al nivelar
Cuando la vía se eleve para ser nivelada, el remate de la altura que se dé para ligarla con el resto de la vía que no se eleva, se hará teniendo en cuenta la velocidad de los trenes en ese tramo, para dar comodidad al pasaje y evitar accidentes. En ningún caso se excederán los valores fijados por la presente NOM, ver Tabla 5.
Tabla 5 Remate al nivelar.
| Velocidad máxima (km/h) | Remate mm (in) en m |
| 150 | 25 mm (1 in) en cada 38 m |
| 140 | 25 mm (1 in) en cada 35 m |
| 130 | 25 mm (1 in) en cada 33 m |
| 120 | 25 mm (1 in) en cada 30 m |
| 110 | 25 mm (1 in) en cada 28 m |
| 100 | 25 mm (1 in) en cada 25 m |
| 90 | 25 mm (1 in) en cada 23 m |
| 80 | 25 mm (1 in) en cada 20 m |
| 70 | 25 mm (1 in) en cada 18 m |
| 60 | 25 mm (1 in) en cada 15 m |
| 50 | 25 mm (1 in) en cada 13 m |
| 40 | 25 mm (1 in) en cada 10 m |
| 30 | 25 mm (1 in) en cada 8 m |
| 20 | 25 mm (1 in) en cada 5 m |
| 10 | 25 mm (1 in) en cada 3 m |
3.2. Calificación de la vía
Se debe de buscar en todo momento que las condiciones geométricas y estructurales de las vías, estén acordes con la densidad de tráfico y la velocidad máxima especificada. Esto es, a mayor índice de densidad y velocidad debe corresponder un mayor índice de seguridad de la vía y por consecuencia, vías con una alta calidad de mantenimiento o de mayor tecnología.
3.3. Requisitos mínimos para la conservación de la vía
En el presente punto, se establecen los requisitos mínimos para la conservación de vías, lo cual permite que los concesionarios y asignatarios, programen los trabajos, en función del desgaste de cada uno de los componentes. Ver Tabla 6.
Tabla 6 Requerimientos mínimos. | Concepto | Unidad | Clase de vía |
| 1 | 2 | 3 | 4 | 5 |
| El escantillón mínimo es: | mm | 1,422 | 1,422 | 1,422 | 1,422 | 1,422 |
| in. | 56 | 56 | 56 | 56 | 56 |
| El escantillón máximo es: | mm | 1,473 | 1,467 | 1,467 | 1,461 | 1,461 |
| in | 58 | 57 3/4 | 57 3/4 | 57 1/2 | 57 1/2 |
| En vía tangente, la desviación máxima de las flechas en cuerdas de 20 m es: | mm | 133 | 79 | 48 | 40 | 19 |
| in | 5 1/4 | 3 1/8 | 1 7/8 | 1 9/16 | 3/4 |
| En vía curva, la desviación máxima de las flechas en cuerdas de 10 m es: | mm | N/A | N/A | 33 | 25 | 13 |
| in | N/A | N/A | 1 5/16 | 1 | 1/2 |
| En vía curva, la desviación máxima de las flechas en cuerdas de 20 m es: | mm | 133 | 79 | 48 | 40 | 16 |
| in | 5 1/4 | 3 1/8 | 1 7/8 | 1 9/16 | 5/8 |
| El remate máximo de la elevación por cada 10 m al final de un levante es: | mm | 94 | 79 | 54 | 40 | 25 |
| in | 3 11/16 | 3 1/8 | 2 1/8 | 1 9/16 | 1 |
| En uno u otro riel la desviación máxima del perfil uniforme de la ordenada media de una cuerda de 20 m es: | mm | 79 | 73 | 60 | 54 | 33 |
| in | 3 1/8 | 2 7/8 | 2 3/8 | 2 1/8 | 1 5/16 |
| La desviación máxima de un nivel cero en cualquier punto de vía tangente o una elevación reversa de nivel en curvas es: | mm | 79 | 54 | 46 | 33 | 25 |
| in | 3 1/8 | 2 1/8 | 1 13/16 | 1 5/16 | 1 |
| La diferencia máxima de niveles entre dos puntos separados menos de 20 m es: | mm | 79 | 60 | 54 | 46 | 40 |
| in | 3 1/8 | 2 3/8 | 2 1/8 | 1 13/16 | 1 9/16 |
| Donde se determine por una decisión de ingeniería anterior a la promulgación de esta regla, a causa de restricciones físicas en la longitud de la espiral y practicas operativas y por experiencia, el cambio de nivel en espirales máximo a cada 10 m es: | mm | 54 | 46 | 33 | 25 | 19 |
| in | 2 1/8 | 1 13/16 | 1 5/16 | 1 | 3/4 |
| Número mínimo de durmientes que deben estar en buen estado en un tramo de 12 m en vía tangente y curvas de 1.3 grados métricos es: | pieza | 5 | 8 | 8 | 12 | 12 |
| Número mínimo de durmientes que deben estar en buen estado en un tramo de 12 m en cambios de vía y curvas de 1.3 grados métricos es: | pieza | 6 | 9 | 10 | 14 | 14 |
| Una junta de riel debe estar soportada por al menos un durmiente en buen estado cuyo eje se encuentre a no más de 61 cm (24 in) del centro de la junta | pieza | 1 | 1 | - | - | - |
| Una junta de riel debe estar soportada por al menos un durmiente en buen estado cuyo eje se encuentre a no más de 46 cm (18 in) del centro de la junta | pieza | - | - | 1 | 1 | 1 |
| Una junta de riel debe estar soportada por dos durmientes en buen estado cuyos ejes se encuentren a no más de 61 cm (24 in) del centro de la junta | pieza | - | - | 1 | 1 | 1 |
| Falta de paridad máxima en los rieles, en la banda de rodamiento de los extremos de los rieles en una junta es: | mm | 6 | 6 | 5 | 3 | 3 |
| in | 1/4 | 1/4 | 3/16 | 1/8 | 1/8 |
| Falta de paridad máxima en los rieles, en el lado de escantillón de los extremos de los rieles en una junta es: | mm | 6 | 5 | 5 | 3 | 3 |
| in | 1/4 | 3/16 | 3/16 | 1/8 | 1/8 |
| La medida mínima del escantillón de contrarriel a la cara interna del diamante del sapo es: | mm | 1,375 | 1,378 | 1,381 | 1,381 | 1,384 |
| in | 54 1/8 | 54 1/4 | 54 3/8 | 54 3/8 | 54 1/2 |
| La medida máxima del escantillón de contrarriel a la cara interna a la del sapo es: | mm | 1,353 | 1,349 | 1,349 | 1,349 | 1,346 |
| in | 53 1/4 | 53 1/8 | 53 1/8 | 53 1/8 | 53 |
3.3.1. Rieles y accesorios
El riel cumple sus funciones básicas: pista de rodadura, elemento soporte de la carga de las ruedas de los trenes y de guiado de las cejas de las ruedas. El riel es el componente principal de la vía, el más costoso y por lo mismo al que se le debe dedicar cuidados especiales para su conservación. Los rieles se marcan y estampan durante el proceso de fabricación con un sistema único de identificación, ver Figura 1 y Figura 2.
Figura 1 Marcado recomendable del lado exterior del riel.
Figura 2 Marcado recomendable del lado interior del riel. 3.3.2. Clavos de vía
El clavo de vía será de acero con un contenido mínimo de 0.06 de carbón y resistencia mínima a la ruptura por tensión de 3,867 kg/cm2 (55,000 lb/in2).
La sección de los clavos será cuadrada, de 16 mm (5/8 in) de lado y la longitud será de 152 mm (6 in) o de 140 mm (5 1/2 in) para vía principal y secundaria respectivamente. La punta será en forma de cincel y la cabeza alargada con cortes transversales en los extremos con el lado más largo hacia el patín del riel, con la misma inclinación de 4:1.
El clavo no es una fijación eficiente para mantener el apriete de su cabeza contra el patín del riel, ya que su capacidad de extracción es limitada, 635 kg (1,400 lb), dependiendo del tipo de madera, del clima y de la edad del durmiente. La función principal del clavo es mantener el escantillón, evitando que los rieles se abran o que se viren. El movimiento vertical y la flexión negativa de los rieles rápidamente sacan a los clavos de su posición inicial, pero se mantiene su función si el clavo no está suelto.
3.3.3. Anclas de riel
Las anclas de riel controlan el movimiento longitudinal del riel sobre los durmientes provocado por la variación de temperatura, tráfico, pendiente y frenado de los trenes.
Las anclas deben desarrollar una resistencia al corrimiento contra el patín del riel de cuando menos 1,814 kg (4,000 lb) que aplican contra la cara lateral del durmiente. Pueden ser de diferentes tipos: rígidas de sección canal o "T" y de resorte de sección rectangular. Existen diversos diseños y capacidades desde 2,268 kg (5,000 lb) al corrimiento, otras, con resistencia de 4,536 kg (10,000 lb) aproximadamente.
3.3.4. Patrón de anclaje
Patrón de anclaje será como sigue:
a) En vía principal con LRS y durmiente de concreto, no se requiere anclar la vía.
b) En vía principal con LRS, durmiente de madera y fijación a base de clavo, se anclará un durmiente sí y uno no, ver Figura 3, patrón 2.
c) En puentes de cubierta abierta se anclarán 120 durmientes antes y hasta 120 durmientes después al 100 %, iniciando 2 durmientes antes del muro guarda tierra, ver Figura 3, patrón 1.
d) En vía principal con riel emplanchuelado y tonelaje anual mayor que 10 MTB, se anclará un durmiente sí y uno no, ver Figura 3, patrón 2.
e) En vía principal con riel emplanchuelado y tonelaje anual de 10 MTB o menor, se anclará un durmiente sí y tres no, ver Figura 3, patrón 4.
f) En patios y vías industriales se anclarán un durmiente sí y tres no, ver Figura 3, patrón 4.
g) En los cambios de vía con LRS, se anclarán 120 durmientes antes de la punta de agujas y 120 durmientes después de la última pieza del juego de madera de cambio, tanto por el ladero como por la vía principal al 100 %, ver Figura 3, patrón 1.
h) En los cambios de vía con riel emplanchuelado se anclarán 48 durmientes antes de la punta de agujas y 48 durmientes después de la última pieza del juego de madera de cambio, tanto por el ladero como por la vía principal, al 100 %, ver Figura 3, patrón 1.
i) En los cambios se anclará todo el juego de madera de cambio al 100 %.
j) En vía principal en curvas de 3° o más con LRS y durmiente de madera y fijación a base de clavo, se anclará toda la curva al 100 %, ver Figura 3, patrón 1.
k) En los detectores de muñones calientes se anclarán 120 durmientes antes y hasta 120 durmientes después al 100 %, ver Figura 3, patrón 1.
l) En laderos con riel emplanchuelado se anclará un durmiente sí y dos no, ver Figura 3, patrón 3.
Figura 3 Patrones de anclaje. 3.3.5. Dispositivos antivire (curve block)
Por lo que respecta a los dispositivos antivire (curve block), entendidos como topes instalados en la placa de asiento del riel por medio de un tornillo en uno de los agujeros de línea, del lado de escantillón, con su cabeza bajo la placa; la cabeza se incrusta en el durmiente de madera. El tope que es una pieza sólida de acero detiene al patín del riel para que no sea virado hacia afuera de la vía, ver Figura 4.
La placa se fija al durmiente con 4 clavos en los agujeros de anclaje. El dispositivo se instala en el mismo durmiente en ambos rieles. El espaciamiento será de acuerdo con la curvatura de la vía.
Para grados de curvatura de 2° a 4°, el espaciamiento es a cada 4 durmientes.
Para grados de curvatura mayores a 4°, el espaciamiento es a cada 3 durmientes.
Figura 4 Dispositivos antivire. 3.3.6. Fijaciones
El sistema de fijación es el conjunto de elementos que sujetan el riel contra el durmiente para evitar desplazamientos laterales, longitudinales o verticales del riel, que afectan el alineamiento, el escantillón o la nivelación de la vía. Un buen sistema de fijación permite que la vía desarrolle su capacidad y pueda operar a la velocidad máxima.
La fijación puede ser directa o indirecta. Es directa cuando el mismo elemento que se fija al durmiente sujeta el riel, como el clavo de vía, ver Figura 5.
Figura 5 Sistema de fijación en vía clásica. Es indirecta cuando además del elemento que se fija al durmiente se requiere de otro para sujetar el riel, como ejemplo en la fijación RN y en general toda la fijación elástica, ver Figura 6.
Figura 6 Sistema de fijación en vía elástica. En el caso de las fijaciones indirectas y fijaciones elásticas para durmientes de madera, los componentes de la fijación elástica para durmientes de madera con la placa de asiento rolada con hombro integrado para el clip, los tirafondos para sujetar la placa y el clip E que presiona al patín del riel.
Se recomienda que la fijación elástica se use en vías de fuerte graduación mayor de 7° 30' clase 4 y 3, en cambios de vías clase 4.
Para esta fijación se seguirán los siguientes requerimientos:
a) Se usarán tirafondos de 24 x 152 mm (15/16 x 6 in) o de 25 x 152 mm (1 x 6 in), de acero con resistencia a la tensión de 4,218 kg/cm2 (60,000 lb/in2).
b) Los tirafondos se aplicarán con perforación previa.
c) Los tirafondos se atornillarán hasta que su cabeza toque a la superficie de la placa de asiento, pero sin apretarlos en exceso.
d) No deben usarse clavos en placas de agujero redondo para tirafondos.
e) En todos los casos se usarán 4 tirafondos para sujetar la placa rolada.
Las fijaciones del riel al durmiente de concreto, es un aspecto de gran importancia que los concesionarios y asignatarios deben tomar en cuenta debido a que su eficacia es fundamental para garantizar la seguridad y un correcto funcionamiento de la vía.
Las fijaciones en durmientes de concreto deben ser elásticas a base de grapa o de clip y con el riel asentado en una almohadilla de elastómero. En todos los casos son fijaciones indirectas ya que el clip o la grapa requieren de otro elemento para sujetar el durmiente que puede ser un hombro empotrado en el concreto o bien un perno de anclaje.
Existe un gran número de diseño de fijaciones, las más reconocidas y usadas son:
a) A base de grapa.
b) A base de clip o resorte.
3.3.7. Durmientes
El durmiente es un elemento de apoyo del riel que se sitúa transversalmente al eje de la vía con separación uniforme, al cual se fija el riel para mantener el escantillón. Los durmientes se diseñan para distribuir la carga de las ruedas del tren a la capa de balasto y de ésta al lecho de la vía; al trabarse con el balasto previenen los movimientos laterales, longitudinales y verticales de la estructura de la vía.
Los durmientes representan uno de los componentes más importantes de la vía en el conjunto, por lo cual su duración es determinante en los costos de construcción y conservación de la vía. Los durmientes tradicionalmente han sido de madera, para considerar el tiempo de vida útil, se fabrican de concreto, acero y materiales plásticos.
La separación entre durmientes se establece como sigue:
a) Durmientes de madera, 50 cm (19 11/16 in).
b) Durmientes de concreto presforzado a 50 a 70 cm (19 11/16 a 27 1/2 in).
c) Durmientes de acero a 50 cm (19 11/16 in).
d) Durmientes de plástico a 50 cm (19 11/16 in).
La distancia entre durmientes se podrá aumentar o disminuir, donde el diseño de construcción y operación lo requiera.
3.3.8. Clasificación de durmientes
Los durmientes se fabricarán de un material al que los rieles puedan sujetarse con seguridad. Cada segmento de vía de 12 m (39 ft) tendrá un número suficiente de durmientes que combinados proporcionen un soporte efectivo que:
a) Sujete el escantillón dentro de los límites especificados; b) Mantenga la nivelación dentro de los límites prescritos, y c) Conserve el alineamiento dentro de los límites establecidos.
La cantidad mínima y el tipo de durmientes serán los especificados en los párrafos siguientes de esta sección, repartidos uniformemente para soportar el segmento completo y debe haber por lo menos un durmiente del tipo especificado en los párrafos a) y b), siguientes que se localice en una junta según la posición indicada a lo largo de esta sección.
a) Cada segmento de vía de 12 m (39 ft) tendrá: 5 durmientes en vía clase 1; 8 durmientes en vía clase 2 y 3; y 12 durmientes en vía clase 4 y 5, que no estén: Para durmientes de madera:
1. Completamente rotos;
2. Rajados o dañados a tal grado que el balasto penetre en los durmientes, que no retengan los clavos de vía o las fijaciones al riel;
3. Tan deteriorados que la placa de asiento o el patín del riel se mueve lateralmente más de 13 mm (1/2 in) respecto a los durmientes o,
4. Penetrados por la placa de asiento más del 40 % del espesor del durmiente.
Para durmientes de concreto:
1. No deben presentar desgaste mayor de 25 mm (1 in) en la zona de asiento del riel que propicie que la fijación quede suelta;
2. No deben tener roturas en el centro que dejen expuesto el acero de preesfuerzo o que ocasionen la pérdida del escantillón;
3. No deben presentar roturas o daños que impidan el anclaje del sistema de fijación;
4. No debe haber desprendimiento de concreto en los durmientes dañados por descarrilamiento en las cabezas y al centro de modo que descubran el acero de preesfuerzo o que dañen el anclaje de éste.
5. No deben presentar abrasión de más de 25 mm (1 in) en la zona de apoyo del durmiente con el balasto ni debe estar descubierto el acero de preesfuerzo en la base del durmiente;
6. No deben presentar vencimiento de la barra de acero del durmiente bi-block de tal manera que la vía no mantenga el escantillón.
b) Cada segmento de vía de 12 m tendrá la cantidad mínima y el tipo de durmientes que se indica, ver Tabla 7. Tabla 7 Cantidad mínima de durmientes. | Clase de vía | Vía en tangente y en curvas 2° piezas | Cambios y vía en curvas de > de 2° piezas |
| Vía clase 1 | 5 | 6 |
| Vía clase 2 | 8 | 9 |
| Vía clase 3 | 8 | 10 |
| Vía clase 4 y 5 | 12 | 14 |
Las vías clase 1 y 2 tendrán un durmiente cuyo eje longitudinal esté ubicado dentro de 61 cm (24 in) medido desde el centro de la junta de riel y las vías clase 3 a 5 tendrán un durmiente cuyo eje longitudinal esté ubicado dentro de 46 cm (18 in) medido desde el centro de la junta de riel o dos durmientes cuyos ejes longitudinales estén ubicados dentro del espacio de 61 cm (24 in) a cada lado del centro de la junta de riel. La posición relativa de estos durmientes se describe en la presente NOM, ver Figura 7, Figura 8 y Figura 9.
Una junta suspendida de riel en vías clases 1 y 2 estará apoyada, por lo menos sobre un durmiente cuyo eje longitudinal esté dentro del espacio de 122 cm (48 in), ver Figura 7.
Figura 7 Junta de clase 1 y 2. Una junta suspendida de riel en vías clases 3 a 5 estará apoyada, por lo menos sobre un durmiente cuyo eje longitudinal esté dentro de una distancia de 92 cm (36 in), ver Figura 8.
Figura 8 Junta de clase 3 a 5. Para el caso de dos durmientes, uno a cada lado de una junta suspendida de riel y cuyos ejes longitudinales está dentro de 61 cm (24 in) medido desde el eje de la junta, ver Figura 9.
Figura 9 Junta de clase 3 a 5. Para vía construida sin durmientes, tal como losas de vía (vías ahogadas), vía conectada directamente a componentes estructurales de puentes y vía sobre fosas de servicios, la estructura de la vía debe cumplir los requisitos aplicables de esta NOM.
3.3.10. Balasto
A menos que esté apoyada estructuralmente de otra forma, toda la vía deberá estar soportada sobre material (balasto) que:
a) Trasmita y distribuya la carga de la vía y el equipo ferroviario al subbalasto.
b) Restrinja la vía lateral, longitudinal y verticalmente bajo las cargas dinámicas impuestas por el equipo ferroviario y los esfuerzos térmicos ejercidos por los rieles.
c) Proporcione un drenaje adecuado para la vía.
d) Mantenga en forma apropiada el nivel normal de la vía, el alineamiento y la nivelación.
e) Reparta la presión bajo el durmiente para impedir que el subsuelo blando se dañe con el peso de los
trenes (deformando con ello el trazado de la vía).
f) Ofrezca una superficie sólida, pero con una cierta elasticidad que permite absorber las vibraciones.
Las especificaciones del balasto se encuentran referidos en el Apéndice 3, considerando el adecuado para que, bajo la presión de los trenes, estas piedras se ajusten unas con otras formando un armazón capaz de distribuir el peso hacia afuera y hacia abajo. Y para permitir un drenaje rápido de las aguas pluviales y la evaporación de la humedad del subsuelo y retardar el crecimiento de la vegetación.
Cada concesionario o asignatario determinará los tamaños o números que se utilizan en las vías principales o de su clase.
3.3.11. Drenaje
Las especificaciones para los tipos de drenaje son las siguientes:
a) Drenaje superficial. Debe cumplir los siguientes requerimientos:
1. Evitar el encharcamiento del agua sobre el terraplén.
2. Interceptar y desviar el agua superficial.
3. Almacenar y canalizar las corrientes.
4. Desalojar el agua de lluvia y de la nieve.
El drenaje superficial lo constituyen las alcantarillas que son las estructuras hidráulicas que cruzan por debajo de la vía; las cunetas que son zanjas superficiales a ambos lados de la vía; las contra cunetas, que son las zanjas que se construyen arriba de los cortes, paralelas a la vía y que evitan que los cortes se deslaven y que se inunde la vía.
b) Drenaje subterráneo. Debe cumplir los siguientes requerimientos:
1. Derivación y drenaje de las bolsas de agua y manantiales o brotes de agua.
2. Intercepción de filtraciones y corrientes subterráneas.
3. Secado de rellenos saturados.
4. Abatimiento del nivel freático.
5. Secado del balasto drenando el agua bajo los durmientes.
El sistema de drenaje subterráneo consiste en tubos longitudinales y transversales; tubos perforados; drenes franceses o zanjas rellenas de piedra; geoceldas y geotextiles. Usualmente son zanjas rellenas de material granular grueso que tienen por objetivo captar y conducir las aguas que escurren superficialmente, entre otros.
3.3.12. Cambios de vía
Como parte integral de la seguridad, los cambios de vía o juegos de cambio (herrajes), forman parte integral de la vía principal.
Es por ello por lo que éstos deberán ser considerados dentro de las normas y estándares de calidad para las vías según su clasificación.
Se debe verificar que todos los componentes del cambio estén completos, en buen estado, en posición correcta y funcionando de manera adecuada.
Los cambios pueden ser:
1. Cambio izquierdo cuando la vía divergente está hacia la izquierda, ver Figura 10.
2. Cambio derecho cuando la vía divergente está hacia la derecha, ver Figura 11.
3. Cambio equilátero cuando ambas vías divergen el mismo ángulo, ver Figura 12.
El número del cambio es definido por el número de sapo (que es el ángulo tangente entre el cateto opuesto que mide el ancho de las piernas del sapo y el cateto adyacente que se mide desde donde se midió el cateto opuesto hasta la punta teórica del sapo).
Figura 10 Cambio izquierdo. Figura 11 Cambio derecho. Figura 12 Cambio equilátero. Figura 13 Nomenclatura de un cambio derecho.
3.3.13. Cambios de doble control
Cualquier máquina de cambio debe cumplir con los siguientes requisitos para garantizar las condiciones óptimas de operación:
a) Los durmientes pedestales deben estar en buenas condiciones físicas y correctamente calzados.
b) Detectar cualquier obstrucción que impida el movimiento libre de las agujas.
c) Revisar el estado de las agujas.
d) El sistema de fijación de la máquina de cambio al durmiente debe encontrarse completa y en buenas condiciones para evitar que exista movimiento por el aflojamiento de herrajes.
e) La máquina de cambio debe estar correctamente apoyada y alineada con la barra de operación.
f) Revisar el ajuste de las agujas con el riel de apoyo, no más de 3 mm (1/8 in) de calibración de la abertura de las agujas para que se active el controlador de sobrecarga y salga de control si no completa su carrera.
g) Verificar que la corriente del motor se encuentre dentro lo establecido por el fabricante.
3.3.14. Árboles de cambio
Cada cambio incluye un árbol de cambio que debe cumplir con los siguientes requerimientos:
1. Debe estar firmemente fijado y asegurado a los durmientes pedestales del cambio.
2. Debe estar colocado del lado de la vía divergente del cambio (vía del ladero en su caso) o sea del lado del cierre del cambio para el ladero.
Algunas aplicaciones en cortavías requieren que el árbol se sitúe del lado de la apertura del cambio cuando la separación de las vías por conectar es de 6.1 m (20 ft) o menos.
3. Cuando las condiciones lo permiten, la instalación de árboles bajos se hará con la palanca apuntando hacia el sapo cuando el alineamiento de las agujas esté hacia la vía principal.
4. Los árboles de cambio recomendados para vía principal y ladero pueden usarse en cualquier otra vía.
5. El mantenimiento de los árboles operados manualmente es responsabilidad del área de Infraestructura. El área de señales es responsable del mantenimiento de las máquinas de cambio e hidráulicos.
6. No instalar árboles automáticos trillables en ningún tipo de vía.
7. Posición de banderas de los árboles de cambio; las banderas deben exhibir el color rojo cuando no están alineadas en la dirección de los movimientos normales del tren. Cuando el cambio está alineado en la dirección correcta para el paso del tren las banderas deben presentar el canto de color blanco. En cambios de control dual no se requiere bandera.
8. Para los árboles de cambio se deben considerar las siguientes posiciones y colores de banderas; las banderas deben exhibir el color rojo o amarillo cuando no están alineadas en la dirección de los movimientos normales del tren. Cuando el cambio está alineado en la dirección correcta para el paso del tren las banderas deben presentar el canto de color blanco o verde. En cambios de control dual no se requiere bandera.
3.3.15. Sapos
Las características principales de los sapos deben ser:
1. La profundidad del canal de la ceja, medida a partir del plano de la superficie de contacto de la pisada de la rueda en el sapo en vías clase 1 no será menor de 35 mm (1 3/8 in) ni menos de 38 mm (1 1/2 in) en vías clase 2 a 5.
2. Si la punta del sapo está desgranada, fracturada o desgastada más de 16 mm (5/8 in) verticalmente y 152 mm (6 in) hacia atrás, la velocidad de operación sobre el sapo no será mayor de 15 km/h.
3. Si la porción de la rodada sobre el diamante de un sapo está desgastada verticalmente más de tres octavos de pulgada abajo del contorno original, la velocidad de operación sobre el sapo no será mayor de 15 km/h.
4. Cuando un sapo se diseña para soportar el peso de la ceja de la rueda, la profundidad del canal de la ceja debe ser menor que la señalada para la vía clase 1, si se operan velocidades de clase 1.
3.3.16. Sapos autorresguardados
Para estos elementos se deben tener las siguientes consideraciones:
1. Los elevadores de protección en un sapo autorresguardado no tendrán un desgaste mayor de 10 mm (3/8 in).
2. Si se hacen reparaciones a un sapo autorresguardado sin removerlo del servicio, la cara de su guarda se restaurará antes de reconstruir la punta.
El escantillón de la cara del guarda del sapo y de contrarriel estará dentro de los límites prescritos en la siguiente tabla:
Tabla 8 Escantillón de guarda del sapo y contrariel.
| Clase de vía | Escantillón del contrarriel La distancia mínima entre la línea del escantillón de un sapo (*) hacia el contrarriel o cara del contrarriel, medida en un ángulo recto a través de la vía con respecto a la línea del escantillón (**), es mm (in) | Escantillón de la cara del sapo La distancia entre las líneas del contrarriel (*), medida a través de un ángulo recto de la vía hacia el escantillón de la cara del sapo (**), no puede ser más que mm (in) |
| 1 | 1,375 (54 1/8) | 1,353 (53 1/4) |
| 2 | 1,378 (54 1/4) | 1,349 (53 1/8) |
| 3 y 4 | 1,381 (54 3/8) | 1,349 (53 1/8) |
| 5 | 1,384 (54 1/2) | 1,346 (53) |
| (*) Una línea a lo largo de la cara de la guía de la ceja del sapo que está más cercano al centro de la vía y en la misma elevación que la línea del escantillón. (**) Una línea de 16 mm (5/8 in) por debajo de la parte superior del hongo del riel o de la superficie de la banda de rodadura de la estructura de la vía. |
Figura 14 Escantillón de sapo y contrarriel. Cada inspección se realizará a pie o viajando sobre la vía en un vehículo a una velocidad que permita a la persona que hace la inspección observar visualmente que la estructura de la vía cumpla con esta sección. Sin embargo, se pueden utilizar dispositivos mecánicos, eléctricos o de otro tipo para inspeccionar la vía como un suplemento a la inspección visual. Si se utiliza un vehículo para la inspección visual, su velocidad no será mayor de 8 km/h (5 mph) al pasar por cruceros y cambios de vía, fuera de eso, la velocidad de inspección del vehículo se sujetará a juicio del inspector, apoyado en las condiciones de la vía y los requisitos de la inspección. Al viajar en un vehículo sobre la vía, la inspección se sujetará a las siguientes condiciones:
1. Un inspector en un vehículo puede inspeccionar hasta dos vías al mismo tiempo, con tal que la visibilidad no se reduzca por impedimentos de cualquier causa y que la vía secundaria no esté centrada a más de 9 m de la vía en que viaja el inspector.
2. Dos inspectores en un vehículo pueden inspeccionar hasta cuatro vías a la vez, siempre que la visibilidad no se reduzca por impedimentos de cualquier causa y que cada vía que se inspecciona se encuentre centrada dentro de 12 m de la vía en que viajan los inspectores.
3. Cada vía principal se recorrerá en vehículo o se inspeccionará a pie por lo menos una vez cada dos semanas y cada vía del ladero se recorre realmente con el vehículo o se inspecciona a pie por lo menos una vez al mes.
4. En líneas ferroviarias con gran densidad de viajes diarios de ida y vuelta, donde el tiempo en la vía no permite una inspección en vehículo y en vías cuyos centros están a menos de 5 m, los requisitos del párrafo anterior no se aplican.
5. Los registros de las inspecciones a las vías indicarán la(s) vía(s) que se recorrieron en vehículo o se inspeccionaron a pie según lo señalado en el presente apartado.
Cada inspección a la vía se ejecutará de acuerdo con el programa, ver Tabla 9.
Tabla 9 Frecuencia de las inspecciones. | Clase de vía | Tipo de vía | Frecuencia requerida |
| Vía de excepción y vías clase 1, 2 y 3 | Vía principal y laderos | Por lo menos una vez a la semana, con un intervalo mínimo de 3 días entre inspecciones, o antes de su uso, si la vía se usa menos de una vez a la semana. Dos veces a la semana, con un intervalo mínimo de un día entre inspecciones, si en la vía se trasladan trenes de pasajeros o mueven más de 10 MTB durante el tráfico del año anterior. Cuando se requiere utilizar la vía de excepción, ésta deberá ser inspeccionada previamente por Personal de Servicio Ferroviario, de Infraestructura. |
| Vía de excepción y vías clase 1, 2 y 3 | Otras que no son vía principal y laderos | Por lo menos una vez al mes, con un intervalo mínimo de 20 días entre inspecciones. |
| Vías clase 4 y 5 | - | Dos veces por semana con un intervalo mínimo de 1 día entre inspecciones. |
Si la persona que hace la inspección encuentra una discrepancia con los requisitos de esta sección, el inspector iniciará inmediatamente las acciones correctivas.
4.1. Requerimientos básicos para la inspección de la vía Todas las vías, de acuerdo con su clase deben tener un mantenimiento adecuado para que puedan operar a la velocidad establecida para cada clase. El grado de mantenimiento está determinado por los requisitos de seguridad que debe cumplir cada vía, considerando la geometría y el estado físico de los componentes de la vía.
a) Balasto.
La propiedad del balasto y drenaje eficiente son necesarios para mantener la nivelación y alineamiento de la vía. Asegurarse de que las condiciones de vía con lodo o con agua estancada en la vía sean reportadas. Monitorear la cantidad de balasto existente en los hombros y en los cajones especialmente cuando existe un potencial problema de riel comprimido.
b) Drenaje.
El drenaje no debe ser descuidado ya que es un importante aspecto de la inspección de vía. Verificar cualquier condición que evite al agua que fluya en la vía. Los puentes, alcantarillas y cunetas necesitan ser inspeccionadas y los defectos reportados donde existan problemas. Tomar nota de aguas estancadas a lo largo de la vía ya que pueden indicar alcantarillas obstruidas.
c) Vegetación.
La presencia de vegetación ocurre con el tiempo y necesita ser medida antes de que se convierta en un peligro, tanto para los trabajadores como para los trenes. Si el problema de la vegetación se encuentra en los pasos peatonales se deben colocar indicaciones de peligro. Los métodos de corte e inhibición de maleza deberán hacerse en un período menor de 30 días. Es muy importante mantener la visibilidad en los cruzamientos a nivel.
d) Escantillón.
El escantillón abierto es condición inaceptable y es una de las causas de descarrilamiento más frecuentes. Los inspectores deben revisar regularmente el escantillón en curvas, cambios y en las juntas. Sumar los movimientos laterales bajo carga a las medidas estáticas para determinar las acciones correctivas. Cuando se inspeccionen las vías de patio, accesos a industrias y vías industriales, poner la vía fuera de servicio si el escantillón alcanza 1,473 mm (58 in) abierto.
e) Geometría.
Los defectos de geometría incluyen alineamiento y nivelación, desalineamiento en curvas, perfil, nivel transversal y alabeo. Los defectos de geometría están clasificados en los parámetros de seguridad. Las mediciones exactas deben ser tomadas y registradas en los reportes, todas las mediciones deben incluir los movimientos de la vía bajo carga viva (dinámico).
f) Durmientes.
1. Revisar que los grupos de durmientes B.O. sean menores que los establecidos en los requisitos de seguridad; en caso negativo, aplicar las acciones correctivas correspondientes. Considerar los defectos geométricos provocados por los grupos de B.O.
2. En juntas suspendidas, como se especifica en 3.3.9.
g) Defectos de riel.
Hay dos categorías principales de defectos de riel: transversales y longitudinales (longitud del defecto). Los defectos transversales son generalmente encontrados por los carros detectores. Los inspectores deben buscar evidencias que demuestren posibles indicios o desarrollos de defectos, con base en los siguientes puntos:
1. Apariencia inusual en la banda de rodamiento del riel.
2. Sangrado y decoloración abajo del hongo del riel.
Las juntas tienden a presentar varios defectos de riel (grietas en el taladro, grietas entre hongo y el alma, separación horizontal del hongo).
Una fractura a través de la superficie de rodamiento requiere de acción correctiva. Esos rieles se deben reemplazar, cancelar el servicio o supervisar visualmente los movimientos sobre ellos.
h) Extremos disparejos de los rieles.
Se tienen extremos disparejos cuando se instala un riel nuevo junto a uno viejo que ya tiene desgaste. También se presentan en juntas de compromiso flojas o mal instaladas. Hay dos tipos de juntas disparejas de la pisada, (vertical) y de escantillón (lateral). La junta dispareja de escantillón representa un problema serio que puede provocar un descarrilamiento. Cuando el tropezón llegue a 6 mm (1/4 in) poner orden de precaución a 20 km/h.
i) Juntas de riel.
Las planchuelas deben llenar ciertos requisitos para operar a determinadas velocidades. Debido a la amplia variedad de defectos se debe tener especial cuidado al aplicar las acciones correctivas. Menos de 2 tornillos en un extremo de riel, si no se repara colocar orden de precaución a 15 km/h o poner a la vía fuera de servicio.
j) Inspección de juntas de compromiso.
Las juntas de compromiso deben inspeccionarse más frecuentemente que las planchuelas estándar. El inspector de vía debe registrar su ubicación y visualmente inspeccionarlas.
k) Corte del riel con soplete.
En cualquier vía está prohibido el corte con soplete de los extremos de los rieles o los taladros hechos con soplete. Sólo en casos de emergencia podrán aplicarse cortes con soplete, y en este caso colocar una orden de precaución a 30 km/h que permanecerá hasta que los rieles sean cambiados, lo cual se deberá atender de inmediato.
l) Placas de asiento.
Colocar una orden de precaución a 40 km/h en caso de que entre la placa de asiento y el patín del riel existan clavos de vía u otros objetos que causen concentración de la carga.
m) Fijaciones de riel.
Las fijaciones son los componentes que mantienen el escantillón (clavos, clips o grapas). Donde se encuentren tramos de escantillón abierto, la causa puede ser fijaciones defectuosas o insuficientes. Este defecto que no está clasificado específicamente será corregido por el Personal de Servicio Ferroviario de vía substituyendo la fijación dañada.
n) Curvas en vía principal.
Las inspecciones de vía deben realizarse con frecuencia a pie en las curvas de la línea principal. Seguir estas disposiciones:
1. Priorizar las curvas que deben ser caminadas usando el reporte del carro geométrico.
2. Documentar la caminata de las curvas.
3. Avisar al ingeniero de vía de todos los defectos graves encontrados que requieren acción correctiva urgente. Además, el ingeniero de vía deberá caminar aleatoriamente algunas curvas por lo menos una vez por mes.
4. Inspeccionar los movimientos de la curva periódicamente, especialmente en los períodos de grandes cambios de temperatura. Donde la curva se mueva hacia adentro más de 51 mm (2 in) la curva debe ser alineada hacia afuera antes de que la temperatura ambiente exceda de 30°C. Si la curva no es corregida en su alineamiento hacia afuera, o el riel liberado de esfuerzos, colocar una orden de precaución a 30 km/h y programar la liberación de riel.
o) Inspección de cambios.
Las inspecciones de cambios deben garantizar que la vía es segura para las velocidades autorizadas según su clase de vía. Todos los defectos deben ser registrados. Todas las condiciones inseguras deben ser corregidas de acuerdo con los requerimientos establecidos.
1. Árbol de cambio.
2. Barras de conexión.
3. Agujas de cambio.
4. Tiro o carrera de agujas.
5. Ajustes de las agujas.
6. Desgaste de las agujas.
7. Protectores de las agujas.
8. Rieles de apoyo.
9. Varillas de cambio.
10. Placas de cambio.
11. Talón de agujas.
12. Sapos.
13. Sapos autorresguardados.
14. Contrarrieles.
15. Escantillón.
16. Nivel transversal.
17. Nivelación a lo largo del cambio.
18. Alineamiento.
19. Inspección de los durmientes de cambio.
20. Rieles.
21. Anclas de riel.
22. Balasto.
23. Prioridades de los cambios según su estado físico.
4.2. Inspecciones especiales de la vía
En caso de incendios, inundaciones, deslaves, tormentas severas, sismos u otros acontecimientos que pudieran haber dañado la estructura de la vía, es necesario realizar inspecciones especiales al tramo de vía afectado lo más rápido posible, inclusive antes de la operación de trenes en el tramo.
También en casos de deterioro acelerado o súbito de la vía el concesionario o asignatario ordenará inspecciones especiales conjuntas.
4.3. Defectos más comunes en la vía
4.3.1. Defectos de los rieles
Defectos internos. Estos defectos internos son visibles solamente después que llegan al hongo, alma o patín. Tales defectos progresan con el tráfico y aumentan su tamaño con mayor número de toneladas transportadas. La mayoría de los defectos internos solamente son detectados a través de ultrasonido.
Defectos externos. Los defectos externos son aquellos visibles, permitiendo observar el acompañamiento de su degradación a lo largo del tiempo. Ver Tabla 10.
Rieles defectuosos localizados por el carro detector de defectos de rieles. Los rieles defectuosos localizados por el carro detector cuando se disponga de éste deben ser protegidos inmediatamente después del paso del carro detector, aunque los defectos no sean visibles en la superficie del riel. Para las acciones correctivas, ver Tabla 11.
Los rieles localizados por el carro detector, que tengan grietas transversales, compuestas u otros defectos que los hagan impropios para usarse en cualquier vía deben marcarse con una faja ancha de pintura roja a lo largo del alma y del patín a cada lado del punto defectuoso. Estos rieles deben ser prontamente cambiados de la vía, cortados en pedazos no mayores de 2.44 m (8 ft) de largo y considerados de desecho.
Tabla 10 Defectos de los rieles. | Imagen | Defecto | Descripción |
| | Fisura transversal | Es una fractura transversal progresiva que comienza en un centro cristalino o núcleo al interior del hongo desde donde se propaga al exterior como una superficie pulida, clara u oscura, redonda u ovalada, prácticamente en ángulo recto con la longitud del riel. Los rasgos que distinguen a una fisura transversal de otros tipos de fisuras o defectos son el centro cristalino o núcleo y la superficie casi pulida del daño que la rodea. |
| | Fisura compuesta | Es una fractura progresiva que comienza en una grieta horizontal que sigue su curso hacia arriba o hacia abajo del hongo con una superficie pareja, brillante u oscura, y sigue avanzando hasta formar un ángulo recto con la longitud del riel. Las fisuras compuestas requieren la inspección de ambos lados de la fractura para localizar la grieta horizontal superior desde la cual inicia. |
| | Separación horizontal del hongo | Se refiere a un defecto horizontal progresivo que se inicia al interior del hongo, generalmente ubicado a un 6 mm (1/4 in) o más debajo de la superficie de rodadura y que avanza horizontalmente en todas las direcciones, por lo general, acompañada de una zona aplastada en la superficie de rodadura. El defecto aparece como una rajadura longitudinal del riel cuando alcanza la cara lateral del hongo. |
| | Separación vertical del hongo | Se refiere a una grieta vertical a través de o cerca de la mitad del hongo, y que se extiende dentro o a través de ella. Una grieta o línea de oxidase puede observar bajo el hongo cerca del alma, o algunas piezas pueden incluso desprenderse del lado del hongo. |
| | Grieta en el alma | Es una rajadura a lo largo del costado del alma que se extiende dentro o a través de ella. |
| | Riel entubado | Es una grieta vertical en el riel, generalmente en el alma, debido a una falla de las caras de contracción del lingote, unidas durante el rolado. |
| | Patín roto | Significa cualquier rotura en el patín del riel. |
| | Fractura de detalle | Se refiere a una fractura progresiva que se origina en o cerca de la superficie del hongo del riel. Estas fracturas no deben confundirse con fisuras transversales, fisuras compuestas, ni otros defectos de origen interno. Las fracturas de detalle normalmente se originan con manchas de shelly, agrietado o con desconchaduras en la superficie del hongo del riel. |
| | Fractura por quemadura de locomotora | Se refiere a una fractura progresiva que inicia en las manchas donde las ruedas motrices han resbalado o patinado sobre la superficie de la rodadura del riel. Al desarrollarse hacia abajo, las fracturas por quemadura se parecen a las fisuras compuestas e incluso a las fisuras transversales con las cuales no se deben confundir o clasificar. |
| | Quebradura ordinaria | Se refiere a una rotura parcial o total donde no hay indicios de una fisura, y en la cual no se encuentran ninguno de los defectos descritos en esta tabla. |
| | Riel dañado | Se refiere a cualquier riel roto o averiado debido a destrozos, ruedas aplanadas o desbalanceadas, al patinado o causas similares. |
| | Riel aplanado | Se refiere a una longitud corta de riel, no ubicado en una junta o maestra, que se ha aplanado en el ancho del hongo a una profundidad de 10 mm (3/8 in) o más por debajo del resto del riel. Esta falla no se repite con regularidad por lo tanto no incluye las corrugaciones, y no tienen una causa determinada como las quemaduras ocasionadas por las ruedas o soldaduras. Su largo individual es relativamente corto, cuando se le compara con el desgaste que sufre el hongo en las curvas. |
| | Grieta en el barreno | Se refiere a una fisura a través del alma, originado en un barreno para el perno, que progresa en una línea inclinada hacia arriba o hacia el hongo, o hacia abajo en dirección al patín del riel. Las roturas totales en el barreno pueden continuar horizontalmente sobre el alma/hongo, o alma/patín, o pueden progresar a través de la base o al hongo hasta separar un pedazo del riel. Las roturas múltiples que ocurren en un extremo del riel deben ser considerados como un solo defecto. Sin embargo, las grietas en barrenos que se produzcan en los extremos de los rieles adyacentes, dentro de la misma junta, se informarán como defectos separados. |
| | Soldadura defectuosa | Se refiere a una soldadura efectuada en el campo o en las instalaciones fijas que contiene interrupciones o lagunas que individualmente exceden del 5 % del hongo, o en combinación exceden del 10 % del hongo, dentro o cerca del plano transversal, causada por una penetración incompleta del metal de la soldadura en los extremos del riel, una falta de fusión entre la soldadura y el extremo del riel, arrastre de escoria o arena, rebaba inferior o agrietamiento por fatiga. Los defectos de soldadura pueden originarse en el hongo, el alma o el patín, y en algunos casos, las grietas pueden progresar desde el defecto hacia uno o ambos extremos de riel contiguos. Si el defecto de soldadura progresa longitudinalmente a través de la sección de soldadura, el defecto se considera una banda dividida para fines de las medidas correctivas requeridas por esta sección. |
| | Separación del alma y el hongo del riel | Se refiere a una fractura progresiva, que separa longitudinalmente el hongo del riel y el alma en el área del filete del hongo del riel, y que se extiende hacia el interior o a través del alma del riel. |
Tabla 11 Acciones correctivas. | Defecto | Longitud del defecto mm (in) | Porcentaje de área dañada en el hongo del riel por el defecto % | Si el riel defectuoso no se reemplaza, ejecutar la acción correctiva en la nota: |
| > | Pero no > | < | Pero no < |
| Fisura transversal | --------- | --------- | 70 100 | 5 70 100 | B A2 A |
| Fisura compuesta | --------- | --------- | 70 100 | 5 70 100 | B A2 A |
| Fractura de detalle Fractura por quemadura de locomotora Soldadura defectuosa | --------- --------- --------- | --------- --------- --------- | 25 80 100 | 5 25 80 100 | C D [A2] o [E y H] [A] o [E y H] |
| Separación horizontal del hongo Separación vertical del hongo Grieta en el alma Riel entubado Separación del alma y el hongo del riel | 25 (1) 51 (2) 102 (4) (1) | 51 (2) 102 (4) --------- (1) | --------- --------- --------- --------- | --------- --------- --------- --------- | H y F I y G B A |
| Grieta en el taladro de tornillo | 13 (½) 25 (1) 38 (1 ½) (1) | 25 (1) 38 (1 ½) --------- (1) | --------- --------- --------- (1) | --------- --------- --------- --------- | H y F H y G B A |
| Patín roto | 25 (1) 152 (6) | 152 (6) --------- | --------- --------- | --------- --------- | D [A] o [E e I] |
| Quebradura ordinaria | --------- | --------- | --------- | --------- | A o E |
| Riel dañado | --------- | --------- | --------- | --------- | D |
| Riel aplanado | Profundidad 10 () y largo 203 (8) | --------- | --------- | --------- | H |
| Notas: (1) Grietas en el hongo del riel. A. Asignar a Personal de Servicio Ferroviario calificado para supervisar visualmente cada operación en el riel defectuoso. A2. Asignar Personal de Servicio Ferroviario calificado para realizar una inspección visual. Después de la inspección visual, esta persona puede autorizar que prosiga la operación, sin inspección visual continua, a una velocidad máxima de 15 km/h (10 mph) por un lapso no mayor de 24 horas antes de otra inspección visual o el reemplazo o la reparación del riel defectuoso. B. Limitar la velocidad de operación por encima del riel defectuoso a la que autorice la persona designada. La velocidad de operación no puede ser mayor de 50 km/h (30 mph) o la velocidad máxima permisible por el Personal de Servicio Ferroviario designado para la clase de vía afectada, la que sea menor. C. Colocar planchuelas, atornilladas únicamente en los agujeros más alejados del defecto, durante un lapso no mayor de 20 días de que se determinó continuar con la vía en uso. En el caso de vías clase 5 a 3, limitar la velocidad de operación sobre el riel defectuoso a 50 km/h (30 mph) hasta que se coloquen las planchuelas; después de eso limitar la velocidad a 80 km/h (50 mph) o a la velocidad máxima permisible según el numeral 3.1 para la clase de vía considerada, la que sea menor. Cuando se lleva a cabo una detección de defectos internos en el riel se descubren defectos en vías clases 2 a 4 que requieren una acción correctiva tipo C, la velocidad de operación se limitará a 80 km/h (50 mph) o a la velocidad máxima permisible según el numeral 3.1 para la clase de vía considerada, la que sea menor, por un período que no exceda de 4 días. Si el riel defectuoso no ha sido removido de la vía o no se ha llevado a cabo una reparación definitiva dentro de los 4 días desde que se descubrió el defecto, limítese la velocidad de operación sobre el riel defectuoso a 50 km/h (30 mph) hasta que se coloquen las planchuelas, después de eso limitar la velocidad a 80 km/h (50 mph) o a la velocidad máxima permisible según el numeral 3.1 para la clase de vía considerada, la que sea menor. D. Colocar planchuelas, atornilladas únicamente en los agujeros más alejados del defecto, durante un lapso no mayor de 10 días desde que se determinó continuar con la vía en uso. En el caso de vías clase 3 a 5, limitar la velocidad de operación sobre el riel defectuoso a 50 km/h (30 mph) o menos según lo autorice el Personal de Servicio Ferroviario calificado y quien tiene por lo menos un año de experiencia en mantenimiento de vías férreas, hasta que se coloquen las planchuelas; después de eso limitar la velocidad a 80 km/h (50 mph) o a la velocidad máxima permisible según el numeral 3.1 para la clase de vía considerada, la que sea menor. E. Colocar planchuelas en el defecto y atornillar con un mínimo de 4 tornillos. F. Inspeccionar el riel 90 días después que se determinó que la vía continuara en uso. G. Inspeccionar el riel 30 días después que se determinó que la vía continuara en uso. H. Limitar la velocidad de operación sobre el riel defectuoso a 80 km/h (50 mph) o a la velocidad máxima permisible según el numeral 3.1 para la clase de vía considerada, la que sea menor. I. Limitar la velocidad de operación sobre el riel defectuoso a 50 km/h (30 mph) o a la velocidad máxima permisible según el numeral 3.1 para la clase de vía considerada, la que sea menor. |
4.3.2. Juntas de riel disparejas
Cualquier falta de semejanza de los rieles en una junta no debe exceder las prescritas, ver Tabla 12.
Tabla 12 Juntas de riel disparejas. | Clase de vía | En la banda de rodadura de los extremos de los rieles mm (in) | En el lado del escantillón de los extremos de los rieles mm (in) |
| 1 | 6 (1/4) | 6 (1/4) |
| 2 | 6 (1/4) | 5 (3/16) |
| 3 | 5 (3/16) | 5 (3/16) |
| 4 y 5 | 3 (1/8) | 3 (1/8) |
4.3.3. Defectos de las fijaciones
La vía se fijará por medio de un sistema de componentes que mantengan eficientemente el escantillón dentro de los límites prescritos en esta NOM. Cada componente de cada sistema debe ser evaluado, por el concesionario o asignatario, para determinar si efectivamente el escantillón está siendo mantenido.
Los elementos de fijación no deberán estar con:
1. Partes vencidas, rotas, desgastadas, faltantes o inoperantes, material impropio.
2. Evidencia de reciente deterioro rápido del escantillón con probable deterioro continuo.
3. Evidencia de recientes daños significativos a los elementos de fijación de los rieles donde sea evidente el ensanchamiento del escantillón de la vía.
4. Evidencia de trabajos de mantenimiento recientes realizados incorrectamente, resultando en la falta de componentes de fijación, suficientes para evitar que el escantillón de la vía se abra.
4.3.4. Defectos de los durmientes
Un atributo único de los durmientes de concreto es la abrasión que puede ocurrir entre la base del riel y el asiento del riel en el durmiente, un componente del sistema de fijación del riel. Una variedad de diseños de almohadillas y materiales se colocan entre el riel y los durmientes para mitigar la abrasión.
Sin embargo, la abrasión desigual o "calzamiento" del asiento del riel puede ser problemática para un entorno operativo de alta velocidad o alto tonelaje que puede causar que las fijaciones del riel se aflojen bajo carga o en casos extremos causen inclinación o despliegue del riel, ver Figura 15.
Figura 15 Desgaste de durmiente. En consecuencia, los inspectores deben buscar el despliegue del riel debido a la abrasión del asiento del riel en los durmientes de concreto, particularmente en territorio con niveles de tráfico pesado y curvatura moderada. La mecánica de esta condición en los durmientes de concreto incluye los siguientes elementos:
1. Desgaste de concreto o abrasión, resultado de clips de riel flojos, aisladores y almohadillas del riel sueltos.
2. Los componentes sueltos permiten que más humedad y abrasión entren en el asiento del riel.
3. Una vez que la almohadilla se desgaste en el lado de campo y la base del riel del durmiente de concreto entre en contacto con el asiento del riel, puede ocurrir un corte rápido en el interior del concreto (abrasión acelerada).
Los signos y síntomas de la abrasión del asiento del riel del durmiente de concreto incluyen:
1. Almohadilla de durmiente machacada o triturada (mantener la integridad de la almohadilla es esencial).
2. Aisladores machacados, movidos de su lugar o faltantes.
3. Clips flojos que indican pérdida de presión en la base del riel (pérdida de fuerza de presión).
4. Movimiento longitudinal del riel.
5. Indicaciones de coloración de pasta de cemento pulverizado en el balasto por desgaste del asiento del riel.
4.3.5. Defectos del balasto
El balasto, el cual consiste en piedra triturada, forma parte integral de la estructura de la vía, e independientemente del tipo de material, debe cumplir con los requisitos establecidos en esta NOM. Ver apartado 14.3.1.2.1.
Los inspectores deben considerar el estado general de una vía al referirse el balasto contaminado. Debido a que las condiciones de balasto pueden ser de naturaleza subjetiva, los inspectores también deben mirar otros indicadores como podría ser la condición geométrica de la vía.
4.3.6. Defectos de los cambios
El Personal de Servicio Ferroviario encargado de vía, inspeccionará cuidadosamente los cambios con frecuencia; pero como mínimo una vez a la semana todos los de la vía principal, y una vez al mes todos los de las otras vías; pondrán especial atención al alineamiento, escantillón y desgaste de las agujas. Observarán si hay grietas o roturas en las varillas y orejas de las agujas y en las barras de conexión. Al hacer la inspección observarán que:
1. Las agujas tengan la separación reglamentaria en su talón y punta.
2. Ambas puntas de las agujas ajusten perfectamente contra los rieles respectivos.
3. Los pernos y chavetas estén en su lugar, y que las chavetas tengan correctamente abiertas las piernas.
4. Los árboles de cambio y las palancas de éste estén debidamente aseguradas y en posición correcta; así como también si su movimiento es el correcto.
5. Los contrarrieles estén debidamente asegurados, que la separación entre el contrarriel y el riel sea la reglamentaria y que estén a la distancia correcta del sapo.
6. Los resortes de los sapos de resorte y de las agujas de los árboles automáticos tengan la tensión adecuada y funcionen correctamente, de acuerdo con las instrucciones correspondientes.
7. Los rieles móviles de los sapos de resorte se muevan libremente.
8. Todos los pernos y tuercas de los sapos estén completos y apretados.
9. Las placas de asiento de los sapos y agujas estén en su lugar y en buenas condiciones.
Al inspeccionar los cambios, los voltearán y moverán con la palanca respectiva para darse cuenta si han perdido movimiento, y personalmente se asegurarán de que los cambios queden siempre cerrados con candado y alineados a la vía principal.
Durante la inspección semestral en la zona de agujas, en los cambios de la vía principal se retirarán y revisarán cuidadosamente las varillas número uno, la barra de conexión y los pernos, limpiándolos para poder ver si tienen fisuras o roturas; si están oxidados o tienen otros defectos. Todas las piezas defectuosas, débiles o que pongan en peligro el uso correcto del cambio, deberán reponerse. Se aceitarán y engrasarán todas las piezas antes de volver a colocarlas en su lugar.
Se repondrá inmediatamente la barra de conexión en los cambios de la vía principal que haya sido averiada, por haber sido "pasado" el cambio; por piezas que arrastren de los carros o por descarrilamientos; si el daño no es muy serio, puede utilizarse dicha barra de conexión en cambios de vías secundarias.
Antes de quitar la barra de conexión, varillas, desamar o quitar el árbol del cambio, se clavarán las agujas en la posición debida o se protegerá el cambio con abanderados mientras se colocan de nuevo en su lugar las piezas.
Al inspeccionar los cambios en territorios con señales eléctricas, los supervisores de vía examinarán la varilla y soportes que conectan las agujas al contacto que controla el circuito. Observarán que la varilla no esté doblada; que las orejas estén bien apernadas a las puntas de las agujas y que no estén dobladas o rotas; y que todas las chavetas y tuercas de seguridad estén en su lugar. Las varillas o conexiones defectuosas deben repararse o substituirse, y si no es esto posible se clavarán las agujas del cambio.
Antes de hacer esta inspección semestral de los cambios en territorios con señales eléctricas, deberá coordinarse con el área o departamento de señales.
5. Especificaciones de seguridad para vías clase 6 para el Servicio Público de Transporte Ferroviario 5.1. Clases de vía
a. El sistema de clasificación para clase de vía 6 se divide de acuerdo con la velocidad de operación permitida, como se indica en la Tabla 13:
Tabla 13 Clasificación de vía para clase 6. | Clasificación de la vía | Velocidad máxima de operación de trenes de carga (km/h) | Velocidad máxima de operación para trenes de pasajeros (*) (km/h) |
| Vía clase 6 | 125 | 177 |
| (*) Un carro de carga, un contenedor o recipiente a granel, que porte carteles de riesgo, no debe ser transportado en un tren de pasajeros de acuerdo con la NOM-021-SCT2/2017 "Disposiciones de compatibilidad y segregación en trenes de unidades de arrastre que transportan materiales y residuos peligrosos". |
b. Si un tramo de vía no cumple con todos los requisitos para su clase prevista, debe reclasificarse a la clase de vía más baja para la cual cumple con los requisitos de seguridad.
5.2. Mantenimiento de vías bajo condiciones de tránsito
Esta sección se refiere al reemplazo de componentes o fijaciones con daño por desgaste, rotas o faltantes cuando éstos no afecten el paso seguro de los trenes.
Las siguientes actividades están prohibidas bajo condiciones de tránsito:
1. Trabajos que interrumpan la continuidad del riel, por ejemplo, el reemplazo de juntas o el reemplazo del riel.
2. Trabajos que afecten la estabilidad lateral o vertical de la vía, con la excepción del apisonamiento puntual, una condición aislada en la que no se involucran más de 4.5 m (15 ft) lineales de vía, y la temperatura ambiental no supere los 35 °C.
3. Retiro y reemplazo de las fijaciones del riel en más de un durmiente al mismo tiempo dentro de una longitud de 4.5 m (15 ft).
5.3. Mediciones de vía sin carga
Son las lecturas de medición de la vía obtenidas sin la presencia de carga (condición estática). Éstas deberán corregirse, en caso de contar con la medición de las marcas de desplazamiento evidentes en los elementos de vía, adicionándolas a fin de considerar los efectos de la carga sobre la vía (condición dinámica).
5.4. Especificaciones para vías curvas
Las especificaciones descritas en este capítulo para las vías curvas se aplicarán a las vías que tengan curvaturas superiores a 0.16°.
5.5. Drenaje
El agua estancada a lo largo de la vía puede ser indicativo de alcantarillas obstruidas, por lo que los puentes, alcantarillas y cunetas deben ser inspeccionadas y los defectos donde existan problemas reportados deben ser corregidos.
5.6. Vegetación
La vegetación que se encuentra sobre o inmediatamente adyacente a la vía debe controlarse para no:
1. Convertirse en un peligro de incendio para las estructuras.
2. Obstruir la visibilidad de las señales de vía y dispositivos de señalización:
a) En el derecho de vía.
b) En cruces a nivel con carreteras.
3. Interferir con el Personal de Servicio Ferroviario que realiza mantenimiento en la vía.
4. Impedir el correcto funcionamiento de la señalización y comunicación.
5. Obstruir la visión del Personal de Servicio Ferroviario que inspecciona visualmente el equipo ferroviario en movimiento.
6. Contaminar el riel y compactarse por acción de la rueda reduciendo la ficción o adhesión de la rueda sobre el riel.
5.7. Escantillón de vía
La medida del ancho de vía debe ser tomada entre los hongos del riel a 16 mm (5/8 in) por debajo de la parte superior del hongo. El escantillón debe estar dentro de los parámetros de la Tabla 14:
Tabla 14 Medidas de escantillón según la clase de vía. | Clase de vía | Escantillón no menos que mm (in) | Escantillón no más que mm (in) | Cambio de escantillón dentro de 10 m, no debe ser mayor que mm (in) |
| Vía clase 6 | 1,422 (56) | 1,454 (57 1/4) | 19 (3/4) |
5.8. Alineamiento de vía
La uniformidad en cualquier punto en la longitud de la vía se establece promediando los valores de compensación de la cuerda media, medidos para nueve puntos consecutivos que están centrados alrededor de ese punto y espaciados de acuerdo con la Tabla 15:
Tabla 15 Tabla de alineamiento. | Longitud de cuerda (m) | Espaciado (m) |
| 10 | 2.5 |
| 20 | 5 |
| 40 | 10 |
Salvo lo dispuesto en el párrafo siguiente, la desviación del alineamiento de la uniformidad no puede ser mayor que el parámetro de la Tabla 16:
Tabla 16 Tabla de desviaciones de alineamiento de uniformidad. | Clase de vía | Vía tangente / curva | La desviación de la uniformidad del desplazamiento de la mitad de la cuerda de 10 m no puede ser mayor que mm (in) | La desviación de la uniformidad del desplazamiento de la mitad de la cuerda de 20 m no puede ser mayor que mm (in) | La desviación de la uniformidad del desplazamiento de la mitad de la cuerda de 40 m no puede ser mayor que mm (in) |
| Clase 6 | Tangente | 13 (1/2) | 19 (3/4) | 38 (1 1/2) |
| Curva | 13 (1/2) | 16 (5/8) | 38 (1 1/2) |
En operaciones con calificaciones de deficiencia de peralte (
) de más de 127 mm (5 in), una desviación de alineamiento de la uniformidad simple del riel exterior de la curva no puede ser mayor que el parámetro indicado en la Tabla 17. Tabla 17 Desviación de alineamiento de la uniformidad simple. | Clase de vía | Tipo de vía | La desviación de la uniformidad del desplazamiento de la mitad de la cuerda de 10 m no puede ser mayor que mm (in) | La desviación de la uniformidad del desplazamiento de la mitad de la cuerda de 20 m no puede ser mayor que mm (in) | La desviación de la uniformidad del desplazamiento de la mitad de la cuerda de 40 m no puede ser mayor que mm (in) |
| Clase 6 | Curva | 13 (1/2) | 16 (5/8) | 32 (1 1/4 in) |
Para tres o más desviaciones de la uniformidad en el alineamiento de la vía no superpuestas, que ocurran dentro de una distancia igual a cinco veces la longitud de la cuerda especificada, cada una de las cuales exceda los límites de la Tabla 18, cada concesionario o asignatario de la vía deberá mantener el alineamiento de la vía dentro de los límites prescrito para cada desviación: Tabla 18 Alineamiento de la vía. | Clase de vía | Tipo de vía | La desviación de la uniformidad del desplazamiento de la mitad de la cuerda de 10 m no puede ser mayor que mm (in) | La desviación de la uniformidad del desplazamiento de la mitad de la cuerda de 20 m no puede ser mayor que mm (in) | La desviación de la uniformidad del desplazamiento de la mitad de la cuerda de 40 m no puede ser mayor que mm (in) |
| Clase 6 | Curva | 10 (3/8) | 13 (1/2) | 25 (1) |
Para efectos de cumplimiento, los extremos de la cuerda deben estar localizados en los puntos de la zona del ancho del riel, 16 mm (5/8 in) por debajo de la parte superior del hongo del riel. En la vía tangente, cualquiera de los dos rieles puede utilizarse como riel de línea; sin embargo, se utilizará el mismo riel para toda la longitud de ese tramo de vía en tangente. En vía curva, el riel de línea es el riel exterior de la curva.
5.9. Curvas: Sobreelevación y velocidad máxima
En vías clase 6, la sobreelevación máxima de riel exterior en una curva no puede ser más de 178 mm (7 in). Por diseño, el riel exterior de una curva no deberá estar por debajo del riel interior, excepto, cuando se diseñe para abordar condiciones de funcionamiento o vías específicas; los límites de la superficie de vía se aplican en todos los casos.
La velocidad de operación máxima permitida en el Horario publicado para cada curva está determinada por la Ecuación 3.
Se deben tener en cuenta las siguientes consideraciones:
· La sobreelevación,
, para cada tramo de vía de 47.2 m (155 ft) en la curva se determina promediando la elevación de 11 puntos a través del tramo con un espacio de 4.7 m (15.5 ft). Si la longitud de la curva es inferior a 47.2 m (155 ft), los puntos se promedian a lo largo de toda la longitud del cuerpo de la curva. · Si la sobreelevación,
, y el grado de curvatura,
, cambian como resultado de la degradación de la vía, entonces el desbalance real para la velocidad de operación máxima permitida en el Horario,
, puede ser mayor que desbalance,
. Este desbalance real para cada curva no puede exceder el desbalance,
, más 13 mm (1/2 in). · El grado de curvatura,
, se determina promediando el grado de curvatura sobre el mismo tramo de vía que la sobreelevación. · El equipo ferroviario podrá operar únicamente si la vía tiene un desbalance,
, no mayor que 76 mm (3 in). El Apéndice 1 muestra las velocidades calculadas de acuerdo con la fórmula de la Ecuación 3. 5.10. Nivelación de la vía
Para las desviaciones detectadas en la nivelación de la vía, cada concesionario o asignatario de vía, deberá mantener su vía nivelada de dentro de los límites prescritos en la Tabla 19:
Tabla 19 Límites de nivelación de la vía.
| Nivelación de la vía | Clase de vía 6 mm (in) |
| La desviación del perfil uniforme (*) en cualquiera de los rieles en la mitad de la ordenada de una cuerda de 10 m no puede ser mayor que | 25 (1) |
| La desviación del perfil uniforme en cualquiera de los rieles en la mitad de la ordenada de una cuerda de 20 m no puede ser mayor que | 25 (1) |
| Salvo lo dispuesto en el párrafo siguiente de esta sección, la desviación del perfil uniforme en cualquiera de los rieles en la mitad de la ordenada de una cuerda de 40 m no puede ser más de | 44 (1 3/4) |
| La desviación transversal del nivel cero en cualquier punto de la vía tangente no puede ser superior a (**) | 25. (1) |
| La elevación inversa en las curvas no puede ser más de | 13 (1/2) |
| La diferencia en el nivel transversal entre dos puntos a menos de 20 m de distancia no puede ser más de (***) | 38 (1 1/2) |
| En vías curvas, la diferencia en el nivel transversal entre dos puntos cualquiera a menos de 3 m de distancia (alabeo corto) no puede ser más de | 32 (1 1/4) |
| (*) La uniformidad del perfil se establece colocando el punto medio de la cuerda especificada en el punto de medición. (**) Si las condiciones físicas no permiten una espiral lo suficientemente larga para acomodar la longitud mínima de longitud escorrentía, parte de la longitud de escorrentía puede estar en una trayectoria tangente. (***) Sin embargo, para controlar los armónicos en la vía articulada con juntas emplachueladas/escalonadas, las diferencias de nivel transversal no deben exceder 25 mm (1 in) en los seis pares consecutivos de juntas, creadas por siete juntas bajas. Las vías con juntas escalonadas a menos de 3 m (10 ft) de distancia no se considerarán con juntas emplachueladas/escalonadas. Las juntas dentro de las siete juntas bajas fuera del espaciamiento regular de las juntas no se considerarán juntas para los fines de esta nota al pie. |
Para operaciones con un desbalance,
, de más de 127 mm (5 in), una sola desviación en la superficie de la vía debe estar dentro de los límites prescritos en la siguiente Tabla 20: Tabla 20 Límite de desviaciones en la nivelación de la vía para
de más de 127 mm (5 in). | Nivelación de la vía | Clase de vía 6 mm (in) |
| La diferencia en el nivel transversal entre dos puntos a menos de 3 m de distancia (alabeo corto) no puede ser mayor que | 32 (1 1/4) |
| La desviación del perfil uniforme en cualquiera de los rieles en la mitad de la ordenada de una cuerda de 40 m no puede ser mayor que | 38 (1 1/2) |
(*) Para curvas con una deficiencia de peralte, , de más de 178 mm (7 in), la diferencia en el nivel transversal entre dos puntos cualesquiera que estén separados menos de 3 m (alabeo corto) no puede ser más de 19 mm (3/4 in). |
Para tres o más desviaciones no superpuestas en la superficie de la vía que ocurran dentro de una distancia igual a cinco veces la longitud de la cuerda especificada, cada una de las cuales, exceda los límites de la Tabla 21, cada concesionario o asignatario, deberá mantener la superficie de la vía dentro de los límites prescritos para cada desviación:
Tabla 21 Límite para tres o más desviaciones no superpuestas. | Nivelación de la vía | Clase de vía 6 mm (in) |
| La desviación del perfil uniforme en cualquiera de los rieles en la mitad de la ordenada de una cuerda de 10 m no puede ser mayor que | 19 (3/4) |
| La desviación del perfil uniforme en cualquiera de los rieles en la mitad de la ordenada de una cuerda de 20 m no puede ser mayor que | 19 (3/4) |
| La desviación del perfil uniforme en cualquiera de los rieles en la mitad de la ordenada de una cuerda de 40 m no puede ser mayor que | 32 (1 1/4) |
5.11. Combinación de alineamiento y desviación en la superficie
Esta sección aplica para vías curvas, donde las operaciones se realicen con un desbalance,
, mayor de 127 mm (5 in), ya sean curvas o tangentes. Para las condiciones definidas el párrafo anterior, la combinación de alineamiento y desviaciones de superficie para la misma longitud de cuerda en el riel exterior en una curva y en cualquiera de los dos rieles de una sección tangente, medida por un carro geométrico, cumplirá con la siguiente ecuación:
Ecuación 4
Donde:
= Desviación de la alineación medida con respecto a la uniformidad (hacia afuera es positivo, hacia adentro es negativo).
= Límite de alineamiento permisible (siempre positivo) para la clase de vía.
= Desviación del perfil medido de la uniformidad (hacia abajo es positivo, hacia arriba es negativo).
= Límite de perfil permisible en función de la superficie de la vía y para operaciones de un peralte no mayor de 127 mm (5 in) (siempre positivo) para la clase de vía. 5.12. Sistemas de inspección automatizadas basadas en vehículos El sistema de medición de geometría de vía (Track Geometry Measurement System - TGMS), por sus siglas en inglés) o carro geométrico, para fines de esta norma, se operará con la siguiente frecuencia:
1. En operaciones con un desbalance,
, de más de 127 mm (5 in) en vías clase 1 a 5, al menos dos veces por año calendario, con no menos de 120 días entre inspecciones. 2. Para vía clase 6, al menos una vez por año calendario con no menos de 170 días entre inspecciones. En operaciones con una deficiencia de peralte,
, de más de 127 mm (5 in), al menos dos veces por año calendario con no menos de 120 días entre inspecciones. Un carro geométrico certificado, deberá cumplir o superar los requisitos mínimos que especifican que:
1. Las medidas de la geometría de la vía se deben tomar a no más de 1 m (3 ft) de distancia del punto de contacto de las ruedas que lleven una carga vertical de no menos de 44 kN (10 kips) por rueda.
2. Las mediciones de la geometría de la vía se deben tomar y registrar en un intervalo de muestreo basado en la distancia que no exceda los 61 cm (2 ft), preferiblemente a 30 cm (1ft).
3. Se deben asignar procedimientos y parámetros de calibración al sistema que aseguren que los valores medidos y registrados representen con precisión las condiciones de la vía. Las mediciones de la geometría de la vía registradas por el sistema no deberán diferir en recorridos repetidos en el mismo sitio a una misma velocidad en más de 3 mm (1/8 in).
Un carro geométrico certificado, deberá tener la capacidad de medir y procesar los parámetros geométricos de la vía necesarios para determinar el cumplimiento:
1. De operaciones con un desbalance,
, de más de 127 mm (5 in) en las clases de vía 1 a 5: ancho de vía; alineación de vías; curvas; limitaciones de elevación y velocidad; superficie de la vía; y alineación combinada de vía y desviaciones de superficie. 2. Para la clase de vía 6: ancho de vía; alineación de vías; curvas; limitaciones de elevación y velocidad; superficie de la vía; y para operaciones con un desbalance,
, de más de 127 mm (5 in), alineación combinada de vía y desviaciones de superficie. Un carro geométrico, deberá producir, dentro de las 24 horas posteriores a la inspección, informes para:
1. Proporcionar continuamente un gráfico, en una distancia de eje constante, de todos los parámetros de geometría de vía medidos y requeridos en esta sección.
2. Proporcionar un informe que contenga una lista sistemática de todas las omisiones a las condiciones de la geometría de la vía de la clase de vía sobre el tramo estudiado.
Los informes requeridos, deberán contener suficiente información de identificación de localización que permita al Personal de Servicio Ferroviario de campo ubicar fácilmente las irregularidades indicadas.
Luego de una inspección de vía realizada por un carro geométrico, el concesionario o asignatario de la vía deberá, dentro de los dos días posteriores a la inspección, verificar en campo y establecer medidas correctivas para todas las irregularidades en función a la clase de vía.
El concesionario o asignatario de la vía, después de la inspección con carro geométrico deberá mantener por un período de un año, una copia de los reportes emitidos y el informe del tramo de vía analizado, y registros adicionales que:
1. Especifique la fecha en que se realizó la inspección y el tramo de vía involucrado.
2. Especifique la ubicación, la acción correctiva realizada y la fecha de la misma para todas las omisiones en función a la clase de vía.
Un Sistema de Medición de Restricción de Escantillón de Vía (Gage Restraint Measurementet System), GRMS por sus iniciales en inglés, deberá cumplir o superar los requisitos mínimos de diseño que especifican que:
1. La restricción del ancho de vía se medirá entre los hongos de riel a riel:
a) En un intervalo no mayor que 406 mm (16 in);
b) Bajo una carga vertical aplicada de no menos de 44 kN (10 kips) por riel; y
c) Bajo una carga lateral aplicada que proporciona una relación de carga lateral/vertical de entre 0.5 y 1.25 y una carga superior a 13 kN (3 kips) pero inferior a 36 kN (8 kips) por riel. La gravedad de la carga se define mediante la ecuación:
Ecuación 5
Donde:
= Severidad de la carga, definida como la carga lateral aplicada al sistema de fijación (kips).
= Carga lateral real aplicada (kips).
= Coeficiente de rozamiento carril/tirante, al que se le asigna un valor nominal de 0.4.
= Carga vertical real aplicada (kips) o carga vertical estática de la rueda si no se mide la carga vertical. Las mediciones de ancho de vía y carga se convertirán a valores de una Proyección de Ensanchamiento del Escantillón de Vía (Gage Widening Projection - GWP) por medio de la siguiente ecuación:
Ecuación 6
Donde:
= Ancho de vía sin carga medido por el equipo ferroviario GRMS en un punto a no menos de 3 m (10 ft) de cualquier aplicación de carga lateral o vertical.
= Ancho de vía con carga medido por el equipo ferroviario GRMS en un punto a no más de 30 cm (12 in) de la aplicación de carga lateral.
= Carga lateral real aplicada (kips).
= Carga vertical real aplicada (kips) o carga vertical estática de la rueda si no se mide la carga vertical.
= Proyección del ancho de vía o ensanchamiento del escantillón, que es la diferencia entre el escantillón de la vía con carga y sin carga, en las cargas aplicadas, proyectadas a cargas de referencia de 71 kN (16 kips) de fuerza lateral y 147 kN (33 kips) de fuerza vertical. El equipo ferroviario estará instrumentado o equipado con un dispositivo portátil que controle la instrumentación a bordo de los trenes. El Personal de Servicio Ferroviario de vía, deberá ser notificado cuando los acelerómetros a bordo indiquen un posible problema relacionado con la vía. Las pruebas, deberán realizarse con las frecuencias mencionadas a continuación, después de revisar los datos de prueba.
a) Para operaciones con una deficiencia de peralte,
, de más de 127 mm (5 in), en vías clases 1 a 6, la aceleración del cuerpo del carro deberá ser monitoreada al menos una vez cada trimestre calendario con no menos de 25 días entre inspecciones en al menos un coche de pasajeros de cada tipo asignado al servicio. 5.13. Balasto
5.13.1. Generalidades
A menos que estén soportadas estructuralmente de otra forma, todas las vías deberán estar soportadas por material que:
1. Transmita y distribuya la carga de la vía y equipo ferroviario al subsuelo.
2. Restrinja la vía lateral, longitudinal y verticalmente bajo las cargas dinámicas impuestas por el equipo ferroviario y las fuerzas térmicas ejercida por los rieles.
3. Proporcione un drenaje adecuado.
4. Mantenga el nivel transversal, la superficie y la alineación adecuados de la vía.
El tamaño y especificaciones del balasto se encuentran referidos en el Apéndice 3, considerando el adecuado para que, bajo la presión de los trenes, estas rocas se ajusten unas con otras formando un armazón capaz de distribuir el peso hacia afuera y hacia abajo. Y para permitir un drenaje rápido de las aguas pluviales y la evaporación de la humedad del subsuelo y retardar el crecimiento de la vegetación.
Cada concesionario o asignatario determinará los tamaños o números que se utilizan en las vías principales o de su clase.
5.14. Durmientes
Los durmientes deben fabricarse de un material al que se pueda sujetar con seguridad el riel.
Cada segmento o tramo de vía de 12 m (39 ft) tendrá:
1. Un número suficiente de durmientes que, en combinación, proporcionen un soporte capaz de:
a) Mantener el ancho de vía.
b) Mantener la superficie dentro de los límites permitidos.
c) Mantener la alineación dentro de los límites permitidos.
2. El número mínimo y tipo de durmientes especificados en el siguiente párrafo efectivamente
distribuidos para soportar todo el tramo.
3. El tipo de durmientes especificado en el siguiente párrafo que están ubicados en una conjuntamente.
Para construcciones con durmientes que no sean de concreto, cada tramo de 12 m (39 ft) de vía clase 6, deberá tener 14 durmientes que no muestren:
1. Estar rotos.
2. Rajaduras o deterioros de tal grado que permitan que el balasto pase, o no retengan clavos o fijaciones de riel.
3. Deterioros tales que la placa del asiento o la base del riel puedan moverse lateralmente 10 mm (3/8 in), con respecto a los durmientes.
4. Penetración por placa de riel en más del 40 % de su espesor.
5. Estar configurados con menos de 2 puntas de riel o sujetadores por placa unión.
6. Incapacidad, debido a insuficiencia de la fijación por carga, para mantener la restricción longitudinal, la fijación del riel y el ancho de vía.
Para construcciones con durmientes de concreto, cada tramo o segmento de vía clase 6 de 12 metros (39 ft), deberá tener 14 durmientes que no presenten:
1. Deterioros tales que los hilos del pretensado presenten corrosión o se visualicen en el extremo del durmiente y se presenten grietas estructurales en el asiento del riel o dentro del ancho de vía.
2. Configurados con menos de 2 fijaciones en el mismo riel.
3. Deterioros en la fijación del riel de tal manera que el conjunto de fijaciones puede salirse o moverse lateralmente más de 10 mm (3/8 in) con respecto al durmiente.
4. Deterioros que provoquen que la placa base de la fijación o la base del riel pueda moverse lateralmente más de 10 mm (3/8 in) con respecto a los durmientes.
5. Deterioros de tal forma que la abrasión del asiento del riel sea lo suficientemente profunda como para causar la pérdida de la punta de fijación del riel.
6. Completamente rotos.
7. Incapacidad, debido a insuficiencia de la fijación por carga, para mantener la restricción longitudinal, la fijación del riel y el ancho de vía.
La vía clase 6, deberá tener durmientes, no defectuosos, cuyo centro de línea esté dentro de los 46 cm (18 in) de la ubicación de la junta del riel o dos durmientes cuyos centros de línea estén dentro de los 61 cm (24 in) a cada lado de la ubicación de la junta del riel.
Para las vías construidas sin durmientes, como las vías en placa y las vías conectadas directamente a los componentes estructurales en los puentes, la estructura de la vía deberá cumplir con los requisitos establecidos en el párrafo inicial de este apartado.
Cuando se utilicen durmientes de madera, debe haber placas de asiento debajo de los rieles en al menos 9 de 10 durmientes consecutivos.
No debe haber ningún objeto de metal que cause una carga concentrada al soportar únicamente un riel entre su base y la superficie de apoyo de la placa de unión.
5.15. Defectos en el riel
Cuando el concesionario o asignatario determine, a través de una inspección o de otro modo, que un riel en la vía presenta cualquiera de los defectos considerados en la Tabla 10 el Personal de Servicio Ferroviario, deberá determinar si la vía puede o no continuar en operación. Si determina que la vía puede continuar en operación, no se permitirá la operación sobre el riel defectuoso hasta que:
1. Se reemplace el riel.
2. Se inicie la acción correctiva señalada en la Tabla 11.
Los términos relacionados con los defectos a los que se refiere esta sección son los mencionados en la Tabla 10.
5.16. Inspección de rieles en servicio Se realizarán inspecciones de defectos internos de riel en vías principales, al menos dos veces por año, con un intervalo no menor a 120 días de diferencia.
El equipo de inspección deberá detectar defectos entre las juntas de riel, en el área encerrada por las juntas de riel.
Cada riel defectuoso, se marcará en ambos lados entre el alma y el patín.
Si el Personal de Servicio Ferroviario para operar el equipo de detección de defectos ferroviarios, determina que, debido a las condiciones de la superficie del riel no se puede realizar una búsqueda de defectos internos en un tramo de vía en particular, no se considerará la prueba como aceptada y el concesionario o asignatario, deberá, antes de la expiración de los plazos indicados en el primer párrafo de este inciso:
1. Cumplir con una búsqueda válida de defectos internos.
2. Reducir la velocidad de operación a un máximo de 40.23 km/h (25 mph) hasta que se pueda realizar una búsqueda válida de defectos internos.
3. Retirar el riel del servicio.
5.17. Documentación de la calidad de riel nuevo y soldaduras El concesionario o asignatario, contará con la documentación de la calidad de los rieles de reciente fabricación y de las soldaduras nuevas o en uso realizadas en rieles nuevos o de uso. El concesionario o asignatario de una vía demostrará el cumplimiento de esta actividad, proporcionando las siguientes evidencias:
1. Documentación de la calidad en servicio
Para aquellos rieles y soldaduras que se hayan puesto en servicio, si se realiza a más tardar 90 días después de la instalación.
2. Documentación de la calidad de fabricante
El concesionario o asignatario obtendrá una copia del informe de copia de certificado de calidad del fabricante y la conservará como registro.
3. Documentación de la calidad de soldadura en planta
Una inspección permanente en una planta de soldadura acompañada de un informe de inspección que se conservará como registro por parte del concesionario o asignatario de la vía constituirá el cumplimiento de los requisitos de inspección inicial de rieles y soldaduras nuevas, o de soldaduras nuevas hechas en rieles usados.
4. Inspección de soldaduras de campo
Se debe realizar una inspección inicial de las soldaduras de campo, ya sea las que unen los extremos de las cadenas de LRS o las realizadas en reparaciones aisladas, a no menos de un día ni más de 30 días después de que se hayan realizado las soldaduras. La inspección inicial puede realizarse por medio de equipos de prueba portátiles. El concesionario o asignatario de la vía conservará un registro de tales inspecciones hasta que las soldaduras reciban su primera inspección programada.
5. Cada riel defectuoso que se encuentre durante las inspecciones realizadas se marcará en ambos lados entre el alma y patín y se aplicará la acción correctiva correspondiente.
5.18. Largo Riel Soldado (LRS)
Cada concesionario o asignatario con vías construidas con LRS, deberá tener vigentes y cumplir con procedimientos escritos que aborden la instalación, ajuste, mantenimiento e inspección de LRS y un programa de capacitación para la aplicación de esos procedimientos, que deberá presentarse a la Agencia Reguladora
del Transporte Ferroviario para su conocimiento y verificar que cumpla con los siguientes:
a) Procedimientos para la instalación y ajuste de LRS que incluya:
1. Designación de un rango de temperatura deseado para la instalación del riel para el área geográfica en la que se encuentra el LRS.
2. Procedimientos o métodos de eliminación de tensiones que aborden el logro adecuado del rango de temperatura de instalación del riel deseado al ajustar el LRS.
b) Requisitos de fijación o anclaje de rieles, que proporcionen suficiente sujeción para limitar el movimiento longitudinal de rieles y durmientes, y que aborden específicamente, los patrones de anclaje o fijación con LRS en puentes, accesos a puentes y en otros lugares donde sea posible el movimiento longitudinal de rieles y durmientes asociado con fuerzas normalmente esperadas inducidas por el tren, está restringido.
c) Procedimientos que aborden, específicamente, el mantenimiento en un rango de temperatura de instalación del riel deseado al cortar LRS, incluidas las reparaciones del riel, la soldadura en la vía y en conjunto con los ajustes realizados en el área de la vía apretada, un pandeo de la vía o una separación. Las prácticas de reparación de rieles deberán tomar en consideración la temperatura existente del riel de modo que:
1. Cuando se retira el riel, la longitud instalada se determinará teniendo en cuenta la temperatura del riel existente y el rango de temperatura de instalación del riel deseado; y
2. En ninguna circunstancia se debe agregar riel, cuando la temperatura del riel esté por debajo de la designada en su área geográfica.
d) Procedimientos que abordan el monitoreo de LRS en vías curvas.
e) Procedimientos que permitan el control de velocidad del tren en la vía de LRS cuando:
1. Se produzcan trabajos de mantenimiento, rehabilitación de vía, construcción de vía o cualquier otro evento que altere la plataforma o tramo de balasto y reduzca la resistencia lateral y/o longitudinal de la vía; y 2. Al formular los procedimientos de control de velocidad, el concesionario o asignatario de la vía, deberá:
i. Determinar la velocidad requerida y la duración y posterior eliminación de cualquier restricción de velocidad en función de la restauración del balasto, junto con la consolidación de balasto suficiente para estabilizar la vía a un nivel que pueda acomodar las fuerzas esperadas inducidas por el tren. La consolidación del balasto se puede lograr mediante el paso del tonelaje del tren o procedimientos de estabilización mecánica, o ambos; y
ii. Considerar el tipo de durmientes utilizados.
f) Procedimientos que determinan cuándo se deben realizar inspecciones físicas de la vía para detectar condiciones de vía de LRS, chicoteada. Como mínimo, estos procedimientos abordarán la inspección de vías para identificar:
1. Ubicaciones, donde es probable que ocurran condiciones de riel apretado o vencido;
2. Lugares donde recientemente, se hayan realizado trabajos de mantenimiento, rehabilitación de vía, construcción de vía o cualquier otro evento que altere la plataforma o tramo de balasto y reduzca la resistencia lateral y/o longitudinal de la vía; y
3. Al formular los procedimientos, el concesionario o asignatario deberá:
i. Especificar el momento de la inspección; y
ii. Especificar las acciones correctivas que se tomarán cuando se encuentren condiciones propensas a chicoteo.
g) El concesionario o asignatario de la vía, deberá tener vigente, un programa de capacitación integral en la aplicación de los procedimientos escritos de LRS, con disposiciones de capacitación programada, para aquel Personal de Servicio Ferroviario para supervisar la instalación, ajuste, mantenimiento e inspecciones de vías con LRS.
h) El concesionario o asignatario, establecerá los requisitos de mantenimiento de los registros para proveer un historial adecuado de la vía construida con LRS. Como mínimo, estos registros incluirán:
1. Temperatura del riel, ubicación y fecha de las instalaciones de LRS. Este registro se conservará durante al menos un año; y
2. Un registro de cualquier trabajo de instalación o mantenimiento de LRS que no se ajuste a los procedimientos escritos. Dicho registro incluirá la ubicación del riel y se mantendrá hasta que el LRS se ajuste a dichos procedimientos.
5.19. Sistema para la calificación del equipo ferroviario y vía
Todos los tipos de equipo ferroviarios, destinados a operar a velocidades de vía clase 6, o a cualquier velocidad en curva que origine más de 127 mm (5 in) de desbalance,
, deberán estar calificados para operar en el tramo de la clase de vía. Se utilizará un programa de calificación para demostrar que el sistema de vía/equipo ferroviario, no excederá los límites de seguridad de la fuerza de la rueda-riel y los criterios de aceleración de cuerpo del carro y del truck o boggie: 1. A cualquier velocidad incluyendo 8 km/h (5 mph) por encima de la velocidad de operación autorizada; y
2. En vías que cumplan los requisitos de la clase de vía asociada a la velocidad máxima autorizada. Para efectos de las pruebas de calificación, las velocidades pueden exceder la velocidad operativa máxima permitida para la clase de vía de acuerdo con el plan de prueba.
5.19.2. Resultados de las pruebas de calificación
El concesionario o asignatario deberá presentar un informe, detallando todos los resultados del programa de calificación. Cuando se realicen simulaciones como parte de la calificación del equipo ferroviario, este informe, deberá incluir una comparación de las predicciones de la simulación con la fuerza real de la rueda-riel o los datos de aceleración, o ambos, registrados durante la prueba a gran escala. El informe deberá presentarse al menos 60 días antes de la operación prevista del equipo en el servicio de ingresos en la ruta.
Basado en los resultados de las pruebas y todas las demás presentaciones requeridas, se aprobará la velocidad máxima del tren y el valor de la deficiencia de peralte, normalmente dentro de los 45 días posteriores a la recepción de toda la información requerida.
Los documentos requeridos, deben estar dispuestos a solicitud de la ARTF por:
1. El concesionario o asignatario.
2. El que brinda la operación con el mismo tipo de equipo ferroviario sobre vías de uno o más concesionarios o asignatarios de vía, con el consentimiento por escrito de cada concesionario o asignatario de vía afectado.
5.20. Cruces a nivel
No se permiten cruces a nivel, públicos o privados, o cruceros de vías a nivel en vías clase 6.
5.21. Desajuste en el extremo del riel
Cualquier desajuste de los rieles en sus juntas, no podrá ser mayor el parámetro de la Tabla 22:
Tabla 22 Desajuste máximo en las juntas. | Clase de vía | El desajuste de los rieles en las juntas no puede ser mayor que: |
| En la banda de rodamiento en los extremos del riel mm (in) | El escantillón de vía en los extremos del riel mm (in) |
| Clase 6 | 3 (1/8) | 3 (1/8) |
5.22. Planchuelas de riel
1. Cada planchuela de riel deberá tener un diseño y dimensiones estructuralmente sólidas para el riel
sobre el cual se aplica.
2. Si la planchuela está agrietada, rota o debido al desgaste permite un movimiento vertical excesivo de cualquiera de los rieles cuando todos los pernos o tornillos están apretados, debe reemplazarse.
3. Si la planchuela está agrietada o rota entre los dos orificios, debe reemplazarse.
4. Cada riel, debe estar atornillado con al menos dos pernos por cada planchuela.
5. Cada planchuela, se mantendrá en su posición mediante pernos o tornillería, apretados que permitan que la junta se sostenga firmemente con los extremos del riel contiguo y permitir el movimiento longitudinal del riel para adaptarse a la expansión y contracción, debido a las variaciones de temperatura. Cuando existe un contacto antideslizante entre la planchuela y el riel por diseño, los requisitos de esta sección no se aplican. Esas ubicaciones, cuando tengan más de 122 m (400 ft) de largo, se consideran vías soldadas continuas o LRS y deberán cumplir con todos los requisitos para este tipo de vías.
6. Ningún riel, tendrá un orificio o barreno, cortado con soplete o quemado.
7. No se reconfigurará ninguna planchuela de placa mediante corte con soplete.
5.23. Corte con soplete
A menos que sea una reparación temporal en situaciones de emergencia, no se debe usar ningún riel que tenga un extremo cortado con soplete.
Cuando se usa un extremo de riel con corte de soplete, en situaciones de emergencia, la velocidad del tren sobre el riel no debe exceder el máximo permitido para una vía clase 2.
5.24. Cambios de vía, cruces y conjuntos de rieles elevados u otros dispositivos de transición en puentes móviles En cambios y cruces de vías, las fijaciones deben estar en su lugar, intactas y aseguradas. Además, cada cambio, sapo y fijaciones, deben mantenerse libres de obstrucciones que puedan interferir con el paso de las ruedas.
La vía, deberá estar equipada con anclaje de riel a través y en cada lado de los cruces de vía y cambios para restringir el movimiento del riel longitudinal que afecte la posición de los puntos de cambio y sapos.
Cada contra riel y cruceros de vías deberá tener al menos 38 mm (1 1/2 in) de ancho.
Para todos los cambios y cruces, y conjuntos de contra riel u otros dispositivos de transición en puentes móviles, el concesionario o asignatario, deberá preparar una guía de inspección y mantenimiento para uso del Personal de Servicio Ferroviario. La guía deberá contener como mínimo:
1. Frecuencia y metodología de inspección, incluidos los valores límite de medición para todos los componentes sujetos a desgaste o que requieran ajuste.
2. Técnicas de mantenimiento.
3. Cada cambio operado manualmente, debe estar equipado con un mecanismo operativo para mantener la seguridad de la posición del cambio.
5.25. Sapos
El escantillón de la cara del guarda del sapo y de contrarriel estará dentro de los límites prescritos en la Tabla 23:
Tabla 23 Escantillón de guarda del sapo y contrariel. | Clase de vía | Escantillón del contrarriel La distancia mínima entre la línea del escantillón de un sapo (*) hacia el contrarriel o cara del contrarriel, medida en un ángulo recto a través de la vía con respecto a la línea del escantillón (**), es mm (in) | Escantillón de la cara del sapo La distancia entre las líneas del contrarriel (*), medida a través de un ángulo recto de la vía hacia el escantillón de la cara del sapo (**), no puede ser más que mm (in) |
| Vía de clase 6 | 1,384 (54 1/2) | 1,346 (53) |
| (*) Una línea a lo largo de la cara de la guía de la ceja del sapo que está más cercano al centro de la vía y en la misma elevación que la línea del escantillón. (**) Una línea de 16 mm (5/8 in) por debajo de la parte superior del hongo del riel o de la superficie de la banda de rodadura de la estructura de la vía. |
5.26. Rigidez de vía
La vía tendrá una resistencia vertical suficiente para soportar las cargas máximas del equipo ferroviario generadas a las velocidades máximas admisibles del tren, las deficiencias de peralte y los defectos de la superficie. Para los propósitos de este capítulo, la resistencia de la vía vertical se define como la capacidad de la vía para restringir las deformaciones verticales de modo que la vía regrese después de la carga máxima a una configuración que cumpla con los límites de seguridad de interacción equipo ferroviario-vía y sus requisitos geométricos.
La vía tendrá suficiente resistencia lateral para soportar las cargas máximas térmicas y del equipo ferroviario generadas a las velocidades máximas admisibles del tren, las deficiencias de peralte y los defectos de alineación lateral. Para los propósitos de este capítulo, la resistencia lateral de la vía se define como la capacidad de la vía para restringir las deformaciones laterales, de modo que la vía regrese después de la carga máxima a una configuración que cumpla con los límites de seguridad de interacción equipo ferroviario-vía y sus requisitos geométricos.
5.27. Derecho de vía
El concesionario o asignatario de la vía en la clase 6 deberá presentar un plan protección, denominado "Plan de Derecho de Vía". Como mínimo, el plan contendrá disposiciones en áreas de necesidad demostrada para la prevención de:
1. Vandalismo.
2. Lanzamiento de objetos desde puentes elevados o estructuras en la ruta de los trenes.
3. Intrusión de equipo ferroviarios desde derechos de vía adyacentes.
5.28. Inspecciones visuales de vía Todas las vías deberán ser inspeccionadas visualmente de según la frecuencia requerida.
Cada inspección deberá hacerse de conformidad con el primer párrafo e incisos 1 a 3 y 5 del numeral 4.
Cada inspección visual de la vía se realizará de acuerdo con el siguiente programa, ver Tabla 24:
Tabla 24 Frecuencia de las inspecciones. | Clase de vía | Frecuencia requerida |
| 6 | Dos veces por semana (*) con al menos un intervalo de 2 días calendario entre inspecciones. |
| (*) Una semana de inspección se define como un período de siete (7) días que comienza el domingo y termina el sábado. |
Si el Personal de Servicio Ferroviario que realiza la inspección encuentra un fallo de los requisitos de este capítulo, la persona deberá iniciar inmediatamente una acción correctiva. Cualquier movimiento posterior para facilitar las reparaciones en la vía que está fuera de servicio debe ser autorizado por el Personal de Servicio Ferroviario.
Cada cambio, desvío, cruce de vías y conjuntos de rieles elevados en puentes móviles deben inspeccionarse a pie al menos una vez por semana. La inspección se realizará de acuerdo con la guía requerida según 5.24.
5.29. Inspecciones especiales En caso de incendio, inundación, tormenta severa, temperaturas extremas u otro suceso que pudiera haber dañado la estructura de la vía, se deberá realizar una inspección especial de la vía involucrada tan pronto como sea posible después del suceso y, si es posible, antes de la operación de cualquier tren sobre esa vía.
5.30. Registros de inspección
Cada concesionario o asignatario deberá mantener un registro de cada inspección que se requiera realizar bajo lo establecido en este apartado.
Cada inspección se registrará el día en que se realice la inspección y estará firmado o certificado de otro modo por el Personal de Servicio Ferroviario que realiza la inspección. Los registros deben especificar al inspector, el tipo de vía inspeccionada, la fecha de la inspección, el lugar de la inspección, la naturaleza de cualquier irregularidad de los requisitos y su acción correctiva. El concesionario o asignatario deberá designar la(s) ubicación(es) donde se mantendrá cada registro original durante al menos un año después de la inspección donde se mantengan copias de los registros que se aplican a esas operaciones estando disponibles para verificaciones por la ARTF.
Los registros de inspección de rieles deberán especificar la fecha de inspección, la ubicación y la naturaleza de cualquier defecto interno encontrado, la acción correctiva tomada y la fecha de la misma, y la ubicación de cualquier intervalo de inspección de vía. El concesionario o asignatario conservará un registro de inspección de rieles durante al menos dos años después de la inspección y durante un año después de que se tomen las medidas correctivas.
Los registros de pruebas en LRS deberán:
1. Indicar la(s) fecha(s) y la(s) hora(s) de la recopilación de datos de la prueba de rieles, incluida la fecha y la hora del inicio y el final de la ejecución de la prueba, y la fecha y la hora en que se identificó y verificó en el campo cada ubicación sospechosa o irregular;
2. Incluir la determinación hecha después de la verificación de campo de cada ubicación irregular o sospechosa, incluyendo:
a) Ubicación y tipo de defecto encontrado;
b) Tamaño del defecto;
c) Medidas de corrección tomadas de inicio y final, y la fechas; y
3. Conservarse durante al menos dos años después de la inspección y durante al menos un año después de que se tomen las medidas correctivas iniciales, lo que ocurra más tarde.
Los concesionarios y asignatarios deberán mantener registros de todas las operaciones de pruebas continuas de rieles suficientes para monitorear y determinar el cumplimiento de normas o especificaciones y pondrán esos registros a disposición de la ARTF cuando sea requerido.
Los registros de inspección de vía deben mantenerse disponibles para las personas que realizan las verificaciones, deberá poner esos registros a disposición de la ARTF para que los inspeccione.
Para cumplir con los requisitos de esta sección, el concesionario o asignatario puede crear, retener, transmitir, almacenar y recuperar registros por medios electrónicos siempre que:
1. El sistema utilizado para generar el registro electrónico cumpla con todos los requisitos y contenga la información requerida por el verificador.
2. El concesionario o asignatario monitoree su base de datos de registros electrónicos para garantizar la precisión de los registros.
3. El sistema electrónico esté diseñado para identificar de manera única al autor del registro. No podrán tener dos personas la misma identidad electrónica.
4. El sistema electrónico asegure que cada registro no pueda ser modificado de ninguna manera, o reemplazado, una vez que se complete.
5. El almacenamiento electrónico de cada registro deba ser iniciado por la persona que realice la inspección dentro de las 72 horas siguientes a la finalización de dicha inspección.
6. Cualquier enmienda a un registro se almacenará electrónicamente aparte del registro que modifica. Cada modificación de un registro se identificará de forma única en cuanto a la persona que realiza la modificación.
6. Procedimiento de Evaluación de la Conformidad (PEC) 6.1.1. La Evaluación de la Conformidad del cumplimiento de la presente Norma Oficial Mexicana se llevará a cabo en términos de lo establecido en ésta y en la Ley de Infraestructura de la Calidad.
6.1.2. Para efectos de la presente Norma Oficial Mexicana, el Personal de Servicio Ferroviario que hace referencia en 2.64, deberá ser calificado para realizar las actividades correspondientes de acuerdo con lo definido en 2.49.
6.1.3. Para efectos del presente PEC, se entenderá como "Conformidad" al cumplimiento de las disposiciones establecidas en la presente Norma Oficial Mexicana; mientras que "No Conformidad" al incumplimiento de las disposiciones establecidas en ésta. La "Conformidad" tendrá una vigencia de 2 años.
6.1.4. Para emitir una "Conformidad" para esta Norma Oficial Mexicana se deberá entregar lo siguiente durante el PEC: 1. Etapa de evaluación A. Consistirá en una evaluación documental bajo lo siguiente:
Tabla 25 Contenido de la etapa de evaluación A. | | Contenido |
| 1 | Portada, con los siguientes datos: · Denominación o razón social del concesionario o asignatario. · Datos de identificación fiscal de las personas (física o moral) responsables de la ejecución de las disposiciones de esta NOM. · Documento que acredite que el Personal de Servicio Ferroviario se encuentra calificado en términos del artículo 83 del Reglamento del Servicio Ferroviario. · Fecha y lugar donde se está llevando a cabo la Evaluación de la Conformidad. |
| 2 | · Evidencias documentales del cumplimiento de las disposiciones de la presente NOM firmados por el representante legal del concesionario o asignatario. Se recomienda acompañarlo de evidencia fotográfica. · Periodicidad mínima y alcance de las inspecciones, incluidas, las que se realicen en aspectos básicos de componentes o equipo especializado con evidencias de cumplimiento en programas de mantenimiento correctivo, preventivo o predictivo con su respectivo registro de órdenes de trabajo, con contenido mínimo de: la inspección rutinaria de vía, inspección visual del riel, inspección de cambios o desvíos, inspección de juntas emplanchueladas, soldadas y aisladas; registro de escantillón, alineamiento, nivelación y sobreelevación; inspección y recuento de durmientes, inspección de la fijación y anclaje de la vía, inspección de balasto y/o estructura-superestructura de vía, control y ciclos de balasto; inspección del lecho de la vía, inspección de drenaje de la vía, inspección de lubricación de riel, inspección de la señalización permanente de la vía, inspección de cruces a nivel, inspección de cruceros ferroviarios, inspección de vegetación en la vía, inspección de defectos geométricos de la vía con carro geométrico, inspección de defectos internos de riel, inspección de la resistencia transversal de la vía con carro aplicador de fuerza. Todo ello, en común con el programa establecido de inspección y de acuerdo con el fundamento y objeto de la verificación. · Cada inspección, deberá estar soportada por un documento que contendrá como mínimo: a) Nombre y firma del inspector. b) Identificación del tramo o componente de vía. c) Lugar, fecha y hora. d) Trabajos realizados para su corrección. |
2. Etapa de evaluación B. Una vez que se demuestre que el concesionario o asignatario cuenta con las carpetas y los registros indicados en la etapa de evaluación A, la Unidad de Inspección o la Agencia (según sea el responsable de ejecutar la evaluación), por medio de la revisión de los puntos contenidos en la Tabla 25, ejecutarán la evaluación in situ del cumplimiento de las disposiciones contenidas en la presente NOM. Ubicado en el sitio y de acuerdo con el fundamento y objeto de verificación, se procederá a evaluar las condiciones de seguridad de acuerdo con la presente norma.
I. Antes de iniciar con la verificación, se deben tomar las medidas necesarias de seguridad, hacer de conocimiento del representante del concesionario o asignatario que la verificación se iniciará, después de tener la certeza de estar en un área segura, en el entendido que de ser necesario se realizará el abanderamiento por medio de señalamiento o respaldo del despachador.
II. Por cuestiones de tiempo, y para no contribuir a la demora de un tren (ya sea de inicio o en un punto intermedio), de ser necesario, se realizará el análisis del contenido de la presente NOM por medio de un muestreo.
a) Muestreo probabilístico. Teniendo la documentación soporte de cumplimiento de inspecciones y trabajos correctivos, preventivos y predictivos, de ser necesario, se escogerá al azar hasta el cinco por ciento del total y se analizará de acuerdo con la NOM.
III. El verificador determinará la evaluación de toda la NOM, en común con el fundamento y objeto de verificación.
Los resultados de la evaluación ejecutada in situ deberán ser asentados en un acta circunstanciada de hechos. Esta acta debe ser firmada por la Agencia o la Unidad de Inspección, los responsables del concesionario o asignatario y dos testigos presentes en la ejecución de la evaluación.
6.1.4.1. En caso de que se emita una "No Conformidad" se deberá poner la vía en parámetros de seguridad; o detener las operaciones de la vía. De acuerdo con los datos recabados, se evaluará una posible sanción.
6.1.5. Si se detecta que entre los responsables y sujetos obligados participantes de este PEC se ejercen malas prácticas de Evaluación de la Conformidad, y existe un conflicto de interés o una afectación a los objetivos legítimos de interés público que persigue esta Norma Oficial Mexicana, se procederá con las sanciones conforme a lo establecido en las leyes aplicables.
6.1.6. La Entidad de Acreditación y los Organismos de Evaluación de la Conformidad deben cumplir con las disposiciones en términos de la Ley de Infraestructura de la Calidad para poder participar en la Evaluación de la Conformidad de esta Norma Oficial Mexicana.
6.1.6.1. Las Unidades de Inspección que realicen la Evaluación de la Conformidad referida en 6.1.4 deben ser del Tipo A, B o C de acuerdo con la NMX-EC-17020- IMNC "Requisitos para el funcionamiento de diferentes tipos de unidades (organismos) que realizan la verificación (inspección)" (NMX, 2014) o la vigente que la sustituya.
6.1.6.2. El Laboratorio que participe en cualquiera de los procesos de esta Norma Oficial Mexicana debe contar como mínimo con los equipos e instrumentos calibrados con trazabilidad a los patrones en términos de la Ley de Infraestructura de la Calidad.
7. Verificación y vigilancia 7.1. Aplicación de la verificación y la vigilancia 7.1.1. La verificación y vigilancia del cumplimiento de lo dispuesto en la presente Norma Oficial Mexicana está a cargo de la Agencia, conforme a sus respectivas atribuciones.
7.1.2. La verificación de la presente Norma Oficial Mexicana se llevará a cabo por la Agencia en el momento en que ésta lo considere pertinente conforme a lo establecido en el PEC de ésta.
7.1.3. La Agencia podrá retirar la aprobación y sancionar al Organismo de Evaluación de la Conformidad y a la Entidad de Acreditación que emitió las acreditaciones a dichos organismos, cuando se detecten irregularidades bajo lo dispuesto en los artículos 58 y 59 de la Ley de Infraestructura de la Calidad y otras disposiciones aplicables.
8.1. El incumplimiento a las disposiciones contenidas en la presente Norma Oficial Mexicana será sancionado por la Agencia, conforme a lo establecido en la Ley de Infraestructura de la Calidad y demás ordenamientos que resulten aplicables, sin perjuicio de las sanciones que impongan otras autoridades en el ejercicio de sus atribuciones o de la responsabilidad civil o penal que resulte.
9. Referencia a estándares para su implementación · Federal Railroad Administration - US Department of Transportation. (2023). Part 213 - Track Safety Standards. CFR.
· American Railway Engineering and Maintenance of Way Association (AREMA). Manual for Railway
Engineering. 2021 Edition.
· American Society for Testing and Materials o ASTM International.
· Normativa para la Infraestructura del Transporte - Instituto Mexicano del Transporte (IMT). · American Railway Engineering and Maintenance of Way Association. (2021). Manual for Railway Engineering. AREMA.
· ASTM. (2016). Métodos de prueba estándar para probar el rendimiento de adherencia de los anclajes adheridos. ASTM.
· ASTM. (2021). Método de prueba estándar para la resistencia a la compresión de probetas cilíndricas de concreto. ASTM.
· ASTM. (2022). Especificación estándar para cemento Portland. ASTM.
· Congreso General de los Estados Unidos Mexicanos. (2020). Ley de Infraestructura de la Calidad. Ciudad de México: DOF.
· Federal Railroad Administration - US Department of Transportation. (2023). Code of Federal Regulations, Part 213 - Track Safety Standars. CFR.
· Li, D., Hyslip, J., Sussmann, T., & Chrismer, S. (2016). Railway Geotechnics. Taylor & Francis Group, LLC.
· NMX. (2014). Requisitos para el funcionamiento de diferentes tipos de unidades (organismos) que realizan la verificación (inspección). NMX.
· Rico. (2005). La Ingeniería de Suelos en las Vías Terrestres. Ciudad de México: Limusa.
· SICT-IMT. (2021). N.CMT.1.01/21 Materiales para Terraplén. Querétaro: Instituto Mexicano del Transporte.
· SICT-IMT. (2021). N.CMT.1.03/21 Materiales para Subrasante. Querétaro: Instituto Mexicano del Transporte.
· SICT-IMT. (2021). N.CMT.4.02.001/21 Materiales para Subbases. Querétaro: Instituto Mexicano del Transporte.
· Waters, S. y. (1994). Track Geotechnology and Substructure Management. Inglaterra.
NOM-003-ARTF-2023 Sistema Ferroviario - Seguridad - Clasificación y Especificaciones de Vía. 12. Concordancia con normas internacionales 12.1. Esta Norma Oficial Mexicana no es equivalente (NEQ) con alguna Norma Internacional, por no existir ésta última al momento de su elaboración. PRIMERO. La presente Norma Oficial Mexicana, una vez que sea publicada en el Diario Oficial de la Federación como norma definitiva, entrará en vigor a los 180 días naturales contados a partir del día natural inmediato siguiente al día de su publicación.
SEGUNDO. Para el diseño de la vía se tendrán en cuenta las normativas de cumplimiento de cada uno de los materiales, las especificaciones técnicas funcionales y operativas, así como los requisitos de seguridad aplicables al entorno operativo y de mantenimiento u otra que emane de lo establecido en los objetivos de la presente Norma Oficial Mexicana; deberán considerarse, complementarse y ajustarse a lo requerido garantizando la seguridad en todo momento.
Ciudad de México, a 22 de agosto de 2023.- El Titular de la Agencia Reguladora del Transporte Ferroviario y Presidente del Comité Consultivo Nacional de Normalización de Transporte Ferroviario, Evaristo Iván Ángeles Zermeño.- Rúbrica.
Velocidad máxima para los diferentes valores de
y
(Normativo) Tabla 26 Velocidad máxima para diferentes valores de
y
. | Velocidades máximas en curvas (km/h) |
Grado de curvatura | Desbalance (in) | Sobreelevación (in) |
| ° | min | 0.75 | 1 | 1.25 | 1.5 | 1.75 | 2 | 2.25 | 2.5 | 2.75 | 3 | 3.25 | 3.5 | 3.75 | 4 | 4.25 | 4.5 |
| 0 | 30 | 1.5 | 106 | 112 | 117 | 122 | 127 | 132 | 137 | 141 | 146 | 150 | 154 | 158 | 162 | 166 | 170 | 173 |
| 2 | 117 | 122 | 127 | 132 | 137 | 141 | 146 | 150 | 154 | 158 | 162 | 166 | 170 | 173 | 177 | 180 |
| 3 | 137 | 141 | 146 | 150 | 154 | 158 | 162 | 166 | 170 | 173 | 177 | 180 | 184 | 187 | 190 | 194 |
| 0 | 45 | 1.5 | 87 | 91 | 96 | 100 | 104 | 108 | 112 | 115 | 119 | 122 | 126 | 129 | 132 | 135 | 138 | 141 |
| 2 | 96 | 100 | 104 | 108 | 112 | 115 | 119 | 122 | 126 | 129 | 132 | 135 | 138 | 141 | 144 | 147 |
| 3 | 112 | 115 | 119 | 122 | 126 | 129 | 132 | 135 | 138 | 141 | 144 | 147 | 150 | 153 | 155 | 158 |
| 1 | 0 | 1.5 | 75 | 79 | 83 | 87 | 90 | 94 | 97 | 100 | 103 | 106 | 109 | 112 | 115 | 117 | 120 | 122 |
| 2 | 83 | 87 | 90 | 94 | 97 | 100 | 103 | 106 | 109 | 112 | 115 | 117 | 120 | 122 | 125 | 127 |
| 3 | 97 | 100 | 103 | 106 | 109 | 112 | 115 | 117 | 120 | 122 | 125 | 127 | 130 | 132 | 135 | 137 |
| 1 | 15 | 1.5 | 67 | 71 | 74 | 77 | 81 | 84 | 87 | 89 | 92 | 95 | 97 | 100 | 102 | 105 | 107 | 110 |
| 2 | 74 | 77 | 81 | 84 | 87 | 89 | 92 | 95 | 97 | 100 | 102 | 105 | 107 | 110 | 112 | 114 |
| 3 | 87 | 89 | 92 | 95 | 97 | 100 | 102 | 105 | 107 | 110 | 112 | 114 | 116 | 118 | 120 | 122 |
| 1 | 30 | 1.5 | 61 | 65 | 68 | 71 | 74 | 76 | 79 | 82 | 84 | 87 | 89 | 91 | 94 | 96 | 98 | 100 |
| 2 | 68 | 71 | 74 | 76 | 79 | 82 | 84 | 87 | 89 | 91 | 94 | 96 | 98 | 100 | 102 | 104 |
| 3 | 79 | 82 | 84 | 87 | 89 | 91 | 94 | 96 | 98 | 100 | 102 | 104 | 106 | 108 | 110 | 112 |
| 1 | 45 | 1.5 | 57 | 60 | 63 | 65 | 68 | 71 | 73 | 76 | 78 | 80 | 82 | 85 | 87 | 89 | 91 | 93 |
| 2 | 63 | 65 | 68 | 71 | 73 | 76 | 78 | 80 | 82 | 85 | 87 | 89 | 91 | 93 | 94 | 96 |
| 3 | 73 | 76 | 78 | 80 | 82 | 85 | 87 | 89 | 91 | 93 | 94 | 96 | 98 | 100 | 102 | 104 |
| 2 | 0 | 1.5 | 53 | 56 | 59 | 61 | 64 | 66 | 68 | 71 | 73 | 75 | 77 | 79 | 81 | 83 | 85 | 87 |
| 2 | 59 | 61 | 64 | 66 | 68 | 71 | 73 | 75 | 77 | 79 | 81 | 83 | 85 | 87 | 88 | 90 |
| 3 | 68 | 71 | 73 | 75 | 77 | 79 | 81 | 83 | 85 | 87 | 88 | 90 | 92 | 94 | 95 | 97 |
| 2 | 15 | 1.5 | 50 | 53 | 55 | 58 | 60 | 62 | 65 | 67 | 69 | 71 | 73 | 75 | 76 | 78 | 80 | 82 |
| 2 | 55 | 58 | 60 | 62 | 65 | 67 | 69 | 71 | 73 | 75 | 76 | 78 | 80 | 82 | 83 | 85 |
| 3 | 65 | 67 | 69 | 71 | 73 | 75 | 76 | 78 | 80 | 82 | 83 | 85 | 87 | 88 | 90 | 91 |
| 2 | 30 | 1.5 | 47 | 50 | 52 | 55 | 57 | 59 | 61 | 63 | 65 | 67 | 69 | 71 | 72 | 74 | 76 | 77 |
| 2 | 52 | 55 | 57 | 59 | 61 | 63 | 65 | 67 | 69 | 71 | 72 | 74 | 76 | 77 | 79 | 81 |
| 3 | 61 | 63 | 65 | 67 | 69 | 71 | 72 | 74 | 76 | 77 | 79 | 81 | 82 | 84 | 85 | 87 |
| 2 | 45 | 1.5 | 45 | 48 | 50 | 52 | 54 | 56 | 58 | 60 | 62 | 64 | 66 | 67 | 69 | 71 | 72 | 74 |
| 2 | 50 | 52 | 54 | 56 | 58 | 60 | 62 | 64 | 66 | 67 | 69 | 71 | 72 | 74 | 75 | 77 |
| 3 | 58 | 60 | 62 | 64 | 66 | 67 | 69 | 71 | 72 | 74 | 75 | 77 | 78 | 80 | 81 | 83 |
| 3 | 0 | 1.5 | 43 | 46 | 48 | 50 | 52 | 54 | 56 | 58 | 60 | 61 | 63 | 65 | 66 | 68 | 69 | 71 |
| 2 | 48 | 50 | 52 | 54 | 56 | 58 | 60 | 61 | 63 | 65 | 66 | 68 | 69 | 71 | 72 | 74 |
| 3 | 56 | 58 | 60 | 61 | 63 | 65 | 66 | 68 | 69 | 71 | 72 | 74 | 75 | 76 | 78 | 79 |
| 3 | 15 | 1.5 | 42 | 44 | 46 | 48 | 50 | 52 | 54 | 55 | 57 | 59 | 60 | 62 | 64 | 65 | 67 | 68 |
| 2 | 46 | 48 | 50 | 52 | 54 | 55 | 57 | 59 | 60 | 62 | 64 | 65 | 67 | 68 | 69 | 71 |
| 3 | 54 | 55 | 57 | 59 | 60 | 62 | 64 | 65 | 67 | 68 | 69 | 71 | 72 | 73 | 75 | 76 |
| 3 | 30 | 1.5 | 40 | 42 | 44 | 46 | 48 | 50 | 52 | 53 | 55 | 57 | 58 | 60 | 61 | 63 | 64 | 65 |
| 2 | 44 | 46 | 48 | 50 | 52 | 53 | 55 | 57 | 58 | 60 | 61 | 63 | 64 | 65 | 67 | 68 |
| 3 | 52 | 53 | 55 | 57 | 58 | 60 | 61 | 63 | 64 | 65 | 67 | 68 | 69 | 71 | 72 | 73 |
| 3 | 45 | 1.5 | 39 | 41 | 43 | 45 | 47 | 48 | 50 | 52 | 53 | 55 | 56 | 58 | 59 | 61 | 62 | 63 |
| 2 | 43 | 45 | 47 | 48 | 50 | 52 | 53 | 55 | 56 | 58 | 59 | 61 | 62 | 63 | 65 | 66 |
| 3 | 50 | 52 | 53 | 55 | 56 | 58 | 59 | 61 | 62 | 63 | 65 | 66 | 67 | 68 | 70 | 71 |
| 4 | 0 | 1.5 | 38 | 40 | 41 | 43 | 45 | 47 | 48 | 50 | 52 | 53 | 54 | 56 | 57 | 59 | 60 | 61 |
| 2 | 41 | 43 | 45 | 47 | 48 | 50 | 52 | 53 | 54 | 56 | 57 | 59 | 60 | 61 | 63 | 64 |
| 3 | 48 | 50 | 52 | 53 | 54 | 56 | 57 | 59 | 60 | 61 | 63 | 64 | 65 | 66 | 67 | 68 |
| 4 | 15 | 1.5 | 36 | 38 | 40 | 42 | 44 | 45 | 47 | 49 | 50 | 51 | 53 | 54 | 56 | 57 | 58 | 59 |
| 2 | 40 | 42 | 44 | 45 | 47 | 49 | 50 | 51 | 53 | 54 | 56 | 57 | 58 | 59 | 61 | 62 |
| 3 | 47 | 49 | 50 | 51 | 53 | 54 | 56 | 57 | 58 | 59 | 61 | 62 | 63 | 64 | 65 | 66 |
| 4 | 30 | 1.5 | 35 | 37 | 39 | 41 | 42 | 44 | 46 | 47 | 49 | 50 | 51 | 53 | 54 | 55 | 57 | 58 |
| 2 | 39 | 41 | 42 | 44 | 46 | 47 | 49 | 50 | 51 | 53 | 54 | 55 | 57 | 58 | 59 | 60 |
| 3 | 46 | 47 | 49 | 50 | 51 | 53 | 54 | 55 | 57 | 58 | 59 | 60 | 61 | 62 | 63 | 65 |
| 4 | 45 | 1.5 | 34 | 36 | 38 | 40 | 41 | 43 | 44 | 46 | 47 | 49 | 50 | 51 | 53 | 54 | 55 | 56 |
| 2 | 38 | 40 | 41 | 43 | 44 | 46 | 47 | 49 | 50 | 51 | 53 | 54 | 55 | 56 | 57 | 58 |
| 3 | 44 | 46 | 47 | 49 | 50 | 51 | 53 | 54 | 55 | 56 | 57 | 58 | 60 | 61 | 62 | 63 |
| 5 | 0 | 1.5 | 34 | 35 | 37 | 39 | 40 | 42 | 43 | 45 | 46 | 47 | 49 | 50 | 51 | 52 | 54 | 55 |
| 2 | 37 | 39 | 40 | 42 | 43 | 45 | 46 | 47 | 49 | 50 | 51 | 52 | 54 | 55 | 56 | 57 |
| 3 | 43 | 45 | 46 | 47 | 49 | 50 | 51 | 52 | 54 | 55 | 56 | 57 | 58 | 59 | 60 | 61 |
| 5 | 15 | 1.5 | 33 | 35 | 36 | 38 | 39 | 41 | 42 | 44 | 45 | 46 | 48 | 49 | 50 | 51 | 52 | 53 |
| 2 | 36 | 38 | 39 | 41 | 42 | 44 | 45 | 46 | 48 | 49 | 50 | 51 | 52 | 53 | 55 | 56 |
| 3 | 42 | 44 | 45 | 46 | 48 | 49 | 50 | 51 | 52 | 53 | 55 | 56 | 57 | 58 | 59 | 60 |
| 5 | 30 | 1.5 | 32 | 34 | 35 | 37 | 38 | 40 | 41 | 43 | 44 | 45 | 46 | 48 | 49 | 50 | 51 | 52 |
| 2 | 35 | 37 | 38 | 40 | 41 | 43 | 44 | 45 | 46 | 48 | 49 | 50 | 51 | 52 | 53 | 54 |
| 3 | 41 | 43 | 44 | 45 | 46 | 48 | 49 | 50 | 51 | 52 | 53 | 54 | 55 | 56 | 57 | 58 |
| 5 | 45 | 1.5 | 31 | 33 | 35 | 36 | 38 | 39 | 40 | 42 | 43 | 44 | 45 | 47 | 48 | 49 | 50 | 51 |
| 2 | 35 | 36 | 38 | 39 | 40 | 42 | 43 | 44 | 45 | 47 | 48 | 49 | 50 | 51 | 52 | 53 |
| 3 | 40 | 42 | 43 | 44 | 45 | 47 | 48 | 49 | 50 | 51 | 52 | 53 | 54 | 55 | 56 | 57 |
| 6 | 0 | 1.5 | 31 | 32 | 34 | 35 | 37 | 38 | 40 | 41 | 42 | 43 | 44 | 46 | 47 | 48 | 49 | 50 |
| 2 | 34 | 35 | 37 | 38 | 40 | 41 | 42 | 43 | 44 | 46 | 47 | 48 | 49 | 50 | 51 | 52 |
| 3 | 40 | 41 | 42 | 43 | 44 | 46 | 47 | 48 | 49 | 50 | 51 | 52 | 53 | 54 | 55 | 56 |
| 6 | 15 | 1.5 | 30 | 32 | 33 | 35 | 36 | 37 | 39 | 40 | 41 | 42 | 44 | 45 | 46 | 47 | 48 | 49 |
| 2 | 33 | 35 | 36 | 37 | 39 | 40 | 41 | 42 | 44 | 45 | 46 | 47 | 48 | 49 | 50 | 51 |
| 3 | 39 | 40 | 41 | 42 | 44 | 45 | 46 | 47 | 48 | 49 | 50 | 51 | 52 | 53 | 54 | 55 |
| 6 | 30 | 1.5 | 29 | 31 | 33 | 34 | 35 | 37 | 38 | 39 | 40 | 42 | 43 | 44 | 45 | 46 | 47 | 48 |
| 2 | 33 | 34 | 35 | 37 | 38 | 39 | 40 | 42 | 43 | 44 | 45 | 46 | 47 | 48 | 49 | 50 |
| 3 | 38 | 39 | 40 | 42 | 43 | 44 | 45 | 46 | 47 | 48 | 49 | 50 | 51 | 52 | 53 | 54 |
| 6 | 45 | 1.5 | 29 | 30 | 32 | 33 | 35 | 36 | 37 | 38 | 40 | 41 | 42 | 43 | 44 | 45 | 46 | 47 |
| 2 | 32 | 33 | 35 | 36 | 37 | 38 | 40 | 41 | 42 | 43 | 44 | 45 | 46 | 47 | 48 | 49 |
| 3 | 37 | 38 | 40 | 41 | 42 | 43 | 44 | 45 | 46 | 47 | 48 | 49 | 50 | 51 | 52 | 53 |
| 7 | 0 | 1.5 | 28 | 30 | 31 | 33 | 34 | 35 | 37 | 38 | 39 | 40 | 41 | 42 | 43 | 44 | 45 | 46 |
| 2 | 31 | 33 | 34 | 35 | 37 | 38 | 39 | 40 | 41 | 42 | 43 | 44 | 45 | 46 | 47 | 48 |
| 3 | 37 | 38 | 39 | 40 | 41 | 42 | 43 | 44 | 45 | 46 | 47 | 48 | 49 | 50 | 51 | 52 |
| 7 | 15 | 1.5 | 28 | 29 | 31 | 32 | 33 | 35 | 36 | 37 | 38 | 39 | 40 | 42 | 43 | 44 | 45 | 45 |
| 2 | 31 | 32 | 33 | 35 | 36 | 37 | 38 | 39 | 40 | 42 | 43 | 44 | 45 | 45 | 46 | 47 |
| 3 | 36 | 37 | 38 | 39 | 40 | 42 | 43 | 44 | 45 | 45 | 46 | 47 | 48 | 49 | 50 | 51 |
| 7 | 30 | 1.5 | 27 | 29 | 30 | 32 | 33 | 34 | 35 | 37 | 38 | 39 | 40 | 41 | 42 | 43 | 44 | 45 |
| 2 | 30 | 32 | 33 | 34 | 35 | 37 | 38 | 39 | 40 | 41 | 42 | 43 | 44 | 45 | 46 | 47 |
| 3 | 35 | 37 | 38 | 39 | 40 | 41 | 42 | 43 | 44 | 45 | 46 | 47 | 47 | 48 | 49 | 50 |
| 7 | 45 | 1.5 | 27 | 28 | 30 | 31 | 32 | 34 | 35 | 36 | 37 | 38 | 39 | 40 | 41 | 42 | 43 | 44 |
| 2 | 30 | 31 | 32 | 34 | 35 | 36 | 37 | 38 | 39 | 40 | 41 | 42 | 43 | 44 | 45 | 46 |
| 3 | 35 | 36 | 37 | 38 | 39 | 40 | 41 | 42 | 43 | 44 | 45 | 46 | 47 | 48 | 48 | 49 |
| 8 | 0 | 1.5 | 27 | 28 | 29 | 31 | 32 | 33 | 34 | 35 | 36 | 38 | 39 | 40 | 41 | 41 | 42 | 43 |
| 2 | 29 | 31 | 32 | 33 | 34 | 35 | 36 | 38 | 39 | 40 | 41 | 41 | 42 | 43 | 44 | 45 |
| 3 | 34 | 35 | 36 | 38 | 39 | 40 | 41 | 41 | 42 | 43 | 44 | 45 | 46 | 47 | 48 | 48 |
| 8 | 15 | 1.5 | 26 | 28 | 29 | 30 | 31 | 33 | 34 | 35 | 36 | 37 | 38 | 39 | 40 | 41 | 42 | 43 |
| 2 | 29 | 30 | 31 | 33 | 34 | 35 | 36 | 37 | 38 | 39 | 40 | 41 | 42 | 43 | 44 | 44 |
| 3 | 34 | 35 | 36 | 37 | 38 | 39 | 40 | 41 | 42 | 43 | 44 | 44 | 45 | 46 | 47 | 48 |
| 8 | 30 | 1.5 | 26 | 27 | 28 | 30 | 31 | 32 | 33 | 34 | 35 | 36 | 37 | 38 | 39 | 40 | 41 | 42 |
| 2 | 28 | 30 | 31 | 32 | 33 | 34 | 35 | 36 | 37 | 38 | 39 | 40 | 41 | 42 | 43 | 44 |
| 3 | 33 | 34 | 35 | 36 | 37 | 38 | 39 | 40 | 41 | 42 | 43 | 44 | 45 | 45 | 46 | 47 |
| 8 | 45 | 1.5 | 25 | 27 | 28 | 29 | 30 | 32 | 33 | 34 | 35 | 36 | 37 | 38 | 39 | 40 | 41 | 41 |
| 2 | 28 | 29 | 30 | 32 | 33 | 34 | 35 | 36 | 37 | 38 | 39 | 40 | 41 | 41 | 42 | 43 |
| 3 | 33 | 34 | 35 | 36 | 37 | 38 | 39 | 40 | 41 | 41 | 42 | 43 | 44 | 45 | 46 | 46 |
| 9 | 0 | 1.5 | 25 | 26 | 28 | 29 | 30 | 31 | 32 | 33 | 34 | 35 | 36 | 37 | 38 | 39 | 40 | 41 |
| 2 | 28 | 29 | 30 | 31 | 32 | 33 | 34 | 35 | 36 | 37 | 38 | 39 | 40 | 41 | 42 | 42 |
| 3 | 32 | 33 | 34 | 35 | 36 | 37 | 38 | 39 | 40 | 41 | 42 | 42 | 43 | 44 | 45 | 46 |
| 9 | 15 | 1.5 | 25 | 26 | 27 | 28 | 30 | 31 | 32 | 33 | 34 | 35 | 36 | 37 | 38 | 39 | 39 | 40 |
| 2 | 27 | 28 | 30 | 31 | 32 | 33 | 34 | 35 | 36 | 37 | 38 | 39 | 39 | 40 | 41 | 42 |
| 3 | 32 | 33 | 34 | 35 | 36 | 37 | 38 | 39 | 39 | 40 | 41 | 42 | 43 | 43 | 44 | 45 |
| 9 | 30 | 1.5 | 24 | 26 | 27 | 28 | 29 | 30 | 31 | 32 | 33 | 34 | 35 | 36 | 37 | 38 | 39 | 40 |
| 2 | 27 | 28 | 29 | 30 | 31 | 32 | 33 | 34 | 35 | 36 | 37 | 38 | 39 | 40 | 41 | 41 |
| 3 | 31 | 32 | 33 | 34 | 35 | 36 | 37 | 38 | 39 | 40 | 41 | 41 | 42 | 43 | 44 | 44 |
| 9 | 45 | 1.5 | 24 | 25 | 27 | 28 | 29 | 30 | 31 | 32 | 33 | 34 | 35 | 36 | 37 | 38 | 38 | 39 |
| 2 | 27 | 28 | 29 | 30 | 31 | 32 | 33 | 34 | 35 | 36 | 37 | 38 | 38 | 39 | 40 | 41 |
| 3 | 31 | 32 | 33 | 34 | 35 | 36 | 37 | 38 | 38 | 39 | 40 | 41 | 42 | 42 | 43 | 44 |
| 10 | 0 | 1.5 | 24 | 25 | 26 | 27 | 29 | 30 | 31 | 32 | 33 | 34 | 34 | 35 | 36 | 37 | 38 | 39 |
| 2 | 26 | 27 | 29 | 30 | 31 | 32 | 33 | 34 | 34 | 35 | 36 | 37 | 38 | 39 | 40 | 40 |
| 3 | 31 | 32 | 33 | 34 | 34 | 35 | 36 | 37 | 38 | 39 | 40 | 40 | 41 | 42 | 43 | 43 |
| 10 | 15 | 1.5 | 23 | 25 | 26 | 27 | 28 | 29 | 30 | 31 | 32 | 33 | 34 | 35 | 36 | 37 | 37 | 38 |
| 2 | 26 | 27 | 28 | 29 | 30 | 31 | 32 | 33 | 34 | 35 | 36 | 37 | 37 | 38 | 39 | 40 |
| 3 | 30 | 31 | 32 | 33 | 34 | 35 | 36 | 37 | 37 | 38 | 39 | 40 | 41 | 41 | 42 | 43 |
| 10 | 30 | 1.5 | 23 | 24 | 26 | 27 | 28 | 29 | 30 | 31 | 32 | 33 | 34 | 35 | 35 | 36 | 37 | 38 |
| 2 | 26 | 27 | 28 | 29 | 30 | 31 | 32 | 33 | 34 | 35 | 35 | 36 | 37 | 38 | 39 | 39 |
| 3 | 30 | 31 | 32 | 33 | 34 | 35 | 35 | 36 | 37 | 38 | 39 | 39 | 40 | 41 | 42 | 42 |
| 10 | 45 | 1.5 | 23 | 24 | 25 | 26 | 27 | 29 | 30 | 30 | 31 | 32 | 33 | 34 | 35 | 36 | 37 | 37 |
| 2 | 25 | 26 | 27 | 29 | 30 | 30 | 31 | 32 | 33 | 34 | 35 | 36 | 37 | 37 | 38 | 39 |
| 3 | 30 | 30 | 31 | 32 | 33 | 34 | 35 | 36 | 37 | 37 | 38 | 39 | 40 | 40 | 41 | 42 |
| 11 | 0 | 1.5 | 23 | 24 | 25 | 26 | 27 | 28 | 29 | 30 | 31 | 32 | 33 | 34 | 35 | 35 | 36 | 37 |
| 2 | 25 | 26 | 27 | 28 | 29 | 30 | 31 | 32 | 33 | 34 | 35 | 35 | 36 | 37 | 38 | 38 |
| 3 | 29 | 30 | 31 | 32 | 33 | 34 | 35 | 35 | 36 | 37 | 38 | 38 | 39 | 40 | 41 | 41 |
| 11 | 15 | 1.5 | 22 | 24 | 25 | 26 | 27 | 28 | 29 | 30 | 31 | 32 | 32 | 33 | 34 | 35 | 36 | 37 |
| 2 | 25 | 26 | 27 | 28 | 29 | 30 | 31 | 32 | 32 | 33 | 34 | 35 | 36 | 37 | 37 | 38 |
| 3 | 29 | 30 | 31 | 32 | 32 | 33 | 34 | 35 | 36 | 37 | 37 | 38 | 39 | 39 | 40 | 41 |
| 11 | 30 | 1.5 | 22 | 23 | 24 | 26 | 27 | 28 | 29 | 29 | 30 | 31 | 32 | 33 | 34 | 35 | 35 | 36 |
| 2 | 24 | 26 | 27 | 28 | 29 | 29 | 30 | 31 | 32 | 33 | 34 | 35 | 35 | 36 | 37 | 38 |
| 3 | 29 | 29 | 30 | 31 | 32 | 33 | 34 | 35 | 35 | 36 | 37 | 38 | 38 | 39 | 40 | 40 |
| 11 | 45 | 1.5 | 22 | 23 | 24 | 25 | 26 | 27 | 28 | 29 | 30 | 31 | 32 | 33 | 33 | 34 | 35 | 36 |
| 2 | 24 | 25 | 26 | 27 | 28 | 29 | 30 | 31 | 32 | 33 | 33 | 34 | 35 | 36 | 36 | 37 |
| 3 | 28 | 29 | 30 | 31 | 32 | 33 | 33 | 34 | 35 | 36 | 36 | 37 | 38 | 39 | 39 | 40 |
| 12 | 0 | 1.5 | 22 | 23 | 24 | 25 | 26 | 27 | 28 | 29 | 30 | 31 | 31 | 32 | 33 | 34 | 35 | 35 |
| 2 | 24 | 25 | 26 | 27 | 28 | 29 | 30 | 31 | 31 | 32 | 33 | 34 | 35 | 35 | 36 | 37 |
| 3 | 28 | 29 | 30 | 31 | 31 | 32 | 33 | 34 | 35 | 35 | 36 | 37 | 38 | 38 | 39 | 40 |
| 12 | 15 | 1.5 | 21 | 23 | 24 | 25 | 26 | 27 | 28 | 29 | 29 | 30 | 31 | 32 | 33 | 34 | 34 | 35 |
| 2 | 24 | 25 | 26 | 27 | 28 | 29 | 29 | 30 | 31 | 32 | 33 | 34 | 34 | 35 | 36 | 36 |
| 3 | 28 | 29 | 29 | 30 | 31 | 32 | 33 | 34 | 34 | 35 | 36 | 36 | 37 | 38 | 38 | 39 |
| 12 | 30 | 1.5 | 21 | 22 | 23 | 24 | 25 | 26 | 27 | 28 | 29 | 30 | 31 | 32 | 32 | 33 | 34 | 35 |
| 2 | 23 | 24 | 25 | 26 | 27 | 28 | 29 | 30 | 31 | 32 | 32 | 33 | 34 | 35 | 35 | 36 |
| 3 | 27 | 28 | 29 | 30 | 31 | 32 | 32 | 33 | 34 | 35 | 35 | 36 | 37 | 37 | 38 | 39 |
| 12 | 45 | 1.5 | 21 | 22 | 23 | 24 | 25 | 26 | 27 | 28 | 29 | 30 | 31 | 31 | 32 | 33 | 34 | 34 |
| 2 | 23 | 24 | 25 | 26 | 27 | 28 | 29 | 30 | 31 | 31 | 32 | 33 | 34 | 34 | 35 | 36 |
| 3 | 27 | 28 | 29 | 30 | 31 | 31 | 32 | 33 | 34 | 34 | 35 | 36 | 36 | 37 | 38 | 38 |
| 13 | 0 | 1.5 | 21 | 22 | 23 | 24 | 25 | 26 | 27 | 28 | 29 | 29 | 30 | 31 | 32 | 33 | 33 | 34 |
| 2 | 23 | 24 | 25 | 26 | 27 | 28 | 29 | 29 | 30 | 31 | 32 | 33 | 33 | 34 | 35 | 35 |
| 3 | 27 | 28 | 29 | 29 | 30 | 31 | 32 | 33 | 33 | 34 | 35 | 35 | 36 | 37 | 37 | 38 |
| 13 | 15 | 1.5 | 21 | 22 | 23 | 24 | 25 | 26 | 27 | 27 | 28 | 29 | 30 | 31 | 31 | 32 | 33 | 34 |
| 2 | 23 | 24 | 25 | 26 | 27 | 27 | 28 | 29 | 30 | 31 | 31 | 32 | 33 | 34 | 34 | 35 |
| 3 | 27 | 27 | 28 | 29 | 30 | 31 | 31 | 32 | 33 | 34 | 34 | 35 | 36 | 36 | 37 | 38 |
| 13 | 30 | 1.5 | 20 | 22 | 23 | 24 | 25 | 25 | 26 | 27 | 28 | 29 | 30 | 30 | 31 | 32 | 33 | 33 |
| 2 | 23 | 24 | 25 | 25 | 26 | 27 | 28 | 29 | 30 | 30 | 31 | 32 | 33 | 33 | 34 | 35 |
| 3 | 26 | 27 | 28 | 29 | 30 | 30 | 31 | 32 | 33 | 33 | 34 | 35 | 35 | 36 | 37 | 37 |
| 13 | 45 | 1.5 | 20 | 21 | 22 | 23 | 24 | 25 | 26 | 27 | 28 | 29 | 29 | 30 | 31 | 32 | 32 | 33 |
| 2 | 22 | 23 | 24 | 25 | 26 | 27 | 28 | 29 | 29 | 30 | 31 | 32 | 32 | 33 | 34 | 34 |
| 3 | 26 | 27 | 28 | 29 | 29 | 30 | 31 | 32 | 32 | 33 | 34 | 34 | 35 | 36 | 36 | 37 |
| 14 | 0 | 1.5 | 20 | 21 | 22 | 23 | 24 | 25 | 26 | 27 | 28 | 28 | 29 | 30 | 31 | 31 | 32 | 33 |
| 2 | 22 | 23 | 24 | 25 | 26 | 27 | 28 | 28 | 29 | 30 | 31 | 31 | 32 | 33 | 33 | 34 |
| 3 | 26 | 27 | 28 | 28 | 29 | 30 | 31 | 31 | 32 | 33 | 33 | 34 | 35 | 35 | 36 | 37 |
| 14 | 15 | 1.5 | 20 | 21 | 22 | 23 | 24 | 25 | 26 | 26 | 27 | 28 | 29 | 30 | 30 | 31 | 32 | 32 |
| 2 | 22 | 23 | 24 | 25 | 26 | 26 | 27 | 28 | 29 | 30 | 30 | 31 | 32 | 32 | 33 | 34 |
| 3 | 26 | 26 | 27 | 28 | 29 | 30 | 30 | 31 | 32 | 32 | 33 | 34 | 34 | 35 | 36 | 36 |
| 14 | 30 | 1.5 | 20 | 21 | 22 | 23 | 24 | 25 | 25 | 26 | 27 | 28 | 29 | 29 | 30 | 31 | 31 | 32 |
| 2 | 22 | 23 | 24 | 25 | 25 | 26 | 27 | 28 | 29 | 29 | 30 | 31 | 31 | 32 | 33 | 33 |
| 3 | 25 | 26 | 27 | 28 | 29 | 29 | 30 | 31 | 31 | 32 | 33 | 33 | 34 | 35 | 35 | 36 |
| 14 | 45 | 1.5 | 20 | 21 | 22 | 23 | 23 | 24 | 25 | 26 | 27 | 28 | 28 | 29 | 30 | 31 | 31 | 32 |
| 2 | 22 | 23 | 23 | 24 | 25 | 26 | 27 | 28 | 28 | 29 | 30 | 31 | 31 | 32 | 33 | 33 |
| 3 | 25 | 26 | 27 | 28 | 28 | 29 | 30 | 31 | 31 | 32 | 33 | 33 | 34 | 34 | 35 | 36 |
| 15 | 0 | 1.5 | 19 | 20 | 21 | 22 | 23 | 24 | 25 | 26 | 27 | 27 | 28 | 29 | 30 | 30 | 31 | 32 |
| 2 | 21 | 22 | 23 | 24 | 25 | 26 | 27 | 27 | 28 | 29 | 30 | 30 | 31 | 32 | 32 | 33 |
| 3 | 25 | 26 | 27 | 27 | 28 | 29 | 30 | 30 | 31 | 32 | 32 | 33 | 34 | 34 | 35 | 35 |
| 15 | 15 | 1.5 | 19 | 20 | 21 | 22 | 23 | 24 | 25 | 26 | 26 | 27 | 28 | 29 | 29 | 30 | 31 | 31 |
| 2 | 21 | 22 | 23 | 24 | 25 | 26 | 26 | 27 | 28 | 29 | 29 | 30 | 31 | 31 | 32 | 33 |
| 3 | 25 | 26 | 26 | 27 | 28 | 29 | 29 | 30 | 31 | 31 | 32 | 33 | 33 | 34 | 34 | 35 |
| 15 | 30 | 1.5 | 19 | 20 | 21 | 22 | 23 | 24 | 25 | 25 | 26 | 27 | 28 | 28 | 29 | 30 | 30 | 31 |
| 2 | 21 | 22 | 23 | 24 | 25 | 25 | 26 | 27 | 28 | 28 | 29 | 30 | 30 | 31 | 32 | 32 |
| 3 | 25 | 25 | 26 | 27 | 28 | 28 | 29 | 30 | 30 | 31 | 32 | 32 | 33 | 34 | 34 | 35 |
| 15 | 45 | 1.5 | 19 | 20 | 21 | 22 | 23 | 24 | 24 | 25 | 26 | 27 | 27 | 28 | 29 | 30 | 30 | 31 |
| 2 | 21 | 22 | 23 | 24 | 24 | 25 | 26 | 27 | 27 | 28 | 29 | 30 | 30 | 31 | 31 | 32 |
| 3 | 24 | 25 | 26 | 27 | 27 | 28 | 29 | 30 | 30 | 31 | 31 | 32 | 33 | 33 | 34 | 35 |
| 16 | 0 | 1.5 | 19 | 20 | 21 | 22 | 23 | 23 | 24 | 25 | 26 | 27 | 27 | 28 | 29 | 29 | 30 | 31 |
| 2 | 21 | 22 | 23 | 23 | 24 | 25 | 26 | 27 | 27 | 28 | 29 | 29 | 30 | 31 | 31 | 32 |
| 3 | 24 | 25 | 26 | 27 | 27 | 28 | 29 | 29 | 30 | 31 | 31 | 32 | 32 | 33 | 34 | 34 |
| 16 | 15 | 1.5 | 19 | 20 | 21 | 21 | 22 | 23 | 24 | 25 | 26 | 26 | 27 | 28 | 28 | 29 | 30 | 30 |
| 2 | 21 | 21 | 22 | 23 | 24 | 25 | 26 | 26 | 27 | 28 | 28 | 29 | 30 | 30 | 31 | 32 |
| 3 | 24 | 25 | 26 | 26 | 27 | 28 | 28 | 29 | 30 | 30 | 31 | 32 | 32 | 33 | 33 | 34 |
| 16 | 30 | 1.5 | 18 | 19 | 20 | 21 | 22 | 23 | 24 | 25 | 25 | 26 | 27 | 28 | 28 | 29 | 30 | 30 |
| 2 | 20 | 21 | 22 | 23 | 24 | 25 | 25 | 26 | 27 | 28 | 28 | 29 | 30 | 30 | 31 | 31 |
| 3 | 24 | 25 | 25 | 26 | 27 | 28 | 28 | 29 | 30 | 30 | 31 | 31 | 32 | 33 | 33 | 34 |
| 16 | 45 | 1.5 | 18 | 19 | 20 | 21 | 22 | 23 | 24 | 24 | 25 | 26 | 27 | 27 | 28 | 29 | 29 | 30 |
| 2 | 20 | 21 | 22 | 23 | 24 | 24 | 25 | 26 | 27 | 27 | 28 | 29 | 29 | 30 | 31 | 31 |
| 3 | 24 | 24 | 25 | 26 | 27 | 27 | 28 | 29 | 29 | 30 | 31 | 31 | 32 | 32 | 33 | 33 |
| 17 | 0 | 1.5 | 18 | 19 | 20 | 21 | 22 | 23 | 23 | 24 | 25 | 26 | 26 | 27 | 28 | 28 | 29 | 30 |
| 2 | 20 | 21 | 22 | 23 | 23 | 24 | 25 | 26 | 26 | 27 | 28 | 28 | 29 | 30 | 30 | 31 |
| 3 | 23 | 24 | 25 | 26 | 26 | 27 | 28 | 28 | 29 | 30 | 30 | 31 | 32 | 32 | 33 | 33 |
| 17 | 15 | 1.5 | 18 | 19 | 20 | 21 | 22 | 23 | 23 | 24 | 25 | 26 | 26 | 27 | 28 | 28 | 29 | 29 |
| 2 | 20 | 21 | 22 | 23 | 23 | 24 | 25 | 26 | 26 | 27 | 28 | 28 | 29 | 29 | 30 | 31 |
| 3 | 23 | 24 | 25 | 26 | 26 | 27 | 28 | 28 | 29 | 29 | 30 | 31 | 31 | 32 | 32 | 33 |
| 17 | 30 | 1.5 | 18 | 19 | 20 | 21 | 22 | 22 | 23 | 24 | 25 | 25 | 26 | 27 | 27 | 28 | 29 | 29 |
| 2 | 20 | 21 | 22 | 22 | 23 | 24 | 25 | 25 | 26 | 27 | 27 | 28 | 29 | 29 | 30 | 30 |
| 3 | 23 | 24 | 25 | 25 | 26 | 27 | 27 | 28 | 29 | 29 | 30 | 30 | 31 | 32 | 32 | 33 |
| 17 | 45 | 1.5 | 18 | 19 | 20 | 21 | 21 | 22 | 23 | 24 | 24 | 25 | 26 | 27 | 27 | 28 | 28 | 29 |
| 2 | 20 | 21 | 21 | 22 | 23 | 24 | 24 | 25 | 26 | 27 | 27 | 28 | 28 | 29 | 30 | 30 |
| 3 | 23 | 24 | 24 | 25 | 26 | 27 | 27 | 28 | 28 | 29 | 30 | 30 | 31 | 31 | 32 | 33 |
| 18 | 0 | 1.5 | 18 | 19 | 20 | 20 | 21 | 22 | 23 | 24 | 24 | 25 | 26 | 26 | 27 | 28 | 28 | 29 |
| 2 | 20 | 20 | 21 | 22 | 23 | 24 | 24 | 25 | 26 | 26 | 27 | 28 | 28 | 29 | 29 | 30 |
| 3 | 23 | 24 | 24 | 25 | 26 | 26 | 27 | 28 | 28 | 29 | 29 | 30 | 31 | 31 | 32 | 32 |
| 18 | 15 | 1.5 | 18 | 19 | 19 | 20 | 21 | 22 | 23 | 23 | 24 | 25 | 26 | 26 | 27 | 27 | 28 | 29 |
| 2 | 19 | 20 | 21 | 22 | 23 | 23 | 24 | 25 | 26 | 26 | 27 | 27 | 28 | 29 | 29 | 30 |
| 3 | 23 | 23 | 24 | 25 | 26 | 26 | 27 | 27 | 28 | 29 | 29 | 30 | 30 | 31 | 32 | 32 |
| 18 | 30 | 1.5 | 17 | 18 | 19 | 20 | 21 | 22 | 23 | 23 | 24 | 25 | 25 | 26 | 27 | 27 | 28 | 28 |
| 2 | 19 | 20 | 21 | 22 | 23 | 23 | 24 | 25 | 25 | 26 | 27 | 27 | 28 | 28 | 29 | 30 |
| 3 | 23 | 23 | 24 | 25 | 25 | 26 | 27 | 27 | 28 | 28 | 29 | 30 | 30 | 31 | 31 | 32 |
| 18 | 45 | 1.5 | 17 | 18 | 19 | 20 | 21 | 22 | 22 | 23 | 24 | 24 | 25 | 26 | 26 | 27 | 28 | 28 |
| 2 | 19 | 20 | 21 | 22 | 22 | 23 | 24 | 24 | 25 | 26 | 26 | 27 | 28 | 28 | 29 | 29 |
| 3 | 22 | 23 | 24 | 24 | 25 | 26 | 26 | 27 | 28 | 28 | 29 | 29 | 30 | 31 | 31 | 32 |
Disposiciones de mantenimiento en sistema de fijación de riel (Normativo)
La forma de la sección ha ido evolucionando con el tiempo hasta llegar a la sección "T" que se usa de manera general en todos los ferrocarriles del mundo. La sección "T" también se ha ido mejorando en Estados Unidos de América pasando por las que diseñaba cada Ferrocarril y posteriormente las secciones ASCE (Sociedad Americana de Ingenieros Civiles), las secciones AAR (Asociación Americana de Ferrocarriles) y finalmente las secciones RE (Ingenieros de Ferrocarriles) actual AREMA.
14.2.1. Placa de asiento
La placa de asiento tiene la función de distribuir la carga de la rueda a un área en la cara superior del durmiente para que la madera pueda resistir los esfuerzos de compresión perpendiculares a sus fibras.
La placa de asiento debe ser de acero rolado o cualquier otro material que resista la alta compresión y los esfuerzos cortantes y de flexión que se generan al asentar el riel. La placa debe tener una inclinación en el asiento del riel 1:40 limitado por dos hombros de 11 mm (7/16 in), de altura que mantengan al patín del riel en su posición. Debe tener 4 taladros cuadrados de 19 mm (3/4 in) de lado, llamados de línea, que alojan a los clavos de vía y mantienen alineado el patín del riel. Debe tener 2 o 4 taladros externos, la mitad del lado de campo y la mitad por el lado de escantillón que permiten en caso dado, fijar la placa al durmiente por medio de clavos de vía, ver Figura 16.
Figura 16 Placas de asiento. Requisitos de calidad de la estructura-superestructura de vía (Normativo)
Para efectos de la siguiente sección, en la Figura 17 se ilustran los elementos a los que se hace referencia.
Figura 17 Elementos geométricos que componen la sección transversal en balcón de la vía. Está conformada por el terraplén y la capa subrasante. De manera indicativa, mas no limitativa, se indican las normas de referencia a las que se deberán apegar, y en su caso a las regulaciones que de ello emanen para garantizar las características de los materiales a emplear.
Para tal motivo, se aplicará la Normativa para la Infraestructura del Transporte del IMT-SICT indicada en complemento con lo establecido en con lo establecido la regulación nacional e internacional vigente.
Tabla 27 Normas de referencia para los materiales que conforman el lecho o cama de vía. | Concepto | Elemento | Normas de referencia |
| Capa | Características de los materiales |
| Subestructura de vía | Lecho o cama de vía | Terraplén | N.CMT.1.01/21 (SICT-IMT, 2021) |
| Subrasante | N.CMT.1.03/21 (SICT-IMT, 2021) |
Tabla 28 Requisitos de calidad para los materiales que conforman la capa de terraplén. | Parámetro | Valor |
| Límite líquido; %, máximo | 50 |
| Valor Soporte de California (CBR); %, mínimo [1] | 5 |
| Expansión; %, máxima | 5 |
| Grado de compactación; % [2] | 90 ± 2 |
| 1 En especímenes compactados dinámicamente al porcentaje de compactación indicado en esta tabla, con un contenido de agua igual al óptimo de compactación respecto a la masa volumétrica seca máxima obtenida mediante la prueba AASHTO estándar, salvo que el proyecto indique otra cosa. 2 Respecto a la masa volumétrica seca máxima obtenida mediante la prueba AASHTO estándar, del material compactado con el contenido de agua óptimo de la prueba, salvo que el proyecto o la SICT indiquen otra cosa. Cuando el material sea no compactable, de acuerdo con lo indicado en el Manual M-MMP-1-02 Clasificación de Fragmentos de Roca y Suelos o la vigente que la sustituya, el tamaño máximo será de 75 cm; se colocará en capas del espesor mínimo que permita el máximo tamaño del material que se emplee y se bandeará, previa aplicación de un riego de agua a razón de 150 l/m3, dando como mínimo tres pasadas en toda la superficie en cada capa con un tractor de 36.7 t con orugas. |
Tabla 29 Requisitos de calidad para los materiales que conforman la capa subrasante. | Parámetro | Valor |
| Tamaño; mm, máximo | 76 |
| Límite líquido; %, máximo | 40 |
| Índice plástico; %, máximo | 12 |
| Valor Soporte de California (CBR); %, mínimo [1] | 20 |
| Expansión; %, máxima | 2 |
| Grado de compactación; % [2] | 100 ± 2 |
| 1 En especímenes compactados dinámicamente al porcentaje de compactación indicado en esta tabla, con un contenido de agua igual al óptimo de compactación respecto a la masa volumétrica seca máxima obtenida mediante la prueba AASHTO estándar, salvo que el proyecto indique otra cosa. 2 Respecto a la masa volumétrica seca máxima obtenida mediante la prueba AASHTO estándar, del material compactado con el contenido de agua óptimo de la prueba, salvo que el proyecto o la SICT indiquen otra cosa. |
El espesor de la capa compactada debe comprenderse dentro de los 15 cm (6 in) a 30 cm (12 in). Se deberá considerar el bombeo correspondiente para permitir el libre drenaje del agua.
El material comúnmente disponible para uso como subbalasto son aquellos agregados normalmente especificados y utilizado en la construcción de bases y subbases de carreteras.
Para tal motivo, se aplicará la Normativa para la Infraestructura del Transporte del IMT-SICT, N.CMT.4.02.001/21 y en su caso a las regulaciones que de ello emanen, en complemento con lo establecido en la regulación nacional e internacional vigente.
De manera enunciativa, mas no limitativa, se indican las normas de referencia a las que se deberán apegar, y en su caso, a las regulaciones que de ello emanen, para garantizar las características de los materiales a emplear. La condición de calidad deberá ser elegida por el concesionario o asignatario.
Tabla 30 Requisitos de calidad para los materiales que conforman la capa de subbalasto. | Parámetro | Valor |
| L<106 [1] | L>106 |
| Limite líquido; %, máximo | 30 | 25 |
| Índice plástico; %, máximo | 10 | 6 |
| Valor Soporte de California (CBR); %, mínimo [2] | 50 | 60 |
| Equivalente de arena; %, mínimo [2] | 30 | 40 |
| Desgaste de Los Ángeles; %, máximo [2] | 50 | 40 |
| Grado de compactación; %, mínimo [2][3] | 100 | 100 |
| 1 Número de ejes equivalentes (acumulados de 8.2 t) esperados durante la vida útil del pavimento. 2 Determinado mediante el procedimiento de prueba que corresponda. 3 Respecto a la masa volumétrica seca máxima obtenida mediante la prueba AASHTO estándar, del material compactado con el contenido de agua óptimo de la prueba, salvo que el proyecto o la SICT indiquen otra cosa. |
Como capas de firme de vía férrea, las mezclas asfálticas se pueden colocar a diferentes profundidades o espesores dependiendo de los diseños particulares. Los materiales bituminosos recomendables deberán cumplir las características de mezcla tipo PG64-22 o PG 70-22, o equivalente a cumplir de acuerdo con la normativa aplicable.
14.3.1.2. Sistemas de vía balastada, vía en placa (Slab track) o vía asfaltada
Se presentan los parámetros de calidad que debe cumplir el material para ser empleado como balasto, lo correspondiente al diseño, producción, manejo u otro parámetro correspondiente a la capa, deberán apegarse a lo establecido en la normativa aplicable.
El espesor mínimo de la capa de balasto debe ser de 30 cm (12 in). El ancho del hombro de balasto debe ser como mínimo de 30 cm (12 in). El talud recomendado de balasto será el correspondiente a una relación de 2:1.
Las muestras de campo se asegurarán de acuerdo con los métodos actuales de muestreo de ASTM, designación D 75. Las muestras de prueba se reducirán de las muestras de campo por medio de ASTM C 702.
El análisis de tamiz se realizará de acuerdo con el método de prueba ASTM, designación C 136.
El material más fino que el tamiz No. 200 se determinará de acuerdo con el método de prueba ASTM, designación C 117.
La gravedad específica y el porcentaje de absorción se determinarán de acuerdo con el método de prueba ASTM, designación C 127.
El porcentaje de grumos de arcilla y partículas desmenuzables se determinará de acuerdo con el método de prueba ASTM, designación C 142.
La resistencia a la degradación se determinará de acuerdo con el método de prueba ASTM siguiente: los materiales que tengan graduaciones que contengan partículas retenidas en el tamiz de 25 mm (1 in) deberán someterse a prueba según la norma ASTM C 535. Los materiales que tengan graduaciones que pasen el 100 % del tamiz de 25 mm (1 in) deberán someterse a prueba según la norma ASTM C 131.
Las pruebas de solidez del sulfato de sodio se realizarán de acuerdo con el método de prueba ASTM, designación C 88.
El peso unitario se determinará de acuerdo con el método de prueba ASTM, designación C 29.
El porcentaje de partículas planas, alargadas o planas y alargadas se puede determinar de acuerdo con el método de prueba estándar de ASTM, D4791, método A. La relación de dimensión utilizada en este método de prueba debe ser 1:3, o una relación promedio plana y alargada de 3.
En referencia al análisis químico, se considerará lo siguiente: 1. No se requiere análisis químico para la evaluación de materiales de tipo granito, basalto o cuarcita, siempre que los materiales estén correctamente definidos por los métodos aplicables. Los materiales carbonatados que indiquen valores de carbonato de magnesio superiores al 36 % se definirán como dolomías y los materiales carbonatados que indiquen valores de carbonato de magnesio inferiores al 28 % se definirán como calizas. El contenido de carbonato de magnesio (MgCo3)de los materiales se probará y definirá de acuerdo con ASTM C 25.
Para vías con durmientes de concreto se excluirán los materiales de carbonato, como caliza y dolomía, y aquellos con granulometría tipo No. 57.
14.3.1.2.1.1. Criterios de aceptación o rechazo
A continuación, se describen los valores límite de las pruebas según lo definido por las recomendaciones de prueba designadas. Los valores de peso unitario y gravedad específica a granel son valores mínimos, mientras que el resto son valores máximos.
Tabla 31 Valores límites para ensayos de material de balasto.
| Propiedades | Material de balasto |
| Granito y Basalto | Cuarcita | Caliza | Dolomitas | Prueba ASTM |
| Porcentaje de material que pasa el tamiz No. 200 | 1.0 % | 1.0 % | 1.0 % | 1.0 % | C 117 |
| Gravedad específica granel (ver nota 2) | 2.60 | 2.60 | 2.60 | 2.65 | C 127 |
| Porcentaje de absorción | 1.0 | 1.0 | 2.0 | 2.0 | C 127 |
| Grumos de arcilla y partículas desmenuzables | 0.5 % | 0.5 % | 0.5 % | 0.5 % | C 142 |
| Degradación (LAA) | 35 % | 30 % | 30 % | 30 % | Ver nota 1 |
| Solidez (sulfato de sodio) 5 ciclos | 5.0 % | 5.0 % | 5.0 % | 5.0 % | C 88 |
| Partículas planas o alargadas | 5.0 % | 5.0 % | 5.0 % | 5.0 % | D 4791 Método A |
| Nota 1: Materiales degradados que contienen partículas retenidas en el tamiz de 25 mm (1 in), el tamiz debe ser probado por ASTM C 535. Los materiales que tienen granulometrías con 100 % que pasan el tamiz de 25 mm (1 in) deben ser probados por ASTM C 131. Nota 2: El límite para la gravedad específica a granel es un valor mínimo. Los límites para el resto de las pruebas son valores máximos. |
La escoria de cualquier tipo ya no es recomendada, y no se aceptará como material de balasto debido a su baja resistencia eléctrica y las preocupaciones ambientales con finos liberados durante la degradación
natural del material de balasto.
14.3.1.2.1.2. Granulometría Las granulometrías a las que se graduarán los materiales para su uso como balasto de vías y patios se indican a continuación. La clasificación del balasto procesado se determinará con tamices de laboratorio que tengan aberturas de malla que cumplan con la especificación E 11 de ASTM.
Tabla 32 Granulometría de balasto recomendadas.
| Tamaño No. (Ver nota 1) | Tamaño nominal de abertura cuadrada (in) | Porcentaje que pasa |
| 3 in | 2 1/2 in | 2 in | 1 1/2 in | 1 in | 3/4 in | 1/2 in | 1/4 in | No. 4 | No. 8 |
| 24 | 2 1/2 - 3/4 | 100 | 90-100 | | 25-60 | | 0-10 | 0-5 | - | - | - |
| 25 | 2 1/2 - 3/8 | 100 | 80-100 | 60-85 | 50-70 | 25-50 | - | 5-20 | 0-10 | 0-3 | - |
| 3 | 2 - 1 | - | 100 | 95-100 | 35-70 | 0-15 | - | 0-5 | - | - | - |
| 4 A | 2 - 3/4 | - | 100 | 90-100 | 60-90 | 10-35 | 0-10 | - | 0-3 | - | - |
| 4 | 1 1/2 - 3/4 | - | - | 100 | 90-100 | 20-55 | 0-15 | - | 0-5 | - | - |
| 5 | 1 - 3/8 | - | - | - | 100 | 90-100 | 40-75 | 15-35 | 0-15 | 0-5 | - |
| 57 | 1 - No. 4 | - | - | - | 100 | 95-100 | - | 25-60 | - | 0-10 | 0-5 |
| Nota 1: Las granulometrías 24, 25, 3, 4A y 4 son materiales de balasto de vías principales. Las granulometrías 5 y 57 son materiales de balasto en patios. |
14.3.1.2.2. Vía en placa (slab track)
Estas especificaciones establecen los requisitos mínimos de calidad y son aplicables tanto para sistemas de velocidades de hasta 200 km/h (125 mph) y alta velocidad de más de 200 km/h (125 mph), para cargas por eje ligeras (trenes ligeros), cargas por eje medias (tren de cercanías, sistemas eléctricos) y cargas pesadas por eje (trenes con servicio de carga). Estas especificaciones son de aplicabilidad para:
a) Vías a nivel.
b) Vías sobre terraplenes existentes o nuevos.
c) Vías sobre túneles existentes o nuevos.
Las especificaciones complementarias correspondientes a materiales, diseño, construcción, sistemas de fijación, y/o consideraciones adicionales deberán apegarse a lo establecido en la normativa aplicable y a lo que de ello emane. En la Figura 18 se ilustra un sistema típico de vía en placa.
Figura 18 Sistema de vía en placa continua de concreto reforzado (slab track). Las cargas sobre el riel, laterales y longitudinales se considerarán de manera similar y de acuerdo con los diseños de sistemas de durmientes de concreto, de conformidad con lo establecido en la NOM-ARTF-001-2019 o aquella que la sustituya.
Para un diseño de vía con ancho de vía estándar, el ancho mínimo será de 3.2 m (10.5 ft), el espesor de la losa de concreto será el que resulte del diseño considerando tanto el efecto de fatiga como la carga estática de las ruedas, para 50,000 cargas Cooper EM-360 (E-80) con período de 50 años, se utilizará un factor de impacto del 200 % para el diseño de vía en losa de concreto armado.
Se deberán considerar los siguientes parámetros de diseño:
1. La deflexión vertical del riel no deberá exceder los 6 mm (1/4 in).
2. El esfuerzo a la flexión en el riel no debe ser mayor de 76 MPa (11,000 psi).
3. La presión de la subbase sobre la subbase no deberá exceder los 0.2 MPa (30 psi).
4. La presión de la subrasante no debe exceder los 0.14 MPa (20 psi).
El módulo de vía para sistemas de vía en placa debe encontrarse dentro del rango de 55 N/mm/mm (8,000 lb/in/in) a 70 N/mm/mm (10,000 lb/in/in), definido por la siguiente ecuación:
Ecuación 7
Donde:
= Módulo de vía, N/mm/mm (lb/in/in)
= Carga dinámica por rueda, N (lb)
= Módulo de elasticidad del acero del riel, MPa (psi)
= Momento de inercia de la sección del riel, mm4 (in4)
= Deflexión máxima del riel bajo una sola carga de rueda, en mm (in) 14.3.1.2.2.1. Materiales
a) Subrasante.
Los 61 cm (24 in) superiores deben estar libres de material orgánico y ser los adecuados para distribuir las cargas al estrato inferior. En caso de construcción en un terraplén existente o nuevo, se recomienda limitar el material arenoso a un tamaño máximo de 6 mm (1/4 in). Sin embargo, el material fino por la malla No. 200 se limitarán a un máximo del 15 % en peso.
El módulo de reacción de la subrasante (ks), sobre la que se va a construir la vía en placa debe ser como mínimo de 0.09 N/mm³ (350 lb/in³).
b) Subbase.
Las subbases estabilizadas que se han utilizado con éxito incluyen mezclas estabilizado con material bituminoso (asfalto). Algunos de los otros tipos de materiales de subbase que se consideran aceptables a estos sistemas de vía en placa son los siguientes:
a) Grava.
b) Piedra de granito.
c) Grava tratada con cemento.
d) Piedra triturada tratada con cemento.
e) Concreto Poliestireno Expandido.
El espesor mínimo será de 100 mm (4 in), según lo determine el diseño basado en el estudio geotécnico. La subbase debe sobresalir 610 mm (2 ft) más allá de cada lado de la losa de concreto.
c) Losa de concreto.
La resistencia a la compresión mínima de 28 días del concreto será de 28 MPa (4,000 psi) según lo determinado por ASTM C39.
Se empleará cemento portland y deberá cumplir con los requisitos de la Especificación C150 de ASTM. Los aditivos inclusores de aire se deben utilizar en entornos de congelación y descongelación. No se deben usar mezclas que contengan iones de cloruro.
Se deberán incluir tratamientos para la reacción de agregados alcalinos, congelación y descongelación, agentes de arrastre de aire y otras mezclas, y reacciones químicas adversas y de sulfatos.
Cuando el concreto esté sometido a ambientes agresivos, la capa superior de acero de refuerzo deberá estar provista de un sistema de protección contra la corrosión.
El armado de refuerzo adecuado debe garantizar que las grietas en el concreto no superen las 0.30 mm (0.012 in), de modo que se minimice el paso de agua o humedad al refuerzo.
14.3.1.2.2.2. Insertos de anclaje
a) Ensayo de extracción de los insertos.
Para determinar la capacidad de carga de un sistema de anclaje, se realizarán pruebas de acuerdo con la norma ASTM E1512.
Los pernos de sujeción de rieles o los insertos hembra que están incrustados en el concreto y dependen de la resistencia a la tensión del concreto para la resistencia a la extracción, la tensión de tracción en el concreto a la carga máxima no debe exceder el 6 % f'c, donde f'c = resistencia a la compresión del concreto, MPa (psi).
Como mínimo del 10 % de los insertos debe probarse aleatoriamente para una fuerza de extracción de no menos de 62,300 N (14,000 lb).
b) Ensayo de torque al inserto.
Se aplicará un par de torsión de 813 N-m (600 lb-ft) a la cabeza del perno de anclaje. El inserto se considerará aceptable si no muestra evidencia de movimiento de rotación en el concreto.
14.3.1.2.3. Tipos de fijaciones
El tipo de sujetador de fijación directa que se especificará será una función la vía en placa (línea principal, patio, etc.), la carga por eje, las velocidades del tren y las consideraciones de mantenimiento.
a) Tasa de resorte.
La tasa de resorte vertical "K" de los sujetadores de fijación directa normalmente deberá estar entre 90,000 lb/in (15,8 kN/mm) a 52.5kN/mm (300,000 lb/in). La gráfica de curva carga-deflexión (la tasa de resorte del sujetador) debe estar dentro del 20 % de la curva constante calculada en cada incremento de 4,450 N (1,000 lb).
b) Clips elásticos.
La carga puntual recomendada para clips elásticos debe estar en el rango de 9,800 N (2,200 lb) a 14,240 N (3,200 lb).
c) Ensayos de aceptación para fijaciones.
Se considerarán de manera similar y de acuerdo con lo establecido en los diseños sistema de durmientes de concreto, NOM-ARTF-001-2019 o aquella que la sustituya.
__________________________________