DECRETO por el que se expropia por causa de utilidad pública la superficie de 09-19-64 hectáreas, del ejido "N.C.P.E. Valentín Gómez Farías", municipio de Calakmul, estado de Campeche, a favor de Fonatur Tren Maya, S.A. de C.V.

Al margen un sello con el Escudo Nacional, que dice: Estados Unidos Mexicanos.- Presidencia de la República.

ANDRÉS MANUEL LÓPEZ OBRADOR, presidente de los Estados Unidos Mexicanos, en ejercicio de la facultad que me confiere el artículo 89, fracción I, de la Constitución Política de los Estados Unidos Mexicanos, con fundamento en los artículos 27, párrafos primero y segundo, de la propia Constitución; 13, 41 y 42 de la Ley Orgánica de la Administración Pública Federal; 93, fracciones I y VII, y 94 de la Ley Agraria; 60, 61 y 75 del Reglamento de la Ley Agraria en Materia de Ordenamiento de la Propiedad Rural, y
RESULTANDO
1. Que, mediante resolución presidencial publicada en el Diario Oficial de la Federación (DOF) el 2 de agosto de 1973, se dotó al "nuevo centro de población ejidal (...) Valentín Gómez Farías", municipio de Champotón, estado de Campeche, la superficie de 1,500-00-00 hectáreas. Dicha resolución se ejecutó el 27 de enero de 1981;
2. Que, mediante asamblea general de ejidatarios de 2 de marzo de 1996, se determinó la delimitación, destino y asignación de tierras del ejido "N.C.P.E. Valentín Gómez Farías", municipio de Champotón, estado de Campeche;
3. Que, el 1 de abril de 1996, el ejido "N.C.P.E. Valentín Gómez Farías", municipio de Calakmul, estado de Campeche, quedó inscrito en el sistema de inscripciones del Registro Agrario Nacional (RAN) con el folio de ejidos y comunidades 04010013102081973R;
4. Que el Congreso Constituyente del Estado Libre y Soberano de Campeche, mediante decreto número 244 publicado el 31 de diciembre de 1996 en el Periódico Oficial del estado de Campeche, creó el municipio libre de Calakmul;
5. Que en escritura pública 98,727, de 5 de diciembre de 2018, se protocolizó el cambio de denominación de Fonatur Operadora Portuaria, S.A. de C.V., por el de Fonatur Tren Maya, S.A. de C.V. En la cláusula CUARTA de la citada escritura pública consta, como parte de su objeto social:
c) Tramitar todo tipo de asignaciones y permisos y ejecutar la construcción, operación, explotación, conservación y mantenimiento de vías férreas en el sureste de la República Mexicana.
d) Tramitar todo tipo de asignaciones y permisos y prestar el servicio público de transporte ferroviario de pasajeros o de carga, por sí mismo mediante asignación o de manera conjunta con concesionarios.
e) Tramitar todo tipo de asignaciones y permisos para prestar servicios auxiliares ferroviarios, así como todo tipo de servicios relacionados con la infraestructura ferroviaria.
(...)
g) Celebrar todo tipo de actos jurídicos por los cuales otorgue o reciba el uso y aprovechamiento de bienes muebles e inmuebles, así como el adquirirlos o enajenarlos, comprendidos en instalaciones turísticas o inmobiliarias de cualquier naturaleza, en cualquier destino turístico, polos de desarrollo turístico, Centros Integralmente Planeados, y en Centros Turísticos Sustentables del Fondo Nacional del Fomento al Turismo (Fonatur), en el sureste de la República Mexicana.
6. Que el Plan Nacional de Desarrollo 2019-2024, aprobado por el Senado de la República, y publicado en el DOF el 12 de julio de 2019, establece los programas y proyectos que constituyen las prioridades de atención estratégica a problemas públicos identificados. Asimismo, expone como una de las tareas centrales impulsar la reactivación de la economía, para que esta vuelva a crecer a tasas aceptables y se fortalezca el mercado interno y el empleo mediante programas sectoriales, proyectos regionales y obras de infraestructura;
7. Que, en el capítulo "Proyectos regionales" de dicho plan nacional, se dispone expresamente:
1. El Tren Maya es el más importante proyecto de infraestructura, desarrollo socioeconómico y turismo del presente sexenio. Tendrá un recorrido de mil 525 kilómetros, pasará por los estados de Chiapas, Tabasco, Campeche, Yucatán y Quintana Roo e interconectará las principales ciudades y sitios turísticos de la Península de Yucatán.
El Tren Maya es un proyecto orientado a incrementar la derrama económica del turismo en la Península de Yucatán, crear empleos, impulsar el desarrollo sostenible, proteger el medio ambiente de la zona desalentando actividades como la tala ilegal y el tráfico de especies y propiciar el ordenamiento territorial de la región. Se procurará integrar a la obra y a sus beneficios a los pobladores; se gestionarán los derechos de vía que aún no se tengan mediante acuerdos con los propietarios de los terrenos respectivos; se buscarán acuerdos benéficos en los casos en los que las vías de propiedad federal se encuentren invadidas y se pedirá la aprobación de las comunidades y pueblos originarios mediante consultas.
8. Que, mediante publicación en el DOF el 21 de abril de 2020, el Gobierno federal otorgó, por conducto de la entonces Secretaría de Comunicaciones y Transportes, a la empresa de participación estatal mayoritaria Fonatur Tren Maya, S.A. de C.V., la asignación para construir, operar y explotar la vía general de comunicación ferroviaria denominada Tren Maya, la cual incluye la prestación del servicio público de transporte ferroviario de carga y de pasajeros, y los permisos para prestar los servicios auxiliares requeridos;
9. Que los programas sectoriales de Desarrollo Agrario, Territorial y Urbano 2020-2024 y de Turismo 2020-2024, publicados en el DOF el 26 de junio y 3 de julio, respectivamente, ambos de 2020, establecen que la construcción del Tren Maya es el compromiso más relevante de infraestructura para impulsar el desarrollo socioeconómico y turístico de la historia del sureste del país y fortalecer la integración de cadenas productivas en la península de Yucatán, así como para elevar la calidad de los servicios turísticos y fomentar la capacitación y profesionalización del capital humano que forma parte de esta industria;
10. Que el Programa Institucional 2020-2024 del Fondo Nacional de Fomento al Turismo, publicado el 20 de noviembre de 2020 en el DOF, tiene como uno de sus objetivos prioritarios en su numeral 7.1 "Relevancia del Objetivo prioritario 1: Desarrollar el Proyecto Regional Tren Maya en los estados de Chiapas, Tabasco, Campeche, Yucatán y Quintana Roo";
11. Que en cumplimiento del Programa Institucional 2020-2024 del Fondo Nacional de Fomento al Turismo, Fonatur Tren Maya, S.A. de C.V. elaboró dictámenes técnicos de viabilidad del proyecto Tren Maya, en los que se concluye que es de primera necesidad contar con un servicio confiable, eficiente, cómodo y seguro que permita, por una parte, el transporte de mercancías y, por otra, movilizar a sus usuarios con altos estándares de calidad, acceso y cobertura en el área urbana y conurbada. Dichos dictámenes acreditan que el proyecto Tren Maya satisface el interés colectivo, e impulsa las actividades económicas del sur-sureste del país que garantizan el derecho a la movilidad en condiciones de seguridad, accesibilidad, comodidad, eficiencia, calidad e igualdad. Asimismo, la construcción del Tren Maya permitirá el desarrollo socioeconómico y turístico; reducirá los niveles de pobreza que existen en la zona, y mejorará las condiciones de vida de quienes habitan y transitan por la zona;
12. Que el Programa Institucional 2020-2024 de Fonatur Tren Maya, S.A. de C.V., publicado el 24 de diciembre de 2020 en el DOF, tiene como uno de sus objetivos prioritarios en su numeral 6 "Relevancia del objetivo prioritario 1.- Ejecutar el Proyecto Prioritario Integral Tren Maya para mejorar la conectividad, movilidad y el desarrollo integral sostenible del sureste";
13. Que Fonatur Tren Maya, S.A. de C.V., es una empresa de participación estatal mayoritaria sectorizada a la Secretaría de Turismo, como se indica en la "Relación de Entidades Paraestatales de la Administración Pública Federal", publicada en el DOF el 12 de agosto de 2022;
 
14. Que, el 15 de octubre del año 2022, el ejido "N.C.P.E. Valentín Gómez Farías", en asamblea general, aprobó la celebración del convenio de ocupación previa a título gratuito con Fonatur Tren Maya, S.A. de C.V., respecto de tierras de uso común que comprenden la superficie de 09-19-58.52 hectáreas. Dicho convenio fue suscrito por los integrantes del comisariado ejidal, en cumplimiento de los artículos 95 de la Ley Agraria y 56 del Reglamento de la Ley Agraria en Materia de Ordenamiento de la Propiedad Rural (RLAMOPR);
15. Que Fonatur Tren Maya, S.A. de C.V., mediante oficio número FTM/AZH/1708/2022, de 1 de noviembre de 2022, y con fundamento en la Constitución Política de los Estados Unidos Mexicanos (CPEUM); la Ley Agraria y el RLAMOPR, solicitó al titular de la Secretaría de Desarrollo Agrario, Territorial y Urbano (Sedatu), la expropiación, por causa de utilidad pública, de la superficie de 9-19-58.52 hectáreas de terrenos del ejido "N.C.P.E. Valentín Gómez Farías", municipio de Calakmul, estado de Campeche, para destinarla a la construcción de obras de infraestructura ferroviaria y operación del Proyecto Tren Maya, Tramo 7 Chetumal-Escárcega;
16. Que la Dirección General de Ordenamiento de la Propiedad Rural (DGOPR) de la Sedatu, el 10 de noviembre de 2022, emitió acuerdo de instauración del procedimiento de expropiación con número de expediente DGOPR-DE/SOE04CC/0049FONATUR TREN MAYA, S.A. de C.V/2022;
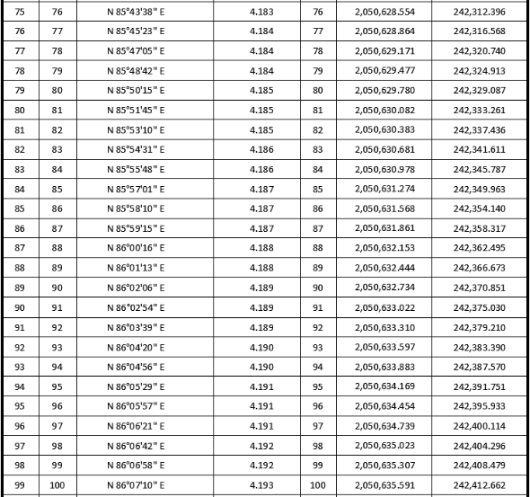
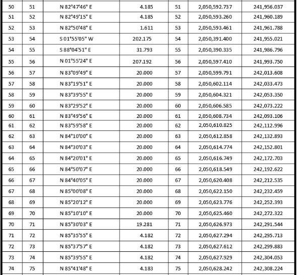
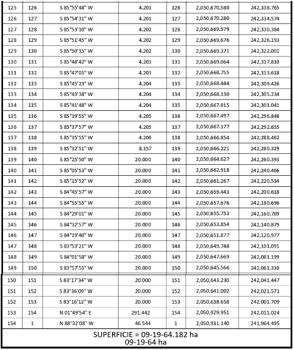
17. Que el comisionado técnico del RAN y el comisionado agrario de la Sedatu rindieron el "informe de comisión de Trabajos Técnicos e Informativos de Expropiación", de 23 de diciembre de 2022, en el que señalan que la superficie real a expropiar al ejido "N.C.P.E. Valentín Gómez Farías", municipio de Calakmul, estado de Campeche, es de 09-19-64 hectáreas de terrenos de temporal de uso común, lo cual se describe en el siguiente plano y cuadro de construcción:


 
 

 

 

 
 


18. Que Fonatur Tren Maya S.A. de C.V., mediante oficio FTM/AZH/182-9/2023, de 3 de febrero de 2023, informó a la Sedatu que la superficie a expropiar es para destinarse a la construcción de obras de infraestructura ferroviaria, operación del Proyecto Tren Maya y sus obras complementarias; en virtud de que en el resultando 15 del presente decreto se señala que se destinará únicamente a la construcción de obras de infraestructura ferroviaria y operación del Proyecto Tren Maya;
19. Que, el 2 de marzo de 2023, la DGOPR emitió acuerdo por el que se regulariza el procedimiento expropiatorio respecto del destino de la superficie a expropiar, en virtud de que el correcto es para destinarse a "La construcción de obras de infraestructura ferroviaria, operación del proyecto Tren Maya y sus obras complementarias";
20. Que el Instituto de Administración y Avalúos de Bienes Nacionales (Indaabin) emitió el dictamen valuatorio y anexo único, con número secuencial 04-23-992 y genérico G-34404-ZND, de 19 de mayo de 2023, en el que determinó que el monto total de indemnización asciende a $769,444.67 (setecientos sesenta y nueve mil cuatrocientos cuarenta y cuatro pesos 67/100 M.N.) con base en el valor comercial de la superficie a expropiar;
21. Que la Dirección General de Ordenamiento Territorial de la Sedatu, el 30 de mayo de 2023, emitió opinión número SOTA/DGOT/044/CAM/FONATUR TM/0015/2023, en la que "emite Opinión Técnica Condicionada respecto del procedimiento de expropiación a favor de Fonatur Tren Maya S.A de C.V., por una superficie de 09-19-64 hectáreas conformadas por un (I) polígono de terreno perteneciente al ejido N.C.P.E. Valentín Gómez Farías, ubicado en el municipio de Calakmul, estado de Campeche";
22. Que a los integrantes del comisariado del ejido "N.C.P.E. Valentín Gómez Farías" se les notificó el 3 de junio de 2023, la solicitud de expropiación, el acuerdo de instauración, el acuerdo de regularización, la superficie real a expropiar, y el dictamen valuatorio y anexo único con número secuencial 04-23-992 y genérico G-34404-ZND. Asimismo, se les informó que contaban con 10 días hábiles para que manifestaran lo que a su interés conviniera, en dicho plazo no realizaron manifestaciones;
23. Que la DGOPR, el 12 de junio de 2023, emitió dictamen en el que determinó "procedente la expropiación por causa de utilidad pública, a favor de FONATUR Tren Maya, S.A. de C.V. para destinarse a la construcción de obras de infraestructura ferroviaria, operación del proyecto Tren Maya y sus obras complementarias, con una superficie 09-19-64 hectáreas (nueve hectáreas, diecinueve áreas, sesenta y cuatro centiáreas) de terrenos de temporal de uso común del ejido "N.C.P.E Valentín Gómez Farías", municipio de Calakmul, Estado de Campeche", y
CONSIDERANDO
I. Que, de conformidad con los artículos 27, párrafos primero y segundo, de la CPEUM; 93, fracciones I y VII, y 94 de la Ley Agraria; 75 del RLAMOPR, procede, mediante indemnización y previo decreto expedido por el titular del Ejecutivo Federal publicado en el DOF, la expropiación por causa de utilidad pública, como lo es la construcción de obras de infraestructura ferroviaria y operación del Proyecto Tren Maya y sus obras complementarias;
II. Que los documentos señalados en los resultandos 1 y 2 del presente instrumento indican que el ejido "N.C.P.E. Valentín Gómez Farías" se ubicaba en el municipio de Champotón, estado de Campeche; sin embargo, derivado de la publicación referida en el resultando 4, actualmente el ejido pertenece a la jurisdicción del municipio de Calakmul, tal como consta en la inscripción del RAN y en el "informe de comisión de Trabajos Técnicos e Informativos de Expropiación, por lo que el presente procedimiento debe culminar como ejido "N.C.P.E. Valentín Gómez Farías", municipio de Calakmul, estado de Campeche;
III. Que la superficie de 09-19-64 hectáreas de terrenos de temporal de uso común, pertenecientes al ejido "N.C.P.E. Valentín Gómez Farías", municipio de Champotón, estado de Campeche, se solicitó para destinarse a la construcción de obras de infraestructura ferroviaria, operación del Proyecto Tren Maya y sus obras complementarias, así como la prestación del servicio público de transporte de carga ferroviaria y de pasajeros, causas de utilidad pública que acreditan los supuestos contenidos en el artículo 93, fracciones I y VII, de la Ley Agraria;
IV. Que la construcción de obras de infraestructura ferroviaria y operación del Proyecto Tren Maya son acordes con el Plan Nacional de Desarrollo 2019-2024, toda vez que se prestará un servicio público de transporte de pasajeros para el beneficio del turismo nacional y extranjero, así como de transporte de carga ferroviario para acelerar el comercio de la península, lo que facilitará el intercambio de mercancías con el resto del país y diversificará los puntos turísticos de la región para generar una derrama económica. Como consecuencia, se generarán oportunidades laborales y se redistribuirá la riqueza a lo largo de la península; se dará protección y rehabilitación a las áreas naturales protegidas y a los sitios patrimoniales. De igual forma, el Tren Maya funcionará como corredor humanitario por medio del cual se entregarán apoyos alimentarios, médicos, etc. para las comunidades indígenas y pueblos marginados del sureste mexicano; tendrá un flujo constante, y solo por su conducto, se podrá llegar a dichos poblados de manera pronta y eficaz; y su ubicación geográfica es fundamental para salvaguardar las costas y la zona fronteriza con Centroamérica;
V. Que, de diversos documentos contenidos en el expediente de expropiación número DGOPR-DE/SOE04CC/0049FONATUR TREN MAYA, S.A. de C.V/2022, se advierte que la superficie que se solicitó expropiar al ejido "N.C.P.E. Valentín Gómez Farías" fue de 9-19-58.52 hectáreas; sin embargo, una vez realizados los trabajos técnicos, resultó que la superficie real es de 09-19-64 hectáreas de terrenos de temporal de uso común, como consta en el informe de comisión de Trabajos Técnicos Informativos de Expropiación de 23 de diciembre de 2022, motivo por el cual la superficie a expropiar al ejido "N.C.P.E. Valentín Gómez Farías", municipio de Calakmul, estado de Campeche, debe ser de 09-19-64 hectáreas;
VI. Que, de las constancias señaladas en el resultando 22 del presente instrumento, se acredita que en el procedimiento DGOPR-DE/SOE04CC/0049 FONATUR TREN MAYA, S.A. de C.V/2022, se otorgó garantía de audiencia al órgano de representación del ejido "N.C.P.E. Valentín Gómez Farías", municipio de Calakmul, estado de Campeche, toda vez que se le notificó la solicitud de expropiación, el acuerdo de instauración, el acuerdo de regularización, la superficie real a expropiar, y el avalúo y anexo único, sin que en el plazo concedido realizara manifestaciones respecto del procedimiento expropiatorio materia del presente decreto; con lo anterior se dio cumplimiento a los artículos 14 y 16 de la CPEUM; 4o de la Ley de Expropiación, y 65 del RLAMOPR;
VII. Que el Indaabin emitió dictamen valuatorio con número secuencial 04-23-992 y genérico G-34404-ZND, de 19 de mayo de 2023, en el cual determinó que el monto de indemnización, con base al valor comercial de la superficie por expropiar, es de $769,444.67 (setecientos sesenta y nueve mil, cuatrocientos cuarenta y cuatro pesos 67/100 M.N.); con lo que se acredita el cumplimiento a los artículos 94 de la Ley Agraria y 70 del RLAMOPR. Con base a dicho avalúo, procede pagar la indemnización al ejido por las tierras de uso común y en el que se considere el pago anticipado;
VIII. Que, en caso de que los bienes expropiados se destinen a un fin distinto al señalado en el decreto respectivo, o si transcurrido un plazo de 5 años no se ha cumplido con la causa de utilidad pública, el Fideicomiso Fondo Nacional de Fomento Ejidal podrá ejercer las acciones necesarias para reclamar la reversión parcial o total, según corresponda, de los bienes expropiados, y operar la incorporación de estos a su patrimonio; ello de conformidad con el artículo 97 de la Ley Agraria. Asimismo, los bienes objeto de la expropiación solo podrán ser ocupados de manera definitiva, mediante el pago que se efectúe al ejido o a las personas que acrediten tener derecho sobre las tierras de uso común en la proporción que les corresponda;
IX. Que, de conformidad con los artículos 94 de la Ley Agraria y 75 y 76 del RLAMOPR, debe ordenarse que el decreto expropiatorio se publique en el DOF, se notifique al núcleo agrario por conducto de su comisariado ejidal, y se inscriba en el RAN, en el Registro Público de la Propiedad de la entidad federativa de que se trate y en el Registro Público de la Propiedad Federal, cuando así corresponda, y
X. Que, en términos de los artículos 93, 94 y 95 de la Ley Agraria y 60, 61, 63, 65, 67, 70, 72, 73, 74 y 75 del RLAMOPR, el procedimiento de expropiación se ha tramitado ante la Sedatu y han sido acreditadas las causas de utilidad pública, he tenido a bien expedir el siguiente
DECRETO
PRIMERO. Se expropia por causa de utilidad pública la superficie de 09-19-64 hectáreas (nueve hectáreas, diecinueve áreas, sesenta y cuatro centiáreas) de temporal de uso común del ejido "N.C.P.E. Valentín Gómez Farías", municipio de Calakmul, estado de Campeche, a favor de Fonatur Tren Maya, S.A. de C.V., para destinarla a la construcción de obras de infraestructura ferroviaria, operación del Proyecto Tren Maya y sus obras complementarias.
SEGUNDO. Queda a cargo de Fonatur Tren Maya, S.A. de C.V., pagar, por concepto de indemnización por la superficie que se expropia, la cantidad señalada en el avalúo emitido por el Instituto de Administración y Avalúos de Bienes Nacionales, y en los términos señalados en el considerando VII del presente decreto.
TERCERO. La Secretaría de Desarrollo Agrario, Territorial y Urbano, una vez publicado el presente decreto en el Diario Oficial de la Federación, procederá a su ejecución cuando Fonatur Tren Maya, S.A. de C.V. haya acreditado el pago o depósito de la indemnización señalada en el numeral anterior.
CUARTO. Publíquese en el Diario Oficial de la Federación e inscríbase en el Registro Agrario Nacional, en el Registro Público de la Propiedad Federal y en el Registro Público de la Propiedad estatal o municipal correspondiente. Notifíquese y ejecútese.
Dado en la residencia del Poder Ejecutivo Federal, en Ciudad de México a 4 de agosto de 2023.- Andrés Manuel López Obrador.- Rúbrica.- Secretario de Desarrollo Agrario, Territorial y Urbano, Román Guillermo Meyer Falcón.- Rúbrica.- Secretario de Turismo, Miguel Tomás Torruco Marqués.- Rúbrica.