DECRETO por el que se declara como Zona de Monumentos Históricos la superficie de 66-67-30.6 hectáreas, en la localidad de Huichapan, municipio de Huichapan, estado de Hidalgo.

Al margen un sello con el Escudo Nacional, que dice: Estados Unidos Mexicanos.- Presidencia de la República.

ANDRÉS MANUEL LÓPEZ OBRADOR, presidente de los Estados Unidos Mexicanos, en ejercicio de la facultad que me confiere el artículo 89, fracción I, de la Constitución Política de los Estados Unidos Mexicanos y con fundamento en los artículos 4o., párrafo decimosegundo, de la propia Constitución; 41 y 41 Bis de la Ley Orgánica de la Administración Pública Federal; 2o., 3o., 5o., 5o. TER, 35, 36, fracción I, 37, 38, 41 y 44 de la Ley Federal sobre Monumentos y Zonas Arqueológicos, Artísticos e Históricos; 6, fracción VIII, de la Ley General de Bienes Nacionales; 2o., párrafos primero y segundo, fracciones IX y XI, de la Ley Orgánica del Instituto Nacional de Antropología e Historia; 3o. y 33 de la Ley de Planeación; 6, párrafo segundo, fracción VI, 7, 8, fracciones I y XIII, 10, 11, 12 y 53, fracción V, de la Ley General de Asentamientos Humanos, Ordenamiento Territorial y Desarrollo Urbano; 9, 9 bis y 9 ter del Reglamento de la Ley Federal sobre Monumentos y Zonas Arqueológicas, Artísticos e Históricos, y
CONSIDERANDO
Que la Constitución Política de los Estados Unidos Mexicanos, reconoce en su artículo 4o., párrafo decimosegundo, el derecho de toda persona al acceso a la cultura y al disfrute de los bienes y servicios que presta el Estado en la materia, así como el ejercicio de sus derechos culturales;
Que el Estado mexicano es parte de la Convención para la protección del patrimonio mundial, cultural y natural adoptada en París, Francia, el 23 de noviembre de 1972, aprobada por la Cámara de Senadores el 22 de diciembre de 1983, publicada en el Diario Oficial de la Federación (DOF) el 2 de mayo de 1984, la cual en su artículo 1 considera como patrimonio cultural, entre otros "los conjuntos: grupos de construcciones, aisladas o reunidas, cuya arquitectura, unidad e integración en el paisaje les dé un valor universal excepcional desde el punto de vista de la historia, del arte o de la ciencia". Asimismo, refiere en su artículo 4o. que los Estados Parte reconocen "la obligación de identificar, proteger, conservar, rehabilitar y transmitir a las generaciones futuras el patrimonio cultural y natural situado en su territorio";
Que la resolución A/HRC/RES/37/17, aprobada por el Consejo de Derechos Humanos de las Naciones Unidas(1) el 22 de marzo de 2018, señala que "la destrucción del patrimonio cultural o los daños a este pueden tener un efecto perjudicial e irreversible en el disfrute de los derechos culturales, en particular el derecho de toda persona a participar en la vida cultural, lo que incluye la capacidad de acceder al patrimonio cultural y disfrutar de él", por lo cual exhorta a todos los Estados a que respeten, promuevan y protejan el referido derecho;
Que el Plan Nacional de Desarrollo 2019-2024, publicado en el DOF el 12 de julio de 2019, es el principal instrumento de planeación de la presente administración. Se articula por 12 principios rectores y tres ejes generales, los cuales promueven la transformación de la vida pública en México y propugnan un nuevo modelo de desarrollo económico y de ordenamiento político, el cual contempla como uno de sus principios "No dejar a nadie atrás, no dejar a nadie fuera". Esto implica la búsqueda de un modelo de desarrollo respetuoso de los habitantes y del hábitat, equitativo, orientado a subsanar y no a agudizar las desigualdades, defender la diversidad cultural y del ambiente natural, sensible a las modalidades y singularidades económicas regionales y locales y consciente de las necesidades de los habitantes futuros del país, a quienes no podemos heredar un territorio en ruinas;
Que el Programa Sectorial de Cultura 2020-2024, publicado en el DOF el 3 de julio de 2020, determina como uno de sus objetivos prioritarios la protección y conservación de la diversidad, la memoria y los patrimonios culturales de México, mediante acciones de preservación, investigación, protección, promoción de su conocimiento y apropiación. También establece, como acciones puntuales para el cumplimiento de dicho objetivo, la elaboración de expedientes técnicos para la formulación de declaratorias de los bienes patrimoniales para facilitar su protección mediante el marco jurídico nacional, así como convenios o convenciones internacionales y la ejecución de acciones de conservación de bienes muebles e inmuebles culturales para asegurar su transmisión a las futuras generaciones;
Que el artículo 35 de la Ley Federal sobre Monumentos y Zonas Arqueológicos, Artísticos e Históricos (LFMZAAH) establece que son monumentos históricos los bienes vinculados con la historia de la Nación, a partir del establecimiento de la cultura hispánica en el país, y el artículo 41 de dicha ley, que una zona de monumentos históricos es el área que comprende varios monumentos históricos relacionados con un suceso nacional o la que se encuentre vinculada a hechos pretéritos de relevancia para el país;
Que la localidad de Huichapan se ubica al oeste del estado de Hidalgo, dentro de la región natural conocida como Valle del Mezquital(2). Su nombre deriva de las raíces nahuas "huexotl", sauce; "atl", agua y
"pan" en, lo que se traduce como "en agua o en el río de los sauces(3) ";
Que en la época prehispánica tuvo asentamientos otomíes, quienes bajo el dominio de los Acolhuas fundaron el poblado de Huichapan(4), en el que se han encontrado pinturas rupestres(5) como muestra de la sacralización del espacio. En 1557, después de la conquista en dicho territorio, el español Alejos de la Bárcena y acompañantes fundaron el "Valle de San Mateo Güeychiapan"(6), que estuvo bajo la administración de los religiosos de la Orden de San Francisco(7);
Que, en el siglo XVI, se escribió el Códice de Huichapan por Juan de San Francisco, un otomí del pueblo de Huichapan(8), mismo que constituye un importante aporte histórico al narrar acontecimientos pre y pos-hispánicos relacionados con Jilotepcc (sic.)(9) de quien Huichapan era un pueblo subordinado, con quien compartía las tareas de centralizar y organizar ese vasto territorio y fue un apoyo firme en el proceso expansivo al norte, llamado la Gran Chichimeca(10);
Que, en la Recopilación de la Leyes de Indias de 26 de mayo de 1596, el rey Felipe II, dispuso estrictamente que los mulatos y mestizos no estuviesen cerca de los indios, por lo que, la cabecera de la provincia se trasladó al pueblo de Huichapan, que en su mayoría fue habitada por españoles y mestizos(11);
Que Huichapan tenía una posición geográfica estratégica en la red de caminos que comunicaba las minas de Pachuca con las de Ixmiquilpan y Zimapán, y a su vez con el Valle de México, el altiplano queretano, el bajío michoacano y guanajuatense(12), por lo que se convirtió en un importante punto comercial y social; ya que unía el centro político y económico de la Nueva España con el norte, el cual era un territorio de interés para la Corona española(13);
Que el capitán de infantería virreinal Manuel González de León, nativo de Huichapan, antes de fallecer dispuso en su testamento que sus bienes y riquezas materiales acumuladas durante su vida, fuesen destinados para el beneficio del pueblo que lo vio nacer(14), por lo que con ellos se construyeron importantes obras entre las que destacan la actual parroquia, que fue terminada en 1763 y en la cual se encuentra una estatua orante en su honor; la capilla de la Tercera Orden concluida en 1784; la capilla del Calvario; una escuela para los niños en la que se les enseñó la doctrina cristiana, a leer, a escribir y a contar; una pila de agua en la plaza central y una presa(15);
Que, el 4 de diciembre de 1786, bajo una Real Ordenanza, se estableció la modalidad de gobierno de las intendencias en el reino de la Nueva España; por lo que la provincia de Xilotepec y Huichapan pasó a ser parte de la intendencia de México(16);
Que, el 20 de mayo de 1794, nació Pedro María Anaya en Huichapan, quien ocupó en dos ocasiones de manera interina la presidencia de la República, el primer periodo del 2 de abril al 30 de mayo de 1847, y el segundo del 8 de noviembre de 1847 al 8 de enero de 1848(17), a quien se le reconoce por su participación en la defensa de Churubusco ante la intervención estadounidense del 20 de agosto de 1847(18);
Que, a principios del siglo XIX, Huichapan pasó de ser un centro económico importante a un punto estratégico y de control necesario en el camino del bajío a la capital(19); sus habitantes participaron en la guerra de Independencia, entre los que destaca Julián Villagrán y su familia, José Mariano y Bartolomé Anaya(20);
Que, el 13 de septiembre de 1812, durante la guerra de Independencia, Ignacio López Rayón visitó Huichapan, que coincidió con el segundo aniversario del Grito de Dolores(21) y la celebración por primera vez del Grito de Independencia(22). Según la tradición regional, Ignacio López Rayón escuchó serenata desde el edificio conocido como "El Chapitel" y escribió la Proclama de la Junta Suprema de la Nación, en el aniversario del 16 de septiembre de 1812(23); con la visita de dicho personaje, llegó la imprenta a Huichapan, testimonio de ello fue la publicación de dicho texto;
Que, el 21 de junio de 1813, fue fusilado el insurgente Julián Villagrán en Huichapan y su cabeza fue colocada en el extremo de una viga frente a la de su hijo en la capilla de San Mateo(24), evento que debilitó el movimiento independentista en la región, que finalmente concluyó el 27 de septiembre de 1821;
Que, en la Guerra de Reforma, el pueblo de Huichapan tomó partido por los liberales(25), lo que provocó que en 1861 el poblado fuera atacado por el general conservador Tomás Mejía(26);
Que, por decreto de 15 de octubre 1868, el Congreso del estado de México, en un acto de justicia, elevó el rango de la Villa de Huichapan a "Heroica Ciudad de los Mártires de la Libertad" por los actos heroicos de sus pobladores y de su gobierno(27);
Que, el 20 de abril de 1889, se inauguró el palacio municipal, obra del cantero Pudenciano Reyes, la cual se consideró en su momento como una obra arquitectónica única entre los edificios públicos de la región(28);
Que, en 1912, el pueblo de Huichapan recibió la visita del entonces presidente Francisco I. Madero, quien acudió para colocar la primera piedra de las obras de construcción de la presa(29) que posteriormente sería nombrada "Presa Madero" en su memoria(30);
Que las características específicas de Huichapan, así como la relación de espacios, estructura y entorno urbano, y su tipología arquitectónica, tal como hoy se conservan, son elocuente testimonio de excepcional valor para la historia social, política y artística de México;
Que el asentamiento presenta una traza ortogonal, alterada en menor medida por la unión de las vialidades con los antiguos caminos comerciales y la presencia de arroyos que cruzan de sur a norte a la población;
Que destacan dos ejes ordenadores de la traza urbana que parten del centro de la localidad y cuyo tejido urbano es consecutivo, siguiendo la alineación de las vialidades principales. Ambos mantienen conexión con las carreteras circundantes y las poblaciones vecinas, la primera de ellas (la avenida Pedro María Anaya y su continuación, las avenidas Hidalgo y Julián Villagrán) en dirección norte-sur, es el eje que comunica a algunos de los principales edificios civiles y religiosos, como la presidencia municipal y la capilla de San Mateo; la segunda (la avenida Javier Rojo Gómez y su continuación, las avenidas Felipe Ángeles y Francisco I. Madero) en dirección poniente-oriente, une la antigua Casa del Diezmo con el panteón municipal, y tiene como remate, al oriente, el templo del Señor del Calvario;
Que se caracteriza por su arquitectura civil de uno y dos niveles que conserva la tipología arquitectónica propia de la región y que, en conjunto, otorgan especial relevancia para la armonía de la zona y del contexto urbano. Su sistema constructivo consta de muros de adobe y piedra; conserva techumbres planas de vigas de madera, sobre la que se acomoda tabla o ladrillo, para concluir con terrado. Al exterior, muestra aplanado liso con vanos enmarcados en cantera labrada y protección de herrería en ventanas, el acceso principal destaca por sus dimensiones y su ornamentación detallada en relieve. En su interior, las edificaciones conservan un patio central o lateral, con corredores porticados y huerta al fondo;
Que el subdirector de Registro de Bienes Arqueológicos Inmuebles de la Dirección de Registro Público de Monumentos y Zonas Arqueológicos e Históricos del Instituto Nacional de Antropología e Historia (INAH), el 31 de octubre de 2019, emitió el "Informe Técnico de comisión: Medición de la poligonal de delimitación del: Proyecto de Zona de Monumentos Históricos Huichapan, Hidalgo";
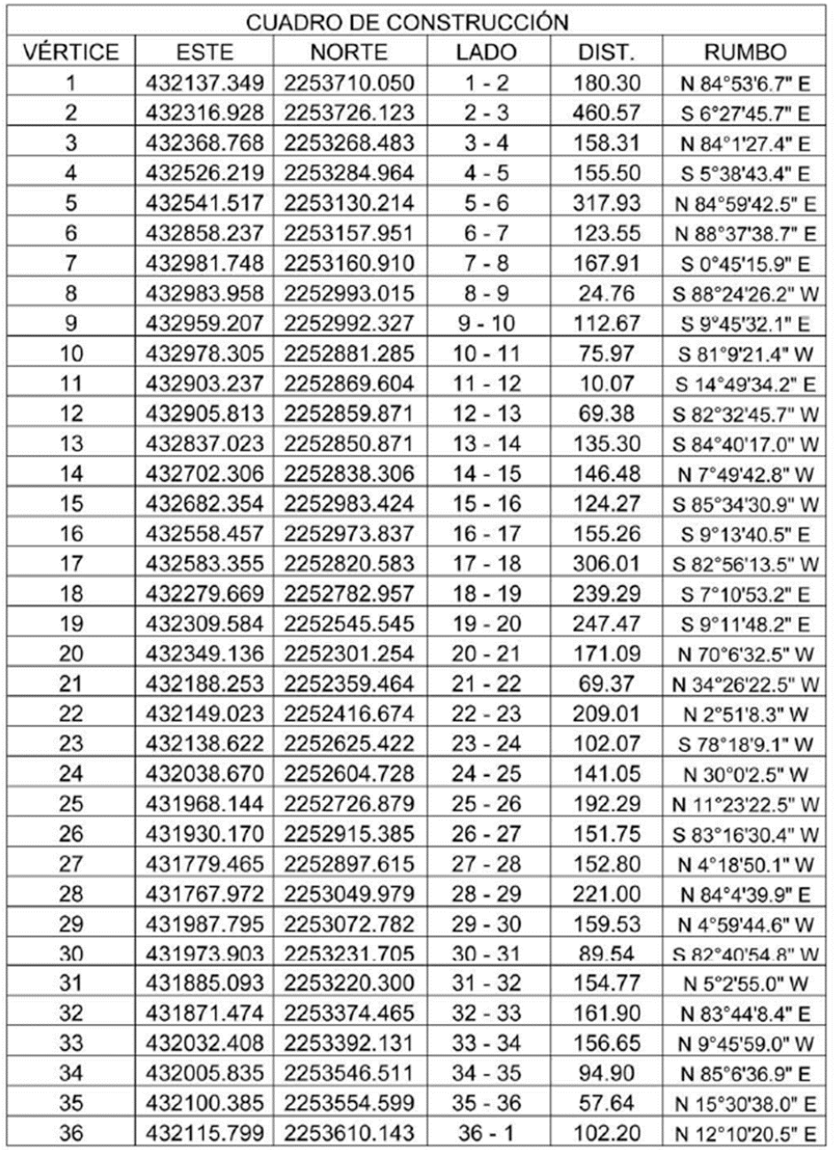
Que la zona de monumentos históricos se localiza en las coordenadas E 432193.26 y N 2253149.15, correspondientes a la Zona UTM 14 Norte; comprende una superficie total de 66-67-30.6 hectáreas y se describe conforme al siguiente plano y cuadro de construcción:
 

 

Que la zona está conformada por 44 manzanas, en donde se ubican 150 edificios, de carácter religioso, civil e industrial, con valor histórico construidos durante los siglos XVI y XIX, inmuebles que conservan las características arquitectónicas propias de la región e importadas y que, en conjunto, otorgan especial relevancia para la imagen urbana y su entorno inmediato, los cuales se ubican en:
1.       Calle Abasolo número 1, esquina calle Joaquín González, colonia Centro (manzana 57) con número de Ficha Nacional de Catálogo de Monumentos Históricos Inmuebles I-13-00020.
2.       Calle Abasolo número 18, esquina calle Sánchez de la Barquera, barrio El Calvario (manzana 56) con número de Ficha Nacional de Catálogo de Monumentos Históricos Inmuebles I-13-00021.
3.       Andador Abundio Martínez número 7, colonia Centro (manzana 41) con número de Ficha Nacional de Catálogo de Monumentos Históricos Inmuebles I-13-00022.
4.       Andador Abundio Martínez número 11, colonia Centro (manzana 41) con número de Ficha Nacional de Catálogo de Monumentos Históricos Inmuebles I-13-00023.
5.       Andador Abundio Martínez número 15, colonia Centro (manzana 41) con número de Ficha Nacional de Catálogo de Monumentos Históricos Inmuebles I-13-00024.
6.       Calle Abundio Martínez número 1, esquina calle José Chávez Macotela, barrio Abundio Martínez (manzana 40) con número de Ficha Nacional de Catálogo de Monumentos Históricos Inmuebles I-13-00026.
7.       Calle Abundio Martínez números 11 y 13, barrio Abundio Martínez (manzana 40) con número de Ficha Nacional de Catálogo de Monumentos Históricos Inmuebles I-13-00025.
8.       Calle Abundio Martínez números 15 y 17, esquina calle Ignacio López Rayón, barrio Abundio Martínez (manzana 40) con número de Ficha Nacional de Catálogo de Monumentos Históricos Inmuebles I-13-00027.
9.       Calle Anastasio Ochoa y Acuña números 18 y 22, barrio La Campana (manzana 31) con número de Ficha Nacional de Catálogo de Monumentos Históricos Inmuebles I-13-00029.
10.     Calle Anastasio Ochoa y Acuña número 45, esquina calle José María Carrillo, barrio La Campana (manzana 30) con número de Ficha Nacional de Catálogo de Monumentos Históricos Inmuebles I-13-00031.
11.     Calle Antonio Magos número 1, esquina avenida Julián Villagrán número 2, barrio San Mateo (manzana 73) con número de Ficha Nacional de Catálogo de Monumentos Históricos Inmuebles I-13-00169.
12.     Calle Antonio Magos números 5, 9 y 13, esquina calle Benito Dorantes, barrio San Mateo (manzana 73) con número de Ficha Nacional de Catálogo de Monumentos Históricos Inmuebles I-13-00033.
13.     Calle Antonio Magos número 23, barrio San Mateo (manzana 74) con número de Ficha Nacional de Catálogo de Monumentos Históricos Inmuebles I-13-00035.
14.     Calle Antonio Magos número 27, barrio San Mateo (manzana 74) con número de Ficha Nacional de Catálogo de Monumentos Históricos Inmuebles I-13-00036.
15.     Calle Antonio Magos número 44, colonia Centro (manzana 59) con número de Ficha Nacional de Catálogo de Monumentos Históricos Inmuebles I-13-00037.
16.     Calle Antonio Magos número 51, barrio San Mateo (manzana 75) con número de Ficha Nacional de Catálogo de Monumentos Históricos Inmuebles I-13-00038.
17.     Calle Antonio Magos número 61, barrio San Mateo (manzana 75) con número de Ficha Nacional de Catálogo de Monumentos Históricos Inmuebles I-13-00039.
18.     Calle Antonio Magos números 72, 74, 76 y 78, esquina calle Abasolo números 27 y 33, colonia Centro (manzana 58) con número de Ficha Nacional de Catálogo de Monumentos Históricos Inmuebles I-13-00040.
19.     Calle Benito Dorantes número 40, esquina calle Insurgentes Oriente, barrio San Mateo (manzana 74) con número de Ficha Nacional de Catálogo de Monumentos Históricos Inmuebles I-13-00041.
20.     Calle Benito Juárez número 2, esquina avenida Pedro María Anaya, colonia Centro (manzana 42) con número de Ficha Nacional de Catálogo de Monumentos Históricos Inmuebles I-13-00042.
21.     Calle Benito Juárez número 11, colonia Centro (manzana 43) con número de Ficha Nacional de Catálogo de Monumentos Históricos Inmuebles C-13-00324. Plaza Reforma.
22.     Calle Benito Juárez números 12 y 14, colonia Centro (manzana 42) con número de Ficha Nacional de Catálogo de Monumentos Históricos Inmuebles I-13-00044.
23.     Calle Benito Juárez números 20 y 26, esquina calle Ignacio Gutiérrez números 4 y 6, colonia Centro (manzana 42) con número de Ficha Nacional de Catálogo de Monumentos Históricos Inmuebles I-13-00045.
24.     Calle Benito Juárez número 30, colonia Centro (manzana 45) con número de Ficha Nacional de Catálogo de Monumentos Históricos Inmuebles I-13-00046.
25.     Calle Camino a la Sabinita número 17, barrio La Campana (manzana 7) con número de Ficha Nacional de Catálogo de Monumentos Históricos Inmuebles I-13-00049.
26.     Calle Catarino Chacón número 34, esquina calle Galeana, barrio San Mateo (manzana 86) con número de Ficha Nacional de Catálogo de Monumentos Históricos Inmuebles I-13-00050.
27.     Calle Dr. José María Rivera número 24, barrio San Mateo (manzana 94) con número de Ficha Nacional de Catálogo de Monumentos Históricos Inmuebles I-13-00051.
28.     Avenida Francisco I. Madero número 1, esquina calle Ignacio Gutiérrez, colonia Centro (manzana 45) con número de Ficha Nacional de Catálogo de Monumentos Históricos Inmuebles I-13-00052.
29.     Avenida Francisco I. Madero número 2, esquina calle José Lugo Guerrero, barrio La Campana (manzana 31) con número de Ficha Nacional de Catálogo de Monumentos Históricos Inmuebles I-13-00053.
30.     Avenida Francisco I. Madero número 18, esquina calle Anastasio Ochoa y Acuña, barrio La Campana (manzana 30) con número de Ficha Nacional de Catálogo de Monumentos Históricos Inmuebles I-13-00054.
31.     Avenida Francisco I. Madero número 24, barrio La Campana (manzana 30) con número de Ficha Nacional de Catálogo de Monumentos Históricos Inmuebles I-13-00055.
32.     Avenida Francisco I. Madero número 30, barrio La Campana (manzana 30) con número de Ficha Nacional de Catálogo de Monumentos Históricos Inmuebles I-13-00056.
33.     Avenida Francisco I. Madero número 45, esquina calle José Merced Pedraza, colonia Centro (manzana 45) con número de Ficha Nacional de Catálogo de Monumentos Históricos Inmuebles I-13-00057.
34.     Avenida Francisco I. Madero número 46, 48, 50 y 52, esquina calle Francisco Magos, barrio La Campana (manzana 30) con número de Ficha Nacional de Catálogo de Monumentos Históricos Inmuebles I-13-00058.
35.     Avenida Francisco I. Madero número 63, barrio El Calvario (manzana 46) con número de Ficha Nacional de Catálogo de Monumentos Históricos Inmuebles I-13-00059.
36.     Avenida Francisco I. Madero número 69, barrio El Calvario (manzana 46) con número de Ficha Nacional de Catálogo de Monumentos Históricos Inmuebles I-13-00060.
37.     Avenida Francisco I. Madero número 79, barrio El Calvario (manzana 46) con número de Ficha Nacional de Catálogo de Monumentos Históricos Inmuebles I-13-00061. Quinta las Jacarandas.
38.     Avenida Francisco I. Madero número 96, esquina calle Robledo Sur, barrio El Calvario (manzana 29) con número de Ficha Nacional de Catálogo de Monumentos Históricos Inmuebles I-13-00062.
39.     Avenida Francisco I. Madero sin número, barrio El Calvario (manzana 47) con número de Ficha Nacional de Catálogo de Monumentos Históricos Inmuebles I-13-00063.
40.     Avenida Francisco I. Madero sin número, esquina andador Arroyo de las Avenidas Norte, barrio El Calvario, con número de Ficha Nacional de Catálogo de Monumentos Históricos Inmuebles I-13-00064.
41.     Avenida Francisco I. Madero número 145, esquina andador Arroyo de las Avenidas Norte, barrio El Calvario (manzana 48) con número de Ficha Nacional de Catálogo de Monumentos Históricos
Inmuebles C-13-00065. Panteón Municipal.
·     Avenida Francisco I. Madero número 145, esquina andador Arroyo de las Avenidas Norte, barrio El Calvario (manzana 48) con número de Ficha Nacional de Catálogo de Monumentos Históricos Inmuebles I-13-00066. Sepulcro (Sin datos).
·     Avenida Francisco I. Madero número 145, esquina andador Arroyo de las Avenidas Norte, barrio El Calvario (manzana 48) con número de Ficha Nacional de Catálogo de Monumentos Históricos Inmuebles I-13-00067. Sepulcro de Antonio Sirat.
·     Avenida Francisco I. Madero número 145, esquina andador Arroyo de las Avenidas Norte, barrio El Calvario (manzana 48) con número de Ficha Nacional de Catálogo de Monumentos Históricos Inmuebles I-13-00068. Sepulcro de Pedro Chaves.
·     Avenida Francisco I. Madero número 145, esquina andador Arroyo de las Avenidas Norte, barrio El Calvario (manzana 48) con número de Ficha Nacional de Catálogo de Monumentos Históricos Inmuebles I-13-00069. Sepulcro (Sin datos).
·     Avenida Francisco I. Madero número 145, esquina andador Arroyo de las Avenidas Norte, barrio El Calvario (manzana 48) con número de Ficha Nacional de Catálogo de Monumentos Históricos Inmuebles I-13-00070. Sepulcro de la familia Chávez Nava.
·     Avenida Francisco I. Madero número 145, esquina andador Arroyo de las Avenidas Norte, barrio El Calvario (manzana 48) con número de Ficha Nacional de Catálogo de Monumentos Históricos Inmuebles I-13-00071. Sepulcro (Sin datos).
·     Avenida Francisco I. Madero número 145, esquina andador Arroyo de las Avenidas Norte, barrio El Calvario (manzana 48) con número de Ficha Nacional de Catálogo de Monumentos Históricos Inmuebles I-13-00072. Sepulcro del cura Rafael María Martínez.
·     Avenida Francisco I. Madero número 145, esquina andador Arroyo de las Avenidas Norte, barrio El Calvario (manzana 48) con número de Ficha Nacional de Catálogo de Monumentos Históricos Inmuebles I-13-00073. Sepulcro (Sin datos).
·     Avenida Francisco I. Madero número 145, esquina andador Arroyo de las Avenidas Norte, barrio El Calvario (manzana 48) con número de Ficha Nacional de Catálogo de Monumentos Históricos Inmuebles I-13-00074. Sepulcro de Emilia Villagrán Rivera.
·     Avenida Francisco I. Madero número 145, esquina andador Arroyo de las Avenidas Norte, barrio El Calvario (manzana 48) con número de Ficha Nacional de Catálogo de Monumentos Históricos Inmuebles I-13-00075. Sepulcro de Juan Villagrán Cabrera.
·     Avenida Francisco I. Madero número 145, esquina andador Arroyo de las Avenidas Norte, barrio El Calvario (manzana 48) con número de Ficha Nacional de Catálogo de Monumentos Históricos Inmuebles I-13-00076. Sepulcro de Eduardo Guzmán.
·     Avenida Francisco I. Madero número 145, esquina andador Arroyo de las Avenidas Norte, barrio El Calvario (manzana 48) con número de Ficha Nacional de Catálogo de Monumentos Históricos Inmuebles I-13-00077. Sepulcro (Sin datos).
·     Avenida Francisco I. Madero número 145, esquina andador Arroyo de las Avenidas Norte, barrio El Calvario (manzana 48) con número de Ficha Nacional de Catálogo de Monumentos Históricos Inmuebles I-13-00078. Sepulcro de Francisca María de Anaya.
·     Avenida Francisco I. Madero número 145, esquina andador Arroyo de las Avenidas Norte, barrio El Calvario (manzana 48) con número de Ficha Nacional de Catálogo de Monumentos Históricos Inmuebles I-13-00079. Sepulcro de Tranquilino Reyes.
·     Avenida Francisco I. Madero número 145, esquina andador Arroyo de las Avenidas Norte, barrio El Calvario (manzana 48) con número de Ficha Nacional de Catálogo de Monumentos Históricos Inmuebles I-13-00080. Sepulcro (Sin datos).
·     Avenida Francisco I. Madero número 145, esquina andador Arroyo de las Avenidas Norte, barrio El Calvario (manzana 48) con número de Ficha Nacional de Catálogo de Monumentos Históricos Inmuebles I-13-00081. Sepulcro de Francisca V. y Trinidad Lugo.
·     Avenida Francisco I. Madero número 145, esquina andador Arroyo de las Avenidas Norte, barrio El Calvario (manzana 48) con número de Ficha Nacional de Catálogo de Monumentos Históricos Inmuebles I-13-00082. Sepulcro de José Ma. Villagrán.
·     Avenida Francisco I. Madero número 145, esquina andador Arroyo de las Avenidas Norte, barrio El Calvario (manzana 48) con número de Ficha Nacional de Catálogo de Monumentos Históricos Inmuebles I-13-00083. Sepulcro de José Ma. Mejía Callejas.
·     Avenida Francisco I. Madero número 145, esquina andador Arroyo de las Avenidas Norte, barrio El Calvario (manzana 48) con número de Ficha Nacional de Catálogo de Monumentos Históricos Inmuebles I-13-00084. Sepulcro de la familia Magos.
·     Avenida Francisco I. Madero número 145, esquina andador Arroyo de las Avenidas Norte, barrio El Calvario (manzana 48) con número de Ficha Nacional de Catálogo de Monumentos Históricos Inmuebles I-13-00086. Sepulcro de Cruz Villagrán Paz y Manuel Villagrán Callejas.
·     Avenida Francisco I. Madero número 145, esquina andador Arroyo de las Avenidas Norte, barrio El Calvario (manzana 48) con número de Ficha Nacional de Catálogo de Monumentos Históricos Inmuebles I-13-00087. Sepulcro (Sin datos).
·     Avenida Francisco I. Madero número 145, esquina andador Arroyo de las Avenidas Norte, barrio El Calvario (manzana 48) con número de Ficha Nacional de Catálogo de Monumentos Históricos Inmuebles I-13-00088. Sepulcro de Eufemia Hernández.
·     Avenida Francisco I. Madero número 145, esquina andador Arroyo de las Avenidas Norte, barrio El Calvario (manzana 48) con número de Ficha Nacional de Catálogo de Monumentos Históricos Inmuebles I-13-00089. Sepulcro de Alvardo Chávez Nava.
·     Avenida Francisco I. Madero número 145, esquina andador Arroyo de las Avenidas Norte, barrio El Calvario (manzana 48) con número de Ficha Nacional de Catálogo de Monumentos Históricos Inmuebles I-13-00090. Sepulcro de José Ygnacio.
·     Avenida Francisco I. Madero número 145, esquina andador Arroyo de las Avenidas Norte, barrio El Calvario (manzana 48) con número de Ficha Nacional de Catálogo de Monumentos Históricos Inmuebles I-13-00091. Sepulcro de Pierre Champagne Martineau.
·     Avenida Francisco I. Madero número 145, esquina andador Arroyo de las Avenidas Norte, barrio El Calvario (manzana 48) con número de Ficha Nacional de Catálogo de Monumentos Históricos Inmuebles I-13-00092. Sepulcro de Florencio García y familia.
·     Avenida Francisco I. Madero número 145, esquina andador Arroyo de las Avenidas Norte, barrio El Calvario (manzana 48) con número de Ficha Nacional de Catálogo de Monumentos Históricos Inmuebles I-13-00093. Sepulcro de María Aguirre.
·     Avenida Francisco I. Madero número 145, esquina andador Arroyo de las Avenidas Norte, barrio El Calvario (manzana 48) con número de Ficha Nacional de Catálogo de Monumentos Históricos Inmuebles I-13-00094. Sepulcro de la familia Jiménez.
·     Avenida Francisco I. Madero número 145, esquina andador Arroyo de las Avenidas Norte, barrio El Calvario (manzana 48) con número de Ficha Nacional de Catálogo de Monumentos Históricos Inmuebles I-13-00095. Sepulcro de la familia Sánchez Barquera.
·     Avenida Francisco I. Madero número 145, esquina andador Arroyo de las Avenidas Norte, barrio El Calvario (manzana 48) con número de Ficha Nacional de Catálogo de Monumentos Históricos Inmuebles I-13-00096. Sepulcro de Acadia Cárdenas y Francisco Guerrero.
·     Avenida Francisco I. Madero número 145, esquina andador Arroyo de las Avenidas Norte, barrio El
Calvario (manzana 48) con número de Ficha Nacional de Catálogo de Monumentos Históricos Inmuebles I-13-00097. Sepulcro de Alfredo Lugo.
·     Avenida Francisco I. Madero número 145, esquina andador Arroyo de las Avenidas Norte, barrio El Calvario (manzana 48) con número de Ficha Nacional de Catálogo de Monumentos Históricos Inmuebles I-13-00100. Sepulcro de Mariana Lejarza.
·     Avenida Francisco I. Madero número 145, esquina andador Arroyo de las Avenidas Norte, barrio El Calvario (manzana 48) con número de Ficha Nacional de Catálogo de Monumentos Históricos Inmuebles I-13-00101. Sepulcro (Sin datos).
·     Avenida Francisco I. Madero número 145, esquina andador Arroyo de las Avenidas Norte, barrio El Calvario (manzana 48) con número de Ficha Nacional de Catálogo de Monumentos Históricos Inmuebles I-13-00102. Sepulcro de la familia Sanabria.
·     Avenida Francisco I. Madero número 145, esquina andador Arroyo de las Avenidas Norte, barrio El Calvario (manzana 48) con número de Ficha Nacional de Catálogo de Monumentos Históricos Inmuebles I-13-00103. Sepulcro (Sin datos).
·     Avenida Francisco I. Madero número 145, esquina andador Arroyo de las Avenidas Norte, barrio El Calvario (manzana 48) con número de Ficha Nacional de Catálogo de Monumentos Históricos Inmuebles I-13-00104. Sepulcro de Pudenciano Reyes e hijos.
·     Avenida Francisco I. Madero número 145, esquina andador Arroyo de las Avenidas Norte, barrio El Calvario (manzana 48) con número de Ficha Nacional de Catálogo de Monumentos Históricos Inmuebles I-13-00105. Sepulcro (Sin datos).
·     Avenida Francisco I. Madero número 145, esquina andador Arroyo de las Avenidas Norte, barrio El Calvario (manzana 48) con número de Ficha Nacional de Catálogo de Monumentos Históricos Inmuebles I-13-00106. Sepulcro de la familia Uribe.
·     Avenida Francisco I. Madero número 145, esquina andador Arroyo de las Avenidas Norte, barrio El Calvario (manzana 48) con número de Ficha Nacional de Catálogo de Monumentos Históricos Inmuebles I-13-00107. Sepulcro de Vicente Guerrero Villagrán.
·     Avenida Francisco I. Madero número 145, esquina andador Arroyo de las Avenidas Norte, barrio El Calvario (manzana 48) con número de Ficha Nacional de Catálogo de Monumentos Históricos Inmuebles I-13-00108. Sepulcro (Sin datos).
·     Avenida Francisco I. Madero número 145, esquina andador Arroyo de las Avenidas Norte, barrio El Calvario (manzana 48) con número de Ficha Nacional de Catálogo de Monumentos Históricos Inmuebles I-13-00109. Sepulcro de la familia Dorantes.
·     Avenida Francisco I. Madero número 145, esquina andador Arroyo de las Avenidas Norte, barrio El Calvario (manzana 48) con número de Ficha Nacional de Catálogo de Monumentos Históricos Inmuebles I-13-00110. Sepulcro de la familia Dorantes.
·     Avenida Francisco I. Madero número 145, esquina andador Arroyo de las Avenidas Norte, barrio El Calvario (manzana 48) con número de Ficha Nacional de Catálogo de Monumentos Históricos Inmuebles I-13-00111. Sepulcro (Sin datos).
·     Avenida Francisco I. Madero número 145, esquina andador Arroyo de las Avenidas Norte, barrio El Calvario (manzana 48) con número de Ficha Nacional de Catálogo de Monumentos Históricos Inmuebles I-13-00112. Sepulcro de J. A. de M.
·     Avenida Francisco I. Madero número 145, esquina andador Arroyo de las Avenidas Norte, barrio El Calvario (manzana 48) con número de Ficha Nacional de Catálogo de Monumentos Históricos Inmuebles I-13-00113. Sepulcro de Jesús Billagran.
·     Avenida Francisco I. Madero número 145, esquina andador Arroyo de las Avenidas Norte, barrio El Calvario (manzana 48) con número de Ficha Nacional de Catálogo de Monumentos Históricos
Inmuebles I-13-00114. Sepulcro de Juan García.
·     Avenida Francisco I. Madero número 145, esquina andador Arroyo de las Avenidas Norte, barrio El Calvario (manzana 48) con número de Ficha Nacional de Catálogo de Monumentos Históricos Inmuebles I-13-00115. Sepulcro de Soledad Rivera de Chávez Nava.
·     Avenida Francisco I. Madero número 145, esquina andador Arroyo de las Avenidas Norte, barrio El Calvario (manzana 48) con número de Ficha Nacional de Catálogo de Monumentos Históricos Inmuebles I-13-00117. Sepulcro de la familia Otañez.
·     Avenida Francisco I. Madero número 145, esquina andador Arroyo de las Avenidas Norte, barrio El Calvario (manzana 48) con número de Ficha Nacional de Catálogo de Monumentos Históricos Inmuebles I-13-00118. Sepulcro de Gertrudes Pedraza de Lugo.
·     Avenida Francisco I. Madero número 145, esquina andador Arroyo de las Avenidas Norte, barrio El Calvario (manzana 48) con número de Ficha Nacional de Catálogo de Monumentos Históricos Inmuebles I-13-00119. Sepulcro de Facundo Corchado.
·     Avenida Francisco I. Madero número 145, esquina andador Arroyo de las Avenidas Norte, barrio El Calvario (manzana 48) con número de Ficha Nacional de Catálogo de Monumentos Históricos Inmuebles I-13-00120. Sepulcro de Juan Ribera.
·     Avenida Francisco I. Madero número 145, esquina andador Arroyo de las Avenidas Norte, barrio El Calvario (manzana 48) con número de Ficha Nacional de Catálogo de Monumentos Históricos Inmuebles I-13-00121. Sepulcro de la familia Mejía.
·     Avenida Francisco I. Madero número 145, esquina andador Arroyo de las Avenidas Norte, barrio El Calvario (manzana 48) con número de Ficha Nacional de Catálogo de Monumentos Históricos Inmuebles I-13-00122. Sepulcro de Felisa Mejía e hijos.
·     Avenida Francisco I. Madero número 145, esquina andador Arroyo de las Avenidas Norte, barrio El Calvario (manzana 48) con número de Ficha Nacional de Catálogo de Monumentos Históricos Inmuebles I-13-00123. Sepulcro de la familia Suárez.
·     Avenida Francisco I. Madero número 145, esquina andador Arroyo de las Avenidas Norte, barrio El Calvario (manzana 48) con número de Ficha Nacional de Catálogo de Monumentos Históricos Inmuebles I-13-00124. Sepulcro de Emilia Pedraza y Álvarez.
·     Avenida Francisco I. Madero número 145, esquina andador Arroyo de las Avenidas Norte, barrio El Calvario (manzana 48) con número de Ficha Nacional de Catálogo de Monumentos Históricos Inmuebles I-13-00125. Sepulcro (Sin datos).
42.     Avenida Francisco I. Madero número 174, esquina calle Nicolás Bravo, barrio El Calvario (manzana 27) con número de Ficha Nacional de Catálogo de Monumentos Históricos Inmuebles I-13-00126.
43.     Prolongación Francisco I. Madero número 2, esquina calle Nicolás Bravo, barrio El Calvario (manzana 26) con número de Ficha Nacional de Catálogo de Monumentos Históricos Inmuebles I-13-00128.
44.     Avenida Felipe Ángeles números 2 y 8, esquina avenida Pedro María Anaya números 43 y 45, barrio La Campana (manzana 33) con número de Ficha Nacional de Catálogo de Monumentos Históricos Inmuebles I-13-00129.
45.     Avenida Felipe Ángeles números 9, 15 y 25, esquina calle Ignacio Gutiérrez, colonia Centro (manzana 42) con número de Ficha Nacional de Catálogo de Monumentos Históricos Inmuebles I-13-00130.
46.     Avenida Felipe Ángeles número 16, barrio La Campana (manzana 33) con número de Ficha Nacional de Catálogo de Monumentos Históricos Inmuebles I-13-00132.
47.     Calle Francisco Magos número 17, barrio El Calvario (manzana 29) con número de Ficha Nacional de Catálogo de Monumentos Históricos Inmuebles I-13-00134.
48.     Calle Francisco Magos número 22, barrio La Campana (manzana 30) con número de Ficha Nacional de Catálogo de Monumentos Históricos Inmuebles I-13-00135.
49.     Calle Francisco Magos número 28, barrio La Campana (manzana 30) con número de Ficha Nacional de Catálogo de Monumentos Históricos Inmuebles I-13-00136.
50.     Avenida Hidalgo número 1, esquina calle Plaza de los Mártires, colonia Centro (manzana 63) con número de Ficha Nacional de Catálogo de Monumentos Históricos Inmuebles I-13-00137. Presidencia Municipal.
51.     Avenida Hidalgo número 12, esquina calle Antonio Magos números 2 y 4, colonia Centro (manzana 62) con número de Ficha Nacional de Catálogo de Monumentos Históricos Inmuebles I-13-00138.
52.     Avenida Hidalgo número 13, colonia Centro (manzana 63) con número de Ficha Nacional de Catálogo de Monumentos Históricos Inmuebles I-13-00139.
53.     Avenida Hidalgo número 21, colonia Centro (manzana 63) con número de Ficha Nacional de Catálogo de Monumentos Históricos Inmuebles I-13-00140.
54.     Calle Ignacio López Rayón número 5, barrio Abundio Martínez (manzana 39) con número de Ficha Nacional de Catálogo de Monumentos Históricos Inmuebles I-13-00321.
55.     Calle Insurgentes Oriente número 10, esquina calle Benito Dorantes, barrio San Mateo (manzana 73) con número de Ficha Nacional de Catálogo de Monumentos Históricos Inmuebles I-13-00142.
56.     Calle Isaac Rivera Corchado número 13, barrio El Calvario (manzana 56) con número de Ficha Nacional de Catálogo de Monumentos Históricos Inmuebles I-13-00143.
57.     Calle Isaac Rivera Corchado número 21, barrio El Calvario (manzana 56) con número de Ficha Nacional de Catálogo de Monumentos Históricos Inmuebles I-13-00144.
58.     Calle Isaac Rivera Corchado números 22, 26 y 28, barrio El Calvario (manzana 46) con número de Ficha Nacional de Catálogo de Monumentos Históricos Inmuebles I-13-00145.
59.     Calle Isaac Rivera Corchado sin número, esquina andador Arroyo de las Avenidas Norte, barrio El Calvario, con número de Ficha Nacional de Catálogo de Monumentos Históricos Inmuebles I-13-00147.
60.     Calle Jardín Ignacio Zaragoza sin número, colonia Centro (manzana 61) con número de Ficha Nacional de Catálogo de Monumentos Históricos Inmuebles C-13-00002. Jardín Ignacio Zaragoza.
·     Calle Jardín Ignacio Zaragoza sin número, colonia Centro (manzana 61) con número de Ficha Nacional de Catálogo de Monumentos Históricos Inmuebles I-13-00015. Columna conmemorativa en memoria al Capitán Manuel González.
61.     Calle Jardín Ignacio Zaragoza número 6, colonia Centro (manzana 60) con número de Ficha Nacional de Catálogo de Monumentos Históricos Inmuebles I-13-00014.
62.     Calle Jardín Ignacio Zaragoza sin número, esquina calle José Guadalupe Ledezma, colonia Centro (manzana 60) con número de Ficha Nacional de Catálogo de Monumentos Históricos Inmuebles C-13-00001. Conjunto Conventual de San Mateo.
·     Calle Jardín Ignacio Zaragoza sin número, esquina calle José Guadalupe Ledezma, colonia Centro (manzana 60) con número de Ficha Nacional de Catálogo de Monumentos Históricos Inmuebles I-
13-00004. Capilla de la Virgen de Guadalupe.
·     Calle Jardín Ignacio Zaragoza sin número, esquina calle José Guadalupe Ledezma, colonia Centro (manzana 60) con número de Ficha Nacional de Catálogo de Monumentos Históricos Inmuebles I-13-00005. Antiguo Convento de San Mateo.
·     Calle Jardín Ignacio Zaragoza sin número, esquina calle José Guadalupe Ledezma, colonia Centro (manzana 60) con número de Ficha Nacional de Catálogo de Monumentos Históricos Inmuebles I-13-00006. Cruz atrial de San Mateo.
·     Calle Jardín Ignacio Zaragoza sin número, esquina calle José Guadalupe Ledezma, colonia Centro (manzana 60) con número de Ficha Nacional de Catálogo de Monumentos Históricos Inmuebles I-13-00007. Capilla de la Tercera Orden.
·     Calle Jardín Ignacio Zaragoza sin número, esquina calle José Guadalupe Ledezma, colonia Centro (manzana 60) con número de Ficha Nacional de Catálogo de Monumentos Históricos Inmuebles I-13-00008. Templo de San Mateo Apóstol.
·     Calle Jardín Ignacio Zaragoza número 9, esquina calle José Guadalupe Ledezma, colonia Centro (manzana 60) con número de Ficha Nacional de Catálogo de Monumentos Históricos Inmuebles I-13-00009. El Chapitel.
·     Calle J. G. Ledezma sin número, colonia Centro (manzana 60) con número de Ficha Nacional de Catálogo de Monumentos Históricos Inmuebles I-13-00010. Convento de las hijas de María Inmaculada del Consuelo.
·     Calle Manuel Chávez Nava sin número, colonia Centro (manzana 60) con número de Ficha Nacional de Catálogo de Monumentos Históricos Inmuebles I-13-00011. Casa del artesano.
63.     Avenida Javier Rojo Gómez número 19, barrio La Campana (manzana 34) con número de Ficha Nacional de Catálogo de Monumentos Históricos Inmuebles I-13-00162.
64.     Avenida Javier Rojo Gómez número 20, esquina calle José Chávez Macotela, colonia Centro (manzana 41) con número de Ficha Nacional de Catálogo de Monumentos Históricos Inmuebles I-13-00163.
65.     Calle Joaquín González número 20, colonia Centro (manzana 45) con número de Ficha Nacional de Catálogo de Monumentos Históricos Inmuebles I-13-00164.
66.     Calle Jorge Rojo Lugo número 2, esquina avenida Julián Villagrán, barrio Abundio Martínez (manzana 72) con número de Ficha Nacional de Catálogo de Monumentos Históricos Inmuebles I-13-00165.
67.     Calle Jorge Rojo Lugo números 6, 8, 10 y 14, barrio Abundio Martínez (manzana 72) con número de Ficha Nacional de Catálogo de Monumentos Históricos Inmuebles I-13-00166.
68.     Calle Jorge Rojo Lugo números 11 y 17, esquina calle Ignacio Comonfort, colonia Centro (manzana 63) con número de Ficha Nacional de Catálogo de Monumentos Históricos Inmuebles I-13-00167.
69.     Calle José Chávez Macotela sin número, barrio Abundio Martínez (manzana 40) con número de Ficha Nacional de Catálogo de Monumentos Históricos Inmuebles I-13-00322.
70.     Calle José Guadalupe Ledezma números 1, 5, 7, 9, 11 y 13, esquina calle Pedro Barreiro, colonia Centro (manzana 62) con número de Ficha Nacional de Catálogo de Monumentos Históricos Inmuebles I-13-00148.
71.     Calle José Guadalupe Ledezma número 15, esquina calle Pedro Barreiro, colonia Centro (manzana 59) con número de Ficha Nacional de Catálogo de Monumentos Históricos Inmuebles I-13-00149.
72.     Calle José Guadalupe Ledezma número 21, colonia Centro (manzana 59) con número de Ficha Nacional de Catálogo de Monumentos Históricos Inmuebles I-13-00150.
73.     Calle José Guadalupe Ledezma número 29, colonia Centro (manzana 59) con número de Ficha Nacional de Catálogo de Monumentos Históricos Inmuebles I-13-00151.
74.     Calle José Guadalupe Ledezma número 35, esquina calle Manuel Chávez Nava, colonia Centro (manzana 59) con número de Ficha Nacional de Catálogo de Monumentos Históricos Inmuebles I-13-00152.
75.     Calle José Lugo Guerrero número 2, esquina avenida Felipe Ángeles, barrio La Campana (manzana 33) con número de Ficha Nacional de Catálogo de Monumentos Históricos Inmuebles I-13-00153.
76.     Calle José Lugo Guerrero número 12, barrio La Campana (manzana 33) con número de Ficha Nacional de Catálogo de Monumentos Históricos Inmuebles I-13-00154.
77.     Calle José Lugo Guerrero número 13, barrio La Campana (manzana 31) con número de Ficha Nacional de Catálogo de Monumentos Históricos Inmuebles I-13-00155.
78.     Calle José Lugo Guerrero número 15, barrio La Campana (manzana 31) con número de Ficha Nacional de Catálogo de Monumentos Históricos Inmuebles I-13-00156.
79.     Calle José Lugo Guerrero número 18, barrio La Campana (manzana 33) con número de Ficha Nacional de Catálogo de Monumentos Históricos Inmuebles I-13-00157.
80.     Calle José Lugo Guerrero número 23, esquina calle Plazuela José Lugo Guerrero, barrio La Campana (manzana 31) con número de Ficha Nacional de Catálogo de Monumentos Históricos Inmuebles I-13-00158.
81.     Calle José Merced Pedraza número 32, barrio El Calvario (manzana 46) con número de Ficha Nacional de Catálogo de Monumentos Históricos Inmuebles I-13-00159.
82.     Calle José Merced Pedraza número 37, esquina calle Joaquín González, colonia Centro (manzana 45) con número de Ficha Nacional de Catálogo de Monumentos Históricos Inmuebles I-13-00160.
83.     Calle José Merced Pedraza número 40, esquina calle Isaac Rivera Corchado, barrio El Calvario (manzana 46) con número de Ficha Nacional de Catálogo de Monumentos Históricos Inmuebles I-13-00161.
84.     Avenida Julián Villagrán número 5, barrio Abundio Martínez (manzana 72) con número de Ficha Nacional de Catálogo de Monumentos Históricos Inmuebles I-13-00170.
85.     Avenida Julián Villagrán números 11 y 13, barrio Abundio Martínez (manzana 72) con número de Ficha Nacional de Catálogo de Monumentos Históricos Inmuebles I-13-00171.
86.     Avenida Julián Villagrán número 22, barrio San Mateo (manzana 73) con número de Ficha Nacional de Catálogo de Monumentos Históricos Inmuebles I-13-00172.
87.     Avenida Julián Villagrán número 23, barrio Abundio Martínez (manzana 72) con número de Ficha Nacional de Catálogo de Monumentos Históricos Inmuebles I-13-00173.
88.     Avenida Julián Villagrán número 31, barrio Abundio Martínez (manzana 72) con número de Ficha Nacional de Catálogo de Monumentos Históricos Inmuebles I-13-00174.
89.     Avenida Julián Villagrán número 34, barrio San Mateo (manzana 73) con número de Ficha Nacional de Catálogo de Monumentos Históricos Inmuebles I-13-00175.
90.     Avenida Julián Villagrán número 37, esquina calle Insurgentes Poniente, barrio Abundio Martínez (manzana 72) con número de Ficha Nacional de Catálogo de Monumentos Históricos Inmuebles I-13-00176.
91.     Avenida Julián Villagrán número 38, esquina calle Insurgentes Oriente, barrio San Mateo (manzana 73) con número de Ficha Nacional de Catálogo de Monumentos Históricos Inmuebles I-13-00177.
92.     Avenida Julián Villagrán número 46, esquina calle Insurgentes Oriente, barrio San Mateo (manzana 85) con número de Ficha Nacional de Catálogo de Monumentos Históricos Inmuebles I-13-00179.
93.     Avenida Julián Villagrán número 120, esquina calle Parque los Villagrán, barrio San Mateo (manzana 93) con número de Ficha Nacional de Catálogo de Monumentos Históricos Inmuebles C-13-00003. Parque Villagrán.
·     Avenida Julián Villagrán número 120, esquina calle Parque los Villagrán, barrio San Mateo (manzana 93) con número de Ficha Nacional de Catálogo de Monumentos Históricos Inmuebles I-13-00017. Capilla de San Mateo.
·     Avenida Julián Villagrán número 120, esquina calle Parque los Villagrán, barrio San Mateo (manzana 93) con número de Ficha Nacional de Catálogo de Monumentos Históricos Inmuebles I-13-00018. Cruz de término de San Mateo.
·     Avenida Julián Villagrán número 120, esquina calle Parque los Villagrán, barrio San Mateo (manzana 93) con número de Ficha Nacional de Catálogo de Monumentos Históricos Inmuebles I-13-00180. Cruz atrial de la capilla de San Mateo.
·     Avenida Julián Villagrán número 120, esquina calle Parque los Villagrán, barrio San Mateo (manzana 93) con número de Ficha Nacional de Catálogo de Monumentos Históricos Inmuebles I-13-00181.
94.     Calle Manuel Chávez Nava número 1, esquina calle Antonio Magos, colonia Centro (manzana 58) con número de Ficha Nacional de Catálogo de Monumentos Históricos Inmuebles I-13-00182.
95.     Calle Manuel Chávez Nava número 11, esquina calle Sánchez de la Barquera, colonia Centro (manzana 58) con número de Ficha Nacional de Catálogo de Monumentos Históricos Inmuebles I-13-0183. El Portalito.
96.     Calle Manuel Chávez Nava número 15, esquina calle Sánchez de la Barquera, colonia Centro (manzana 57) con número de Ficha Nacional de Catálogo de Monumentos Históricos Inmuebles I-13-00184.
97.     Calle Manuel Chávez Nava número 31, colonia Centro (manzana 57) con número de Ficha Nacional de Catálogo de Monumentos Históricos Inmuebles I-13-00185.
98.     Calle Manuel Chávez Nava número 37, esquina calle Joaquín González, colonia Centro (manzana 57) con número de Ficha Nacional de Catálogo de Monumentos Históricos Inmuebles I-13-00186.
99.     Calle Manuel Chávez Nava números 41, 45 y 49, esquina calle Joaquín González, colonia Centro (manzana 45) con número de Ficha Nacional de Catálogo de Monumentos Históricos Inmuebles I-13-00187.
100.    Calle Manuel Chávez Nava números 55, 57 y 59, colonia Centro (manzana 45) con número de Ficha Nacional de Catálogo de Monumentos Históricos Inmuebles I-13-00188.
101.    Calle Manuel Chávez Nava número 61, colonia Centro (manzana 45) con número de Ficha Nacional de Catálogo de Monumentos Históricos Inmuebles I-13-00189. Antiguo Hotel Reforma.
102.    Calle Manuel González número 2, esquina calle Jardín Ignacio Zaragoza, colonia Centro (manzana 60) con número de Ficha Nacional de Catálogo de Monumentos Históricos Inmuebles I-13-00013.
103.    Calle Manuel González número 6, colonia Centro (manzana 44) con número de Ficha Nacional de Catálogo de Monumentos Históricos Inmuebles I-13-00190.
104.    Calle Manuel González número 11, colonia Centro (manzana 60) con número de Ficha Nacional de Catálogo de Monumentos Históricos Inmuebles I-13-00012. Casa de la Cultura de Huichapan.
105.    Calle Manuel González número 30, esquina calle Manuel Chávez Nava, colonia Centro (manzana 44) con número de Ficha Nacional de Catálogo de Monumentos Históricos Inmuebles I-13-00192.
106.    Calle María Uribe número 22, barrio San Mateo (manzana 75) con número de Ficha Nacional de Catálogo de Monumentos Históricos Inmuebles I-13-00193.
107.    Calle María Uribe número 31, barrio San Mateo (manzana 74) con número de Ficha Nacional de Catálogo de Monumentos Históricos Inmuebles I-13-00194.
108.    Calle Nicolás Bravo sin número, esquina prolongación Francisco I. Madero, barrio El Calvario (manzana 49) con número de Ficha Nacional de Catálogo de Monumentos Históricos Inmuebles I-13-00195. Templo del Señor del Calvario.
109.    Calle Nicolás Bravo sin número, barrio El Calvario (manzana 49) con número de Ficha Nacional de Catálogo de Monumentos Históricos Inmuebles I-13-00196.
110.    Calle Patoni número 12, barrio La Campana (manzana 21) con número de Ficha Nacional de Catálogo de Monumentos Históricos Inmuebles I-13-00197.
111.    Calle Patoni número 16, barrio La Campana (manzana 21) con número de Ficha Nacional de Catálogo de Monumentos Históricos Inmuebles I-13-00198.
112.    Calle Pedro Barreiro número 8, esquina calle Antonio Magos, colonia Centro (manzana 59) con número de Ficha Nacional de Catálogo de Monumentos Históricos Inmuebles I-13-00200
113.    Avenida Pedro María Anaya número 1, esquina andador Portal Libertad, colonia Centro (manzana 43) con número de Ficha Nacional de Catálogo de Monumentos Históricos Inmuebles I-13-00201. Portal Libertad.
114.    Avenida Pedro María Anaya número 2, esquina calle Plaza de los Mártires, colonia Centro (manzana 64) con número de Ficha Nacional de Catálogo de Monumentos Históricos Inmuebles I-13-00202.
115.    Avenida Pedro María Anaya número 10, esquina andador Abundio Martínez, colonia Centro (manzana 64) con número de Ficha Nacional de Catálogo de Monumentos Históricos Inmuebles I-13-00203.
116.    Avenida Pedro María Anaya número 14, esquina andador Abundio Martínez, colonia Centro (manzana 41) con número de Ficha Nacional de Catálogo de Monumentos Históricos Inmuebles I-13-00204.
117.    Avenida Pedro María Anaya número 15, esquina calle Benito Juárez, colonia Centro (manzana 43) con número de Ficha Nacional de Catálogo de Monumentos Históricos Inmuebles I-13-00205.
118.    Avenida Pedro María Anaya número 16, colonia Centro (manzana 41) con número de Ficha Nacional de Catálogo de Monumentos Históricos Inmuebles I-13-00206.
119.    Avenida Pedro María Anaya número 22, colonia Centro (manzana 41) con número de Ficha Nacional de Catálogo de Monumentos Históricos Inmuebles I-13-00207.
120.    Avenida Pedro María Anaya número 30, colonia Centro (manzana 41) con número de Ficha Nacional de Catálogo de Monumentos Históricos Inmuebles I-13-00208.
121.    Avenida Pedro María Anaya número 33, esquina avenida Felipe Ángeles, colonia Centro (manzana 42) con número de Ficha Nacional de Catálogo de Monumentos Históricos Inmuebles I-13-00209.
122.    Avenida Pedro María Anaya número 36, colonia Centro (manzana 41) con número de Ficha Nacional de Catálogo de Monumentos Históricos Inmuebles I-13-00210.
123.    Avenida Pedro María Anaya número 40, colonia Centro (manzana 41) con número de Ficha Nacional de Catálogo de Monumentos Históricos Inmuebles I-13-00211.
124.    Avenida Pedro María Anaya número 48, esquina avenida Javier Rojo Gómez, colonia Centro (manzana 41) con número de Ficha Nacional de Catálogo de Monumentos Históricos Inmuebles I-13-00212. Antigua Casa del Diezmo.
125.    Avenida Pedro María Anaya números 49 y 55, barrio La Campana (manzana 33) con número de Ficha Nacional de Catálogo de Monumentos Históricos Inmuebles I-13-00213.
126.    Avenida Pedro María Anaya número 56, esquina avenida Javier Rojo Gómez, barrio La Campana (manzana 34) con número de Ficha Nacional de Catálogo de Monumentos Históricos Inmuebles I-13-00214.
127.    Avenida Pedro María Anaya número 59, barrio La Campana (manzana 33) con número de Ficha Nacional de Catálogo de Monumentos Históricos Inmuebles I-13-00215.
128.    Avenida Pedro María Anaya número 62, barrio La Campana (manzana 34) con número de Ficha Nacional de Catálogo de Monumentos Históricos Inmuebles I-13-00216.
129.    Avenida Pedro María Anaya números 65 y 83, barrio La Campana (manzana 33) con número de Ficha Nacional de Catálogo de Monumentos Históricos Inmuebles I-13-00217.
130.    Avenida Pedro María Anaya número 66, barrio La Campana (manzana 34) con número de Ficha Nacional de Catálogo de Monumentos Históricos Inmuebles I-13-00218.
131.    Avenida Pedro María Anaya número 82, barrio La Campana (manzana 34) con número de Ficha Nacional de Catálogo de Monumentos Históricos Inmuebles I-13-00219.
132.    Avenida Pedro María Anaya número 94, esquina calle Quintín Rueda Villagrán, barrio La Campana (manzana 34) con número de Ficha Nacional de Catálogo de Monumentos Históricos Inmuebles I-13-00223.
133.    Avenida Pedro María Anaya número 102, esquina calle Quintín Rueda Villagrán, barrio La Campana (manzana 18) con número de Ficha Nacional de Catálogo de Monumentos Históricos Inmuebles I-13-00224.
134.    Avenida Pedro María Anaya números 97 y 105, barrio La Campana (manzana 19) con número de Ficha Nacional de Catálogo de Monumentos Históricos Inmuebles I-13-00225.
135.    Avenida Pedro María Anaya número 109, barrio La Campana (manzana 19) con número de Ficha Nacional de Catálogo de Monumentos Históricos Inmuebles I-13-00226.
136.    Avenida Pedro María Anaya número 113, barrio La Campana (manzana 19) con número de Ficha Nacional de Catálogo de Monumentos Históricos Inmuebles I-13-00227.
137.    Avenida Pedro María Anaya número 133, esquina calle Silviano Gómez, barrio La Campana (manzana 15) con número de Ficha Nacional de Catálogo de Monumentos Históricos Inmuebles I-13-00228.
138.    Avenida Pedro María Anaya número 183, esquina calle Ojo Trejo, barrio La Campana (manzana 7) con número de Ficha Nacional de Catálogo de Monumentos Históricos Inmuebles I-13-00229.
139.    Calle Pedro Rangel número 31, esquina calle Parque los Villagrán, barrio San Mateo (manzana 84) con número de Ficha Nacional de Catálogo de Monumentos Históricos Inmuebles I-13-00231.
140.    Calle Pedro Rangel número 40, barrio San Mateo (manzana 83) con número de Ficha Nacional de Catálogo de Monumentos Históricos Inmuebles I-13-00232.
141.    Calle Pedro Rangel número 42 esquina calle Felipe V. Mejía, barrio San Mateo (manzana 83) con número de Ficha Nacional de Catálogo de Monumentos Históricos Inmuebles I-13-00233.
142.    Peatonal Plaza Reforma número 1, esquina calle Manuel González, colonia Centro (manzana 44) con número de Ficha Nacional de Catálogo de Monumentos Históricos Inmuebles I-13-00234.
143.    Peatonal Plaza Reforma número 4, colonia Centro (manzana 44) con número de Ficha Nacional de Catálogo de Monumentos Históricos Inmuebles I-13-00323.
144.    Calle Plazuela José Lugo Guerrero número 1, esquina calle José Lugo Guerrero, barrio La Campana (manzana 32) con número de Ficha Nacional de Catálogo de Monumentos Históricos Inmuebles C-13-00240. Plaza de la Campana.
145.    Peatonal Portal Unión números 1 y 11, esquina avenida Hidalgo número 2, colonia Centro (manzana 62) con número de Ficha Nacional de Catálogo de Monumentos Históricos Inmuebles C-13-00245. Portal Unión.
·     Peatonal Portal Unión número 1, también calle Antonio Magos número 12, colonia Centro (manzana 62) con número de Ficha Nacional de Catálogo de Monumentos Históricos Inmuebles I- 13-00235.
·     Calle Portal Unión número 11, esquina calle Jardín Ignacio, colonia Centro (manzana 62) con número de Ficha Nacional de Catálogo de Monumentos Históricos Inmuebles I- 13-00246.
·     Avenida Hidalgo número 2, esquina peatonal Portal Unión, colonia Centro (manzana 62) con número de Ficha Nacional de Catálogo de Monumentos Históricos Inmuebles I- 13-00247.
146.    Calle Robledo Norte número 65, esquina calle Sánchez de la Barquera, barrio El Calvario (manzana 55) con número de Ficha Nacional de Catálogo de Monumentos Históricos Inmuebles I-13-00236.
147.    Calle Sánchez de la Barquera número 20, esquina calle Abasolo, colonia Centro (manzana 57) con número de Ficha Nacional de Catálogo de Monumentos Históricos Inmuebles I-13-00237.
148.    Calle Sánchez de la Barquera número 49, barrio El Calvario (manzana 55) con número de Ficha Nacional de Catálogo de Monumentos Históricos Inmuebles I-13-00238.
149.    Calle Sánchez de la Barquera números 55, 57 y 59, barrio El Calvario (manzana 55) con número de Ficha Nacional de Catálogo de Monumentos Históricos Inmuebles I-13-00239.
150.    Calle Sin nombre número 10, barrio La Campana (manzana 21) con número de Ficha Nacional de Catálogo de Monumentos Históricos Inmuebles I-13-00242.
Que la antigüedad y destino de los inmuebles se comprueba con las constancias que obran en poder del Instituto Nacional de Antropología e Historia para consulta de los interesados;
Que, en los inmuebles materia de este decreto, se presentan construcciones de carácter religioso y civil, entre los que destacan el conjunto conventual de San Mateo (conformado por el templo de San Mateo Apóstol, la capilla de la Virgen de Guadalupe, la capilla de la Tercera Orden, el Chapitel, el antiguo convento de San Mateo, el convento de las hijas de María Inmaculada del Consuelo, la Casa del Artesano y la cruz atrial), el templo del Señor del Calvario, la Capilla de San Mateo, la presidencia municipal, la Casa de la Cultura y la antigua Casa del Diezmo. Asimismo, sobresalen áreas de esparcimiento y centralización, como el jardín Ignacio Zaragoza, el parque Villagrán y la plaza de la Campana;
Que, de igual manera, el panteón municipal alberga a numerosos monumentos funerarios que guardan los restos de importantes familias huichapenses, hombres ilustres y destacados combatientes a favor de la soberanía nacional;
Que, con el objeto de preservar y conservar el patrimonio cultural ubicado en la zona histórica de Huichapan, el 30 de junio de 2022, el director general del INAH, conforme al procedimiento establecido en la LFMZAAH, emitió el "Acuerdo por el que se da inicio al procedimiento para la emisión de la Declaratoria de una Zona de Monumentos Históricos en la localidad de Huichapan, ubicada en el Municipio de Huichapan, Estado de Hidalgo";
Que, en cumplimiento de los artículos 14 y 16 de la Constitución Política de los Estados Unidos Mexicanos y 5o. TER, fracción III, de la LFMZAAH, se otorgó garantía de audiencia a todos los interesados, toda vez que se publicó el resumen del acuerdo del inicio del procedimiento de declaratoria entre los días 5 a 7 de julio de 2022 en el DOF y en un diario de mayor circulación en la localidad y en uno de mayor circulación nacional. Asimismo, se informó que los interesados contaban con 15 días hábiles para manifestar lo que a su derecho convenga;
Que el director general del INAH emitió opinión de procedencia respecto de la declaratoria como zona de monumentos históricos, el 29 de agosto de 2022, y remitió el expediente técnico a la Secretaría de Cultura, y
Que el gobierno de México tiene la obligación de garantizar el derecho a la cultura, a proteger, conservar, rehabilitar y asegurar a las futuras generaciones el patrimonio cultural mexicano, como lo es la zona de monumentos históricos de Huichapan; y toda vez que la Secretaría de Cultura revisó las constancias que integran el expediente técnico respectivo y no existen procedimientos pendientes por desahogar, en términos de la LFMZAAH, he tenido a bien expedir el siguiente
DECRETO
PRIMERO. Se declara Zona de Monumentos Históricos la superficie de 66-67-30.6 hectáreas, ubicada en la localidad de Huichapan, municipio de Huichapan, estado de Hidalgo, con el perímetro y características detallados en la parte considerativa de este decreto.
SEGUNDO. Las construcciones, ampliaciones y cualquier obra permanente o provisional que se realice en la Zona de Monumentos Históricos de Huichapan, quedan sujetas a la jurisdicción de los poderes federales en los términos señalados en la Ley Federal sobre Monumentos y Zonas Arqueológicos, Artísticos e Históricos y demás disposiciones jurídicas aplicables.
TERCERO. Todo anuncio, aviso, carteles; cocheras, sitios de vehículos, expendios de gasolina o lubricantes; postes e hilos telegráficos y telefónicos, transformadores y conductores de energía eléctrica, e instalaciones de alumbrados; kioscos, templetes, puestos o cualesquiera otras construcciones permanentes o provisionales, que se pretendan realizar en la Zona de Monumentos Históricos de Huichapan, se debe sujetar a las disposiciones que al respecto fije la Ley Federal sobre Monumentos y Zonas Arqueológicos, Artísticos e Históricos, su reglamento y demás disposiciones jurídicas aplicables, previa autorización del Instituto Nacional de Antropología e Historia.
Cualquier acción u obra realizada en contravención a lo dispuesto por este decreto, queda sujeta a las sanciones correspondientes establecidas en la normativa aplicable.
CUARTO. La Secretaría de Cultura, por conducto del Instituto Nacional de Antropología e Historia, en un plazo de 60 días naturales, contados a partir de la entrada en vigor del presente decreto, debe definir los criterios para la protección, conservación, promoción y difusión de la Zona de Monumentos Históricos de Huichapan, enfocados al conocimiento, al estudio, al respeto y al aprecio del patrimonio cultural.
Asimismo, debe promover programas educativos y de divulgación que estimulen entre la población el conocimiento, el estudio, el respeto y el aprecio del patrimonio cultural de la Zona de Monumentos Históricos de Huichapan.
QUINTO. El Instituto Nacional de Antropología e Historia debe vigilar el cumplimiento de lo ordenado por este decreto, en los términos de las disposiciones aplicables.
SEXTO. Las autoridades federales, estatales y municipales, en el ámbito de su competencia, así como los particulares, podrán colaborar con el Instituto Nacional de Antropología e Historia en el cumplimiento de lo previsto en este decreto. Asimismo, deben hacer del conocimiento de las autoridades competentes cualquier situación que ponga en peligro la Zona de Monumentos Históricos de Huichapan.
SÉPTIMO. La Secretaría de Desarrollo Agrario, Territorial y Urbano mediante los instrumentos jurídicos que correspondan, con el apoyo del Instituto Nacional de Antropología e Historia, en colaboración con las entidades federativas y autoridades municipales correspondientes, debe establecer las acciones para la regulación del uso de suelo, la preservación de la zona y su entorno ecológico.
OCTAVO. Inscríbase la presente declaratoria y su plano oficial en el Registro Público de Monumentos y Zonas Arqueológicos e Históricos dependiente del Instituto Nacional de Antropología e Historia y en el Registro Público de la Propiedad del estado de Hidalgo en el plazo de 15 días a partir de su publicación en el Diario Oficial de la Federación; notifíquese en términos del artículo 23 de la Ley Federal sobre Monumentos y Zonas Arqueológicos, Artísticos e Históricos.
TRANSITORIOS
PRIMERO. El presente decreto entra en vigor al día siguiente de su publicación en el Diario Oficial de la Federación.
SEGUNDO. Las erogaciones que, en su caso, se generen con motivo de la entrada en vigor del presente decreto, deben ser cubiertas con cargo al presupuesto autorizado para los ejecutores de gasto correspondiente en el Presupuesto de Egresos de la Federación para el ejercicio fiscal 2023, por lo que no se incrementará su presupuesto y no se autorizarán recursos adicionales para el presente ejercicio fiscal y para los subsecuentes.
Dado en la residencia del Poder Ejecutivo Federal, en Ciudad de México a 28 de junio de 2023.- Andrés Manuel López Obrador.- Rúbrica.- El Secretario de Desarrollo Agrario, Territorial y Urbano, Román Guillermo Meyer Falcón.- Rúbrica.- La Secretaria de Cultura, Alejandra Frausto Guerrero.- Rúbrica.
 
1          Naciones Unidas, A/HRC/RES/37/17 Los derechos culturales y la proyección del patrimonio cultural, en
Resolución aprobada por el Consejo de Derechos Humanos el 22 de marzo de 2018, [en línea], <https://digitallibrary.un.org/
record/1486785?ln=es>, [consulta: 29 de julio, 2022].
2          Hernández Ramírez, Patricia, Proyecto de restauración de "El portalito" Huichapan, Hidalgo, Tesis para obtener el
grado de maestra en Arquitectura en restauración de monumentos, Universidad Nacional Autónoma de México, México,
1999, p. 5.
3          Fernández, Justino, Catálogo de construcciones religiosas del estado de Hidalgo, Secretaria de Hacienda y
Crédito Público, México, 1940, p. 335.
4          Javier Clavijero, Francisco, Historia antigua de México, Colección Sepan cuantos..., no. 29, Editorial Porrúa,
México, 2009, p. 85.
5          Lara Galicia, Aline, Estado del arte en las manifestaciones rupestres del Valle del Mezquital en Moragas Segura,
Natalia, Morales Damián, Manuel Alberto (coord.), Estudios de Antropología e Historia. Arqueología y patrimonio en el
estado de Hidalgo, Universidad Autónoma del Estado de Hidalgo, Pachuca, 2010, p. 46.
6          Cadena Guerrero, José Antonio, Pedraza, Merced, Apuntes Históricos de Huichapan, Gobierno del Estado de
Hidalgo, Pachuca, 2009,
pp. 19-20.
7          Mendoza Muñoz, Jesús, El Gobierno virreinal de la provincia de Xilotepec y Huichapan, Fomento Histórico y
Cultural de Cadereyta, A. C., México, 2007, p. 14.
8          Lastra, Yolanda, Bartholomew Doris, Códice de Huichapan. Paleografía y traducción, Instituto de Investigaciones
Antropológicas, Universidad Nacional Autónoma de México, México, 2001, p. 9.
9          Lastra, Yolanda, El códice otomí de San Mateo Huichapan en Arqueología Mexicana, Vol. XIII, Núm. 73, mayo-
junio 2005, p. 33.
10         González Dávila, Fernando, Huichapan en el camino en López Aguilar, Fernando, López Hernández, Haydeé,
Huichapan tres momentos de su historia, Consejo Estatal para la Cultura y las Artes, Pachuca, 2014, p. 99.
11         Mendoza Muñoz, Jesús, op. cit., pp. 23-24.
12         Jiménez Abollado, Francisco Luis, Ramírez Calva, Verenice Cipatli, Por los senderos paralelos del camino real de
tierra adentro: abasto, rutas y comercio de la jurisdicción de Huichapan en el siglo XVIII en Revista Xihmai, Vol. 9, No. 18,
Universidad La Salle Pachuca, Pachuca, julio- diciembre 2014, p. 55-56.
13         Ibíd., p. 79.
14         Mendoza Muñoz, Jesús, Espíndola Alvarado, Eduardo, Testamento del Capitán Manuel González, benefactor de
Huichapan. Antología documental, serie documentos volumen I, Fomento Histórico y Cultural de Cadereyta, Cadereyta,
2005, p. 7.
15         Fernández, Justino, op. cit., pp. 336 y Mendoza Muñoz, Jesús, Espíndola Alvarado, Eduardo, op. cit., pp. 8, 26,
29.
16         Mendoza Muñoz, Jesús, op. cit., pp. 80, 81.
17         Álvarez, José Rogelio, Enciclopedia de México, tomo I, Sabeca International Investment Corporation c/o
Encyclopaedia Británnica de México, S.A de C.V, México, 1993, p. 416.
18         Rivera Marín, Guadalupe, ¡Si hubiera parque...!, Instituto Nacional de Estudios Históricos de la Revolución
Mexicana, Gobierno del estado de Hidalgo, México, 1993, p.106.
19         López Hernández, Haydeé, Escenas de guerra y bronce: Huichapan durante la Independencia en López Aguilar,
Fernando, López Hernández, Haydeé (coord.), op. cit., p. 133.
20         Rivera Marín, Guadalupe, op. cit., p. 30.
21         Ibíd., p. 32.
22         Cadena Guerrero, José Antonio, Pedraza, Merced, op. cit., p. 53.
23         Rivera Marín, Guadalupe, op. cit., p. 32.
24         Cadena Guerrero, José Antonio, Pedraza, Merced, op. cit., p. 60 y Manzano, Teodomiro, Anales del Estado de
Hidalgo. Primera parte (608 a 1868), Colección Bicentenario, No. 11, Comisión Especial Interinstitucional Para Conmemorar
el Bicentenario de la Independencia Nacional y el Centenario de la Revolución Mexicana de 1910, Hidalgo, 2010, p. 42.
25         Manzano, Teodomiro, op. cit, p. 67
26         Ibid., p.71.
27         Cadena Guerrero, José Antonio, Pedraza, Merced, op. cit., pp. 89, 90.
28         S/a, El Palacio Municipal de Huichapan en El Municipio Libre, tomo XV, No. 109, México, 11 de mayo de 1889,
p.2 y Cadena Guerrero, José Antonio, Pedraza, Merced, op. cit., pp. 133.
29         S/a, Anoche salió para Huichapan el Sr. Presidente en El imparcial, tomo XXXIL, no. 6657, México, 23 de junio
de 1912, p. 1.
30         Campos Ponce, Xavier, Madero y la presa de Huichapan, DAPP, México, 1938, p. 13.