PROYECTO de Norma Oficial Mexicana PROY-NOM-163-SEMARNAT-SCFI-2023, Emisiones de bióxido de carbono (CO2) provenientes del escape, aplicable a vehículos automotores nuevos de peso bruto vehicular de hasta 3 857 kilogramos.
Al margen un sello con el Escudo Nacional, que dice: Estados Unidos Mexicanos.- Secretaría de Medio Ambiente y Recursos Naturales.
ALONSO JIMÉNEZ REYES, Subsecretario de Regulación Ambiental y Presidente del Comité Consultivo Nacional de Normalización de Medio Ambiente y Recursos Naturales; y SALVADOR ARGÜELLES LÓPEZ, Director General de Normas y Presidente del Comité Consultivo Nacional de Normalización de la Secretaría de Economía, con fundamento en lo dispuesto en los artículos 4o., párrafo quinto de la Constitución Política de los Estados Unidos Mexicanos; 26, 32 Bis, fracciones I, II, III, IV y V, 34, fracciones XIII y XXXIII de la Ley Orgánica de la Administración Pública Federal; 1o, fracción V, 2o, fracción V, 5o., fracciones V y XII, 6o., 36, 37 Bis, 111, fracciones III y IX, 113, 161, primer párrafo y 171 de la Ley General del Equilibrio Ecológico y Protección al Ambiente; 1o, 2, fracciones I, II, III y VIII, 5 fracción V, XII y XXI, 6, 7, fracción I, II, III, VII y XXVII, 96, 97 y 111, fracción III y IX de la Ley General de Cambio Climático; 38, fracción II y IV, 39, fracción V, 40, fracciones I, X y XII, 41, 43, 44, 45, 46, 47, fracción I, 51 y 73 de la Ley Federal sobre Metrología y Normalización; 39 y Cuarto Transitorio de la Ley de Infraestructura de la Calidad; 7o., fracciones II y IV y 28 del Reglamento de la Ley General del Equilibrio Ecológico y Protección al Ambiente en Materia de Prevención y Control de la Contaminación de la Atmósfera; 28, 31, 33 y 34 del Reglamento de la Ley Federal sobre Metrología y Normalización; 17, fracciones VII, VIII y IX del Reglamento Interior de la Secretaría de Medio Ambiente y Recursos Naturales; 2o, apartado A, fracción II, numeral 19; y 36, fracción I, IV, IX y X del Reglamento Interior de la Secretaría de Economía, las facultades que se indican, y CONSIDERANDO
Que el artículo 4o., párrafo quinto de la Constitución Política de los Estados Unidos Mexicanos establece el derecho que toda persona tiene a un medio ambiente sano para su desarrollo y bienestar y que, entre los aspectos que deben regularse para garantizar ese derecho, se encuentra el de asegurar una calidad del aire satisfactoria mediante el control de las emisiones de contaminantes a la atmósfera.
Que México forma parte de la Convención Marco de las Naciones Unidas sobre el Cambio Climático desde su creación en 1992, habiendo ratificado su participación en la reducción de emisiones de gases de efecto invernadero con la firma del Protocolo de Kioto en 1997.
Que el 12 de diciembre de 2015 se emitió el Acuerdo de París, a través el cual se refuerza la respuesta mundial a los efectos del cambio climático, en el contexto del desarrollo sostenible, mismo que fue firmado y ratificado por nuestro país en el año 2016, asumiendo compromisos en materia de reducción de Gases y Compuestos de Efecto Invernadero.
Que la Ley General del Equilibrio Ecológico y la Protección al Ambiente establece la facultad de la Secretaría de Medio Ambiente y Recursos Naturales para formular y ejecutar acciones de mitigación y adaptación al cambio climático, así como la de regular los niveles máximos permisibles de emisión de gases provenientes de fuentes fijas y móviles.
Que la Ley General de Cambio Climático prevé una serie de instrumentos financieros, regulatorios, técnicos, de planeación, de evaluación y de vigilancia de la política pública de cambio climático, con el objetivo, entre otros, de mitigar las emisiones de Gases y Compuestos de Efecto Invernadero.
Que de acuerdo con el Inventario Nacional de Emisiones de Gases y Compuestos de Efecto Invernadero 2015, en México, el sector transporte es el mayor emisor de gases de efecto invernadero con 25.1 por ciento de las emisiones totales en nuestro país, de los cuales 23.4 por ciento corresponde al autotransporte, lo que representa 159.9 millones de toneladas de bióxido de carbono equivalente (CO2e).
Que, tomando en cuenta las contribuciones determinadas a nivel nacional para el cumplimiento de los objetivos del Acuerdo de París para reducir veintidós por ciento de las emisiones de gases de efecto invernadero en México al año 2030, la meta para todo el sector transporte es reducir tales emisiones en dieciocho por ciento.
Que a pesar que se dispone de la Norma Oficial Mexicana NOM-042-SEMARNAT-2003, publicada en el Diario Oficial de la Federación, el 7 de septiembre de 2005, instrumento en el que se establecen los límites máximos permisibles de emisión de hidrocarburos totales o no metano, monóxido de carbono, óxidos de nitrógeno y partículas provenientes del escape de los vehículos automotores nuevos cuyo peso bruto vehicular no exceda los 3 857 kilogramos, que usan gasolina, gas licuado de petróleo, gas natural y diésel, así como de las emisiones de hidrocarburos evaporativos provenientes del sistema de combustible de dichos vehículos, fue necesario publicar una nueva Norma Oficial Mexicana que contemplara las especificaciones de carácter técnico para realizar el cálculo de las emisiones de bióxido de carbono.
Que el 21 de junio de 2013, se publicó, en el Diario Oficial de la Federación, la Norma Oficial Mexicana NOM-163-SEMARNAT-ENER-SCFI-2013, Emisiones de bióxido de carbono (CO2) provenientes del escape y su equivalencia en términos de rendimiento de combustible, aplicable a vehículos automotores nuevos de peso bruto vehicular de hasta 3 857 kilogramos, cuyo objetivo es establecer los parámetros y la metodología para el cálculo de los promedios corporativos meta y observado de las emisiones de bióxido de carbono expresados en gramos de bióxido de carbono por kilómetro (g CO2/km) y su equivalencia en términos de rendimiento de combustible, expresado en kilómetros por litro (km/l), con base en los vehículos automotores ligeros nuevos, con peso bruto vehicular que no exceda los 3 857 kilogramos, que utilizan gasolina o diésel como combustible cuyo año modelo sea 2014 y hasta 2016 y que se comercialicen en México.
Que en la NOM-163-SEMARNAT-ENER-SCFI-2013 se incluyó una flexibilidad que implica la definición de metas alternativas de cumplimiento para aquellos corporativos que tuviesen una muy limitada variedad de líneas de vehículos y que, por lo tanto, necesitaban un periodo mayor para adaptar sus vehículos, especialmente en los primeros años, y con ello poder cumplir con dicho instrumento normativo.
Que, por lo anterior, en el instrumento normativo arriba citado se definieron los criterios que deben cumplirse para que los corporativos elegibles pudiesen acceder a esta alternativa, sin que por ello se afectara la finalidad perseguida mediante el instrumento normativo antes mencionado.
Que la NOM-163-SEMARNAT-ENER-SCFI-2013 tuvo otros beneficios derivados de la reducción de las emisiones de gases de efecto invernadero, como son el incremento en el rendimiento de combustibles, la disminución de las emisiones de contaminantes locales, la mejora en la calidad del aire y, por lo tanto, la reducción de los impactos negativos en la salud de la población.
Que, por otro lado, el gobierno de los Estados Unidos de América, publicó, de manera conjunta entre la Agencia de Protección Ambiental (EPA, por sus siglas en inglés) y la Administración Nacional de Seguridad de Tráfico en Carreteras (NHTSA, por sus siglas en inglés), la Regulación de Emisiones de Gases de Efecto Invernadero para Vehículos Ligeros y el Promedio Corporativo para la Economía de Combustible (Light-Duty Vehicle Greenhouse Gas Emissions Standards and Corporate Average Fuel Economy Standards), misma que tiene como periodo de aplicación del año 2017 al 2025.
Que la regulación sobre emisiones de bióxido de carbono (CO2) de los Estados Unidos de América, mencionada en el párrafo anterior y que actualmente se encuentra vigente, incluye en su cálculo, las emisiones de hidrocarburos (HC) y monóxido de carbono (CO), sobre una base de bióxido de carbono equivalente, dado que se reconoce que las emisiones de HC y de CO se oxidan rápidamente a CO2 y, por lo tanto, se asume que forman parte efectiva del CO2 emitido por un vehículo.
Que la Administración Nacional de Seguridad de Tráfico en Carreteras (NHTSA, por sus siglas en inglés), contempla una remediación al impacto causado por la emisión de gases, mediante medidas correctivas (monetarias) a cargo de los corporativos, con la finalidad de fomentar y asegurar el cumplimiento del marco regulatorio.
Que, al elaborar el presente Proyecto de Norma Oficial Mexicana PROY-NOM-163-SEMARNAT-SCFI-2023, también se tomó como referencia la regulación de los Estados Unidos de América, por lo que los vehículos automotores nuevos que tendrán que cumplir con el nuevo instrumento regulatorio son aquéllos cuyo año modelo sea anterior a 2028; esto, aunado a que se contempla la conclusión de la vigencia de los créditos por penetración tecnológica y de esfuerzo anticipado, así como el programa de metas alternativas, toda vez que cumplieron su objetivo cuando concluyó la comercialización de vehículos nuevos año modelo 2024.
Que se expidieron dos Avisos en el Diario Oficial de la Federación: Aviso mediante el cual se dan a conocer los parámetros para el cálculo de las emisiones de bióxido de carbono (CO2) en los vehículos automotores ligeros nuevos con peso bruto vehicular que no exceda los 3 857 kilogramos, que utilizan gasolina o diésel como combustible cuyo año-modelo sea 2017, publicado en el Diario Oficial de la Federación el 24 de junio de 2016; y Aviso mediante el cual se dan a conocer los parámetros para el cálculo de las emisiones de bióxido de carbono (CO2) en los vehículos automotores ligeros nuevos con peso bruto vehicular que no exceda los 3 857 kilogramos, que utilizan gasolina o diésel como combustible cuyo año-modelo sea 2018, aplicables a los automotores nuevos año modelo 2017 y 2018 respectivamente, mediante los cuales se extiende la aplicación de los valores y parámetros para el cálculo de las emisiones meta para vehículos de pasajeros y camionetas ligeras de año modelo 2016, así como el programa de metas alternativas y los créditos correspondientes, por lo que la exigencia es la misma para las flotas de vehículos de los tres años modelo más recientes.
Que, con el objeto de continuar con la tendencia en la reducción de emisiones de bióxido de carbono, lograda mediante la Norma Oficial Mexicana NOM-163-SEMARNAT-ENER-SCFI-2013 y a fin de dar cumplimiento a los compromisos asumidos a nivel internacional por nuestro país, el presente Proyecto de Norma Oficial Mexicana PROY-NOM-163-SEMARNAT-SCFI-2023, exige, de manera gradual, para los vehículos ligeros nuevos de los años modelo anteriores a 2028, el cumplimiento de niveles más estrictos en torno a dichas emisiones.
Que, debido al incremento de la exigencia de los niveles de emisión de bióxido de carbono a través del Proyecto de Norma Oficial Mexicana PROY-NOM-163-SEMARNAT-SCFI-2023, se incluyeron, no sólo nuevos créditos, sino también un cuarto criterio de aceptación, el cual consiste en un mecanismo de compensación.
Que, en el caso de nuevos créditos, se incluyeron aquéllos por introducción de tecnologías que reducen las emisiones de bióxido de carbono, o bien, porque brindan beneficios fuera de las condiciones de los ciclos de prueba.
Que, de igual forma, se pueden generar créditos derivado de los desarrollos tecnológicos que permiten incorporar sistemas y dispositivos que impactan en el desempeño de los vehículos y se refuerzan los créditos por la incorporación en la flota de vehículos automotores nuevos con tecnologías de propulsión híbrida, eléctrica y de celda de combustible, así como aquéllos aplicables para los sistemas de aire acondicionado, a partir de mejoras en la eficiencia, el incremento en la hermeticidad y el empleo de refrigerantes con menor potencial de calentamiento global.
Que, en el Proyecto de Norma Oficial Mexicana PROY-NOM-163-SEMARNAT-SCFI-2023, Emisiones de bióxido de carbono (CO2) provenientes del escape, aplicable a vehículos automotores nuevos de peso bruto vehicular de hasta 3 857 kilogramos, existen nuevos Apéndices informativos respecto de la eficiencia en los sistemas de aire acondicionado y los refrigerantes, así como en lo que corresponde a las tecnologías fuera de ciclo, a fin de brindar mayor certeza a los sujetos regulados respecto de los créditos a generar vinculados a los temas correspondientes.
Que, en lo referente al mecanismo de compensación, las diferencias negativas entre el promedio corporativo ponderado meta y el promedio corporativo ponderado observado, sumado a la aplicación y potencial transferencia de créditos entre corporativos, se monetizan a efecto de llevar a cabo aportaciones económicas que se destinarán a la realización de proyectos en materia de cambio climático definidos por la Secretaría de Medio Ambiente y Recursos Naturales.
Que, a efecto de brindar mayor certeza a los sujetos regulados en el Proyecto de Norma Oficial Mexicana PROY-NOM-163-SEMARNAT-SCFI-2023, Emisiones de bióxido de carbono (CO2) provenientes del escape, aplicable a vehículos automotores nuevos de peso bruto vehicular de hasta 3 857 kilogramos, se contemplan dos Apéndices normativos asociados, tanto al mecanismo de compensación, como en lo que respecta a la transferencia de créditos entre Corporativos.
Que, si bien, en el Procedimiento para la Evaluación de la Conformidad de la Norma Oficial Mexicana NOM-163-SEMARNAT-ENER-SCFI-2013, Emisiones de bióxido de carbono (CO2) provenientes del escape y su equivalencia en términos de rendimiento de combustible, aplicable a vehículos automotores nuevos de peso bruto vehicular de hasta 3 857 kilogramos, estaba contemplada la participación de organismos de tercera parte, en la nueva versión del instrumento normativo en comento se detalla la forma en la que las unidades de inspección acreditadas y aprobadas determinarán el cumplimiento con dicho instrumento normativo.
Que para evaluar la conformidad con el Proyecto de Norma Oficial Mexicana PROY-NOM-163-SEMARNAT-SCFI-2023, Emisiones de bióxido de carbono (CO2) provenientes del escape, aplicable a vehículos automotores nuevos de peso bruto vehicular de hasta 3 857 kilogramos, el procedimiento a seguir por parte de las unidades de inspección y por parte de la autoridad de verificación y vigilancia del sector ambiental del Gobierno Federal es distinto, derivado de las atribuciones de dicha autoridad y de lo dispuesto en la Ley de Infraestructura de la Calidad respecto de los Organismos de Evaluación de la Conformidad.
Que derivado del Decreto por el que se reforman y derogan diversas disposiciones de la Ley para la Protección de Personas Defensoras de Derechos Humanos y Periodistas; de la Ley de Cooperación Internacional para el Desarrollo; de la Ley de Hidrocarburos; de la Ley de la Industria Eléctrica; de la Ley Federal de Presupuesto y Responsabilidad Hacendaria; de la Ley General de Protección Civil; de la Ley Orgánica de la Financiera Nacional de Desarrollo Agropecuario, Rural, Forestal y Pesquero; de la Ley de Ciencia y Tecnología; de la Ley Aduanera; de la Ley Reglamentaria del Servicio Ferroviario; de la Ley General de Cultura Física y Deporte; de la Ley Federal de Cinematografía; de la Ley Federal de Derechos; de la Ley del Fondo Mexicano del Petróleo para la Estabilización y el Desarrollo; de la Ley de Bioseguridad de Organismos Genéticamente Modificados; de la Ley General de Cambio Climático; de la Ley General de Víctimas y se abroga la Ley que crea el Fideicomiso que administrará el Fondo de Apoyo Social para Ex Trabajadores Migratorios Mexicanos, publicado en el Diario Oficial de la Federación, con fecha 6 de noviembre de 2020, mediante el cual se eliminó el Fondo para el Cambio Climático, se estima conveniente incorporar un artículo Transitorio Séptimo, a efecto de darle certeza jurídica a los particulares que tengan que aplicar el Criterio de aceptación 4, descrito en el numeral 4.6, inciso d) de este Proyecto de Norma Oficial Mexicana, para poder dar cumplimiento al presente instrumento normativo.
Que el primer anteproyecto de Modificación a la Norma Oficial Mexicana NOM-163-SEMARNAT-ENER-SCFI-2013, Emisiones de bióxido de carbono (CO2) provenientes del escape y su equivalencia en términos de rendimiento de combustible, aplicable a vehículos automotores nuevos de peso bruto vehicular de hasta 3 857 kilogramos, se sometió y fue aprobado como Proyecto de Modificación a la Norma Oficial Mexicana NOM-163-SEMARNAT-ENER-SCFI-2013 por el Comité Consultivo Nacional de Normalización de Medio Ambiente y Recursos Naturales (COMARNAT), en su Primera Sesión Extraordinaria del 30 de agosto de 2018, así como por el Comité Consultivo Nacional de Normalización para la Preservación y Uso Racional de los Recursos Energéticos (CCNNPURRE), en su Segunda Sesión Extraordinaria del 30 de agosto de 2018, y por el Comité Consultivo Nacional de Normalización de la Secretaría de Economía (CCONNSE), en su Cuarta Sesión Extraordinaria del 29 de agosto de 2018 para que éste fuese publicado a consulta pública en el Diario Oficial de la Federación, de conformidad con lo dispuesto en el artículo 47, fracción I de la Ley Federal sobre Metrología y Normalización, a efecto de que los interesados, dentro de los sesenta días naturales siguientes, contados a partir de la fecha de su publicación en el Diario Oficial de la Federación, emitieran comentarios al Comité Consultivo Nacional de Normalización de Medio Ambiente y Recursos Naturales, sito en Avenida Ejército Nacional número 223, piso 16, Ala "A", colonia Anáhuac, delegación Miguel Hidalgo, Ciudad de México, C.P. 11320, o bien, a la dirección de correo electrónico: luis.acevedo@semarnat.gob.mx. Que el 28 de septiembre de 2018 se publicó en el Diario Oficial de la Federación el PROYECTO de Modificación a la Norma Oficial Mexicana NOM-163-SEMARNAT-ENER-SCFI-2013, Emisiones de bióxido de carbono (CO2) provenientes del escape y su equivalencia en términos de rendimiento de combustible, aplicable a vehículos automotores nuevos de peso bruto vehicular de hasta 3,857 kilogramos.
Que a fin de atender los comentarios recibidos durante el periodo de consulta pública se integró un grupo de trabajo, el cual sesionó entre 2019 y 2021, mismo que elaboró una propuesta de respuesta a los comentarios recibidos al Proyecto de Modificación a la Norma Oficial Mexicana NOM-163-SEMARNAT-ENER-SCFI-2013 y que derivó en diversas modificaciones. Que además de dichas modificaciones se ajustó también el periodo regulado para iniciar con los años modelo 2025, dado que los años modelo anteriores a 2022 ya se comercializaron, los correspondientes al año modelo 2023 se están comercializando actualmente, y las unidades con año modelo 2024 iniciarán su comercialización en el segundo semestre del año 2023.
Que el 01 de julio de 2020 se publicó en el Diario Oficial de la Federación la Ley de Infraestructura de la Calidad, misma que en su artículo Cuarto Transitorio establece que las Propuestas, anteproyectos y Proyectos de Normas Oficiales Mexicanas y Estándares que a la fecha de la entrada en vigor de la citada Ley se encuentren en trámite y no hayan sido publicados deberán ajustarse a lo dispuesto por la Ley Federal sobre Metrología y Normalización, su Reglamento y demás disposiciones secundarias vigentes al momento de su presentación y hasta su conclusión, y toda vez que los trabajos para la modificación de la Norma Oficial Mexicana NOM-163-SEMARNAT-ENER-SCFI-2013 comenzaron con anterioridad a la publicación de la Ley de Infraestructura de la Calidad, éstos se regirán por lo establecido en la Ley Federal sobre Metrología y Normalización y su Reglamento.
Que el 21 de marzo de 2023 la Comisión Nacional para el Uso Eficiente de la Energía (CONUEE), informó
a la Comisión Nacional de Infraestructura de la Calidad que el objetivo y ámbito de aplicación del "Proyecto de Modificación a la Norma Oficial Mexicana NOM-163- SEMARNAT-ENER-SCFI-2013, Emisiones de bióxido de carbono (CO2) provenientes del escape y su equivalencia en términos de rendimiento de combustible, aplicable a vehículos automotores nuevos de peso bruto vehicular de hasta 3 857 kilogramos", no se enmarca en las facultades de la CONUEE por lo que solicitó que dicho proceso de normalización sea cancelado en el apartado del Programa Nacional de Infraestructura de la Calidad 2023, correspondiente a dicha Comisión, toda vez que ya no participará en la emisión conjunta de este Proyecto de Norma Oficial Mexicana.
Que la decisión de la Comisión Nacional para el Uso Eficiente de la Energía de no participar en la emisión conjunta del presente instrumento normativo, cambia sustancialmente su redacción inicial al tener que ajustarse el título del Proyecto de Norma Oficial Mexicana, el objetivo y campo de aplicación, así como diversas disposiciones de su contenido, por lo que de conformidad al último párrafo del artículo 33 del Reglamento de la Ley Federal sobre Metrología y Normalización, éste debe someterse nuevamente al periodo de consulta pública establecido en dicho ordenamiento.
Que, en virtud de lo anterior, durante la segunda sesión ordinaria del Comité Consultivo Nacional de Normalización de Medio Ambiente y Recursos Naturales (COMARNAT) y durante la segunda sesión extraordinaria del Comité Consultivo Nacional de Normalización de la Secretaría de Economía (CCONNSE), ambas celebradas el día 13 de abril de 2023, el pleno del COMARNAT y el pleno del CCONNSE aprobaron, conforme a lo dispuesto en los artículos 46 de la Ley Federal sobre Metrología y Normalización y 33, último párrafo del Reglamento de la Ley Federal sobre Metrología y Normalización, un plazo de 30 días naturales para que la Secretaría de Medio Ambiente y Recursos Naturales, en coordinación con la Secretaría de Economía, ajusten el proyecto de modificación de la NOM-163-SEMARNAT-ENER-SCFI-2013, y convoquen a una sesión posterior adjuntando el proyecto de modificación ajustado y su respectivo análisis de impacto regulatorio para la consideración y, en su caso, aprobación de la publicación del Proyecto de Norma Oficial Mexicana a segunda consulta pública. Que el anteproyecto de Norma Oficial Mexicana PROY-NOM-163-SEMARNAT-SCFI-2023, Emisiones de bióxido de carbono (CO2) provenientes del escape, aplicable a vehículos automotores nuevos de peso bruto vehicular de hasta 3 857 kilogramos, se sometió y fue aprobado como Proyecto de Norma Oficial Mexicana PROY-NOM-163-SEMARNAT-SCFI-2023, Emisiones de bióxido de carbono (CO2) provenientes del escape, aplicable a vehículos automotores nuevos de peso bruto vehicular de hasta 3 857 kilogramos, por el Comité Consultivo Nacional de Normalización de Medio Ambiente y Recursos Naturales (COMARNAT) en su Segunda Sesión Extraordinaria del 29 de mayo de 2023, así como por el Comité Consultivo Nacional de Normalización de la Secretaría de Economía (CCONNSE), en su Tercera Sesión Extraordinaria del 29 de mayo de 2023, para que éste fuese publicado a consulta pública en el Diario Oficial de la Federación, de conformidad con lo dispuesto en el artículo 47, fracción I de la Ley Federal sobre Metrología y Normalización, a efecto de que los interesados, dentro de los sesenta días naturales siguientes, contados a partir de la fecha de su publicación en el Diario Oficial de la Federación, emitan comentarios al Comité Consultivo Nacional de Normalización de Medio Ambiente y Recursos Naturales, sito en Avenida Ejército Nacional número 223, piso 13, Ala "B", colonia Anáhuac, delegación Miguel Hidalgo, Ciudad de México, C.P. 11320, o bien, a la dirección de correo electrónico: nom163@semarnat.gob.mx. Que el instrumento que contempla los aspectos de impacto regulatorio asociados a este Proyecto de Norma Oficial Mexicana PROY-NOM-163-SEMARNAT-SCFI-2023 estará disponible en el domicilio del Comité Consultivo Nacional de Normalización de Medio Ambiente y Recursos Naturales arriba citado, para quienes deseen consultarlo dentro de los plazos establecidos para tales efectos en la Ley Federal sobre Metrología y Normalización y en la Ley General de Mejora Regulatoria.
Por lo expuesto y fundado, se expide el siguiente:
PROYECTO DE NORMA OFICIAL MEXICANA PROY-NOM-163-SEMARNAT-SCFI-2023, EMISIONES DE
BIÓXIDO DE CARBONO (CO2) PROVENIENTES DEL ESCAPE, APLICABLE A VEHÍCULOS
AUTOMOTORES NUEVOS DE PESO BRUTO VEHICULAR DE HASTA 3 857 KILOGRAMOS
Prefacio
El presente Proyecto de Norma Oficial Mexicana fue elaborado por los siguientes comités: Comité Consultivo Nacional de Normalización de Medio Ambiente y Recursos Naturales (COMARNAT) y Comité Consultivo Nacional de Normalización de la Secretaría de Economía (CCONNSE), y también participaron las siguientes instituciones y empresas:
· ASOCIACIÓN MEXICANA DE LA INDUSTRIA AUTOMOTRIZ, A.C.
o Audi de México, S.A. de C.V.
o BMW de México, S.A. de C.V.
o Ford Motor Company, S.A. de C.V.
o General Motors de México, S. de R.L. de C.V.
o Honda de México, S.A. de C.V.
o Hyundai Motor de México, S. de R.L. de C.V.
o Jaguar Land Rover, S.A.P.I. de C.V.
o KIA Motors México, S.A de C.V.
o Mazda Motor de México, S. de R.L de C.V.
o Mercedes-Benz México, S. de R.L. de C.V.
o Mitsubishi Motors de México, S.A. de C.V.
o Nissan Mexicana, S.A. de C.V.
o Peugeot México, S.A. de C.V.
o Renault de México, S.A. de C.V.
o SGM Automotriz de México, S.A. de C.V.
o Stellantis México, S.A. de C.V.
o Suzuki Motor de México, S.A de C.V.
o Toyota Motor Sales de México, S. de R.L. de C.V.
o Volkswagen de México, S.A. de C.V.
o Volvo de México, S.A. de C.V.
· CENTRO MEXICANO DE DERECHO AMBIENTAL
· COMISIÓN AMBIENTAL DE LA MEGALÓPOLIS
· COMISIÓN NACIONAL PARA EL USO EFICIENTE DE LA ENERGÍA
· CONSEJO INTERNACIONAL DE TRANSPORTE LIMPIO (ICCT, por sus siglas en inglés)
· EL PODER DEL CONSUMIDOR
· GRUPO DE FINANCIAMIENTO CLIMÁTICO PARA LATINOAMÉRICA Y EL CARIBE
· INICIATIVA CLIMÁTICA DE MÉXICO
· INSTITUTO NACIONAL DE ECOLOGÍA Y CAMBIO CLIMÁTICO
o Coordinación General de Mitigación del Cambio Climático
o Coordinación General de Contaminación y Salud Ambiental
· PROCURADURÍA FEDERAL DE PROTECCIÓN AL AMBIENTE
o Subprocuraduría de Inspección Industrial
· SECRETARÍA DE ENERGÍA
· SECRETARÍA DE ECONOMÍA
o Dirección General de Industrias Pesadas y de Alta Tecnología
o Dirección General de Normas
· SECRETARÍA DE MEDIO AMBIENTE Y RECURSOS NATURALES
o Subsecretaría de Política Ambiental y Recursos Naturales
o Dirección General de Industria, Energías Limpias y Gestión de la Calidad del Aire
· INSTITUTO DE RECURSOS MUNDIALES (WRI México)
Índice del contenido
1. Objetivo y campo de aplicación
2. Referencias normativas
3. Términos y definiciones
4. Especificaciones
5. Programa de Metas Alternativas
6. Procedimiento para la evaluación de la conformidad
7. Vigilancia
8. Concordancia con Normas Internacionales
Apéndice A (normativo) Transferencia de Créditos
Apéndice B (normativo) Mecanismo de compensación
Apéndice C (normativo) Cálculo de Emisiones para sistemas de aire acondicionado móviles aplicables a los refrigerantes R-134a y R-1234yf
Apéndice D (normativo) Información técnica
Apéndice E (informativo) Criterios de clasificación como camioneta ligera
Apéndice F (informativo) Tecnologías que permiten incrementar la eficiencia de los sistemas de aire acondicionado de los vehículos automotores nuevos
Apéndice G (informativo) Tecnologías fuera de ciclo para vehículos automotores nuevos
9. Bibliografía
Transitorios
1. Objetivo y campo de aplicación
El presente Proyecto de Norma Oficial Mexicana establece los parámetros y la metodología para el cálculo de los promedios corporativos meta y observado de las emisiones de bióxido de carbono expresados en gramos de bióxido de carbono por kilómetro (g CO2/km).
Este Proyecto de Norma Oficial Mexicana es aplicable a vehículos automotores nuevos, de peso bruto vehicular entre 400 y 3 857 kilogramos, que utilizan como combustible gasolina, diésel o combustibles alternos, o bien, si son vehículos híbridos, híbridos conectables, eléctricos, eléctricos de rango extendido o de celda de combustible, cuyo año modelo sea anterior a 2028 y que se comercialicen dentro del territorio nacional. Es de observancia obligatoria para los Corporativos que comercializan vehículos automotores nuevos, excepto cuando el Corporativo comercialice en total, entre 1 y hasta 500 unidades en total por año modelo.
Se exceptúa a los vehículos de peso bruto vehicular menor a 400 kilogramos, los destinados exclusivamente a circular en vías pavimentadas delimitadas como: pistas de carreras, aeropuertos, pistas de go-karts, u otro campo de transporte similar; así como los empleados para labores agrícolas; para terreno montañoso, desértico, playas o vías férreas; motocicletas, tractores agrícolas o maquinaria dedicada a actividades específicas de las industrias de la construcción y la minería.
2. Referencias normativas
Los siguientes instrumentos normativos referidos, o los que le sustituyan, son indispensables para la aplicación de este Proyecto de Norma Oficial Mexicana.
2.1. NOM-008-SCFI-2002, Sistema General de Unidades de Medida, publicada en el Diario Oficial de la Federación el 27 de noviembre de 2002.
2.2. NOM-042-SEMARNAT-2003, Que establece los límites máximos permisibles de emisión de hidrocarburos totales o no metano, monóxido de carbono, óxidos de nitrógeno y partículas provenientes del escape de los vehículos automotores nuevos cuyo peso bruto vehicular no exceda los 3 857 kilogramos, que usan gasolina, gas licuado de petróleo, gas natural y diésel, así como de las emisiones de hidrocarburos evaporativos provenientes del sistema de combustible de dichos vehículos, publicada en el Diario Oficial de la Federación el 7 de septiembre de 2005.
2.3. NMX-AA-011-1993-SCFI. Método de prueba para la evaluación de emisiones de gases del escape de los vehículos automotores nuevos en planta que usan gasolina como combustible (Cancela a la NMX-AA-11-1980). Declaratoria de vigencia publicada en el Diario Oficial de la Federación el 27 de diciembre de 1993.
3. Términos y definiciones
Para los propósitos de este Proyecto de Norma Oficial Mexicana se aplican los términos y definiciones dados en la Ley General del Equilibrio Ecológico y la Protección al Ambiente y su Reglamento en materia de Prevención y Control de la Contaminación de la Atmósfera, la Ley de Infraestructura de la Calidad y su Reglamento, así como las siguientes:
3.1. Año calendario:
periodo comprendido del 1 de enero al 31 de diciembre de un mismo año.
3.2. Año modelo:
periodo comprendido entre el inicio de la producción de determinado tipo de vehículo automotor y el 31 de diciembre del Año calendario con que dicho fabricante designe al modelo en cuestión.
3.3. Camioneta ligera:
vehículo automotor que cumple con el numeral 3.24 y con los criterios definidos en el Apéndice E (informativo) del presente Proyecto Norma Oficial Mexicana.
3.4. Certificado NOM:
documento emitido por la PROFEPA mediante el cual se hace constar que un determinado Corporativo cumple con lo establecido en el presente Proyecto de Norma Oficial Mexicana.
3.5. Ciclo de prueba:
protocolo de manejo al que deben someterse los vehículos para simular su desempeño, con el fin de determinar las emisiones del escape de dicho vehículo, el cual contempla el Ciclo en ciudad FTP y el Ciclo en carretera HFET.
3.6. Ciclo en ciudad FTP:
ciclo de prueba en donde se simula en un dinamómetro de chasis la operación del vehículo bajo condiciones de manejo urbano. Para el caso de los vehículos de combustión interna, las fases del ciclo son: arranque en frío, transitorio y arranque en caliente. En el caso de los vehículos híbridos conectables, las fases son: arranque en frío, transitoria, arranque en caliente y transitoria, para lo cual se requiere aplicar tanto el Modo de mantenimiento de carga, como el Modo de agotamiento de carga.
3.7. Ciclo en carretera HFET:
ciclo de prueba consistente en una fase, en donde se simula en un dinamómetro de chasis la operación de manejo en carretera del vehículo bajo condiciones de incrementos de velocidad y sin paradas. En el caso de los vehículos híbridos conectables, este ciclo se aplica a carga completa en conjunto con el Modo de agotamiento de carga.
3.8. Constancia de Conformidad:
documento emitido por la Unidad de Inspección mediante el cual se hace constar que un Corporativo cumple con lo establecido en el numeral 4.5 del presente Proyecto de Norma Oficial Mexicana, el cual está asociado al reporte anual de información.
3.9. Corporativo:
persona física o moral, fabricante o importador que realiza la primera enajenación de un Vehículo automotor nuevo en territorio nacional.
3.10. Créditos:
son las diferencias positivas que resultan de la aplicación de los criterios de aceptación del numeral 4.6 del presente Proyecto de Norma Oficial Mexicana, así como los montos que resultan del cumplimiento de los criterios establecidos en el numeral 4.4 del presente Proyecto de Norma Oficial Mexicana, también las diferencias positivas resultantes del cumplimiento del periodo regulado anterior aplicable a los años modelo 2012 al 2016, así como las diferencias positivas resultantes de la aplicación de los criterios señalados en este Proyecto de Norma Oficial Mexicana para los años modelo 2017, 2018, 2019, 2020, 2021, 2022, 2023 y 2024, todos esos valores estarán expresados en unidades de gramos de bióxido de carbono por kilómetro (g CO2/km) o en gramos de bióxido de carbono (g CO2), cuando estos hayan sido multiplicados por la vida útil del
vehículo.
3.11. Dictamen de Cumplimiento:
documento emitido por la unidad de inspección mediante el cual se hace constar que un determinado Corporativo cumple con lo establecido en el presente Proyecto de Norma Oficial Mexicana.
3.12. Documentación técnica:
evidencia documental mediante la cual el Corporativo demuestra que las flotas de vehículos automotores ligeros nuevos, cumplen con cualquiera de los criterios de aceptación del numeral 4.6 del presente Proyecto de Norma Oficial Mexicana.
Cabe señalar que la evidencia documental podrá incluir, entre otros, informes de resultados de las pruebas realizadas por laboratorios de prueba, ya sea que pertenezcan al propio fabricante o bien, de tercera parte, así como certificados o informes de entidades gubernamentales extranjeras, carta del fabricante o informes de pruebas de laboratorios nacionales acreditados y aprobados o informes de pruebas de laboratorios extranjeros, conforme a lo señalado en el numeral 3.14.
3.13. Emisiones de CO2:
son los gases de bióxido de carbono provenientes del escape del Vehículo automotor nuevo, en cuyo cálculo se incluyen las emisiones de hidrocarburos, hidrocarburos no metano, monóxido de carbono y metano, según lo establecido en el numeral 4.3.3 del presente Proyecto de Norma Oficial Mexicana.
3.14. Laboratorio de pruebas:
son aquellas personas físicas o morales que cuentan con la capacidad técnica, material y humana para efectuar las mediciones o análisis contemplados en el presente Proyecto de Norma Oficial Mexicana y que, para el caso de los laboratorios de pruebas que se encuentren dentro del territorio nacional, están acreditados y aprobados conforme a los ordenamientos legales aplicables.
Para efectos de este Proyecto de Norma Oficial Mexicana, los laboratorios de prueba que se encuentren en el extranjero son aquellos que están acreditados conforme a la ISO/IEC 17025 en el país de origen y aprobados por la PROFEPA con base en la Ley de Infraestructura de la Calidad; o bien, que cuentan con un acuerdo de reconocimiento mutuo o equivalencia vigente.
3.15. Modo de mantenimiento de carga:
modo de operación de un Vehículo híbrido conectable donde la batería del vehículo se encuentra completamente descargada y el vehículo funciona en modo gasolina. Modo utilizado en el Ciclo en ciudad FTP y Ciclo en carretera HFET para determinar los valores de operación de emisiones del motor a combustión.
3.16. Modo de agotamiento de carga:
modo de operación de un Vehículo híbrido conectable donde la batería del vehículo se encuentra completamente cargada y el vehículo funciona en modo eléctrico. Modo utilizado en el Ciclo en ciudad FTP y Ciclo en carretera HFET para determinar los valores de operación de emisiones del motor eléctrico.
3.17. Peso bruto vehicular:
el peso máximo del vehículo especificado por el fabricante expresado en kilogramos, consistente en el peso nominal del vehículo sumado al de su máxima capacidad de carga, con el tanque de combustible lleno a su capacidad nominal.
3.18. PROFEPA:
la Procuraduría Federal de Protección al Ambiente.
3.19. Promedio corporativo ponderado meta (PCPM) de emisiones de bióxido de carbono:
es el valor máximo permisible de emisiones de bióxido de carbono expresado en gramos de bióxido de carbono por kilómetro (g CO2/km) para el Año modelo regulado, obtenido de acuerdo con el numeral 4.2 del presente Proyecto de Norma Oficial Mexicana.
3.20. Promedio corporativo ponderado observado (PCPO) de emisiones de bióxido de carbono:
es el valor observado de emisiones de bióxido de carbono expresado en gramos de emisiones de bióxido de carbono por kilómetro (g CO2/km), para el Año modelo regulado, obtenido de acuerdo con el numeral 4.3 del presente Proyecto de Norma Oficial Mexicana.
3.21. Redondeo:
proceso de aproximar un valor a una cantidad considerando algunas de sus primeras cifras decimales, de acuerdo con los siguientes criterios:
a) Promedio corporativo ponderado meta (g CO2/km): la cifra se redondea al entero más próximo.
b) Promedio corporativo ponderado observado (g CO2/km): la cifra se redondea al entero más próximo.
c) Emisiones meta para cada Versión de vehículo (g CO2/km): la cifra se redondea a un decimal.
d) Sombra (m2): la cifra se redondea a dos decimales.
e) Resultados de los ciclos de prueba de ciudad y carretera (g/km); para el caso de los hidrocarburos (HC), hidrocarburos no metano (NMHC) y metano (CH4), la cifra se redondea a tres decimales; en el caso del monóxido de carbono (CO), la cifra se redondea a dos decimales y para el caso del bióxido de carbono (CO2), la cifra se redondea al entero más próximo.
3.22. Sombra:
es una medida del área entre las llantas del vehículo expresada en metros cuadrados calculada de acuerdo con los numerales 4.2.2 y 4.2.3 del presente Proyecto de Norma Oficial Mexicana.
3.23. Unidad de Inspección (UIA):
la persona física o moral debidamente acreditada y aprobada en términos de la Ley de Infraestructura de la Calidad y su Reglamento, misma que realiza actos de Inspección.
3.24. Vehículo automotor nuevo:
vehículo de pasajeros o Camioneta ligera que no ha sido enajenado por primera vez en el territorio nacional por el fabricante o importador, con un kilometraje no mayor a 1,000 kilómetros y con un Peso bruto vehicular de hasta 3 857 kilogramos.
3.25. Vehículo de celda de combustible:
vehículo eléctrico propulsado únicamente por un motor eléctrico donde la energía para el motor es suministrada por una celda electroquímica que produce electricidad a través de la reacción de no combustión de un combustible consumible, típicamente hidrógeno.
3.26. Vehículo de pasajeros:
vehículo automotor nuevo diseñado principalmente para el transporte de no más de 10 personas, el cual cumple con los criterios definidos en el numeral 3.24 del presente Proyecto de Norma Oficial Mexicana.
3.27. Vehículo eléctrico:
vehículo automotor cuyo funcionamiento o propulsión es 100 % de modo eléctrico y genera cero emisiones por combustión durante su operación.
3.28. Vehículo eléctrico de rango extendido (E-REV):
vehículo cuyo funcionamiento o propulsión es 100 % de modo eléctrico cuando se dispone de energía eléctrica almacenada en el sistema y cuenta con una fuente auxiliar de energía (usualmente un motor de combustión interna) que es utilizada para proporcionar energía al sistema eléctrico y continuar con el funcionamiento o propulsión 100% de modo eléctrico.
3.29. Vehículo híbrido:
vehículo automotor con dos o más sistemas que proporcionan energía, los cuales le proveen propulsión ya sea en conjunto o en forma independiente. Si cuenta con sistema de almacenamiento eléctrico, éste no se recarga a través de una conexión externa.
3.30. Vehículo híbrido conectable:
vehículo automotor con dos o más sistemas que proporcionan energía, los cuales le proveen propulsión ya sea en conjunto o en forma independiente, en donde el sistema de almacenamiento eléctrico se recarga a través de una conexión externa.
3.31. Ventas del corporativo o Volumen de ventas:
cantidad total de vehículos automotores nuevos del mismo Año modelo enajenados por primera vez por el Corporativo, en el mercado nacional.
3.32. Inspección:
la constatación ocular o comprobación mediante muestreo, medición, pruebas de laboratorio o examen de documentos que se realizan para evaluar la conformidad en un momento determinado.
3.33. Versión de vehículo:
clasificación de un vehículo basada en especificaciones técnicas de los componentes de su tren motriz (motor, transmisión y diferencial) y sombra, de acuerdo con el Año modelo correspondiente.
4. Especificaciones
4.1. Generalidades
Los Corporativos con base en la información de las ventas de sus vehículos por versión del Año modelo regulado, así como a partir de los valores y parámetros de cumplimiento de Emisiones meta (ver Tablas 2 y 3 del presente Proyecto de Norma Oficial Mexicana) y de los resultados de las pruebas de emisiones de gases a las que se someten los vehículos, deben calcular los promedios ponderados por volumen de ventas indicados en los numerales 4.2 y 4.3 del presente Proyecto de Norma Oficial Mexicana, aplicando en su totalidad los redondeos definidos en este Proyecto de Norma Oficial Mexicana, lo anterior, con el fin de determinar el resultado de los criterios de aceptación indicados en el numeral 4.6 del presente Proyecto de Norma Oficial Mexicana. Los resultados de las pruebas de emisión arriba señaladas estarán debidamente expresados en unidades que correspondan a las establecidas en la Norma Oficial Mexicana NOM-008-SCFI-2002, ver numeral 2.1, o la que la sustituya.
El cálculo de los criterios de aceptación establecidos en el numeral 4.6 del presente Proyecto de Norma Oficial Mexicana, se realizará una vez concluida la venta de los vehículos de Año modelo 2027, de conformidad con la última fecha establecida en la Tabla 21 del presente Proyecto de Norma Oficial Mexicana. Para calcular el criterio de aceptación para los vehículos de los años modelo anteriores a 2028, se emplearán las fórmulas incluidas en el numeral 4.6 del presente Proyecto de Norma Oficial Mexicana.
Los Corporativos que cuenten con Créditos excedentes vinculados a los vehículos automotores nuevos de años modelo 2012 a 2016, podrán emplearlos en la evaluación del cumplimiento que se llevará a cabo al concluir las Ventas del Año modelo 2027, de acuerdo con el numeral 4.6, b) del presente Proyecto de Norma Oficial Mexicana, siempre y cuando no hayan sido usados o transferidos entre Corporativos de forma posterior a la evaluación del cumplimiento del periodo 2012-2016.
Los Corporativos que cuenten con Créditos excedentes vinculados a los vehículos automotores nuevos de años modelo 2017 a 2024, podrán emplearlos en la evaluación del cumplimiento que se llevará a cabo al concluir las Ventas del Año modelo 2027, de acuerdo con lo establecido en el numeral 4.6 del presente Proyecto de Norma Oficial Mexicana.
En caso de que dos o más Corporativos decidan transferir Créditos, con base en lo establecido en el numeral 4.6 inciso c, cada uno de ellos deberá notificar a la PROFEPA, por medio del trámite PROFEPA-03-018, "Aviso de notificación de transferencias entre corporativos" o el que lo sustituya, la forma en que se adjudicarán las diferencias positivas entre ellos.
4.2. Promedio corporativo ponderado meta (PCPM) en términos de emisiones de bióxido de carbono
4.2.1. Cálculo del Promedio corporativo ponderado meta (PCPM)
El valor del PCPM es el resultado de la suma del producto de las emisiones de bióxido de carbono meta (g CO2/km), para cada Versión de vehículo, ponderado por el porcentaje de ventas reportadas para cada Año modelo, de acuerdo con los valores y los parámetros asociados con la Sombra, los cuales se señalan en las Tablas 1, 2 y 3 conforme a lo establecido en el numeral 4.2.2 del presente Proyecto de Norma Oficial Mexicana.
El PCPM en términos de Emisiones de CO2 por kilómetro, se calcula de la siguiente manera:
Donde:
PCPM gCO2/km = Promedio corporativo ponderado meta expresado en unidades de gramos de CO2 por kilómetro (g CO2/km) para cada Año modelo regulado.
Ventas i = ventas del Año modelo de la versión i del vehículo del Corporativo
Ventas tot = ventas totales por Año modelo del Corporativo
Emisión meta i = emisiones de CO2 meta (g CO2/km) de la versión i del vehículo, de acuerdo con el punto 4.2.2 del presente Proyecto de Norma Oficial Mexicana.
i = Versión del vehículo.
n = número total de versiones de vehículos vendidos del Año modelo.
4.2.2. Emisiones de CO2 meta (g CO2/km)
Las Emisiones de CO2 meta (g CO2/km) para cada Versión de vehículo del Año modelo regulado, se obtiene en función de la Sombra para cada Versión de vehículo de acuerdo con su clasificación.
Cálculo de la Sombra del vehículo:
Donde:
Sombra i = medida del área entre las llantas de la versión i del vehículo, expresada en metros cuadrados (m2). La cifra se redondea a dos decimales.
D ejes = distancia longitudinal entre los centros de los ejes delantero y trasero expresado en centímetros (cm). La cifra se redondea hasta el milímetro más cercano.
L promedio = distancia transversal promedio de los ejes delantero y trasero, medida entre los puntos medios de cada llanta, expresada en centímetros (cm). La cifra se redondea hasta el milímetro más cercano.
4.2.3. Determinación de los segmentos de Sombra
Habiendo calculado la Sombra del Vehículo automotor nuevo y una vez determinada la clasificación del mismo, de acuerdo con los criterios del Apéndice E (informativo) del presente Proyecto de Norma Oficial Mexicana, se identifica el segmento de Sombra que le corresponde a cada vehículo en relación con el Año modelo regulado, según la Tabla 1 del presente Proyecto de Norma Oficial Mexicana.
Tabla 1. Clasificación de segmentos de sombra, según Año modelo
| Clasificación | Segmento de Sombra (m2) |
| Vehículos de pasajeros | A | Fórmula (C x Sombra) + D | B |
| Años modelo 2019-2024 | < 3.81 | > 3.81 y < 5.20 | > 5.20 |
| Años modelo 2025-2027 | < 3.69 | > 3.69 y < 5.09 | > 5.09 |
| Camionetas ligeras | A o E | Fórmulas (C x Sombra) + D o (G x Sombra) + H | B o F |
| Años modelo 2019-2024 | < 3.81 | > 3.81 y < 6.13 | > 6.13 |
| Años modelo 2025-2027 | < 3.81 | > 3.81 y < 6.87 | > 6.87 |
NOTA 1: En las líneas de emisiones meta vinculadas a la sombra de los vehículos (Tablas 2 y 3 del presente Proyecto de Norma Oficial Mexicana), las constantes A, B, E y F son segmentos de sombra vinculados a un nivel de emisión de CO2 específico para cada año modelo. Las constantes C y G representan la pendiente de la fórmula de emisión de CO2 para cada año modelo y las constantes D y H corresponden al intercepto de las emisiones de CO2 de la fórmula.
Las Emisiones de CO2 meta deberán ser determinadas para cada segmento de Sombra como sigue:
a) Vehículos de pasajeros
i. Para Vehículos de pasajeros con una Sombra igual o menor a 3.81 m2 (para años modelo 2019 a 2024) o igual o menor a 3.69 m2 (para los años modelo 2025 a 2027), el valor meta deberá ser seleccionado, para el Año modelo regulado, de la fila A de la Tabla 2 del presente Proyecto de Norma Oficial Mexicana. ii. Para Vehículos de pasajeros con una Sombra igual o mayor a 5.20 m2 (para años modelo 2019 a 2024) o igual o mayor a 5.09 m2 (para los años modelo 2025 a 2027), el valor meta deberá ser seleccionado, para el Año modelo regulado, de la fila B de la Tabla 2 del presente Proyecto de Norma Oficial Mexicana. iii. Para Vehículos de pasajeros con una Sombra mayor a 3.81 m2 y menor a 5.20 m2 (para años modelo 2019 a 2024) o mayor a 3.69 m2 y menor a 5.09 m2 (años modelo 2025 a 2027), el valor meta deberá ser calculado usando la siguiente ecuación. El valor de emisiones será redondeado al decimal más cercano. Donde:
Emisiones meta g CO2/km = gramos de CO2 meta por kilómetro (g CO2/km) de la versión i del vehículo, de acuerdo con el punto 4.2.2 del presente Proyecto de Norma Oficial Mexicana.
Sombra = área entre las llantas del vehículo expresada en metros cuadrados, calculada de acuerdo con el numeral 4.2.2 del presente Proyecto de Norma Oficial Mexicana. La cifra se redondea a centímetros cuadrados; es decir a dos decimales.
C y D = valores y parámetros seleccionados de las filas C y D de la Tabla 2 del presente Proyecto de Norma Oficial Mexicana, de acuerdo con el Año modelo regulado.
Para las Emisiones meta correspondientes a cada Versión de vehículo (g CO2/km), la cifra se redondea a un decimal.
Tabla 2. Valores y parámetros para el cálculo de las Emisiones meta por versión i, aplicables a los
Vehículos de pasajeros
| Año modelo | 2019 | 2020 | 2021 | 2022 | 2023 | 2024 | 2025 | 2026 | 2027 |
| A [g CO2/km] | 135.7 | 135.7 | 135.7 | 135.7 | 135.7 | 135.7 | 100.114 | 95.633 | 85.004 |
| B [g CO2/km] | 180.1 | 180.1 | 180.1 | 180.1 | 180.1 | 180.1 | 133.942 | 127.979 | 116.693 |
| C [g CO2/km] / [m2] | 31.8662 | 31.8662 | 31.8662 | 31.8662 | 31.8662 | 31.8662 | 24.2718 | 23.2152 | 22.7405 |
| D [g CO2/km] | 14.3406 | 14.3406 | 14.3406 | 14.3406 | 14.3406 | 14.3406 | 10.5510 | 9.9695 | 1.0911 |
b) Camionetas ligeras
i. Para Camionetas ligeras con una Sombra igual o menor a 3.81 m2, para los años modelo 2019-2024 el valor meta deberá ser seleccionado de la columna A y para los años modelo 2025-2027 el valor meta deberá ser el menor de los valores indicados en las filas A y E de la Tabla 3 del presente Proyecto de Norma Oficial Mexicana, de acuerdo con los Año modelo regulado.
ii. Para Camionetas ligeras con una Sombra igual o mayor al límite superior de acuerdo con el Año modelo regulado de la Tabla 1 (6.13 m2 o 6.87 m2 según aplique), para los años modelo 2019-2024 el valor meta deberá ser seleccionado de la columna B y para los años modelo 2025 - 2027 el valor meta deberá ser el menor de los valores indicados en las filas B y F de la Tabla 3 del presente Proyecto de Norma Oficial Mexicana, de acuerdo con el Año modelo regulado.
iii. Para Camionetas ligeras con una Sombra mayor a 3.81 m2 y menor al límite superior de acuerdo con el Año modelo regulado de la Tabla 1 del presente Proyecto de Norma Oficial Mexicana (6.13 m2 o 6.87 m2 según aplique), para los años modelo 2019-2024 el valor meta deberá ser seleccionado el resultado de la fórmula A y el valor meta para el periodo 2025 - 2027 deberá ser el menor calculado por medio de las siguientes fórmulas. El valor de emisiones se redondeará al decimal más cercano.
Ecuación A:
Ecuación B:
Si, Emisiones meta de gramos de CO2/km Ecuación A < Emisiones meta de gramos de CO2/km Ecuación B; el valor seleccionado será el resultado de Ecuación A; en caso contrario, el valor seleccionado será el resultante de la Ecuación B.
Donde:
Emisiones meta g CO2/km = gramos de CO2 meta por kilómetro (g CO2/km) de la versión i del vehículo, de acuerdo con el punto 4.2.2 del presente Proyecto de Norma Oficial Mexicana.
Sombra = área entre las llantas del vehículo expresada en metros cuadrados, calculada de acuerdo con el numeral 4.2.2 del presente Proyecto de Norma Oficial Mexicana. La cifra se redondea a centímetros cuadrados; es decir a dos decimales.
C, D, G y H = valores y parámetros seleccionados de las filas C, D, G y H de la Tabla 3 del presente Proyecto de Norma Oficial Mexicana, de acuerdo con el Año modelo regulado.
Tabla 3. Valores y parámetros para el cálculo de las Emisiones meta por versión i, aplicables a las
camionetas ligeras
| Año modelo | 2019 | 2020 | 2021 | 2022 | 2023 | 2024 | 2025 | 2026 | 2027 |
| A [g CO2/km] | 163.6 | 163.6 | 163.6 | 163.6 | 163.6 | 163.6 | 122.7406 | 117.1255 | 104.1418 |
| B [g CO2/km] | 227.6 | 227.6 | 227.6 | 227.6 | 227.6 | 227.6 | 204.5973 | 195.3716 | 180.8190 |
| C [g CO2/km] / [m2] | 27.5647 | 27.5647 | 27.5647 | 27.5647 | 27.5647 | 27.5647 | 26.70077 | 25.52458 | 25.01456 |
| D [g CO2/km] | 58.6297 | 58.6297 | 58.6297 | 58.6297 | 58.6297 | 58.6297 | 21.03763 | 19.90548 | 8.829682 |
| E [g CO2/km] | | | | | | | 159.0671 | 159.0671 | 145.4008 |
| F [g CO2/km] | | | | | | | 223.0719 | 223.0719 | 208.1593 |
| G [g CO2/km] / [m2] | | | | | | | 27.56169 | 27.56169 | 27.02107 |
| H [g CO2/km] | | | | | | | 54.08952 | 54.08952 | 42.31537 |
Para las Emisiones meta correspondientes a cada Versión de vehículo (g CO2/km), la cifra se redondea a un decimal.
4.3. Promedio corporativo ponderado observado (PCPO) en términos de emisiones de bióxido de carbono
4.3.1. Cálculo del Promedio corporativo ponderado observado (PCPO)
El valor del PCPO es el resultado de la suma del producto de las emisiones de bióxido de carbono, para cada Versión i de vehículo, ponderado por su volumen de ventas de acuerdo con la siguiente fórmula:
Donde:
PCPO gCO2/km = Promedio corporativo ponderado observado, expresado en emisiones (g CO2/km) para cada Año modelo. La cifra se redondea al entero más próximo.
EC observada i = emisión de CO2 observada de la versión i (emisiones de bióxido de carbono del Corporativo (g CO2/km) que se reportan por versión y categoría de los vehículos para cada Año modelo con base en el resultado de los cálculos descritos en el numeral 4.3.2 del presente Proyecto de Norma Oficial Mexicana.
Ventas i = ventas del Año modelo de la versión del vehículo i del Corporativo.
Ventas tot = ventas totales del Año modelo del Corporativo.
i = Versión del vehículo.
n = número total de versiones de vehículos vendidos del Año modelo i.
4.3.2. Cálculo de las emisiones de bióxido de carbono (g CO2/km) observadas
El cálculo de las emisiones de bióxido de carbono (g CO2/km) observadas, se realiza mediante la siguiente fórmula.
Donde:
EC observada i = emisión de CO2 observada de la versión i en unidades de gramos de CO2 por kilómetro (g CO2/km).
E ciudad i = emisiones de CO2 en ciudad, de la versión i, medidas a través del Ciclo en ciudad FTP.
E carretera i = emisiones de CO2 en carretera, de la versión i, medidas a través del Ciclo en carretera HFET.
4.3.3. Cálculo de las emisiones CO2 en modalidad ciudad y modalidad carretera
Las emisiones de bióxido de carbono, monóxido de carbono, hidrocarburos totales, hidrocarburos no metano y metano provenientes del escape de los vehículos automotores nuevos de peso bruto vehicular de hasta 3 857 kilogramos, deberán medirse con base en los procedimientos y equipos aplicables para los ciclos de prueba definidos en el presente Proyecto de Norma Oficial Mexicana (ver 3.6, 3.7, 3.15 y 3.16, según corresponda), así como en la Norma Mexicana NMX-AA-011-1993-SCFI (ver 2.3) o la que la sustituya.
Para calcular las emisiones de CO2 en modalidad ciudad y modalidad carretera se emplean las siguientes fórmulas de acuerdo con el tipo de combustible empleado por el vehículo.
a) Vehículos que emplean gasolina como combustible
Donde:
E i ciudad o carretera = emisiones de CO2, de la versión i, en el Ciclo de prueba correspondiente en unidades de gramos de CO2 por kilómetro (g CO2/km).
FPC = fracción peso de carbón en el combustible de prueba.
HC = gramos de hidrocarburos totales por kilómetro emitidos durante el Ciclo de prueba correspondiente por el vehículo de la versión i. La cifra se redondea a tres decimales.
CO = gramos de monóxido de carbono por kilómetro emitidos durante el Ciclo de prueba correspondiente por el vehículo de la versión i. La cifra se redondea a dos decimales.
CO2 = gramos de bióxido de carbono por kilómetro emitidos durante el Ciclo de prueba correspondiente por el vehículo de la versión i. La cifra se redondea al entero más próximo.
b) Vehículos que emplean diésel como combustible
Donde:
E i ciudad o carretera = emisiones de CO2, de la versión i, en el Ciclo de prueba correspondiente en unidades de gramos de CO2 por kilómetro (g CO2/km)
HC = gramos de hidrocarburos totales por kilómetro emitidos durante el Ciclo de prueba correspondiente por el vehículo de la versión i. La cifra se redondea a tres decimales.
CO = gramos de monóxido de carbono por kilómetro emitidos durante el Ciclo de prueba correspondiente por el vehículo de la versión i. La cifra se redondea a dos decimales.
CO2 = gramos de bióxido de carbono por kilómetro emitidos durante el Ciclo de prueba correspondiente por el vehículo de la versión i. La cifra se redondea al entero más próximo.
c) Vehículos que emplean gas natural
Donde:
E i ciudad o carretera = emisiones de CO2, de la versión i, en el Ciclo de prueba correspondiente en unidades de gramos de CO2 por kilómetro (g CO2/km).
FPC = fracción peso de carbón de los constituyentes hidrocarburos no metano en el combustible de prueba.
CH4 = gramos de metano totales por kilómetro emitidos durante el Ciclo de prueba correspondiente por el vehículo de la versión i. La cifra se redondea a tres decimales.
NMHC = gramos de hidrocarburos no metano por kilómetro emitidos durante el Ciclo de prueba correspondiente por el vehículo de la versión i. La cifra se redondea a tres decimales.
CO = gramos de monóxido de carbono por kilómetro emitidos durante el Ciclo de prueba correspondiente por el vehículo de la versión i. La cifra se redondea a dos decimales.
CO2 = gramos de bióxido de carbono por kilómetro emitidos durante el Ciclo de prueba correspondiente por el vehículo de la versión i. La cifra se redondea al entero más próximo.
d) Los Corporativos podrán usar un valor de cero (0) gramos de CO2/kilómetro para representar la proporción de operación eléctrica de los vehículos eléctricos, eléctricos de rango extendido, híbridos conectables y de celda de combustible. El uso del valor de cero (0) gramos/kilómetro no tendrá restricción en el volumen de ventas durante los años modelo 2019 al 2027.
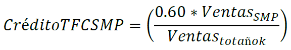
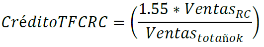
4.4. Créditos
A continuación, se detallan las fórmulas y los criterios aplicables para el cálculo de los Créditos a los que podrán acceder los Corporativos en términos del presente Proyecto de Norma Oficial Mexicana.
4.4.1. Por introducción de tecnologías altamente eficientes
a) Para flotas de vehículos automotores nuevos de años modelo 2017 a 2024
Para incentivar la introducción de tecnologías altamente eficientes, que tienen el potencial de reducir las Emisiones de CO2 por kilómetro, los Corporativos podrán acceder a Créditos siempre que ofrezcan o produzcan en el país vehículos híbridos, híbridos conectables o eléctricos, eléctricos de rango extendido, o bien, vehículo altamente eficiente equivalente.
Los Créditos se otorgarán a los Corporativos de acuerdo con el cumplimiento de alguno de los siguientes criterios:
i. Vendan en el país vehículos híbridos, híbridos conectables o eléctricos años modelo 2017 a 2024.
ii. Comercialice vehículos altamente eficientes equivalentes cuyas Emisiones de CO2 observadas son 20 % menores a las Emisiones de CO2 meta, correspondientes a la Sombra de dicho vehículo, a su categoría vehicular y al Año modelo 2017 a 2024, según corresponda.
El monto máximo de los Créditos se especifica en la Tabla 4 del presente Proyecto de Norma Oficial Mexicana.
Tabla 4. Parámetro para la estimación de Créditos por tecnologías altamente eficientes 2017 a 2024
| Año modelo | 2017- 2024 |
| Emisiones g CO2/km | 1.8 |
Las fórmulas para determinar el Crédito por introducción de tecnologías altamente eficientes para el periodo 2017 a 2018 son las siguientes:
Donde:
Crédito TAE año i = Crédito por tecnologías altamente eficientes en unidades de gramos de CO2 para las flotas del Año modelo i.
Ventas totales año i = ventas totales del Corporativo del Año modelo i.
Crédito TAE i 2017-2018 = Crédito por tecnologías altamente eficientes en unidades de gramos de CO2 para las flotas de Año modelo 2017 y 2018, ponderado por las ventas.
Ventas i 2017-2018 = ventas totales del Corporativo en el periodo 2017-2018.
a = 1, si se cumple con lo establecido en el numeral 4.4.1, a), inciso i) o ii); a =0, en caso contrario.
247 760 corresponde al kilometraje estimado asociado con la vida útil de un vehículo.
Las fórmulas para determinar el Crédito por introducción de tecnologías altamente eficientes para el periodo 2019 a 2024 son las siguientes:
Donde:
Crédito TAE año i = Crédito por tecnologías altamente eficientes en unidades de gramos de CO2 para las flotas del Año modelo i.
Ventas totales año i = ventas totales del Corporativo del Año modelo i.
Crédito TAE i 2019-2024 = Crédito por tecnologías altamente eficientes en unidades de gramos de CO2 para las flotas de Año modelo 2019 a 2024, ponderado por las ventas.
Ventas i 2019-2024 = ventas totales del Corporativo en el periodo 2019-2024.
a = 1, si se cumple con lo establecido en el numeral 4.4.1, a), inciso i) o ii); a =0, en caso contrario.
247 760 corresponde al kilometraje estimado asociado con la vida útil de un vehículo.
b) Para flotas de vehículos automotores nuevos de años modelo 2025 al 2027.
Los Corporativos podrán acceder a Créditos por Tecnologías Altamente Eficientes (TAE) para los años modelo 2025 al 2027, siempre que vendan en el país vehículos híbridos, híbridos conectables, eléctricos, eléctricos de rango extendido o de celda de combustible. Para determinar el monto del Crédito deben aplicar la metodología que se describe a continuación.
Los Corporativos podrán usar un valor de cero (0) gramos de CO2/kilómetro para representar la proporción de operación eléctrica de los vehículos eléctricos, eléctricos de rango extendido, híbridos conectables y de celda de combustible. El uso del valor de cero (0) gramos de CO2/kilómetro no tendrá restricción en el volumen de ventas durante los años modelo 2025 al 2027.
Los Corporativos obtendrán Créditos TAE, siempre y cuando vendan en el país vehículos híbridos, híbridos conectables, eléctricos, eléctricos de rango extendido o de celda de combustible.
Los Corporativos tendrán que aplicar la Metodología que se establece a continuación, a fin de determinar el monto del Crédito TAE.
Metodología TAE
Para los vehículos híbridos, híbridos conectables, eléctricos, eléctricos de rango extendido o de celda de combustible, los Corporativos podrán emplear la Metodología TAE basada en aplicar multiplicadores al cupo máximo del 50% de las ventas de este tipo de vehículos, este cupo se conformará por la designación del corporativo, tanto para el cálculo del Promedio corporativo ponderado meta (PCPM) proyectado, así como para el cálculo para el Promedio corporativo ponderado observado (PCPO) proyectado.
Los multiplicadores que podrán emplear los corporativos para cada tipo de vehículo asociados al
cupo máximo del 50% de las ventas para cada Año modelo se reflejan en la Tabla 5; el otro 50% de las ventas se integrará a los PCPM y PCPO proyectados, con un multiplicador de 1X.
Tabla 5. Multiplicadores para vehículos con tecnologías altamente eficientes aplicables a la
Metodología TAE
| Tipo de vehículo TAE | Año modelo |
| 2025-2027 |
| Eléctricos / Eléctrico Rango Extendido / celda de combustible (EV, aplica a todos) | 13.5X |
| Híbridos conectables (PHEV) | 8.3X |
| Híbridos (HEV) | 5X |
El cálculo del Promedio corporativo ponderado observado proyectado para esta metodología se determinará de acuerdo con la siguiente fórmula:
Donde:
PCPO proy gCO2/km = Promedio corporativo ponderado observado proyectado, expresado en emisiones (g CO2/km) para cada Año modelo.
EC observada i = emisión de CO2 observada de la versión i emisiones de bióxido de carbono del Corporativo (g CO2/km) de vehículos a gasolina, diésel, gas natural y HEV, PHEV y EV que están fuera del cupo del 50%, que se reportan por versión y categoría de los vehículos para cada Año modelo con base en el resultado de los cálculos descritos en el numeral 4.3.2 del presente Proyecto de Norma Oficial Mexicana.
Ventas i = ventas del Año modelo de la versión del vehículo i del Corporativo, cuyo combustible que utiliza es gasolina, diésel o gas natural (GN) y vehículos HEV, PHEV y EV, excepto las ventas del cupo máximo del 50% por año modelo HEV, PHEV, EV.
EC observada HEV i = emisión de CO2 observada de la versión i del vehículo HEV emisiones de bióxido de carbono del Corporativo (g CO2/km) que se reportan por categoría para cada Año modelo.
EC observada PHEV i = emisión de CO2 observada de la versión i del vehículo PHEV emisiones de bióxido de carbono del Corporativo (g CO2/km) que se reportan por categoría para cada Año modelo.
EC observada EV i = emisión de CO2 observada de la versión i del vehículo EV emisiones de bióxido de carbono del Corporativo (g CO2/km) que se reportan por categoría para cada Año modelo.
Mp i = multiplicador según el tipo de vehículo TAE i correspondientes a HEV, PHEV y EV de la Tabla 5, para el Año modelo regulado.
Ventas HEV, PHEV, EV i = ventas del Año modelo de la versión del vehículo (HEV, PHEV y EV) que integran el cupo máximo del 50% de ventas de este tipo de vehículos del Corporativo del año modelo.
i = versión del vehículo.
n = número total de versiones de vehículos vendidos del Año modelo.
El cálculo del Promedio corporativo ponderado meta proyectado para esta metodología se determinará de acuerdo con la siguiente fórmula:
Donde:
PCPM proy gCO2/km = Promedio corporativo ponderado meta proyectado, expresado en emisiones (g CO2/km) para cada Año modelo.
Emisión meta i = emisión de CO2 meta de la versión i emisiones de bióxido de carbono del Corporativo (g CO2/km) de vehículos a gasolina, diésel, gas natural y vehículos HEV, PHEV y EV que no están dentro del cupo máximo del 50%, determinada a partir de la Sombra de los vehículos de acuerdo con las especificaciones de las Tablas 2 y 3 de este Proyecto de Norma Oficial Mexicana.
Ventas i = ventas del Año modelo de la versión del vehículo i del Corporativo, cuyo combustible que utiliza es gasolina, diésel o gas natural (GN) y vehículos HEV, PHEV y EV, excepto las ventas del cupo máximo del 50% por año modelo de vehículos HEV, PHEV y EV.
Emisión meta HEV i = emisión de CO2 meta de la versión i del vehículo HEV emisiones de bióxido de
carbono del Corporativo (g CO2/km) que se reportan por categoría para cada Año modelo.
Emisión meta PHEV i = emisión de CO2 meta de la versión i del vehículo PHEV emisiones de bióxido de carbono del Corporativo (g CO2/km) que se reportan por categoría para cada Año modelo.
Emisión meta EV i = emisión de CO2 meta de la versión i del vehículo EV emisiones de bióxido de carbono del Corporativo (g CO2/km) que se reportan por categoría para cada Año modelo.
Mp i = multiplicador según el tipo de vehículo TAE i correspondientes a HEV, PHEV y EV de la Tabla 5, para el Año modelo regulado.
Ventas HEV, PHEV, EV i = ventas del Año modelo de la versión del vehículo (HEV, PHEV y EV) que integran el cupo máximo del 50% de ventas de este tipo de vehículos del Corporativo del año modelo.
i = versión del vehículo.
n = número total de versiones de vehículos vendidos del Año modelo.
El monto del Crédito TAE que podrán obtener los corporativos por tecnologías altamente eficientes para cada año modelo será determinado de acuerdo con la siguiente fórmula:
Donde:
Crédito TAE año i = crédito por tecnologías altamente eficientes en unidades de gramos de CO2 por kilómetro para el año i.
PCPM proy i g CO2/km = Promedio corporativo ponderado meta proyectado que incluye las ventas adicionales de vehículos TAE, expresado en unidades de gramos de CO2 por kilómetro (g CO2/km) para cada Año modelo regulado.
PCPO proy i g CO2/km = Promedio corporativo ponderado observado proyectado que incluye las ventas adicionales de vehículos TAE, expresado en emisiones (g CO2/km) para cada Año modelo. La cifra se redondea al entero más próximo.
PCPM i g CO2/km = Promedio corporativo ponderado meta expresado en unidades de gramos de CO2 por kilómetro (g CO2/km) para cada Año modelo regulado.
PCPO i g CO2/km = Promedio corporativo ponderado observado, expresado en emisiones (g CO2/km) para cada Año modelo. La cifra se redondea al entero más próximo.
El Crédito TAE máximo por tecnologías altamente eficientes para el periodo regulado 2025-2027, se determina mediante la siguiente fórmula:
Donde:
CréditoTAE máx i 2025-2027 = Crédito por tecnologías altamente eficientes en unidades de gramos de CO2 para las flotas de Año modelo 2025-2027, ponderado por las ventas.
CréditoTAE año i = Crédito por tecnologías altamente eficientes para cada año modelo en unidades de gramos de CO2 por kilómetro para las flotas de Año modelo 2025-2027.
Ventas año i = ventas totales del Año modelo i del Corporativo.
247 760 = corresponde al kilometraje estimado asociado con la vida útil de un vehículo
Ventas i 2025-2027 = ventas totales del año modelo i del Corporativo para el periodo indicado.
4.4.2. Relacionados con sistemas de aire acondicionado
a) Para flotas de vehículos automotores nuevos de años modelo 2017 a 2024
Los Créditos asociados a los sistemas de aire acondicionado serán otorgados a los Corporativos que elaboren, entreguen y apliquen un programa de penetración de tecnologías más eficientes y de alta hermeticidad en el sistema de aire acondicionado o que programe la sustitución de gases refrigerantes con menos potencial de calentamiento global, que tienen el potencial de reducir las emisiones fugitivas de los refrigerantes y las emisiones de gases de efecto invernadero equivalentes.
El programa deberá especificar, en función de las ventas totales del Año modelo regulado, el porcentaje de penetración en los vehículos con sistemas de aire acondicionado que cumplan con los siguientes criterios:
i. Reducción de las Emisiones de CO2 equivalentes a las fugas del gas refrigerante del sistema de aire acondicionado. (emisiones menores a: 16.6 g/año y 20.7 g/año para vehículos de pasajeros y camionetas ligeras respectivamente, mismas que se determinarán de acuerdo con el procedimiento que se incluye en el Apéndice C (normativo) del presente Proyecto de Norma Oficial Mexicana) o bien, hacer uso de nuevos gases refrigerantes que presenten un menor potencial de calentamiento global tomando como referencia el refrigerante HFC-134a, y
ii. Mejora de la eficiencia del sistema de aire acondicionado que reduzca las Emisiones de CO2 por el escape a través de la aplicación de cualquiera de las tecnologías listadas en el Apéndice F (informativo) del presente Proyecto de Norma Oficial Mexicana.
Para obtener el Crédito el programa de penetración que presente el Corporativo, deberá respetar como mínimo un 80 % de la planeación presentada.
El programa especificará la información del Apéndice D (normativo) relativa a los sistemas de aire acondicionado.
El monto máximo de los Créditos se especifica en la Tabla 6 del presente Proyecto de Norma Oficial Mexicana.
Tabla 6. Créditos por sistemas de aire acondicionado
| Año modelo | 2017 a 2024 |
| Emisiones g CO2/km | 0.9 |
Las fórmulas para determinar el crédito relacionado con sistemas de aire acondicionado para el periodo 2017 a 2018 son las siguientes:
Donde:
Crédito AC año i = Crédito por sistemas de aire acondicionado en unidades de gramos de CO2 para las flotas de Año modelo i.
Ventas totales año i = ventas totales del Corporativo del Año modelo i.
Crédito AC i 2017-2018 = Crédito por sistemas de aire acondicionado en unidades de gramos de CO2 para las flotas de Año modelo 2017 y 2018, ponderado por las ventas.
Ventas i 2017-2018 = ventas totales del periodo 2017-2018 del Corporativo.
a = 1, si se cumple con lo establecido en el numeral 4.4.2, a) inciso i) y ii); =0, en caso contrario.
247 760 = corresponde al kilometraje estimado asociado con la vida útil de un vehículo.
Las fórmulas para determinar el crédito relacionado con sistemas de aire acondicionado para el periodo 2019 a 2024 son las siguientes:
Donde:
Crédito AC año i = Crédito por sistemas de aire acondicionado en unidades de gramos de CO2 para las flotas de Año modelo i.
Ventas totales año i = ventas totales del Corporativo del Año modelo i.
Crédito AC i 2019-2024 = Crédito por sistemas de aire acondicionado en unidades de gramos de CO2 para las flotas de Año modelo 2019 a 2024, ponderado por las ventas.
Ventas i 2019-2024= ventas totales del periodo 2019-2024 del Corporativo.
= 1, si se cumple con lo establecido en el numeral 4.4.2, a) inciso i) y ii); =0, en caso contrario.
247 760 = corresponde al kilometraje estimado asociado con la vida útil de un vehículo.
b) Para flotas de vehículos automotores nuevos de años modelo 2025 al 2027.
Los Créditos asociados a los sistemas de aire acondicionado serán otorgados a los Corporativos que demuestren, a través de la información contemplada en el Apéndice C (normativo) del presente Proyecto de Norma Oficial Mexicana, la incorporación de sistemas más eficientes, de alta hermeticidad en el sistema de aire acondicionado, o bien la sustitución de gases refrigerantes con menor potencial de calentamiento global.
El Corporativo deberá especificar, en función de las ventas totales del Año modelo regulado, el porcentaje de penetración en los vehículos con sistemas de aire acondicionado que cumplan con alguno los siguientes criterios:
i. Reducción de las Emisiones de CO2 equivalentes a las fugas del gas refrigerante (HFC-134a) del sistema de aire acondicionado. (emisiones menores a: 16.6 g/Año y 20.7 g/Año para Vehículos de pasajeros y Camionetas ligeras respectivamente, mismas que se determinarán de acuerdo con el procedimiento que se incluye en el Apéndice C (normativo) del presente Proyecto de Norma Oficial Mexicana).
ii. Uso de gases refrigerantes que por sus características fisicoquímicas presenten un menor potencial de calentamiento global tomando como referencia el refrigerante HFC-134a (Potencial de calentamiento global de 1300 PCG/GWP).
iii. Mejora de la eficiencia del sistema de aire acondicionado que reduzca las Emisiones de CO2 por el escape a través de la aplicación de cualquiera de las tecnologías listadas en el Tabla 9 del presente Proyecto de Norma Oficial Mexicana.
Los Créditos se otorgarán en los siguientes casos:
i. Por cumplir el criterio de fugas.
ii. Por cumplir el criterio de fugas, además de hacer un cambio en el refrigerante del sistema.
iii. Por cumplir el criterio de incorporar una tecnología más eficiente en el sistema.
Los montos de los Créditos para el criterio 1 y 2 se especifican en las Tablas 7 y 8 del presente Proyecto de Norma Oficial Mexicana.
El monto del Crédito que se podrá obtener por reducción de fugas en los sistemas de aire acondicionado se muestra a continuación:
Tabla 7. Créditos por reducción de fugas en los sistemas de aire acondicionado con refrigerante
convencional (HFC-134a)
| Año modelo | 2025 a 2027 |
| Emisiones g CO2/km | 4.12 |
La fórmula para determinar el Crédito para el periodo regulado 2025-2027 es la siguiente:
Donde:
Crédito ACL año k = Crédito por reducción de fugas en los sistemas de aire acondicionado en unidades de gramos de CO2 para las flotas del Año modelo regulado k.
Ventas tot año k = ventas totales del año modelo regulado k del corporativo.
Crédito ACL j 2025-2027 = Crédito por reducción de fugas en los sistemas de aire acondicionado del corporativo j en unidades de gramos de CO2 para el periodo regulado 2025-2027, ponderado por las ventas.
ACL año k = porcentaje de la flota del Año modelo regulado k que cuente con sistema de aire acondicionado acreedor al Crédito.
Ventas ACL año k = ventas totales de vehículos del corporativo que cumplen con los límites de fugas del sistema de aire acondicionado.
247 760 = corresponde al kilometraje estimado asociado con la vida útil de un vehículo.
El monto del Crédito que se podrá obtener por demostrar reducción de fugas y el cambio de gas refrigerante es el siguiente:
Tabla 8. Créditos por demostrar reducción de fugas y el cambio de gas refrigerante en los sistemas de
aire acondicionado (HFO-1234yf)
| Año modelo | 2025 a 2027 |
| Emisiones g CO2/km | 9.04 |
NOTA 2: La Secretaría de Medio Ambiente y Recursos Naturales aceptará el uso de gases refrigerantes adicionales al HFO-1234yf que, por sus características fisicoquímicas presenten un menor potencial de calentamiento global tomando como referencia el refrigerante HFC-134a (Potencial de calentamiento global de 1300 PCG/GWP) los cuales sean aceptados y reconocidos para sistemas de aire acondicionado por la Agencia de Protección Ambiental de los Estados Unidos de América o por otras autoridades similares en Japón o en la Unión Europea.
La fórmula para determinar el Crédito en periodo regulado 2025-2027 es la siguiente:
Donde:
Crédito ACLR año k = Crédito por reducción de fugas y cambio de refrigerante en los sistemas de aire acondicionado en unidades de gramos de CO2 para las flotas del Año modelo regulado k.
Ventas tot año k = ventas totales del año modelo regulado k del corporativo.
Crédito ACLR j 2025-2027 = Crédito por reducción de fugas y cambio de refrigerante en los sistemas de aire acondicionado del corporativo j en unidades de gramos de CO2 para el periodo regulado 2025-2027, ponderado por las ventas.
a ACLR año k = porcentaje de la flota del Año modelo regulado k que cuente con sistema de aire acondicionado acreedor al Crédito.
Ventas ACLR año k = ventas totales de vehículos del corporativo que cumplen con los límites de fugas y cambio de refrigerante en el sistema de aire acondicionado.
247 760 = corresponde al kilometraje estimado asociado con la vida útil de un vehículo
Los créditos relacionados a la mejora en eficiencia de los sistemas de aire acondicionado serán otorgados a través de la aplicación de las tecnologías listadas en la Tabla 9. El valor del crédito total es la suma del valor en gramos de CO2 por kilómetro para cada tecnología que se aplica al sistema de aire acondicionado. El valor máximo del crédito en el periodo de los años modelo 2025 - 2027 será, para vehículos de pasajeros 6.22 g CO2 / km y para camionetas ligeras 8.95 g CO2 / km.
Tabla 9. Tecnologías que incrementan la eficiencia del sistema de aire acondicionado
| Numero de tecnología | Tecnologías | Valor del crédito para VP (g CO2/ km) | Valor del crédito para CL (g CO2/km) |
| 1 | Reductor de calentamiento con el control externo del compresor de desplazamiento variable. | ACE 1 VP= 1.86 | ACE 1 CL=2.74 |
| 2 | Sistema de recirculación de aire (lazo cerrado) en clima cálido con retroalimentación para controlar la calidad del aire interior siempre que la temperatura ambiente sea 24 °C o mayor. | ACE 2 VP= 1.86 | ACE 2 CL=2.74 |
| 3 | Reductor de calentamiento con control externo del compresor de desplazamiento fijo o desplazamiento neumático variable. | ACE 3 VP= 1.24 | ACE 3 CL= 1.74 |
| 4 | Sistema de recirculación de aire (lazo abierto) en clima cálido sin retroalimentación para controlar la calidad del aire interior siempre que la temperatura ambiente sea 24 °C o mayor. | ACE 4 VP=1.24 | ACE 4 CL=1.74 |
| 5 | Intercambiador de calor interno | ACE 5 VP= 1.24 | ACE 5 CL= 1.74 |
| 6 | Condensadores o evaporadores mejorados (destinado a la mejora de la eficiencia del motor superior al 10% en comparación con los diseños estándar anteriores) | ACE 6 VP= 1.24 | ACE 6 CL= 1.74 |
| 7 | Control del ventilador del motor que limita el derroche de energía | ACE 7 VP= 1 | ACE 7 CL= 1.36 |
| 8 | Separador de aceite del compresor | ACE 8 VP= 0.62 | ACE 8 CL= 0.87 |
La fórmula para determinar el Crédito por eficiencia en los sistemas de aire acondicionado para el periodo regulado 2025-2027 es la siguiente:
Donde:
Crédito ACE año k = Crédito por eficiencia en los sistemas de aire acondicionado en unidades de gramos de bióxido de carbono (g CO2) para las flotas del Año modelo regulado k.
ACE p VP =Crédito de la tecnología p de eficiencia en el sistema de aire acondicionado en unidades de gramos de bióxido de carbono por kilómetro (g CO2 / km) para vehículos de pasajeros.
ACE p CL =Crédito de la tecnología p de eficiencia en el sistema de aire acondicionado en unidades de gramos de bióxido de carbono por kilómetro (g CO2 / km) para camionetas ligeras.
Ventas p VP =Ventas totales de vehículos de pasajeros que cuentan con la tecnología p de eficiencia en el sistema de aire acondicionado.
Ventas p CL =Ventas totales de camionetas ligeras que cuentan con la tecnología p de eficiencia en el sistema de aire acondicionado.
Ventas tot año k = ventas totales del año modelo regulado k del corporativo.
Crédito ACE j 2025-2027 = Crédito por eficiencia en los sistemas de aire acondicionado del corporativo j en unidades de gramos de bióxido de carbono (g CO2) para el periodo regulado 2025-2027, ponderado por las ventas.
247 760 = corresponde al kilometraje estimado asociado con la vida útil de un vehículo
4.4.3. Relacionados con la penetración tecnológica
Los Corporativos deberán elaborar, presentar y aplicar un programa de penetración de tecnologías que permitan reducir las Emisiones de CO2 para los vehículos automotores. El programa debe especificar el porcentaje de penetración de las siguientes tecnologías, con respecto a las ventas totales del Año modelo regulado. El Crédito será aplicable para las flotas de los años modelo regulados 2017 a 2024.
La relación de tecnologías asociadas a los Créditos vinculados a la penetración tecnológica son las siguientes:
a) Transmisiones de seis o más velocidades.
b) Transmisión continuamente variable.
c) Motores de gasolina de inyección directa.
d) Válvulas de tiempo variable.
e) Sistemas de embrague dual.
f) Sistemas de frenos regenerativos.
g) Sistemas de reutilización de la energía térmica del escape y precalentadores de aceite de transmisión.
h) Motores sobre alimentados.
i) Otras aceptadas y reconocidas como tecnologías que generan reducción de las Emisiones de CO2 por la Agencia de Protección Ambiental de los Estados Unidos de América o por otras autoridades similares en Japón o en la Unión Europea.
Tecnologías adicionales que los Corporativos consideren necesario incluir en la lista anterior, deberán ponerse a consideración de la PROFEPA para su validación y eventual incorporación. El expediente que
entregue el Corporativo deberá incorporar como mínimo la siguiente información:
i. Descripción de la tecnología.
ii. Beneficios de la operación de la tecnología en relación con el vehículo que no la incorpora.
El monto de los Créditos que se podrán obtener para cada Año modelo regulado se muestra en la Tabla 10 del presente Proyecto de Norma Oficial Mexicana.
Tabla 10. Créditos por el programa de penetración tecnológica
| Año modelo | 2017 a 2024 |
| Emisiones g CO2/km | 0.9 |
La condición indispensable para adjudicar el Crédito es que el Corporativo respete como mínimo un 80 % de la planeación de penetración de tecnologías presentada para cada Año modelo regulado.
La fórmula para determinar el Crédito relacionado con la penetración tecnológica para el periodo 2017 a 2018 es la siguiente:
Donde:
Crédito PT año i = crédito por penetración tecnológica en unidades de gramos de CO2 para las flotas del Año modelo i.
Ventas totales año i = ventas totales del Corporativo del Año modelo i.
Crédito PT i 2017-2018 = crédito por penetración tecnológica en unidades de gramos de CO2 para las flotas de los años modelo 2017 y 2018, ponderado por las ventas.
Ventas i 2017-2018 = ventas totales del Corporativo en el periodo 2017-2018.
= 1, si cumple con lo establecido en el numeral 4.4.3 del presente Proyecto de Norma Oficial Mexicana; =0, en caso contrario.
247 760 = es el kilometraje estimado asociado a la vida útil de un vehículo.
La fórmula para determinar el Crédito relacionado con la penetración tecnológica para el periodo 2019 a 2024 es la siguiente:
Donde:
Crédito PT año i = crédito por penetración tecnológica en unidades de gramos de CO2 para las flotas del Año modelo i.
Ventas totales año i = ventas totales del Corporativo del Año modelo i.
Crédito PT i 2019-2024 = crédito por penetración tecnológica en unidades de gramos de CO2 para las flotas de los años modelo 2019 a 2024, ponderado por las ventas.
Ventas i 2019-2024 = ventas totales del Corporativo en el periodo 2019-2024.
= 1, si cumple con lo establecido en el numeral 4.4.3 del presente Proyecto de Norma Oficial Mexicana; =0, en caso contrario.
247 760 = es el kilometraje estimado asociado a la vida útil de un vehículo.
4.4.4. Relacionados con las tecnologías fuera de ciclo
Los Corporativos demostrarán la penetración de tecnologías fuera de ciclo establecidos en el Apéndice G (informativo) del presente Proyecto de Norma Oficial Mexicana, las cuales generan beneficios de reducción de las Emisiones de CO2 en los Vehículos automotores nuevos, beneficios que no se registran en la ejecución del método de prueba que sea aplicado.
El Corporativo podrá acumular Créditos por cualquiera de las siguientes tecnologías definidas en el Apéndice G (informativo), para lo cual deberá indicar el porcentaje de penetración de cada tecnología con respecto a las ventas totales del Año-modelo regulado.
El crédito total por la incorporación de tecnologías fuera de ciclo para el Corporativo no podrá ser mayor de 6.25 g CO2 / km, para los años modelo 2025 - 2027.
Los créditos correspondientes a cada tecnología se calcularán de acuerdo con las siguientes especificaciones.
a) Luces de alta eficiencia
Los créditos por esta tecnología se acumularán para cada luz de alta eficiencia instalada en el vehículo. La Tabla 11 muestra los créditos que se otorgarán de acuerdo a la ubicación de la luz de alta eficiencia en el vehículo. El valor máximo del crédito para luces de alta eficiencia será de 0.91 g CO2/km, para los años modelo 2025 - 2027.
Tabla 11. Créditos por tecnologías de luces de alta eficiencia
| Ubicación | g CO2/km |
| Faros principales delanteros (Luz baja) | L1= 0.36 |
| Faros principales delanteros (Luz alta) | L2= 0.05 |
| Luces de estacionamiento | L3= 0.09 |
| Direccionales delanteras | L4= 0.06 |
| Luces laterales delanteras | L5= 0.06 |
| Luz de posición trasera | L6= 0.09 |
| Direccionales traseras | L7= 0.06 |
| Luces laterales traseras | L8= 0.06 |
| Luz de placa | L9= 0.08 |
La fórmula para determinar el Crédito por luces de alta eficiencia de la flota del Corporativo para el año modelo regulado es:
Donde:
Crédito TFCLaño k =Crédito por tecnología fuera de ciclo, relacionado a la incorporación de luces de alta eficiencia en unidades de gramos de bióxido de carbono por kilómetro (g CO2/km) para las flotas año modelo regulado k.
Li = Crédito de la luz altamente eficiente en la ubicación i en unidades de gramos de bióxido de carbono por kilómetro (g CO2 / km).
VentasLi =Ventas totales de vehículos del Corporativo que incorporan luces de alta eficiencia en la ubicación i.
Ventas tot año k = ventas totales del Corporativo del año modelo regulado k.
i = Subíndice de la ubicación de la luz de alta eficiencia.
b) Recuperador de Calor
El crédito Correspondiente para la tecnología fuera de ciclo recuperador de calor para vehículos de pasajeros y camionetas ligeras se muestra en la Tabla 12.
Tabla 12. Crédito por recuperador de calor
| Año modelo | 2025-2027 |
| Emisiones g CO2/km | 1.55 |
La fórmula para determinar el Crédito por la incorporación del recuperador de calor en la flota del Corporativo para el año modelo regulado es:
Donde:
Crédito TFCRC año k =Crédito por tecnología fuera de ciclo, relacionado a la incorporación del recuperador de calor en unidades de gramos de bióxido de carbono por kilómetro (g CO2/km) para las flotas año modelo regulado k.
VentasRC =Ventas totales de vehículos del Corporativo que incorporan el recuperador de calor.
Ventas tot año k = ventas totales del Corporativo del año modelo regulado k.
c) Mejoras Aerodinámicas Activas
El crédito correspondiente para cada vehículo por mejoras aerodinámicas activas se muestra en la Tabla 13.
Tabla 13. Crédito por mejoras aerodinámicas activas
| Año modelo | 2025-2027 |
| Vehículo de Pasajeros (VP) | Camioneta Ligera (CL) |
| Emisiones g CO2/km | 1.20 | 2.06 |
La fórmula para determinar el Crédito por mejoras aerodinámicas activas en la flota del Corporativo para el año modelo regulado es:
Donde:
Crédito TFCMA año k =Crédito por tecnología fuera de ciclo, relacionado a las mejoras aerodinámicas activas en unidades de gramos de bióxido de carbono por kilómetro (g CO2/km) para las flotas año modelo regulado k.
VentasMA,VP =Ventas totales de vehículos de pasajeros (VP) del Corporativo que incorporan mejoras aerodinámicas activas.
VentasMA,CL =Ventas totales de camionetas ligeras (CL) del Corporativo que incorporan mejoras aerodinámicas activas.
Ventas tot año k = ventas totales del Corporativo del año modelo regulado k
d) Motor con sistema paro-arranque
El crédito correspondiente para cada vehículo por incorporación del motor con sistema paro-arranque se muestra en la Tabla 14.
Tabla 14. Crédito por motor con sistema paro-arranque
| Año modelo | 2025-2027 |
| Vehículo de Pasajeros (VP) | Camioneta Ligera (CL) |
| Emisiones g CO2/km | 1.15 | 2.23 |
La fórmula para determinar el Crédito por motor con sistema paro-arranque en la flota del Corporativo para el año modelo regulado es:
Donde:
Crédito TFCPAaño k =Crédito por tecnología fuera de ciclo, relacionado a la incorporación del motor con sistema paro arranque en unidades de gramos de bióxido de carbono por kilómetro (g CO2/km) para las flotas año modelo regulado k.
VentasPA,VP =Ventas totales de vehículos de pasajeros (VP) del Corporativo que incorporan un motor con sistema paro-arranque.
VentasPA,CL =Ventas totales de camionetas ligeras (CL) del Corporativo que incorporan un motor con sistema paro arranque.
Ventas tot año k = ventas totales del Corporativo del año modelo regulado k.
e) Sistema de calentamiento activo del motor
Los sistemas utilizan un único circuito de intercambio de calor, que sirve tanto para la transmisión y el motor. Por lo que el crédito a otorgar será por el sistema activo del motor o el sistema de calentamiento activo de la transmisión, pero no los dos.
El crédito correspondiente para cada vehículo por incorporación del sistema de calentamiento activo del motor se muestra en la Tabla 15.
Tabla15. Crédito por el sistema de calentamiento activo del motor
| Año modelo | 2025-2027 |
| Vehículo de Pasajeros (VP) | Camioneta Ligera (CL) |
| Emisiones g CO2/ km | 1.10 | 2.34 |
La fórmula para determinar el Crédito por la incorporación del sistema de calentamiento activo del motor en la flota del Corporativo para el año modelo regulado es:
Donde
Crédito TFCCAM año k =Crédito por tecnología fuera de ciclo, relacionado a la incorporación del sistema de calentamiento activo del motor en unidades de gramos de bióxido de carbono por kilómetro (g CO2/km) para las flotas año modelo regulado k.
VentasCAM,VP =Ventas totales de vehículos de pasajeros (VP) del Corporativo que incorporan un sistema de
calentamiento activo del motor.
VentasCAM,CL =Ventas totales de camionetas ligeras (CL) del Corporativo que incorporan un sistema de calentamiento activo del motor.
Ventas tot año k = ventas totales del Corporativo del año modelo regulado k.
f) Sistema de calentamiento activo de la transmisión
Los sistemas utilizan un único circuito de intercambio de calor, que sirve tanto para la transmisión y el motor. Por lo que el crédito a otorgar será por el sistema activo del motor o el sistema de calentamiento activo de la transmisión, pero no los dos.
El crédito correspondiente para cada vehículo por incorporación del sistema de calentamiento activo de la transmisión se muestra en la Tabla 16.
Tabla 16. Crédito por el sistema de calentamiento activo de la transmisión
| Año modelo | 2025-2027 |
| Vehículo de Pasajeros (VP) | Camioneta Ligera (CL) |
| Emisiones g CO2/km | 1.21 | |
La fórmula para determinar el Crédito por la incorporación del sistema de calentamiento activo de la trasmisión en la flota del Corporativo para el año modelo regulado es:
Donde
Crédito TFCCATaño k =Crédito por tecnología fuera de ciclo, relacionado a la incorporación del sistema de calentamiento activo de la transmisión en unidades de gramos de bióxido de carbono por kilómetro (g CO2/km) para las flotas año modelo regulado k.
VentasCAT,VP =Ventas totales de vehículos de pasajeros (VP) del Corporativo que incorporan un sistema de calentamiento activo de la transmisión.
VentasCAT,CL =Ventas totales de camionetas ligeras (CL) del Corporativo que incorporan un sistema de calentamiento activo de la transmisión.
Ventas tot año k = ventas totales del Corporativo del año modelo regulado k.
g) Controles térmicos
Los vehículos de pasajeros podrán recibir hasta un máximo de 1.9 gCO2/km mientras que las camionetas ligeras hasta un máximo de 2.7 gCO2/km por la incorporación de este tipo de tecnologías. El crédito asignado para cada tecnología dentro de esta categoría se presenta en la Tabla 17.
Tabla 17. Crédito por tecnologías de control térmico
| Tecnologías de control térmico | Créditos (g CO2/km) 2025-2027 |
| Vehículos de pasajeros (VP) | Camionetas ligeras (CL) |
| Cristales térmicos | CT1,VP=1.80 | CT1,CL=2.42 |
| Ventilación de asientos activa | CT2,VP=0.67 | CT2,CL= 0.88 |
| Pintura reflectiva solar | CT3,VP=0.25 | CT3,CL=0.32 |
| Ventilación pasiva del habitáculo (3) | CT4,VP=1.41 | CT4,CL= 1.90 |
| Ventilación activa del habitáculo (3) | CT4,VP=1.32 | CT4,CL=1.76 |
NOTA 3: Solo se deberá considerar un tipo de ventilación del habitáculo, ya sea pasiva o activa.
Las fórmulas para determinar el crédito por tecnologías de control térmico por cada versión del vehículo i, son las siguientes:
i) Fórmulas para el crédito por incorporación de controles térmicos para vehículos de pasajeros
Si para la versión del vehículo i
entonces
En caso contrario será el valor resultante de la suma
Donde:
Crédito CT VP, año k = Crédito por penetración de controles térmicos en vehículos de pasajeros en unidades de gramos de bióxido de carbono por kilómetro (g CO2/km) para las flotas del Año modelo regulado k.
CT1,VP,i, CT2,VP,i ,CT3,VP,i ,CT4,VP,i = Valor del Crédito de control térmico para vehículos de pasajeros de la versión i del vehículo de acuerdo a la Tabla 17.
Ventas i,VP = Ventas de las versión i del vehículo de pasajero.
Ventas tot año k = Ventas totales del año modelo regulado k del corporativo.
n = número total de versiones de vehículos vendidos del año modelo regulado k
ii) Fórmulas para el crédito por incorporación de controles térmicos para camionetas ligeras
Si para la versión del vehículo i
Entonces
En caso contrario será el valor resultante de la suma
Donde:
Crédito CT CL, año k = Crédito por penetración de controles térmicos en camionetas ligeras en unidades de gramos de bióxido de carbono por kilómetro (g CO2/km) para las flotas del año modelo regulado k.
CT1,CL,i, CT2,CL,i ,CT3,CL,i ,CT4,CL,i = Valor del Crédito de control térmico para camionetas ligeras de la versión i del vehículo de acuerdo a la Tabla 17.
Ventas i,CL = Ventas de las versión i de camioneta ligera.
Ventas tot año k = Ventas totales del año modelo regulado k del corporativo.
n = número total de versiones de vehículos vendidos del año modelo regulado k
La fórmula para determinar el Crédito total por la incorporación de controles térmicos en la flota del Corporativo para el año modelo regulado es:
Donde:
Crédito TFCCT año k = Crédito por penetración de tecnologías fuera de ciclo, relacionado a la incorporación de controles térmicos en unidades de gramos de bióxido de carbono por kilómetro (g CO2/km) para las flotas del Año modelo regulado k.
Crédito CT VP, año k = Crédito por penetración de controles térmicos en vehículos de pasajeros en unidades de gramos de bióxido de carbono por kilómetro (g CO2/km) para las flotas del Año modelo regulado k.
Crédito CT CL, año k = Crédito por penetración de controles térmicos en camionetas ligeras en unidades de gramos de bióxido de carbono por kilómetro (g CO2/km) para las flotas del año modelo regulado k.
h) Paneles solares
i. Los utilizados únicamente para la ventilación activa del habitáculo del vehículo recibirán los créditos concernientes a estos.
ii. Los utilizados únicamente para la recarga de las baterías en los vehículos eléctricos, vehículos híbridos conectables o vehículos híbridos recibirán los créditos
iii. Los utilizados para la ventilación activa del habitáculo del vehículo y para la recarga de las baterías en los vehículos eléctricos, vehículos híbridos conectables o vehículos híbridos recibirán los créditos.
La Tabla 18 muestra el crédito a otorgar.
Tabla 18. Crédito por paneles solares
| 2025-2027 |
| VP y CL | gCO2/km |
| Para carga de batería para una referencia de 75W | 2.0 |
| Para carga de batería + ventilación activa de la cabina para una referencia de 75W | 1.6 |
La fórmula para determinar el Crédito por paneles solares de la flota del Corporativo para el año modelo regulado es:
Donde:
Crédito TFCPS año k =Crédito por tecnología fuera de ciclo, relacionado a la incorporación de paneles solares en unidades de gramos de bióxido de carbono por kilómetro (g CO2/km) para las flotas año modelo regulado k.
Ventas PS,VP = Ventas totales de vehículos de pasajeros del Corporativo que incorporan panel solar.
Ventas PS,CL = Ventas totales de camionetas ligeras del Corporativo que incorporan panel solar.
Ventas tot vp año k = Ventas totales de vehículos de pasajeros del Corporativo del año modelo regulado k.
Ventas tot cl año k = Ventas totales de camionetas ligeras del Corporativo del año modelo regulado k.
Ventas tot año k = Ventas totales del Corporativo del año modelo regulado k.
i) Sistema de monitoreo de presión de llantas
El crédito correspondiente para la tecnología fuera de ciclo por incorporación del sistema de monitoreo de presión de llantas para vehículos de pasajeros y camionetas ligeras se muestra en la Tabla 19.
Tabla 19. Crédito por sistema de monitoreo de presión de llantas
| Año modelo | 2025-2027 |
| Emisiones g CO2/km | 0.60 |
La fórmula para determinar el Crédito por la incorporación del sistema de monitoreo de presión de llantas en la flota del Corporativo para el año modelo regulado es:
Donde:
Crédito TFCSMP año k =Crédito por tecnología fuera de ciclo, relacionado a la incorporación del sistema de monitoreo de presión de llantas en unidades de gramos de bióxido de carbono por kilómetro (g CO2/km) para las flotas año modelo regulado k.
Ventas SMP =Ventas totales de vehículos del Corporativo que incorporan el sistema de monitoreo de presión de llantas.
Ventas tot año k = ventas totales del Corporativo del año modelo regulado k.
j) Sistema eléctrico de circulación de calor
El crédito a otorgar por la inclusión de este tipo de tecnología será aplicado a todos los vehículos equipados con la tecnología paro arranque a excepción de los vehículos eléctricos.
El crédito correspondiente para cada vehículo por incorporación del sistema eléctrico de circulación de calor, para vehículos de pasajeros se calculará con base en Tabla 20:
Tabla 20. Crédito por sistema eléctrico de circulación de calor
| Año modelo | 2025-2027 |
| VP | CL |
| Emisiones (gCO2/km) | 1.92 | 3.38 |
La fórmula para determinar el Crédito por la incorporación del sistema eléctrico de circulación de calor en la flota del Corporativo para el año modelo regulado es:
Donde
Crédito TFCSECC año k =Crédito por tecnología fuera de ciclo, relacionado a la incorporación del sistema eléctrico de circulación de calor en unidades de gramos de bióxido de carbono por kilómetro (g CO2/km) para las flotas año modelo regulado k.
VentasSECC,VP =Ventas totales de vehículos de pasajeros (VP) del Corporativo que incorporan un sistema eléctrico de circulación de calor.
VentasSECC,CL =Ventas totales de camionetas ligeras (CL) del Corporativo que incorporan un sistema eléctrico de circulación de calor.
Ventas tot año k = ventas totales del Corporativo del año modelo regulado k.
El crédito total a otorgar a la flota del corporativo por la incorporación de las tecnologías fuera de ciclo es:
Si
Entonces
En caso contrario será el resultado de la suma
El monto final de crédito a otorgar para el año modelo regulado en unidades de gramos de CO2 es:
El crédito total para el periodo regulado 2025-2027 por la incorporación de todas las tecnologías fuera de ciclo es:
Donde:
Crédito TFC año k =Créditos por tecnologías fuera de ciclo en unidades de gramos de bióxido de carbono (g CO2) para la flota año modelo regulado k.
Ventas tot año k = ventas totales del Corporativo del año modelo regulado k.
247 760 = corresponde al kilometraje estimado asociado con la vida útil de un vehículo.
Crédito TFC j 2025-2027 = Créditos por tecnologías fuera de ciclo del corporativo j en unidades de gramos de bióxido de carbono (g CO2) para el periodo regulado 2025-2027, ponderado por las ventas
4.5. Reportes anuales de información
4.5.1. Los Corporativos deben presentar un reporte anual de información, el cual estará asociado a las características técnicas y a las emisiones de los vehículos de un año modelo específico, según lo indicado en la Tabla 21 de este Proyecto de Norma Oficial Mexicana, así como a las ventas totales de los mismos, e incluso a los Créditos que el propio Corporativo haya generado durante el periodo correspondiente.
4.5.2. Los reportes anuales de información constan de lo siguiente:
a) Escrito libre firmado por el representante o apoderado legal.
b) Domicilio para oír y recibir notificaciones.
c) Informe del Corporativo bajo protesta de decir verdad de ventas totales. Las Ventas del Corporativo estarán desagregadas a nivel versión y corresponderán a los vehículos del Año modelo regulado, de conformidad con la Tabla 21.
d) La información técnica indicada en el Apéndice D (normativo) de la Norma Oficial Mexicana.
e) De conformidad con los ciclos de prueba requeridos en este instrumento normativo, los documentos necesarios para acreditar el cumplimiento de este instrumento normativo pueden ser cualquiera de los siguientes:
i. Informe de resultados de laboratorios de prueba acreditados y aprobados o, en su caso, la documentación que expidan las UIA acreditadas y aprobadas para tales efectos;
ii. Carta o constancia del fabricante que incluya el informe de resultados emitidos por laboratorios de pruebas, o
iii. Certificado emitido por la Agencia de Protección Ambiental de los Estados Unidos de América, o por Organismos de certificación reconocidos en la Unión Europea o Japón. Para el caso de otras autoridades de protección ambiental que pertenezcan al país de origen del vehículo o al país en donde se realizan las pruebas correspondientes, se aceptarán aquellos certificados que estén acompañados del informe de resultados emitido por el laboratorio que haya llevado a cabo tales pruebas.
f) Los resultados del PCPM y del PCPO correspondiente al Año modelo regulado, de acuerdo con los numerales 4.2 y 4.3 del presente Proyecto de Norma Oficial Mexicana, así como el resultado de la diferencia entre ambos promedios.
g) Los montos de los Créditos correspondientes al Año modelo.
4.5.3. Los reportes anuales de información serán entregados conforme al siguiente calendario:
Tabla 21. Calendario
| Año modelo regulado | Fecha de entrega |
| 2017 | 30 de abril de 2018, conforme al Aviso 1 a |
| 2018 | 30 de abril 2019, conforme al Aviso 2 b |
| 2019 | 60 días naturales posteriores a la entrada en vigor del presente Proyecto de Norma c |
| 2020 | 90 días naturales posteriores a la entrada en vigor del presente Proyecto de Norma c |
| 2021 | 90 días naturales posteriores a la entrada en vigor del presente Proyecto de Norma c |
| 2022 | 90 días naturales posteriores a la entrada en vigor del presente Proyecto de Norma c |
| 2023 | 90 días naturales posteriores a la entrada en vigor del presente Proyecto de Norma c |
| 2024 | Hasta el 30 de abril de 2025 c |
| 2025-2027 | Hasta el 30 de abril del año siguiente al del año modelo regulado |
| a Aviso mediante el cual se dan a conocer los parámetros para el cálculo de las emisiones de bióxido de carbono (CO2) en los vehículos automotores ligeros nuevos con peso bruto vehicular que no exceda los 3 857 kilogramos, que utilizan gasolina o diésel como combustible cuyo año-modelo sea 2017, publicado en el Diario Oficial de la Federación el 24 de junio de 2016. |
| b Aviso mediante el cual se dan a conocer los parámetros para el cálculo de las emisiones de bióxido de carbono (CO2) en los vehículos automotores ligeros nuevos con peso bruto vehicular que no exceda los 3 857 kilogramos, que utilizan gasolina o diésel como combustible cuyo año-modelo sea 2018, publicado en el Diario Oficial de la Federación el 23 de enero de 2018. c La presentación del reporte anual de información de los años modelo 2019, 2020, 2021, 2022, 2023 y/o 2024, se podrá entregar de forma voluntaria a juicio del corporativo. |
El Corporativo debe contabilizar el total de las ventas de sus vehículos automotores nuevos del Año modelo, tal como se muestra en la Tabla 22.
Tabla 22. Calendario de contabilización de las ventas
| Años modelo regulados | Periodo de contabilización de las Ventas del Corporativo |
| 2017-2027 | Inicio de ventas del año modelo regulado y hasta el 31 de marzo del año siguiente al del año modelo regulado |
Los vehículos automotores nuevos del Año modelo regulado que sean enajenados por primera vez en territorio nacional, posterior a la fecha indicada en la Tabla 22, se reportarán junto con los vehículos del Año modelo regulado en que se realice dicha enajenación.
4.6. Criterios de aceptación
El cumplimiento del Corporativo para los vehículos automotores nuevos años modelo anteriores a 2028, en términos de emisiones de bióxido de carbono, se determina a través de los criterios de aceptación, los cuales se definen al calcular la diferencia que existe entre el Promedio corporativo ponderado meta y el Promedio corporativo ponderado observado, ambos referidos a los vehículos de cada Año modelo regulado, de conformidad con los criterios de aceptación de cada una de las siguientes fórmulas:
a. El primer criterio de aceptación se calcula de acuerdo a la siguiente fórmula:
Fórmula 1
Donde:
CA1 i 2019-2027 = criterio de aceptación 1 del Corporativo i en unidades de gramos de CO2 para las flotas de Año modelo 2019-2027.
PCPM i = Promedio corporativo ponderado meta para cada Año modelo calculado de acuerdo con lo establecido en 4.2 de este Proyecto de Norma Oficial Mexicana.
PCPO i = Promedio corporativo ponderado observado para cada Año modelo calculado de acuerdo con lo establecido en 4.3 de este Proyecto de Norma Oficial Mexicana.
Ventas i = ventas totales del Corporativo i para cada Año modelo regulado.
Ventas i 2019-2027 = ventas totales del Corporativo en el periodo 2019-2027.
247 760= es el kilometraje estimado asociado con la vida útil de un vehículo.
NOTA 4: Para el caso de los términos [(PCPMi - PCPOi)2019 x Ventasi 2019], [(PCPMi - PCPOi)2020 x Ventasi 2020 ], [(PCPMi - PCPOi)2021 x Ventasi 2021], [(PCPMi - PCPOi)2022 x Ventasi 2022], [(PCPMi - PCPOi)2023 x Ventasi 2023] y [(PCPMi - PCPOi)2024 x Ventasi 2024], estos se podrán emplear de forma voluntaria a juicio del corporativo; en caso contrario, los términos correspondientes de (PCPMi - PCPOi) año n y de Ventasi año n serán considerados como cero (0).
b. En caso de que el resultado del criterio de aceptación (Fórmula 1) sea mayor a cero, será considerado como Crédito del Corporativo. Cuando el resultado del criterio de aceptación sea menor a cero, los Corporativos podrán compensar ese monto, por medio de los Créditos que hayan generado de acuerdo con el numeral 4.4 del presente Proyecto de Norma Oficial Mexicana, empleando la Fórmula 2:
Fórmula 2
Donde:
CA2 i 2019-2027 = criterio de aceptación 2 del Corporativo i en unidades de gramos de CO2 para las flotas de Año modelo 2019-2027.
CA1 i 2019-2027 = criterio de aceptación 1 del Corporativo i en unidades de gramos de CO2 para las flotas de Año modelo 2019-2027.
Crédito TAE i 2025-2027= Crédito por introducción de tecnologías altamente eficientes en unidades de gramos de CO2 para las flotas de Año modelo 2025-2027.
Crédito ACL i 2025-2027 = Crédito por reducción de fugas en los sistemas de aire acondicionado en unidades de gramos de CO2 para las flotas de Año modelo 2025-2027.
Crédito ACLR i 2025-2027 = Crédito por cambio de refrigerante y fugas en los sistemas de aire acondicionado en unidades de gramos de CO2 para las flotas de Año modelo 2025-2027.
Crédito ACE i 2025-2027 = Crédito por eficiencia en los sistemas de aire acondicionado en unidades de gramos de CO2 para las flotas de Año modelo 2025-2027.
Crédito TFC i 2025-2027 = Crédito por tecnologías fuera de ciclo en unidades de gramos de CO2 para las flotas de Año modelo 2025-2027.
Crédito TAE i 2019-2024 = Crédito por introducción de tecnologías altamente eficientes en unidades de gramos de CO2 para las flotas de Año modelo 2019-2024.
Crédito PT i 2019-2024= Crédito por penetración tecnológica en unidades de gramos de CO2 para las flotas de Año modelo 2019-2024.
Crédito AC i 2019-2024 = Crédito relacionado a sistemas de aire acondicionado en unidades de gramos de CO2 para las flotas de Año modelo 2019-2024.
Crédito TAE i 2017-2018 = Crédito por introducción de tecnologías altamente eficientes en unidades de gramos de CO2 para las flotas de Año modelo 2017-2018.
Crédito PT i 2017-2018 = Crédito por penetración tecnológica en unidades de gramos de CO2 para las flotas de Año modelo 2017-2018.
Crédito AC i 2017-2018 = Crédito relacionado a sistemas de aire acondicionado en unidades de gramos de CO2 para las flotas de Año modelo 2017-2018. Créditos i 2014-2016 = Créditos remanentes del Corporativo i en unidades de gramos de CO2 por cumplimiento del periodo regulado de los vehículos de Año modelo 2014-2016.
NOTA 5: Aquellos Corporativos que a la entrada en vigor del presente Proyecto de Norma Oficial Mexicana cuenten con el Certificado NOM respecto a los vehículos Año modelo 2017 y/o Año modelo 2018 y hayan decidido aplicar el término [(PCPMi - PCPOi)año n x Ventasi año n] en la fórmula 1 de este instrumento normativo, según corresponda, podrán utilizar los Créditos generados por Tecnologías Altamente Eficientes, por Penetración Tecnológica y por Aire Acondicionado, para cualquiera de los años modelo antes indicados y que PROFEPA haya validado a través del Certificado NOM. En caso de no haber aplicado el término [(PCPMi - PCPOi)año n x Ventasi año n ], para los vehículos Año modelo 2017 y/o Año modelo 2018, no será válido considerar los créditos generados, asociados a los vehículos de dichos años modelo.
NOTA 6: En el caso de los Corporativos que no cuenten con el Certificado NOM respecto de los vehículos Año modelo 2017 y/o Año modelo 2018 o que la decisión sea no incluir lo referente a los vehículos o créditos de los años modelo antes mencionados, el concepto de crédito correspondiente para esos años modelo será considerado como cero.
NOTA 7: Si para los vehículos años modelo 2019, 2020, 2021, 2022, 2023 y 2024 se generaron Créditos por Tecnologías Altamente Eficientes, Penetración Tecnológica y relacionados a Sistemas de Aire Acondicionado, pero los términos [(PCPMi - PCPOi)2019 x Ventasi 2019], [(PCPMi - PCPOi)2020 x Ventasi 2020], [(PCPMi - PCPOi )2021 x Ventasi 2021], [(PCPMi - PCPOi )2022 x Ventasi 2022], [(PCPMi - PCPOi )2023 x Ventasi 2023] y [(PCPMi - PCPOi )2024 x Ventasi 2024] son menores a cero (0), tales Créditos no podrán ser utilizados para demostrar el cumplimiento del presente Proyecto de Norma Oficial Mexicana.
Para los efectos del presente inciso se considera la siguiente fórmula:
Donde:
Créditos i 2014-2016 = Créditos excedentes en el periodo comprendido de 2014 a 2016.
PCPM i = Promedio corporativo ponderado meta para los años modelo 2014, 2015 y 2016.
PCPO i = Promedio corporativo ponderado observado para los años modelo 2014, 2015 y 2016.
Ventas i = ventas totales del Corporativo i para cada Año modelo regulado.
Ventas i 2014-2016 = ventas totales del Corporativo en el periodo 2014-2016.
Crédito EA i 2012-2013 = Crédito por esfuerzo anticipado en unidades de gramos de CO2 para las flotas de vehículos años modelo 2012 y 2013.
Crédito TAE i 2013-2016 = Crédito por introducción de tecnologías altamente eficientes en unidades de gramos de CO2 para las flotas Año modelo 2013-2016.
Crédito AC i 2013-2016 = Crédito por sistemas de aire acondicionado en unidades de gramos de CO2 para las flotas Año modelo 2013-2016.
Crédito PT i 2013-2016 = Crédito por penetración tecnológica en unidades de gramos de CO2 para las flotas Año modelo 2013-2016.
NOTA 8: La fórmula anterior contempla, tanto las ventas y valores de PCPM y PCPO obtenidos, como los Créditos excedentes generados durante el periodo de aplicación de la NOM-163-SEMARNAT-ENER-SCFI-2013, Emisiones de bióxido de carbono (CO2) provenientes del escape, aplicable a vehículos automotores nuevos de peso bruto vehicular de hasta 3 857 kilogramos.
c. En caso de que el resultado del criterio de aceptación (Fórmula 2) sea mayor a cero, será considerado como Crédito del Corporativo.
El Corporativo que obtenga Créditos y desee transferir la totalidad o parte de los mismos deberá presentar un escrito libre informando a la PROFEPA el diferencial de Créditos disponible con el que cuenta para comercializar.
En contraste, si el Corporativo obtiene un resultado negativo al aplicar las fórmulas 1 y 2 del presente numeral y, por ende, considera que requiere de una transferencia de Créditos hasta por el monto total de sus diferencias negativas, deberá presentar, a través del trámite PROFEPA-03-018 "Aviso de notificación de transferencias entre corporativos", un escrito libre ante la PROFEPA, solicitando la información de los Corporativos con diferencias positivas que estén dispuestos a transferirlas a otro sujeto regulado, o bien, podrá aplicar directamente el criterio de aceptación CA4.
Para ambos casos, el procedimiento a seguir se encuentra especificado en el Apéndice A (normativo) del presente Proyecto de Norma Oficial Mexicana.
NOTA 9: La transferencia de créditos entre corporativos solamente se podrá realizar cuando estos se hayan generado en el periodo 2025-2027 (CA1i 2019-2027, CréditoTAEi 2025-2027, CréditoACLi 2025-2027, CréditoACLRi 2025-2027, CréditoACEi 2025-2027 y CréditoTFCi 2025-2027).
Después de la transferencia de Créditos correspondiente, el Corporativo con diferencias negativas deberá emplear la Fórmula 3:
Fórmula 3
Donde:
CA3 j 2019-2027 = criterio de aceptación 3 del Corporativo j en unidades de gramos de CO2 para las flotas de Año modelo 2019-2027.
CA2 j 2019-2027 = criterio de aceptación 2 del Corporativo j en unidades de gramos de CO2 para las flotas de Año modelo 2019-2027.
Transferencia m = diferencias positivas o Créditos provenientes del Corporativo m, en unidades de gramos de CO2
d. En el caso de que la transferencia de Créditos entre Corporativos sea insuficiente o inexistente, y el valor de CA3 resulte menor a cero, el Corporativo correspondiente podrá realizar una aportación económica, con la finalidad de compensar y asegurar el cumplimiento con el presente Proyecto de Norma Oficial Mexicana y mitigar el saldo negativo, empleando la metodología establecida en el Apéndice B (normativo) del presente Proyecto de Norma Oficial Mexicana, conforme a la Fórmula 4:
Fórmula 4
Donde:
CA4 j 2019-2027 = criterio de aceptación 4 del Corporativo i en unidades de gramos de CO2 para las flotas de Año modelo 2019-2027.
CA3 j 2019-2027 = criterio de aceptación 3 del Corporativo i en unidades de gramos de CO2 para las flotas de Año modelo 2019-2027.
Compensación i = la equivalencia en gramos de CO2 de la aportación económica del Corporativo i para alcanzar el cumplimiento y mitigar el saldo negativo de las Emisiones de CO2, del periodo regulado del año 2019 al 2027, de conformidad con el Apéndice B (normativo).
5. Programa de Metas Alternativas
Los Corporativos que para el Año modelo 2012, hayan registrado ventas anuales totales entre 501 a 2 500 unidades, podrán calificar para incorporarse al Programa de Metas Alternativas previsto en este numeral. El programa les permitirá sujetar, hasta un máximo de 5 000 vehículos, durante los años modelo 2017 y 2018, al cumplimiento de metas de emisión de CO2 menos exigentes, equivalentes a una reducción del 25 %, según su Año modelo, categoría vehicular y Sombra. Cualquier excedente en ventas estará sujeta a las mismas metas que aplican para cualquier otro Corporativo que no califica para emplear este mecanismo de flexibilidad.
5.1. Criterios para la incorporación y uso del programa:
a) El programa aplica para los vehículos de años modelo 2017 y 2018.
b) Son elegibles al programa sólo los Corporativos con ventas totales anuales de 501 a 2 500 unidades para el Año modelo 2012. Si un Corporativo es propietario de varias marcas de vehículos, las ventas agregadas deberán ser consideradas para evaluar la elegibilidad. Los Corporativos que no tengan ventas registradas en el Año modelo 2012, no son elegibles.
c) Los Corporativos con ventas mayores a 501 pero inferiores a 2 500 unidades en el Año modelo 2012, mantendrán su elegibilidad al programa aun cuando en años modelo posteriores sus ventas crezcan por encima de esta cantidad.
d) En caso de que para el periodo 2017-2018, un Corporativo rebase el límite máximo de 5 000 unidades a acreditar, éste determinará qué vehículos de sus ventas formarán parte del Programa de Metas Alternativas.
e) En caso de que el Corporativo obtenga Créditos a partir de aquellas unidades que no aplican al programa de metas alternativas, éstos pueden ser transferidos y usados únicamente para cumplir el mencionado programa; sin embargo, los Créditos generados bajo el programa no pueden ser transferidos fuera del mismo o a otros Corporativos.
f) Los Créditos generados en este programa expirarán cuando no se ejerzan para el cumplimiento de las especificaciones establecidas en este Proyecto de Norma Oficial Mexicana para los vehículos de los años modelo 2017 y 2018.
5.2. Criterios de aceptación para el Programa de Metas Alternativas
El criterio de aceptación para los Corporativos que demuestren la elegibilidad al programa de metas alternativas se obtiene al aplicar la siguiente fórmula:
Donde:
CA1 i 2019-2027 metas alternativas = criterio de aceptación del Corporativo i en unidades de gramos de CO2 para las flotas de Año modelo 2019-2027 que incluye los años modelo en los que aplica el programa de metas alternativas.
Factor de ajuste asociado al programa de metas alternativas = 1.25.
PCPM i = Promedio corporativo ponderado meta para cada Año modelo calculado de acuerdo con lo establecido en 4.2 de este Proyecto de Norma Oficial Mexicana.
PCPO i = Promedio corporativo ponderado observado para cada Año modelo calculado de acuerdo con lo establecido en 4.3 de este Proyecto de Norma Oficial Mexicana.
Ventas i = ventas totales del Corporativo i para cada Año modelo regulado.
Ventas i 2017-2018 = ventas totales del Corporativo en el periodo 2017-2018.
Ventas i 2019-2024 = ventas totales del Corporativo en el periodo 2019-2024.
Ventas i 2025-2027 = ventas totales del Corporativo en el periodo 2025-2027.
247 760 = es el kilometraje estimado asociado con la vida útil de un vehículo.
NOTA 10: Para el caso de los términos [(PCPMi - PCPOi)2019 x Ventasi 2019], [(PCPMi - PCPOi )2020 x Ventasi 2020], [(PCPMi - PCPOi)2021 x Ventasi 2021], [(PCPMi - PCPOi)2022 x Ventasi 2022], [(PCPMi - PCPOi)2023 x Ventasi 2023] y [(PCPMi - PCPOi)2024 x Ventasi 2024], éstos se podrán emplear de forma voluntaria a juicio del corporativo; en caso contrario, los términos correspondientes de (PCPMi - PCPOi)año n y de Ventasi año n serán considerados como cero (0).
En caso de que el resultado del criterio de aceptación para el Programa de Metas Alternativas sea mayor a cero, será considerado como crédito del Corporativo. Cuando al aplicar el criterio de aceptación para el Programa de Metas Alternativas, el resultado sea menor a cero, los Corporativos podrán compensar ese monto, por medio de los Créditos que hayan generado de acuerdo con el numeral 4.4 del presente Proyecto de Norma Oficial Mexicana, empleando lo establecido en el numeral 4.6, incisos b), c) y d) del presente Proyecto de Norma Oficial Mexicana.
6. Procedimiento para la evaluación de la conformidad
6.1. Disposiciones generales
La evaluación de la conformidad con este Proyecto de Norma Oficial Mexicana se llevará a cabo por la PROFEPA, o bien, por las UIA, a solicitud de los Corporativos. Las UIA deberán estar acreditadas por una entidad de acreditación y aprobadas por la PROFEPA, en términos de lo que establece la Ley de Infraestructura de la Calidad y su Reglamento.
La conformidad con el presente Proyecto de Norma Oficial Mexicana estará enfocada en la revisión de los Reportes anuales de información y en una evaluación que estará basada en el análisis de la Documentación técnica y en el registro de las ventas de los vehículos automotores nuevos correspondientes a los años modelo regulados, para lo cual se deberán cumplir los Criterios de aceptación (ver numeral 4.6) y seguir el procedimiento indicado en el numeral 6.4 del presente Proyecto de Norma Oficial Mexicana.
6.1.1. Las UIA, sin perjuicio de las condiciones contractuales de la prestación del servicio correspondiente cancelarán las Constancias de Conformidad correspondientes cuando adviertan y demuestren que el Corporativo proporcionó información o documentación falsa, lo cual se formaliza de manera documental.
6.1.2. Respecto de la evaluación se señala que el documento a expedir por la PROFEPA o por las UIA son
diferentes, ya que la PROFEPA expedirá el Certificado NOM, derivado del trámite con homoclave PROFEPA-03-005. "Revisión, evaluación y, en su caso, certificación de vehículos nuevos" o el que lo sustituya, mientras que las UIA emitirán un Dictamen de Cumplimiento.
6.1.3. Los Certificados NOM de la PROFEPA y los Dictámenes de Cumplimiento expedidos por las UIA acreditadas y aprobadas en términos de lo que establece la Ley de Infraestructura de la Calidad, se otorgan por Corporativo y certifican el cumplimiento respecto de las flotas de sus vehículos automotores nuevos correspondientes a los años modelo regulados.
Los Certificados NOM y los Dictámenes de Cumplimiento tendrán validez ante las Dependencias y Entidades de la Administración Pública Federal, para los efectos a que haya lugar.
a) Cuando la versión de un Vehículo automotor nuevo de un Año modelo a certificar conserve las características técnicas del tren motriz de un Vehículo automotor nuevo previamente certificado y, por lo tanto, las emisiones de bióxido de carbono tampoco varían, el Corporativo podrá presentar a la PROFEPA los resultados de las pruebas de emisiones del Año modelo anterior al de evaluación, acompañadas de la evidencia documental que sustente que su tren motriz cumple con los criterios establecidos en el Apéndice D (normativo) del presente instrumento normativo.
b) Cuando la versión de un Vehículo automotor nuevo de un Año modelo conserve las características técnicas del tren motriz de un Vehículo automotor nuevo del Año modelo anterior y, por lo tanto, las emisiones de bióxido de carbono tampoco varían, el Corporativo podrá presentar a las UIA los resultados de las pruebas de emisiones del Año modelo anterior de dicha versión, acompañadas de la evidencia documental que sustente que su tren motriz cumple con los criterios establecidos en el Apéndice D (normativo) del presente instrumento normativo.
Para la obtención de los Dictámenes de Cumplimiento y los Certificados NOM y, de conformidad con lo establecido en el numeral 6.4 del presente Proyecto de Norma Oficial Mexicana, en ningún caso se solicitará a los Corporativos realizar segundas pruebas emitidas por laboratorios de pruebas o por organismos extranjeros de tercera parte reconocidos en otros países.
Los Dictámenes de Cumplimiento son intransferibles y válidos solamente para el titular y deben estar firmados por la persona autorizada por la UIA.
Cada vez que emitan Dictámenes de Cumplimiento, las UIA acreditadas y aprobadas deben mantener informada a la PROFEPA sobre los documentos expedidos en términos del cumplimiento de las flotas de vehículos años modelo anteriores a 2028 respecto del presente Proyecto de Norma Oficial Mexicana.
Concluida la evaluación, las UIA acreditadas y aprobadas integrarán un expediente con todos los documentos y registros que soporten el proceso correspondiente.
6.1.4. Los Certificados NOM expedidos por la PROFEPA y los Dictámenes de Cumplimiento emitidos por las UIA deben contener al menos la siguiente información:
a) Nombre y cargo de quien emite, ya sea el Certificado NOM (PROFEPA), o bien, el Dictamen de Cumplimiento (UIA), según corresponda.
b) Fecha y lugar de expedición.
c) Nombre o razón social del Corporativo.
d) Domicilio del Corporativo.
e) Identificación de las flotas de vehículos, de acuerdo con los años modelo evaluados.
f) Citar el cumplimiento con el presente instrumento normativo.
g) Firma del personal autorizado.
6.2. Revisión de los reportes anuales de información
Los reportes anuales de información que elaboren los Corporativos deben cumplir con lo establecido en el numeral 4.5.2 y ser entregados conforme a lo indicado en la Tabla 21 de este Proyecto de Norma Oficial Mexicana.
En la revisión técnica de los reportes anuales de información, la cual incluye lo referente a los cálculos requeridos a través de este instrumento normativo, la PROFEPA o las UIA deben considerar lo siguiente:
a) La PROFEPA emitirá una notificación sobre la conformidad de la revisión técnica en un plazo que no deberá exceder los 90 días naturales posteriores a que los Corporativos hayan efectuado la entrega correspondiente. En el caso de las UIA, éstas emitirán una Constancia de Conformidad, atendiendo el mismo plazo.
b) De existir inconsistencias en torno a la información del reporte anual, éstas deberán ser notificadas a los Corporativos, en un plazo que no exceda los 30 días contados a partir del día hábil siguiente en el que éstos hayan entregado el Reporte Anual de Información sujeto a evaluación. En el caso de las UIA, éstas deben adjuntar un documento en el que se indique con claridad la deficiencia que el solicitante debe subsanar.
Si al finalizar los plazos antes señalados, la PROFEPA no emite respuesta en torno al reporte anual de información correspondiente, se entenderá que el contenido, cálculos, resultados, Créditos y conclusiones son válidos para efectos de la evaluación de la conformidad de los años modelo anteriores a 2028.
6.2.1. Consideraciones adicionales para las UIA
a) A efecto de que la PROFEPA tenga conocimiento de los Corporativos que elijan a una UIA para que realice la evaluación de la conformidad con este Proyecto de Norma Oficial Mexicana, la UIA correspondiente informará por escrito a dicha autoridad sobre esta situación a más tardar 15 días naturales posteriores a que se firme el contrato correspondiente entre el Corporativo y la UIA.
b) Si durante la revisión de la documentación, la UIA emite un comunicado en el que se informe de desviaciones en la información entregada o de requisitos no presentados, el solicitante tiene un plazo de 15 días naturales, a partir del día hábil siguiente de que ha sido notificado, para solventarlas. En caso de que no se subsanen las deficiencias manifestadas en el plazo establecido, la UIA tiene que elaborar un escrito en el cual manifieste el motivo por el cual no otorgó la Constancia de Conformidad y posteriormente dará aviso a la PROFEPA y al Corporativo anexando el informe correspondiente, a efecto de que la autoridad determine lo conducente; esto deberá llevarse a cabo en un plazo que no excederá los 15 días naturales contados a partir de que se determinen los motivos por los cuales no se otorga la Constancia de Conformidad.
c) Cada vez que emita una Constancia de Conformidad, la UIA debe mantener informada a la PROFEPA sobre los documentos que expida. Las Constancias de Conformidad se emiten por flota de vehículos de un Año modelo en específico a solicitud del interesado. La Constancia de Conformidad es intransferible y válida sólo para el titular.
d) Las UIA deben conservar por diez años, por lo menos, la documentación que soporte la Constancia de Conformidad expedida.
e) La Constancia de Conformidad debe estar firmada por la persona autorizada en la UIA.
f) Si por alguna circunstancia la UIA debe cerrar operaciones antes del 30 de abril de 2028, las Constancias de Conformidad que haya expedido deberán ser entregadas a la PROFEPA, junto con el respectivo expediente. El expediente estará bajo resguardo de la PROFEPA y, en su caso, será empleado por ésta cuando se lleve a cabo la evaluación del cumplimiento de las flotas de los años modelo anteriores a 2028.
6.2.2. Expedición de respuestas
Con relación a los Reportes anuales de información, se atenderá lo siguiente:
i. La UIA emitirá una Constancia de Conformidad, siempre y cuando el Corporativo cumpla con lo establecido en el numeral 4.5.2 y, de ser el caso, con el numeral 6.2.1 inciso b) de este Proyecto de Norma Oficial Mexicana, y
ii. La PROFEPA dará respuesta al Corporativo según lo que se establezca en el trámite correspondiente, el cual estará vinculado a lo descrito el numeral 4.5.2 y, en su caso, a lo indicado en el último párrafo del numeral 6.2 del presente Proyecto de Norma Oficial Mexicana.
Las Constancias de Conformidad expedidas por las UIA deben contener al menos la siguiente información:
a) Nombre y cargo de quien emite la Constancia de Conformidad por parte de la UIA.
b) Fecha y lugar de expedición.
c) Nombre o razón social del Corporativo.
d) Domicilio del Corporativo.
e) Identificación de la flota de vehículos del Año modelo revisado.
f) Citar la conformidad con el presente instrumento normativo, según aplique.
g) Firma del personal autorizado.
6.3. Evaluación de la conformidad
6.3.1. Por parte de la PROFEPA.
Si los Corporativos llevan a cabo el procedimiento correspondiente ante la PROFEPA, deberán efectuar el trámite PROFEPA-03-005. "Revisión, evaluación y, en su caso, certificación de vehículos nuevos" o el que lo sustituya, cumpliendo con lo establecido en el numeral 6.4 del presente Proyecto de Norma Oficial Mexicana.
6.3.2. Por parte de las UIA.
En caso de que los Corporativos realicen una solicitud de parte ante una UIA, con el objeto de obtener el Dictamen de Cumplimiento asociado a este Proyecto de Norma Oficial Mexicana, deberán:
a) Entregar la documentación indicada en el numeral 6.4 de este Proyecto de Norma Oficial Mexicana.
b) Solicitar a la UIA los requisitos o la información necesaria para iniciar el trámite.
c) Recibir de la UIA, el paquete informativo (o tener a disposición a través de publicaciones, medios electrónicos u otros) que contendrá:
i. Solicitud de trámite de Inspección o de servicio de Inspección.
ii. La relación de documentos, según apliquen, información o requisitos que se requieran para comprobar el cumplimiento con este instrumento normativo de acuerdo los numerales 4.5.2 y 6.4 del presente instrumento normativo.
iii. Contrato de prestación de servicios.
d) Presentar el Contrato de Prestación de Servicios firmado en original por duplicado, el cual debe estar signado por el representante legal del Corporativo. Para acreditar la mencionada representación se debe presentar copia simple del acta constitutiva o poder notarial de dicho representante o constancia del Registro Único de Personas Acreditadas (RUPA) vigente, y copia de identificación oficial.
e) Presentar a la UIA, la solicitud debidamente requisitada y firmada en original por duplicado, el cual debe estar signado por el representante legal o apoderado legal del Corporativo.
6.4. Procedimiento para expedir el Certificado NOM o el Dictamen de Cumplimiento
Una vez finalizadas las ventas de los vehículos correspondientes al Año modelo 2027, sin exceder el 15 de diciembre de 2027, los Corporativos deberán tramitar el Certificado NOM ante la PROFEPA o en su caso, el Dictamen de Cumplimiento ante la UIA correspondiente.
El Certificado NOM contemplará la evaluación conjunta, según sea el caso, de los vehículos Año modelo 2025 al 2027 y si el Corporativo lo desea, de los años modelo 2019 al 2027. En el caso de que la PROFEPA sea quien evalúe, los Corporativos deberán presentar ante esa autoridad ambiental, el trámite PROFEPA-03-005 "Revisión, evaluación y, en su caso, certificación de vehículos nuevos en planta" o el que lo sustituya.
El Dictamen de Cumplimiento por parte de las UIA contemplará la evaluación conjunta de los vehículos Año modelo 2025 al 2027 y si el Corporativo lo desea, de los años modelo 2019 al 2027.
En ambos casos, los Corporativos tendrán que cumplir con los siguientes requisitos y entrega de información:
A. Solicitud en escrito libre firmado por el representante o apoderado legal.
B. Copia del acta constitutiva del Corporativo que solicita el certificado.
C. Copia de la cédula del registro federal de contribuyentes.
D. Copia del poder mediante el cual se acredite la representación legal del solicitante.
E. Domicilio para oír y recibir notificaciones.
F. Informe del Corporativo bajo protesta de decir verdad de ventas totales. Las Ventas del Corporativo estarán desagregadas a nivel versión y corresponderán a los vehículos del Año modelo regulado, de conformidad con la Tabla 21.
G. Los resultados de los criterios de aceptación aplicables, de acuerdo con lo establecido en el numeral 4.6 de este Proyecto de Norma Oficial Mexicana.
H. La información técnica indicada en el Apéndice D (normativo) del presente Proyecto de Norma Oficial Mexicana. Esta información debe ser entregada a nivel versión y en archivos electrónicos utilizables en programas de formato de hojas de cálculo, bases de datos u otros equivalentes, de acuerdo con el formato aplicado por las UIA o por la PROFEPA, según corresponda.
I. De conformidad con los ciclos de prueba requeridos en el presente Proyecto de Norma Oficial Mexicana, los documentos necesarios para acreditar que se cumple con este instrumento normativo pueden ser, cualquiera de los siguientes:
i. Informe de resultados de laboratorios de prueba acreditados y aprobados;
ii. Carta o constancia del fabricante que incluya informe de resultados emitidos por laboratorios de pruebas;
iii. Certificado emitido por la Agencia de Protección Ambiental de los Estados Unidos de América, o por Organismos de certificación reconocidos en la Unión Europea o Japón. Para el caso de otras autoridades de protección ambiental que pertenezcan al país de origen del vehículo o al país donde se realizan las pruebas correspondientes, se aceptarán aquellos certificados que estén acompañados del informe de resultados emitido por el laboratorio que haya realizado dichas pruebas.
J. Pago de derechos, de conformidad a lo establecido en el artículo 3o de la Ley Federal de Derechos, mismo que se realizará por cada línea de vehículos. En el caso de las UIA, el pago por el concepto correspondiente para llevar a cabo la evaluación de la conformidad.
K. Aviso de notificación de transferencia de créditos ante la PROFEPA, de acuerdo con lo establecido en el numeral 4.6 inciso c) y el Apéndice A (normativo) del presente Proyecto de Norma Oficial Mexicana, de ser el caso.
L. Comprobante de pago o de la aportación económica equivalente al monto de la compensación determinado de acuerdo con lo establecido en el numeral 4.6 inciso d) y el Apéndice B (normativo) del presente Proyecto de Norma Oficial Mexicana, de ser el caso.
M. Las Constancias de Conformidad emitidas por la UIA o el trámite realizado ante la PROFEPA en torno a la revisión de los Reportes anuales de información; según sea el caso.
N. La información técnica indicada en el Apéndice C normativo del presente Proyecto de Norma Oficial Mexicana, debe ser entregada en archivos electrónicos utilizables en programas de formato de hojas de cálculo.
6.4.1. Cuando el trámite de evaluación de la conformidad se realice mediante el trámite PROFEPA-03-005 o el que lo sustituya y tratándose de las personas físicas o morales que cuenten con el Registro Único de Personas Acreditadas (RUPA), no aplicarán los requisitos de los incisos B, C, D y E anteriores, debiendo señalar en el escrito libre de solicitud, el número de RUPA de la empresa y del representante o apoderado legal de la misma.
6.4.2. Los representantes legales podrán presentar la información a que se refiere el inciso G de este numeral por Corporativo, de forma que dicha evaluación represente el resultado consolidado del Corporativo para los vehículos de los años modelo 2025 al 2027 y si el Corporativo lo desea, de los años modelo 2019 al 2027.
6.4.3. La PROFEPA o en su caso, las UIA acreditadas y aprobadas, revisarán la documentación presentada y, en caso de detectar alguna omisión en la misma, notificarán al interesado en un plazo máximo de 30 días naturales, contados a partir del día hábil siguiente a la fecha de recepción de la información. En el caso de las UIA acreditadas y aprobadas, la notificación debe enviarse junto con un documento en el que se indique con claridad la deficiencia que el Corporativo debe subsanar.
6.4.4. Los Corporativos deberán dar respuesta en un plazo no mayor a 30 días naturales, contados a partir de que surta efectos la notificación correspondiente; de incumplir este plazo, el trámite será desechado y en su caso, deberá de presentarse de nueva cuenta. De no subsanarse las deficiencias manifestadas en el plazo establecido y si la evaluación está a cargo de una UIA acreditada y aprobada, ésta debe expedir un informe a través del cual indique el motivo por el cual no otorgó el Dictamen de Cumplimiento correspondiente y posteriormente dará aviso a la PROFEPA y al Corporativo anexando dicho informe, lo cual no podrá exceder los 15 días hábiles contados a partir de que se determinen las causas correspondientes. En ese caso, la PROFEPA llevará a cabo las acciones pertinentes.
6.4.5. En caso de que las flotas de vehículos de los años modelo regulados a través de este Proyecto de Norma Oficial Mexicana no cumplan con los criterios de aceptación establecidos en el numeral 4.6 de este Proyecto de Norma Oficial Mexicana y si la evaluación está a cargo de una UIA acreditada y aprobada, ésta debe generar un informe en el cual manifieste el motivo del incumplimiento correspondiente y posteriormente dará aviso a la PROFEPA y al Corporativo anexando dicho informe, lo cual no podrá exceder los 15 días hábiles contados a partir de que se determinen las causas por las cuales no se cumplen con los criterios de aceptación contemplados en el numeral antes citado.
6.4.6. La PROFEPA o en su caso, las UIA acreditadas y aprobadas, resolverán lo referente al Certificado NOM o al Dictamen de Cumplimiento en un plazo máximo de 90 días naturales, contados a partir del día hábil siguiente a la fecha en que la PROFEPA, o en su caso, las UIA, reciban la documentación e información requerida al Corporativo. Lo anterior en el entendido que, el plazo para que la PROFEPA o en su caso, las UIA acreditadas y aprobadas resuelvan el trámite, se suspenderá bajo el supuesto del párrafo anterior y se reanudará a partir del día hábil siguiente a aquel en el que el interesado brinde la información requerida en el plazo establecido para dicho fin.
a) Cuando el trámite de evaluación de la conformidad se realice mediante el trámite PROFEPA-03-005 y en caso de que, al finalizar el plazo de respuesta antes señalado, la PROFEPA no emita resolución al trámite correspondiente, se entenderá que la resolución de la solicitud es en sentido positivo, por lo que se deberá emitir el Certificado NOM correspondiente, en términos de lo establecido en la Ley Federal de Procedimiento Administrativo.
Una vez realizada la evaluación de la conformidad, la PROFEPA integrará un expediente con todos los documentos y registros que soporten el proceso de evaluación, mismo que deberá resguardar conforme a sus procedimientos internos.
b) Tratándose de las UIA, en caso de que, al finalizar el plazo de respuesta antes señalado no se emita resolución al trámite correspondiente, el Corporativo podrá interponer una queja ante la autoridad competente, para los efectos legales a los que haya lugar.
Las UIA acreditadas y aprobadas deben conservar por 10 años la documentación que soporte el Dictamen de Cumplimiento expedido.
6.4.7. El Certificado NOM o el Dictamen de Cumplimiento correspondiente perderá validez cuando la PROFEPA o las UIA adviertan y, en su caso, acrediten que el Corporativo proporcionó información o documentación falsa.
6.4.8. La PROFEPA en cualquier momento podrá verificar el cumplimiento del presente Proyecto de Norma Oficial Mexicana.
7. Vigilancia
La vigilancia del cumplimiento del presente Proyecto de Norma Oficial Mexicana corresponde a la Secretaría del Medio Ambiente y Recursos Naturales, a través de la PROFEPA.
El incumplimiento de este instrumento normativo motivará la aplicación de las sanciones económicas establecidas en la fracción I del Artículo 171 de la Ley General del Equilibrio Ecológico y la Protección al Ambiente.
8. Concordancia con Normas Internacionales
Este Proyecto de Norma Oficial Mexicana no es equivalente (NEQ) con ninguna Norma Internacional, por no existir esta última al momento de elaborar el presente Proyecto de Norma Oficial Mexicana.
Apéndice A
(normativo)
Transferencia de créditos
A.1 Procedimiento para transferencia de créditos
Para aquellos Corporativos que deseen o requieran la transferencia de créditos deberán cumplir con los criterios establecidos en los numerales A.2 y A.3, según corresponda y apegarse a lo dispuesto en los numerales A.4 y A.5.
A.2 Corporativos con diferencias positivas
Al final del periodo regulado, el Corporativo que conforme al resultado obtenido de la Fórmula 1 o en su caso a través de la Fórmula 2, ambas contempladas en el numeral 4.6 incisos a) y b) del presente Proyecto de Norma Oficial Mexicana, obtenga diferencias positivas y desee transferir la totalidad o parte de las mismas, deberá presentar a la PROFEPA, dentro de los 95 días naturales siguientes, contados a partir del día siguiente de la fecha límite de entrega del último reporte anual de información correspondiente, un escrito libre informando a la autoridad ambiental, el diferencial de Créditos disponible con el que cuenta para comercializar.
A.3 Corporativos con diferencias negativas
El Corporativo que de acuerdo a la Fórmula 2 de los criterios de aceptación, señalados en el numeral 4.6 b) de este Proyecto de Norma Oficial Mexicana, obtenga un saldo negativo para el periodo regulado, podrá presentar a la PROFEPA, dentro de los 95 días naturales siguientes, contados a partir del día siguiente de la fecha límite de entrega del último reporte anual de información correspondiente, un escrito libre solicitando a la PROFEPA le informe sobre aquellos Corporativos que han manifestado su voluntad para transferir el diferencial positivo con el que cuenten.
A.4 Procedimiento para la transferencia de créditos
Una vez que fue notificada por los Corporativos, tanto de los que cuentan con diferencias positivas, como de aquellos que poseen diferencias negativas, la PROFEPA, en un plazo máximo de cinco (5) días naturales contados al día hábil siguiente de la conclusión de los plazos establecidos en los numerales A.2 y A.3 de este Apéndice normativo, deberá notificar al Corporativo deficitario solicitante, la relación del Corporativo o los Corporativos con diferencial positivo interesados en transferir sus Créditos disponibles.
En caso de que el Corporativo con Créditos excedentes y el Corporativo deficitario determinen proceder con la comercialización para la transferencia de créditos, ambos deberán presentar a la PROFEPA, dentro de un plazo máximo de cinco (5) días naturales contados a partir del día hábil siguiente a la notificación de la PROFEPA indicada en el párrafo anterior, un escrito libre conforme al trámite PROFEPA-03-018 "Aviso de notificación de transferencias entre corporativos" o el que lo sustituya, a través del cual se establece la aceptación y el monto de créditos a transferir, mismo que no podrá exceder el saldo negativo a compensar por el Corporativo deficitario dentro del periodo regulado.
La PROFEPA tendrá un plazo máximo de cinco (5) días naturales para prevenir a los Corporativos sobre cualquier inconsistencia o información complementaria para integrar el trámite correspondiente. Los Corporativos deben desahogar la prevención antes mencionada en un plazo máximo de cinco (5) días naturales, contados a partir del día hábil siguiente de la notificación de la PROFEPA; en caso de que el Corporativo no atienda la prevención, el trámite será desechado.
La PROFEPA tendrá un plazo máximo de 10 días naturales para notificar a ambos Corporativos la no procedencia de la transferencia. Si después de concluido este plazo, esta Procuraduría no emite oposición alguna, se entenderá que la operación es procedente.
A.5 Metodología de cálculo
El Corporativo con diferencial positivo podrá determinar un costo por cada tonelada de CO2 excedente, el cual deberá ser siempre inferior a 50 dólares de los Estados Unidos de América.
El Corporativo que recibe la transferencia, deberá de continuar con el procedimiento establecido en el numeral 4.6 del presente Proyecto de Norma Oficial Mexicana para solicitar el Certificado NOM o el Dictamen de Cumplimiento señalado en el numeral 6.4 del presente Proyecto de Norma Oficial Mexicana.
Apéndice B
(normativo)
Mecanismo de compensación
B.1 Metodología para el mecanismo de compensación
El Corporativo que al aplicar lo descrito en el numeral 4.6 a), b) y c). de este Proyecto de Norma Oficial Mexicana obtenga un saldo negativo de emisiones, podrá utilizar el Criterio de Aceptación 4 (CA4) descrito en el numeral 4.6, inciso d). Para ello dentro de los 105 días naturales siguientes, contados a partir del día siguiente de la fecha límite de entrega del último reporte anual de información correspondiente o bien, dentro de los cinco (5) días naturales siguientes a la fecha en que se haya agotado por cualquier medio el procedimiento establecido en el Apéndice A (normativo) del presente instrumento normativo, deberá ingresar a la PROFEPA y a la Secretaría de Medio Ambiente y Recursos Naturales, el escrito con el cálculo que se hubiera determinado por el saldo negativo conforme a lo siguiente:
- Por cada tonelada de CO2 deficitaria resultante de aplicar lo indicado en 4.6, c) del presente Proyecto de Norma Oficial Mexicana, la aportación será el equivalente en moneda nacional, a 50 dólares de los Estados Unidos de América al tipo de cambio publicado en el Diario Oficial de la Federación en la fecha en que la PROFEPA determine la conformidad del CA4, de acuerdo con la siguiente fórmula:
Monto de compensación = CA3´ i 2019-2027 x Costo T CO2 x Número de vehículos deficitarios j
Donde:
Monto de compensación = es la monetización que representa el déficit de Emisiones de CO2 por parte de un Corporativo respecto a las flotas de vehículos de los años modelo 2019-2029.
CA3´i 2019-2027 = criterio de aceptación 3 del Corporativo i expresado en unidades de toneladas de CO2 para las flotas de Año modelo 2019-2027.
Costo T CO2 = es el costo estimado de la tonelada de CO2 determinado en 50 dólares de los Estados Unidos de América.
Número de vehículos deficitarios = es la sumatoria de vehículos vinculados a los años modelo deficitarios determinados a través de las diferencias negativas del PCPM i - PCPO i, para cada Año modelo j.
En un plazo que no excederá los 10 días naturales contados a partir de la recepción del escrito referido en el párrafo anterior, la PROFEPA deberá, notificar al Corporativo su conformidad con el monto determinado o en su caso, informar los ajustes que esa Procuraduría estime necesarios. En caso de que, al finalizar el plazo de respuesta, la PROFEPA no emita la resolución respectiva, se entenderá como la aceptación de los cálculos y de los montos de la aportación económica presentada por el Corporativo.
Una vez determinado el monto a pagar, de conformidad con lo establecido en el párrafo anterior, se deberán seguir las Reglas de Operación o criterios aplicables en el año 2028, a efecto de que se concrete la compensación por parte del Corporativo, de manera previa a que éste lleve a cabo la solicitud para obtener el Certificado NOM o el Dictamen de Cumplimiento, según corresponda.
Apéndice C
(normativo)
Cálculo de emisiones para sistemas de aire acondicionado móviles aplicables a los refrigerantes R-
134a y R-1234yf
C.1 Alcance
La estimación de la relación (gramos de refrigerante por año) de emisiones de refrigerante anuales para los nuevos sistemas de Aire Acondicionado equipados con componentes tecnológicos específicos que se encuentran en el mercado actualmente, se realiza a través de la "Tabla Electrónica de Emisiones del Sistema de Aire Acondicionado" (documento hoja de cálculo), misma que se obtendrá al seguir el procedimiento descrito en este Apéndice normativo. Cabe indicar que dicha tabla puede ser modificada en el momento en que nuevas tecnologías estén presentes en el mercado o, de ser el caso, cuando existan nuevos refrigerantes.
a) El procedimiento incluye tecnologías de compresor para vehículos con sistema de Aire Acondicionado convencionales, así como para compresores semi - herméticos.
b) Las emisiones estimadas en este procedimiento toman en cuenta que los componentes han sido probados al 100 % para fugas, con Helio, antes del ensamble final en el vehículo.
C.2 Consideraciones generales para la "Tabla Electrónica de Emisiones del Sistema de Aire Acondicionado"
a) Las emisiones reales de refrigerante no pueden ser cien por ciento consistentes debido a las variaciones de ensamble y los patrones de uso del cliente del Aire Acondicionado.
b) Los valores de este Apéndice normativo aplican para todos los sistemas de Aire Acondicionado ensamblados en vehículos nuevos e incluye una tolerancia para la variación nominal de la mayoría de las ensambladoras de vehículos con excepción en los casos donde los componentes son probados al 100 % para fugas, con Helio, antes del ensamble final en el vehículo.
Las tecnologías usadas para unir los bloques, pernos con torque u otros componentes del sistema pueden variar en su habilidad para mantener el refrigerante en el sistema y para proveer un buen ensamble. Los valores de emisiones para cada tecnología de unión en este Apéndice C (normativo) están basados en pruebas de laboratorio y reparaciones en campo.
c) La correlación entre los resultados de pruebas de campo está basada en vehículos que fueron ensamblados correctamente en una típica ensambladora. La correlación entre los resultados de las pruebas de laboratorio está basada en componentes ensamblados en un ambiente de laboratorio controlado.
d) La Tabla Electrónica de Emisiones puede ser modificada en el momento en que nuevas tecnologías para componentes y pruebas de fugas sean desarrolladas o estén presentes en el mercado y sean correctamente evaluadas para comprobar su efectividad y habilidad para reducir las emisiones de refrigerante en los sistemas de Aire Acondicionado.
C.3 Uniones
Todas las uniones, también conocidas como bloques, uniones intermedias, juntas, del sistema de Aire Acondicionado que sean sub-ensambladas o ensambladas en el vehículo deben de ser listadas apropiadamente en la sección de uniones del sistema.
Las uniones deben de ser listadas de la siguiente manera:
a) Aquellas uniones hechas con valores de emisiones mayores a los sellos con arandela metálica (Seal Washers) y que sean subsecuentemente probadas para fugas con un espectrómetro de masa de Helio, deben ser anotadas de manera especial en el recuadro de los sellos con arandela metálica (línea 9).
b) Cualquier otra unión hecha debe de ser anotada de manera separada en el recuadro específico de la
unión (línea 8).
i. Los "Sellos Tipo O" son más difíciles de ensamblar correctamente que los sellos con arandela metálica, por lo tanto, a los Sellos Tipo O se les han asignado valores de emisiones más altos que a los sellos con arandela metálica.
ii. Un Sello Tipo O de sellado axial es similar a un Sello Tipo O capturado, en el cual el sello es colocado al inicio del ensamble en su posición y después se realiza el acoplamiento de la unión, comprimiendo el sello de manera axial, sin oportunidad de que el sello se pueda mover.
iii. Se asume que los Sellos Tipo O que han sido correctamente diseñados y ensamblados, tendrán el mismo valor de emisiones que los sellos con arandela metálica que han sido correctamente diseñados y ensamblados, además de haber sido verificados con un espectrómetro de masa de Helio.
C.4 Otros Mecanismos que permiten fuga
Se considera que todos estos componentes/mecanismos han sido probados con anterioridad al 100 % para fugas con Helio antes del ensamble del vehículo.
a) Puertos de Servicio
Se asume que los puertos de servicio tienen sus sellos y tapones de sellado instalados correctamente en su lugar. En estos mecanismos, las emisiones se presentan a través del ensamble de la válvula interna y al final, por los sellos y tapones de sellado. Los valores de emisión asignados en este Apéndice normativo están basados en ensambles con el torque adecuado y los sellos correctamente alineados.
b) Mecanismos unidos al Compresor o a la Línea de Aire Acondicionado (PRV-Válvulas de alivio, Sensores de Presión)
Estos mecanismos pueden incluir diferentes tipos de sellado (Sellos Tipo O, sellos con arandela metálica, diafragmas, juntas, etc.). Los valores asignados en este Apéndice normativo hacen referencia a los diferentes tipos de sellos dentro de estos mecanismos.
c) Mecanismos para el flujo de refrigerante.
Los mecanismos como las Válvulas de Expansión Térmica pueden incluir diferentes tipos de sellado (Sellos Tipo O, sellos con arandela metálica, diafragmas o juntas). Los valores asignados en este Apéndice normativo hacen referencia a los diferentes tipos de sellos dentro de estos mecanismos.
d) Mangueras Flexibles.
i. La tecnología de cada manguera que permite el flujo de refrigerante tiene diferente tasa de permeación, debido a los materiales que usa cada una de ellas y al proceso de manufactura. La tasa de permeación de una manguera está en función del refrigerante, la temperatura interna, la presión, el material de la manguera, la construcción de la manguera, la superficie interna de la manguera y la localización del sistema. La tasa de permeación de una manguera está expresada en (kg/m2/año) y se mide a una temperatura de 80 °C, esta tasa será ingresada en la Tabla Electrónica de Emisiones y será multiplicada por el área interna de la superficie de la manguera.
ii. El ensamble de las mangueras flexibles en el sistema de Aire Acondicionado incluye, tubos, mangueras y crimpados. Las emisiones de refrigerante se dan a través de la manguera y los crimpados.
e) Intercambiadores de Calor, Mofles, Acumuladores
Los intercambiadores de calor, incluidos los internos, son considerados equipos de bajas emisiones y tienen asignado un valor para emisiones dentro de este Apéndice normativo. Se considera que los Mofles y Acumuladores son equipos libres de emisiones; sin embargo, a los bloques/uniones que se ensamblan en los dos tipos de equipos antes mencionados, se les asigna un valor de emisiones, en función del tipo de unión y se reporta en la sección de Uniones.
f) Compresor
i. Se asume que el sello de labios múltiple es mejor que el sello de un solo labio y en ese sentido, los sellos tipo juntas son mejores que los Sellos Tipo O.
ii. Los mayores contribuidores de fugas en el compresor son los sellos y las uniones entre el cuerpo del compresor.
a. Los materiales de sellos del compresor comunes son Politetrafluoroetileno (PTFE) y Caucho Hidrogenado Nitrilo Butadieno (HNBR).
iii. Se espera que los compresores semi-herméticos tengan menos emisiones que los compresores de polea.
iv. Las emisiones del compresor dependen de la cantidad de sellos, el número de labios en los sellos del eje del compresor y del número de las conexiones no herméticas.
v. Sellos de compresor que deben de ser listados en la tabla:
a. Número de Labios en el sello del eje.
b. Número de Sellos Tipo O
c. Número de sellos moldeados en el cuerpo del compresor y/o número de Sellos Tipo O moldeados en alguna parte del cuerpo del compresor.
d. Numero de juntas en el cuerpo del compresor.
e. Plato adaptador.
vi. Para usar la Tabla de Emisiones, los compresores deben de haber sido probados al 100 % para fugas, con Helio, antes de ser ensamblados en el vehículo. Para los compresores que han sido probados al 100 % para fugas con Helio, reemplace el número "2" en la celda D40 con un número "1".
vii. Para los compresores que no han sido probados 100 % para fugas con Helio:
a. Los sellos de estos compresores deben ser identificados en la línea 38 y no se debe de modificar la celda D40. De tal manera la Celda H38 = (B39/B38+C39*C38+D39*D38+E39*E38+F39*F38)*0.522*D40
b. La línea 9 no debe tener ningún valor y la línea 8 debe de ser llenada con la información de este tipo de compresores.
Si los Mecanismos unidos al Compresor o a la Línea de Aire Acondicionado (PRV-Válvulas de alivio, Sensores de Presión) han sido probados al 100% para fugas con Helio, estas conexiones deben registrarse en la línea 9, como equivalente a los sellos con arandela metálica (Seal Washers).
C.5 Base para Estimar las Emisiones de R1234yf
Con la excepción de la permeación de la manguera, la fuga de refrigerante depende de la presión de vapor y es inversamente proporcional a la viscosidad del vapor al dispersarse. La fuga de refrigerante puede ser calculada usando el peso molecular del refrigerante. Dadas las equivalencias en las presiones de vapor del R134a y R1234yf, las emisiones de R134a pueden ser corregidas, multiplicando la fuga de R134a por la relación entre los pesos moleculares (114/102) y la relación inversa de las viscosidades de los gases (11.1.x10-6/12.0x10-6). Esto da un factor de corrección de 1.03, el cual, al ser aplicado a todas las emisiones, excepto a las emisiones de las mangueras, seguido de la suma de las emisiones en las mangueras R1234yf, esto convertirá las emisiones de R-134a a emisiones R-1234yf.
Tabla C.1. Viscosidad y masa molar de los gases y refrigerantes seleccionados
| Gas/Refrigerante | Viscosidad Dinámica a 15 °C (Pa- s) | Masa Molar M (kg/kmol) |
| Nitrógeno | 17.4 x 10-6 | 28 |
| Helio | 19.3 x 10-6 | 4 |
| Aire | 18.0 x 10-6 | 29 |
| R-744 | 14.5 x 10-6 | 44 |
| R-134a | 11.1 x 10-6 | 102 |
| HFO-1234yf | 12.0 x 10-6 | 114 |
C.6 Fórmulas para la "Tabla Electrónica de Emisiones del Sistema de Aire Acondicionado" a generar
La Tabla C.2 del presente Apéndice normativo muestra la planilla y las fórmulas para estimar las emisiones del sistema de Aire Acondicionado. Una tabla electrónica de emisiones del sistema de Aire Acondicionado será necesaria para cada tipo de refrigerante y tipo de compresor.
Tabla C.2. Planilla y fórmulas para estimar las emisiones
| | A | B | C | D | E | F | G | H | I |
| 4 | Ingrese datos únicamente en celdas sombreadas | Emisiones calculadas | |
| 5 | Uniones del Sistema (Bloques y Conexiones) | | |
| 6 | 13 | Sello Tipo O Radiales | Sello Tipo O Capturados/ Sello Tipo O Axiales/ Sellos Moldeados | Sello Tipo O Múltiples | Sellos de Arandela Metálica | Sellos de Arandela Metálica Duales/ Sellos de Arandela Metálica con Sello Tipo O | Empaque Metálico | | Las uniones son aquellas tecnologías de sellado que separan al refrigerante de la atmósfera. |
| 7 | Valores Relativos de Emisión | 1.250 | 0.750 | 0.500 | 0.100 | 0.050 | 0.010 | | |
| 8 | Insertar el número Total de Uniones tipo E6/F6/G6 y también el número total de uniones tipo B6/C6/D6 que no han sido probadas para fugas con Helio. | | | | | | | 0.00 | Uniones que no han sido probados con Helio después del ensamble. |
| 9 | Insertar el número Total de Uniones tipo B6/C6/D6 que han sido probadas para fugas con Helio y son consideradas sellos con arandela metálica. Únicamente en la celda E9 | | | | | | | 0.00 | Uniones que han sido probados con Helio al 100% después del subensamble y ensamble. |
| 10 | | | | | | Total de Conexiones: | 0.00 | |
a) Uniones
i. A continuación, se muestran los encabezados y valores definidos para las líneas 6 y 7. La Línea 6. A6 "Cada unión debe de ser registrada en la Línea 8 y Línea 9, dependiendo del tipo de tecnología de sello usada en esas uniones".
Tabla C.3. Línea 6. Lista de los diferentes tipos de sellos
| | B | C | D | E | F | G |
| 6 (Tipos de Sellos) | Sello Tipo O Radiales | Sello Tipo O Capturados/ Sello Tipo O Axiales/ Sellos Moldeados | Sello Tipo O Múltiples | Sellos Arandela Metálica | Sellos de Arandela Metálica Duales/ Sellos de Arandela Metálica con sello tipo O | Empaque Metálico |
ii. En cuanto a los valores de la Línea 7, la siguiente tabla muestra los valores relativos de emisiones para cada tipo de sello.
Tabla C.4. Línea 7, A7. Valores relativos de Emisiones para cada tipo de sello
| | B | C | D | E | F | G |
| 7 (Valores Relativos de Emisión) | 1.250 | 0.750 | 0.500 | 0.100 | 0.050 | 0.010 |
iii. Respecto de la Línea 8, A8, se debe insertar el número Total de Uniones tipo E6/F6/G6 y también el número total de uniones tipo B6/C6/D6 que no han sido probadas para fugas con Helio.
Ecuación para (emisiones calculadas)
Para R134a: H8 = (B7*B8+C7*C8+D7*D8+E7*E8+F7*F8 +G7* G8)*0.522
Para R1234yf: H8 = (B7*B8+C7*C8+D7*D8+E7*E8+F7*F8 +G7* G8)*0.522*1.03
iv. Tratándose de la Línea 9, A9, se debe insertar el número Total de Uniones tipo B6/C6/D6 que han sido probadas para fugas con Helio y son consideradas sellos con arandela metálica (Seal Washers).
Ecuación para (Emisiones Calculadas)
Para R134a: H9 = (E7*E9)*0.522
Para R1234yf: H9 = (E7*E9)*0.522*1.03
v. Sobre el total de conexión, este concepto debe integrarse en la Línea 10, F10-G10 "Total Conexiones"
Ecuación para (Emisiones Calculadas)
H10 = SUMA (H8, H9)
vi. La Línea 11 señalará el encabezado de otros mecanismos que permiten fuga del refrigerante. El encabezado se mostrará entre las celdas A11-G11 ver tabla siguiente:
Tabla C.5. Otros Mecanismos que permiten fuga
| | A | B | C | D | E | F | G | H | I |
| 11 | Otros Mecanismos que permiten fuga | | Mecanismos que permiten fugas y son diferentes a las conexiones hechas en las uniones. Ejemplo, mediante las válvulas internas o los tapones de los puertos de servicio |
| 12 | Puertos de Servicio | | Lado de Alta Presión | | Lado de Baja Presión | | | | Nota: Todos los sellos deben de ser colocados en la línea 8 y/o 9 |
| 13 | | Coloque el número de válvulas de servicio | | Coloque el número de válvulas de servicio | | | | 0.00 | Nota: Si una válvula integrada (2 Piezas) es ocupada el sello interno Tipo O debe de ser incluido en las líneas 8 y/o 9. |
| 14 | Mecanismos unidos a la Línea de Aire Acondicionado (PRV-Válvulas de alivio, Sensores de Presión) | | Lado de Alta Presión | | Lado de Baja Presión | | | | |
| 15 | | Número de Mecanismos | | | | | | 0.00 | Nota: Todos los sellos deben de ser colocados en la línea 8 y/o 9 |
| 16 | Mecanismos de Expansión Térmica (Válvulas de Expansión Térmica) | | | | | | | | Nota: Todas las conexiones hechas por los bloques como por ejemplo la Válvula de Expansión Térmica tiene que ser incluido en las líneas 8 y/o 9. |
| 17 | | Número de Mecanismos | | | | | | 0.00 | Nota: Todos los sellos deben de ser colocados en la línea 8 y/o 9 |
| 18 | Mecanismos unidos al Compresor (PRV-Válvulas de alivio, Sensores de Presión) | | PRV, Válvulas de Control, Interruptores | | | | | | |
| 19 | | Número de Mecanismos | | | | | | 0.00 | Nota: Todos los sellos deben de ser colocados en la línea 8 y/o 9 |
| 20 | | | | | Total de Otros Mecanismos de Emisiones: | 0.00 | |
De acuerdo con la Tabla C.5, se definirá la siguiente información, inclusive fórmulas, para cada celda:
vii. Línea 12, A12 "Puertos de Servicio"; C12 "Lado de Alta Presión"; E12 "Lado de Baja Presión".
viii. En la línea 13, celdas B13 y D13 se debe insertar el número de válvulas de servicio.
Ecuación para (Emisiones Calculadas)
Para R134a: H13 = (SUMA (C13*0.3)+SUMA (E13*0.2))*0.522
Para R1234yf: H13 = (SUMA (C13*0.3)+SUMA (E13*0.2))*0.522*1.03
NOTA 1: Si la Válvula de Alta es de dos piezas, esta contiene un Sello Tipo O interno que debe de ser incluido en las Líneas 8 y 9.
ix. Línea 14, A14 "Mecanismos unidos a la Línea de Aire Acondicionado (PRV-Válvulas de alivio, Sensores de Presión)", C14 "Localizados en lado de Alta Presión" y E14 "Localizados en lado de Baja Presión".
x. Línea 15, B15 "Número de Mecanismos".
Ecuación para (Emisiones Calculadas)
Para R134a: H15 = (SUMA (C15*0.3) + SUMA (E15*0.2))*0.522
Para R1234yf: H15 = (SUMA (C15*0.3) + SUMA (E15*0.2))*0.522*1.03
xi. Línea 16, A16 "Válvulas de Expansión Térmica", I16 "Nota: Todas las conexiones con sellos tienen que ser contados en las Líneas 8 y 9".
xii. Línea 17, B17 "Número de Mecanismos".
Ecuación para (Emisiones Calculadas)
Para R134a: H17 = SUMA (C17*0.2)*0.522
Para R1234yf: H17 = SUMA (C17*0.2)*0.522*1.03
xiii. Línea 18, A18 "Mecanismos unidos al Compresor (PRV-Válvulas de alivio, Sensores de Presión)"
xiv. Línea 19, B19 "Número de Mecanismos"
Ecuación para (Emisiones Calculadas)
Para R134a: H19 = SUMA (C19*0.2)*0.522
Para R1234yf: H19 = SUMA (C19*0.2)*0.522*1.03
xv. Línea 20, F20-G20 "Total de Otros caminos de emisiones".
Ecuación para (Emisiones Calculadas)
H20 = SUMA (H13, H15, H17, H19)
b) Mangueras Flexibles
Para el caso de las mangueras flexibles, en la Línea 23, entre las celdas E23-G23, se debe de colocar la permeación para cada manguera usada F14-F31.
Tabla C.6. Mangueras flexibles
| | A | B | C | D | E | F | G | H | I |
| 21 | Mangueras Flexibles | | |
| 22 | | Manguera | Manguera | Calculado | | Cálculos | Unidades de Permeación = Kg/m2/ año |
| 23 | Incluir Mangueras y crimpados | Longitud Expuesta (entre crimpados) [mm] | Diámetro Interno [mm] | Área Superficial (no coloque información en esta celda) [mm2] | Coloque la permeación del refrigerante a 80 grados Celsius en la columna F para cada manguera usada en el sistema de acuerdo con la especificación del proveedor | No coloque información en esta celda | Nota: Sólo usar la longitud de manguera expuesta entre crimpados. |
| 24 | Manguera de Alta Presión 1 | | | 0 | | 0.00 | | 0.000 | Inserte la longitud en milímetros |
| 25 | Manguera de Alta Presión 2 | | | 0 | | 0.00 | 0.000 | Inserte el diámetro en milímetros con una cifra decimal |
| 26 | Manguera de Alta Presión 3 | | | 0 | | 0.00 | 0.000 | |
| 27 | Manguera de Alta Presión 4 | | | 0 | | 0.00 | 0.000 | |
| 28 | Manguera de Baja Presión 1 | | | 0 | | 0.00 | 0.000 | |
| 29 | Manguera de Baja Presión 2 | | | 0 | | 0.00 | 0.000 | |
| 30 | Manguera de Baja Presión 3 | | | 0 | | 0.00 | 0.000 | |
| 31 | Manguera de Baja Presión 4 | | | 0 | | 0.00 | 0.000 | |
| 32 | | | | | Total Mangueras | 0.00 | |
De acuerdo con la Tabla C.6, se definirá la siguiente información, inclusive fórmulas, para cada celda:
i. A24 = Manguera de Alta Presión 1
D24 = 3.14159*C24*B24
H24 = (F24*0.0000268*D24)*0.522
ii. A25 = Manguera de Alta Presión 2
D25 = 3.14159*C25*B25
H25 = (F25*0.0000268*D25)*0.522
iii. A26 = Manguera de Alta Presión 3
D26 = 3.14159*C26*B26
H26 = (F26*0.0000268*D25)*0.522
iv. A27 = Manguera de Alta Presión 4
D27 = 3.14159*C27*B27
H27 = (F27*0.0000268*D27)*0.522
v. A28 = Manguera de Baja Presión 1
D28 = 3.14159*C28*B28
H28 = (F28*0.0000268*D28)*0.522
vi. A29 = Manguera de Baja Presión 2
D29 = 3.14159*C29*B29
H29 = (F29*0.0000268*D29)*0.522
vii. A30 = Manguera de Baja Presión 3
D30 = 3.14159*C30*B30
H30 = (F30*0.0000268*D30)*0.522
viii. A31= Manguera de Baja Presión 4
D31 = 3.14159*C31*B31
H31 = (F31*0.0000268*D31)*0.522
ix. Línea 32, celda G32 "Total de Mangueras"
Ecuación para (Emisiones Calculadas) H32 = SUMA (H24:H31)
c) Intercambiadores de Calor
En la Línea 33 se definirá el encabezado "Intercambiadores de Calor", entre las celdas A33-G33, como se indica en la siguiente tabla:
Tabla C.7. Intercambiadores de calor
| | A | B | C | D | E | F | G | H | I |
| 33 | Intercambiadores de Calor | | |
| 34 | | | | Número de Intercambiadores de Calor | | | Total Intercambiadores | 0.00 | Incluye todos los condensadores, evaporadores e intercambiadores de calor. Nota: Estos componentes deben de ser probados con Helio al 100%. |
De acuerdo con la Tabla C.7, se definirá la siguiente información y cuando aplique, las fórmulas, para cada celda:
i. Línea 34, celda D34 "Número de Intercambiadores de Calor" y en la celda G34, el texto "Intercambiadores de calor Total".
Ecuación para (emisiones calculadas)
Para R134a: H34 =E34*0.25*0.522
Para R1234yf: H34 =E34*0.25*0.522*1.03
d) Compresores
La siguiente tabla ilustra que su contenido aplica para todo tipo de compresores
Tabla C.8. Compresor de Polea
| | A | B | C | D | E | F | G | H | I |
| 35 | Cuerpo del Compresor | | |
| 36 | Exclusivo para componentes del compresor | Tipos de sello | | | |
| 37 | | Número de labios en el sello del eje del compresor | Número de sellos Tipo Os | Número de sellos moldeados | Número de empaques metálicos | Sello del plato adaptador | | No coloque información en esta celda | Nota: Todos los sellos deben de ser colocados en la línea 8 y/o 9 |
| 38 | Insertar el número de cada tipo de sello que se tenga en el Compresor | 1 | | | | | Total Compresor | 16.13 | Nota: Estos componentes deben de ser probados con Helio al 100%. Sí no, las emisiones se deben duplicar. |
| 39 | Valores Relativos de Emisión | 15 | 3 | 2 | 1 | 0.4 | | | |
| 40 | Sí los compresores son probados para fugas, con Helio, cambiar la Celda D40 de "2" a "1" | | 2 | | | | |
Tabla C.9. Compresor Eléctrico
| | A | B | C | D | E | F | G | H | I | |
| 35 | Cuerpo del Compresor | | |
| 36 | Exclusivo para componentes del compresor | Tipos de sello | | | |
| 37 | | Número de labios en el sello del eje del compresor | Número de sellos Tipo Os | Número de sellos moldeados | Número de empaques metálicos | Sello del plato adaptador | | No coloque información en esta celda | Nota: Todos los sellos deben de ser colocados en la línea 8 y/o 9 |
| 38 | Insertar el número de cada tipo de sello que se tenga en el Compresor | | | | | | Total Compresor | 0.00 | Nota: Estos componentes deben de ser probados con Helio al 100%. Sí no, las emisiones se deben duplicar. |
| 39 | Valores Relativos de Emisión | 15 | 3 | 2 | 1 | 0.4 | | | |
| 4 0 | Sí los compresores son probados para fugas, con Helio, cambiar la Celda D40 de "2" a "1" | | 2 | | | | |
De acuerdo con las Tablas C.8 y C.9, se definirá la siguiente información y cuando aplique, las fórmulas para cada celda:
i. Línea 35, A35-G35 "Cuerpo del Compresor"
ii. Línea 36, B36-G36 "Tipos de Sellos"
iii. Línea 37, B37 "Numero de Labios en el sello del eje"; C37 "Número de Sellos Tipo O"; D37 "Número de sellos moldeados"; E37 "Numero de Empaques" y F37 "Sello del plato adaptador".
iv. Línea 38, A38 "Inserte el número de cada tipo de sello en el compresor"
Ecuación para compresor de polea.
Para R134a: H38 = (B39/B38+C39*C38+D39*D38+E39*E38+F39*F38)*0.522*D40
Para R1234yf: H38 = (B39/B38+C39*C38+D39*D38+E39*E38+F39*F38)*0.522*D40*1.03
Ecuación para compresor de eléctrico.
Para R134a: H38 = (C39*C38+D39*D38+E39*E38+F39*F38)*0.522*D40
Para R1234yf: H38 = (C39*C38+D39*D38+E39*E38+F39*F38)*0.522*D40*1.03
v. Línea 39, A39 "Valor relativo de emisiones"
Tabla C.10. Valor relativo de emisiones
| Valores Relativos de Emisión | 15 | 3 | 2 | 1 | 0.4 |
vi. Línea 40, celda A40 si los compresores son probados para fugas, con Helio, cambiar la Celda D40 de "2" a "1".
Tabla C.11. Resumen
| | A | B | C |
| 42 | Resumen | % Contribución | Gramos / año |
| 43 | Uniones del Sistema (Conexiones) | =H10/B51 | =SUMA(H10) |
| 44 | Otros Mecanismos que permiten fuga | =H20/B51 | =SUMA(H20) |
| 45 | Mangueras Flexibles | =H32/B51 | =SUMA(H32) |
| 46 | Intercambiadores de Calor | =H34/B51 | =SUMA(H34) |
| 47 | Cuerpo del Compresor | =H38/B51 | =SUMA(H38) |
| 48 | Total | =SUMA(B43:B47) | =SUMA(C43:C47) |
| 49 | | | |
| 50 | | | |
| 51 | Aproximado Total de emisiones del sistema de Aire Acondicionado gramos/año | = SUMA(H10, H20, H34, H38) | |
| Línea / Columna | A | B | C |
| 42 | Resumen | % Contribución | gramos/año |
| 43 | Uniones del Sistema (Conexiones) | =H10/B51 | =SUMA(H10) |
| 44 | Otros Mecanismos que permiten fuga | =H20/B51 | =SUMA(H20) |
| 45 | Mangueras Flexibles | =H32/B51 | =SUMA(H32) |
| 46 | Intercambiadores de Calor | =H34/B51 | =SUMA(H34) |
| 47 | Cuerpo del Compresor | =H38/B51 | =SUMA(H38) |
| 48 | Total | =SUMA(B43:B47) | =SUMA(C43:C47) |
vii. Línea 51, celda A51 "Aproximado Total de emisiones del sistema de Aire Acondicionado g/año"
Ecuación para (Emisiones Calculadas)
B51 = SUMA (H10, H20, H32, H34, H38)
Tabla C.12. Muestra de la Tabla Electrónica de Emisiones del Sistema de Aire Acondicionado
| | A | B | C | D | E | F | G | H | I |
| 4 | Ingrese datos únicamente en celdas de este color | Emisiones Calculadas | |
| 5 | Uniones del Sistema (Bloques y Conexiones) | | |
| 6 | 13 | Sello Tipo O Radiales | Sello Tipo O Capturados/ Sello Tipo O Axiales/ Sellos Moldeados | Sello Tipo O Múltiples | Sellos de Arandela Metálica | Sellos de Arandela Metálica Duales/ Sellos de Arandela Metálica con Sello Tipo O | Empaque Metálico | | Las uniones son aquellas tecnologías de sellado que separan al refrigerante de la atmosfera. |
| 7 | Valores Relativos de Emisión | 1.250 | 0.750 | 0.500 | 0.100 | 0.050 | 0.010 | | |
| 8 | Insertar el número Total de Uniones tipo E6/F6/G6 y también el número total de uniones tipo B6/C6/D6 que no han sido probadas para fugas con Helio. | | | | | | | 0.00 | Uniones que no han sido probados con Helio después del ensamble. |
| 9 | Insertar el número Total de Uniones tipo B6/C6/D6 que han sido probadas para fugas con Helio y son consideradas sellos con arandela metálica. Únicamente en la celda E9 | | | | 1 | | | 0.00 | Uniones que han sido probados con Helio al 100% después del sub ensamble y ensamble. |
| 10 | | | | | | Total de Conexiones: | 0.00 | |
| 11 | Otros Mecanismos que permiten fuga | | Mecanismos que permiten fugas y son diferentes a las conexiones hechas en las uniones. Ejemplo, mediante las válvulas internas o los tapones de los puertos de servicio |
| 12 | Puertos de Servicio | | Lado de Alta Presión | | Lado de Baja Presión | | | | Nota: Todos los sellos deben de ser colocados en la línea 8 y/o 9 |
| 13 | | Coloque el número de válvulas de servicio | | Coloque el número de válvulas de servicio | | | | 0.00 | Nota: Si una válvula integrada (2 Piezas) es ocupada el sello interno Tipo O debe de ser incluido en las líneas 8 y/o 9. |
| 14 | Mecanismos unidos a la Línea de Aire Acondicionado (PRV- Válvulas de alivio, Sensores de Presión) | | Lado de Alta Presión | | Lado de Baja Presión | | | | |
| 15 | | Número de Mecanismos | | | | | | 0.00 | Nota: Todos los sellos deben de ser colocados en la línea 8 y/o 9 |
| 16 | Mecanismos de Expansión Térmica (Válvulas de Expansión Térmica) | | | | | | | | Nota: Todas las conexiones hechas por los bloques como por ejemplo la Válvula de Expansión Térmica tiene que ser incluido en las líneas 8 y/o 9. |
| 17 | | Número de Mecanismos | | | | | | 0.00 | Nota: Todos los sellos deben de ser colocados en la línea 8 y/o 9 |
| 18 | Mecanismos unidos al Compresor (PRV- Válvulas de alivio, Sensores de Presión) | | PRV, Válvulas de Control, Interruptores | | | | | | |
| 19 | | Número de Mecanismos | | | | | | 0.00 | Nota: Todos los sellos deben de ser colocados en la línea 8 y/o 9 |
| 20 | | | | | Total de Otros Mecanismos de Emisiones: | 0.00 | |
| 21 | Mangueras Flexibles | | |
| 22 | | Manguera | Manguera | Calculado | | | Unidades de Permutación = Kg/m2/año |
| 23 | Incluir Mangueras y crimpados | Longitud Expuesta (entre crimpados) [mm] | Diámetro Interno [mm] | Área Superficial No coloque información en esta celda [mm2] | Coloque la permeación del refrigerante a 80 grados Celsius en la columna F para cada manguera usada en el sistema de acuerdo a la especificación del proveedor | No coloque informació n en esta celda | Nota: Solo usar la longitud de manguera expuesta entre crimpados. |
| 24 | Manguera de Alta Presión 1 | | | 0 | | 0.00 | | 0.000 | Inserte la longitud en milímetros |
| 25 | Manguera de Alta Presión 2 | | | 0 | | 0.00 | 0.000 | |
| 26 | Manguera de Alta Presión 3 | | | 0 | | 0.00 | 0.000 | |
| 27 | Manguera de Alta Presión 4 | | | 0 | | 0.00 | | 0.000 | |
| 28 | Manguera de Baja Presión 1 | | | 0 | | 0.00 | 0.000 | |
| 29 | Manguera de Baja Presión 2 | | | 0 | | 0.00 | 0.000 | |
| 30 | Manguera de Baja Presión 3 | | | 0 | | 0.00 | 0.000 | |
| 31 | Manguera de Baja Presión 4 | | | 0 | | 0.00 | 0.000 | |
| 32 | | | | | Total Mangueras | 0.00 | |
| 33 | Intercambiadores de Calor | | |
| 34 | | | | Número de Intercambiadores de Calor | | | Total Intercambiadores | 0.00 | Incluye todos los condensadores, evaporadores e intercambiadores de calor. Nota: Estos componentes deben de ser probados con Helio al 100%. |
| 35 | Cuerpo del Compresor | | |
| 36 | Exclusivo para componentes del compresor | Tipos de sello | | | |
| 37 | | Número de labios en el sello del eje del compresor | Número de sellos Tipo Os | Número de sellos moldeados | Número de empaques metálicos | Sello del plato adaptador | | No coloque información en esta celda | Nota: Todos los sellos deben de ser colocados en la línea 8 y/o 9 |
| 38 | Insertar el número de cada tipo de sello que se tenga en el Compresor | | | | | | Total Compresor | 16.13 | Nota: Estos componentes deben de ser probados con Helio al 100%. Sí no, las emisiones se deben duplicar. |
| 39 | Valores Relativos de Emisión | 15 | 3 | 2 | 1 | 0.4 | | | |
| 40 | Sí los compresores son probados para fugas, con Helio, cambiar la Celda D40 de "2" a "1" | | 2 | | | | |
| 41 | | | | | | | | | |
| 42 | Resumen | % Contribución | gramos/año | | | | | | |
| 43 | Uniones del Sistema (Conexiones) | % | 0.00 | | | | | | |
| 44 | Otros Mecanismos que permiten fuga | % | 0.00 | | | | | | |
| 45 | Mangueras Flexibles | % | 0.00 | | | | | | |
| 46 | Intercambiadores de Calor | % | 0.00 | | | | | | |
| 47 | Cuerpo del Compresor | % | 0.00 | | | | | | |
| 48 | Total | 100% | 0.00 | | | | | | |
| 49 | | | | | | | | | |
| 50 | | | | | | | | | |
| 51 | Aproximado Total de emisiones del sistema de Aire Acondicionado gramos/año | 16.13 | | | | | | | |
Apéndice D
(normativo)
Información técnica
A continuación, la relación de información técnica necesaria y la que esté marcada con (*) es opcional:
D.1 Datos generales
a) Marca
b) Submarca
c) Versión
d) Año modelo
e) Tipo de frenos (delantero/traseros)
f) Número de puertas*
g) Categoría del vehículo
h) Tecnología
D.2 Dimensiones
a) Carrocería*
b) Largo (mm)*
c) Ancho (mm)*
d) Alto (mm)*
e) Dimensiones para el cálculo de la Sombra*
f) Distancia entre el punto medio de cada eje (mm)
g) Longitud eje delantero (mm) medido hasta el punto medio de las Llantas
h) Longitud eje trasero (mm) medido hasta el punto medio de las llantas
i) Área o Sombra de acuerdo con las especificaciones de este instrumento
j) Ángulos y son:
i. Aproximación/Ataque
ii. Rompimiento/Salida
D.3 Peso (kg)
a) Peso del vehículo o peso en acera
b) Peso bruto vehicular
D.4 Rendimiento de combustible (km/l)*
a) Rendimiento en ciudad*
b) Rendimiento en carretera*
c) Rendimiento combinado*
D.5 Emisiones contaminantes (g/km)
a) Hidrocarburos no metano (NMHC)
b) Monóxido de carbono (CO)
c) Hidrocarburos Evaporativos (g/pba)
d) Partículas (vehículos diésel)
e) NOx
f) Para los ciclos de prueba de ciudad y carretera:
g) Bióxido de carbono (CO2)
h) Monóxido de carbono (CO)
i) Hidrocarburos (HC)
j) Óxido nitroso (N2O)*
k) Metano (CH4)*
D.6 Motor
a) Familia del motor
b) Desplazamiento (cm3)
c) Número y posición de cilindros
d) Diámetro (mm)*
e) Carrera (mm)*
f) Potencia neta (HP/rpm)
g) Par máximo (Nm/rpm)*
h) Consumo mínimo específico de combustible ((g/hp-h)/rpm)*
i) Relación de compresión*
j) Tipo de alimentación de combustible
D.7 Transmisión
a) Tipo
D.8 Eje propulsor
a) Relación*
b) Tipo*
D.9 Control de emisiones
a) Convertidor catalítico
b) Cantidad o número de convertidores
c) Sensor de oxígeno
d) Válvula EGR
e) Bomba de aire
f) Sistema de diagnóstico abordo (OBDII O EOBD)
g) Estándar de durabilidad
h) Filtro de partículas
D.10 Aire acondicionado
a) Tipo de gas refrigerante o refrigerantes
b) Fórmula química
c) Potencial de calentamiento global
d) Tiempo de vida
e) Capacidad del sistema de aire acondicionado*
f) Tecnología del sistema de aire acondicionado*
g) Tipo de componentes: conectores, mangueras, juntas y contenedores del refrigerante*
h) Características de operación del compresor*
i) Estimación de las emisiones fugitivas (gramos de CO2 al Año o relación equivalente)
D.11 Capacidades (l)
a) Tanque de combustible*
b) Enfriamiento*
c) Lubricación*
D.12 Datos prueba
a) Peso de prueba
b) Carga de inercia (kg)
c) Clase NOM-042-SEMARNAT-2003
d) Estándar NOM-042-SEMARNAT-2003
e) Categoría de acuerdo con los criterios de este instrumento normativo
f) País de origen del vehículo*
g) Características del combustible:
i. Fracción peso de carbón
ii. Peso específico o gravedad específica
iii. Poder calorífico
Apéndice E
(informativo)
Criterios de clasificación como camioneta ligera
Una camioneta ligera es:
E.1 Un vehículo diseñado para realizar al menos una de las siguientes funciones:
1) Transportar más de 10 personas
2) Proveer espacio para vivienda temporal
3) Transportar bienes sobre una plataforma abierta
4) Proveer, al vender al primer comprador al menudeo, mayor volumen para carga que para pasajeros, tales como en una van de carga; si un vehículo es vendido con una segunda fila de asientos, su volumen para carga está determinado con ese asiento instalado aun cuando el fabricante haya descrito ese asiento como opcional,
5) Permitir el uso extendido del vehículo para propósitos de carga u otros propósitos que no sean carga de pasajeros, conforme a lo siguiente:
i) Para camionetas ligeras fabricadas a partir del Año modelo 2008 y posteriores, y equipadas con al menos tres (3) filas de asientos designados como equipo estándar; permitir un mayor uso del automóvil para el transporte de carga o para otros fines que no sean la carga de pasajeros a través de la remoción o estiba de los asientos plegables o de giro a fin de crear una superficie de carga plana y nivelada que se extiende desde el punto más delantero de la instalación de los asientos a la parte trasera del interior del automóvil,
O
E.2 Un vehículo con capacidad de operación fuera de carretera determinado porque:
1) Tiene doble tracción (4x4) o
2) Tiene un Peso bruto vehicular mayor a 6 000 libras (2 721.55 kg), y
3) Tiene al menos cuatro de las siguientes características calculadas cuando el vehículo está a peso vehicular,(1) en una superficie nivelada, con las llantas frontales paralelas a la línea central longitudinal del vehículo y las llantas infladas a la presión recomendada por el fabricante:
i) Ángulo de aproximación de no menos de 28 grados
ii) Ángulo ventral(2) de no menos de 14 grados
iii) Ángulo de salida de no menos de 20 grados
iv) Claro del punto más bajo del vehículo al piso, excluyendo el peso no suspendido, de no menos de 20 centímetros
v) Claro de ejes delantero y trasero de no menos de 18 centímetros cada uno.
En caso de que exista desacuerdo entre la PROFEPA o la UIA y el sujeto regulado sobre la clasificación que este último reporte sobre un vehículo, la controversia se dirimirá ante las instancias competentes.
Apéndice F
(informativo)
Tecnologías que permiten incrementar la eficiencia de los sistemas de aire acondicionado de los
vehículos automotores nuevos
La relación de tecnologías que incrementan la eficiencia de los sistemas de aire acondicionado se presenta a continuación:
a) Condensadores y/o evaporadores mejorados
b) Controles del motor del soplador que limitan el desperdicio de energía
c) Intercambiador de calor interno
d) Modo de recirculación predeterminado (lazo abierto y lazo cerrado)
e) Recalentamiento reducido, con compresor de desplazamiento fijo controlado externamente o compresor neumático de desplazamiento variable
f) Recalentamiento reducido, con compresor de desplazamiento variable controlado externamente
g) Separador de aceite del compresor
h) Otras aceptadas y reconocidas como tecnologías que permiten incrementar la eficiencia de los sistemas de aire acondicionado por la Agencia de Protección Ambiental de los Estados Unidos de América o por otras autoridades similares en Japón o en la Unión Europea.
i) Tecnologías adicionales que los Corporativos consideren necesario incluir en la lista anterior, deberán ponerse a consideración de la PROFEPA para su validación y eventual incorporación. El expediente que entregue el Corporativo deberá incorporar como mínimo la siguiente información:
i. Monto de crédito adicional al establecido en este instrumento normativo
ii. Descripción de la tecnología
iii. Beneficios de la operación de la tecnología en relación con el vehículo que no la incorpora
Para mejor entendimiento, se proporciona la siguiente información:
F.1 Condensadores y/o evaporadores mejorados: Significa que el coeficiente de desempeño (COP, coefficient of performance, por sus siglas en inglés) del sistema de aire acondicionado que utiliza diseños mejorados de evaporador y condensador es 10 % mayor, se determina utilizando los procedimientos de prueba de banco que documentará el Corporativo, comparando los resultados con un sistema que usa diseños de componentes estándar o del Año modelo anterior.
F.2 Controles del motor del soplador que limitan el desperdicio de energía: Es un método para controlar las velocidades del ventilador y del soplador que no usa elementos resistivos para disminuir el voltaje suministrado al motor.
F.3 Intercambiador de calor interno: Un dispositivo que transfiere calor desde el refrigerante de fase líquida a alta presión que entra al evaporador al refrigerante de fase gaseosa a baja presión que sale del evaporador, o su equivalente.
F.4 Modo de recirculación predeterminado (lazo abierto y lazo cerrado): Es la posición predeterminada del mecanismo que controla la fuente de aire suministrada al sistema de aire acondicionado donde cambiará del aire exterior al aire recirculado cuando el operador o el sistema de control climático automático haya conectado el sistema de aire acondicionado (es decir, el evaporador esté retirando calor), excepto en aquellas condiciones en las que se requiere deshumidificación para la visibilidad (modo de desempañador). En los vehículos equipados con sensores de calidad del aire interior (ejemplo: sensor de humedad o sensor de dióxido de carbono), los controles pueden determinar la combinación adecuada de fuentes de suministro de aire para mantener la frescura del aire de la cabina y evitar el empañamiento de las ventanas mientras se maximiza el uso del modo de recirculación. En cualquier momento, el operador del vehículo puede seleccionar manualmente el ajuste de aire sin recirculación durante el funcionamiento del vehículo, pero el sistema debe regresar al modo de recirculación en las operaciones posteriores del vehículo (es decir, el siguiente arranque del vehículo). El sistema de control de clima puede retrasar el cambio al modo de recirculación hasta que la temperatura del aire interior sea menor que la temperatura del aire exterior, momento en el cual el sistema debe cambiar al modo de recirculación.
F.5 Recalentamiento reducido, con compresor de desplazamiento fijo controlado externamente o compresor neumático de desplazamiento variable: Es un sistema en el que la salida de cualquiera de los compresores se controla conectando y desconectando el embrague del compresor mediante una señal electrónica, basada en la entrada de sensores (por ejemplo, posición o punto de ajuste del control de temperatura interior, temperatura interior, temperatura del aire de salida del evaporador, o la temperatura del refrigerante) y en el que la temperatura del aire a la salida del evaporador se puede controlar a un nivel de 5 °C o superior.
F.6 Recalentamiento reducido, con compresor de desplazamiento variable controlado externamente: Es un sistema en el que el desplazamiento del compresor se controla mediante una señal electrónica, basada en la entrada de sensores (por ejemplo, posición o punto de ajuste del control de temperatura interior, temperatura interior, temperatura del aire de salida del evaporador o temperatura del refrigerante) y en el que la temperatura del aire en la salida del evaporador se puede controlar a un nivel de 5 °C o superior.
F.7 Separador de aceite del compresor: Es un mecanismo que elimina al menos 50 % del aceite arrastrado en la mezcla de aceite/refrigerante que sale del compresor y lo devuelve a la carcasa del compresor o a la entrada del compresor, o bien un diseño de compresor que no depende de la circulación de una mezcla de aceite/refrigerante para la lubricación.
Apéndice G
(informativo)
Tecnologías fuera de ciclo para vehículos automotores nuevos
Las tecnologías fuera de ciclo son las siguientes:
a) Luces exteriores de alta eficiencia
b) Mejoras aerodinámicas activas
c) Motor con sistema paro-arranque
d) Paneles solares
e) Recuperador de desperdicio de calor
f) Sistema de calentamiento activo del motor
g) Sistema de calentamiento activo de la transmisión
h) Sistema de monitoreo de presión de llantas
i) Sistema eléctrico de circulación de calor
j) Controles térmicos
a. Cristales con tratamiento de transmisión de temperatura o radiación solar
b. Pintura reflectante solar
c. Ventilación activa de asiento
d. Ventilación activa de cabina
e. Ventilación pasiva de cabina
k) Otras aceptadas y reconocidas como tecnologías fuera de ciclo que permiten incrementar la eficiencia energética del vehículo y han sido aprobadas por la Agencia de Protección Ambiental de los Estados Unidos de América o por otras autoridades similares en Japón o en la Unión Europea.
l) Tecnologías adicionales que los Corporativos consideren necesario incluir en la lista anterior, deberán ponerse a consideración de la PROFEPA para su validación y eventual incorporación. El expediente que entregue el Corporativo deberá incorporar como mínimo la siguiente información:
i. Monto de crédito adicional al establecido en este instrumento normativo
ii. Descripción de la tecnología
ii. Beneficios de la operación de la tecnología en relación con el vehículo que no la incorpora
Para mejor entendimiento, se proporciona la siguiente información:
G.1 Luces exteriores de alta eficiencia: Una tecnología de iluminación que, una vez instalada en un vehículo, se espera se reduzca la demanda total de electricidad del sistema de iluminación exterior en comparación con los sistemas de iluminación convencionales (ejemplo: faros delanteros de corto y largo alcance, luces de posición, luces de advertencia y direccionales, luz de matrícula y luces de freno).
G.2 Mejoras aerodinámicas activas: Son tecnologías que se activan automáticamente bajo ciertas condiciones para mejorar la eficiencia aerodinámica conservando otros atributos o funciones del vehículo.
G.3 Motor con sistema paro-arranque: Es el motor equipado con una tecnología que habilita a un vehículo a que apague el motor cuando se detiene y que lo vuelva a encender cuando el conductor activa el acelerador o suelte el freno, bajo la consideración de que el sistema paro/arranque es el modo operativo predominante.
G.4 Paneles solares: Aquellos que se encuentran en el exterior del vehículo colocados de manera horizontal y expuestos directamente al sol, colocados en porciones o en todo el vehículo, ya sea eléctrico, eléctrico de celda de combustible, híbrido eléctrico o híbrido conectable, en los que la energía solar se utiliza para proveer al sistema eléctrico de manejo del vehículo, ya sea cargando la batería o directamente a los sistemas esenciales del vehículo (ejemplo aire acondicionado/ventilación) o para proveer energía directamente al motor eléctrico.
G.5 Recuperador de desperdicio de calor: Es un sistema que captura el calor que de otra manera se perdería a través del motor, escape, radiador o alguna otra fuente y lo convierte en energía eléctrica que se utiliza para alcanzar los requerimientos eléctricos del vehículo o para aumentar otras tecnologías de reducción de carga (ej. calentamiento de la cabina, estrategias activas de calentamiento de motor/transmisión). La cantidad de energía que se recupera está basada en el valor promedio de los cinco (5) ciclos de prueba.
G.6 Sistema de calentamiento activo del motor: Es un sistema que utiliza el desperdicio de calor del vehículo para calentar ciertos elementos del motor.
G.7 Sistema de calentamiento activo de la transmisión: Es un sistema que utiliza el desperdicio de calor del vehículo para calentar de forma rápida el aceite de transmisión a un rango de temperatura de operación por medio de un intercambiador de calor.
G.8 Sistema de monitoreo de presión de llantas: Es un sistema electrónico que monitorea la presión de inflado del neumático y alerta cuando una o varias llantas se encuentran por debajo de la presión de operación.
G.9 Sistema eléctrico de circulación de calor: Es un sistema instalado en un vehículo de combustión interna, un híbrido o un híbrido conectable que cuentan con sistema de paro/arranque, el cual mantenga circulando aire caliente mientras el motor se encuentra apagado durante el paro/arranque. Este sistema se debe calibrar para mantener el motor apagado por un minuto o más cuando la temperatura al exterior del vehículo sea de -1.1 °C y cuando se requiera la calefacción de la cabina.
G.10 Controles térmicos: Los que se mencionan a continuación:
G.10.1 Cristales con tratamiento de transmisión de temperatura o radiación solar: Cristales que cuentan con un tratamiento especial que disminuyen la cantidad de radiación o temperatura solar que es transmitida a la cabina del vehículo en comparación con los cristales convencionales.
G.10.2 Pintura reflectante solar: Pintura de vehículo o capa superficial aplicada a las superficies horizontales, incluyendo la tapa de cajuela y el toldo de cabina, la cual reflecta al menos 65 % de la incidente energía solar infrarroja, determinada por el Corporativo, a partir de un procedimiento documentado.
G.10.3 Ventilación activa de asiento: Dispositivo que dirige aire o transfiere calor de la superficie del asiento que está en contacto con el ocupante y lo expulsa del asiento.
G.10.4 Ventilación activa de cabina: Dispositivos que mueven mecánicamente el aire caliente del interior de la cabina hacia el exterior del vehículo.
G.10.5 Ventilación pasiva de cabina: Ductos, dispositivos o métodos que utilizan el flujo de aire convectivo, para mover aire caliente de la cabina hacia el exterior del vehículo.
9. Bibliografía
9.1 NMX-Z-013-SCFI-2015, Guía para la Estructuración y Redacción de Normas (Cancela a la NMX-Z-013/1-1977). Declaratoria de vigencia publicada en el Diario Oficial de la Federación el 18 de noviembre de 2015, así como su aclaración publicada en el Diario Oficial de la Federación el 16 de junio 2016.
9.2 Ley Federal sobre Metrología y Normalización, publicada en el Diario Oficial de la Federación el 1 de julio de 1992 y sus reformas.
9.3 Reglamento de la Ley Federal sobre Metrología y Normalización, publicada en el Diario Oficial de la Federación el 14 de enero de 1999 y sus reformas.
9.4 Aviso mediante el cual se dan a conocer los parámetros para el cálculo de las emisiones de bióxido de carbono (CO2) en los vehículos automotores ligeros nuevos con peso bruto vehicular que no exceda los 3 857 kilogramos, que utilizan gasolina o diésel como combustible cuyo año modelo sea 2017, publicado en el Diario Oficial de la Federación el 24 de junio de 2016.
9.5 Aviso mediante el cual se dan a conocer los parámetros para el cálculo de las emisiones de bióxido de carbono (CO2) en los vehículos automotores ligeros nuevos con peso bruto vehicular que no exceda los 3 857 kilogramos, que utilizan gasolina o diésel como combustible cuyo año modelo sea 2018, publicado en el Diario Oficial de la Federación el 23 de enero de 2018.
9.6 Inventario Nacional de Emisiones de Gases y Compuestos de Efecto Invernadero 2015. Instituto Nacional de Ecología y Cambio Climático. México 2018. https://www.gob.mx/inecc/acciones-y-programas/inventario-nacional-de-emisiones-de-gases-y-compuestos-de-efecto-invernadero.
9.7 Código Federal de Regulaciones de la Agencia de Protección Ambiental de los Estados Unidos de América volumen 40, partes 85, 86 y 600 revisado el 1 de julio de 1994, por la Agencia de Protección Ambiental de los Estados Unidos.
9.8 Regulación Final de Emisiones de Gases de Efecto Invernadero y el Promedio Corporativo para la Economía de Combustible para Vehículos Ligeros de Año modelo 2017 y posteriores (2017 and Later Model Year Light-Duty Vehicle Greenhouse Gas Emissions Standards and Corporate Average Fuel Economy Standards. Final Rule, octubre de 2012), publicado por las Agencias de Protección Ambiental y de Seguridad y Tráfico en las Carreteras de los Estados Unidos de América.
9.9 Sociedad de Ingenieros de Automoción, SAE Internacional (Society of Automotive Engineers), Estándar SAE J2727 Cálculo de emisiones para Sistemas de Aire acondicionado móviles aplicables a los Refrigerantes R-134a Y R-1234yf (Mobile Air Conditioning System Refrigerant Emission Charts for R-134a and R-1234yf).
9.10 Decreto por el que se expide la Ley de Infraestructura de la Calidad y se abroga la Ley Federal sobre Metrología y Normalización, publicado en el Diario Oficial de la Federación el 1 de julio de 2020.
9.11 ISO/IEC 17025 Requisitos generales para la competencia de los laboratorios de ensayo y de calibración
Transitorios
Primero. El presente Proyecto de Norma Oficial Mexicana una vez que sea publicada en el Diario Oficial de la Federación como norma definitiva, entrará en vigor a los 180 días naturales contados a partir del día natural inmediato siguiente al día de su publicación en dicho órgano de difusión.
Segundo. Considerando lo establecido en el primer párrafo del numeral 4.3.3 de este Proyecto de Norma Oficial Mexicana, en tanto no se emita y entre en vigor la modificación de la norma mexicana NMX-AA-011-1993-SCFI que contempla el "método de prueba para la evaluación de emisiones de gases del escape de los vehículos automotores nuevos en planta que usan gasolina como combustible", con el fin de incorporar los procedimientos y equipos para medir las emisiones de bióxido de carbono, monóxido de carbono e hidrocarburos totales provenientes del escape de los vehículos automotores nuevos objeto de este instrumento normativo, la autoridad o las UIA aceptarán:
a) Los resultados de emisiones resultantes de la ejecución de los ciclos de prueba en ciudad y carretera incluidos en el Código Federal de Regulaciones (CFR) volumen 40, partes 85, 86 y 600 de la Agencia de Protección Ambiental (EPA) de los Estados Unidos de América;
b) Hoja de cálculo a través de la cual se aplica la metodología contemplada en el Apéndice C (normativo) del presente Proyecto de Norma Oficial Mexicana, para la determinación de las emisiones fugitivas de refrigerantes provenientes de los sistemas de aire acondicionado incorporados en los vehículos automotores nuevos.
Tercero. La Secretaría de Medio Ambiente y Recursos Naturales, a más tardar el 30 de junio de 2025, concluirán el análisis para determinar la inclusión del óxido nitroso en el cálculo de las Emisiones de CO2 observadas para el ciclo en ciudad y el ciclo en carretera, de acuerdo con el numeral 4.3.3, y en función del tipo de combustible empleado por los vehículos. Lo anterior quedará sujeto a la revisión y modificación de la Norma Mexicana NMX-AA-011-1993-SCFI que contempla el "método de prueba para la evaluación de emisiones de gases del escape de los vehículos automotores nuevos en planta que usan gasolina como combustible", para efectos de la incorporación del método de prueba correspondiente para la medición del óxido nitroso. En caso de que se determine procedente la inclusión de dicho compuesto, el instrumento regulatorio aplicable a los vehículos automotores nuevos posteriores al Año modelo 2028, determinará las disposiciones para la contabilidad de las emisiones observadas de óxido nitroso.
Cuarto. La Secretaría de Medio Ambiente y Recursos Naturales evaluará y, de ser el caso, actualizará el costo de la tonelada de carbono empleado en los Apéndices A y B de este Proyecto de Norma Oficial Mexicana, de acuerdo con las estimaciones y umbrales del mercado de carbono que en su momento se encuentren vigentes en nuestro país. De actualizarse dicho costo, el plazo máximo para modificar el instrumento normativo que derive del presente Proyecto de Norma Oficial Mexicana, será el 30 de junio de 2025.
Quinto. El presente Proyecto de Norma Oficial Mexicana una vez que sea publicada en el Diario Oficial de la Federación como norma definitiva y entre en vigor, cancelará, por un lado, a la NOM-163-SEMARNAT-ENER-SCFI-2013, "Emisiones de bióxido de carbono (CO2) provenientes del escape y su equivalencia en términos de rendimiento de combustible, aplicable a vehículos automotores nuevos de peso bruto vehicular de hasta 3 857 kilogramos", publicada en el Diario Oficial de la Federación el 21 de junio de 2013 y, por el otro, los siguientes instrumentos: a) Aviso mediante el cual se dan a conocer los parámetros para el cálculo de las emisiones de bióxido de carbono (CO2) en los vehículos automotores ligeros nuevos con peso bruto vehicular que no exceda los 3 857 kilogramos, que utilizan gasolina o diésel como combustible cuyo año modelo sea 2017, publicado en el Diario Oficial de la Federación el 24 de junio de 2016 y b) Aviso mediante el cual se dan a conocer los parámetros para el cálculo de las emisiones de bióxido de carbono (CO2) en los vehículos automotores ligeros nuevos con peso bruto vehicular que no exceda los 3 857 kilogramos, que utilizan gasolina o diésel como combustible cuyo año modelo sea 2018, publicado en el Diario Oficial de la Federación el 23 de enero de 2018.
Sexto. A efecto de dar cumplimiento a lo previsto en los artículos 68, último párrafo, y 78 de la Ley General de Mejora Regulatoria, la Secretaría de Medio Ambiente y Recursos Naturales modificará, abrogará o derogará las obligaciones regulatorias o actos especificados en el Análisis de Impacto Regulatorio.
Séptimo. La compensación económica señalada en el Apéndice B normativo del presente Proyecto de Norma Oficial Mexicana que se relaciona con el Criterio de Aceptación 4, del numeral 4.6, inciso d) del presente instrumento normativo, deberá ser depositada a favor de la Secretaría, de acuerdo con las disposiciones generales o lineamientos que esta emita en su página electrónica, a más tardar en el año 2027.
Octavo. Una vez que la PROFEPA cuente con el reporte anual de información, con respecto al año modelo 2025 conforme a los tiempos que establece la Tabla 21. Calendario, del presente Proyecto de Norma oficial mexicana, las Autoridades Normalizadoras realizarán una evaluación sobre el impacto ambiental en el cumplimiento de las metas de emisiones, de los créditos relacionados con introducción de tecnologías altamente eficientes calculados conforme a la metodología establecida en el inciso b) del numeral 4.4.1. Por introducción de tecnologías altamente eficientes. La evaluación se realizará conforme a los lineamientos que para tal efecto expida la Secretaría a más tardar 30 días posteriores a la entrada en vigor de este instrumento normativo, y en su caso se podrá revisar y modificar el inciso b) del numeral 4.4.1.
Ciudad de México, a los veintinueve días del mes de mayo de 2023.- El Subsecretario de Regulación
Ambiental de la Secretaría de Medio Ambiente y Recursos Naturales y Presidente del Comité Consultivo Nacional de Normalización de Medio Ambiente y Recursos Naturales, Alonso Jiménez Reyes.- Rúbrica.- El Director General de Normas de la Secretaría de Economía y Presidente del Comité Consultivo Nacional de Normalización de la Secretaría de Economía, Salvador Argüelles López.- Rúbrica.
1 Peso de un vehículo, incluido el combustible, lubricantes, refrigerante y el equipo estándar, pero sin carga o pasajeros.
2 Ángulo ventral es el suplemento del ángulo mayor en una vista lateral de un vehículo, que puede formarse por dos líneas tangenciales a los arcos radiales de las llantas delanteras y traseras bajo carga y estáticas, y que se interceptan en un punto en la parte baja del vehículo.