DECRETO por el que se expropia por causa de utilidad pública la superficie que se indica a favor de la Federación, para llevar a cabo la construcción de los Centros de Transferencia Modal 1, 3, 4 y 6 de la línea 1 del Tren Suburbano, correspondiente a terrenos de propiedad privada ubicados en los municipios de Tultitlán, Tultepec y Nextlalpan, estado de México (Segunda publicación).

Al margen un sello con el Escudo Nacional, que dice: Estados Unidos Mexicanos.- Presidencia de la República.

ANDRÉS MANUEL LÓPEZ OBRADOR, presidente de los Estados Unidos Mexicanos, en ejercicio de la facultad que me confiere el artículo 89, fracción l, de la Constitución Política de los Estados Unidos Mexicanos, con fundamento en los artículos 27 y 28 de la propia constitución; 36 de la Ley Orgánica de la Administración Pública Federal; 1o., fracciones III y XII, 2o., 3o., 4o., 7o., 8 Bis, 9o., 10, 19 y 20 de la Ley de Expropiación; 25 de la Ley Reglamentaria del Servicio Ferroviario; 143, fracción VII de la Ley General de Bienes Nacionales, y
CONSIDERANDO
Que el artículo 27 de la Constitución Política de los Estados Unidos Mexicanos establece que "La propiedad de las tierras y aguas comprendidas dentro de los límites del territorio nacional, corresponde originariamente a la Nación, la cual ha tenido y tiene el derecho de transmitir el dominio de ellas a los particulares, constituyendo la propiedad privada" y que "Las expropiaciones sólo podrán hacerse por causa de utilidad pública y mediante indemnización"; en tanto que el artículo 28 de la misma constitución, en su párrafo cuarto, señala expresamente que "...los ferrocarriles son áreas prioritarias para el desarrollo nacional en los términos del artículo 25 de esta Constitución; el Estado al ejercer en ellas su rectoría, protegerá la seguridad y la soberanía de la Nación";
Que la Ley de Expropiación establece que procede la expropiación, previa declaratoria de utilidad pública, y mediante la indemnización a quien en derecho corresponda (artículos 2o. y 4o.);
Que la citada ley es de interés público, y establece como causas de utilidad pública las "construcciones ... de cualquier obra destinada a prestar servicios de beneficio colectivo" y "los demás casos previstos por leyes especiales" (artículo 1o. fracciones III y XII);
Que la Ley Reglamentaria del Servicio Ferroviario prevé que "es de utilidad pública la construcción, conservación y mantenimiento de las vías férreas" (artículo 25);
Que el Plan Nacional de Desarrollo 2019-2024, publicado en el Diario Oficial de la Federación (DOF) el 12 de julio de 2019, establece los programas y proyectos que constituyen las prioridades de atención estratégica a problemas públicos identificados, y expone como una de las tareas centrales impulsar la reactivación de la economía para que vuelva a crecer a tasas aceptables, y se fortalezca el mercado interno y el empleo a través de programas sectoriales, proyectos regionales y obras de infraestructura;
Que conforme a dicho plan el Aeropuerto Internacional Civil y Militar "General Felipe Ángeles" se suma a la infraestructura aeroportuaria para conformar una triada de terminales aéreas con el Aeropuerto Internacional Benito Juárez, Ciudad de México y el Aeropuerto Internacional de Toluca, estado de México;
Que el Programa Sectorial de Comunicaciones y Transportes 2020-2024, publicado en el DOF el 2 de julio de 2020, establece como acción puntual la de "colaborar en el desarrollo del proyecto del aeropuerto de General Felipe Ángeles, en Santa Lucía, en materia de normatividad, estándares nacionales e internacionales de eficiencia y seguridad";
Que a efecto de garantizar la conectividad desde y hacia el Aeropuerto Internacional Civil y Militar "General Felipe Ángeles", la Secretaría de Infraestructura, Comunicaciones y Transportes (SICT) tiene a su cargo la elaboración del proyecto para la ampliación de la Línea 1 del Tren Suburbano de la estación Lechería a la de Santa Lucía, lo que permitirá contar con un servicio ferroviario de transporte masivo de pasajeros, eléctrico, competitivo, eficiente y seguro. Además reducirá los costos y tiempo de recorrido de personas que viajen de la zona metropolitana del Valle de México al Aeropuerto Internacional Civil y Militar "General Felipe Ángeles", y viceversa; disminuirá los accidentes y contaminación ambiental en la zona, por tratarse de un medio de transporte eléctrico, e impulsará el desarrollo urbano, lo que significa un mayor bienestar social a los habitantes de la región;
Que en la ruta de la Línea 1 del Tren Suburbano, se prevé la construcción de 6 estaciones intermedias para el ascenso y descenso de pasajeros, cuyos andenes se ubicarán entre las dos vías de ferrocarril para pasajeros, cada estación contará con una pasarela elevada que conecte con los Centros de Transferencia Modal 1, 2, 3, 4, 5 y 6, previstos para cada estación, los cuales tienen la función de ser espacios donde coinciden varios medios de transporte público y concesionado para dar el servicio adecuado a las personas que harán uso del sistema del Tren Suburbano, mismas que contarán con una zona para las maniobras de los vehículos, para permitir el ascenso y descenso de los pasajeros. Se tendrá una caseta para el cobro del peaje y una zona de estacionamiento para los pasajeros que utilicen su propio vehículo para acceder al Tren Suburbano;
Que para determinar la superficie necesaria de cada uno de los Centros de Transferencia Modal, se tomaron en consideración las condiciones en las que opera el sistema actual del Tren Suburbano, factores de densidad urbana y que los predios tengan la menor afectación posible a la infraestructura establecida, así como la demanda inicial que se espera, las proyecciones a futuro de afluencia de la estaciones y las condiciones de crecimiento futuro de la zona donde estarán ubicados. Además, con la construcción de los Centros de Transferencia Modal 1, 2, 3, 4, 5 y 6, se realizarán adecuaciones al entorno urbano de las estaciones intermedias propuestas para facilitar el acceso a las mismas en distintos modos de transporte, las cuales consideran la adecuación de calles, superficie de rodamiento, señalamiento horizontal y vertical, implementación de semáforos peatonales y vehiculares, bahías de ascenso y descenso y rampas de acceso a los Centros de Transferencia Modal;
Que resulta primordial ofrecer movilidad eficiente y segura a los habitantes y visitantes de la localidad, en especial a aquéllos que tienen incidencia directa con el Aeropuerto Internacional Civil y Militar "General Felipe Ángeles". Para ello establecerá la construcción y modernización de redes viales a diferentes escalas, las cuales incluyen la red ferroviaria de apoyo a las actividades que comprende la construcción de los Centros de Transferencia Modal;
Que el Gobierno federal, por conducto de la SICT, lleva a cabo las acciones necesarias para la adquisición de los terrenos necesarios para la construcción de los Centros de Transferencia Modal 1, 2, 3, 4 y 6 ubicados en los municipios de Tultitlán, Tultepec y Nextlalpan, estado de México, toda vez que ya se adquirieron dos predios por compraventa para el Centro de Transferencia Modal 5;
Que la SICT integró el expediente de expropiación número 02/MEX/2022, en el cual constan los dictámenes técnicos y estudios realizados, mismos que señalan que la superficie descrita es la más apropiada e idónea para la construcción de los Centros de Transferencia Modal 1, 2, 3, 4 y 6;
Que, de las constancias que integran el expediente de expropiación número 02/MEX/2022, se advierte que los bienes inmuebles que integra la superficie tienen naturaleza jurídica de propiedad privada y se sustenta el motivo de su inclusión en el presente decreto;
Que la SICT emitió la "Declaratoria de utilidad pública de la superficie de 137,642,0796 metros cuadrados, ubicada en los municipios de Tultitlán, Tultepec y Nextlalpan, Estado de México, para la construcción de los Centros de Transferencia Modal 1, 2, 3, 4 y 6", publicada en el DOF el 4 de enero de 2023 y su segunda publicación el 10 de ese mes y año, así como en el diario "Milenio", el 4 y 10 de enero de 2023;
Que de conformidad con los artículos 14 y 16 de la Constitución Política de los Estados Unidos Mexicanos, la SICT cumplió con el procedimiento establecido en la Ley de Expropiación y otorgó garantía de audiencia
previa a los propietarios de la superficie objeto del presente decreto;
Que, el 14 de octubre y 30 de noviembre, de 2022, y 25 de febrero de 2023, la SICT celebró tres convenios de ocupación previa con algunos de los afectados, en los que se le autorizó ocupar a título gratuito la superficie materia de los convenios hasta la expedición del decreto respectivo, así como un pago como anticipo y a cuenta de la indemnización que proceda una vez decretada la expropiación;
Que el Instituto de Administración y Avalúos de Bienes Nacionales emitió los dictámenes valuatorios en los que se determinó el monto unitario por metro cuadrado a indemnizar por la expropiación de la superficie de cada una de lo de los Centros de Transferencia Modal a que se refiere el presente decreto, por lo que con base en dicho avalúo procede pagar la indemnización a los afectados en la parte que les corresponda y en el que se considere el pago anticipado;
Que, el 8 de marzo de 2023, el titular de la SICT emitió resolución número 1.-105 en términos del artículo 2o., fracciones V y VI, de la Ley de Expropiación, en la que, por una parte, modifica la declaratoria de utilidad pública citada y excluye la superficie de 23,815.1509 m2, ubicada en el municipio de Tultitlán, estado de México, correspondiente al Centro de Transferencia Modal 2 y por otra parte, confirma la declaratoria de causa de utilidad pública respecto a las superficies de 16,209.6570 m2 y 22,264.4172 m2, ubicadas en el municipio de Tultitlán, estado de México, correspondiente a los Centros de Transferencia Modal 1 y 4;
Que, el 8 de marzo de 2023, el titular de la SICT emitió resoluciones número 1.-000108 y 1.-000110, en términos del artículo 2o., fracciones V y VI, de la Ley de Expropiación, en las que confirma la declaratoria de utilidad pública respecto de las superficies de 14,335.13000 m2 y 48,028.9900 m2, ubicadas en el municipio de Nextlalpan, estado de México, correspondiente al Centro de Transferencia Modal 6;
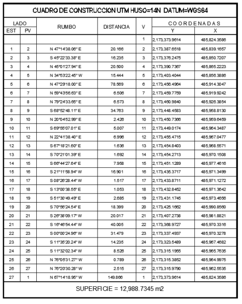
Que, el 10 de marzo de 2023, el titular de la SICT emitió resolución número 1.-000121, en términos del artículo 2o., fracciones V y VI, de la Ley de Expropiación, en la que confirma declaratoria de utilidad pública respecto de la superficie de 12,988.7345 m2, ubicada en el municipio de Tultepec, estado de México, correspondiente al Centro de Transferencia Modal 3;
Que, el 10 de marzo de 2023, la Dirección General de Desarrollo Ferroviario y Multimodal informó a la Unidad de Asuntos Jurídicos, ambas de la SICT, mediante oficio 4.3.0.4.-277/2023, que "...realizó trabajos de tipografía en campo de los CETRAM 1, 3, 4 y 6 detectando la existencia de algunas diferencias en las superficies de los inmuebles correspondientes a los CETRAM 1 y 6", por lo que señaló que para el Centro de Transferencia Modal 1, la superficie de la declaratoria fue de 16,209.65 m2, mientras que la superficie derivada del levantamiento es de 16,228.0595 m2, y para el Centro de Transferencia Modal 6, la superficie de la declaratoria es de 62,364.1200 m2, para quedar en 62,357.2941 m2;
Que, el 16 de marzo de 2023, la Dirección General de Desarrollo Ferroviario y Multimodal de la SICT emitió dictamen técnico en el que señala que "... se identificaron diferencias respecto a las superficies indicadas en la Declaratoria de Utilidad Pública publicada en el DOF los días 4 y 10 de enero de 2023 (...) derivado de lo anterior, se establece que las superficies reales a afectar son las determinadas por los levantamientos topográficos efectuados en sitio, aclarando que los datos indicados en la Declaratoria de Utilidad Pública resultan en los documentos que en su momento presentaron los afectados y/o posesionarios";
Que, el 21 de marzo de 2023, el titular de la Unidad de Asuntos Jurídicos de la SICT emitió acuerdo mediante el cual regulariza el procedimiento administrativo a efecto de que se dictará una nueva resolución con base en el dictamen técnico señalado en el considerando anterior;
Que, el 31 de marzo de 2023, el titular de la SICT emitió resolución número 1.-333, en términos del artículo 2o., fracciones V y VI, de la Ley de Expropiación, en la que: modifica la declaratoria de utilidad pública citada y excluye la superficie de 23,815.1509 m2, ubicada en el municipio de Tultitlán, estado de México, correspondiente al Centro de Transferencia Modal 2; modifica la declaratoria de utilidad pública respecto de las superficies de los Centros de Transferencia Modal 1 y 6 para quedar en 16,228.0595 m2 y 62,357.2941 m2, respectivamente, ubicadas en los municipios de Tultitlán y Nextlalpan, estado de México, y confirma la declaratoria de utilidad pública respecto a las superficies de 12,988.7345 m2 y 22,264.4172 m2, ubicadas en los municipios de Tultepec y Tultitlán, respectivamente, estado de México, correspondiente a los Centros de Transferencia Modal 3 y 4, y de las cuales es necesario que el Ejecutivo Federal decrete su expropiación en términos del artículo 4o. de la citada ley;
Que, la superficie que se pretende expropiar es apropiada e idónea para la construcción de los Centros de Transferencia Modal 1, 3, 4 y 6, conforme a los planos topográficos de los inmuebles en los que se advierten las coordenadas UTM de cada uno de ellos, los cuales se detallan a continuación:
CENTRO DE TRANSFERENCIA MODAL 1A
FRACCIÓN I

FRACCIÓN II
 

CENTRO DE TRANSFERENCIA MODAL 1B
FRACCIÓN I

FRACCIÓN II
 

FRACCIÓN III

FRACCIÓN IV
 

FRACCIÓN V

FRACCIÓN VI
 

FRACCIÓN VII

FRACCIÓN VIII
 

FRACCIÓN IX

FRACCIÓN X
 

FRACCIÓN XI

FRACCIÓN XII
 

FRACCIÓN XIII

FRACCIÓN XIV
 

FRACCIÓN XV

FRACCIÓN XVI
 

CENTRO DE TRANSFERENCIA MODAL 3


CENTRO DE TRANSFERENCIA MODAL 4.
 

CENTRO DE TRANSFERENCIA MODAL 6.
FRACCIÓN I

FRACCIÓN II
 

De lo que resulta la superficie de: 16,228.0595 m2 (dieciséis mil doscientos veintiocho punto quinientos noventa y cinco metros cuadrados) correspondientes al Centro de Transferencia Modal 1; 12,988.7345 m2 (doce mil novecientos ochenta y ocho punto siete mil trescientos cuarenta y cinco metros cuadrados) correspondientes al Centro de Transferencia Modal 3; 22,264.4172 m2 (veintidós mil doscientos sesenta y cuatro punto cuatro mil ciento setenta y dos metros cuadrados) correspondientes al Centro de Transferencia Modal 4; 62,357.2941 m2 (sesenta y dos mil trescientos cincuenta y siete punto dos mil novecientos cuarenta y un metros cuadrados) correspondientes al Centro de Transferencia Modal 6. Por lo que en suma, da una superficie total a expropiar de 113,838.5053 m2 (ciento trece mil ochocientos treinta y ocho punto cinco mil cincuenta y tres metros cuadrados) de propiedad privada;
Que en términos de los artículos 8 Bis y 9o. de la Ley de Expropiación, deben llevarse a cabo las inscripciones correspondientes, y en caso de que los bienes inmuebles materia de la declaratoria de expropiación no fueran destinados total o parcialmente al fin que dio causa a la declaratoria respectiva, al término de cinco años, los propietarios afectados podrán solicitar a la autoridad que haya tramitado el expediente, la reversión total o parcial del bien de que se trate, y
Que la SICT propuso decretar la expropiación de la superficie para llevar a cabo la construcción de los Centros de Transferencia Modal 1, 3, 4 y 6 del Tren Suburbano, y garantizar la conectividad desde y hacia el Aeropuerto Internacional Civil y Militar "General Felipe Ángeles", he tenido a bien expedir el siguiente
DECRETO
PRIMERO. Se expropia por causa de utilidad pública la superficie de 113,838.5053 m2 (ciento trece mil ochocientos treinta y ocho punto cinco mil cincuenta y tres metros cuadrados) de terrenos de propiedad privada ubicados en los municipios de Tultitlán, Tultepec y Nextlalpan, estado de México.
La expropiación incluye las construcciones e instalaciones que se encuentren en los bienes inmuebles y que formen parte de ellos.
SEGUNDO. La Secretaría de Infraestructura, Comunicaciones y Transportes procede a la ocupación inmediata de los bienes materia de la expropiación.
La interposición de cualquier medio de defensa no suspende la ocupación señalada en el párrafo anterior.
TERCERO. Con motivo de la entrada en vigor del presente decreto, la Secretaría de Infraestructura, Comunicaciones y Transportes debe cubrir con su presupuesto autorizado el monto de la indemnización que en términos de ley deba pagarse a quienes acrediten su legítimo derecho, de conformidad con los avalúos que emitió el Instituto de Administración y Avalúos de Bienes Nacionales en los términos señalados en la parte considerativa del presente decreto.
Dentro de los diez días hábiles siguientes a la notificación de este decreto, los interesados podrán acudir al procedimiento judicial a que se refiere el artículo 11 de la Ley de Expropiación, con el único objeto de controvertir el monto de la indemnización.
CUARTO. Si los bienes a que se refiere el presente decreto no son destinados a la realización de las acciones que dieron causa a la expropiación, el afectado podrá solicitar la insubsistencia de la expropiación en términos de la normativa aplicable.
QUINTO. La Secretaría de Infraestructura, Comunicaciones y Transportes queda a cargo de la inscripción del presente decreto en el Registro Público de la Propiedad Federal y en el Registro de la Propiedad estatal que corresponda.
SEXTO. Notifíquese personalmente a los interesados el presente decreto, así como del avalúo en que se fije el monto de la indemnización. En caso de ignorarse el domicilio de estos, realícese una segunda publicación en el Diario Oficial de la Federación para que surta los efectos de notificación personal.
TRANSITORIO
ÚNICO.- El presente decreto entra en vigor el día de su publicación en el Diario Oficial de la Federación.
Dado en la residencia del Poder Ejecutivo, en Ciudad de México a 17 de mayo de 2023.- Andrés Manuel López Obrador.- Rúbrica.- El Secretario de Infraestructura, Comunicaciones y Transportes, Jorge Nuño Lara.- Rúbrica.