ACUERDO del Consejo General del Instituto Nacional Electoral por el que se aprueban los "Criterios científicos, logísticos y operativos para la realización de los Conteos Rápidos y protocolo para la selección de las muestras. Procesos Electorales Locales 2022-2023", que serán utilizados para la realización de los Conteos Rápidos de los resultados en las elecciones de Gubernatura a celebrarse el 4 de junio de 2023, con motivo de los Procesos Electorales Locales 2022-2023.
Al margen un sello con el Escudo Nacional, que dice: Estados Unidos Mexicanos.- Instituto Nacional Electoral.- Consejo General.- INE/CG162/2023.
ACUERDO DEL CONSEJO GENERAL DEL INSTITUTO NACIONAL ELECTORAL POR EL QUE SE APRUEBAN LOS "CRITERIOS CIENTÍFICOS, LOGÍSTICOS Y OPERATIVOS PARA LA REALIZACIÓN DE LOS CONTEOS RÁPIDOS Y PROTOCOLO PARA LA SELECCIÓN DE LAS MUESTRAS. PROCESOS ELECTORALES LOCALES 2022-2023", QUE SERÁN UTILIZADOS PARA LA REALIZACIÓN DE LOS CONTEOS RÁPIDOS DE LOS RESULTADOS EN LAS ELECCIONES DE GUBERNATURA A CELEBRARSE EL 4 DE JUNIO DE 2023, CON MOTIVO DE LOS PROCESOS ELECTORALES LOCALES 2022-2023
GLOSARIO
| AEC | Acta(s) de Escrutinio y Cómputo de Casilla. |
| CAE | Personas Capacitadoras Asistentes Electorales. |
| Consejo General | Consejo General del Instituto Nacional Electoral. |
| COTECORA | Comité(s) Técnico(s) Asesor(es) de los Conteos Rápidos. |
| COTECORA 2023 | Comité Técnico Asesor de los Conteos Rápidos para los Procesos Electorales Locales 2022-2023. |
| CPEUM | Constitución Política de los Estados Unidos Mexicanos. |
| CRFE | Comisión del Registro Federal de Electores. |
| Criterios CR | Criterios científicos, logísticos y operativos para la realización de los Conteos Rápidos y protocolo para la selección de las muestras. Procesos Electorales Locales 2022-2023. |
| Decreto | Decreto por el que se reforman, adicionan y derogan diversas disposiciones de la Ley General de Instituciones y Procedimientos Electorales, de la Ley General de Partidos Políticos, de la Ley Orgánica del Poder Judicial de la Federación y se expide la Ley General de los Medios de Impugnación en Materia Electoral. |
| DEOE | Dirección Ejecutiva de Organización Electoral. |
| DERFE | Dirección Ejecutiva del Registro Federal de Electores. |
| DOF | Diario Oficial de la Federación. |
| INE/Instituto | Instituto Nacional Electoral. |
| LGIPE | Ley General de Instituciones y Procedimientos Electorales. |
| OPL | Organismo(s) Público(s) Local(es). |
| PEL | Proceso(s) Electoral(es) Local(es). |
| PIyCPEL | Plan Integral y Calendarios de Coordinación de los Procesos Electorales Locales 2022-2023. |
| RE | Reglamento de Elecciones del Instituto Nacional Electoral. |
| RIINE | Reglamento Interior del Instituto Nacional Electoral. |
| SCJN | Suprema Corte de Justicia de la Nación. |
| UTSI | Unidad Técnica de Servicios de Informática. |
| UTVOPL | Unidad Técnica de Vinculación con Organismos Públicos Locales. |
| VOED | Vocalía(s) de Organización Electoral de las Juntas Distritales Ejecutivas del Instituto Nacional Electoral. |
ANTECEDENTES
1. Aprobación del PIyCPEL. El 26 de septiembre de 2022, este Consejo General aprobó, mediante Acuerdo INE/CG634/2022, el PIyCPEL con motivo de las elecciones ordinarias locales a celebrarse el 4 de junio de 2023, en las entidades de Coahuila y Estado de México, para elegir los cargos de elección popular que se muestran en la siguiente tabla:
| ENTIDAD FEDERATIVA | GUBERNATURA | DIPUTACIONES |
| MAYORÍA RELATIVA | REPRESENTACIÓN PROPORCIONAL |
| Coahuila | 1 | 16 | 9 |
| Estado de México | 1 | --- | --- |
| TOTAL | 2 | 16 | 9 |
Las actividades relacionadas con los Conteos Rápidos para los PEL 2022-2023, se encuentran dentro del subproceso esencial número 20 del PIyCPEL.
2. Asunción parcial para implementar el Conteo Rápido en las elecciones de Gubernatura en los PEL 2022-2023. El 29 de noviembre de 2022, este Consejo General aprobó, mediante Resolución INE/CG814/2022, ejercer la facultad de asunción parcial para implementar el Conteo Rápido en las elecciones de Gubernatura del Estado de México y de Coahuila de Zaragoza, durante los PEL 2022-2023.
3. Inicio de los PEL 2022-2023. Los días 1º y 4 de enero de 2023, dieron comienzo los PEL 2022-2023 en las entidades de Coahuila y Estado de México, respectivamente, en las que se elegirá la Gubernatura, entre otros cargos de elección popular.
4. Designación del encargado de despacho de la DERFE. El 3 de enero de 2023, mediante oficio INE/PC/001/2023, el Consejero Presidente de este Consejo General, Dr. Lorenzo Córdova Vianello, designó al Ing. Jesús Ojeda Luna, como encargado de despacho de la DERFE, con fundamento en lo dispuesto por el artículo 16, segundo párrafo, inciso d) del RIINE.
5. Creación del COTECORA 2023. El 25 de enero de 2023, este Consejo General aprobó, mediante Acuerdo INE/CG05/2023, la creación e integración del COTECORA 2023.
6. Programa de Trabajo del COTECORA 2023. El 23 de febrero de 2023, en sesión ordinaria de la CRFE, se presentó el Programa de Trabajo del COTECORA 2023, en cuyo cronograma se estableció la ruta para la elaboración y revisión de los Criterios CR, para su posterior presentación y, en su caso, aprobación por este Consejo General.
7. Publicación del Decreto. El 2 de marzo de 2023, se publicó en el DOF el Decreto.
8. Presentación de la propuesta de Criterios CR al COTECORA 2023. El 8 de marzo de 2023, en reunión de trabajo del COTECORA 2023, se presentó la propuesta de Criterios CR.
9. Controversia constitucional. El 9 de marzo de 2023, el INE presentó controversia constitucional ante la SCJN a fin de controvertir el Decreto.
10. Aprobación del proyecto de acuerdo por la CRFE. El 22 de marzo de 2023, mediante Acuerdo INE/CRFE18/02SE/2023, la CRFE aprobó someter a la consideración de este órgano superior de dirección, el proyecto de acuerdo del Consejo General por el que se aprueban los Criterios CR, que serán utilizados para la realización de los Conteos Rápidos de los resultados en las elecciones a celebrarse el 4 de junio de 2023, con motivo de los PEL 2022-2023.
11. Admisión de controversia constitucional. El 24 de marzo de 2023, la SCJN admitió la demanda presentada por el INE en contra del Decreto, y se radicó bajo el expediente de controversia constitucional 261/2023.
Asimismo, a través del acuerdo emitido en el incidente de suspensión derivado de la citada controversia constitucional 261/2023, se concedió la suspensión solicitada por el INE respecto de todos los artículos impugnados del Decreto para efecto de que las cosas se mantengan en el estado en que se encuentran y rijan las disposiciones vigentes antes de la publicación del citado Decreto.
CONSIDERANDOS
PRIMERO. Competencia.
Este Consejo General es competente para aprobar los Criterios CR, que serán utilizados para la realización de los Conteos Rápidos de los resultados en las elecciones a celebrarse el 4 de junio de 2023, con motivo del PEL 2022-2023, conforme a lo previsto en los artículos 41, párrafo tercero, Base V, Apartado A, párrafos primero y segundo; Apartado B, inciso a), numeral 5; Apartado C, párrafo segundo, inciso a) de la CPEUM; 29; 30, párrafo 2; 31, párrafo 1; 32, párrafo 1, inciso a), fracción V; 34, párrafo 1, inciso a); 35; 44, párrafos 1, incisos gg) y jj), así como 3; 220, párrafo 1 de la LGIPE; 4, párrafo 1, fracción I, Apartado A), inciso a); 5, párrafo 1, inciso r) del RIINE; 357, párrafo 1; así como, 374 del RE.
El presente asunto se rige bajo la normativa de la LGIPE vigente hasta el dos de marzo de dos mil veintitrés; es decir, las normas existentes antes de la entrada en vigor del Decreto, de conformidad con el acuerdo emitido en el incidente de suspensión de la controversia constitucional 261/2023.
SEGUNDO. Disposiciones normativas que sustentan la determinación.
Los artículos 41, párrafo tercero, Base V, Apartado A, párrafo primero de la CPEUM, en relación con los diversos 29, párrafo 1, y 30, párrafo 2 de la LGIPE, mandatan que el INE es un organismo público autónomo dotado de personalidad jurídica y patrimonio propios, en cuya integración participan el Poder Legislativo de la Unión, los partidos políticos nacionales, así como las ciudadanas y los ciudadanos, en los términos que ordene la ley. Todas las actividades del Instituto se regirán por los principios de certeza, legalidad, independencia, imparcialidad, máxima publicidad, objetividad, paridad, y se realizarán con perspectiva de género.
Además, la citada Base V, Apartado A, determina, en su párrafo segundo, que el INE será autoridad en la materia electoral, independiente en sus decisiones y funcionamiento, y profesional en su desempeño; contará en su estructura con órganos de dirección, ejecutivos, técnicos y de vigilancia. Los órganos ejecutivos y técnicos dispondrán del personal calificado necesario para el ejercicio de sus atribuciones. Las disposiciones de la LGIPE y del Estatuto del Servicio Profesional Electoral Nacional y del Personal de la Rama Administrativa, que con base en ella apruebe este Consejo General, regirán las relaciones de trabajo con los servidores del organismo público.
El artículo 41, párrafo tercero, Base V, Apartado B, inciso a), numeral 5 de la CPEUM, así como el diverso 32, párrafo 1, inciso a), fracción V, de la LGIPE, establecen que, para los procesos electorales federales y los PEL, corresponde al INE, en los términos que establecen la propia CPEUM y las leyes, entre otros, las reglas, lineamientos, criterios y formatos en materia de conteos rápidos.
En el artículo 41, párrafo tercero, Base V, Apartado C, párrafo segundo, inciso a) de la CPEUM, se prevé que en los supuestos que establezca la ley y con la aprobación de una mayoría de cuando menos ocho votos de este Consejo General, el INE podrá asumir directamente la realización de las actividades propias de la función electoral que corresponden a los órganos electorales locales; entre otras, la relativa a los conteos rápidos, como se indica en el numeral 8, del párrafo primero, del propio Apartado C de la disposición en cita.
Por su parte, el artículo 29 de la LGIPE, indica que el INE contará con los recursos presupuestarios, técnicos, humanos y materiales que requiera para el ejercicio directo de sus facultades y atribuciones.
Ahora bien, el artículo 42, párrafo 10 de la LGIPE, señala que este Consejo General, de acuerdo con la disponibilidad presupuestal del Instituto, podrá crear comités técnicos especiales para actividades o programas específicos, en que requiera del auxilio o asesoría técnico-científica de especialistas en las materias en que así lo estime conveniente.
A su vez, el artículo 43, párrafos 1 y 2 de la LGIPE, dispone en lo conducente que, este Consejo General ordenará la publicación en el DOF de los acuerdos y resoluciones de carácter general que pronuncie. El Secretario Ejecutivo establecerá los acuerdos para asegurar su oportuna publicación en ese medio oficial.
El artículo 44, párrafo 1, incisos ee), gg) y jj) de la LGIPE, dispone, entre las atribuciones de este Consejo General, ejercer las facultades de asunción, atracción y delegación, así como, en su caso, aprobar la suscripción de convenios, respecto de los PEL, conforme a las normas contenidas en la propia LGIPE; aprobar y expedir los reglamentos, lineamientos y acuerdos para ejercer las facultades previstas en el Apartado B de la Base V del artículo 41 de la CPEUM; así como, dictar los acuerdos necesarios para hacer efectivas las anteriores atribuciones y las demás señaladas en la propia LGIPE o en otra legislación aplicable.
De igual forma, el párrafo 3 del artículo en cita advierte que, para los efectos de la organización de PEL se estará a lo señalado en la facultad de asunción, atracción y delegación del Instituto de acuerdo con las disposiciones de la propia LGIPE.
En ese sentido, el artículo 45, párrafo 1, inciso l) de la LGIPE, establece que es atribución de la Presidencia de este Consejo General ordenar, previa aprobación del mismo órgano de dirección, la realización de encuestas nacionales basadas en AEC a fin de conocer las tendencias de los resultados el día de la jornada electoral.
El artículo 51, párrafo 1, inciso p) de la LGIPE, refiere que es atribución de la Secretaría Ejecutiva del INE apoyar la realización de los estudios o procedimientos pertinentes a fin de conocer las tendencias electorales el día de la jornada electoral, cuando así lo ordene la o el consejero presidente.
A su vez, el artículo 220, párrafo 1 de la LGIPE, indica que corresponderá al INE y los OPL determinarán la viabilidad en la realización de los Conteos Rápidos.
Los párrafos 2 y 3 de la disposición aludida, señalan que el INE y los OPL determinarán la viabilidad en la realización de los conteos rápidos. De igual manera, las personas físicas o morales que realicen estos conteos pondrán a su consideración, las metodologías y financiamiento para su elaboración y términos para dar a conocer los resultados de conformidad con los criterios que para cada caso se determinen.
Por su parte, el artículo 355 del RE, instruye que las disposiciones del Capítulo III, "Conteos Rápidos Institucionales", del Libro Tercero, relativos a los actos posteriores a la elección, son aplicables para el INE y los OPL, en sus respectivos ámbitos de competencia, respecto de todos los procesos electorales federales y los PEL que celebren, y tienen por objeto establecer las directrices y los procedimientos a los que deben sujetarse dichas autoridades para el diseño, implementación, operación y difusión de la metodología y los resultados de los conteos rápidos.
Bajo esa tesitura, el artículo 356, párrafo 1 del RE, señala que el Conteo Rápido es el procedimiento estadístico diseñado con la finalidad de estimar con oportunidad las tendencias de los resultados finales de una elección, a partir de una muestra probabilística de resultados de AEC, o en su caso de los cuadernillos para hacer las operaciones de escrutinio y cómputo de casilla, cuyo tamaño y composición se establecen previamente, de acuerdo a un esquema de selección específico de una elección determinada, y cuyas conclusiones se presentan la noche de la jornada electoral.
El párrafo 2 de la disposición referida, señala que, en el diseño, implementación y operación de los conteos rápidos, las autoridades electorales y el COTECORA deberán garantizar la seguridad, transparencia, confiabilidad, certeza, calidad e integridad del procedimiento estadístico, así como el profesionalismo y la máxima publicidad en la ejecución de sus trabajos.
De igual forma, los párrafos 3 y 4 del artículo en comento, ordenan que el procedimiento establecido por las autoridades electorales y el COTECORA, garantizará la precisión, así como la confiabilidad de los resultados del Conteo Rápido, considerando los factores que fundamentalmente se relacionan, por una parte, con la información que emplean y, por otra, con los métodos estadísticos con que se procesa esa información. El objetivo del Conteo Rápido es producir estimaciones por intervalos del porcentaje de votación para estimar la tendencia en la elección, el cual incluirá además la estimación del porcentaje de participación ciudadana.
El artículo 357, párrafo 1 del RE, establece que este Consejo General y los órganos superiores de dirección de los OPL tendrán la facultad de determinar la realización de los Conteos Rápidos en sus respectivos ámbitos de competencia. Cada OPL, en su caso, informará a este Consejo General sobre su determinación dentro de los tres días posteriores a que ello ocurra, por conducto de la UTVOPL.
Por su parte, los párrafos 2 y 3 del artículo en comento, prevé que los OPL deberán realizar
Conteos Rápidos en el caso de elecciones de Gubernatura de la entidad federativa o Jefatura de Gobierno de la Ciudad de México. El INE podrá realizar el Conteo Rápido en elecciones locales, mediante solicitud del OPL o por el procedimiento de atracción/asunción. Con la finalidad de optimizar recursos en las elecciones concurrentes, el INE realizará preferentemente los Conteos Rápidos, previo ejercicio de la facultad de atracción o asunción correspondiente.
De conformidad con el artículo 358, párrafos 1 y 2 del RE, la Presidencia de este Consejo General o del órgano superior de dirección de los OPL, en su respectivo ámbito de competencia, será la responsable de coordinar el desarrollo de las actividades de los Conteos Rápidos. Tanto el INE como los OPL, en su ámbito de competencia, son responsables de la asignación de los recursos humanos, financieros y materiales para la implementación de los Conteos Rápidos.
Los párrafos 3 y 4 de la disposición reglamentaria anteriormente aludida, señalan que, en las actividades propias de los conteos rápidos a cargo del INE, participarán la DERFE, la DEOE y la UTSI. Dichas áreas, en sus respectivos ámbitos de actuación, deberán realizar las previsiones presupuestales necesarias.
El artículo 360 del RE, prevé que el INE y el OPL deberán salvaguardar en todo momento la seguridad y confidencialidad de la información de los procesos de operación de los conteos rápidos.
De conformidad con lo dispuesto por el artículo 367 del RE, el COTECORA tendrá las siguientes funciones:
a) Proponer el plan de trabajo y el calendario de sesiones;
b) Proponer los criterios científicos, logísticos y operativos que se utilizarán en la estimación de los resultados de los Conteos Rápidos, y para normar el diseño y selección de la muestra;
c) Poner a consideración de este Consejo General o del Consejo del OPL, según el caso, la aprobación de los criterios científicos, logísticos y operativos del Conteo Rápido;
d) Coadyuvar con el INE o el OPL, según corresponda, en la supervisión del cumplimiento del diseño, implementación y operación de los Conteos Rápidos;
e) Durante la jornada electoral, recibir la información de campo después del cierre de casillas; analizarla y realizar una estimación de los resultados de la elección. En caso de no poder realizar dicha estimación, deberán justificarlo;
f) Garantizar el uso responsable de la información estadística, a propósito de su función, atendiendo el procedimiento de resguardo de la muestra, a fin de dotar de confiabilidad a los conteos rápidos, y
g) Presentar los informes señalados en el artículo 368 del propio RE.
En términos del artículo 371 del RE, el COTECORA deberá establecer, bajo criterios científicos, la teoría y los métodos de inferencia para realizar las estimaciones de los resultados de las elecciones, así como definir el diseño de la muestra; los cuales, se harán del conocimiento de este Consejo General o del órgano superior de dirección del OPL, según el caso.
Por su parte, el artículo 373 del RE, determina que las muestras, entendidas como un subconjunto del espacio muestral, con que se inferirán los resultados de la elección respectiva, deberán cumplir con las siguientes características:
a) Que todas y cada una de las casillas del marco muestral construido, tengan una probabilidad conocida y mayor que cero, de ser seleccionadas;
b) Que se utilice un procedimiento aleatorio para la selección de las muestras, que respete las probabilidades de selección determinadas por el diseño;
c) Que considere la posibilidad que abarque la mayor dispersión geográfica electoral posible, y
d) La muestra deberá diseñarse con una confianza de 95%, y con una precisión tal, que genere certidumbre estadística en el cumplimiento de los objetivos requeridos por el tipo de elección.
Según lo dispuesto en el artículo 374 del RE, este Consejo General o el órgano superior de dirección del OPL correspondiente, en el mes anterior a la celebración de la jornada electoral respectiva, deberá aprobar:
a) El protocolo de selección de la muestra con la que se realizarán las estimaciones de los resultados de la votación;
b) Los procedimientos de resguardo de la muestra, de la cual tendrán copia el COTECORA y el INE, o el OPL, según corresponda, y
c) Los periodos que amparan la custodia de la muestra.
En atención al artículo 375, párrafo 1 del RE, la selección de la muestra definitiva a través de la cual se realizará la inferencia estadística de los resultados de la elección que se trate, se llevará a cabo en un acto público, a través de un protocolo que definirá el INE y el OPL, en su respectivo ámbito de competencia.
Los párrafos 2 y 3 del artículo en comento, contemplan que la selección referida se llevará a cabo entre el miércoles y el sábado previos a la jornada electoral. Además, el INE deberá recibir y conservar la información con las medidas de seguridad necesarias que garanticen su manejo confidencial.
De acuerdo con el artículo 376 del RE, el acto protocolario deberá estar presidido por la o el Secretario Técnico del COTECORA, con la asistencia de las y los asesores técnicos del comité y una persona fedataria que haga constar el acto. La o el Secretario Técnico invitará a este acto a las personas integrantes de este Consejo General o del órgano superior de dirección del OPL, según el caso, así como a las personas representantes de los partidos políticos y, en su caso, de las candidaturas independientes.
Con base en lo previsto en el artículo 378, párrafo 1 del RE, el INE o el OPL, junto con el COTECORA correspondiente, deberán realizar al menos una prueba de captura y dos simulacros para familiarizarse con la ejecución de las actividades relativas a la logística y operación de los Conteos Rápidos y, en su caso, detectar y corregir errores de planeación o ejecución.
Asimismo, con motivo de lo manifestado en el párrafo 2 del propio artículo, el INE y el OPL, en sus ámbitos de competencia, deberán realizar los simulacros durante los treinta días previos a la jornada electoral que corresponda, con la participación del COTECORA y las áreas encargadas de la logística y operación de cada autoridad administrativa electoral, debiendo evaluar el funcionamiento óptimo de los siguientes componentes:
a) Los medios y sistemas para la captura, transmisión, recepción y difusión de la información electoral;
b) El proceso operativo en campo;
c) El ritmo de llegada de la información de las casillas;
d) Los medios y sistemas para conocer la cobertura geográfica de la muestra;
e) Los métodos de estimación, y
f) La generación y envío del reporte con la simulación de las estimaciones, a las personas integrantes de este Consejo General o del órgano superior de dirección del OPL, según corresponda.
El párrafo 3 del citado artículo, alude que las representaciones de los partidos políticos, así como de las candidaturas independientes, podrán asistir a los simulacros.
Según lo señalado en los párrafos 1 y 2 del artículo 380 del RE, las estimaciones de los resultados de la elección serán generadas por el COTECORA de acuerdo con los métodos de estimación establecidos, y deberán notificarse al INE o al OPL correspondiente, conforme a los criterios definidos en el propio RE.
El día de la jornada electoral, el COTECORA deberá rendir un informe de avance de la integración de la muestra a este Consejo General o el Consejo del OPL respectivo. El informe deberá realizarse cada hora a partir de las 21:00 horas de ese día y hasta la entrega de los resultados finales que haga el citado comité a los propios órganos superiores de dirección.
Con base en los párrafos 3 y 4 del mismo artículo, sea cual fuere la muestra recabada y los resultados obtenidos, el COTECORA deberá presentar un reporte a este Consejo General, en el que indique, además, las condiciones bajo las cuales se obtuvieron los resultados, así como las conclusiones que de ellos puedan derivarse. Las estimaciones deberán presentarse en forma de intervalos de confianza para cada contendiente. Una vez que el COTECORA haga la entrega del reporte referido, el INE procederá de inmediato a su difusión.
En términos del párrafo 1 del artículo 382 del RE, a más tardar al día siguiente de la jornada electoral, y al menos durante los próximos seis meses, el INE y el OPL, en su ámbito de competencia, deberán publicar en sus páginas electrónicas lo siguiente:
a) El protocolo de selección de la muestra;
b) Las fórmulas de cálculo utilizadas para cada método establecido;
c) El reporte de resultados de los Conteos Rápidos del día de la elección, y
d) La base numérica utilizada en las estimaciones de los Conteos Rápidos, que deberá contener, al menos, la siguiente información: casillas que fueron seleccionadas en la muestra, y casillas que se integraron al cálculo final, cada una con el resultado de la elección.
Por su parte, de conformidad con el numeral 2 del punto quinto del Acuerdo INE/CG05/2023, por el que este Consejo General aprobó la creación del COTECORA 2023, se instruyó a la DERFE a presentar a la CRFE, entre otros documentos, el relativo a la propuesta de Criterios CR que se utilizarán en la estimación de los resultados de los Conteos Rápidos.
Por las consideraciones expuestas, este Consejo General es competente para aprobar los Criterios CR, que serán utilizados para la realización de los Conteos Rápidos de los resultados en las elecciones a celebrarse el 4 de junio de 2023, con motivo de los PEL 2022-2023.
TERCERO. Motivos para aprobar los Criterios CR.
La CPEUM, la LGIPE y el RE revisten al INE de atribuciones para la organización de los procesos electorales federales y los PEL, entre las cuales destaca el establecimiento de las directrices y los procedimientos a los que deberá sujetarse este Instituto para el diseño, implementación, operación y difusión de la metodología y los resultados de los Conteos Rápidos.
El Conteo Rápido se define como el procedimiento estadístico diseñado con la finalidad de estimar con oportunidad las tendencias de los resultados finales de una elección, a partir de una muestra probabilística de resultados de AEC o, en su caso de los cuadernillos para hacer las operaciones de escrutinio y cómputo de casilla, cuyo tamaño y composición se establecen previamente, de acuerdo con un esquema de selección específico de una elección determinada, y cuyas conclusiones se presentan la noche de la jornada electoral.
La implementación de los Conteos Rápidos ha permitido estimar con oportunidad las tendencias de los resultados de las elecciones federales y locales, a partir de una muestra probabilística de casillas, cuyo tamaño y composición se determinará previamente, por lo que es importante que se utilicen modelos estadísticos y que se especifique el diseño muestral.
La precisión y confiabilidad de los ejercicios de Conteo Rápido dependen de una serie de factores que fundamentalmente se relacionan, por una parte, con la información que se emplee y, por otra, con los métodos estadísticos con que se procese esa información.
De esta manera, en el marco de los PEL 2022-2023, se celebrarán las siguientes elecciones locales:
| ENTIDAD FEDERATIVA | GUBERNATURA | DIPUTACIONES |
| MAYORÍA RELATIVA | REPRESENTACIÓN PROPORCIONAL |
| Coahuila | 1 | 16 | 9 |
| Estado de México | 1 | --- | --- |
| TOTAL | 2 | 16 | 9 |
En ese sentido, de acuerdo con las funciones que este Consejo General atribuyó al COTECORA 2023, dicho órgano técnico propuso, a través de los Criterios CR, los criterios científicos, logísticos y operativos, así como el protocolo para la selección de las muestras, que serán utilizados en la estimación de las tendencias de los resultados y en el proceso de acopio de los datos de los cuadernillos para hacer las operaciones del escrutinio y cómputo, con base en la probabilidad y en la estadística, que se usarán para estimar el porcentaje de votos efectivos a favor de las candidatas y los candidatos a Gubernatura de las entidades de Coahuila de Zaragoza y Estado de México, durante las elecciones locales a celebrarse el 4 de junio de 2023.
Asimismo, los Criterios CR también serán utilizados para estimar el porcentaje de ciudadanas y ciudadanos que acudan a votar en las jornadas electorales de las elecciones locales aludidas.
El objetivo general de la operación logística es proveer al COTECORA 2023, de manera confiable y oportuna, la información de los resultados de la votación de las casillas de la muestra, con la finalidad de que ese órgano técnico elabore las estimaciones estadísticas para conocer las tendencias de la votación de las elecciones antes referidas.
En tal virtud, de manera general, en la determinación de los Criterios CR, se precisa lo siguiente:
I. Definición de los criterios científicos, logísticos y operativos.
Los criterios científicos del Conteo Rápido son los procedimientos estadísticos diseñados con la finalidad de estimar con oportunidad las tendencias de los resultados finales de una elección, a partir de una muestra probabilística de resultados de AEC de las casillas electorales, o, en su caso, de los cuadernillos para hacer las operaciones de escrutinio y cómputo de casilla.
Estos procedimientos, sustentados en la probabilidad y estadística, se usarán para estimar el porcentaje de votos a favor de cada una de las candidaturas a las Gubernaturas, así como para estimar el porcentaje de ciudadanas y ciudadanos que acudan a votar en la jornada electoral del 4 de junio de 2023, en el marco de los PEL 2022-2023.
Cabe señalar que los resultados del Conteo Rápido se presentarán la noche de la jornada electoral.
Para tal efecto, las estimaciones para cada entidad federativa estarán basadas en la misma información muestral y deberán realizarse bajo las siguientes consideraciones:
a) Los resultados de dichas estimaciones se darán mediante intervalos de confianza/probabilidad;
b) Las estimaciones se basarán en los resultados de los cuadernillos para hacer las operaciones de escrutinio y cómputo en casilla, obtenidos de las muestras de casillas.
c) Las muestras y los modelos de estimación se diseñarán a fin de que alcancen el 95% de confianza y una precisión tal que genere certidumbre estadística, y
d) El reporte de resultados que se presentará y será difundido la noche de la jornada electoral especificará las condiciones bajo las cuales se obtuvieron las estimaciones y las conclusiones que de ellas puedan derivarse.
Asimismo, considerando lo dispuesto en el artículo 373 del RE, el cual determina que la muestra debe abarcar la mayor dispersión geográfica posible, se establece que el diseño muestral sea estratificado, donde al interior de cada estrato se seleccionarán casillas mediante un muestreo aleatorio simple sin reemplazo. Cabe mencionar que la estratificación y tamaño de muestra para hacer las estimaciones son las que determine el equipo responsable de la entidad federativa.
Por otra parte, con base en los ejercicios de simulación que llevaron a cabo las personas integrantes del COTECORA 2023 para cada entidad federativa, se determinó el criterio de estratificación y tamaño de muestra a emplearse en el Conteo Rápido de Gubernatura en los PEL 2022-2023. Los resultados, cuyo detalle se muestra en el apartado 5.1 Estratificación y tamaño de muestra, de los Criterios CR, se presentan en la siguiente tabla:
| ENTIDAD | TAMAÑO DE MUESTRA | CRITERIO DE ESTRATIFICACIÓN |
| Coahuila de Zaragoza | Entre 400 y 500 | Distritos locales |
| Estado de México | Entre 600 y 700 | Distritos locales |
Con los ejercicios de simulación, considerando los cómputos distritales de 2011 y 2017, se obtuvieron porcentajes de CAE con una casilla por reportar en el Conteo Rápido de alrededor de 71% y 91% para Coahuila y Estado de México, respectivamente.
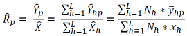
Las tres personas integrantes del COTECORA 2023 realizarán estimaciones para los dos estados con elección a Gubernatura. En la siguiente tabla se muestra el enfoque estadístico, tipo de estimador o modelo y método de estimación con el que cada una de las personas asesoras estimará sus intervalos:
| ASESOR(A) TÉCNICO(A) | ENFOQUE ESTADÍSTICO | TIPO DE ESTIMADOR/ MODELO DE ESTIMACIÓN | MÉTODO DE CÁLCULO DE INTERVALO DE CONFIANZA |
| Mtra. María Teresa Ortiz Mancera | Bayesiano | Regresión binomial negativa, estructura jerárquica | Distribución predictiva de la proporción de votos |
| Dr. Carlos Erwin Rodríguez Hernández-Vela | Bayesiano | Modelo normal | Distribución predictiva para el promedio del total poblacional de votos a nivel estrato para cada candidatura |
| Mtra. Patricia Isabel Romero Mares | Clásico | Estimador de razón combinado | Métodos asintóticos y remuestreo Bootstrap |
De esta manera, cada Asesora y Asesor Técnico del COTECORA 2023 calculará un intervalo al 95% de confianza o de probabilidad, según corresponda, con los procedimientos antes descritos. Para emitir estimaciones únicas se construirá un intervalo consolidado cuyo procedimiento será definido una vez que se realicen simulaciones y sean discutidas por el propio Comité. Lo anterior, de conformidad con lo previsto en el apartado 2.3 Integración de las estimaciones, de los Criterios CR.
Por su parte, los criterios logísticos y operativos consisten en la operación logística del Conteo Rápido que considera la definición de los recursos necesarios para planear el operativo de campo, así como de las acciones que se implementarán para asegurar el adecuado flujo de la información de las casillas electorales de la muestra al COTECORA 2023 el día de la jornada electoral.
Los criterios logísticos y operativos tienen como objetivo proveer al COTECORA 2023, de manera confiable y oportuna, la información de los resultados de las votaciones asentados en los cuadernillos de las casillas electorales de las muestras correspondientes, con la finalidad de que dicho órgano técnico realice las estimaciones estadísticas para conocer las tendencias de las votaciones de las elecciones de Gubernatura, el día de la jornada electoral del 4 de junio de 2023.
De igual manera, los objetivos específicos de los criterios logísticos y operativos son:
a) Determinar los requerimientos para la etapa de planeación de la operación logística del Conteo Rápido;
b) Precisar las funciones que desarrollará el personal involucrado en la ejecución del operativo en campo del Conteo Rápido;
c) Definir los procedimientos para la recopilación, reporte y captura de los datos de la votación emitida en cada una de las casillas electorales de la muestra;
d) Establecer un esquema de contingencia que contemple soluciones ante complicaciones en el reporte de los resultados de las votaciones emitidas en cada una de las casillas en muestra;
e) Definir el esquema de seguimiento para verificar con oportunidad el flujo del reporte y la transmisión de los datos de las votaciones.
Con la finalidad de brindar información oportuna a la población, tras el cierre de las casillas electorales, sobre las tendencias de los resultados de las votaciones de las elecciones locales de Gubernatura, el INE llevará a cabo el día de la jornada electoral los ejercicios de Conteo Rápido, con base en la información asentada en los cuadernillos para hacer las operaciones de escrutinio y cómputo para casilla.
Cabe precisar que, el detalle sobre los aspectos específicos de los criterios científicos, logísticos y operativos se encuentra en los Criterios CR, de conformidad con el anexo que forma parte integral del presente acuerdo.
II. Definición del protocolo para la selección de las muestras.
Las muestras con las que se estimará la votación a favor de las personas candidatas a las Gubernaturas de cada una de las entidades con PEL 2022-2023, se obtendrán en un acto público el viernes 2 de junio de 2023 en las instalaciones del INE. En el acto estará presente una persona fedataria que atestiguará el desarrollo del protocolo para la selección de las muestras desde la instalación del software requerido hasta la obtención y resguardo de las muestras definitivas.
En ese tenor, para seleccionar las muestras se hará uso de un equipo de cómputo habilitado con software estadístico. El marco muestral será el listado de las casillas aprobadas para las elecciones del 4 de junio de 2023 y la selección se realizará de acuerdo con el diseño de muestreo establecido por el COTECORA 2023.
Así, el esquema general para la selección y resguardo de las muestras, en la que participarán las Asesoras y los Asesores Técnicos del COTECORA 2023, entre otras figuras, contempla las siguientes etapas:
1. Instalación. El personal de la DERFE realizará, ante la persona fedataria, la validación del equipo de cómputo donde se instalará el programa para la obtención de las muestras. El COTECORA 2023 entregará el software necesario para la selección de las muestras junto con sus códigos de integridad. Luego entonces, personal de la DERFE obtendrá los códigos de integridad de los archivos entregados por el COTECORA 2023 y los comparará con los entregados. La persona fedataria validará que se trata del mismo código de integridad. Posteriormente, a la vista de las personas asistentes, se instalará el software estadístico y se solicitará a una Asesora o Asesor Técnico del comité que inicie la etapa de ejecución de la selección de las muestras.
2. Selección de las muestras. Se hará uso de un número aleatorio denominado semilla, el cual se utilizará para generar las dos muestras, una para cada entidad federativa. La semilla se construirá con tres números de seis dígitos. Para construir y capturar los tres números se requiere la participación de seis personas elegidas entre los asistentes. Tres, anotarán un número en un formato diseñado para tal efecto y lo ingresarán en el programa. Para asegurar el correcto ingreso, el programa solicitará la confirmación de los números, los cuales serán nuevamente ingresados por las tres personas restantes. A la vista del Fedatario, los números se ingresarán en el programa de selección de las muestras. Los demás asistentes no conocerán estos números. Una vez ingresados los números para construir la semilla, se ejecutará el programa para seleccionar las muestras. Estas últimas quedarán grabadas en el disco duro. Se generará un código de integridad de las muestras. El código de integridad será impreso y se entregará a la persona fedataria y a los asistentes que lo soliciten.
3. Resguardo de las muestras. Las muestras serán grabadas en dos dispositivos/medios removibles. Un dispositivo removible será entregado a la persona Titular de la DERFE para su distribución a los VOED, con el fin de que se preparen los trabajos de acopio de las hojas del cuadernillo para hacer las operaciones de escrutinio y cómputo. El otro dispositivo con las muestras, los códigos de integridad y los formatos en los que se anotarán los números para construir la semilla serán guardados en un sobre. Asimismo, el equipo de cómputo en el cual fueron generadas las muestras se resguardará en un sobre. Ambos sobres serán sellados y rubricados por la persona fedataria. Dicha persona fedataria entregará al Secretario Ejecutivo del INE o a la persona que éste último designe los sobres correspondientes para su resguardo. El Secretario Ejecutivo y el Titular de la DERFE, en sus respectivos ámbitos de competencia, serán responsables del resguardo y la secrecía de las muestras, hasta que se publiquen los reportes de las estimaciones de los resultados de cada elección.
4. Distribución de la muestra. El envío se realizará de manera automatizada y se verificará la recepción de la muestra con las y los VOED. Para tal efecto, se generarán scripts que permitirán la automatización del envío y darán elementos para tener certeza de la recepción de la información por parte de las y los VOED; se hará la verificación de cada una de las personas que recibirán las muestras y que serán definidas por la DEOE; se realizará al menos un simulacro de envío y recepción, en el que se verifique tanto el envío como el contenido de la muestra a la persona indicada; se efectuará la automatización del análisis y ratificación de la correcta recepción de la muestra, una vez que sea enviada, dando certeza del envío y recepción; por último, se elaborará el informe de envío, precisando sobre el archivo de la muestra enviado, así como el listado de todos los destinatarios de los cuales se tenga certeza de la recepción del archivo.
De esta manera, se dará fe del desarrollo del mencionado protocolo hasta la obtención y resguardo de la muestra definitiva que se empleará en las elecciones a celebrarse el 4 de junio de 2023, con motivo de los PEL 2022-2023.
Cabe precisar que, los aspectos específicos del protocolo para la selección de las muestras se encuentran contenidos en los Criterios CR, documento que conforma el anexo que forma parte integral del presente acuerdo.
Es pertinente destacar que, los Criterios CR fueron determinados en estricto apego a lo dispuesto en el RE y, además, fueron evaluados y definidos por las Asesoras y el Asesor Técnicos del COTECORA 2023, que es el órgano que brinda asesoría técnico-científica, conformado por un grupo de personas expertas e imparciales, que poseen los conocimientos necesarios para elaborar los modelos estadísticos que estimen los resultados electorales, así como los procesos técnicos del diseño muestral, quienes se encuentran respaldadas por las mejores casas de estudios del país y la experiencia profesional que cada una de ellas ha desempeñado. Asimismo, en la elaboración de los contenidos de los Criterios CR, dicho comité técnico contó con el apoyo y la colaboración de la DEOE, la DERFE y la UTSI.
Finalmente, resulta pertinente precisar que, por la naturaleza de las actividades comprendidas en los Criterios CR, y a fin de asegurar su adecuado desarrollo, las Asesoras y el Asesor Técnicos del COTECORA 2023 y las áreas del INE involucradas en el Conteo Rápido para los PEL 2022-2023, ya se encuentran realizando algunas de ellas.
No es óbice señalar que, en el marco de sus atribuciones legalmente conferidas, la CRFE conoció el proyecto de acuerdo y la propuesta de Criterios CR, y atendió las observaciones y propuestas de adecuación que se realizaron, a efecto de someterlo a la aprobación de este órgano superior de dirección.
Por las consideraciones expuestas, resulta procedente que este Consejo General apruebe los Criterios CR, que serán utilizados para la realización de los Conteos Rápidos de los resultados en las elecciones a celebrarse el 4 de junio de 2023, con motivo de los PEL 2022-2023, de conformidad con el anexo que forma parte integral del presente acuerdo.
En razón de lo expuesto en las consideraciones de hecho y de derecho, este Consejo General en ejercicio de sus atribuciones emite los siguientes:
ACUERDOS
PRIMERO. Se aprueban los "Criterios científicos, logísticos y operativos para la realización de los Conteos Rápidos y protocolo para la selección de las muestras. Procesos Electorales Locales 2022-2023", que serán utilizados para la realización de los Conteos Rápidos de los resultados en las elecciones a celebrarse el 4 de junio de 2023, con motivo de los Procesos Electorales Locales 2022-2023, de conformidad con el anexo que acompaña al presente acuerdo y forma parte integral del mismo.
SEGUNDO. Se aprueba que la selección de cada una de las muestras para las elecciones de Gubernatura en las entidades de Coahuila de Zaragoza y Estado de México se obtenga el día 2 de junio de 2023, en un acto público en las instalaciones del Instituto Nacional Electoral.
TERCERO. Se instruye a la Unidad Técnica de Vinculación con Organismos Públicos Locales, a hacer del conocimiento del Instituto Electoral de Coahuila y del Instituto Electoral del Estado de México, lo aprobado en el presente acuerdo.
CUARTO. Hágase del conocimiento del Comité Técnico Asesor de los Conteos Rápidos para los Procesos Electorales Locales 2022-2023, lo aprobado por este órgano superior de dirección.
QUINTO. El presente acuerdo y su anexo entrarán en vigor el día de su aprobación por parte de este Consejo General, y concluirá su vigencia al término de los Procesos Electorales Locales 2022-2023.
SEXTO. Publíquense el presente acuerdo y su anexo en la Gaceta Electoral, en NormaINE, en el portal electrónico del Instituto Nacional Electoral, así como en el Diario Oficial de la Federación.
El presente Acuerdo fue aprobado en sesión extraordinaria del Consejo General celebrada el 27 de marzo de 2023, por votación unánime de las y los Consejeros Electorales, Norma Irene De La Cruz Magaña, Doctor Uuc-kib Espadas Ancona, Doctora Adriana Margarita Favela Herrera, Maestro José Martín Fernando Faz Mora, Carla Astrid Humphrey Jordán, Doctor Ciro Murayama Rendón, Maestra Dania Paola Ravel Cuevas, Maestro Jaime Rivera Velázquez, Doctor José Roberto Ruiz Saldaña, Maestra Beatriz Claudia Zavala Pérez y del Consejero Presidente, Doctor Lorenzo Córdova Vianello.
El Consejero Presidente del Consejo General, Dr. Lorenzo Córdova Vianello.- Rúbrica.- El Secretario del Consejo General, Lic. Edmundo Jacobo Molina.- Rúbrica.
Criterios científicos, logísticos y operativos para la realización de los Conteos Rápidos y protocolo para la
selección de las muestras Procesos Electorales Locales 2023
Marzo de 2023
CONTENIDO
Glosario y acrónimos
1. Presentación
2. Criterios científicos
2.1. Estratificación y tamaño de muestra
2.2. Procedimiento de estimación
2.3. Integración de las estimaciones
3. Selección y resguardo de las muestras
3.1. Consideraciones generales para la selección de las muestras
3.2. Protocolo de selección y resguardo de las muestras
3.2.1. Instalación
3.2.2. Selección de las muestras
3.2.3. Resguardo de las muestras
3.2.4. Distribución de la muestra
4. Criterios logísticos y operativos
4.1. Objetivos de los criterios logísticos y operativos
4.1.1. General
4.1.2. Específicos
4.2. Esquema general de funcionamiento del Conteo Rápido
4.2.1. Etapas de la planeación
4.2.2. Preparación
4.2.3. Ejecución del operativo de campo en la Jornada Electoral
4.2.4. Esquema de contingencia
4.2.5. Esquema de seguimiento
4.2.6. Actividades posteriores a la Jornada Electoral
5. Anexos. Diseño Muestral y Métodos de Estimación
5.1. Estratificación y tamaño de muestra
5.1.1. Mtra. María Teresa Ortiz Mancera, Dr. Luis Felipe González Pérez y Dra. Michelle Anzarut Chacalo
5.1.2. Dr. Carlos Erwin Rodríguez Hernández-Vela y Lic. José Alberto Florencio Chávez
5.1.3. Mtra. Patricia Isabel Romero Mares y Lic. Enrique Reyes Romero
5.2. Procedimiento de estimación
5.2.1. Mtra. María Teresa Ortiz Mancera, Dr. Luis Felipe González Pérez y Dra. Michelle Anzarut Chacalo
5.2.2. Dr. Carlos Erwin Rodríguez Hernández-Vela y Lic. José Alberto Florencio Chávez
5.2.3. Mtra. Patricia Isabel Romero Mares y Lic. Enrique Reyes Romero
| acta | Acta de escrutinio y cómputo de casilla. |
| app | Aplicación móvil del Conteo Rápido. |
| are | Área de Responsabilidad Electoral. |
| at | Asesor(as) Técnico(as) del Comité Técnico Asesor de los Conteos Rápidos. |
| cae | Capacitador(a) Asistente Electoral. |
| casilla | Lugar al que acude la ciudadanía para emitir su voto el día en que celebre la Jornada Electoral. |
| cau | Centro de Atención a Usuarios. |
| cg | Consejo General del Instituto Nacional Electoral. |
| cr | Conteo Rápido. |
| cotecora | Comité Técnico Asesor de los Conteos Rápidos. |
| cuadernillo | Cuadernillo para hacer las operaciones de escrutinio y cómputo para casilla. |
| deceyec | Dirección Ejecutiva de Capacitación Electoral y Educación Cívica. |
| deoe | Dirección Ejecutiva de Organización Electoral. |
| derfe | Dirección Ejecutiva del Registro Federal de Electores. |
| dor | Dirección de Operación Regional de la deoe. |
| dps | Dirección de Planeación y Seguimiento de la deoe. |
| ecae | Estrategia de Capacitación y Asistencia Electoral. |
| frr | Formato para recopilación de resultados de la votación. |
| ine | Instituto Nacional Electoral. |
| inetel | Centro de Atención Ciudadana INETEL. |
| jde | Junta Distrital Ejecutiva del Instituto Nacional Ejecutiva. |
| je | Jornada Electoral. |
| jle | Junta Local Ejecutiva del Instituto Nacional Electoral. |
| lgipe | Ley General de Instituciones y Procedimientos Electorales. |
| mdc | Mesa Directiva de Casilla. |
| pel | Proceso Electoral Local. |
| occr | Operativo de Campo del Conteo Rápido. |
| opl | Organismo Público Local. |
| pol | Programa de Operación Logística. |
| re | Reglamento de Elecciones del Instituto Nacional Electoral. |
| resri | Responsable de Sala de Recepción de Información. |
| se | Supervisor(a) Electoral. |
| sicr | Sistema de Información para los Conteos Rápidos. |
| sije | Sistema de Información sobre el desarrollo de la Jornada Electoral. |
| sil | Servicio de Internet Local. |
| utsi | Unidad Técnica de Servicios de Informática. |
| ved | Vocal Ejecutivo(a) Distrital. |
| vel | Vocal Ejecutivo(a) Local. |
| voed | Vocal de Organización Electoral de Junta Distrital Ejecutiva. |
| voel | Vocal de Organización Electoral de Junta Local Ejecutiva. |
| zore | Zona de Responsabilidad Electoral. |
El 26 de septiembre de 2022, mediante Acuerdo INE/CG634/2022, el cg aprobó el Plan Integral y los Calendarios de Coordinación de los pel 2022-2023, en el que se contemplan, entre otras, las actividades relacionadas con los cr para las elecciones de Gubernatura en las entidades con pel 2022-2023.
El 29 de noviembre de 2022 el cg, mediante la Resolución INE/CG814/2022, determinó asumir el diseño, implementación y operación de los cr para las elecciones de Gubernatura de Coahuila de Zaragoza y Estado de México, en el marco de los pel.
El 25 de enero de 2023, el cg aprobó el Acuerdo INE/CG05/2023 en el que se determinó la creación e integración del cotecora para las elecciones de las y los titulares del Poder Ejecutivo Estatal de Coahuila de Zaragoza y Estado de México, a fin de pronosticar las tendencias de la votación el día de la je de las elecciones de Gubernatura que se celebrarán el próximo 4 de junio.
Con base en este acuerdo, el comité quedó integrado por tres at:
· Mtra. María Teresa Ortiz Mancera
· Dr. Carlos Erwin Rodríguez Hernández-Vela
· Mtra. Patricia Isabel Romero Mares
Todos ellos son especialistas en el área de Estadística, con amplia experiencia en diseño muestral, quienes recientemente han participado en la realización de cr para elecciones federales y locales que ha llevado a cabo el ine.
Para la realización del cr, el comité contará con la colaboración de personal de las direcciones ejecutivas de derfe, deoe y de la utsi.
Los criterios científicos del cr son los procedimientos estadísticos, diseñados con la finalidad de estimar con oportunidad las tendencias de los resultados finales de una elección, a partir de una muestra probabilística de resultados de actas de escrutinio y cómputo de las casillas electorales, o en su caso, de los cuadernillos para hacer las operaciones de escrutinio y cómputo de casilla.
Estos procedimientos, sustentados en la probabilidad y estadística, se usarán para estimar el porcentaje de votos a favor de cada una de las candidaturas a las Gubernaturas, así como para estimar el porcentaje de ciudadanos que acudan a votar.
Los resultados del cr se presentarán la noche de la Jornada Electoral, para tal efecto, los tres Asesores Técnicos serán responsables de establecer la definición del diseño muestral de cada elección.
Las estimaciones para cada entidad estarán basadas en la misma información muestral y deberán realizarse bajo las siguientes consideraciones:
· Los resultados de dichas estimaciones se darán mediante intervalos de confianza/probabilidad.
· Las estimaciones se basarán en los resultados de los cuadernillos para hacer las operaciones de escrutinio y cómputo en casilla, obtenidos de las muestras de casillas.
· Las muestras y los modelos de estimación se diseñarán a fin de que alcancen el 95% de confianza y una precisión que genere certidumbre estadística.
· El reporte de resultados que se presentará y será difundido la noche de la je, especificará las condiciones bajo las cuales se obtuvieron las estimaciones.
Considerando el artículo 373 del re, el cual determina que la muestra debe abarcar la mayor dispersión geográfica posible, se establece que el diseño muestral sea estratificado, donde al interior de cada estrato
se seleccionarán casillas mediante un muestreo aleatorio simple sin reemplazo.
2.1. Estratificación y tamaño de muestra
Con base en los ejercicios de simulación realizados para cada entidad (véase Anexo) se determinó el criterio de estratificación y tamaño de muestra a emplearse en el cr de cada entidad con elección de Gubernatura en 2023, los resultados se presentan en la siguiente tabla:
| ESTADO | TAMAÑO DE MUESTRA | CRITERIO DE ESTRATIFICACIÓN |
| Coahuila de Zaragoza | Entre 400 y 500 | Distritos Locales |
| Estado de México | Entre 600 y 700 | Distritos Locales |
Con los ejercicios de simulación, considerando los cómputos distritales de 2011 y 2017, se obtuvieron porcentajes de cae con una casilla por reportar en el cr de alrededor de 71% y 91% para Coahuila y Estado de México, respectivamente.
2.2. Procedimiento de estimación
Los at del cotecora realizarán estimaciones para los dos estados con elección a Gobernatura. En la siguiente tabla se muestra el enfoque estadístico, tipo de estimador o modelo y método de estimación con el que cada at estimará sus intervalos; los detalles se presentan en el Anexo.
| AT | ENFOQUE ESTADÍSTICO | TIPO DE ESTIMADOR/ MODELO DE ESTIMACIÓN | MÉTODO DE CÁLCULO DE INTERVALO DE CONFIANZA |
| Mtra. María Teresa Ortiz Mancera | Bayesiano | Regresión binomial negativa, estructura jerárquico | Distribución predictiva de la proporción de votos |
| Dr. Carlos Erwin Rodríguez Hernández-Vela | Bayesiano | Modelo normal | Distribución predictiva para el promedio del total poblacional de votos a nivel estrato para cada candidato |
| Mtra. Patricia Isabel Romero Mares | Clásico | Estimador de razón combinado | Métodos asintóticos y Re-muestreo Bootstrap |
2.3. Integración de las estimaciones
Cada at del cotecora calculará un intervalo al 95% de confianza o de probabilidad, según corresponda, con los procedimientos antes descritos. Para emitir estimaciones únicas se construirá un intervalo consolidado cuyo procedimiento será definido una vez que se realicen simulaciones y sean discutidas por el cotecora.
| 3. Selección y resguardo de las muestras |
| |
3.1. Consideraciones generales para la selección de las muestras
Las muestras con las que se estimará la votación a favor de las personas candidatas a las Gubernaturas de cada una de las entidades con elección, se obtendrán en un acto público el 2 de junio de 2023 en las instalaciones del INE. En el acto estará presente una persona fedataria que atestiguará el desarrollo del protocolo, desde la instalación del software requerido, hasta la obtención y resguardo de las muestras.
Para seleccionar las muestras se hará uso de un equipo de cómputo habilitado con software estadístico. El marco muestral será el listado de las casillas aprobadas para las elecciones del 4 de junio de 2023 y la selección se realizará de acuerdo con el diseño de muestreo establecido por el cotecora.
3.2. Protocolo de selección y resguardo de las muestras
Para la selección y resguardo de las muestras se realizarán las siguientes actividades:
3.2.1. Instalación
1. Personal de la derfe realizará ante la persona fedataria la validación del equipo de cómputo donde se instalará el programa para la obtención de las muestras.
2. El cotecora entregará el software necesario para la selección de las muestras junto con sus códigos de integridad (programa para la selección de las muestras y la base de datos de casillas).
3. Personal de la derfe obtendrá los códigos de integridad de los archivos entregados por el cotecora y los comparará con los entregados en el punto 2. La persona fedataria validará que se trata del mismo código de integridad.
4. A la vista de las y los asistentes se instalará el software estadístico.
5. Se solicitará a un at del cotecora iniciar la etapa de ejecución de la selección de las muestras.
3.2.2. Selección de las muestras
1. Para seleccionar las muestras se requiere de un número aleatorio denominado semilla, el cual se utilizará para generar las dos muestras, una para cada entidad federativa.
2. La semilla se construirá con tres números de seis dígitos.
3. Para construir y capturar los tres números se requiere la participación de seis personas elegidas entre las asistentes. Tres, anotarán un número en un formato diseñado para tal efecto y lo ingresarán en el programa. Para asegurar el correcto ingreso, el programa solicitará la confirmación de los números, los cuales serán nuevamente ingresados por las tres personas restantes.
4. A la vista de la persona fedataria, los números se ingresarán en el programa de selección de las muestras. Los demás asistentes no conocerán estos números.
5. Una vez ingresados los números para construir la semilla, se ejecutará el programa para seleccionar las muestras. Estas últimas quedarán grabadas en el disco duro.
6. Se generará un código de integridad de las muestras. El código de integridad será impreso y se entregará a la persona fedataria y a las y los asistentes que lo soliciten.
3.2.3. Resguardo de las muestras
1. Las muestras serán grabadas en dos dispositivos/medios removibles.
2. Un dispositivo removible será entregado Secretario Técnico del COTECORA para su distribución a los voed, con el fin de que se preparen los trabajos de acopio de las hojas del cuadernillo para hacer las operaciones de escrutinio y cómputo.
3. El otro dispositivo con las muestras, los códigos de integridad y los formatos en los que se anotarán los números para construir la semilla serán guardados en un sobre.
4. Asimismo, el equipo de cómputo en el cual fueron generadas las muestras se resguardará en un sobre.
5. Ambos sobres serán sellados y rubricados por la persona fedataria.
6. La persona fedataria entregará al Secretario Ejecutivo del ine, o bien, a la persona que éste último designe, los sobres a los que se refiere el numeral anterior para su resguardo.
7. El Secretario Ejecutivo del ine y el Secretario Técnico del COTECORA, en sus respectivos ámbitos de competencia, serán responsables del resguardo y la secrecía de las muestras, hasta que se publiquen los reportes de las estimaciones de los resultados de cada elección.
3.2.4. Distribución de la muestra
El envío se realizará de manera automatizada y se verificará la recepción de la muestra con los voed mediante:
1. Generación de scripts que permitirán la automatización del envío y que darán elementos para tener certeza de la recepción de la información por parte de los voed.
2. Verificación de cada una de las personas que recibirán la muestra y que serán definidas por la deoe, corroborando su existencia dentro del Directorio Institucional del ine, así como que correspondan con una cuenta de correo electrónico válida y funcional.
3. Realización de al menos un simulacro de envío y recepción, verificando tanto el envío como el contenido de la muestra (archivo a enviar por distrito) a la persona indicada.
4. Automatización del análisis y ratificación de la correcta recepción de la muestra, una vez enviada, dando certeza del envío y recepción.
5. Elaboración de informe de envío, precisando sobre el archivo de la muestra enviado, así como el listado de todos los destinatarios de los cuales se tenga certeza de la recepción del archivo.
| 4. Criterios logísticos y operativos |
| |
4.1. Objetivos de los criterios logísticos y operativos
La operación logística para el cr considera la definición de los recursos necesarios para planear el operativo de campo, así como de las acciones que se implementarán para asegurar el adecuado flujo de la información de las casillas de la muestra, para las elecciones, al cotecora el día de la je. En razón de lo anterior, se busca cumplir con los siguientes objetivos:
4.1.1. General
Proveer, de manera confiable y oportuna al cotecora la información de los resultados de las votaciones asentados en los cuadernillos de las casillas de las muestras correspondientes, con la finalidad de que realice las estimaciones estadísticas para conocer las tendencias de las votaciones de las elecciones locales de Gubernatura, el día de la je.
4.1.2. Específicos
· Determinar los requerimientos para la etapa de planeación de la operación logística del cr.
· Precisar las funciones que desarrollará el personal involucrado en la ejecución del occr.
· Definir los procedimientos para la recopilación, reporte y captura-transmisión de la información de cada una de las casillas que conformarán la muestra.
· Establecer un esquema de contingencia que contemple soluciones ante complicaciones en el reporte de los resultados de las votaciones emitidas en cada una de las casillas en muestra.
· Definir el esquema de seguimiento para verificar con oportunidad el flujo del reporte y la transmisión de los datos de las votaciones.
4.2. Esquema general de funcionamiento del Conteo Rápido
El ine llevará a cabo los cr del pel 2022-2023 después del cierre de las casillas, con la finalidad de brindar información oportuna a la población, respecto a las tendencias de los resultados de las votaciones de las elecciones de Gubernatura de las entidades federativas de Coahuila de Zaragoza y del Estado de México.
En este sentido, el propósito del occr es proveer al cotecora, de manera confiable y oportuna, la información de los resultados de las votaciones asentados en los cuadernillos de las casillas que conformarán la muestra para el cr, para realizar las estimaciones estadísticas del porcentaje de votación de cada una de las personas contendientes de las elecciones de Gubernatura y del nivel de participación ciudadana en la elección.
Para lograr este propósito, se definieron tres principios de implementación fundamentales, los cuales tienen un carácter de observancia para el personal involucrado en el occr:
· Confidencialidad: Garantizar que la información sea conocida solo por las personas autorizadas.
· Integridad: Asegurar que los datos reportados sean verídicos y estén completos.
· Oportunidad: Garantizar que la información requerida se reporte dentro del horario establecido.
Asimismo, se requiere de la planeación y ejecución de una serie de actividades coordinadas que tienen su base en el siguiente procedimiento general:
Ámbito distrital
1. El personal en campo, cae o se, se encargará de recabar en el frr los datos asentados en el cuadernillo de la(s) casilla(s) seleccionada(s) dentro de la muestra perteneciente(s) a su are, y realizará el reporte de la información conforme a lo siguiente:
a. Vía voz: mediante llamada telefónica,(1) considerando priorizar este medio de reporte. Para ello, marcará los números telefónicos del sistema multilíneas de la sala del sije o de inetel, conforme al procedimiento establecido.
b. Vía app:(2) mediante un aplicativo, disponible en los dispositivos móviles de las y los cae y se, empleado como un medio alternativo cuando no se pueda establecer comunicación vía voz con la Sede Distrital o a inetel.
Nota: se prevé el uso de la app a partir el segundo simulacro.
2. Captura-transmisión de la información:
a. Vía voz: los y las capturistas recibirán las llamadas telefónicas e ingresarán directamente en el sicr los datos de los resultados que les sean dictados. Una vez capturada la información, se trasmitirá automáticamente, a través de remesas de información, a la sede del cotecora.
b. Vía app: los y las cae o se registrarán la información en la aplicación y se transmitirá directamente a la base de datos del sicr.
Ámbito central
1. Las y los integrantes del cotecora procesarán la información registrada en el sicr, realizarán las estimaciones estadísticas correspondientes, elaborarán un informe de los resultados obtenidos y lo enviarán al órgano superior de dirección del opl que corresponda.
2. El órgano superior de dirección del opl que corresponda dará a conocer a la opinión pública, la noche de la je, los resultados del cr de las elecciones de Gubernatura en su entidad.
En el Esquema 1 se muestra gráficamente el proceso general de funcionamiento del occr descrito en los cuatro puntos anteriores.
Esquema 1
Proceso Electoral Local 2022-2023
Procedimiento general del funcionamiento del occr
Al respecto, es importante hacer notar que la logística se desarrollará básicamente en el ámbito distrital, con la participación fundamental de las voed, las y los se, cae y capturistas.
Para que el occr se realice de forma apropiada y exitosa es fundamental que, en el ámbito distrital, se logre una alta coordinación del personal en las jde, así como el cumplimiento adecuado de las actividades encomendadas conforme a la descripción de los procedimientos y funciones que se detallan a continuación.
4.2.1. Etapas de la planeación
En los siguientes apartados, se puntualizan las etapas de planeación que hacen referencia a los diversos recursos requeridos para la ejecución del occr, así como los procedimientos que deberán realizarse antes, durante y después de la je.
4.2.1.1. Definición de los recursos requeridos
Con la finalidad de prever las necesidades de los recursos para la adecuada realización del occr, en este apartado, se describen los cargos y sus principales funciones, así como los recursos materiales y financieros necesarios en cada una de las jle y jde.
4.2.1.1.1. Recursos humanos
Vocalía Ejecutiva Local
· Asegurará, con el apoyo de la voel, la oportuna disponibilidad de los recursos humanos, materiales y financieros necesarios.
· Comunicará oportunamente a la voel las circulares, acuerdos, reportes y comunicados relacionados con la operación logística del cr.
· Vigilará el desarrollo del occr, durante la je, a efecto de garantizar el adecuado flujo del reporte de la información.
Vocalía de Organización Electoral Local
· Asegurará, con el apoyo de las voed, la oportuna disponibilidad de todos los recursos humanos, materiales y financieros necesarios.
· Comunicará oportunamente a las voed las circulares, acuerdos, reportes y comunicados relacionados con la operación logística del cr.
· Vigilará que se lleven a cabo los procedimientos del occr, antes, durante y después de la je, a efecto de garantizar el adecuado flujo del reporte de la información de las casillas en muestra.
· Dará seguimiento puntual del avance en el reporte de las casillas en muestra.
· Coordinará el procedimiento que deba aplicarse en caso de la implementación del esquema de contingencia.
Vocalía Ejecutiva Distrital
· Asegurará, con el apoyo de la voed, la oportuna disponibilidad y funcionamiento de todos los recursos humanos, materiales y financieros necesarios.
· Supervisará las actividades que se realizarán para el occr, a efecto de garantizar el adecuado flujo del reporte de la información de las casillas en muestra.
· Dará seguimiento puntual al procedimiento que se deba aplicar en caso de implementar el esquema de contingencia.
Vocalía de Organización Electoral Distrital
· Será la responsable directa de la ejecución del occr, en su ámbito de competencia.
· Brindará la capacitación correspondiente a las y los cae, se, capturistas y resri involucrados en el occr.
· Coordinará la realización de las actividades previstas para el occr, antes, durante y después de la je.
· Distribuirá con tiempo a las y los cae y se, los frr para el occr.
· Notificará oportunamente al personal en campo a su cargo, la(s) casilla(s) seleccionada(s) en muestra que se le hayan asignado.
· Analizará anticipadamente las condiciones y situaciones particulares de su Distrito Electoral y la ubicación de las casillas en muestra, para determinar aquellos casos donde las y los se u otro cae apoyarán con el reporte de la información de alguna casilla en muestra.
· Dará seguimiento al reporte de las casillas en muestra y mantendrá comunicación constante con el o la se para garantizar el flujo de la información.
· En caso de saturación en las líneas telefónicas de la Sede Distrital, deberá definir el procedimiento e instruir al personal en campo sobre la instancia a la que deberá comunicarse, para garantizar el reporte de la información.
· Informará, en su caso, a las instancias correspondientes respecto a las problemáticas y escenarios que se presenten de forma imprevista y que impidan el reporte de la información a la Sede Distrital, a fin de determinar la implementación del esquema de contingencia.
· Aplicará, de ser necesario, el esquema de contingencia y será el responsable de brindar las indicaciones al personal en campo.
· Resguardará los frr utilizados en el occr y los proporcionará a la dps cuando se le requieran.
Responsable de Sala de Recepción de Información(3)
· Auxiliará a las y los capturistas en caso de que se presenten fallas en el sicr.
· Verificará, en su caso, la personalidad de las y los cae o se que no cuenten con su clave de autenticación, para el reporte de la información.
· Apoyará a la voed en el seguimiento del reporte de las casillas en muestra, a través de los informes que se generen en el sicr.
· Dará seguimiento, en su caso, al procedimiento que se aplique durante alguna contingencia.
Capturista
· Participará activamente en la capacitación, para conocer o reforzar los conocimientos respecto a los procedimientos que se implementarán y las funciones que desempeñará durante la ejecución del occr.
· Recibirá las llamadas del personal en campo y capturará, en el sicr, la información que le reporten, de acuerdo con el protocolo de dictado.
· Una vez que la información haya sido capturada, validada y guardada en el sicr, proporcionará al personal en campo el código de confirmación.
· Indicará la finalización de la llamada al personal de campo.
Supervisor(a) Electoral
· Participará activamente en la capacitación para conocer o reforzar los conocimientos respecto a los procedimientos que se implementarán y las funciones que desempeñará durante la ejecución del occr.
· Realizará las actividades que les sean encomendadas por la voed, para la implementación del occr.
· Verificará que, las y los cae bajo su responsabilidad, reporten la información de las casillas de la muestra pertenecientes a su zore.
· Mantendrá comunicación constante con las y los cae a su cargo para conocer el avance del reporte de las casillas en muestra y atenderá, en su caso, cualquier eventualidad que impida el reporte oportuno de la información.
· Apoyará, a solicitud de la voed, en el acopio y reporte de la información de las casillas en muestra, cuando algún(a) cae que deba reportar más de una casilla.
· Mantendrá comunicación constante con la voed para informar oportunamente respecto al avance en el reporte de las casillas en muestra asignadas a su zore.
· Resguardará los frr que le entreguen las y los cae para su posterior entrega a la voed.
Capacitador(a) Asistente Electoral
· Participará activamente en la capacitación para conocer o reforzar los conocimientos respecto a los procedimientos que se implementarán y las funciones que deberá desempeñar durante la ejecución del occr.
· Realizará las actividades que les sean encomendadas por la voed o se, para la implementación del occr.
· Para agilizar la ejecución del escrutinio y cómputo de la(s) casilla(s) de la muestra, podrá brindar orientación y apoyo a las y los funcionarios de la mdc en los procedimientos correspondientes(4).
· Recopilará, en el frr, los resultados de las votaciones de las elecciones de Gubernatura registrados en los cuadernillos de la(s) casilla(s) en muestra, conforme a las indicaciones descritas en el formato y los reportará inmediatamente a la Sede Distrital.
· Mantendrá, en su caso, comunicación permanente con su se, para reportar las causas que impidan el reporte de la información de la(s) casilla(s) asignada(s) en muestra, con el objetivo de buscar una solución que permita el reporte oportuno.
· Responderá la encuesta sobre el occr que le sean enviadas a través de su dispositivo móvil.
· Resguardará el o los frr utilizados en el occr y los proporcionará al o a la se.
4.2.1.1.2. Recursos materiales
El occr basa su funcionamiento en la infraestructura instalada para la implementación del sije en cada una de las jde, la cual se clasifica en dos categorías:
Equipo para el reporte y recepción de la información
Se refiere a los medios de comunicación que utilizarán las y los cae y se en campo, así como a los que emplearán las y los capturistas en la jde:
· Los y las cae y se utilizarán principalmente teléfonos celulares y, en menor medida, sil y teléfonos satelitales, estos últimos en aquellas casillas ubicadas en lugares alejados que no cuentan con servicio de telefonía convencional.
· Los y las capturistas dispondrán de diademas telefónicas vinculadas a un sistema multilíneas para atender las llamadas de los y las cae y se.
· Se instalarán equipos de cómputo, en igual cantidad al número de líneas telefónicas del sistema multilíneas y con conexión a la Redine, para la captura y transmisión inmediata de la información a la sede del cotecora, a través del sicr.
Equipo para el acondicionamiento
· Mobiliario. Consistente en sillas y mesas de trabajo. Se deberá procurar que la distancia entre cada capturista sea, preferentemente, de metro y medio a fin de evitar distorsión de la información que recibirá cada capturista, así como cumplir con las medidas de atención sanitaria.
· Planta de energía eléctrica. Con la finalidad de que cada jde prevea cualquier eventualidad que impida la transmisión de información por falta del suministro de energía eléctrica.
4.2.1.1.3. Recursos financieros
Se contará con la asignación de recursos económicos para que las y los cae y se cuenten con un medio de comunicación (uso de telefonía celular y satelital, en menor medida, moneda fraccionaria para el pago del sil) que les permita transmitir de los datos de votación de la(s) casilla(s) en muestra que les fue asignada.
4.2.2. Preparación
Conscientes de que el día de la je, el personal involucrado en la ejecución del occr debe realizar todas las actividades de manera precisa, oportuna y con apego a los procedimientos establecidos, la deoe considera actividades dirigidas a la preparación (teórica) y entrenamiento (práctico) del personal y las presenta en dos etapas:
Capacitación de los recursos humanos con relación a los procedimientos y funciones que desempeñarán durante la ejecución del occr.
Realización de prácticas de captura, una prueba de funcionamiento del sicr, practica de marcación a inetel, pruebas de funcionamiento de la app y, al menos tres simulacros.
Para todas las actividades, la deoe remitirá oportunamente a las voel los lineamientos e insumos correspondientes.
4.2.2.1. Capacitación
Capacitación inicial
| DIRIGIDA A: | LAS VE Y VOE DE LAS JLE Y JDE. |
| Fecha: | Del 6 al 24 de marzo de 2023. |
| Objetivo: | Actualizar y fortalecer los conocimientos respecto al occr, que transmitirán al personal involucrado y como responsables de su capacitación. |
| Modalidad: | En línea a través del Centro Virtual ine. |
| Responsable: | Personal de la dps. |
Mesa de ayuda (etapa de capacitación)
| DIRIGIDA A: | LAS Y LOS VE, VOEL Y VOED. |
| Fecha: | Del 13 al 31 de marzo de 2023. |
| Objetivo: | Atender las dudas e inquietudes que se presenten durante la etapa de capacitación de los recursos humanos. |
| Modalidad: | Virtual en línea, a través de Microsoft Teams, correo electrónico o Centro Virtual INE. |
| Atendido por: | Personal de la dps. |
Taller de capacitación
| DIRIGIDA A: | LAS Y LOS CAE, SE, CAPTURISTAS Y RESRI. |
| Fecha: | Del 3 al 7 de abril de 2023.(5) |
| Objetivo: | Dar a conocer, a través de una explicación detallada, los procedimientos y las funciones que realizarán para el desarrollo del occr. |
| Modalidad: | En línea y/o presencial. |
| Impartido por: | Las y los voed. |
| Consideración importante: | Se recomienda considerar la participación de quienes integran el Consejo Distrital, así como del personal de las jde, con el objetivo de que conozcan los procedimientos y las actividades del occr, particularmente lo relacionado con el seguimiento del reporte de resultados. |
En esta etapa de preparación, la voed, en su carácter de coordinador(a) del occr, tendrá las siguientes responsabilidades:
· Revisar y comprender los procedimientos remitidos por la deoe, para el cumplimiento de los objetivos establecidos para cada actividad.
· Capacitar a las y los resri, capturistas, cae y se, para que cumplan cabal y eficientemente con sus respectivas funciones.
· Capacitar al personal de las juntas y a quienes integran el Consejo Distrital correspondiente respecto a los procedimientos del occr, con particular énfasis en el seguimiento al reporte de resultados durante los simulacros y la je.
· Revisar y distribuir correcta y oportunamente entre las y los cae y se los materiales e insumos para llevar a cabo las prácticas y simulacros.
4.2.2.2. Realización de prácticas, pruebas de captura y simulacros
La deoe, consciente de que el día de la je se deben realizar todas las actividades de manera precisa, oportuna y con apego a los procedimientos establecidos, organiza las actividades dirigidas a la preparación y sobre todo al entrenamiento del personal involucrado, teniendo en cuenta que la repetición constante y sistematizada de una actividad favorece la adquisición y fortalecimiento de habilidades.
En ese sentido, se programaron prácticas y pruebas de captura en el sicr, prácticas de marcación a inetel, pruebas de captura en la app y tres simulacros, en los que se pretende recrear el contexto y situaciones que pudieran ocurrir durante la ejecución del occr, la noche de la je.
La deoe, previo a la realización de cada actividad, remitirá oportunamente a las voel los lineamientos e insumos correspondientes para que notifique a las voed responsables de la coordinación y realización.
4.2.2.2.1. Prácticas de captura
| RESPONSABLE: | LAS VED EN COORDINACIÓN CON LAS VOED O VOEL. |
| Dirigido a: | Capturistas, resri y personal de apoyo de las jde y jle. |
| Fecha: | Del 10 al 14 de abril de 2023.(6) |
| Horario: | Libre. |
| Objetivo general: | Evaluar la precisión y velocidad de captura de las y los capturistas. |
| Objetivos particulares: | · Contar con un diagnóstico objetivo respecto a las habilidades de las y los capturistas, velocidad y precisión en la captura de datos (calidad en los datos). · Establecer, por parte de las voed, las medidas necesarias para mejorar la calidad del dictado y el desempeño en la captura de información de las y los capturistas. |
| Insumos: | Formatos para realizar las prácticas: Disponibles en el sicr, en el módulo de Prácticas, submódulo Descarga del formato, en adelante llamado Formato de captura. |
| Desarrollo: | · La práctica la realizarán los y las capturistas y resri, bajo la coordinación y supervisión de las y los voel o voed. · Las y los capturistas y resri ingresarán al sicr, explorarán sus módulos y realizarán la captura de información del Formato de captura. · Deberán cumplir con el registro de las 150 casillas del Formato de captura durante el desarrollo de la actividad (30 casillas por día). · Se formarán grupos de dos personas, una dictará, actuando como cae, y la otra registrará la información en el sicr fungiendo como capturista. · Quien actúe como cae dictará, vía telefónica, la información de cada casilla, mientras que la persona que tenga el rol de capturista se ubicará frente al equipo de cómputo, recibirá la llamada mediante una diadema conectada al sistema multilíneas y solicitará la información para registrarla en el sicr. · Al concluir con el dictado de los formatos, las personas cambiarán de rol (dictado-captura) y se realizará nuevamente el procedimiento · La voel o voed prestarán atención a la velocidad de captura y a la precisión de la información; es decir, en la consistencia de los datos que podrán ser consultados desde los reportes que se generen en el sicr. |
4.2.2.2.2. Pruebas del sicr
| RESPONSABLE: | LA VED EN COORDINACIÓN CON LAS VOEL O VOED. |
| Dirigido a: | Los y las capturistas. |
| Fecha: | Del 17 al 19 de abril de 2023.(7) |
| Horario: | De las 10:00 a las 14:00 horas (hora del centro del país). |
| Objetivo general: | Verificar el adecuado funcionamiento y familiarizarse con la interfaz del sicr. |
| Objetivos particulares: | · Asegurar que todas y todos los capturistas, tengan una cuenta institucional activa y verificar su correcto acceso al sicr. · Familiarizar al personal con el diseño y funcionamiento del sicr. · Identificar posibles fallas y errores en el sicr, para corregirlos. · Contar con una evaluación objetiva de la recepción y registro de información por parte de las y los capturistas a efecto de detectar áreas de mejora y corregirlas oportunamente. |
| Insumos: | Formato de captura con datos de votación ficticios para 150 casillas.(8) |
| Desarrollo: | · Esta prueba la realizarán las y los capturistas, sin embargo, el personal de apoyo podrá participar. · La captura será directamente en el sicr, bajo la coordinación y supervisión de la voed y con apoyo del o la resri. · En la primera fase, las y los capturistas deberán explorar los módulos en el sicr, sin capturar datos. · En la segunda fase, el personal de captura deberá registrar diariamente los datos de las casillas asignadas por la voed. |
4.2.2.2.3. Prácticas de marcación a inetel
| RESPONSABLE: | LA VOED Y EL PERSONAL DE INETEL. |
| Dirigido a: | cae y se. |
| Fecha: | Los días 20, 21, 24, 25 y 26 de abril de 2023.(9) |
| Horario: | De las 09:00 a las 17:00 horas (hora del centro del país), de acuerdo con la programación establecida por la dps. |
| Objetivo general | Garantizar que las y los cae y se conozcan el procedimiento de marcación definida para reportar los resultados a inetel. |
| Objetivos particulares: | · Dar a conocer a los y las cae y se la secuencia de marcación y la clave confidencial para tener acceso a los servicios internos de inetel. · Familiarizar al personal de campo en el procedimiento que se aplicará para reportar la información a inetel. |
| Insumos: | · Programación de llamadas a inetel. · Número telefónico de inetel, secuencia de marcación y clave confidencial. |
| Desarrollo: | · Las y los cae y se realizarán una llamada a inetel, de acuerdo con la programación establecida por la dps. · Deberán respetar la fecha y horario asignados para cada distrito electoral, especificada en la programación que se les compartirá, con la finalidad de evitar la saturación de líneas en inetel y favorecer el desarrollo eficaz de la actividad. · Se aprenderán la secuencia de marcación y la clave confidencial para tener acceso a los servicios internos. |
4.2.2.2.4. Pruebas de la app(10)
| RESPONSABLE: | LA VED EN COORDINACIÓN CON LA VOEL Y VOED. |
| Dirigido a: | cae y se. |
| Fecha: | El 18 mayo de 2023(11). |
| Horario: | De las 18:00 a las 20:00 horas (hora del centro del país). |
| Objetivo general: | Que la totalidad de cae y se se familiaricen con uso de la app. |
| Objetivos particulares: | · Garantizar que todas y todos los cae y se tengan conocimiento del uso de la app para el reporte de los resultados de las casillas. · Familiarizar al personal en campo con el diseño y funcionamiento de la app. · Identificar posibles fallas y errores durante el uso de la app para corregirlos. |
| Insumos: | · Dispositivo móvil: los previstos para la comunicación de información el día de la je. · frr con datos de votación ficticios utilizado en el segundo simulacro. |
| Desarrollo: | 1. Esta prueba se realizará con la participación de cae y se, donde la captura será directamente en la app, desde el lugar en donde se encuentren físicamente a la hora de la práctica. 2. Las y los cae y se ingresarán a la app con su usuario y contraseña con el que ingresan a la app sije. 3. En la primera fase, las y los cae y se deberán explorar los módulos en la app, sin capturar datos. Lo anterior para familiarizarse con la app. 4. En la segunda fase, El personal que va a reportar deberá registrar los datos del frr de al menos una casilla asignada durante el segundo simulacro. 5. Concluida la captura de un ffr, se dará por terminada la prueba. |
Con la realización de las prácticas y pruebas señaladas en este apartado, se busca que las voed establezcan la estrategia y acciones necesarias para mejorar tanto la calidad del dictado, la familiarización del marcado a inetel y la familiarización con el diseño y funcionamiento de la app por parte de las y los cae y se, así como medir la velocidad y precisión de las y los capturistas, además de conocer el esquema de contingencia para el cumplimiento de los objetivos del cr.
4.2.2.2.5. Simulacros
Con la implementación de los simulacros se pretende recrear un contexto similar al que se desarrollará durante la je, lo cual permitirá: a) Evaluar el funcionamiento de todos los sistemas y procedimientos, b) Detectar oportunamente cualquier posible falla, y c) Realizar los ajustes pertinentes que garanticen el óptimo desarrollo de la operación logística del cr, la noche de la je.
| RESPONSABLE: | LA VED EN COORDINACIÓN CON LAS VOEL Y VOED. |
| Dirigido a: | Todo el personal involucrado en el occr. |
| Fechas:(12) | · Primero, 27 de abril de 2023. · Segundo, 7 de mayo de 2023. · Tercero, 21 de mayo de 2023. |
| Horario: | De las 14:00 a 18:00 horas (hora del centro del país). |
| Objetivo general: | Probar los procedimientos del occr, para detectar oportunamente cualquier posible falla y realizar los ajustes necesarios para garantizar su adecuado desarrollo en la noche de la je. |
| Objetivos particulares: | · Implementar y practicar la ejecución de todos los procedimientos de reporte y transmisión de datos. · Probar el funcionamiento, desde campo, de los medios de comunicación asignados a las y los cae y se. · Verificar la correcta captura y transmisión de la información. · Comprobar el adecuado funcionamiento del sicr y de la app.(13) · Verificar el esquema de seguimiento del reporte de casillas al sicr. · Verificar el esquema de contingencia para asegurar el adecuado flujo del reporte de casillas en muestra al sicr. |
| Insumos: | · frr prellenados con datos de votación ficticios, diferentes para cada simulacro. · Relación de casillas seleccionadas por el cotecora, las cuales serán diferentes para cada simulacro. |
| Precisiones: | 1. Deberán participar la totalidad de las y los cae y se, realizando el reporte de resultados de votación de al menos una casilla para garantizar que conozcan los procedimientos a seguir en el occr. 2. Para cada simulacro se enviará la relación de casillas que deberán reportarse. 3. Las claves de autenticación son únicas para cada frr, están vinculadas directamente con cada casilla y serán diferentes para cada simulacro, así como para el día de la je. 4. La voed entregará oportunamente los frr a las y los cae y se. 5. Las y los cae, se y capturistas deberán atender los procedimientos definidos para el reporte y captura de los datos. |
Las voed realizarán la evaluación de la calidad de los datos capturados durante los simulacros con la información de los reportes que proporcione el sicr. Asimismo, con el apoyo del o la resri, se establecerán las estrategias y, en su caso, previsiones para favorecer el cumplimiento del objetivo del occr.
4.2.3. Ejecución del operativo de campo en la Jornada Electoral
El día de la je, durante el transcurso de la mañana, los y las cae entregarán a todas y todas las Presidencias de mdc la carta de aviso para informarles que su casilla podría ser seleccionada para efectos del ejercicio de cr. En ninguna circunstancia deberán divulgar cuáles serán las casillas de la muestra.
El día de la je, para el occr se ejecutarán tres fases primordiales:
4.2.3.1. Recopilación de la información
Para realizar la recopilación de los resultados de la votación para el cr las y los cae o se que tengan asignadas casillas en muestra deberán:
1. Presentarse a las 18:00 horas en la casilla de su are seleccionada en la muestra.
2. En caso de que la o el Presidente de la mdc lo solicite, brindar orientación sobre el desarrollo del escrutinio y cómputo, a efecto de agilizar la obtención de los resultados.(14)
3. Una vez que la Secretaría de la mdc concluya con el llenado del CUADRO DE RESULTADOS DE GUBERNATURA, del cuadernillo(15) (Imagen 1), el o la cae o se procederá a transcribir los datos en el frr (Imagen 2).
Imagen 1
Proceso Electoral Local 2022-2023
Hoja del Cuadernillo para hacer las operaciones de escrutinio y cómputo en Casilla(16)
4. Una vez terminada la transcripción y revisión de los datos, la o el cae o se firmará el frr y reportarán de inmediato en función de la modalidad de reporte ya sea vía voz o vía app.
4.2.3.1.1. Formato para recopilación de los resultados de la votación (FRR)
A continuación, se muestra el frr de la votación y se describen sus secciones.
Imagen 2
Proceso Electoral Local 2022-2023
Formato para recopilación de resultados de la votación(17)
En la imagen 2 se pueden observar seis apartados, los cuales se describen a continuación:
a. Datos de identificación de la casilla. Indica el Distrito Electoral, are asignada, sección, tipo de casilla, clave de autenticación (única para cada frr, vinculada con la casilla e indispensable para realizar el reporte), así como el espacio para que el personal en campo escriba su nombre completo.
b. Campos de votación de la elección. Se incluyen dos columnas, una para anotar los datos transcritos del cuadernillo y otra para realizar alguna corrección en caso necesario. Cada campo de votación se identifica con los logotipos de los partidos políticos que contienden de forma individual o en coalición (o candidatura común), de acuerdo con las posibilidades de marcación que deriven, a las candidaturas independientes o a la referencia específica de votación. Estos campos se encuentran asociados a una letra del abecedario en orden consecutivo, la cual será utilizada para realizar el dictado o el registro de los datos.
c. Instrucciones. Detalla los pasos y el orden que el personal en campo deberá seguir para el llenado del frr.
d. Especificación de la hora. Es el espacio asignado para registrar el momento en el que se concluye con el llenado del frr. Se debe utilizar el formato de 24 horas.
e. Espacio para firma. Espacio para que el personal en campo firme el frr.
f. Código de confirmación. Corresponde al espacio para anotar los nueve dígitos del código de confirmación que sea proporcionado por el o la capturista, para asegurar que la información fue reportada.
4.2.3.1.2. Instrucciones de llenado
1. El frr deberá completarse con bolígrafo azul.
2. Al recibir el o los frr, cada cae o se deberá verificar que los datos de identificación de la casilla coincidan con la(s) mdc asignadas, así como identificar la clave de autenticación con la que se realizará el reporte.
3. Escribirá su nombre completo, es decir, nombre(s), apellido(s) paterno y materno, en el espacio asignado.
4. Deberá leer cuidadosamente el apartado de instrucciones y marcar cada una de ellas conforme las vaya realizando, con la finalidad de validar el cumplimiento del procedimiento y asegurarse que ningún campo quede vacío.
5. En cuanto el o la Secretaria de la mdc concluya con el llenado de la Columna CUADRO DE RESULTADOS DE GUBERNATURA, transcribirá los resultados en la primera columna de su frr, en el mismo orden que se encuentran en el cuadernillo, anotando un dígito por recuadro y escribiendo un cero en los espacios a la izquierda que hayan quedado en blanco, para evitar dejar espacios vacíos.
6. En caso de cometer alguna equivocación, deberá cancelar el dato erróneo con un tache o cruz abarcando los cuatro cuadros y en la columna del lado derecho, en la misma fila, anotará el dato correcto. De esta manera, se evitarán las tachaduras y enmendaduras que pudieran dificultar la lectura y el correcto reporte de cifras.
7. Anotará el horario en el que concluyó la recopilación de resultados, en el espacio correspondiente, utilizando el formato de 24 horas (ejemplo: 18:00, 19:15, 21:02, etc.), para facilitar la identificación de este dato, durante la etapa de análisis, posterior a la je.
8. Al término del llenado del frr y después de verificar que toda la información esté completa y correcta, deberá firmarlo en el espacio indicado.
9. Deberá comunicarse de inmediato a la Sede Distrital, para realizar el reporte de resultados.
4.2.3.2. Reporte inmediato de los resultados de votación
1. En cuanto el frr se encuentre completo y firmado, el o la cae o se reportará de manera inmediata.
2. En su caso, los y las cae o se que hagan uso del sil deberán trasladarse de inmediato al lugar donde tengan señal para transmitir la información.
3. En caso de que el y la cae o se no pueda establecer comunicación vía voz con la Sede Distrital, después de dos intentos, con un tiempo de espera de dos minutos entre cada uno, se realizará un tercer intento a inetel, con espera de dos minutos para que entre la llamada al menú.
4. En caso de que el y la cae o se, no pueda concretar el reporte vía voz a la Sede Distrital o a inetel, lo realizará a través de la app.
5. De no poder concretar el reporte vía app, intentará nuevamente continuar con el ciclo de comunicación (Sede Distrital, inetel o app), tal como se muestra en el Diagrama 1.
Diagrama 1
Proceso Electoral Local 2022-2023
Diagrama de comunicación del occr
4.2.3.2.1. Reporte vía voz.
6. Cuando el o la cae o se establezca comunicación, vía telefónica, a la Sede Distrital con la o el capturista, deberá reportar los datos recabados conforme al siguiente procedimiento:
a. Datos de identificación. Dictará, por cifras de dos dígitos, los datos de identificación de la casilla y la clave de autenticación del frr(18) (conformada por cuatro dígitos), con lo cual se acreditará la personalidad de quien reporta la información, así como la casilla a la que corresponde la información. Dicha clave es la llave de acceso al sicr para el ingreso de los datos de votación.
b. Resultados de votación. A la indicación del o la capturista, el o la cae o se dictará los resultados de la votación que obtuvo cada partido político, coalición, candidaturas independientes (en su caso), candidato(a) no registrado(a) y los votos nulos, para que el o la capturista los ingrese en el sicr. Las cifras de los resultados de las votaciones de cada casilla serán proporcionadas en dos ocasiones, conforme al protocolo de dictado definido, primero dígito por dígito (omitiendo ceros a la izquierda) y posteriormente a cifras completas.
c. Confirmación de datos. De coincidir la doble captura de datos, el sicr guardará la información y mostrará un código de confirmación que deberá ser dictado por el o la capturista, para asegurar que cumplió con el reporte de la información, el o la cae deberá registrar el código de confirmación en su frr. En caso contrario, el o la capturista solicitará nuevamente los datos, conforme al protocolo de dictado definido, hasta que estos coincidan.
d. Conclusión de llamada. La llamada de reporte concluirá cuando el o la capturista lo indique.
Si el o la cae tuviera asignada otra casilla para reportar y ésta se encuentra próxima a la recién reportada, deberá trasladarse de inmediato a la casilla para realizar el mismo procedimiento a partir del punto 5.
4.2.3.3. Captura en el sicr y transmisión al cotecora
A continuación, se detalla el procedimiento para realizar la captura de la información trasmitida vía voz.
7. El o la capturista solicitará los datos de votación en dos ocasiones, primero dígito por dígito y después a cifras completas, en ambos casos registrará la información directamente en el sicr.
8. Guardará la información en el sicr y de ser consistente en ambas capturas, el sistema generará un código de confirmación, único para cada casilla de la muestra.
En caso de que hubiera discrepancias entre los registros, el o la capturista solicitará nuevamente al o a la cae o se el dictado de los datos que no coincidieron, hasta que éstos sean consistentes y el sicr genere el código de confirmación.
9. El o la capturista dictará, por cifras de dos dígitos, el código de confirmación al personal en campo e indicará el término de la llamada.
10. El o la cae o se registrará en su frr el código de confirmación como evidencia del cumplimiento del reporte de resultados de votación al cr de la casilla en muestra y resguardará el frr para su posterior entrega a la voed.
11. Los datos capturados en el sicr se transmitirán de forma automática a través de remesas de información a la sede del cotecora, para ser procesada y realizar las estimaciones estadísticas correspondientes.
4.2.3.3.1. Reporte vía app
12. El o la cae deberá verificar en la app la(s) casilla(s) a reportar al cr.
13. El o la cae realizará la doble captura de la votación por medio de la app atendiendo a las indicaciones descritas en el Manual del usuario, que se les hará del conocimiento posteriormente.
14. El o la cae verificará la información de la votación de la casilla registrada en la app y confirmará su correcta captura.
15. Una vez confirmada la información de la votación por parte del o la cae o se, la app mostrará el estatus del registro y envío.
16. La información de la votación de la casilla capturada mediante la app se trasmitirá de manera automática a la base de datos al tener conectividad con un servicio de red, para asegurarse del envío de la información en el estatus de "Enviada" se debe mostrar la fecha y hora en que se envió la información, adicionalmente se podrá visualizar el código de confirmación correspondiente.
17. Se generarán cortes de información para ser procesada y realizar las estimaciones estadísticas correspondientes por parte del cotecora.
18. Si después de cinco minutos el o la cae no recibe o puede comprobar la confirmación por parte de la app sobre el envío de la información, deberá buscar la forma de realizar el reporte vía voz a la brevedad.
4.2.4. Esquema de contingencia
Como medida preventiva ante escenarios que pudieran ocurrir de forma imprevista y obstaculizar el reporte de los resultados de la votación a la Sede Distrital, por ejemplo:
· Fallas en el funcionamiento de las líneas telefónicas o suspensión del servicio.
· Fallas en el sicr o en la comunicación de la Redine.
· Suspensión del suministro de energía eléctrica.
Toma de instalaciones o situaciones de violencia que pongan en riesgo las actividades al interior de la jde.
Se implementará el esquema de contingencia para que la jle de la Entidad Federativa e inetel funjan como primera y segunda instancias de apoyo, respectivamente, y así garantizar la continuidad de los reportes. En caso de que no se pueda concretar el reporte a estas dos instancias, se empleará como medio alternativo la app.
Para accionar el plan de contingencia, se deberá seguir el siguiente procedimiento:
1. La voed realizará el reporte de la situación, vía telefónica o por correo electrónico, a la voel, cau y a la dps, a través del enlace asignado a su entidad.
2. El personal de la dps permanecerá en comunicación con la voed para el seguimiento y, en su caso, activación del esquema de contingencia.
3. La voed, con apoyo del o la resri, notificará a las y los cae o se que realicen el reporte de resultados a la jle o a inetel, según se haya determinado.
4. En caso de que, las y los cae o se no puedan establecer comunicación con la jle después de dos intentos, deberán marcar a inetel. En caso de que no se pueda concretar el reporte a estas dos instancias, se empleará la app atendiendo lo indicado en el Diagrama 2.
Diagrama 2
Proceso Electoral Local 2022-2023
Diagrama del esquema de contingencia del occr
5. Si el problema se soluciona, antes de que concluya el reporte de las casillas de la muestra, se retomarán las llamadas a la Sede Distrital. La voed coordinará que se avise al personal en campo pendiente de realizar su reporte, así como a la dps.
6. La voed revisará continuamente el reporte de avance del sicr, a efecto de dar seguimiento e implementar acciones que apoyen al personal de campo pendiente de realizar el reporte, para asegurar el adecuado flujo de la información.
4.2.5. Esquema de seguimiento
Los mecanismos previstos para asegurar el oportuno reporte de información al cr se plantean en el esquema de seguimiento, a nivel distrital y central, que se define a continuación.
4.2.5.1. Nivel distrital
· El sicr integrará un reporte con las casillas pertenecientes a la muestra que no hayan sido reportadas.
· A partir de las 20:00 horas (hora del centro del país), la voed, con apoyo del o la resri, tendrá la obligación de identificar las casillas en muestra que se encuentren pendientes de reporte.
· La voed se comunicará con las o los se a cargo del are a la que pertenezcan,(19) a fin de contactar con las y los cae y conocer el avance en el escrutinio y cómputo o, bien, si hubiera algún contratiempo que obstaculice el reporte de resultados. De ser necesario, implementará las acciones pertinentes para garantizar el flujo de la información.
4.2.5.2. Nivel central
En el ámbito central se consideran como mecanismos de seguimiento los que se enuncian a continuación:
· La semana anterior a la je, se integrará un directorio, con los datos de contacto de personal de la dps, las voel o, en su defecto, quien ellos designen para el seguimiento.
· La dps dará puntual seguimiento al reporte del sicr relacionado con las casillas de la muestra reportadas y de las que no se tenga reporte al cotecora.
· Cuando se detecte algún retraso en el reporte de casillas al cotecora, el personal de la dps se comunicará, en primera instancia, con la voel, a través de la telefonía IP, el grupo de chat o llamadas telefónicas, a efecto de conocer la problemática que acontece.
· En casos excepcionales, cuando no se logre establecer comunicación con la voel, el personal de la dps podrá comunicarse directamente con las voed.
· La persona titular de la dps compartirá la información de las problemáticas con la persona titular de la deoe.
· La dps elaborará el informe integral del occr.
4.2.6. Actividades posteriores a la Jornada Electoral
Será responsabilidad de las voed, con apoyo de las y los se, recabar todos los frr de las y los cae que participaron en el ejercicio del cr y verificar que estén debidamente llenado, firmado y que incluya el código de confirmación correspondiente.
La voed deberá elaborar una relación de los frr, resguardarlos y entregarlos a la dps o digitalizarlos, en cuanto le sean requeridos, para realizar el análisis y el informe integral sobre la operación logística de los cr.
En el caso de las y los cae que debieron realizar el reporte de resultados de alguna(s) casillas de la muestra al cr y que no lo cumplieron o lo hicieron después del horario indicado, deberán responder, entre el 5 y el 6 de junio de 2023, el instrumento que les será remitido por la dps, para conocer las causas que afectaron el reporte de información.
| 5. Anexos. Diseño Muestral y Métodos de Estimación |
| |
5.1. Estratificación y tamaño de muestra
5.1.1. Mtra. María Teresa Ortiz Mancera, Dr. Luis Felipe González Pérez y Dra. Michelle Anzarut Chacalo
5.1.1.1. Método
El objetivo del cr es estimar la proporción de votos en favor de cada candidatura. Para cumplir esto, se selecciona una muestra aleatoria de casillas del total y, con la muestra, se calculan intervalos del 95% de confianza para dicha proporción. A continuación explicamos nuestra propuesta para colectar la muestra para Coahuila y Estado de México.
El diseño muestral será estratificado en donde, al interior de cada estrato, se seleccionarán casillas mediante un muestreo aleatorio simple sin reemplazo; la asignación de muestra será proporcional al tamaño de cada estrato.
Para definir los estratos a evaluar:
1. Se proponen distintas estratificaciones utilizando: distrito local, distrito federal y tipo de sección.
2. Para cada estado, para cada una de las estratificaciones y para distintos tamaños de muestra, se simulan 100 muestras utilizando como marco los resultados de las elecciones estatales de 2017.
3. Con estas muestras se estiman los intervalos de 95% de confianza para la proporción de votos en favor de cada candidatura.
4. Se evalúan precisiones y carga para las y los cae con el fin de elegir la estratificación más conveniente.
Los puntos importantes por definir entonces son las estratificaciones y tamaños de muestra que se evaluarán, el método de estimación para las proporciones de votos y, finalmente, con qué criterios decidiremos la estratificación óptima.
5.1.1.2. Estratificaciones evaluadas
Probamos tres estratificaciones para cada estado:
· Distrito federal.
· Distrito local.
· El cruce de distrito local con tipo de sección (urbana o no urbana)
5.1.1.3. Tamaños de muestra evaluados
El tamaño de muestra a elegir está directamente relacionado con el nivel de confianza que queremos obtener, el tamaño de intervalo deseado y el tamaño de la población total. Buscamos el tamaño mínimo de muestra que nos permita obtener intervalos (de longitudes razonables) de 95% de confianza.
En cuanto a las poblaciones totales, el Estado de México se evaluó con 18,309 casillas y Coahuila con 3,391. Analizaremos muestras de 350, 450, 550, 650 y 750 casillas.
5.1.1.4. Método de estimación
Sea la
proporción de votos a favor del candidato
, para estimar
utilizaremos el estimador de razón combinado
, definido como: donde, para cada estrato
,
es el tamaño de la muestra,
es el número total de casillas,
es el número total de estratos,
es el número total de candidatos (incluyendo nulos y no registrados) y
es el total de votos a favor del candidato
en la casilla
. El error estándar de este estimador se calcula utilizando bootrsap no paramétrico (ver, por ejemplo, [2]).
5.1.1.5. Criterios de decisión
Buscamos que la longitud de los intervalos sea razonable, por lo que como medida de decisión consideraremos la mitad del intervalo más grande sobre todos los candidatos, esto se conoce como precisión máxima.
Entre más fina es una estratificación, mejor es la precisión. Sucede lo mismo con el tamaño de muestra, entre mayor es la muestra mejor es la precisión. Sin embargo, utilizar estratificaciones demasiado finas causa que haya estratos con pocas casillas, que pueden no ser bien representados a la hora de muestrear. Por otro lado, el considerar muestras demasiado grandes implica un mayor porcentaje de cae con más de una casilla a reportar, esto complica el trabajo de los cae y puede resultar en que no reporten alguna de las casillas. Por esta razón, el diseño muestral evalúa en conjunto estos dos criterios, con el objetivo de encontrar un balance que optimice la precisión si poner en riesgo la obtención de la muestra.
5.1.1.6. Resultados
A continuación, tenemos una gráfica que muestra desde el cuantil 0.05 hasta el cuantil 0.95 de las precisiones máximas para cada estado, para distintos tamaños de muestreo y para cada estratificación evaluada. El punto marca la precisión máxima promedio.
La ganancia (en términos de precisiones) de elegir la estratificación de distritos locales cruzado con tipo de sección es poca, e implica tener una estratificación mucho más fina, lo cual conlleva otras desventajas, por lo que se sugiere elegir la estratificación de distritos locales para ambos estados.
El segundo criterio a evaluar es la presión sobre los cae. En la siguiente gráfica mostramos en promedio cuál es el porcentaje de cae con una casilla para la estratificación por distritos locales y los distintos tamaños de muestra.
Buscando que el porcentaje de cae con una casilla sea mayor al 70%, sugerimos para Coahuila una muestra no mayor a 450 casillas.
5.1.1.7. Elecciones 2011
Como medida de precaución adicional, repetimos la gráfica de las precisiones máximas utilizando los cómputos de la elección de 2011.
Notamos que las conclusiones que se obtienen son muy similares utilizando los cómputos de 2017 o los cómputos de 2011, por lo que mantenemos la siguiente propuesta.
5.1.1.8. Propuesta
Sugerimos para el estado de Coahuila una muestra de alrededor de 450 casillas, con tal muestra se obtiene una precisión máxima promedio de aproximadamente un punto, el 71% de las y los cae tienen una casilla asignada y el 24% de las y los cae tienen dos casillas asignadas.
Para el estado de México, recomendamos una muestra de alrededor de 700 casillas, con la cual se obtiene una precisión máxima promedio cercana a 0.6 puntos. En este caso, el 91% de las y los cae tienen una casilla asignada y el 8% de las y los cae tienen dos casillas asignadas.
5.1.1.9. Referencias
[1] https://www.inegi.org.mx/programas/ccpv/2020/?ps=microdatos
[2] https://tereom.github.io/est_computacional/05-Bootsrap.html
5.1.2. Dr. Carlos Erwin Rodríguez Hernández-Vela y Lic. José Alberto Florencio Chávez
Se realiza un análisis para determinar tamaños de muestra adecuados para los cr de los pel 2023. Con este fin se utilizan los computos distritales de 2011 y 2017 para las elecciones de Gubernatura en Coahuila y Estado de México.
5.1.2.1. Elecciones Coahuila 2011
En este caso los márgenes de error se obtienen para estimar al candidato que mostró mayor varianza en su votación. Las varianzas de los votos por casilla para los candidatos fueron las siguientes:
| VARIANZA DE LOS CANDIDATOS |
| GAL | RMV | GEFS | JGS | OTROS |
| 3168.74 | 4465 | 25.81 | 30 | 115.98 |
Varianza de los candidatos, elección de Gubernatura del estado de Coahuila 2011
El candidato con mayor varianza fue RMV. Los márgenes de error se calcularon para seis estratificaciones: un estrato (equivalente a MASSR), tipo de sección (colapsando las secciones rural y mixta en no urbana), distristos federales, distritos locales, intersección entre tipo de sección y distritos federal y finalmente intersección entre tipo de sección y distritos locales. Los tamaños de muestra para los cuales se obtuvo el margen de error van desde 200 a 1,600 casillas. El tamaño de muestra total se repartió de manera proporcional entre los estratos de acuerdo a la siguiente fórmula
En donde n es el tamaño de muestra global,
es el número de casillas instaladas en el estrato h y N es el número total de casillas en el estado. La fórmula para obtener el márgen de error con un 95% de confianza es: con
En donde T es el total de votos,
es la varianza muestral sobre las variables con yhi los votos en favor del candidato en cuestión en la casilla i-ésima del estrato h, p la proporción de votos real obtenida por el candidato y thi el total de votos en la casilla i-ésima del estrato h.
Margen de error en función del tamaño de la muestra para distintas estratificaciones, considerando los
cómputos distritales para la elección de Gubernatura en el estado de Coahuila 2011
Claramente las estratificaciones más finas obtienen menor margen de error con menor tamaño de muestra. En particular, el cruce entre distrito local y tipo de sección pareciera ser la mejor alternativa. Sin embargo, ya que es una estratificación que tiene muchos estratos (28), es importante determinar el número mínimo de casillas instaladas en cada estrato, el promedio de casillas instladas y el máximo de casillas instaladas. En la siguiente tabla se muestra esta información.
| DIMENSIONES DE LAS ESTRATIFICACIONES |
| ESTRATIFICACIÓN | L | NH_MIN | NHMEAN | NH_MAX |
| UNICO | 1 | 3189 | 3189.00 | 3189 |
| TS | 2 | 666 | 1594.00 | 2523 |
| DIST_FED | 7 | 330 | 455.57 | 559 |
| DIST_LOC | 16 | 41 | 199.31 | 351 |
| DIST_FED_TS | 13 | 35 | 245.31 | 559 |
| DIST_LOC_TS | 28 | 2 | 113.89 | 351 |
Mínimo número de casillas instaladas, promedio y máximo para diversas estratificaciones. Cómputos
distritales de la elección para Gubernatura del estado de Coahuila 2011
En este caso se observa que la estratificación con el cruce entre distrito local y tipo de sección tiene sólo dos casillas instalads en un estrato. En este caso se tendrían que colapsar estratos para solucionar este problema. En la gráfica para los márgenes de error también se aprecia que no existe mucha diferencia entre la estratificación de distrito local. Además, el distrito local es una estratificación natural para elecciones locales.
Considerando la estratificación por distrito local, se tiene un margen de error de entre 1.2 a 0.9 para tamaños de muestra de 450 a 550 casillas.
5.1.2.2. Elecciones Coahuila 2017
El ejercicio se repite ahora con los cómputos distritales para la elección de Gubernatura de Coahuila en 2017. Las varianzas de los votos por casilla para los candidatos fueron las siguientes:
| VARIANZA DE LOS CANDIDATOS |
| MARS | JGAL | SAGT | MTGV | JAPH | CI1 | CI2 | OTROS |
| 2288.03 | 3175.65 | 484.98 | 48.95 | 22.71 | 670.97 | 14.47 | 45.89 |
Varianza de los candidatos, elección de Gubernatura del estado de Coahuila 2017
Por lo que el candidato con mayor varianza es JGAL. Se obtienen los siguientes resultados respecto al margen de error y el tamaño de muestras para el candidato JGAL.
Margen de error en función del tamaño de la muestra para distintas estratificaciones, considerando los
cómputos distritales para la eleción de Gubernatura en el estado de Coahuila 2017
Las estadísticas básicas para el número de casillas instaladas considerando las 6 estratificaciones analizadas se muestra en la siguiente tabla.
| DIMENSIONES DE LAS ESTRATIFICACIONES |
| ESTRATIFICACIÓN | L | NH_MIN | NHMEAN | NH_MAX |
| UNICO | 1 | 3391 | 3391.00 | 3391 |
| TS | 2 | 717 | 1695.50 | 2674 |
| DIST_FED | 7 | 356 | 484.43 | 533 |
| DIST_LOC | 16 | 52 | 211.94 | 316 |
| DIST_FED_TS | 13 | 37 | 260.85 | 529 |
| DIST_LOC_TS | 28 | 2 | 121.11 | 316 |
Mínimo número de casillas intaladas, promedio y máximo para diversas estratificaciones. Cómputos
distritales de la elección para Gubernatura del estado de Coahuila 2017
Considerando nuevamente la estratificación por distrito local, se tiene un márgen de error de entre 0.85 a 0.7 para tamaños de muestra de 450 a 550 casillas.
5.1.2.3. Elecciones Estado de México 2011
De acuerdo con los computos distritales para la elección de Gubernatura en el Estado de México en 2011, las varianzas de los votos por casilla para los candidatos fueron las siguientes:
| VARIANZA DE LOS CANDIDATOS |
| LFBM | EAV | AER | OTROS |
| 577.3 | 3060.3 | 698.38 | 78.7 |
Varianza de los candidatos, elección de Gubernatura del Estado de México 2011
Así, el candidato con mayor varianza es EAV. Mediante distintas estratificaciones y el estimador combinado estándar se obtienen los siguientes resultados respecto al margen de error y el tamaño de muestras para el candidato EAV. Los resultados se muestran en la siguiente gráfica.
Margen de error en función del tamaño de la muestra para distintas estratificaciones, elección del Estado de
México 2011.
En este caso no existe diferencia entre las estratificaciones distrito federal, distrito local y sus cuces con tipo de sección. Por lo que se considerará nuevamente la estratificación por distrito local. Se obtendrían márgenes de error de entre 0.7 y 0.68 con tamaños de muestra de 600 y 700 casillas respectivamente.
5.1.2.4. Elecciones Estado de México 2017
Por último, se analizan los cómputos distritales para la elección de Gubernatura del Estado de México de 2017. Las varianzas de los votos por casilla para los candidatos fueron las siguientes:
| VARIANZA DE LOS CANDIDATOS |
| AMM | DGA | JMZH | JEVM | CI | OGY | OTROS |
| 2364.71 | 1540.96 | 1551.91 | 783.62 | 20.12 | 17.22 | 46.93 |
Varianza de los candidatos, elección de Gubernatura del Estado de México 2017
Determinando que el candidato con mayor varianza es AMM. Así, mediante distintas estratificaciones y el estimador combinado estándar se obtienen los siguientes resultados respecto al margen de error y el tamaño de muestra para el candidato AMM:
Comportamiento del margen de error en función del tamaño de la muestra para distintas estratificaciones,
elección del Estado de México 2017
Nuevamente no existe gran diferencia entre las estratificaciones distrito federal, distrito local y sus cuces con tipo de sección. Por lo que se considerará la estratificación por distrito local. En este caso se obtendrían márgenes de error de entre 0.66 y 0.63 con tamaños de muestra de 600 y 700 casillas respectivamente.
5.1.2.5. Recomendaciones
Con base en los análisis presentados se recomienda un tamaño de muestra de:
· Entre 450 y 550 casillas para el cr para estimar las tendencias electorales en el estado de Coahuila. Si las varianzas de la votación son similares a las observadas en las elecciones de 2011 y 2017 en el mismo estado, se deberían obtener estimaciones con un margen de error entre 0.68 y 0.85 por ciento con un 95% de confianza.
· Entre 600 y 700 casillas para el cr para estimar las tendencias electorales en el Estado de México. Si las varianzas de la votación son similares a las observadas en las elecciones de 2011 y 2017 en el mismo estado, se deberían obtener estimaciones con un márgen de error entre 0.63 y 0.7 por ciento con un 95% de confianza.
5.1.3. Mtra. Patricia Isabel Romero Mares y Lic. Enrique Reyes Romero
5.1.3.1. Coahuila
Con la información de la elección de Gubernatura de 2017 contenida en la base de datos de la votación, por cada partido político y coalición, así como características de las casillas electorales tales como distrito federal, distrito local, tipo de sección, entre otras, se analizaron varios diseños de muestra para tener una buena precisión y un tamaño de muestra suficiente para no cargar el trabajo de los cae en la je.
Se tiene información de N=3,625 casillas agrupadas en 7 distritos federales y 16 distritos locales.
En las elecciones de 2017 hubo coaliciones y dos candidatos independientes, lo que produce 6 candidatos (C1,...,C6) cuyos votos se calcularon sumando los votos de los partidos y coaliciones que representaron. El C6 corresponde a la suma de votos a candidatos independientes y otros.
Se calcularon tablas conteniendo tamaños de muestra para niveles de precisión determinados, así como tablas de precisión para tamaños de muestra fijos, en todos los casos la forma de selección de las casillas es muestreo aleatorio simple y 95% de confianza. El estimador utilizado es el de razón combinado y estimando su varianza por métodos asintóticos.
Se analizaron tres diseños muestrales:
· Muestreo aleatorio simple de casillas (m.a.s. sin estratificar)
· Diseño estratificado aleatorio por distrito federal (DF, 7 estratos)
· Diseño estratificado aleatorio por distrito local (DL, 16 estratos)
El candidato con mayor varianza fue el C2, el cual se tomó como referencia para definir el diseño muestral, de esta manera el tamaño de muestra calculado cubre las precisiones de los otros candidatos.
| Precisión | m.a.s. | DF | DL |
| 0.5 | 1434 | 1307 | 1261 |
| 0.6 | 1133 | 1020 | 980 |
| 0.7 | 908 | 810 | 775 |
| 0.8 | 738 | 654 | 625 |
| 0.9 | 609 | 537 | 512 |
| 1.0 | 510 | 448 | 426 |
| 1.1 | 432 | 378 | 360 |
| 1.2 | 370 | 323 | 307 |
| 1.3 | 320 | 279 | 265 |
| 1.4 | 279 | 243 | 231 |
| 1.5 | 246 | 214 | 203 |
Tamaño de muestra necesario para alcanzar la precisión especificada. Resultados con tres diseños de
muestra para el C2.
Gráficamente:
Se observa que el tamaño de muestra menor, para una misma precisión, corresponde a la estratificación por Distrito Local.
Se determinó, entonces, un diseño estratificado por distrito local con 16 estratos, muestreo aleatorio simple en cada estrato, tamaño de muestra de n=450 casillas que corresponde a una precisión teórica para el C2 de 0.97%, la distribución de la muestra a los estratos es de manera proporcional al número de casillas en cada estrato.
Además, por simulación, se seleccionaron 1,000 muestras con n=450 que resulta en tamaños de muestra en los estratos entre 22 y 31 casillas. Con estas muestras se calcularon las coberturas de los intervalos del 95% de confianza para los 6 candidatos, la precisión promedio, así como la carga de casillas en muestra para los cae involucrados en el cr, los resultados son:
| COBERTURA (%) DE LOS INTERVALOS DEL 95% DE CONFIANZA |
| C1 | C2 | C3 | C4 | C5 | C6 |
| 94.1 | 94.6 | 93.4 | 94.8 | 95.3 | 94.8 |
| PRECISIÓN (%) |
| C1 | C2 | C3 | C4 | C5 | C6 |
| 0.89 | 0.97 | 0.15 | 0.10 | 0.40 | 0.49 |
| | NÚMERO DE CASILLAS EN MUESTRA |
| | 1 | 2 | 3 | 4 | 5 |
| % CAE | 72.9 | 22.9 | 3.8 | 0.4 | 0.01 |
Por lo tanto, bajo este estudio de simulación podemos garantizar que tenemos buenas coberturas para todos los candidatos (por arriba del 94%), además la precisión está por debajo de un punto porcentual en todos los casos y observamos que en promedio tras seleccionar cada muestra se les asignaba a lo más 2 casillas al 95.8% de los cae.
5.1.3.2. Estado de México
Con la información de la elección de Gubernatura de 2017, contenida en la base de datos de la votación por cada partido político y coalición, así como características de las casillas electorales tales como distrito federal, distrito local, tipo de sección, entre otras, se analizaron varios diseños de muestra para tener una buena precisión y un tamaño de muestra suficiente para no cargar el trabajo de los cae en la je.
Se tiene información de N=18,605 casillas agrupadas en 40 distritos federales y 45 distritos locales.
En las elecciones de 2017 hubo coaliciones y dos candidatos independientes, lo que produjo 6 candidatos (C1,...,C6) cuyos votos se calcularon sumando los votos de los partidos y coaliciones que representaron.
Se calcularon tablas conteniendo tamaños de muestra para niveles de precisión determinados, así como tablas de precisión para tamaños de muestra fijos, en todos los casos la forma de selección de las casillas es muestreo aleatorio simple y 95% de confianza. El estimador utilizado es el de razón combinado y estimando su varianza por métodos asintóticos.
Se analizaron tres diseños muestrales:
· Muestreo aleatorio simple de casillas (m.a.s. sin estratificar)
· Diseño estratificado aleatorio por distrito federal (DF, 40 estratos)
· Diseño estratificado aleatorio por distrito local (DL, 45 estratos)
El candidato con mayor varianza fue el C2, el cual se tomó como referencia para definir el diseño muestral, de esta manera el tamaño de muestra calculado cubre las precisiones de los otros candidatos.
| PRECISIÓN | M.A.S. | DF | DL |
| 0.5 | 1981 | 1129 | 1063 |
| 0.6 | 1422 | 799 | 751 |
| 0.7 | 1066 | 594 | 558 |
| 0.8 | 827 | 458 | 430 |
| 0.9 | 660 | 364 | 342 |
| 1.0 | 538 | 296 | 278 |
| 1.1 | 447 | 245 | 230 |
| 1.2 | 377 | 206 | 194 |
| 1.3 | 322 | 176 | 165 |
| 1.4 | 278 | 152 | 143 |
| 1.5 | 243 | 133 | 124 |
Tamaño de muestra necesario para alcanzar la precisión especificada. Resultados con tres diseños de
muestra para el C2.
Gráficamente:
Se observa que el tamaño de muestra menor, para una misma precisión, corresponde a la estratificación por Distrito Local.
Se determinó, entonces, un diseño estratificado por distrito local con 45 estratos, muestreo aleatorio simple en cada estrato, tamaño de muestra de n=700 casillas que corresponde a una precisión teórica para el C2 de 0.62%, la distribución de la muestra a los estratos es de manera proporcional al número de casillas en cada estrato.
Además, por simulación, se seleccionaron 1,000 muestras con n=700 que resulta en tamaños de muestra en los estratos entre 13 y 20 casillas. Con estas muestras se calcularon las coberturas de los intervalos del 95% de confianza para los 6 candidatos, la precisión promedio, así como la carga de casillas en muestra para los cae involucrados en el cr, los resultados son:
| COBERTURA (%) DE LOS INTERVALOS DEL 95% DE CONFIANZA |
| C1 | C2 | C3 | C4 | C5 | C6 |
| 93.3 | 96.5 | 95 | 94.4 | 94.6 | 96.1 |
| PRECISIÓN (%) |
| C1 | C2 | C3 | C4 | C5 | C6 |
| 0.40 | 0.62 | 0.47 | 0.07 | 0.55 | 0.08 |
| | NÚMERO DE CASILLAS EN MUESTRA |
| | 1 | 2 | 3 | 4 |
| % CAE | 91.67 | 7.95 | 0.38 | 0.01 |
Por lo tanto, bajo este estudio de simulación podemos garantizar que tenemos buenas coberturas para todos los candidatos (por arriba del 93%), además la precisión está por debajo del 0.65% en todos los casos y observamos que en promedio tras seleccionar cada muestra se les asignaba a lo más 2 casillas al 99.62% de las y los cae.
5.2. Procedimiento de estimación
5.2.1. Mtra. María Teresa Ortiz Mancera, Dr. Luis Felipe González Pérez y Dra. Michelle Anzarut Chacalo
5.2.1.1. Resumen
El cr consiste en producir estimaciones de las proporciones efectivas de votos en la elección de Gubernatura, usando los votos registrados en una muestra. Su principal desafío es que la estimación se realiza con muestras incompletas, donde el faltante no es aleatorio. El método de estimación que utilizaremos es una regresión binomial negativa con una estructura jerárquica, que permite que algunos coeficientes varíen por estrato. Además, realizaremos un procedimiento de ajuste por sesgo cuando se estima con muestras incompletas. El modelo arroja intervalos de probabilidad con una cobertura de aproximadamente el 95%, incluso con ciertos patrones de muestras sesgadas observados en elecciones anteriores.
5.2.1.2. Antecedentes
La idea del modelo que utilizaremos provino del conocido modelo de regresión multinivel y posestratificación (ver, por ejemplo, [1]). En el modelo de regresión multinivel y posestratificación, (1) dividen a la población en celdas basándose en combinaciones de diferentes atributos, (2) usan la muestra para obtener simulaciones posteriores de los parámetros, y (3) estiman la variable de respuesta dentro de cada celda, ponderando las estimaciones para estimar a nivel de población.
Nosotros realizaremos los pasos (1) y (2); sin embargo, en el paso (3), utilizaremos un enfoque basado en modelos (ver [2]), simulando la distribución posterior del número total de votos para cada candidato y para cada una de las casillas del país. Por lo tanto, usaremos el modelo para predecir los valores no muestreados de la población. Notemos que esto da una estimación inmediata a nivel de población.
Para realizar el paso (1), ajustamos una regresión multinivel para cada casilla en función de ciertas covariables. Es decir, para cada candidato, modelamos el número de votos en la casilla
,
, con una distribución de probabilidad
, donde, para una parte de los parámetros, digamos
, ajustamos una regresión multinivel. Lo atractivo de esta estructura de modelos multinivel es que, en ausencia de respuesta, atrae los parámetros de un grupo hacia la media del grupo. Como resultado, tenemos un tratamiento uniforme de los datos faltantes en las muestras y mejores propiedades de cobertura de intervalos cuando los datos de la muestra están sesgados.
Este tipo de modelo multinivel se utilizó en otras elecciones con diferentes distribuciones
(ver [3]). En esta ocasión,
es una distribución binomial negativa. La distribución binomial negativa se ajusta bien a los datos, además, su robustez se traduce en robustez en el modelo, que puede adaptarse bien a candidatos con muchos o pocos votos, y proporciona una capa adicional de protección cuando hay errores en la base de datos. 5.2.1.3. Modelo
A continuación, definimos el modelo que utilizaremos, que se obtuvo después de varias iteraciones del flujo de trabajo bayesiano en [4].
Denotamos con a la distribución binomial negativa con una parametrización directamente usando un parámetro de media,
, y un parámetro
. Para
,
Nuestro objetivo es predecir la proporción de votos a favor de cada candidato, la proporción de votos nulos y la participación, que es la proporción de personas en la lista nominal que votaron. La participación se deduce de forma directa de las estimaciones de votos a favor de cada candidato y votos nulos.
Utilizaremos la siguiente notación:
: número total de candidatos (por simplicidad de notación consideraremos a los votos nulos como un candidato extra).
: número total de casillas
: número de covariables a considerar
: número de estratos
: estrato al que corresponde la casilla i.
: número de votos obtenidos para el candidato en la casilla
: matriz de tamaño
de covariables centradas y estandarizadas, es decir,
son las covariables correspondientes a la casilla
centradas y estandarizadas.
: Matriz aumentada, que concatena un vector de unos con la matriz de covariables.
: vector de coeficientes correspondiente al estrato 
: vector de coeficientes correspondiente al estrato
y el candidato 
Modelamos el número de votos obtenidos para el candidato
y para la casilla
como Aquí
representa la proporción de personas que votaron por
del total de votos en la casilla
,
representa la proporción de personas en la lista nominal que votaron en la casilla
y
controla la sobredispersión con relación a la media
. A continuación ajustamos una regresión para el parámetro
. La regresión es jerárquica, pues tanto la ordenada al origen como las pendientes varían por estrato. el vector
está dado por donde
Asignamos a
una distribución normal multivariada con vector de medias
y matriz de covarianzas
. Modelamos los vectores de medias
con una distribución normal estándar, Análogamente, asignamos a
una distribución normal multivariada con vector de medias
y matriz de covarianzas
y suponemos el vector de medias
normal estándar. Para definir las distribuciones iniciales de
la descomponemos en un vector escalar y una matriz, de tal forma que
es diagonal con entradas positivas
y
es la matriz de correlaciones (ver, por ejemplo, [5]). Tomamos entonces, Definimos las distribuciones iniciales para
con una descomposición análoga. Los detalles pueden consultarse en [6] en donde, adicionalmente, se prueba la consistencia de la elección de todas las distribuciones iniciales. 5.2.1.4. Estimación
La idea general de la estimación es la siguiente. Primero, para cada casilla que no está en la muestra, simulamos votos según el modelo. Después, agregamos los valores de las casillas observadas con los valores simulados, obteniendo votos para el total de las casillas. Con los votos es directo calcular las proporciones de votos y la participación ciudadana. Finalmente, los intervalos de probabilidad que presentaremos como resultado son una evaluación simple de estas distribuciones, es decir, cada intervalo es una región de 95% de probabilidad.
La estimación se hace con el software Stan, llamado desde R utilizando el paquete CmdStanR [7]. El código en Stan es legible, lo que hace que el trabajo sea más transparente. Stan también permite una serie de diagnósticos, lo que ayudó a obtener una inferencia confiable más rápida. La implementación se puede consultar y reproducir en su totalidad en el paquete de R quickcountmx [8].
Para asegurarnos de poder cubrir una variedad de posibles resultados, hicimos una calibración bayesiana con los datos de las elecciones estatales del 2017. La calibración bayesiana consiste en comprobar que el modelo arroja inferencias bien calibradas en sentido frecuentista; en concreto, pretende comprobar que el modelo proporciona intervalos de credibilidad posterior con una cobertura aproximada del 95% en muestreo repetido. La calibración demuestra que, cuando tenemos una proporción considerable de casillas faltantes, el modelo no basta para corregir los sesgos de las muestras censuradas.
5.2.1.5. El problema del sesgo
El sistema de información inicia a las 6 p.m. y, cada 5 minutos, recibe nueva información de la muestra. Así, el sistema produce una secuencia de muestras parciales acumulativas, analizadas con los métodos de estimación para seguir la tendencia de los resultados. Los resultados del cr se hacen públicos utilizando una de estas muestras parciales, ya que un porcentaje importante de la muestra tarda demasiado en llegar.
El faltante en las muestras parciales no es al azar, ejemplos de variables que inciden en la hora de llegada de una casilla a la muestra son: si la casilla está en una zona urbana o rural, el clima o el tamaño de la lista nominal. Aún más importante, puede haber correlaciones positivas entre el número de votos por cierto candidato y la hora de llegada de la casilla a la muestra. Un caso en el que esto ocurre es cuando hay muchas formas distintas para votar por un candidato debido a las coaliciones. Esto causa que sus votos sean más difíciles de contar y casillas con muchos votos por este candidato tarden más en reportarse el día de la je.
Realizamos un análisis exhaustivo de sesgo en elecciones anteriores y nos enfrentamos al desafío de
mitigar este sesgo en todas las etapas de nuestro flujo de trabajo. Para llevar a cabo este análisis, necesitábamos un procedimiento para generar muestras parciales que se asemeje al verdadero proceso de generación de datos. Así, ajustamos un modelo de supervivencia para los tiempos de llegada de las casillas en las elecciones de 2017 y 2018. Los detalles del modelo de supervivencia se pueden consultar en [9].
Usamos el modelo de supervivencia para obtener una medida del sesgo en diferentes horas o con diferentes porcentajes de muestra obtenidos. Simulando muestras con tiempos de llegada y luego censurando las muestras, calculamos el sesgo como la diferencia entre el valor esperado de las estimaciones de las muestras censuradas y el valor observado con la muestra completa. Teniendo una medida del sesgo, podemos ajustar los modelos de estimación en consecuencia.
El ajuste que haremos al modelo dependerá del porcentaje de muestra observado, al que denotamos con
. En primer lugar, estimamos la distribución de probabilidad del número total de votos de cada candidato en cualquier casilla con el modelo descrito. Después, a la hora de simular, en lugar de utilizar el vector
, usamos una perturbación, dada por Donde
son variables aleatorias independientes e idénticamente distribuidas
. Notemos que el tamaño de los intervalos de probabilidad producidos crece a medida que crece
y, conforme nos acercamos a la muestra completa,
se acerca a
para cualquier candidato
. El modelo, con el ajuste por sesgo, provee coberturas cercanas al 95% tanto con muestras completas como con muestras censuradas. 5.2.1.6. Referencias
[1] Park, D.K., Gelman, A., Bafumi, J.: Bayesian multilevel estimation with poststratification: state-level estimates from national polls. Political Analysis 12(4), 375385 (2004)
[2] Little, R.J.: Calibrated Bayes, an alternative inferential paradigm for official statistics. Journal of official statistics 28(3), 309 (2012)
[3] Anzarut, M., González, L.F., Ortiz, M.T.: A heavy-tailed multilevel mixture model for the quick count in the mexican elections of 2018. In: National Statistics Forum (FNE) and Latin-American Congress of Statistical Societies (CLATSE), pp. 113. Springer (2018)
[4] Schad, D., Betancourt, M.,Vasishth, S.: Toward a principled bayesian workflow in cognitive science. Psychological Methods 26 (2020). DOI 10.1037/met0000275
[5] Barnard, John, Robert McCulloch, and Xiao-Li Meng. 2000.: Modeling Covariance Matrices in Terms of Standard Deviations and Correlations, with Application to Shrinkage. Statistica Sinica, 12811311.
[6] Anzarut, M., González, L. F., & Ortiz, M. T. (2022). Bayesian Hierarchical Multinomial Modeling of the 2021 Mexican Election Outcomes with Censored Samples. In Interdisciplinary Statistics in Mexico: AME Virtual Meeting, September 1011, 2020, and 34 FNE, Acatlán, Mexico, September 2224, 2021 (pp. 49-64). Cham: Springer International Publishing.
[7] Stan Development Team: CmdStanR: the R interface to CmdStan (2021). URL https://mc-stan.org/r-packages/
[8] Anzarut, M., González, L.F., Ortiz, M.T.: quickcountmx: Fuctions for the mexican quick-counts 2022 (2022). URL https://github.com/cotecora-team-2/quickcountmx
[9] Anzarut, M., González, L.F., Ortiz, M.T.: Bayesian Hierarchical Multinomial Modeling of the 2021 Mexican Election Outcomes with Censored Samples. In: National Statistics Forum (FNE). Springer (2022)
5.2.2. Dr. Carlos Erwin Rodríguez Hernández-Vela y Lic. José Alberto Florencio Chávez
Se divide la estrategia de estimación en dos. Primero, se describe el escenario en el que se cuenta con una muestra con información suficiente en todos los estratos del diseño. En este caso hablaremos de una muestra completa. Posteriormente, se trata el caso en el que se busca estimar bajo muestras incompletas, en palabras simples cuando no se cuenta con casillas en todos los estratos del diseño y en general se tiene un número reducido de las casillas que fueron seleccionadas en la muestra. Es importante recordar que la muestra para el cr se recibe gradualmente. Las casillas cierran a las 18 horas y la primera remesa con información se recibe entre las 18:30 y las 19 horas. A partir de que se recibe la primera remesa, cada 5 minutos se recibe una nueva remesa que contiene la información de la remesa anterior más algunas casillas adicionales. La remesa con el número de casillas y distribución geográfica necesarias para realizar estimaciones, generalmente, se recibe entre las 22 y las 23 horas. En la primera remesa se reciben por ejemplo 2 casillas, en la segundo se acumulan 6, en la tercera 9 y así en cada remesa se van acumulando un mayor número de casillas de las seleccionadas en muestra.
5.2.2.1. Estimación
El objetivo de la inferencia es estimar las proporciones poblacionales de votos en favor de cada candidato a Gubernatura. Denotando a
como el número de votos en la casilla i-ésima en favor del candidato j-ésimo las proporciones que se buscará estimar están dadas por para
(se asumirán k candidatos). Es importante notar, como lo indica la expresión anterior, que es posible calcular las proporciones requeridas como función de los promedios poblacionales de votos en favor de cada candidato. La selección de casillas se realizará mediante un muestreo aleatorio estratificado. Por lo que la inferencia será en una primera instancia sobre los promedios de votos poblacionales para cada candidato en cada estrato. Es fácil ver que se puede descomponer el promedio poblacional de votos en favor del candidato j-ésimo en el estrato h-ésimo en una parte observada y otra parte no observada, i.e.
, la parte observada es la que se recupera vía la muestra aleatoria de casillas en cada estrato. En este caso es el promedio muestral de votos
en favor del candidato j-ésimo en el estrato h. El promedio no observado está denotado como
. Asumiendo que la muestra de votos en las casillas en cada estrato para el candidato j-ésimo se pueden describir mediante una distribución
. Y utilizando una prior de referencia
, Es posible calcular la distribución predictiva para el promedio poblacional de votos en favor del candidato k-ésimo en el estrato h, la cual está dada por
una distribución t de Student con media
, varianza
grados de libertad. En donde,
es la varianza muestral de los votos en favor del candidato j-ésimo en el estrato h. Vía las medias poblacionales en cada estrato es trivial obtener el promedio poblacional global, Para hacer inferencia se realiza una simulación estocástica. Primero, se generan los promedios poblacionales de votos para los k candidatos en cada uno de los L estratos. Esto se hace vía la expresión (2). Segundo, los promedios en los estratos se usan para obtener el promedio poblacional como lo describe la expresión (3). Tercero, con los promedios poblacionales de votos en favor de cada candidato se calculan las proporciones que son el objetivo de la inferencia. En este caso se usa la expresión (1). Estos tres pasos se repiten 5,000 veces, obteniendo 5,000 proporciones para los k candidatos. Para obtener la estimación por intervalo se calculan los cuantiles correspondientes.
5.2.2.2. Estimación bajo muestras incompletas
Es importante definir la estrategia que se seguirá para realizar estimaciones con las primeras remesas de casillas. Como se describió anteriormente, no se contará con casillas en todos los estratos del diseño hasta aproximadamente las 10 pm. Sin embargo, las remesas con información en la votación en las casillas seleccionadas en muestra empezarán a llegar entre las 6:30 pm y 7 pm.
El diseño para seleccionar la muestra de casillas tanto para Coahuila como para el Estado de México será basado en un muestreo estratificado por distrito local. Por lo tanto, se definirán estratificaciones más gruesas que la estratificación por distritos locales. De manera dinámica se irá cambiando de estratificación a una más fina a medida que se reciban más casillas de la muestra. Se empezará asumiendo que se tiene un solo estrato, cuando haya suficientes casillas se cambiará a una estratificación por tipo de sección (tres estratos), posteriormente a distritos federales y cuando se cuente con casillas en cada uno de los distritos locales se usará esta estratificación.
5.2.2.3. Referencias
Lohr, S.L. (2021). Sampling: Design and Analysis (3rd ed.). Chapman and Hall/CRC. https://doi.org/10.1201/9780429298899
Gelman, A., Carlin, J.B., Stern, H.S., Dunson, D.B., Vehtari, A., & Rubin, D.B. (2013). Bayesian Data Analysis (3rd ed.). Chapman and Hall/CRC. https://doi.org/10.1201/b16018
5.2.3. Mtra. Patricia Isabel Romero Mares y Lic. Enrique Reyes Romero
El diseño muestral será estratificado con L estratos, y una selección de casillas con muestreo aleatorio simple en cada uno de ellos y distribución proporcional de la muestra a los estratos.
La estimación de la proporción de ciudadanos(as) que voten por el candidato p en el estado se calculará utilizando el estimador de razón combinado para un esquema de muestreo estratificado con selección de una muestra aleatoria simple y sin reemplazo en cada estrato, y con asignación proporcional de la muestra a los L estratos:
Donde:
: estimador de la proporción de votos a favor del candidato p, p=1,...,número de candidatos
: estimador del total de votos a favor del candidato p, p=1,...,número de candidatos
: estimador del total de votos emitidos en el estado
: estimador del total de votos a favor del candidato p en el estrato h
: estimador del total de votos emitidos en el estrato h
: estimador del promedio de votos por casilla a favor del candidato p, en el estrato h
: estimador del promedio de votos emitidos por casilla en el estrato h
: total de casillas en el estrato h El estimador de la varianza del estimador de la proporción de votos a favor del candidato p es el siguiente:
Donde:
: total de votos a favor del candidato p en la casilla i del estrato h
: promedio de votos a favor del candidato p del estrato h
: total de votos emitidos en la casilla i del estrato h
: promedio de votos emitidos por casilla en el estrato h
: número de casillas en muestra del estrato h La precisión observada para la estimación de la proporción de votos al candidato p se calcula como:
Considerando una confianza del 95% y el cuantil de la Normal estándar z=1.96 correspondiente a esta confianza, el intervalo de confianza para la proporción de votos a favor del candidato p se obtiene de la siguiente manera:
De igual manera, la participación
se estimará como un estimador de razón combinado, con la siguiente expresión: Con estimador de su varianza e intervalo de confianza, equivalentes a lo presentado arriba.
Por otro lado, se estimará el intervalo de 95% de confianza para la proporción de votos a cada candidato haciendo un remuestreo Bootstrap no paramétrico, calculando, para cada candidato, el estimador de la proporción de votos y la distribución Bootstrap de este estimador, evaluando los cuantiles 0.025 y 0.975 de esta distribución como los límites del intervalo descrito. Esto como respaldo del método anterior.
5.2.3.1. Referencias:
· Chernick, Michael R. (2011). "An intriduction to bootstrap methods with applications to R". Wiley. Hoboken, New Jersey. USA.
· Efron, B., Tibshirani, R. (1994). "An introduction to the bootstrap". Chapman & Hall, Nerw York.
· Kish, L. (1970). "Survey Sampling". John Wiley and Sons. NY, USA.
· Raj, Des. (1968). "Sampling Theory". McGRAW-Hill. NY, USA.
· Särndal, Carl Erik, et al. (1992). "Model Assisted Survey Sampling". Springer-Verlag. NY, USA.
______________________________
1 Medios de comunicación: telefonía celular, telefonía satelital y sil.
2 Cuando el medio de comunicación asignado corresponda a telefonía celular o sil.
3 Esta figura se contratará por primera ocasión para el pel 2022-2023, anteriormente el o la Coordinadora Distrital realizaba funciones similares.
4 El o la cae deberá enfatizar a la Presidencia de la mdc la importancia de utilizar el cuadernillo para hacer las operaciones de escrutinio y cómputo para el llenado del acta.
5 Las fechas estarán sujetas a los acuerdos que se tomen por parte de las autoridades del ine.
6 Las fechas estarán sujetas a los acuerdos que se tomen por parte de las autoridades del ine.
7 Las fechas estarán sujetas a los acuerdos que se tomen por parte de las autoridades del ine.
8 Utilizado en las prácticas de captura.
9 Las fechas estarán sujetas a los acuerdos que se tomen por parte de las autoridades del ine.
10 Cuando el medio de comunicación asignado corresponda a telefonía celular o sil.
11 Las fechas pueden sufrir ajustes derivado de los acuerdos del COTECORA.
12 Las fechas estarán sujetas a los acuerdos que se tomen por parte de las autoridades del ine.
13 Se prevé probar el uso de la app a partir del segundo simulacro.
14 El o la cae o se deberán enfatizar a la Presidencia de la mdc la importancia de utilizar el cuadernillo para hacer las operaciones de escrutinio y cómputo para el llenado del acta.
15 En el caso de que se tenga seleccionada una casilla con urna electrónica, la transcripción de la información se realizará del acta que emita la urna electrónica.
16 Esta Hoja es un ejemplo. La que será utilizada el día de la JE llevará el logo de los partidos, coaliciones y candidaturas independientes que corresponda a la elección de Gubernatura en la entidad.
17 Este frr es un ejemplo. El que será utilizado el día de la je llevará el logo de los partidos, coaliciones y candidaturas independientes que corresponda a la elección de Gubernatura en la entidad.
18 Las claves de autenticación utilizadas durante los simulacros serán distintas de las que se emplearán durante la je. En este sentido, el o la Coordinadora Distrital deberá disponer de la relación de las claves asignadas al personal en campo en la que se incorporen datos personales para que, de ser necesario, tenga elementos para identificar la personalidad de estos en caso de que no cuenten con dicha clave.
19 Para ello será necesario que previo a la je, el o la voed defina un procedimiento para estar en comunicación constante con los y las se, y estas figuras, a su vez, con los y las cae a su cargo. Por ejemplo, si la mayoría cuenta con teléfono celular, se podría implementar un grupo de chat para una comunicación más expedita.