FE de erratas al Decreto por el que se expropia por causa de utilidad pública la superficie de 19-16-75 hectáreas, del ejido "El Centenario", municipio de Escárcega, estado de Campeche, a favor de Fonatur Tren Maya, S.A. de C.V., publicado en la edición vespertina del 31 de marzo de 2023.

El resultando 16, dice:
"... y nueve con los afectados de las parcelas, ..."
Debe decir:
"... y diez con los afectados de las parcelas, ..."
El resultando 19, párrafo segundo, dice:
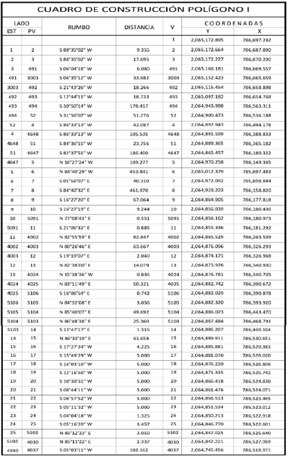
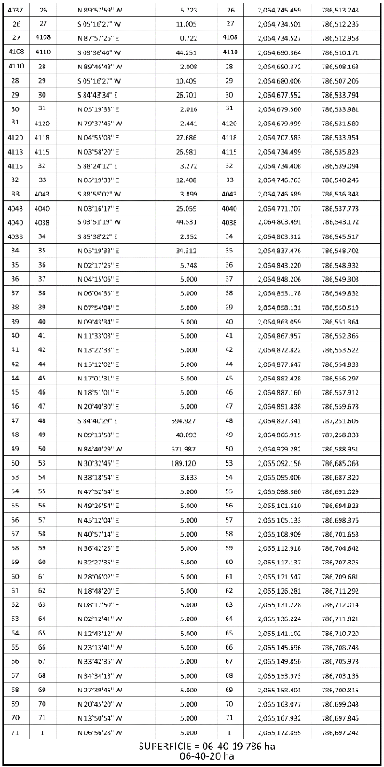
"y se describe en el siguiente plano y cuadro de construcción:

 

..."
Debe decir:
"y se describe en los siguientes planos y cuadros de construcción:
 


 

 
..."
______________________________