DECRETO por el que se expropia por causa de utilidad pública la superficie de 14-15-25 hectáreas, del ejido "20 de Noviembre", municipio de Calakmul, estado de Campeche, a favor de Fonatur Tren Maya, S.A. de C.V.

Al margen un sello con el Escudo Nacional, que dice: Estados Unidos Mexicanos.- Presidencia de la República.

ANDRÉS MANUEL LÓPEZ OBRADOR, presidente de los Estados Unidos Mexicanos, en ejercicio de la facultad que me confiere el artículo 89, fracción I, de la Constitución Política de los Estados Unidos Mexicanos, con fundamento en los artículos 27, párrafos primero y segundo, de la propia Constitución; 13, 41 y 42 de la Ley Orgánica de la Administración Pública Federal; 93, fracciones I y VII, y 94 de la Ley Agraria; 60, 61 y 75 del Reglamento de la Ley Agraria en Materia de Ordenamiento de la Propiedad Rural, y
RESULTANDO
1. Que, mediante resolución presidencial del 21 de julio de 1970, publicada en el Diario Oficial de la Federación (DOF) el 18 de agosto de 1970, se dotó al poblado denominado "20 de Noviembre", municipio de Hopelchén, estado de Campeche, la superficie de 28,600 hectáreas. Dicha resolución se ejecutó el 26 de septiembre de 1980;
2. Que, mediante asamblea general de ejidatarios, de 29 de abril de 1995, se determinó la delimitación, destino y asignación de tierras del ejido "20 de Noviembre", municipio de Hopelchén, estado de Campeche;
3. Que, el 30 de mayo de 1995, el ejido "20 de Noviembre", municipio de Calakmul, estado de Campeche, se inscribió en el sistema de inscripciones del Registro Agrario Nacional (RAN) bajo el folio de ejidos y comunidades 04010008118081970R;
4. Que el Congreso Constitucional del Estado Libre y Soberano de Campeche, mediante decreto número 244, de 31 de diciembre de 1996, publicado en el Periódico Oficial del estado de Campeche en la misma fecha, creó el municipio libre de Calakmul;
5. Que mediante escritura pública 98,727, de 5 de diciembre de 2018, se protocolizó el cambio de denominación de Fonatur Operadora Portuaria, S.A. de C.V., por el de Fonatur Tren Maya, S.A. de C.V., que tiene por objeto social:
...
c)     Tramitar todo tipo de asignaciones y permisos y ejecutar la construcción, operación, explotación, conservación y mantenimiento de vías férreas en el sureste de la República Mexicana.
d)    Tramitar todo tipo de asignaciones y permisos y prestar el servicio público de transporte ferroviario de pasajeros o de carga, por sí mismo mediante asignación o de manera conjunta con concesionarios.
e)    Tramitar todo tipo de asignaciones y permisos para prestar servicios auxiliares ferroviarios, así como todo tipo de servicios relacionados con la infraestructura ferroviaria.
...
g)    Celebrar todo tipo de actos jurídicos por los cuales otorgue o reciba el uso y aprovechamiento de bienes muebles e inmuebles, así como el adquirirlos o enajenarlos, comprendidos en instalaciones turísticas o inmobiliarias de cualquier naturaleza, en cualquier destino turístico, polos de desarrollo turístico, Centros Integralmente Planeados, y en Centros Turísticos Sustentables del Fondo Nacional del Fomento al Turismo (FONATUR), en el sureste de la República Mexicana.
...
6. Que el Plan Nacional de Desarrollo 2019-2024, publicado en el DOF el 12 de julio 2019, establece los programas y proyectos que constituyen las prioridades de atención estratégica a problemas públicos identificados, y expone como una de las tareas centrales, impulsar la reactivación de la economía para que vuelva a crecer a tasas aceptables y se fortalezca el mercado interno y el empleo a través de programas sectoriales, proyectos regionales y obras de infraestructura;
 
7. Que en el capítulo "Proyectos regionales" de dicho plan nacional, se dispone expresamente:
1. El Tren Maya es el más importante proyecto de infraestructura, desarrollo socioeconómico y turismo del presente sexenio. Tendrá un recorrido de mil 525 kilómetros, pasará por los estados de Chiapas, Tabasco, Campeche, Yucatán y Quintana Roo e interconectará las principales ciudades y sitios turísticos de la Península de Yucatán...
El Tren Maya es un proyecto orientado a incrementar la derrama económica del turismo en la Península de Yucatán, crear empleos, impulsar el desarrollo sostenible, proteger el medio ambiente de la zona desalentando actividades como la tala ilegal y el tráfico de especies y propiciar el ordenamiento territorial de la región. Se procurará integrar a la obra y a sus beneficios a los pobladores; se gestionarán los derechos de vía que aún no se tengan mediante acuerdos con los propietarios de los terrenos respectivos; se buscarán acuerdos benéficos en los casos en los que las vías de propiedad federal se encuentren invadidas y se pedirá la aprobación de las comunidades y pueblos originarios mediante consultas.
8. Que el 21 de abril de 2020, se publicó en el DOF la asignación que otorga el Gobierno federal, por conducto de la entonces Secretaría de Comunicaciones y Transportes, en favor de la empresa de participación estatal mayoritaria Fonatur Tren Maya, S.A. de C.V., para construir, operar y explotar la vía general de comunicación ferroviaria denominada Tren Maya, la prestación del servicio público de transporte ferroviario de carga y de pasajeros, la cual incluye los permisos para prestar los servicios auxiliares requeridos;
9. Que los programas sectoriales de Desarrollo Agrario, Territorial y Urbano 2020-2024 y de Turismo 2020-2024, publicados en el DOF el 26 de junio y 3 de julio, ambos de 2020, establecen que la construcción del Tren Maya es el compromiso más relevante de infraestructura para impulsar el desarrollo socioeconómico y turístico de la historia del sureste del país y fortalecer la integración de cadenas productivas en la península de Yucatán, así como para elevar la calidad de los servicios turísticos y fomentar la capacitación y profesionalización del capital humano que forma parte de esta industria;
10. Que el 20 de noviembre de 2020, se publicó en el DOF el Programa Institucional 2020-2024 del Fondo Nacional de Fomento al Turismo, el cual tiene como uno de sus objetivos prioritarios en su numeral 7.1: "...Desarrollar el Proyecto Regional Tren Maya en los estados de Chiapas, Tabasco, Campeche, Yucatán y Quintana Roo";
11. Que, en cumplimiento del Programa Institucional 2020-2024 del Fondo Nacional de Fomento al Turismo, Fonatur Tren Maya, S.A. de C.V. elaboró dictámenes técnicos de la viabilidad del Proyecto Tren Maya, en los que se concluye que es de primera necesidad contar con un servicio confiable, eficiente, cómodo y seguro que permita, por una parte, el transporte de mercancías, y por otra, movilizar a sus usuarios con altos estándares de calidad, acceso y cobertura en el área urbana y conurbada. Asimismo, dichos dictámenes acreditan que el Proyecto Tren Maya satisface el interés colectivo, e impulsa las actividades económicas del sur-sureste del país que garantizan el derecho a la movilidad en condiciones de seguridad, accesibilidad, comodidad, eficiencia, calidad e igualdad. La construcción del Tren Maya permitirá el desarrollo socioeconómico y turístico; reducirá los niveles de pobreza que existen en la zona, y mejorará las condiciones de vida de quienes habitan y transitan por la zona;
12. Que, el 24 de diciembre de 2020, se publicó en el DOF el Programa Institucional 2020-2024 de Fonatur Tren Maya, S.A. de C.V., el cual tiene como uno de sus objetivos prioritarios en su numeral 6: "...Ejecutar el Proyecto Prioritario Integral Tren Maya para mejorar la conectividad, movilidad y el desarrollo integral sostenible del sureste";
13. Que Fonatur Tren Maya, S.A. de C.V. es una empresa de participación estatal mayoritaria sectorizada a la Secretaría de Turismo, como se indica en la "Relación de Entidades Paraestatales de la Administración Pública Federal", publicada en el DOF el 12 de agosto de 2022;
14. Que, en asamblea general de ejidatarios de 6 de octubre de 2022, se aprobó la celebración del convenio de ocupación previa a título gratuito y se autorizó a los integrantes del comisariado del ejido "20 de Noviembre" firmar dicho convenio;
15. Que, el 8 de octubre de 2022, Fonatur Tren Maya, S.A. de C.V. celebró convenio de ocupación previa con el comisariado del ejido "20 de Noviembre", en el que se le autorizó ocupar a título gratuito la superficie materia del convenio hasta la expedición del decreto respectivo, así como un pago inmediato como anticipo y a cuenta de la indemnización que proceda una vez decretada la expropiación;
16. Que Fonatur Tren Maya, S.A. de C.V., mediante oficio número FTM/AZH/1720/2022, de 1 de noviembre de 2022, y con fundamento en la Constitución Política de los Estados Unidos Mexicanos (CPEUM),
la Ley Agraria y el Reglamento de la Ley Agraria en Materia de Ordenamiento de la Propiedad Rural (RLAMOPR), solicitó al titular de la Secretaría de Desarrollo Agrario, Territorial y Urbano (Sedatu) la expropiación de la superficie de 14-16-14.36 hectáreas, de terrenos del ejido "20 de Noviembre", municipio de Calakmul, estado de Campeche, para destinarlos a la construcción de obras de infraestructura ferroviaria y operación del Proyecto Tren Maya, Tramo 7 Chetumal-Escárcega;
17. Que la Dirección General de Ordenamiento de la Propiedad Rural (DGOPR) de la Sedatu, el 4 de noviembre de 2022, emitió acuerdo de instauración del procedimiento de expropiación con número de expediente DGOPR-DE/SOE04CC/0034FONATUR TREN MAYA, S.A. de C.V/2022;
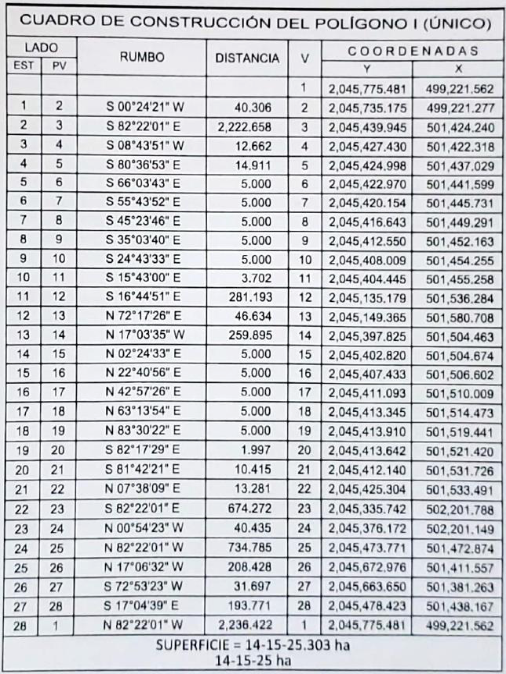
18. Que el comisionado técnico del RAN y el comisionado agrario de la Sedatu rindieron el "informe de comisión de Trabajos Técnicos e Informativos de Expropiación", de 9 de diciembre de 2022, en el que se señala que la superficie real a expropiar al ejido "20 de Noviembre", municipio de Calakmul, estado de Campeche, es de 14-15-25 hectáreas de terrenos de temporal, de las cuales 1-62-27 hectáreas son de uso común, y 12-52-98 hectáreas, de uso parcelado, lo cual se describe en el siguiente plano y cuadro de construcción:
 

Meridiano central de referencia de 89° 19´ oeste
 

19. Que Fonatur Tren Maya, S.A. de C.V., mediante oficio número FTM/AZH/165-1/2023, de 2 de febrero de 2023, comunicó que el destino de la superficie a expropiar es para "la construcción de obras de infraestructura ferroviaria, operación del Proyecto Tren Maya y sus obras complementarias";
20. Que el Instituto de Administración y Avalúos de Bienes Nacionales (Indaabin) emitió el dictamen valuatorio y anexo único, con número secuencial 04-23-9 y genérico G-32800-ZND, de 7 de febrero de 2023, en el que determinó que el monto total de indemnización, con base en el valor comercial de la superficie a expropiar asciende a $1,779,428.78 (un millón setecientos setenta y nueve mil cuatrocientos veintiocho pesos 78/100 M.N.);
21. Que a los integrantes del comisariado del ejido "20 de Noviembre" se les notificó el 11 de febrero de 2023 la solicitud de expropiación, el acuerdo de instauración, la superficie real a expropiar y el dictamen valuatorio y anexo único con número secuencial 04-23-9 y genérico G-32800-ZND. Asimismo, se les informó que contaban con 10 días hábiles para que manifestaran lo que a sus intereses conviniera. En dicho plazo no realizaron manifestaciones;
22. Que la Dirección General de Ordenamiento Territorial de la Sedatu, el 15 de febrero de 2023, emitió la opinión número SOTA/DGOT/009/CAM/FONATUR TM/001/2023, en la que concluyó que "emite Opinión Técnica Condicionada respecto del procedimiento de expropiación a favor de FONATUR Tren Maya S.A. DE C.V., por una superficie de 14-15-25 hectáreas conformadas por un (I) polígono de terreno perteneciente a el ejido 20 de Noviembre, ubicado en el municipio de Calakmul, estado de Campeche";
 
23. Que, el 15 de febrero del 2023, la DGOPR emitió dictamen en el que determinó "procedente la expropiación por causa de utilidad pública, a favor de Fonatur Tren Maya S.A. de C.V. para destinarse a la construcción de obras de infraestructura ferroviaria y operación del proyecto Tren Maya y sus obras complementarias, con una superficie de 14-15-25 hectáreas, de terrenos de temporal de las cuales 12-52-98 hectáreas son de uso parcelado y 01-62-27 hectárea son de uso común del ejido 20 de Noviembre', municipio de Calakmul, estado de Campeche", y
CONSIDERANDO
I. Que, de conformidad con los artículos 27, párrafos primero y segundo, de la CPEUM; 93, fracciones I y VII, y 94 de la Ley Agraria y 75 del RLAMOPR, la expropiación procede por causa de utilidad pública, como lo es la construcción de obras de infraestructura ferroviaria, operación del Proyecto Tren Maya y sus obras complementarias, mediante indemnización, previo decreto expedido por el titular del Ejecutivo Federal publicado en el DOF;
II. Que los documentos señalados en los resultados 1 y 2 del presente instrumento indican que el ejido "20 de Noviembre" se ubica en el municipio Hopelchén, estado de Campeche; sin embargo, derivado del decreto referido en el resultando 4, actualmente el ejido pertenece a la jurisdicción de Calakmul, tal como consta en la inscripción del Registro Agrario Nacional y en el informe de comisión de Trabajos Técnicos e Informativos de Expropiación, por lo que el presente procedimiento debe culminar como ejido "20 de Noviembre", municipio de Calakmul, estado de Campeche;
III. Que la superficie de 14-15-25 hectáreas de terrenos de temporal, pertenecientes al ejido "20 de Noviembre", municipio de Calakmul, estado de Campeche, se solicitó para destinarse a la construcción de obras de infraestructura ferroviaria, operación del Proyecto Tren Maya y sus obras complementarias, así como la prestación del servicio público de transporte de carga ferroviaria y de pasajeros, como consecuencia se acreditan las causas de utilidad pública del establecimiento, explotación o conservación de un servicio o función públicos, y la construcción de puentes, carreteras, ferrocarriles y demás obras que faciliten el transporte, previstas en el artículo 93, fracciones I y VII, de la Ley Agraria;
IV. Que la construcción de obras de infraestructura ferroviaria, operación del Proyecto Tren Maya y sus obras complementarias son acordes al Plan Nacional de Desarrollo 2019-2024, toda vez que se prestará un servicio público de transporte de pasajeros para el beneficio del turismo nacional y extranjero, así como de transporte de carga ferroviario para acelerar el comercio de la península, lo que facilitará el intercambio de mercancías con el resto del país y diversificará los puntos turísticos de la región para generar una derrama económica. Como consecuencia, se generarán oportunidades laborales y se redistribuirá la riqueza a lo largo de la península; se dará protección y rehabilitación a las áreas naturales protegidas y a los sitios patrimoniales. De igual forma, el Tren Maya funcionará como corredor humanitario por medio del cual se entregarán apoyos alimentarios, médicos, etc. para las comunidades indígenas y pueblos marginados del sureste mexicano, tendrá un flujo constante y solo por su conducto, se podrá llegar a dichos poblados de manera pronta y eficaz, y su ubicación geográfica es fundamental para salvaguardar las costas y la zona fronteriza con Centroamérica;
V. Que de diversos documentos del expediente de expropiación número DGOPR-DE/SOE04CC/0034FONATUR TREN MAYA, S.A. de C.V/2022 se advierte que la superficie que se solicitó expropiar al ejido "20 de Noviembre" fue de 14-16-14.36 hectáreas; sin embargo, una vez realizados los trabajos técnicos resultó que la superficie real es de 14-15-25 hectáreas de terrenos de temporal, de las cuales 1-62-27 hectáreas son de uso común y 12-52-98 hectáreas son de uso parcelado, tal y como consta en el informe de comisión de Trabajos Técnicos e Informativos de Expropiación de 9 de diciembre de 2022, motivo por el cual la superficie a expropiar al ejido "20 de Noviembre", municipio de Calakmul, estado de Campeche, debe ser de 14-15-25 hectáreas;
VI. Que de las constancias señaladas en el resultando 21 del presente instrumento, se acredita que en el procedimiento DGOPR-DE/SOE04CC/0034FONATUR TREN MAYA, S.A. de C.V/2022, se otorgó garantía de audiencia al órgano de representación del ejido de "20 de Noviembre", municipio de Calakmul, estado de Campeche, toda vez que se les notificó la solicitud de expropiación, el acuerdo de instauración, la superficie real a expropiar y el avalúo, sin que en el plazo concedido realizaran manifestaciones respecto del procedimiento expropiatorio materia del presente decreto; con lo anterior, se dio cumplimiento a los artículos 14 y 16 de la CPEUM, 4o. de la Ley de Expropiación y 65 del RLAMOPR;
VII. Que el Indaabin emitió dictamen valuatorio con número secuencial 04-23-9 y genérico G-32800-ZND, de 7 de febrero de 2023, en el cual determinó que el monto de indemnización con base al valor comercial de la superficie a expropiar es de $1,779,428.78 (un millón setecientos setenta y nueve mil cuatrocientos veintiocho pesos 78/100 M.N.), con lo que se acredita el cumplimiento a los artículos 94 de la Ley Agraria y 70 del RLAMOPR, por lo que con base en dicho avalúo procede pagar la indemnización al ejido por las tierras de uso común y a los titulares de las parcelas afectadas en la parte que les corresponda y en el que se considere el pago anticipado;
VIII. Que en caso de que los bienes expropiados se destinen a un fin distinto al señalado en el decreto respectivo, o si transcurrido un plazo de 5 años no se ha cumplido con la causa de utilidad pública el Fideicomiso Fondo Nacional de Fomento Ejidal podrá ejercer las acciones necesarias para reclamar la reversión parcial o total, según corresponda, de los bienes expropiados y operar la incorporación de estos a su patrimonio, ello de conformidad con lo establecido en el artículo 97 de la Ley Agraria; asimismo, los bienes objeto de la expropiación solo podrán ser ocupados de manera definitiva, mediante el pago que se efectúe al ejido o a las personas que acrediten tener derecho sobre las tierras de uso común en la proporción que les corresponda;
IX. Que de conformidad con los artículos 94 de la Ley Agraria y 75 y 76 del RLAMOPR, debe ordenarse que el decreto expropiatorio se publique en el DOF, se notifique al núcleo agrario por conducto de su comisariado ejidal y se inscriba en el RAN, en el Registro Público de la Propiedad de la entidad federativa de que se trate, así como en el Registro Público de la Propiedad Federal, cuando así corresponda, y
X. Que, en términos de los artículos 93, 94 y 95 de la Ley Agraria y 60, 61, 63, 65, 67, 70, 72, 73, 74 y 75 del RLAMOPR, el procedimiento de expropiación se ha tramitado ante la Sedatu y ha sido acreditada la causa de utilidad pública, he tenido a bien expedir el siguiente
DECRETO
PRIMERO. Se expropia por causa de utilidad pública la superficie de 14-15-25 hectáreas (catorce hectáreas, quince áreas, veinticinco centiáreas) de terrenos de temporal, de las cuales 1-62-27 hectáreas (una hectárea, sesenta y dos áreas, veintisiete centiáreas) son de uso común y 12-52-98 hectáreas (doce hectáreas, cincuenta y dos áreas, noventa y ocho centiáreas) son de uso parcelado del ejido "20 de Noviembre", municipio de Calakmul, estado de Campeche, a favor de Fonatur Tren Maya, S.A. de C.V., para destinarla a la construcción de obras de infraestructura ferroviaria, obras complementarias y operación del servicio público de transporte del Proyecto Tren Maya.
SEGUNDO. Queda a cargo de Fonatur Tren Maya, S.A. de C.V., pagar por concepto de indemnización por la superficie que se expropia, la cantidad señalada en el avalúo emitido por el Instituto de Administración y Avalúos de Bienes Nacionales, y en los términos señalados en el considerando VII del presente decreto.
TERCERO. La Secretaría de Desarrollo Agrario, Territorial y Urbano, una vez publicado el presente decreto en el Diario Oficial de la Federación, procederá a su ejecución cuando Fonatur Tren Maya, S.A. de C.V. haya acreditado el pago o depósito de la indemnización señalada en el numeral anterior.
 
CUARTO. Publíquese en el Diario Oficial de la Federación e inscríbase en el Registro Agrario Nacional, en el Registro Público de la Propiedad Federal y en el Registro Público de la Propiedad estatal o municipal correspondiente. Notifíquese y ejecútese.
Dado en la residencia del Poder Ejecutivo Federal, en Ciudad de México a 24 de marzo de 2023.- Andrés Manuel López Obrador.- Rúbrica.- El Secretario de Desarrollo Agrario, Territorial y Urbano, Román Guillermo Meyer Falcón.- Rúbrica.- El Secretario de Turismo, Miguel Tomás Torruco Marqués.- Rúbrica.