ACUERDO mediante el cual se expiden los costos de referencia para la compensación ambiental por cambio de uso de suelo en terrenos forestales y la metodología para su estimación.
Al margen un sello con el Escudo Nacional, que dice: Estados Unidos Mexicanos.- MEDIO AMBIENTE.- Secretaría de Medio Ambiente y Recursos Naturales.- Comisión Nacional Forestal.
LUIS MENESES MURILLO, Director General de la Comisión Nacional Forestal, con fundamento en los artículos 25 párrafos primero, sexto y séptimo, 26 inciso A, 27, y 28 quinto párrafo, de la Constitución Política de los Estados Unidos Mexicanos; 15, 19, 20 fracciones XV, XXI, XXIV, 98, 135 y 140 penúltimo párrafo, de la Ley General de Desarrollo Forestal Sustentable, publicada el 05 de junio de 2018 en el Diario Oficial de la Federación y sus reformas; 152 fracción I, y 153 del Reglamento de la Ley General de Desarrollo Forestal Sustentable publicado el 09 de diciembre de 2020 en el en el Diario Oficial de la Federación; 11, 14 fracción I, 22 fracción I, y 59 fracciones I, V y XIV, de la Ley Federal de las Entidades Paraestatales; 9 fracción I del Estatuto Orgánico de la Comisión Nacional Forestal, publicado el 30 de abril de 2021 en el Diario Oficial de la Federación; 18 de la Norma de Calidad Regulatoria de la Comisión Nacional Forestal; 4 de la Ley Federal de Procedimiento Administrativo, y
CONSIDERANDO
Que la Ley General de Desarrollo Forestal Sustentable establece en su artículo 98 que "Los interesados en el cambio de uso de suelo en terrenos forestales, deberán comprobar que realizaron el depósito ante el Fondo Forestal Mexicano, por concepto de compensación ambiental, para que se lleven a cabo acciones de restauración de los ecosistemas que se afecten, preferentemente dentro de la cuenca hidrográfica en donde se ubique la autorización del proyecto, en los términos y condiciones que establezca el Reglamento".
Que el Reglamento de la Ley General de Desarrollo Forestal Sustentable establece en su artículo 144 que la Secretaría de Medio Ambiente y Recursos Naturales (la Secretaría) o la Agencia Nacional de Seguridad Industrial y de Protección al Medio Ambiente del Sector Hidrocarburos (ASEA) determinarán el monto económico de la compensación ambiental correspondiente, de conformidad con lo establecido en el artículo 152 de ese Reglamento y notificará al solicitante para que realice el Depósito respectivo ante el Fondo Forestal Mexicano; y una vez que el solicitante haya comprobado que realizó el Depósito antes referido, mediante copia simple de la ficha de depósito o del comprobante de transferencia electrónica, se expedirá la autorización de Cambio de Uso del Suelo en Terrenos Forestales.
Que para determinar el monto económico de la compensación ambiental relativa al Cambio de Uso de Suelo en Terrenos Forestales a que se refiere el artículo 98 de la Ley General de Desarrollo Forestal Sustentable, el artículo 152 Reglamento de la Ley General de Desarrollo Forestal Sustentable establece que la Secretaría o la ASEA deberán considerar, entre otros, los costos de referencia para reforestación o restauración y su mantenimiento, que para tal efecto establezca la Comisión Nacional Forestal.
Que la determinación de los costos de referencia se basa en las características de las zonas ecológicas y actividades necesarias para la reforestación o restauración y su mantenimiento, así como los precios de los insumos necesarios, rendimiento de mano de obra, rendimientos de maquinaria y demás cargos para llevar a cabo las actividades de reforestación o restauración.
Que de conformidad con el artículo 152 del Reglamento de la Ley General de Desarrollo Forestal Sustentable antes referido, los costos de referencia y la metodología para su estimación serán publicados en el Diario Oficial de la Federación y podrán ser actualizados de forma anual.
Por lo anterior, tengo a bien emitir el siguiente:
ACUERDO MEDIANTE EL CUAL SE EXPIDEN LOS COSTOS DE REFERENCIA PARA LA
COMPENSACIÓN AMBIENTAL POR CAMBIO DE USO DE SUELO EN TERRENOS FORESTALES Y LA
METODOLOGÍA PARA SU ESTIMACIÓN
Artículo 1.- Los costos de referencia para actividades de reforestación o restauración y su mantenimiento por concepto de compensación ambiental por Cambio de Uso del Suelo en Terrenos Forestales son los siguientes:
| Concepto | Costos de referencia, en pesos por hectárea, para las diferentes zonas ecológicas |
| Templada | Tropical | Árida | Zona inundable o transición tierra mar (humedales) |
| Actividades y obras de restauración o reforestación y su mantenimiento. | 58,647.44 | 44,382.98 | 32,714.84 | 76,880.00 |
Artículo 2.- La metodología para la estimación de los costos referencia para actividades de reforestación o restauración y su mantenimiento para compensación ambiental por Cambio de Uso del Suelo en Terrenos Forestales, se señala en el Anexo 1 del presente Acuerdo.
Artículo 3.- La actualización de los costos de referencia para compensación ambiental por Cambio de Uso del Suelo en Terrenos Forestales, se realizará aplicando un aumento a los presentes costos de referencia, calculado con base en la calculadora de inflación del Instituto Nacional de Estadística y Geografía (INEGI) tomando el periodo de enero a enero del año correspondiente.
TRANSITORIOS
Primero. El presente Acuerdo entra en vigor dentro de los diez días hábiles siguientes al de su publicación en el Diario Oficial de la Federación.
Segundo. Una vez que entre en vigor el presente Acuerdo, dejará sin efectos el "ACUERDO mediante el cual se expiden los costos de referencia para reforestación o restauración y su mantenimiento para compensación ambiental por cambio de uso de suelo en terrenos forestales y la metodología para su estimación", publicado en el Diario Oficial de la Federación el 31 de julio de 2014.
Dado en Zapopán, Jalisco, a los 21 días del mes de febrero de 2023.- El Director General de la Comisión Nacional Forestal, Luis Meneses Murillo.- Rúbrica.
Anexo 1
Metodología para el cálculo de los costos de referencia para actividades de reforestación o restauración y su mantenimiento, por concepto de compensación ambiental por Cambio de Uso del Suelo en Terrenos Forestales.
SECCIÓN I.
De la Introducción y la terminología empleada.
I.1. Introducción
De acuerdo a lo establecido en el artículo 152 fracción I, del Reglamento de la Ley General de Desarrollo Forestal Sustentable, se presenta la metodología mediante la cual se determinaron los costos de referencia para actividades de reforestación o restauración y su mantenimiento para compensación ambiental por Cambio de Uso del Suelo en Terrenos Forestales.
La presente metodología especifica los procedimientos que se llevaron a cabo para la obtención de los costos, que abarcan desde la agrupación de vegetación en 4 ecosistemas, hasta la definición de las actividades mínimas para la restauración de cada uno de ellos, según las necesidades de los mismos, de tal manera que dichas actividades mínimas propicien la sucesión ecológica para recuperar parcial o totalmente sus funciones originales.
I.2. Objetivos
· Calcular los costos de referencia para actividades de reforestación o restauración y su mantenimiento para compensación ambiental por Cambio de Uso de Suelo en Terrenos Forestales.
· Agrupar la vegetación forestal en 4 ecosistemas que faciliten la ubicación de los diferentes tipos de vegetación que existen en México.
· Determinar las actividades mínimas necesarias para cada ecosistema, según sus características.
I.3. Terminología.
Para el alcance de esta metodología, se entenderá por:
I. Agua salobre. Mezcla de agua dulce con agua marina.
II. Arreglo topológico. Distribución espacial de las plantas en el terreno, de acuerdo a las características biológicas de los árboles a reforestar, para que se desarrollen de forma adecuada.
III. Asesoría técnica. Las actividades de carácter técnico para el diseño e implementación de las actividades de reforestación, restauración y su mantenimiento.
IV. Bulldozer. Máquina especializada con tracción de orugas, utilizado para la excavación por medio de una cuchilla en la parte frontal y puede contar con ganchos para roturación del terreno
ubicados en la parte posterior, también se pueden adaptar otros implementos a la barra de tiro, como bordero de discos.
V. Cargos por mano de obra. Es el trabajo humano aplicado a los materiales directos, con el propósito de transformarlos en una obra o bien, ese tipo de trabajo se denomina mano de obra directa, la característica más importante es que interviene directamente en la construcción de las obras y prácticas. Durante el proceso de ejecución, el personal que no interviene directamente en la construcción de las obras y prácticas como supervisores y proyectistas, se les denomina mano de obra indirecta.
VI. Cargos por consumos. Los cargos por consumos corresponden a los insumos o materiales para ejecutar una determinada obra y representan a aquellos materiales o insumos que forman parte integral de la obra, como cemento, cal, alambre, entre otros materiales.
VII. Cavahoyos. Nombre común que indica a la herramienta empleada para cavar y realizar un hoyo o cepa en suelo blando, o bien sólo para extraer la tierra en caso de que el suelo sea duro.
VIII. Cepa. Abertura u oquedad que se realiza en el suelo, normalmente de forma cilíndrica o cúbica donde se planta un árbol o planta.
IX. Cepellón.- Conjunto de sustrato y raíces de una planta que adquiere la forma del envase donde creció y forma parte de la planta que se va a trasplantar.
X. Cobertura vegetal.- Se entiende como la proporción del suelo cubierto por vegetación herbácea, arbustiva y arbórea y normalmente se mide en porcentaje de cobertura vegetal o bien porcentaje de suelo cubierto con vegetación.
XI. Coeficiente de escurrimiento. Número adimensional (decimal) que representa la proporción de agua que escurre, respecto del total de la lluvia. Para el cálculo del escurrimiento se multiplica la lámina de lluvia por el coeficiente de escurrimiento.
XII. Consumo de mano de obra. Se define como la cantidad de recurso humano, en horas hombre, que se emplea por una cuadrilla compuesta por uno o varios operarios de igual o diferente especialidad, para realizar una cantidad unitaria de una actividad. El consumo de mano de obra se expresa normalmente en hH/um (horas Hombre por unidad de medida) y corresponde al inverso matemático de rendimiento de mano de obra.
XIII. Curvas de nivel. Líneas trazadas, con ayuda de algún nivel o equipo topográfico, que se ubica sobre el terreno y une puntos de igual elevación.
XIV. Densidad de reforestación. Cantidad de árboles que se plantan por hectárea, acorde al ecosistema donde se realizará la reforestación. La densidad de reforestación depende de los hábitos de crecimiento de las especies que se van a establecer y de las condiciones del suelo y del clima que permitirán su desarrollo.
XV. Depreciación. Disminución del valor de las herramientas, equipo o maquinaria utilizado para las obras de reforestación, restauración y su mantenimiento, debido al desgaste provocado por su uso o de resultar obsoleto por el paso del tiempo.
XVI. Ecosistema. Como complemento al concepto de Ecosistema Forestal establecido en la Ley General de Desarrollo Forestal Sustentable y su Reglamento, se entenderá por Ecosistema, la zona de la República Mexicana que posee características similares de clima y que presenta vegetación con historias o linajes biogeográficos comunes, que permite aplicar procedimientos de restauración o reforestación y su mantenimiento similares.
XVII. Erosión laminar. Es el desprendimiento, arrastre y depositación de las partículas del suelo por acción del agua, en forma similar a un corte de una lámina del suelo.
XVIII. Escurrimiento superficial. Porción de la precipitación que fluye sobre el suelo hacia los arroyos, canales, lagos u océanos como corriente superficial.
XIX. Estadalero. Persona que se encargará de manejar el estadal en el momento de trazar las curvas a nivel para las obras de restauración de suelos.
XX. Heterogeneidad ecológica. Diferencias que presentan los diferentes seres vivos de un ecosistema, debidas a los procesos de evolución y las características del entorno natural donde evolucionaron.
XXI. Linaje biogeográfico. Se refiere a la distribución de los seres vivos en la tierra, que presentan una distribución común o que les permitió una evolución común, dadas las características del medio físico.
XXII. Otros cargos. Los otros cargos se refieren a costos indirectos para la realización de la obra, tales como transporte de personal, transporte de materiales, asesoría técnica, entre otros.
XXIII. Pendiente. Declive o inclinación de un terreno, que significa la distancia vertical que se recorre, por cada unidad de distancia horizontal, multiplicada por 100. Matemáticamente es la tangente del ángulo del terreno multiplicada por 100, normalmente se expresa en porcentaje.
XXIV. Periodo de retorno. Es la periodicidad estadística en años, en que puede presentarse precipitaciones pluviales de características similares en intensidad y duración.
XXV. Relieve del terreno. Es la forma de la corteza terrestre en la superficie, que se compone de la forma propiamente de la tierra y de la pendiente o inclinación de dicha forma.
XXVI. Reposición de planta. Actividad que consiste en la reposición de plantas muertas por las condiciones naturales de deficiencia de humedad o plagas y enfermedades.
XXVII. Rendimiento de mano de obra. Es la cantidad de obra de alguna actividad realizada por un hombre o una cuadrilla compuesta por varios operarios de la misma o diferente especialidad, por unidad de recurso humano, normalmente expresada como um/hH (unidad de medida por horas hombre).
XXVIII. Supervivencia de la reforestación o porcentaje de supervivencia de la reforestación.- Árboles o plantas vivas por unidad de superficie (usualmente hectárea) que presenta una plantación, respecto a la cantidad plantada, expresado como porcentaje del número total árboles vivos respecto a los establecidos originalmente, de acuerdo con los registros de los padrones de reforestación para cada predio.
XXIX. Subsoleo.- Roturación del suelo realizado con tractor agrícola u otro tipo de maquinaria a una profundidad mayor a 40 cm, con fines de rompimiento y fragmentación de capas duras existentes en el perfil del suelo, cuando el subsoleo se hace en terrenos no agrícolas y que implican capas de roca fragmentada en el perfil, se denomina ripeo y normalmente se realiza con bulldozer.
XXX. Sucesión ecológica. Proceso de desarrollo del ecosistema en una dirección de mayor productividad, biomasa, complejidad, estabilidad y control del ambiente por los seres vivos.
XXXI. Talud. Inclinación que se le da al terreno para que tenga un ángulo de reposo estable y se eviten derrumbes, el talud modifica la pendiente original del terreno.
XXXII. Tallos fotosintéticos. Son tallos modificados que normalmente presentan colores verdes y que son capaces de realizar la fotosíntesis.
XXXIII. Trascabo. Máquina con tracción de ruedas u orugas, provista de una pala frontal con la cual efectúa labores de empuje, remoción y excavación de suelo; normalmente posee también un implemento para excavación de zanjas, coloquialmente llamado mano de chango o también se puede adaptar un rotomartillo hidráulico.
XXXIV. Tresbolillo. Arreglo topológico mediante el cual se realiza la plantación en forma de triángulo equilátero, donde en cada vértice del triángulo se planta un árbol.
XXXV. Vegetación de galería. Comunidad arbórea que se encuentra en los márgenes de los ríos o arroyos, en condiciones de humedad favorables.
SECCIÓN II.
De los ecosistemas forestales.
II.1. Agrupación de los tipos de vegetación de la República Mexicana por ecosistemas.
Para la presente generación de los costos de referencia, los tipos de vegetación se agruparon en 4 ecosistemas principales para la República Mexicana, basados en la clasificación propuesta por Toledo y Ordoñez (1995), la cual se modificó para la agrupación de la vegetación en sólo 4 ecosistemas.
Las modificaciones consistieron en agrupar la zona ecológica templada húmeda y templada subhúmeda en un solo ecosistema denominado templado frío, y la agrupación de la zona ecológica tropical húmeda y tropical seca, en un solo ecosistema denominado tropical. Para el caso de las zonas áridas, la clasificación de Toledo y Ordoñez, se enriquece con la definición de las zonas áridas, semiáridas y subhúmedas secas establecidas en el decreto de promulgación de la Convención de la Naciones Unidas sobre Lucha contra la Desertificación, publicada en el DOF el 1 de junio de 2005; no se toma en cuenta la zona alpina y la correspondiente a vegetación de transición tierra mar, se desglosa separando manglar, de los otros tipos de
vegetación.
El objetivo es simplificar la heterogeneidad ecológica y facilitar el reconocimiento de las grandes discontinuidades en el paisaje a escala nacional, así que se agruparon los tipos de vegetación de la serie VII del INEGI para cada ecosistema, agregando también el tipo de clima según la clasificación de Köppen, modificado por Enriqueta García.
Con base en las consideraciones anteriores se establecen 4 ecosistemas.
Cuadro 1.
AGRUPACIÓN DE LOS TIPOS DE VEGETACIÓN DE LA SERIE VII DE INEGI EN CUATRO
ECOSISTEMAS, USADOS PARA LA DEFINICIÓN DE LOS COSTOS DE REFORESTACIÓN O
RESTAURACIÓN Y SU MANTENIMIENTO PARA COMPENSACIÓN AMBIENTAL POR CAMBIO DE USO
DEL SUELO EN TERRENOS FORESTALES.
| Ecosistema | Tipos de vegetación dominante según la Serie II del INEGI (incluye la vegetación secundaria de los mismos) | Grupo Climático Dominante, según Köppen modificado por E. Garcia. |
| Templado Frío | Bosque Cultivado Bosque de Ayarín Bosque de Cedro Bosque de Encino Bosque de Encino-Pino Bosque de Oyamel Bosque de Pino Bosque de Pino-Encino Bosque de Táscate Bosque Inducido Bosque Mesófilo de Montaña Pradera de Alta Montaña Vegetación Secundaria Arbórea de Bosque de Ayarín Vegetación Secundaria Arbórea de Bosque de Cedro Vegetación Secundaria Arbórea de Bosque de Encino Vegetación Secundaria Arbórea de Bosque de Encino-Pino Vegetación Secundaria Arbórea de Bosque de Oyamel Vegetación Secundaria Arbórea de Bosque de Pino Vegetación Secundaria Arbórea de Bosque de Pino-Encino Vegetación Secundaria Arbórea de Bosque de Táscate Vegetación Secundaria Arbórea de Bosque Mesófilo de Montaña Vegetación Secundaria Arbustiva de Bosque de Ayarín Vegetación Secundaria Arbustiva de Bosque de Cedro Vegetación Secundaria Arbustiva de Bosque de Encino Vegetación Secundaria Arbustiva de Bosque de Encino-Pino Vegetación Secundaria Arbustiva de Bosque de Oyamel Vegetación Secundaria Arbustiva de Bosque de Pino Vegetación Secundaria Arbustiva de Bosque de Pino-Encino Vegetación Secundaria Arbustiva de Bosque de Táscate Vegetación Secundaria Arbustiva de Bosque Mesófilo de Montaña Vegetación Secundaria Herbácea de Bosque de Encino Vegetación Secundaria Herbácea de Bosque de Encino-Pino Vegetación Secundaria Herbácea de Bosque de Oyamel Vegetación Secundaria Herbácea de Bosque de Pino Vegetación Secundaria Herbácea de Bosque de Pino-Encino Vegetación Secundaria Herbácea de Bosque de Táscate Vegetación Secundaria Herbácea de Bosque Mesófilo de Montaña Vegetación Secundaria Herbácea de Matorral de Coníferas | A(C)m, C(A)m, CW (Climas templado húmedos y subhúmedos con temperatura media del mes más frío entre -3 y 18 °C) |
| Tropical | Bosque Cultivado Bosque Inducido Matorral Subtropical Mezquital Tropical Palmar Inducido Palmar Natural Pastizal Cultivado Pastizal Inducido Sabana Sabanoide Selva Alta Perennifolia Selva Alta Subperennifolia Selva Baja Caducifolia Selva Baja Espinosa Caducifolia Selva Baja Espinosa Subperennifolia Selva Baja Perennifolia Selva Baja Subcaducifolia Selva Baja Subperennifolia Selva Mediana Caducifolia Selva Mediana Subcaducifolia Selva Mediana Subperennifolia Vegetación Secundaria Arbórea de Mezquital Tropical Vegetación Secundaria Arbórea de Palmar Natural Vegetación Secundaria Arbórea de Selva Alta Perennifolia Vegetación Secundaria Arbórea de Selva Alta Subperennifolia Vegetación Secundaria Arbórea de Selva Baja Caducifolia Vegetación Secundaria Arbórea de Selva Baja Espinosa Caducifolia Vegetación Secundaria Arbórea de Selva Baja Espinosa Subperennifolia Vegetación Secundaria Arbórea de Selva Baja Perennifolia Vegetación Secundaria Arbórea de Selva Baja Subcaducifolia Vegetación Secundaria Arbórea de Selva Baja Subperennifolia Vegetación Secundaria Arbórea de Selva Mediana Caducifolia Vegetación Secundaria Arbórea de Selva Mediana Subcaducifolia Vegetación Secundaria Arbórea de Selva Mediana Subperennifolia Vegetación Secundaria Arbustiva de Matorral Subtropical Vegetación Secundaria Arbustiva de Mezquital Tropical Vegetación Secundaria Arbustiva de Palmar Natural Vegetación Secundaria Arbustiva de Selva Alta Perennifolia Vegetación Secundaria Arbustiva de Selva Alta Subperennifolia Vegetación Secundaria Arbustiva de Selva Baja Caducifolia Vegetación Secundaria Arbustiva de Selva Baja Espinosa Caducifolia Vegetación Secundaria Arbustiva de Selva Baja Espinosa Subperennifolia Vegetación Secundaria Arbustiva de Selva Baja Perennifolia Vegetación Secundaria Arbustiva de Selva Baja Subcaducifolia Vegetación Secundaria Arbustiva de Selva Baja Subperennifolia Vegetación Secundaria Arbustiva de Selva Mediana Caducifolia Vegetación Secundaria Arbustiva de Selva Mediana Perennifolia Vegetación Secundaria Arbustiva de Selva Mediana Subcaducifolia Vegetación Secundaria Arbustiva de Selva Mediana Subperennifolia Vegetación Secundaria Herbácea de Palmar Natural Vegetación Secundaria Herbácea de Selva Alta Perennifolia Vegetación Secundaria Herbácea de Selva Alta Subperennifolia Vegetación Secundaria Herbácea de Selva Baja Caducifolia Vegetación Secundaria Herbácea de Selva Baja Espinosa Caducifolia Vegetación Secundaria Herbácea de Selva Baja Espinosa Subperennifolia Vegetación Secundaria Herbácea de Selva Mediana Caducifolia Vegetación Secundaria Herbácea de Selva Mediana Subcaducifolia Vegetación Secundaria Herbácea de Selva Mediana Subperennifolia | Am, Af, Aw; (Climas cálidos húmedos y subhúmedos, cuya temperatura del mes más frío es mayor a 18°C) |
| Árido y semiárido | Bosque de Mezquite Chaparral Matorral Crasicaule Matorral Desértico Micrófilo Matorral Desértico Rosetófilo Matorral Espinoso Tamaulipeco Matorral Rosetófilo Costero Matorral Sarcocaule Matorral Sarco-Crasicaule Matorral Sarco-Crasicaule de Neblina Matorral Submontano Mezquital Xerófilo Pastizal Gipsófilo Pastizal Halófilo Pastizal Natural Vegetación de Desiertos Arenosos Vegetación Gipsófila Vegetación Halófila Xerófila Vegetación Secundaria Arbórea de Bosque de Mezquite Vegetación Secundaria Arbustiva de Bosque de Mezquite Vegetación Secundaria Arbustiva de Chaparral Vegetación Secundaria Arbustiva de Matorral Crasicaule Vegetación Secundaria Arbustiva de Matorral Desértico Micrófilo Vegetación Secundaria Arbustiva de Matorral Desértico Rosetófilo Vegetación Secundaria Arbustiva de Matorral Espinoso Tamaulipeco Vegetación Secundaria Arbustiva de Matorral Rosetófilo Costero Vegetación Secundaria Arbustiva de Matorral Sarcocaule Vegetación Secundaria Arbustiva de Matorral Sarco-Crasicaule Vegetación Secundaria Arbustiva de Matorral Sarco-Crasicaule de Neblina Vegetación Secundaria Arbustiva de Matorral Submontano Vegetación Secundaria Arbustiva de Mezquital Xerófilo Vegetación Secundaria Arbustiva de Pastizal Gipsófilo Vegetación Secundaria Arbustiva de Pastizal Halófilo Vegetación Secundaria Arbustiva de Pastizal Natural Vegetación Secundaria Arbustiva de Vegetación de Desiertos Arenosos Vegetación Secundaria Arbustiva de Vegetación Halófila Xerófila Vegetación Secundaria Herbácea de Matorral Crasicaule Vegetación Secundaria Herbácea de Matorral Desértico Micrófilo Vegetación Secundaria Herbácea de Matorral Desértico Rosetófilo Vegetación Secundaria Herbácea de Matorral Espinoso Tamaulipeco Vegetación Secundaria Herbácea de Matorral Rosetófilo Costero Vegetación Secundaria Herbácea de Matorral Sarco-Crasicaule Vegetación Secundaria Herbácea de Matorral Sarco-Crasicaule de Neblina Vegetación Secundaria Herbácea de Pastizal Natural Vegetación Secundaria Herbácea de Vegetación Halófila Xerófila | Bs, Bw (Climas secos muy cálidos hasta secos con temperaturas semifrías. |
| Humedales y transición tierra mar | Bosque de Galería Manglar Matorral Rosetófilo Costero Popal Selva de Galería Tular Vegetación de Dunas Costeras Vegetación de Galería Vegetación de Petén Vegetación Halófila Hidrófila Vegetación Secundaria Arbórea de Bosque de Galería Vegetación Secundaria Arbórea de Manglar Vegetación Secundaria Arbórea de Selva de Galería Vegetación Secundaria Arbórea de Vegetación de Petén Vegetación Secundaria Arbustiva de Bosque de Galería Vegetación Secundaria Arbustiva de Manglar Vegetación Secundaria Arbustiva de Matorral Rosetófilo Costero Vegetación Secundaria Arbustiva de Selva de Galería Vegetación Secundaria Arbustiva de Vegetación de Dunas Costeras Vegetación Secundaria Arbustiva de Vegetación de Galería Vegetación Secundaria Arbustiva de Vegetación Halófila Hidrófila Vegetación Secundaria Herbácea de Manglar Vegetación Secundaria Herbácea de Matorral Rosetófilo Costero Vegetación Secundaria Herbácea de Vegetación de Dunas Costeras | Climas predominantemente cálidos, aunque la vegetación de galería se presente en cualquier clima. |
Cuando un mismo tipo de vegetación se presenta en dos ecosistemas, la selección de en cual ecosistema se clasifica se realizará de acuerdo a la ubicación del cambio de uso del suelo que se está analizando.
Una vez determinados los ecosistemas, y de conformidad con sus características ecológicas, se establecieron las actividades mínimas que se requieren para cada uno, con el fin de garantizar el nivel mínimo de restauración que permita iniciar la sucesión ecológica. Dado que cada ecosistema representa situaciones de suelos y climas distintos, para cada uno de ellos se determinó un procedimiento específico.
SECCIÓN III.
Del procedimiento y Desarrollo de la Metodología.
III.1. Procedimiento para el desarrollo de la metodología.
El procedimiento que se sigue para la determinación de costos de las actividades de restauración o reforestación y su mantenimiento para compensación ambiental, consiste en calcular con base en los rendimientos de mano de obra y maquinaria, o bien su inverso, es decir, el consumo de tiempo de mano de obra o tiempo de maquinaria y equipo para la construcción de una determinada obra, considerando también los cargos por consumos, es decir los insumos o materias primas empleadas en la obra, y otros cargos como desplazamientos de personal o transporte de materiales; dichos rendimientos se especifican en cada una de las fichas para cada tipo de obra y práctica de acuerdo con las actividades necesarias para que su realización. El rendimiento de mano de obra se calculó con base en las experiencias en la realización de una determinada obra o práctica de restauración o reforestación o mantenimiento, estimada directamente en campo.
De acuerdo al tipo de obras o actividades requeridas, se calculó la cantidad de jornales necesarios para su realización y con base en los rendimientos para la realización de una obra se calcularon los cargos por mano de obra, maquinaria y equipo, así como los demás cargos que aplican para cada actividad.
A continuación se muestran los costos de mano de obra que intervienen en la realización de las obras de restauración o reforestación y su mantenimiento, de acuerdo a sus profesiones u oficios:
Cuadro 2.
COSTOS HORARIOS DE MANO DE OBRA.
| Profesión u Oficio | Salario real ($) | Costo horario ($) |
| Jornalero o Peón. | 300.68 | 37.58 |
| Brigada de topografía (topógrafo y estadalero). | 1,275.67 | 159.46 |
| Brigada de campo (proyectista y ayudante). | 1,952.55 | 244.07 |
| Asesoría técnica especializada para supervisión de vivero forestal. | 1,301.70 | 162.71 |
Los cargos por mano de obra se calculan multiplicando el costo de la mano de obra (especializada y no especializada) requerida para la realización de la actividad, por el consumo de mano de obra de la actividad o práctica que se va a realizar.
Para el caso de las actividades realizadas con maquinaria los valores se calcularon empleando las fórmulas establecidas en el Reglamento de la Ley de Obras Públicas y Servicios Relacionados con las Mismas, a continuación se muestra un ejemplo de dichos cálculos:
Cuadro 3.
EJEMPLO DEL COSTO HORARIO PARA TRACTOR BULLDOZER D6.
| Factor | Valor | Factor | Valor |
| (Pm) Precio de la máquina | $9,000,000.00 | (HP) Potencia nominal | 165 HP |
| (Vn) Precio de las llantas | NA | (Fo) Factor de operación | 0.75 |
| (Vm) Valor de la máquina | $9,000,000.00 | (HPop) Potencia de operación (HP x Fo) | 123.75 HP |
| (Vr) Valor de rescate | $900,000.00 (10% Valor de adquisición) | (CC) Coeficiente de combustible | 0.1514 |
| (Ve) Vida económica | 10,000 horas | (Pc) Precio del combustible (litro). | $24.00 |
| (i) Tasa de interés anual (décima) | 12.00% | (C) Capacidad del cárter | 18 litros |
| (Hea) Horas efectivas por año | 2,000 horas | (t) Horas efectivas entre cambio de lubricante | 150 horas |
| (s) Prima anual promedio | 4.00% | (CL) Coeficiente de lubricante | 0.002 |
| (Mn) Mantenimiento mayor y menor | 50.00% | (PL) Precio del lubricante | $100.00 |
| Salario mínimo | $260.34 | (HV) Vida útil de las llantas | n/a |
| (So) Salarios por turno | $1,561.00 | (H) Horas efectivas por turno (85% de la jornada) | 6.8 |
| Ko (Coeficiente de mantenimiento) | 75% | | |
| I. Cargos fijos | Fórmula | Monto ($) |
| I.1.- Depreciación | D = ( Va - Vr ) / Ve | 810.00 |
| I.2.- Inversión | I = ( Va + Vr ) i / 2 Ha | 297.00 |
| I.3.- Seguros | S = ( Va + Vr ) s/ 2 ha | 99.00 |
| I.4.- Mantenimiento | T = Q x D | 405.00 |
| Suma de cargos fijos | | 1,611.00 |
| II. Consumos | Fórmula | Monto ($) |
| II.1.- Combustibles | E = CC x HPop x Pc = | 449.66 |
| II.2.- Otras fuentes de energía | | |
| II.3.- Lubricantes | AI = [(C/t)+(CLxHPop)] x PL | 24.87 |
| II.4.- Llantas | N = Vn / Hv = | |
| Suma de Consumos | | 474.53 |
Nota.- El significado de las fórmulas está especificado en el Reglamento de la Ley de Obras Públicas y Servicios Relacionados con las Mismas, y los salarios para operación incluyen al operador del bulldozer y ayudante del operador.
Con base en la aplicación de las fórmulas antes señaladas se calculó el costo horario por tipo de maquinaria y equipo, resultando los siguientes costos horarios.
Cuadro 4.
COSTO HORARIO PARA LAS DIFERENTES MÁQUINAS QUE SE USAN EN LOS TRABAJOS DE
REFORESTACIÓN O RESTAURACIÓN Y SU MANTENIMIENTO.
| Tipo de maquinaria | Costo horario ($) |
| Bulldozer D6 | 2,315.09 |
| Camión pick up | 659.88 |
| Camión de carga mediano (3 toneladas) | 1,311.05 |
| Equipo topográfico (nivel montado y estadal) | 3.50 |
| Equipo topográfico (nivel de mano y estadal) | 1.50 |
| Motosierra | 3.75 |
| Herramientas menores |
| Paquete herramientas para excavación (pico o talacho, pala cuadrada, hacha, lima triangular, machete y azadón). | 3.75 |
| Herramientas para transporte de material (carretilla). | 0.92 |
| Herramienta para apertura de cepa (barreta, cavahoyos y excavador). | 0.84 |
| Paquete herramienta para reforestación de planta de contenedor (pala espada y talacho). | 0.72 |
| Paquete herramienta para reforestación con subsoleo (pala espada y excavador). | 0.36 |
| Paquete herramientas para la apertura de brechas (pico o talacho, pala cuadrada, azadón, carretilla, rastrillo, machete, hacha, lima triangular, marro, macetón o marro pequeño). | 0.40 |
| Marro y Macetón (marro pequeño). | 1.49 |
| Paquete herramientas para el deshierbe manual (machete y lima triangular). | 0.31 |
Los cargos por maquinaria se calculan multiplicando el costo horario de una determinada máquina, por la cantidad de horas máquina requeridas para la realización de la obra.
Considerando los rendimientos, así como cargos por mano de obra, costos horarios de maquinaria y equipo, y otros cargos, se calcularon los costos unitarios para cada una de las obras o actividades para reforestación o restauración y su mantenimiento.
Con base en lo anterior, a continuación se indican los costos unitarios de las actividades de reforestación o restauración y su mantenimiento necesarias para la restauración de ecosistemas, considerando a estas obras como las actividades que, combinadas de acuerdo con los ecosistemas, serán las mínimas necesarias para la determinación de los costos de referencia.
Cuadro 5.
COSTOS UNITARIOS DE ACTIVIDADES PARA REFORESTACIÓN
O RESTAURACIÓN Y SU MANTENIMIENTO.
| Actividad | Unidad de Medida | Costo Unitario ($) |
| Cercado con postes de madera | Km | 57,495.30 |
| Brechas corta fuego | Km | 7,987.70 |
| Zanja bordo manual | M | 29.83.85 |
| Zanja bordo con maquinaria | M | 15.18 |
| Roturación con bulldozer | M | 8.16 |
| Zampeado seco | metro cuadrado (m2) | 169.45 |
| Apertura de canales | metro cubico (m3) | 434.47 |
| Terrazas individuales | Pieza | 12.92 |
| Reforestación con apertura de cepa común de 20 cm de diámetro por 30 cm de profundidad. | Pieza | 7.89 |
| Reforestación usando pala plantadora | Pieza | 3.32 |
| Reforestación con pala plantadora en manglares | Pieza | 5.19 |
| Producción planta ciclo corto | Pieza | 4.5 |
| Producción planta ciclo largo | Pieza | 6 |
| Transporte de planta | Pieza | 0.55 |
| Deshierbe circular en terrazas individuales | Pieza | 8.34 |
| Asesoría técnica | ha | 2,730.00 |
SECCIÓN IV.
Del cálculo de los costos de referencia para actividades de reforestación o restauración y su
mantenimiento para cada ecosistema.
IV.1. Cálculo de los costos de referencia para el ecosistema árido.
Las zonas áridas están presentes en la mayoría del territorio nacional, tienen climas secos, donde la precipitación pluvial es escasa y la evapotranspiración y la temperatura son altas, de tal manera que las plantas que ahí sobreviven presentan adaptaciones en su estructura para hacer eficiente el uso del agua, tales como: hojas pequeñas, sustitución de hojas por espinas, tallos fotosintéticos, raíces profundas, entre otras.
Debido a las características del ecosistema árido y semiárido, los trabajos de restauración corresponden a aquellos enfocados a la captación de agua de lluvia para el auxilio de la reforestación y disminución de la escorrentía superficial, lo que reditúa en una disminución de la erosión.
IV.1.1. Procedimiento para calcular la cantidad de obras requeridas.
a.- Estimación de la lluvia máxima en 24 horas.
Para el ecosistema árido y semiárido la lluvia promedio máxima en 24 horas, para un periodo de retorno de 5 años, es de 75 mm. Dicha estimación se hizo considerando las principales estaciones climatológicas de las zonas áridas y se tomó como referencia el Manual de Conservación del Suelo y del Agua, editado por el Colegio de Posgraduados, tercera edición, 1991.
b.- Estimación del coeficiente de escurrimiento.
La estimación del coeficiente de escurrimiento se realizó considerando factores de textura de suelo, pendiente y tipo de vegetación, mediante el siguiente cuadro.
Cuadro 6.
COEFICIENTE DE ESCURRIMIENTO PARA DIFERENTES CONDICIONES DE VEGETACIÓN Y DE
TERRENO
| Tipo de Vegetación | Relieve del terreno | Textura del suelo |
| Gruesa | Media | Fina |
| Bosque | Plano (0 a 5% de pendiente) | 0.10 | 0.30 | 0.40 |
| Ondulado (6 al 10% de pendiente) | 0.25 | 0.35 | 0.50 |
| Escarpado (11 al 30% dependiente) | 0.30 | 0.50 | 0.50 |
| Pastizales | Plano (0 a 5% de pendiente) | 0.10 | 0.30 | 0.40 |
| Ondulado (6 al 10% de pendiente) | 0.16 | 0.36 | 0.55 |
| Escarpado (11 al 30% dependiente) | 0.22 | 0.42 | 0.60 |
| Terrenos cultivados | Plano (0 a 5% de pendiente) | 0.30 | 0.50 | 0.60 |
| Ondulado (6 al 10% de pendiente) | 0.40 | 0.60 | 0.70 |
| Escarpado (11 al 30% dependiente) | 0.52 | 0.72 | 0.82 |
Fuente. Manual de Conservación del Suelo y del Agua, 1991, 3ra. Edición.
c.- Estimación del escurrimiento superficial.
Para el cálculo del escurrimiento se toma en cuenta la lluvia máxima en 24 horas y el coeficiente de escurrimiento de acuerdo con las condiciones del terreno, por lo que el cálculo consiste en multiplicar la lluvia máxima en 24 horas, por el coeficiente de escurrimiento.
Los terrenos que predominan en el ecosistema árido y semiárido son suelos poco profundos, con moderado potencial de escurrimiento y con texturas predominantemente medias (franco) y con escasa cobertura vegetal y presencia de erosión laminar, con pendientes de 6 al 10%, por lo que el coeficiente de escurrimiento seleccionado es de 0.35.
Cálculo
Con el objeto de captar y proporcionar la mayor cantidad de agua a la vegetación que se establecerá, se diseñan las obras para captar el 75% del escurrimiento, la lámina a captar por lo tanto es de 19.5 mm (26 *0.75).
d. Cálculo de las obras de restauración.
Considerando que en los terrenos de zonas áridas el principal objetivo es la captación de agua, la pendiente es baja y la vegetación es escasa, de acuerdo con la experiencia en los trabajos de restauración de suelos que ejecuta la CONAFOR en dichas zonas, las obras de restauración que se establecen consisten en la construcción de zanjas bordo a nivel, que se realizan empleando maquinaria, con el fin de que el agua precipitada sea aprovechada por la vegetación a establecer.
La zanja bordo que se construye con bulldozer tiene una sección triangular con una base de 1 m de ancho y una profundidad de 0.4 m, por lo que el área de la zanja corresponde a la de un triángulo de las dimensiones ya descritas.
d.1 Cálculo área y volumen de captación de zanjas:
Área:
Volumen:
Entonces cada metro de zanja puede captar un volumen de 0.2 m3 de agua, que equivale a 200 litros de agua.
Dado que la zanja capta 0.2 m3 de agua, se requiere conocer cuál será el espaciamiento entre zanjas para que escurra el volumen suficiente de agua y que la zanja retenga su máxima capacidad de almacenamiento, por lo tanto:
d.1.2. Cálculo separación de zanjas:
Dónde:
D = Distancia o espaciamiento entre zanjas en metros.
V = Volumen de agua que puede retener la zanja en m³.
L = Lámina de lluvia que escurre en metros
Dado que se calcula para un metro de zanja, el área resultante de 10.25 m2 corresponde en igual magnitud a la distancia lineal, ya que al multiplicar 10.25 m por 1 m, se obtienen 10.25 m2, por que la separación entre zanjas es 10.25 m, que para propósitos prácticos se redondea a 10 m. Lo anterior implica que en un área de una hectárea (100 m x 100 m o 10,000 m2), se requiere realizar 1,000 m de zanja bordo.
IV.1.3. Actividades de reforestación.
Considerando las características de la vegetación del ecosistema árido y semiárido, se estableció que la densidad óptima de reforestación son 400 árboles por hectárea, por lo que la plantación se hace espaciando a 5 m entre líneas de plantación y 5 metros entre plantas, adicional a que se reforestará con planta de mayor edad.
En base a la densidad y distanciamiento sobre las zanjas bordo se plantarán 200 árboles y el resto (200 árboles) se plantarán con pala plantadora.
IV.1.4. Actividades de mantenimiento.
Las actividades de mantenimiento están encaminadas a auxiliar la restauración y la reforestación, con el fin de garantizar una sobrevivencia de la reforestación de al menos el 80%, por lo que el mantenimiento consiste en la reposición de la planta muerta por sequía.
De las experiencias de la CONAFOR en trabajos de reforestación se ha determinado que se requieren 3 años de mantenimiento, reponiendo el 50% de planta en el primer año, el 30% en el segundo y el 20% en el tercero.
IV.1.5. Actividades de Protección.
Se consideraron 2 actividades de protección: cercado y brechas cortafuego. Los costos de cada una de las actividades se desglosan al final de la presente metodología.
Las brechas cortafuego, consideran la construcción de una guardarraya de tres metros de ancho, removiendo el suelo orgánico (mantillo) y material combustible hasta el suelo mineral para evitar la continuidad horizontal del combustible y con ello evitar la propagación del fuego. La brecha cortafuego se construye sobre el perímetro del terreno que se está restaurando. De acuerdo a los datos promedio de los proyectos que ha apoyado la CONAFOR es de 0.068 km de brecha por hectárea.
Para el cercado se tomó en cuenta su construcción con postes de madera, con cuatro hilos de alambre de púas calibre 12.5, colocado con grapas de acero. De acuerdo a los datos promedio de los proyectos que ha apoyado la CONAFOR es de 0.068 km de cercado por hectárea.
IV.1.6. Asesoría técnica.
Como parte del acompañamiento técnico en la realización de todas las actividades de restauración, reforestación y su mantenimiento, se requiere de asesoría técnica, dicha asesoría comprende el planteamiento del proyecto y la ejecución del mismo.
IV.1.7. Costos de referencia para actividades de reforestación o restauración y su mantenimiento para el ecosistema árido y semiárido.
Considerando lo anteriormente señalado, calculando las actividades necesarias, las cantidades mínimas y sus costos, se obtuvo el costo total de acuerdo con el cuadro siguiente:
Cuadro 7.
CONCENTRADO DE ACTIVIDADES DE REFORESTACIÓN O RESTAURACIÓN Y SU MANTENIMIENTO
PARA COMPENSACIÓN AMBIENTAL POR CAMBIO DE USO DEL SUELO EN TERRENOS
FORESTALES PARA EL ECOSISTEMA ÁRIDO Y SEMIÁRIDO.
| Tipo de actividad | Actividad específica | Unidad de medida | Costo Unitario ($) | Cantidad mínima por hectárea | Costo Total ($) |
| Restauración de suelos | Zanja bordo con maquinaria | M | 15.18 | 1,000 | 15,181.97 |
| Reforestación | Producción de planta | Planta | 4.5 | 400 | 1,800.00 |
| Transporte de planta | Planta | 0.55 | 400 | 221.47 |
| Reforestación mediante cepa común | Planta | 7.89 | 400 | 3,154.12 |
| Mantenimiento 1er año. | Producción de planta | Planta | 4.5 | 200 | 900.00 |
| Transporte de planta | Planta | 0.55 | 200 | 110.74 |
| Reforestación mediante cepa común | Pieza | 7.89 | 200 | 1,577.06 |
| Mantenimiento 2do año. | Producción de planta | Planta | 4.5 | 120 | 540.00 |
| Transporte de planta | Planta | 0.55 | 120 | 66.44 |
| Reforestación mediante cepa común | Pieza | 7.89 | 120 | 946.24 |
| Mantenimiento 3er año. | Producción de planta | Planta | 4.5 | 80 | 360.00 |
| Transporte de planta | Planta | 0.55 | 80 | 44.29 |
| Reforestación mediante cepa común | Pieza | 7.89 | 80 | 630.82 |
| Protección | Brechas cortafuego | km | 7,987.70 | 0.068 | 543.16 |
| Cercado | km | 57,495.30 | 0.068 | 3,909.68 |
| Asistencia técnica | Asesoría técnica | ha | 2,730.00 | 1 | 2,730.00 |
| Costo total | Hectárea | | 1 | 32,714.84 |
El costo de referencia para actividades de reforestación o restauración y su mantenimiento para compensación ambiental por Cambio de Uso del Suelo en Terrenos Forestales en el ecosistema árido y semiárido, corresponde a la suma de los costos de todas las actividades señaladas en el cuadro No.7, por lo tanto el costo es de 32,714.84pesos por hectárea.
IV.2. Cálculo de los costos de referencia en el ecosistema templado frío.
Al ecosistema templado frío corresponden terrenos donde las condiciones de precipitación pluvial generan suficiente humedad para el desarrollo de la vegetación, así mismo las condiciones de temperatura son de frescas a frías, ocasionadas, ya sea por la altitud sobre el nivel del mar de los terrenos o bien por encontrarse a latitud mayor al trópico de cáncer. La vegetación predominante en dichos terrenos corresponde a bosques de pino y para las zonas con menor precipitación predominan las especies de los géneros Juniperus y Quercus.
Para el caso del ecosistema templado frío, las obras y prácticas de conservación y restauración de suelos están enfocadas al control de la erosión superficial y a la captación de agua de lluvia.
IV.2.1. Cálculo de las obras de restauración en el ecosistema templado frío.
Para el ecosistema templado frío, los trabajos de restauración de suelos consisten en la construcción de sistemas de zanja bordo a nivel. Los sistemas de zanja bordo a nivel, incluyen las terrazas de absorción o de base angosta, controlan la erosión superficial y retienen e infiltran el agua de lluvia a lo largo de la zanja a través del perfil del suelo.
Para el cálculo del distanciamiento entre sistemas de zanja bordo a nivel, se toma en cuenta la pendiente del terreno y la precipitación media anual. De acuerdo con el Manual de Conservación del Suelo y del Agua (1991), las fórmulas son las siguientes:
a) Cálculo del espaciamiento entre zanjas bordo o terrazas de base angosta.
a.1. Intervalo vertical
El intervalo vertical representa el muro perpendicular a la pendiente del terreno, que se debiera levantar para que se forme la terraza, y la terraza formada tenga una pendiente menor a 1%.
Dónde:
IV =Intervalo Vertical
P = Pendiente en %
3 = Factor que se usa para zonas donde la precipitación anual es menor a 1,200 mm.
4.- Factor que se usa para zonas donde la precipitación anual es mayor a 1,200 mm.
0.305 = Factor de conversión de pies a metros.
a.2. Intervalo horizontal
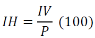
El Intervalo horizontal representa el distanciamiento entre las líneas de zanja bordo o terrazas, y en la práctica constituye la distancia que hay entre ellas.
Dónde:
IH = Intervalo horizontal
IV = Intervalo vertical
P= Pendiente del terreno
b) Cálculo del espaciamiento entre las zanjas bordo a nivel o terrazas.
Con base en las fórmulas y considerando una pendiente media de 10% para las zonas templadas, se procede a calcular el espaciamiento entre zanjas bordo o terrazas.
| Intervalo vertical | Intervalo horizontal |
El intervalo horizontal es de 16.2 m que se ajusta a 15 m de espaciamiento entre zanjas o terrazas, debido a que resulta más conveniente, a fin de adecuarlo a la densidad de plantación, que es mediante un arreglo topológico a marco real, espaciando las plantas 3 m entre plantas y entre hileras.
Por lo que para una hectárea (10, 000 m2) se requieren 660 m de sistema zanja bordo o terrazas de base angosta a nivel para la restauración de suelos.
c) Diseño de las zanjas bordo o terrazas a nivel.
Para la construcción de zanjas bordo o terrazas a nivel de forma manual, se realizan mediante la construcción de una zanja y con el suelo extraído de la zanja, se conforma un bordo que hará la función de muro para la retención del suelo erosionado del terreno y propiciará la formación de la terraza.
Las dimensiones de las zanjas de las terrazas son las siguientes:
Ancho = 0.4 m
Largo = 1 m (considerado sólo para el diseño, el largo final dependerá del terreno)
Profundad = 0.4 m
Volumen de excavación por cada terraza:
Puesto que el espaciamiento entre terrazas será de 15 m, y que una hectárea tiene una longitud de 100 m; por cada hectárea se realizan 6.6 líneas de sistema zanja bordo o terrazas por hectárea y cada línea tendrá una longitud de 100 m, por lo tanto se requieren 660 m de zanja bordo o terrazas por hectárea.
La reforestación de los árboles que no queden ubicados en las terrazas a nivel se hará directamente sobre el terreno, empleando el método de reforestación a cepa común y construyendo terrazas individuales para cada planta.
Terrazas individuales.
Las terrazas individuales son terraplenes circulares de 1 m de diámetro y una profundidad de 10 cm, que auxilian a los árboles reforestados captando mayor humedad, facilitan las labores de mantenimiento y disminuyen la competencia por humedad y nutrimentos por parte de otras plantas (malezas).
IV.2.2. Actividades de reforestación.
Considerando las características de la vegetación del ecosistema templado frío se estableció que la densidad óptima de reforestación son 1,100 árboles por hectárea, por lo que la plantación se hace mediante un arreglo topológico en marco real, espaciando las plantas 3 m entre líneas de plantación y 3 metros entre plantas, de tal manera que sobre las terrazas o zanjas bordo se plantarán 220 árboles y el resto (880 árboles) se plantarán en cepa común en terrazas individuales.
IV.2.3. Actividades de mantenimiento.
Las actividades de mantenimiento están encaminadas a auxiliar la restauración y la reforestación, con el fin de garantizar una sobrevivencia de la reforestación de al menos el 80%, por lo que el mantenimiento consiste en la reposición de la planta muerta por sequía.
De las experiencias de la CONAFOR en trabajos de reforestación se ha determinado que se requieren 3 años de mantenimiento, reponiendo el 50% de planta en el primer año, el 30% en el segundo y el 20% en el tercero.
IV.2.4. Actividades de protección.
Se consideraron 2 actividades de protección; cercado y brechas cortafuego. Los costos de cada una de las actividades se desglosan al final de la presente metodología.
Las brechas cortafuego, consideran la construcción de una guardarraya de tres metros de ancho, removiendo el suelo orgánico (mantillo) y material combustible hasta el suelo mineral para evitar la continuidad horizontal del combustible y con ello evitar la propagación del fuego. La brecha cortafuego se construye sobre el perímetro del terreno que se está restaurando. De acuerdo a los datos promedio de los proyectos que ha apoyado la CONAFOR es de 0.068 km de brecha por hectárea.
Para el cercado se tomó en cuenta su construcción con postes de madera, con cuatro hilos de alambre de púas calibre 12.5, colocado con grapas de acero. De acuerdo a los datos promedio de los proyectos que ha apoyado la CONAFOR es de 0.068 km de cercado por hectárea.
IV.2.5. Asesoría técnica.
Como parte del acompañamiento técnico en la realización de todas las actividades de restauración, reforestación y su mantenimiento, se requiere de asesoría técnica, dicha asesoría comprende el planteamiento del proyecto y la ejecución del mismo.
IV.2.6. Costos de referencia para actividades de reforestación o restauración y su mantenimiento para el ecosistema templado.
Atendiendo a todo lo anterior, calculando las actividades necesarias, las cantidades mínimas y sus costos, se obtiene el costo total de acuerdo al cuadro siguiente.
Cuadro 8.
CONCENTRADO DE ACTIVIDADES DE REFORESTACIÓN O RESTAURACIÓN Y SU MANTENIMIENTO
PARA COMPENSACIÓN AMBIENTAL POR CAMBIO DE USO DEL SUELO EN TERRENOS
FORESTALES PARA EL ECOSISTEMA TEMPLADO FRÍO.
| Tipo de actividad | Actividad específica | Unidad de medida | Costo Unitario ($) | Cantidad mínima (ha) | Costo ($) |
| Restauración de suelos | Terrazas o zanjas a nivel construidas manualmente. | m | 27.85 | 660 | 18,381.00 |
| Restauración de suelos | Terrazas individuales | Pieza | 12.92 | 880 | 11,369.60 |
| Reforestación | Producción de planta | Planta | 6 | 1,100 | 6,600.00 |
| Transporte de planta | Planta | 0.55 | 1,100 | 605.00 |
| Reforestación con pala plantadora | Planta | 3.32 | 1,100 | 3,652.00 |
| Mantenimiento 1er año. | Producción de planta para replante | Planta | 6 | 550 | 3,300.00 |
| Transporte de planta de replante | Planta | 0.55 | 550 | 302.50 |
| Reforestación de la planta de replante con pala plantadora. | Planta | 3.32 | 550 | 1,826.00 |
| Mantenimiento 2do año. | Producción de planta para replante | Planta | 6.00 | 330 | 1,980.00 |
| Transporte de planta de replante | Planta | 0.55 | 330 | 181.50 |
| Reforestación de la planta de replante con pala plantadora. | Planta | 3.32 | 330 | 1,095.60 |
| Mantenimiento 3er año. | Producción de planta para replante | Planta | 6 | 220 | 1,320.00 |
| Transporte de planta de replante | Planta | 0.55 | 220 | 121.00 |
| Reforestación de la planta de replante con pala plantadora. | Planta | 3.32 | 220 | 730.40 |
| Protección | Brechas cortafuego | km | 7,987.70 | 0.068 | 543.16 |
| Cercado | km | 57,495.30 | 0.068 | 3,909.68 |
| Asistencia técnica | Asesoría técnica | Hectárea | 2,730.00 | 1 | 2,730.00 |
| Costo total | 58,647.44 |
El costo de referencia para actividades de reforestación o restauración y su mantenimiento para compensación ambiental por cambio de uso del suelo en terrenos forestales en el ecosistema templado frío, corresponde a la suma de los costos de todas las actividades señaladas en el Cuadro 8, por lo tanto el costo es de 58,647.44 pesos por hectárea.
IV.3. Cálculo de los costos de referencia ecosistema tropical.
El ecosistema tropical comprende un conjunto de comunidades formadas por vegetación arbórea de origen meridional (neo tropical), generalmente de climas cálidos húmedos, sub húmedo y semi seco según la clasificación de climas de Köppen. Los tipos de vegetación predominantes son selvas caducifolias y perennifolias. Este tipo de vegetación está compuesta por la mezcla de un gran número de especies, posee bejucos, lianas y plantas epífitas, frecuentemente con árboles espinosos entre los dominantes.
Se caracterizan porque se presentan precipitaciones pluviales de 800 a 3000 mm, siendo variable su época de sequía entre 2 a 8 meses en el año, se presentan temperaturas medias anuales entre los 18 a 20°C. En general, los suelos son poco profundos en las selvas medianas pero contienen grandes cantidades de materia orgánica sin descomponer, a diferencia de las selvas bajas cuyos suelos son relativamente profundos de drenaje deficiente. Las pendientes promedio son alrededor del 25%.
IV.3.1. Actividades de restauración de suelos.
Por lo anteriormente señalado, en este tipo de ecosistema las actividades de conservación y restauración se orientan a la disminución de escurrimientos y pérdida de suelo, así como la incorporación de especies que en conjunto promuevan la sucesión ecológica, por lo que las obras de restauración más adecuadas son las terrazas individuales, cuya remoción de suelo es mínima, evitando su pérdida y promoviendo la disminución de escurrimientos en sitios con pendientes; sobre estas terrazas se realiza la reforestación.
Las terrazas individuales son terraplenes circulares de 1 m de diámetro y una profundidad de 10 cm, que auxilian a los árboles reforestados con mayor humedad, facilitan las labores de mantenimiento y disminuyen la competencia por humedad y nutrimentos por parte de otras plantas. La cantidad de terrazas individuales y su distribución en el terreno, depende de la densidad de reforestación y arreglo topológico de árboles que se reforestarán.
Su construcción se hace en curvas a nivel y se recomienda usar una estaca y una cuerda de 0.5 metros de largo para su trazo, trazando un círculo de al menos 1 metro de diámetro para excavar en la parte superior de la pendiente y conformando un bordo con el suelo excavado aguas abajo, perpendicular a la pendiente, esto permitirá almacenar agua de lluvia y retener humedad.
La densidad de reforestación es de 625 árboles por hectárea, que corresponden al desarrollo de las copas de los árboles que predominan en los ecosistemas tropicales.
Estas obras se realizarán en un diseño a marco real entre las terrazas de muro vivo, lo que permitirá tener establecer la reforestación con la densidad de plantación adecuada.
IV.3.2. Actividades de reforestación.
La reforestación se realiza usando planta de rápido crecimiento, con una estancia en vivero de entre 4 y 6 meses y la reforestación se hace en el terreno con pala plantadora o talacho.
IV.3.3. Actividades de mantenimiento.
El mantenimiento se realiza durante 3 años, considerando un 50% de reposición de planta para el primer año, 30% para el segundo y 20% para el tercero, además de un deshierbe en la terraza individual debido a que por las condiciones de humedad de la zona tropical se genera una alta incidencia de malezas que afecta el desarrollo de la reforestación. El deshierbe se lleva a cabo de forma manual con machete, limpiando el área de las terrazas individuales.
IV.3.4. Actividades de protección.
Se consideraron 2 actividades de protección; cercado y brechas cortafuego. Los costos de cada una de las actividades se desglosan al final de la presente metodología.
Las brechas cortafuego, consideran la construcción de una guardarraya de tres metros de ancho, removiendo el suelo orgánico (mantillo) y material combustible hasta el suelo mineral para evitar la continuidad horizontal del combustible y con ello evitar la propagación del fuego. La brecha cortafuego se construye sobre el perímetro del terreno que se está restaurando. De acuerdo a los datos promedio de los proyectos que ha apoyado la CONAFOR es de 0.068 km de brecha por hectárea.
Para el cercado se tomó en cuenta su construcción con postes de madera, con cuatro hilos de alambre de púas calibre 12.5, colocado con grapas de acero. De acuerdo a los datos promedio de los proyectos que ha apoyado la CONAFOR es de 0.068 km de cercado por hectárea.
IV.3.5. Asesoría técnica.
Como parte del acompañamiento técnico en la realización de todas las actividades de restauración, reforestación y su mantenimiento, se requiere de asesoría técnica, dicha asesoría comprende el planteamiento del proyecto y la ejecución del mismo.
IV.3.6. Costos de referencia para actividades de reforestación o restauración y su mantenimiento para el ecosistema tropical.
Atendiendo a todo lo anterior, calculando las actividades necesarias, las cantidades mínimas y sus costos, se obtiene el costo total de acuerdo al cuadro siguiente.
Cuadro 9.
CONCENTRADO DE ACTIVIDADES DE REFORESTACIÓN O RESTAURACIÓN Y SU MANTENIMIENTO
PARA COMPENSACIÓN AMBIENTAL POR CAMBIO DE USO DEL SUELO EN TERRENOS
FORESTALES PARA EL ECOSISTEMA TROPICAL.
| Tipo de actividad | Actividad específica | Unidad de medida | Costo Unitario ($) | Cantidad mínima ($) | Costo ($) |
| Restauración de suelos | Terrazas individuales para reforestación. | Piezas | 12.92 | 417 | 5,387.64 |
| Reforestación | Producción de planta | Planta | 4.5 | 625 | 2,812.50 |
| Transporte de planta | Planta | 0.55 | 625 | 343.75 |
| Reforestación a cepa común | Planta | 7.89 | 625 | 4,931.25 |
| Mantenimiento 1er año. | Producción de planta para replante | Planta | 4.5 | 312 | 1,404.00 |
| Transporte de planta para replante | Planta | 0.55 | 312 | 171.60 |
| Reforestación de la planta | Planta | 7.89 | 312 | 2,461.68 |
| Deshierbe en terrazas individuales | Deshierbe | 8.34 | 625 | 5,212.50 |
| Mantenimiento 2do año | Producción de planta para replante | Planta | 4.5 | 188 | 846.00 |
| Transporte de planta para replante | Planta | 0.55 | 188 | 103.40 |
| Reforestación de la planta | Planta | 7.89 | 188 | 1,483.32 |
| Deshierbe en terrazas individuales | Deshierbe | 8.34 | 625 | 5,212.50 |
| Mantenimiento 3er año. | Producción de planta para replante | Planta | 4.5 | 125 | 562.50 |
| Transporte de planta para replante | Planta | 0.55 | 125 | 68.75 |
| Reforestación de la planta | Planta | 7.89 | 125 | 986.25 |
| Deshierbe en terrazas individuales | Deshierbe | 8.34 | 625 | 5,212.50 |
| Protección | Brechas cortafuego | Km | 7,987.70 | 0.068 | 543.16 |
| Cercado | Km | 57,495.30 | 0.068 | 3,909.68 |
| Asistencia técnica | Asesoría técnica | Hectárea | 2,730.00 | 1 | 2,730.00 |
| Costo total | 44,382.98 |
El costo de referencia para actividades de reforestación o restauración y su mantenimiento para compensación ambiental por cambio de uso del suelo en terrenos forestales, en el ecosistema tropical, corresponde a la suma de los costos de todas las actividades señaladas en el cuadro No. 9, por lo tanto el costo es de 44,382.98 pesos por hectárea.
IV.4. Cálculo de los costos de referencia para el ecosistema de humedales o transición tierra mar.
La vegetación del ecosistema de humedales o de transición tierra mar comprende la vegetación que se desarrolla en zonas con alto contenido de humedad y en algunas ocasiones terrenos cubiertos completamente por agua dulce o salobre durante una parte del año o por todo el año. Ese tipo de vegetación presenta adaptaciones biológicas para sobrevivir con el poco oxígeno del suelo o del agua.
La vegetación predominante en estos ecosistemas es la vegetación de galería que se desarrolla en los márgenes de los ríos y comprende principalmente los géneros Salix, Taxodium, Platanus, entre otros.
IV.4.1. Actividades de reforestación.
La reforestación se realiza usando planta que requiere un ciclo largo de producción (al menos de 12 a 15 meses en el vivero), producida en envase y la reforestación se realiza en terrazas individuales, lo cual permitirá estabilizar el talud para el establecimiento de la vegetación.
Aunque las riberas de los ríos son muy variables, se considera la zona de inundación promedio que es la zona comprendida dentro del nivel de aguas máximas ordinario (NAMO), y se estableció como promedio 20 metros a cada margen del río, por lo cual 250 metros de longitud de ribera representarían 10,000 metros cuadrados o una hectárea.
Dado que la vegetación de galería presenta una alta densidad de árboles, la reforestación debe realizarse al menos a una densidad mínima de 2,500 árboles por hectárea, mediante un arreglo topológico a tresbolillo o marco real con una distancia entre plantas de 2 m.
IV.4.2. Actividades de mantenimiento.
Las actividades de mantenimiento están encaminadas a auxiliar la restauración y la reforestación con el fin de garantizar una sobrevivencia de la reforestación de al menos el 80%, por lo que el mantenimiento consiste en la reposición de la planta muerta por sequía.
En el caso de la vegetación de galería, puesto que tiene humedad suficiente, los porcentajes de reposición de planta se consideran de 30% para el primer año, 20% para el segundo y 10% para el tercer año de mantenimiento.
IV.4.3. Actividades de protección.
No se consideran debido a que la vegetación de galería no presenta alto riesgo de incendios ni tampoco se requiere protegerla con un cercado.
IV.4.4. Asesoría técnica.
Como parte del acompañamiento técnico en la realización de todas las actividades de restauración, reforestación y su mantenimiento, se requiere de asesoría técnica, dicha asesoría comprende el planteamiento del proyecto y la ejecución del mismo.
IV.4.5. Costos de referencia para actividades de reforestación o restauración y su mantenimiento para el ecosistema de humedales o vegetación tierra mar.
Atendiendo a todo lo anterior, calculando las actividades necesarias, las cantidades mínimas y sus costos, se obtiene el costo total de acuerdo al cuadro siguiente.
Cuadro 10.
CONCENTRADO DE ACTIVIDADES DE REFORESTACIÓN O RESTAURACIÓN Y SU MANTENIMIENTO
PARA COMPENSACIÓN AMBIENTAL POR CAMBIO DE USO DEL SUELO EN TERRENOS
FORESTALES PARA LA ZONA DE HUMEDALES O TRANSICIÓN TIERRA MAR.
| Tipo de actividad | Actividad específica | Unidad de medida | Costo Unitario ($) | Cantidad mínima ($) | Costo ($) |
| Reforestación | Terrazas individuales | Pieza | 12.92 | 2,500 | 32,300.00 |
| Producción de planta | Planta | 4.5 | 2,500 | 11,250.00 |
| Transporte de planta | Planta | 0.55 | 2,500 | 1,375.00 |
| Reforestación | Planta | 3.32 | 2,500 | 8,300.00 |
| Mantenimiento 1er año. | Producción de planta para replante | Planta | 4.5 | 750 | 5,625.00 |
| Transporte de planta de replante | Planta | 0.55 | 750 | 687.50 |
| Reforestación de la planta de replante. | Planta | 3.32 | 750 | 4,150.00 |
| Mantenimiento 2do año. | Producción de planta para replante | Planta | 4.5 | 500 | 3,375.00 |
| Transporte de planta de replante | Planta | 0.55 | 500 | 412.50 |
| Reforestación de la planta de replante. | Planta | 3.32 | 500 | 2,490.00 |
| Mantenimiento 3er año. | Producción de planta para replante | Planta | 4.5 | 250 | 3,375.00 |
| Transporte de planta de replante | Planta | 0.55 | 250 | 412.50 |
| Reforestación de la planta de replante. | Planta | 3.32 | 250 | 2,490.00 |
| Asistencia técnica | Asesoría técnica | Ha | 2,730.00 | 1 | 2,730.00 |
| Total | 76,880.00 |
El costo de referencia para actividades de reforestación o restauración y su mantenimiento para compensación ambiental por cambio de uso del suelo en terrenos forestales, para el ecosistema de humedal o transición tierra a mar, corresponde a la suma de los costos de las actividades señaladas en el Cuadro 10, por lo tanto el costo es de 76,880.00 pesos por hectárea.
SECCIÓN V.
Costos de referencia para actividades de restauración, reforestación y su mantenimiento.
Finalmente, con los procedimientos anteriores que componen esta metodología, se resumen los costos de referencia, en pesos por hectárea, para cada uno de los ecosistemas de la República Mexicana.
Cuadro 11.
COSTOS DE REFERENCIA PARA REFORESTACIÓN O RESTAURACIÓN Y SU MANTENIMIENTO PARA
COMPENSACIÓN AMBIENTAL POR CAMBIO DE USO DE SUELO EN TERRENOS FORESTALES.
| Concepto. | Costos de referencia, en pesos por hectárea, para las diferentes zonas ecológicas |
| Templada | Tropical | Árida | Zona inundable o transición tierra mar (humedales) |
| Actividades y obras de restauración o reforestación y su mantenimiento. | 58,647.44 | 44,382.98 | 32,714.84 | 76,880.00 |
Bibliografía.
· Acuerdo mediante el cual se expiden los costos de referencia para reforestación o restauración y su mantenimiento para compensación ambiental por cambio de uso de suelo en terrenos forestales y la metodología para su estimación publicado en el Diario Oficial de la Federación el 12 de abril de 2006.
· Acuerdo mediante el cual se expiden los costos de referencia para reforestación o restauración y su mantenimiento para compensación ambiental por cambio de uso de suelo en terrenos forestales y la metodología para su estimación publicado en el Diario Oficial de la Federación el 31 de julio de 2014.
· Colegio de Postgraduados. 1991. Manual de Conservación del Suelo y del Agua, tercera edición. Texcoco, Estado de México. 27-63, 225-324.
· Comisión Nacional Forestal. 2013. Protección, restauración y conservación de suelos forestales. Manual de obras y prácticas. Tercera Edición. Zapopan, Jalisco. 103-128.
· Comisión Nacional Forestal. 2013. Manual de costos de obras y prácticas de restauración de suelos y reforestación. Zapopan, Jalisco. 7-32.
· Decreto de Promulgación de la Convención de las Naciones Unidas de Lucha contra la Desertificación en los Países afectados por la Sequía Grave o desertificación publicado en el Diario Oficial de la Federación el 1 junio 2005.
· García, E. 1973. Modificaciones al Sistema de Clasificación Climática de Köppen (para adaptarlo a las condiciones climáticas de la República Mexicana). Segunda Edición. UNAM, México.
· Instituto Nacional de Estadística y Geografía. 1996 1999. Uso de Suelo y Vegetación Serie II escala 1:250,000.
· Instituto Nacional de Estadística y Geografía. 2016. Uso de Suelo y Vegetación Serie VII escala 1:250,000.
· Ley General de Desarrollo Forestal Sustentable publicada en el Diario Oficial de la Federación el 05 de junio de 2018 y sus reformas.
· Ley General de Vida Silvestre publicada en el Diario Oficial de la Federación el 3 de julio del 2000.
· Reglamento de la Ley de Obras Públicas y Servicios Relacionados con las Mismas publicada en el Diario Oficial de la Federación el 28 de julio de 2010.
· Rzedowski, J. 2006. Vegetación de México. 1ra. Edición digital, Comisión Nacional para el Conocimiento y Uso de la Biodiversidad, México, 504 p.
· Toledo V. y M.J. Ordóñez, 1995. Diagnóstico de los Escenarios de la Biodiversidad en México. Reporte para la CONABIO. 40 p.
_________________________________