PROYECTO de Norma Oficial Mexicana PROY-NOM-036-SCT2-2022, Rampas de emergencia para frenado en carreteras.
Al margen un sello con el Escudo Nacional, que dice: Estados Unidos Mexicanos.- COMUNICACIONES.- Secretaría de Infraestructura, Comunicaciones y Transportes.
MILARDY DOUGLAS ROGELIO JIMÉNEZ PONS GÓMEZ, Subsecretario de Transporte y Presidente del Comité Consultivo Nacional de Normalización de Transporte Terrestre, con fundamento en los artículos 36 fracciones I y XII de la Ley Orgánica de la Administración Pública Federal; 1, 5, 10 fracciones I, XI, XII y XV, 12, 24, 25, 27 fracción I, 30, 34, 35, 38 y 41 de la Ley de Infraestructura de la Calidad; 5 fracción VI y 32 de la Ley de Caminos, Puentes y Autotransporte Federal; 4 de la Ley Federal de Procedimiento Administrativo; 28, 30, 33 y 39 del Reglamento de la Ley Federal sobre Metrología y Normalización, conforme al Transitorio Tercero de la Ley de Infraestructura de la Calidad y 6 fracción XIII del Reglamento Interior de la Secretaría de Comunicaciones y Transportes, y demás ordenamientos jurídicos que resulten aplicables, y
CONSIDERANDO
Que habiendo cumplido el procedimiento que establece la Ley de Infraestructura de la Calidad, el Comité Consultivo Nacional de Normalización de Transporte Terrestre, en su cuarta sesión extraordinaria celebrada el 1 de agosto de 2022, tuvo a bien aprobar el Proyecto de Norma Oficial Mexicana PROY-NOM-036-SCT2-2022, Rampas de emergencia para frenado en carreteras;
Que de conformidad con el artículo 32 de la Ley de Infraestructura de la Calidad, que establece la obligatoriedad de revisar en forma quinquenal las normas oficiales mexicanas, una vez efectuada la revisión y notificación correspondiente y dado que es imprescindible la aplicación de las disposiciones establecidas en la misma, se determinó la modificación de la Norma Oficial Mexicana NOM-036-SCT2-2016, Rampas de emergencia para frenado en carreteras, en concordancia con las disposiciones ambientales relacionadas con el tema;
Que de conformidad con lo establecido en el artículo 35 fracción V de la Ley de Infraestructura de la Calidad, se ordena su publicación, para que en un plazo de 60 días naturales contados a partir de su fecha de publicación, los interesados presenten comentarios ante el Comité Consultivo Nacional de Normalización de Transporte Terrestre, en el domicilio del Comité, ubicado en Calzada de las Bombas 411, piso 2, colonia Los Girasoles, Demarcación Territorial Coyoacán, Código Postal 04920, Ciudad de México, teléfono (55) 5723 9300 EXTENSIÓN 20013 o (442) 216 9777 extensión 4510 y correo electrónico: hbonilla@imt.mx
En virtud de lo anterior, he tenido a bien ordenar la publicación del PROYECTO de Norma Oficial Mexicana PROY-NOM-036-SCT2-2022, Rampas de emergencia para frenado en carreteras.
Ciudad de México, a 20 de octubre de 2022.- Subsecretario de Transporte y Presidente del Comité Consultivo Nacional de Normalización de Transporte Terrestre, Milardy Douglas Rogelio Jiménez Pons Gómez.- Rúbrica.
PROYECTO(1) DE NORMA OFICIAL MEXICANA PROY-NOM-036-SCT2-2022, RAMPAS DE
EMERGENCIA PARA FRENADO EN CARRETERAS
PREFACIO
En la elaboración de esta Norma Oficial Mexicana participaron:
SECRETARÍA DE INFRAESTRUCTURA, COMUNICACIONES Y TRANSPORTES
· INSTITUTO MEXICANO DEL TRANSPORTE
· DIRECCIÓN GENERAL DE SERVICIOS TÉCNICOS
· DIRECCIÓN GENERAL DE CONSERVACIÓN DE CARRETERAS
· DIRECCIÓN GENERAL DE DESARROLLO CARRETERO
· AGENCIA REGULADORA DEL TRANSPORTE FERROVIARIO
CAMINOS Y PUENTES FEDERALES DE INGRESOS Y SERVICIOS CONEXOS
· DIRECCIÓN TÉCNICA
SECRETARÍA DE DESARROLLO AGRARIO, TERRITORIAL Y URBANO
· COORDINACIÓN GENERAL DE DESARROLLO METROPOLITANO Y MOVILIDAD
SECRETARÍA DE TURISMO
· DIRECCIÓN GENERAL DE NORMALIZACIÓN Y CALIDAD REGULATORIA TURÍSTICA
GUARDIA NACIONAL DE LA SECRETARÍA DE SEGURIDAD Y PROTECCIÓN CIUDADANA
· DIRECCIÓN GENERAL DE SEGURIDAD EN CARRETERAS E INSTALACIONES
SECRETARÍA DE MOVILIDAD DE LA CIUDAD DE MÉXICO
· DIRECCIÓN GENERAL DE SEGURIDAD VIAL Y SISTEMAS DE MOVILIDAD URBANA SUSTENTABLE
INSTITUCIONES ACADÉMICAS
· INSTITUTO DE INGENIERÍA DE LA UNIVERSIDAD NACIONAL AUTÓNOMA DE MÉXICO
· ESCUELA SUPERIOR DE INGENIERÍA Y ARQUITECTURA, UNIDAD ZACATENCO, DEL INSTITUTO POLITÉCNICO NACIONAL
CÁMARAS Y SOCIEDADES TÉCNICAS
· CÁMARA NACIONAL DEL AUTOTRANSPORTE DE CARGA
· CÁMARA NACIONAL DEL AUTOTRANSPORTE DE PASAJE Y TURISMO
· CONFEDERACIÓN NACIONAL DE TRANSPORTISTAS MEXICANOS, A.C.
· ASOCIACIÓN MEXICANA DE INGENIERÍA DE VÍAS TERRESTRES, A.C.
· ASOCIACIÓN NACIONAL DE INGENIERÍA URBANA, A.C.
· ASOCIACIÓN NACIONAL DE TRANSPORTE PRIVADO, A.C.
· COLEGIO DE INGENIEROS CIVILES DE MÉXICO, A.C.
ÍNDICE
Introducción
1. Objetivo
2. Campo de aplicación
3. Referencias
4. Definiciones
5. Requisitos
6. Especificaciones para el diseño
7. Proyecto de rampas de emergencia para frenado en carreteras
8. Conservación de las rampas de emergencia para frenado en carreteras
9. Concordancia con normas internacionales y normas mexicanas
10. Bibliografía
11. Evaluación de la conformidad
12. Vigilancia
13. Observancia
14. Vigencia
Introducción
Las condiciones prevalecientes del sitio en donde se construye una carretera pueden, en casos extremos, determinar el diseño de un alineamiento vertical con pendientes descendentes continuas y prolongadas. La combinación de estas condiciones con fallas mecánicas de los vehículos, principalmente en sus sistemas de frenos, puede propiciar la ocurrencia de accidentes fatales. Para evitar en lo posible tales accidentes puede recurrirse a la construcción de las rampas de emergencia para frenado, también conocidas como rampas de escape o simplemente rampas de emergencia.
1. Objetivo
La presente Norma Oficial Mexicana tiene por objeto establecer los criterios generales que han de considerarse para el diseño y construcción de las rampas de emergencia para frenado (RE) en carreteras.
2. Campo de aplicación
Esta Norma es de aplicación obligatoria en todas las carreteras que tengan tramos con pendientes descendentes continuas y prolongadas con características tales que puedan propiciar accidentes fatales causados por vehículos que queden fuera de control por fallas mecánicas, principalmente en sus sistemas de frenos; en los términos que señala el Capítulo 5. de esta Norma.
3. Referencias
Son referencias de esta Norma, las Normas Oficiales Mexicanas NOM-034-SCT2/SEDATU-2022, Señalización y dispositivos viales para calles y carreteras, la NOM-037-SCT2-2020, Barreras de protección en carreteras y vías urbanas y la NOM-008-SCT2-2020, Amortiguadores de impacto en carreteras y vías urbanas, correspondientes a los años indicados o las que las sustituyan. Para aquellos proyectos de rampas de emergencia para frenado que se encuentren en ejecución a la entrada en vigor de esta Norma, debe considerarse la versión de la Norma Oficial Mexicana con la que se contrataron los trabajos de obra.
4. Definiciones
Para los efectos de la presente Norma Oficial Mexicana se consideran las siguientes definiciones:
4.1. Acceso
Parte pavimentada de la rampa de emergencia para frenado que conecta el arroyo vial de la carretera con la cama de frenado con el fin de que los vehículos puedan entrar de manera expedita, como se muestra en la figura 1.
4.2. Arroyo vial
Franja destinada a la circulación de los vehículos, excluyendo los acotamientos y las banquetas.
4.3. Cama de frenado
Parte de la rampa de emergencia para frenado que propiamente detiene el vehículo con el material granular suelto que se coloca en su superficie. La configuración de la cama de frenado determina los tres tipos de rampas definidos en los incisos 4.10. a 4.12. e ilustrados en la figura 2.
4.4. Camino de servicio
Franja pavimentada aledaña a la cama de frenado, acondicionada para retirar los vehículos que entren a la rampa de emergencia para frenado y dar mantenimiento a la cama de frenado.
4.5. Corona de la carretera
Superficie comprendida entre las aristas superiores de los taludes de un terraplén o entre las aristas inferiores de un corte al nivel del eje de dicha superficie, sin contar las cunetas.
4.6. Drenaje
Conjunto de elementos que permiten captar y desalojar el agua de lluvia o de escurrimientos superficiales.
4.7. Macizo de anclaje
Elemento de concreto hidráulico, empotrado en el terreno para el apoyo firme de las grúas o los cabrestantes que se utilizan para el rescate de los vehículos averiados.
4.8. Plaza de cobro
Sitio de las carreteras donde se ubican las casetas en las que se pueden cobrar las cuotas para su utilización.
4.9. Rampa de emergencia para frenado
Es una franja auxiliar conectada al arroyo vial especialmente acondicionada para disipar la energía cinética de los vehículos que queden fuera de control por fallas mecánicas, principalmente en sus sistemas de frenos, desacelerándolos en forma controlada y segura, mediante el uso de materiales granulares sueltos y aprovechando, en su caso, la acción de la gravedad. Como se muestra en la figura 1, las rampas de emergencia para frenado constan de: acceso, cama de frenado y camino de servicio.
Figura 1.- Rampa de emergencia para frenado. Esquema de disposición en planta
4.10. Rampas descendentes (RE-1)
Las que tienen una cama de frenado de espesor uniforme con excepción de su tramo de transición, con pendiente longitudinal descendente como se muestra en la figura 2. La acción de detención se limita al aumento de la resistencia a la rodadura, y debido a que la acción de la gravedad tiene un efecto acelerador, estas rampas suelen ser las de mayor longitud dependiendo de la magnitud de su pendiente descendente, de las características del material granular y de la velocidad del vehículo para la que se diseñen.
4.11. Rampas horizontales (RE-2)
Las que tienen cama de frenado de espesor uniforme con excepción de su tramo de transición, sin pendiente longitudinal como se muestra en la figura 2. La detención se limita al aumento de la resistencia a la rodadura. Como el efecto de la gravedad en la detención es nulo, estas rampas suelen ser largas dependiendo de las características del material granular y de la velocidad del vehículo para la que se diseñen.
4.12. Rampas ascendentes (RE-3)
Las que tienen una cama de frenado de espesor uniforme con excepción de su tramo de transición, con pendiente longitudinal ascendente como se muestra en la figura 2. Como en la detención se aprovecha la resistencia a la rodadura y la acción de la gravedad por la pendiente longitudinal ascendente, estas rampas suelen ser menos largas que las rampas descendentes y horizontales.
Figura 2.- Tipos de rampas de emergencia para frenado (RE)
4.13. Subdrenaje
Conjunto de elementos denominados subdrenes, que permiten captar y desalojar principalmente el agua de lluvia que se infiltra a través del material granular de la cama de frenado.
4.14. Velocidad de operación
Velocidad adoptada por los conductores bajo las condiciones prevalecientes del tránsito y de la carretera. Se caracteriza por una variable aleatoria. Los parámetros de la distribución de la probabilidad asociada a la citada variable aleatoria, se estiman a partir de la medición de las velocidades de los vehículos que pasan por un tramo representativo de la carretera bajo las condiciones prevalecientes (velocidades de punto). Para fines deterministas, suele designarse la velocidad de operación por el percentil 85 de las velocidades de punto.
4.15. Velocidad de proyecto
Velocidad máxima a la cual los vehículos pueden circular con seguridad sobre la calle o carretera y se utiliza para dimensionar los elementos geométricos del mismo. Su selección depende del tipo de calle o carretera a proyectar, de la composición del tránsito y del tipo de terreno.
5. Requisitos
Para la elaboración del proyecto ejecutivo de una rampa de emergencia para frenado se requiere la información detallada del proyecto geométrico de la carretera en el tramo donde se ubicará la rampa, el correspondiente estudio topográfico para proyecto definitivo de obra especial y el estudio geotécnico del área donde se alojará la rampa o, en su defecto, del tramo de la carretera más próximo a dicha área.
La construcción de una rampa de emergencia para frenado sólo debe considerarse bajo dos circunstancias, no necesariamente excluyentes entre sí. La primera es que, por efecto de un alineamiento vertical descendente, los vehículos con los frenos dañados puedan acelerarse a velocidades mayores que las toleradas por el alineamiento horizontal o hasta ciento cuarenta (140) kilómetros por hora. La segunda es la ocurrencia anual de un accidente fatal, causado por vehículos sin frenos o cuando los accidentes causados por los vehículos sin frenos puedan resultar en colisiones con otros vehículos o con instalaciones ocupadas por otras personas, como en la entrada de las poblaciones o en zonas en donde puede haber vehículos detenidos por situaciones debidas a la operación del tránsito, como en las plazas de cobro.
6. Especificaciones para el diseño
El diseño de cada rampa de emergencia para frenado comprende la determinación de su ubicación, tipo y geometría; la selección de los materiales para su construcción y la definición de sus sistemas de drenaje, subdrenaje, señalamiento complementario, dispositivos de seguridad, iluminación y cámaras de detección automática de incidentes, según su compatibilidad con la topografía y las características del lugar de su emplazamiento.
6.1. Consideraciones de diseño
El diseño de las rampas de emergencia para frenado se debe hacer de forma tal que se generen las condiciones necesarias para que los conductores de vehículos fuera de control conozcan su existencia, entiendan las maniobras que deban realizar, sientan la confianza suficiente para ingresar a las rampas en forma segura y no continúen por la ruta principal, tomando en cuenta que:
6.1.1. Las rampas deben ser claramente visibles para evitar la percepción de discontinuidades que desalienten la entrada a las mismas.
6.1.2. El acceso a la rampa debe ser amplio y suficiente para alojar la cama de frenado y el camino de servicio, con suficiente espacio adicional para poder realizar los trabajos de conservación del área.
6.1.3. El ángulo de entrada a cada rampa respecto al eje de la carretera debe ser de cinco (5) grados como máximo, medidos previo al acceso a la rampa, con el fin de asegurar la estabilidad del vehículo durante la maniobra de ingreso a la rampa y su alineamiento horizontal debe ser recto, de manera que los vehículos que ingresen lo hagan de una forma segura, como se ilustra en la figura 1.
6.1.4. La longitud de la cama de frenado (LL) de cada rampa se debe determinar como se indica en el inciso 6.3.2., de forma que sea suficiente para disipar la energía cinética del vehículo que utilice la rampa.
6.1.5. Cada rampa debe contar con un camino de servicio paralelo, como se muestra en la figura 1, que permita ejecutar su mantenimiento y remover los vehículos que ingresen a ella. Este camino de servicio se debe ubicar adyacente a la cama de frenado, a la izquierda o derecha de su eje longitudinal como se ilustra en la figura 1.
6.1.6. Adyacente al camino de servicio se construirán los macizos de anclaje de concreto hidráulico distribuidos convenientemente para que sirvan de apoyo en las maniobras de rescate de los vehículos, como se ilustra en la figura 1.
6.1.7. El pavimento por construir en el acceso podrá ser igual que el de la carretera; en tal caso se deberá realizar cuando menos una cala en el acotamiento o en el hombro de la corona, para verificar la estructura de pavimento existente. Cuando en la cala se detecten capas asfálticas que acumulen más de veinte (20) centímetros o una secuencia alternada de carpetas de concreto asfáltico e hidráulico, se optará por construir carpeta de concreto asfáltico de diez (10) centímetros o de concreto hidráulico de veinte (20) centímetros. En ambos casos sobre base hidráulica de veinte (20) centímetros y capa subrasante de treinta (30) centímetros de espesor. Se deberá proyectar la liga entre el pavimento existente en la carretera con el del acceso a la cama de frenado.
6.1.8. Cada rampa debe contar con un adecuado sistema de drenaje y subdrenaje cuyo diseño debe evitar el deterioro de las características del material que forme la cama de frenado y de las terracerías si existieran, y contemplar en su caso la integración con el sistema de drenaje menor y complementario de la carretera.
6.1.9. El señalamiento de cada rampa y del tramo de la carretera que le anteceda, se debe determinar de acuerdo con lo indicado en el inciso 6.7.
6.1.10. Las rampas se deben iluminar para facilitar su uso en condiciones de conducción nocturna.
6.1.11. Se debe instalar una cámara de detección automática de incidentes en cada rampa, que permita monitorear cada evento que ocurra, estimar la velocidad de entrada y alertar a las instancias de emergencia de su ocurrencia.
6.2. Ubicación
Para determinar la ubicación de las rampas de emergencia para frenado, se debe tomar en cuenta que:
6.2.1. No se deben emplazar rampas de emergencia para frenado al costado izquierdo del tramo de la carretera con pendiente descendente, para evitar que los vehículos fuera de control crucen el o los carriles de sentido de circulación opuesto, salvo cuando se trate de carreteras de cuerpos separados en las que las rampas puedan alojarse dentro de la franja separadora central, donde no exista el riesgo de que esos vehículos invadan el otro cuerpo de la carretera.
6.2.2. Las rampas de emergencia para frenado se deben ubicar antes de los sitios que, por sus características geométricas, pudieran poner en riesgo a los usuarios de la carretera por un vehículo fuera de control.
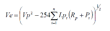
6.2.3. La velocidad de entrada a una rampa de emergencia para frenado puede determinarse mediante la siguiente expresión, con un límite máximo de ciento cuarenta (140) kilómetros por hora:
Donde:
| Ve | = | Velocidad de entrada a la rampa, en kilómetros por hora. |
| Vp | = | Velocidad de operación o, para carreteras nuevas la velocidad de proyecto, en el sitio donde inicie el tramo con pendientes descendentes continuas o en el sitio de entrada a una rampa cuando se proyecte otra subsecuente, en kilómetros por hora. |
| n | = | Número de subtramos con pendientes descendentes diferentes, que integran el tramo para el que se proyecta la rampa, (adimensional). |
| Lpi | = | Longitud del subtramo i con pendiente descendente Pi, en metros. |
| Rp | = | Resistencia a la rodadura de la superficie del pavimento, 0,010 cuando la carpeta sea de concreto hidráulico o 0,012 cuando sea asfáltica, (adimensional, expresada en términos de pendiente equivalente). |
| Pi | = | Pendiente descendente (negativa) del subtramo i de longitud Lpi, en metro/metro, (adimensional). |
6.3. Geometría
La geometría de las rampas de emergencia para frenado se debe determinar considerando lo siguiente:
6.3.1. Ancho
El ancho de las rampas de emergencia para frenado debe ser el adecuado para permitir el libre ingreso de los vehículos y para facilitar las maniobras para removerlos. Debe comprender el ancho de la cama de frenado, que podrá ser de diez (10) a doce (12) metros, así como el ancho del camino de servicio, que será de cinco (5) metros.
6.3.2. Longitud
La longitud de una rampa de emergencia para frenado, desde la orilla de la corona de la carretera hasta el término de la rampa, debe comprender la longitud del acceso pavimentado, que debe ser la necesaria para alojar la curva vertical que permita pasar de la pendiente de la carretera a la pendiente inicial de la cama de frenado y la longitud de esta última, que debe ser la necesaria para detener completamente a los vehículos.
La longitud de la curva vertical se debe determinar considerando que la fuerza centrífuga que se ejerce en el vehículo al cambiar de dirección no exceda a tres coma cero cinco (3,05) metros por segundo cuadrado. La longitud de la cama de frenado se debe calcular de acuerdo con lo que se indica a continuación:
6.3.2.1. Para la determinación de la longitud efectiva de la cama de frenado, si su pendiente es uniforme, se debe aplicar la siguiente expresión:
Donde:
| Le | = | Longitud efectiva de la cama de frenado, en metros. |
| Ve | = | Velocidad de entrada a la rampa, calculada como se indica en el inciso 6.2.3., en kilómetros por hora. |
| Rm | = | Resistencia a la rodadura del material con que se formará la cama de frenado, de acuerdo con la tabla 1, (adimensional, expresada en términos de pendiente equivalente). |
| Sl | = | Pendiente de la cama de frenado, positiva si es ascendente o negativa si es descendente, en metro/metro, (adimensional). |
TABLA 1.- Resistencia a la rodadura, expresada en términos de pendiente equivalente
| Material de la cama de frenado | Resistencia a la rodadura Rm |
| Grava triturada suelta | 0,050 |
| Grava de río suelta | 0,100 |
| Arena suelta | 0,150 |
| Gravilla uniforme suelta | 0,250 |
| Fuente: A Policy on Geometric Design of Highways and Streets (AASHTO, 2018) |
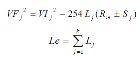
6.3.2.2. Para determinar la longitud efectiva de la cama de frenado, si su pendiente es variable, se debe determinar la velocidad del vehículo en cada cambio de pendiente, hasta una longitud suficiente para detener el vehículo fuera de control. La velocidad final al término de la primera pendiente debe ser calculada y utilizada como la velocidad inicial en la segunda pendiente y así sucesivamente hasta que la velocidad final resulte igual que cero (0), mediante las siguientes expresiones:
Donde:
| VFj | = | Velocidad final al término del subtramo j que se analiza de la cama de frenado, en kilómetros por hora. |
| VIj | = | Velocidad inicial en el subtramo j que se analiza de la cama de frenado, que corresponde, para el primer subtramo, a la velocidad de entrada (Ve) calculada como se indica en el inciso 6.2.3. y para los subtramos subsecuentes, a la velocidad final calculada para el subtramo j-1 (VFj-1) inmediato anterior, en kilómetros por hora. |
| Lj | = | Longitud efectiva del subtramo j que se analiza de la cama de frenado, en metros. |
| Rm | = | Resistencia a la rodadura del material con que se formará la cama de frenado, de acuerdo con la tabla 1, (adimensional, expresada en términos de pendiente equivalente). |
| Sj | = | Pendiente del subtramo j que se analiza de la cama de frenado, positiva si es ascendente o negativa si es descendente, en metro/metro, (adimensional). |
| Le | = | Longitud efectiva de la cama de frenado, en metros. |
| k | = | Número de subtramos de la cama de frenado, con pendientes diferentes, (adimensional) |
6.3.2.3. La longitud total de la cama de frenado, (LL) debe ser veinticinco (25) por ciento mayor que su
longitud efectiva (Le) calculada de acuerdo con los incisos 6.3.2.1. o 6.3.2.2., según corresponda.
6.3.2.4. Si por la topografía del terreno o por limitaciones físicas que restrinjan la construcción de la rampa, no es posible proveerla de una cama de frenado con la longitud a que se refiere el inciso anterior, para impedir que los vehículos salgan de la rampa, la cama de frenado se debe complementar con un dispositivo que permita detener el vehículo en forma segura sin dañar a sus ocupantes, o sustituirla con un dispositivo que mediante pruebas a escala real haya demostrado su efectividad, como pueden ser, entre otros:
6.3.2.4.1. Dispositivos formados con tambores de plástico rellenos con el mismo material de la cama de frenado a la altura especificada por el fabricante y colocados de acuerdo con el tipo y velocidad del vehículo a detener, ubicados al final de la cama de frenado.
6.3.2.4.2. Montículos del mismo material utilizado en la cama de frenado, de setenta (70) centímetros de altura y tres (3) metros de base, con taludes de dos a uno (2:1), o treinta (30) centímetros de altura y los taludes ya mencionados, ubicados a no menos de treinta (30) metros del inicio de la cama de frenado, preferiblemente en un punto en el cual el impacto que se produzca sea a una velocidad menor de cuarenta (40) kilómetros por hora.
6.3.3. Espesor de la cama de frenado
El espesor de la cama de frenado se diseñará tomando en cuenta lo siguiente:
La cama de frenado para rampas descendentes (RE-1), horizontales (RE-2) y ascendentes (RE-3), debe tener un espesor de sesenta (60) centímetros a un (1) metro y debe estar colocada a volteo en una caja en la terracería de la rampa, con taludes de dos tercios a uno (:1) y profundidad igual que el espesor de la cama. Para evitar desaceleraciones excesivas en el vehículo, la cama se debe construir con un espesor de diez (10) centímetros en el punto de entrada, que aumentará uniformemente hasta alcanzar su espesor de diseño, como se muestra en la figura 3. Cuando la cama de frenado se construya con grava triturada, el espesor de diseño debe ser de un (1) metro como mínimo.
Figura 3.- Disposición en corte de la cama de frenado de rampas de emergencia para frenado tipo RE-1, RE-2
y RE-3
6.4. Materiales
La construcción de las rampas de emergencia para frenado se debe hacer considerando que los materiales que se utilicen han de seleccionarse tomando en cuenta que:
6.4.1. Los materiales para formar las terracerías de las rampas de emergencia para frenado deben cumplir con los requisitos de calidad que se establezcan en el proyecto ejecutivo.
6.4.2. Las capas del pavimento y terracerías que se construyan tanto para el acceso como para el camino de servicio deberán cumplir los requisitos de calidad de materiales, acabados y criterios de aceptación indicados en la Normativa para la Infraestructura del Transporte vigente.
6.4.3. Los materiales para formar la cama de frenado deben ser granulares sin finos, de difícil compactación, de granulometría uniforme, preferentemente que tiendan a la esfericidad y estar limpios de partículas contaminantes. Pueden ser: grava triturada, grava de río, arena o gravilla uniforme, que cumplan con los requisitos de calidad que se muestran en la tabla 2 como se ilustra en la figura 4. Asimismo, la masa volumétrica en estado suelto del material granular debe ser la establecida en el proyecto ejecutivo, de acuerdo con el material a emplear.
Figura 4.- Requisitos de granulometría de los materiales que forman la cama de frenado
6.5. Drenaje y subdrenaje
El sistema de drenaje y subdrenaje de las rampas de emergencia para frenado se debe diseñar con el propósito de captar el agua de lluvia, los escurrimientos superficiales y, principalmente, el agua que se infiltre en la cama de frenado, para desalojarla oportunamente, a fin de evitar la acumulación de partículas en suspensión que llenen los huecos del material de la cama y su posible densificación o compactación, así como el eventual congelamiento del agua, que anule la eficacia de la cama, considerando que:
6.5.1. Cuando por las condiciones topográficas aledañas a la rampa de emergencia se prevean escurrimientos superficiales hacia la cama de frenado, se tomarán las medidas necesarias en el diseño para desviar el ingreso de agua en todo el perímetro de la cama de frenado mediante, por ejemplo, el bombeo en la sección transversal del acceso a la cama de frenado y sistemas de drenaje longitudinal que no representen un peligro para la operación de la rampa, evitando de este modo el acarreo de finos hacia dicha cama.
6.5.2. Las rampas de emergencia se deben diseñar con una pendiente transversal de dos (2) por ciento como mínimo, en el fondo de la caja que alojará la cama de frenado, para interceptar y recolectar el agua que se infiltre, como se ilustra en la figura 3.
6.5.3. En el lado más bajo de la caja que alojará la cama de frenado se debe diseñar un subdrén con una pendiente longitudinal mínima de uno coma cinco (1,5) por ciento, como se ilustra en la figura 3 y se describe a continuación:
6.5.3.1. El subdrén debe consistir en tubos perforados de concreto o de policloruro de vinilo (PVC), con diámetro interno (i) mínimo de quince (15) centímetros, dentro de una zanja con las dimensiones que se muestran en la figura 5 y sobre una cama de quince (15) centímetros de espesor como mínimo, formada con el material de filtro que se utilice para el relleno de la zanja. Los tubos y el material de filtro deben cumplir con los requisitos de calidad que se establezcan en el proyecto ejecutivo.
Figura 5.- Subdrén típico para la cama de frenado
6.5.3.2. Las salidas para el agua captada por el subdrén, se deben hacer con tubos del mismo tipo que los utilizados en el subdrén, pero sin perforaciones, colocados en una zanja como se indica en el inciso anterior. Se debe ubicar una tubería de salida en la parte más baja del subdrén y otras a lo largo del mismo, a cada cien (100) metros como máximo, de forma que no queden sumergidas en agua, ni se regrese ésta al interior del subdrén. Las bocas de las salidas se deben proteger con rejillas o pantallas pesadas que prevengan actos de vandalismo y la entrada de roedores.
6.5.3.3. Podrán diseñarse otros subdrenes, como pueden ser entre otros, los denominados geodrenes, que son elementos integrados generalmente por placas separadoras de plástico prensado, con o sin tubos ranurados para la conducción del agua, forrados con una membrana sintética permeable conocida como geotextil, que funciona como filtro.
6.6. Camino de servicio y macizos de anclaje
Para facilitar el rescate de los vehículos detenidos se diseñarán el camino de servicio de la rampa para frenado de emergencia y, los macizos de anclaje que permitan el apoyo adecuado de las grúas de rescate u otros equipos de servicio, de manera que, en conjunto, formen un sistema integral y que los conductores de los vehículos fuera de control no confundan el camino de servicio con la cama de frenado, particularmente durante condiciones de conducción nocturna, considerando que:
6.6.1. El camino de servicio se ubicará adyacente a la cama de frenado, con un ancho de cinco (5) metros y pavimentado igual que el acceso de la rampa de frenado, para proveer una superficie firme para los equipos de rescate, alejada de la ruta principal y hacia la cual se puedan arrastrar los vehículos atrapados.
6.6.2. En los lugares que sea posible, será conveniente que el camino de servicio retorne a la carretera, permitiendo, tanto a la grúa como al vehículo rescatado, un reingreso más fácil a la ruta. El alineamiento horizontal del retorno del camino de servicio se debe diseñar de forma tal que se elimine la posibilidad de que los conductores de los vehículos ingresen al camino de servicio y no a la cama de frenado.
6.6.3. Los macizos de anclaje deben ser de concreto hidráulico reforzado, deben permitir el anclaje o apoyo firme de los equipos de rescate y deben estar alojados a un costado del camino de servicio en el lado opuesto a la cama de frenado, separados entre sí en forma equidistante, como se muestra en la figura 1, a no menos de cincuenta (50) ni más de cien (100) metros. El primero se debe ubicar lo más próximo posible del sitio donde inicie la cama de frenado, para facilitar el rescate de los vehículos que sólo hayan entrado una corta distancia en ella. Las dimensiones y el refuerzo propuesto para los macizos de anclaje deberán estar justificados técnicamente.
6.7. Señalamiento
El diseño del señalamiento de una rampa de emergencia para frenado, debe comprender tanto el señalamiento horizontal como el señalamiento vertical, previos a la rampa y en ella, adicionales a los señalamientos normales de la carretera a que se refiere la Norma Oficial Mexicana NOM-034-SCT2/SEDATU-2022, Señalización y dispositivos viales para calles y carreteras o la que la sustituya, considerando:
6.7.1. Señalamiento horizontal
El señalamiento horizontal de rampas de emergencia para frenado se debe hacer mediante marcas especiales pintadas o colocadas en el pavimento, tanto en tangentes como en curvas, denominadas Marcas de emergencia para frenado (M-14). En la entrada a la rampa y diferenciando claramente el arroyo vial de la carretera para evitar que los vehículos fuera de control continúen por él, se deben utilizar rayas canalizadoras (M-5) conforme a lo indicado en la Norma Oficial Mexicana NOM-034-SCT2/SEDATU-2022, Señalización y dispositivos viales para calles y carreteras o la que la sustituya, como se muestra en la figura 6. Las marcas de emergencia para frenado son:
6.7.1.1. Raya de emergencia para frenado discontinua (M-14.1)
Se utiliza para guiar a los vehículos que pudieran estar fuera de control, desde el sitio donde inicia la pendiente descendente continua y prolongada para la que se diseña la rampa, hasta mil (1.000) metros antes de su entrada, lugar donde los conductores han de tomar la decisión de entrar a ella. Se sitúa al centro del carril descendente de la carretera o si ésta es de dos o más carriles por sentido de circulación, al centro del carril de la extrema izquierda y consiste en segmentos de color rojo reflejante de cinco (5) metros de largo y cuarenta (40) centímetros de ancho, separados entre sí diez (10) metros, como se muestra en la figura 6. El color rojo debe estar dentro del área correspondiente definida por las coordenadas cromáticas presentadas en la tabla 3, con los coeficientes mínimos de reflexión que en la misma se indican, conforme con el Capítulo N·CMT·5·01·001, Pinturas para Señalamiento Horizontal, de la Normativa para la Infraestructura del Transporte, de la Secretaría de Infraestructura, Comunicaciones y Transportes.
TABLA 3.- Coordenadas que definen el área cromática para el color rojo que se utilicen en las marcas
para señalamiento horizontal y coeficientes mínimos de reflexión
| Color | Punto N° | Coordenadas [1] | Coeficiente mínimo de reflexión (mcd / lx) / m2 |
| x | y | Pintura base agua | Pintura termoplástica |
| Inicial | A 180 días | Vida de proyecto | Inicial | A 180 días | Vida de proyecto |
| Rojo | 1 | 0,480 | 0,300 | 35 | 24 | 11 | 51 | 39 | 23 |
| 2 | 0,690 | 0,315 |
| 3 | 0,620 | 0,380 |
| 4 | 0,480 | 0,360 |
| [1] De acuerdo con el sistema estandarizado de la Comisión Internacional de Iluminación (Commission Internationale de l'Éclairage, CIE) para determinar el color (1931), medido con una fuente luminosa estándar tipo "D65". |
6.7.1.2. Raya de emergencia para frenado continua (M-14.2)
Se utiliza para guiar en forma continua a los vehículos que estén fuera de control, desde el sitio donde concluya la raya de emergencia para frenado discontinua, a que se refiere el inciso anterior, hasta la orilla del arroyo vial donde inicie el acceso a la cama de frenado de la rampa. Se sitúa al centro del carril descendente de la carretera o si ésta es de dos o más carriles por sentido de circulación, al centro del carril de la extrema izquierda y, si la rampa se ubica a la derecha del camino, en un tramo con visibilidad para adelantar ubicado a no menos de cuatrocientos cincuenta (450) metros antes de la entrada a la rampa, esta raya continua se debe pasar suavemente del carril contiguo al carril de extrema derecha, como se muestra en la figura 6. Si la carretera es de más de dos carriles por sentido de circulación, la raya continua debe pasar de carril a carril de forma gradual en tramos con visibilidad para adelantar. Consiste en una raya continua de color rojo reflejante de cuarenta (40) centímetros de ancho. El color rojo debe estar dentro del área correspondiente definida por las coordenadas cromáticas presentadas en la tabla 3.
Figura 6.- Señalamiento horizontal de rampas de emergencia para frenado
6.7.1.3. Marca para indicar el acceso a una rampa de emergencia para frenado (M-14.3)
Se utiliza para hacer franca la entrada a la cama de frenado a los conductores de los vehículos que estén fuera de control, entre el límite del arroyo vial que se abandona y el inicio de la cama de frenado. Consta de un tablero formado con rectángulos rojos y blancos reflejantes, inscritos en forma alternada, cada uno de tres (3) metros de largo en el sentido del eje longitudinal de la rampa por un (1) metro de ancho, como se muestra en la figura 6. El color rojo debe estar dentro del área definida por las coordenadas cromáticas presentadas en la tabla 3, con los coeficientes mínimos de reflexión que en la misma se indican, conforme con el Capítulo N·CMT·5·01·001, Pinturas para Señalamiento Horizontal, de la Normativa para la Infraestructura del Transporte, de la Secretaría de Infraestructura, Comunicaciones y Transportes y el blanco debe estar dentro del área correspondiente definida por las coordenadas cromáticas y con los coeficientes mínimos de reflexión que se establecen en la tabla 2 de la Norma Oficial Mexicana NOM-034-SCT2/SEDATU-2022, Señalización y dispositivos viales para calles y carreteras o la que la sustituya.
6.7.1.4. Leyenda para indicar la distancia a la rampa (M-14.4)
Se deberá colocar sobre el pavimento, en todos los carriles, la leyenda "RAMPA A X km" a una distancia de dos (2) kilómetros y un (1) kilómetro del acceso a la rampa de emergencia. La leyenda deberá pintarse en color amarillo reflejante, como se muestra en la figura 6, de acuerdo con la tipografía de letras para marcas sobre el pavimento en carreteras con velocidad superior a sesenta (60) kilómetros por hora, indicada en el Manual de Señalización y Dispositivos para el Control del Tránsito en Calles y Carreteras. El color amarillo debe estar dentro del área correspondiente definida por las coordenadas cromáticas indicadas en la tabla 2 de la NOM-034-SCT2/SEDATU-2022, Señalización y dispositivos viales para calles y carreteras o la que la sustituya.
6.7.1.5. Botones reflejantes
Las rayas de emergencia para frenado, discontinuas (M-14.1) y continuas (M-14.2), se deben complementar con botones reflejantes que tengan en la cara opuesta al sentido de circulación un reflejante de color rojo que esté dentro del área correspondiente definida por las coordenadas cromáticas y con los coeficientes de intensidad luminosa inicial mínimos que se establecen en las tablas 16 y 35, respectivamente, de la Norma Oficial Mexicana NOM-034-SCT2/SEDATU-2022, Señalización y dispositivos viales para calles y carreteras o la que la sustituya. Se colocarán dos (2) botones dispuestos como se muestra en la figura 7 a cada quince (15) metros, al centro del espacio entre segmentos marcados cuando la raya sea discontinua o sobre la raya continua a partir del sitio donde se inicie.
Figura 7.- Ubicación de los botones reflejantes
6.7.2. Señalamiento vertical
El señalamiento vertical de rampas de emergencia para frenado se debe integrar mediante las señales restrictivas (SR), señales preventivas (SP), señales informativas de destino (SID), señales informativas de recomendación (SIR), señales de información general (SIG), señales informativas de servicios (SIS) y señales diversas (OD), que se indican a continuación y que cumplan con lo establecido en la Norma Oficial Mexicana NOM-034-SCT2/SEDATU-2022, Señalización y dispositivos viales para calles y carreteras o la que la sustituya, excepto en lo que se refiere a los colores del fondo, de los caracteres, de las flechas y de los filetes de las señales especiales SID-9, SID-13, SID-15, SIR y SIG, que se muestran en la figura 8, en las que el fondo debe ser de color amarillo reflejante y negros los caracteres, las flechas y los filetes, considerando que sólo serán aplicables para el diseño del señalamiento vertical para rampas de emergencia para frenado. El color amarillo reflejante debe estar dentro del área correspondiente definida por las coordenadas cromáticas, con los factores de luminancia y los coeficientes mínimos de reflexión inicial que se establecen en el inciso 6.2.4. "Color" de esa Norma.
Figura 8.- Señales verticales de rampas para frenado de emergencia
6.7.2.1. Señales restrictivas (SR)
Se deben instalar en la carretera las señales restrictivas SR-22 "Prohibido Estacionarse", como la mostrada en la figura 8, una en el acceso a la rampa de emergencia para frenado, otra en el inicio de la cama de frenado y en la carretera las necesarias hasta quinientos (500) metros antes del acceso a la rampa de emergencia, con una separación máxima entre ellas de ciento cincuenta (150) metros. En el tramo de pendiente descendente de la carretera, se instalarán las señales restrictivas SR-9 "Velocidad" para indicar los límites máximos de velocidad para vehículos de carga, inferiores a ochenta (80) kilómetros por hora.
6.7.2.2. Señales preventivas (SP)
Se deben colocar señales preventivas SP-29 "Pendiente Descendente", indicando la longitud del tramo próximo con pendiente descendente sostenida, como se muestra en la figura 8. La ubicación de estas señales será de acuerdo con lo indicado en el Manual de Señalización y Dispositivos para el Control del Tránsito en Calles y Carreteras.
6.7.2.3. Señales informativas de destino (SID)
Se deben instalar en la carretera dos señales informativas de destino SID-9 o SID-13, como las mostradas en la figura 8, una decisiva a la entrada de la rampa para frenado de emergencia y otra previa a no menos de doscientos (200) metros de esa entrada. En carreteras de un carril por sentido de circulación, estas señales pueden ser bajas o elevadas en bandera, tomando en cuenta el volumen del tránsito y la velocidad de operación, mientras que en carreteras con dos o más carriles por sentido de circulación, siempre deben ser elevadas en bandera, complementadas con dos señales informativas de destino previas elevadas, en bandera (SID-13) o en puente (SID-15), como la mostrada en la misma figura 8, a no menos de cuatrocientos (400) y de setecientos (700) metros de la entrada a la rampa, respectivamente, que indiquen el carril que han de utilizar los vehículos fuera de control.
6.7.2.4. Señales informativas de recomendación (SIR)
Se deben instalar en la carretera cuatro señales informativas de recomendación SIR como las mostradas en la figura 8:
6.7.2.4.1. Una con la leyenda "VEHICULO SIN FRENOS ALERTE CON LUCES Y CLAXON", ubicada lo más próximo posible al sitio donde inicie la pendiente descendente continua y prolongada para la que se diseña la rampa para frenado de emergencia.
6.7.2.4.2. Otra con la leyenda "VEHICULO SIN FRENOS SIGA LA RAYA ROJA", ubicada a no menos de cien (100) metros de la señal que se indica en 6.7.2.4.1.
6.7.2.4.3. Dos con la leyenda "CEDA EL PASO A VEHICULO SIN FRENOS", ubicadas a no menos de seiscientos cincuenta (650) metros de la entrada a la rampa y de doscientos (200) metros del sitio donde inicie la pendiente de la carretera.
En carreteras de un carril por sentido de circulación, esas señales deben ser bajas, mientras que en carreteras con dos o más carriles por sentido de circulación, pueden ser bajas o elevadas en puente, a criterio del proyectista, tomando en cuenta el volumen del tránsito y la velocidad de operación. Si se opta por señales bajas y la carretera es de cuerpos separados, se deben instalar dichas señales en ambos lados del arroyo vial.
6.7.2.5. Señales de información general (SIG)
Se debe instalar en la carretera una señal de información general SIG, como la mostrada en la figura 8, a no menos de quinientos (500) metros de la rampa de emergencia para frenado, preferentemente en el sitio donde la raya roja continua M-14.2, a que se refiere el inciso 6.7.1.2., cambie del carril de alta velocidad al de baja y, en el caso de que el tramo con pendiente descendente de la carretera sea largo, se debe instalar otra señal igual, a cuando menos mil (1.000) metros de la primera.
En carreteras de un carril por sentido de circulación, esas señales deben ser bajas, mientras que en carreteras con dos o más carriles por sentido de circulación, pueden ser bajas o elevadas en puente, a criterio del proyectista, tomando en cuenta el volumen del tránsito y la velocidad de operación. Si se opta por señales bajas y la carretera es de cuerpos separados, se deben instalar dichas señales en ambos lados del arroyo vial.
6.7.2.6. Señal informativa de servicios (SIS)
A un lado del acceso a la rampa se debe instalar una señal informativa de servicios SIS-65 "Asistencia Telefónica en Vialidades" que indique el número telefónico donde se puede solicitar auxilio, complementada con un tablero adicional con el nombre de la carretera y el número de la ruta, la ubicación de la rampa en kilómetros más metros y las coordenadas geográficas (longitud y latitud) en grados con seis decimales, como se muestra en la figura 8.
6.7.2.7. Señales adicionales y dispositivos diversos (OD y DD)
Se debe instalar un indicador de obstáculos OD-5, como el mostrado en la figura 8, en la zona neutral formada por las rayas canalizadoras en la entrada a la rampa de emergencia para frenado, a que se refiere el inciso 6.7.1.
También se deben colocar indicadores de alineamiento DD-1, con reflejante rojo, como el mostrado en la figura 8; de policloruro de vinilo (PVC) o de algún otro material flexible; inastillable y resistente a la intemperie, ubicados a cada veinte (20) metros en ambos lados de la cama de frenado, desde donde inicie hasta donde termine. Estos indicadores de alineamiento DD-1 deben cumplir con todos los requisitos establecidos en la Norma Oficial Mexicana NOM-034-SCT2-SEDATU-2022, Señalización y dispositivos viales para calles y carreteras o la que la sustituya, excepto el color rojo del reflejante, que debe estar dentro del área correspondiente definida por las coordenadas cromáticas, con los factores de luminancia y los coeficientes mínimos de reflexión inicial que se establecen en las tablas 16 y 17 de esa Norma, respectivamente.
6.8. Dispositivos de seguridad
6.8.1. Barreras de protección
En casos donde por la ubicación de la rampa de emergencia para frenado, se considere necesaria la instalación de barreras de protección, éstas se colocarán conforme lo determine un estudio técnico que las justifique, de acuerdo con la Norma Oficial Mexicana NOM-037-SCT2-2020, Barreras de protección en carreteras y vías urbanas o la que la sustituya.
6.8.2. Amortiguadores de impacto
En casos donde por la existencia de elementos rígidos en los que se pudieran impactar los vehículos que entren o pretendan entrar a la rampa de emergencia para frenado o por cualquier otra causa, se considere necesaria la instalación de amortiguadores de impacto, éstos se colocarán conforme lo determine un estudio técnico que los justifique, de acuerdo con la Norma Oficial Mexicana NOM-008-SCT2-2020, Amortiguadores de impacto en carreteras y vías urbanas o la que la sustituya.
6.9. Sistema de iluminación
El diseño de iluminación de las rampas de emergencia para frenado debe comprender desde la ejecución de la ingeniería de detalle necesaria para definir las características de las luminarias, los postes y de todos los elementos del sistema de iluminación, así como las obras inducidas que sean necesarias, de acuerdo con los niveles de iluminación que seleccione el proyectista, que permitan a los usuarios el acceso seguro y eficiente a la rampa de emergencia en condición nocturna o de baja visibilidad, hasta la elaboración de los planos, especificaciones y otros documentos en los que se establezcan la ubicación y características geométricas, estructurales, de materiales y de acabados de todos los elementos del sistema, conforme con el Capítulo N·PRY·CAR·10·06·001, Ejecución de Proyectos de Iluminación para Carreteras y Vialidades Urbanas, de la Normativa para la Infraestructura del Transporte, de la Secretaría de Infraestructura, Comunicaciones y Transportes.
6.10. Cámaras de detección automática de incidentes
El diseño del sistema para la vigilancia y monitoreo de las rampas de emergencia para frenado, se debe integrar mediante cámaras de video para detección automática de incidentes, ubicadas estratégicamente para que detecten, transmitan y registren automáticamente cualquier incidente desde el inicio del camino de acceso a la rampa de frenado hasta el fin de su cama de frenado, incluyendo su camino de servicio, durante todo el tiempo que dure el incidente más dos (2) minutos, mediante el procesamiento y análisis automático de las imágenes de video a colores o en blanco y negro, por medio de un programa de cómputo que genere y transmita en tiempo real, a una central de control, alarmas e imágenes de video para que el personal de emergencia pueda, en su caso, iniciar oportunamente el operativo de auxilio que se requiera. Los componentes principales del sistema son la carcasa, el lente, el sensor de imagen, la unidad central de procesamiento, el procesador de video, la fuente de alimentación eléctrica y el canal de transmisión, conforme con el Capítulo N·EIP·1·01·012, Cámaras de Video para Detección Automática de Incidentes, de la Normativa para la Infraestructura del Transporte, de la Secretaría de Infraestructura, Comunicaciones y Transportes.
7. Proyecto de rampas de emergencia para frenado en carreteras
Para la construcción, ampliación, modificación o reconstrucción de una rampa de emergencia para frenado en carreteras, el proyecto ejecutivo, además de lo correspondiente al camino de acceso, la cama de frenado, el camino de servicio y su sistema de drenaje y subdrenaje, debe incluir los proyectos de señalamiento horizontal y vertical, de iluminación, del sistema de cámaras de detección automática de incidencias y, en su caso, cuando existan cortes y terraplenes de más de cinco (5) metros de altura, los de estabilización de taludes que sean aprobados por la Autoridad responsable de la carretera. En ningún caso se podrán poner en funcionamiento las rampas de emergencia para frenado concluidas, si no cuentan con todos sus elementos.
8. Conservación de las rampas de emergencia para frenado en carreteras
Los responsables de la conservación de las carreteras deben asegurar que las rampas de emergencia para frenado en los tramos a su cargo, siempre estén en condiciones de funcionar correctamente, por lo que deben implantar programas de inspección y vigilancia periódica con ese propósito y, en su caso, contar con los recursos oportunamente para corregir o reponer cualquier elemento integrante de las rampas que no cumpla lo establecido en esta Norma. Dichos programas se deben formular para cada año con base en una jerarquización de los componentes críticos de las rampas, tales como las camas de frenado y su material granular, es decir, granulometría, forma y masa volumétrica en estado suelto, entre otros. Se deberá contar además, con los planes de respuesta inmediata para devolver a la rampa su estado original después de ser usada.
9. Concordancia con normas internacionales y normas mexicanas
La presente Norma no concuerda con alguna Norma Internacional o Norma Mexicana, por no existir referencia de ellas al momento de la elaboración.
10. Bibliografía
10.1. Normativa para la Infraestructura del Transporte, publicada por la Dirección General de Servicios Técnicos de la Subsecretaría de Infraestructura de la Secretaría de Infraestructura, Comunicaciones y Transportes, en lo particular los siguientes Títulos y Capítulos:
· N·PRY·CAR·10·06·001, Ejecución de Proyectos de Iluminación para Carreteras y Vialidades Urbanas,
· N·EIP·1·01·012, Cámaras de Video para Detección Automática de Incidentes,
· N·CMT·1·01, Materiales para Terraplén,
· N·CMT·1·02, Materiales para Subyacente,
· N·CMT·1·03, Materiales para Subrasante,
· N·CMT·3·04·001, Filtros,
· N·CMT·3·04·002, Tubos de Concreto para Subdrenes,
· N·CMT·3·04·003, Tubos de Policloruro de Vinilo (PVC) para Sistemas de Subdrenaje,
· N·CMT·5·01·001, Pinturas para Señalamiento Horizontal,
· N·CMT·5·03·001, Calidad de Películas Reflejantes,
· N·CMT·5·04, Botones y Botones Reflejantes, y
· M·MMP·1·02, Clasificación de Fragmentos de Roca y Suelos.
10.2. Manual de Señalización y Dispositivos para el Control del Tránsito en Calles y Carreteras, publicado por la Secretaría de Infraestructura, Comunicaciones y Transportes y la Secretaría de Desarrollo Agrario, Territorial y Urbano, 2022.
10.3. A Policy on Geometric Design of Highways and Streets, American Association of State Highway and Transportation Officials (AASHTO), Seventh Edition, 2018.
10.4. Road Safety Manual, World Road Association (PIARC), 2019.
11. Evaluación de la conformidad
Las disposiciones contenidas en los artículos 4o. fracción XI y 30 párrafo segundo de la Ley de Infraestructura de la Calidad (LIC), relativas a que, cuando para fines oficiales, sea requerida la evaluación de la conformidad para determinar el grado de cumplimiento de una Norma Oficial Mexicana, y sobre todo de acuerdo con el nivel de riesgo o protección necesarios para salvaguardar las finalidades a que se refiere el artículo 10 fracción XII de la misma Ley, al respecto es necesario situar y clasificar el contenido y las características de la presente Norma Oficial Mexicana.
A efecto de puntualizar el sustento de la Norma, se hace referencia al artículo 10 fracción XII de la LIC, respecto a que la seguridad vial está considerada como un objetivo legítimo de interés público a tutelar.
Para el caso de esta Norma, correspondiente a las rampas de emergencia para frenado, las características principales de las disposiciones que contiene, están dirigidas a establecer los requisitos generales que están directamente relacionados con la seguridad de los usuarios y con la protección de las vidas humanas y los bienes del público en general, y que obligatoriamente han de considerarse para diseñar, construir y conservar las rampas de emergencia para frenado en todas las carreteras del territorio nacional.
Por ello, para la evaluación de la conformidad con las disposiciones contenidas en esta Norma se debe proceder como sigue:
11.1. La Dirección General de Servicios Técnicos de la Secretaría de Infraestructura, Comunicaciones y Transportes, supervisará e inspeccionará las rampas de emergencia para frenado en las carreteras federales mediante programas de inspecciones periódicas, para comprobar que cumplan con las disposiciones de esta Norma y que se encuentren en buen estado. Los alcances de las inspecciones, su frecuencia y sus métodos o instrucciones de trabajo, se realizarán según las estrategias que establezca esa Dirección General, para dar cumplimiento a las disposiciones de esta Norma.
11.2. Las autoridades estatales y municipales, responsables de proyectar, construir, operar y conservar las carreteras, deben designar al personal de verificación que supervise e inspeccione las rampas de emergencia para frenado en esas carreteras, incluyendo las que hayan concesionado, mediante programas de inspecciones periódicas, para comprobar que cumplan con las disposiciones de esta Norma y que se encuentren en buen estado. Los alcances de las inspecciones, su frecuencia y sus métodos o instrucciones de trabajo, se realizarán según las estrategias que establezcan dichas autoridades, para dar cumplimiento a las disposiciones de esta Norma.
11.3. El personal de verificación, tanto de la Dirección General de Servicios Técnicos, como de las autoridades estatales y municipales, en el ámbito de su competencia, debe estar capacitado para llevar a cabo las actividades de supervisión e inspección de las rampas de emergencia para frenado, contenidas en la presente Norma.
12. Vigilancia
Las autoridades federales, estatales o municipales, encargadas de proyectar, construir, operar y conservar las rampas de emergencia para frenado, cada una en el ámbito de su competencia, son las autoridades responsables de vigilar el cumplimiento de la presente Norma. Asimismo, la Dirección General de Servicios Técnicos de la Secretaría de Infraestructura, Comunicaciones y Transportes es la responsable para la interpretación de esta Norma.
13. Observancia
Esta Norma es de observancia obligatoria en todas las carreteras que tengan tramos con pendientes descendentes continuas y prolongadas según los criterios establecidos en el Capítulo 5. de esta Norma, incluyendo las que hayan sido concesionadas a particulares.
14. Vigencia
La presente Norma Oficial Mexicana entrará en vigor a los ciento ochenta (180) días naturales siguientes de su publicación en el Diario Oficial de la Federación. A su entrada en vigor se cancela la NOM-036-SCT2-2016, Rampas de emergencia para frenado en carreteras, publicada en Diario Oficial de la Federación el 3 de octubre de 2016.
Todo proyecto ejecutivo de rampas de emergencia para frenado en carreteras, debe cumplir con las disposiciones contenidas en esta Norma, a partir de su entrada en vigor.
Las rampas de emergencia para frenado existentes, que no se ajusten a las disposiciones indicadas en esta Norma, deben ser corregidas por la Autoridad responsable de conservar la carretera respectiva, o en el caso de que sea concesionada, por el concesionario correspondiente, en un plazo no mayor de nueve (9) meses a partir de su entrada en vigor.
___________________________
1 El presente documento es un Proyecto de la Norma Oficial Mexicana, en términos del artículo 35, fracción V de la Ley de Infraestructura de la Calidad (LIC) y 33 del Reglamento de la Ley Federal sobre Metrología y Normalización, conforme al Transitorio Tercero de la Ley de Infraestructura de la Calidad, para consulta pública por sesenta días naturales (artículo 38 LIC).