DECRETO por el que se emite declaratoria de utilidad pública y se ordena la ocupación temporal de 83,246.45 m² (ochenta y tres mil doscientos cuarenta y seis punto cuarenta y cinco metros cuadrados) de terrenos de propiedad privada, destinados para la construcción del Proyecto Tren Maya, ubicados en los municipios de Palenque, del estado de Chiapas, Tenosique y Balancán, del estado de Tabasco, y Candelaria, del estado de Campeche (Segunda publicación).

Al margen un sello con el Escudo Nacional, que dice: Estados Unidos Mexicanos.- Presidencia de la República.

ANDRÉS MANUEL LÓPEZ OBRADOR, presidente de los Estados Unidos Mexicanos, en ejercicio de la facultad que me confiere el artículo 89, fracción I de la Constitución Política de los Estados Unidos Mexicanos, y con fundamento en los artículos constitucionales 27, primero y segundo párrafos, y 90, párrafo tercero; 41 de la Ley Orgánica de la Administración Pública Federal; 1o., fracción III Bis, 2 Bis, 3o., 4o., 7o., 8 Bis, 9o., 10, 19, 20 y 21 de la Ley de Expropiación, y
CONSIDERANDO
Que el artículo 27 de la Constitución Política de los Estados Unidos Mexicanos establece que "La propiedad de las tierras y aguas comprendidas dentro de los límites del territorio nacional, corresponde originariamente a la Nación, la cual ha tenido y tiene el derecho de transmitir el dominio de ellas a los particulares, constituyendo la propiedad privada" y que "las expropiaciones sólo podrán hacerse por causa de utilidad pública y mediante indemnización"; en tanto que el artículo 28 constitucional, en su párrafo cuarto, señala expresamente que "...los ferrocarriles son áreas prioritarias para el desarrollo nacional en los términos del artículo 25 de esta Constitución; el Estado al ejercer en ellas su rectoría, protegerá la seguridad y la soberanía de la Nación";
Que la Ley de Expropiación es de interés público, y establece como causa de utilidad pública la "construcción de obras de infraestructura pública y la prestación de servicios públicos que requieran de bienes inmuebles y sus mejoras, derivada de concesión, de contrato o de cualquier acto jurídico celebrado en términos de las disposiciones legales aplicables" (artículo 1o, fracción III Bis);
Que la citada ley establece que procede la expropiación, ocupación temporal o la simple limitación de los derechos de dominio por causa de utilidad pública, en los cuales procede la indemnización a quien en derecho corresponda, previa declaratoria de utilidad pública (artículos 2 Bis y 4o.);
Que en el caso de la ocupación temporal, el Ejecutivo Federal hará la declaratoria de utilidad pública, decretará la medida correspondiente y ordenará su ejecución inmediata (artículo 2 Bis, párrafo segundo de la citada ley);
Que el Plan Nacional de Desarrollo 2019-2024, publicado el 12 de julio de 2019 en el Diario Oficial de la Federación (DOF), establece los programas y proyectos que constituyen las prioridades de atención estratégica a problemas públicos identificados, y expone como una de las tareas centrales impulsar la reactivación de la economía para que vuelva a crecer a tasas aceptables, y se fortalezca el mercado interno y el empleo a través de programas sectoriales, proyectos regionales y obras de infraestructura;
Que en el capítulo Proyectos regionales de dicho plan, se dispone expresamente:
1. El Tren Maya es el más importante proyecto de infraestructura, desarrollo socioeconómico y turismo del presente sexenio. Tendrá un recorrido de mil 525 kilómetros, pasará por los estados de Chiapas, Tabasco, Campeche, Yucatán y Quintana Roo e interconectará las principales ciudades y sitios turísticos de la Península de Yucatán...
El Tren Maya es un proyecto orientado a incrementar la derrama económica del turismo en la Península de Yucatán, crear empleos, impulsar el desarrollo sostenible, proteger el medio ambiente de la zona desalentando actividades como la tala ilegal y el tráfico de especies y
propiciar el ordenamiento territorial de la región. Se procurará integrar a la obra y a sus beneficios a los pobladores; se gestionarán los derechos de vía que aún no se tengan mediante acuerdos con los propietarios de los terrenos respectivos; se buscarán acuerdos benéficos en los casos en los que las vías de propiedad federal se encuentren invadidas y se pedirá la aprobación de las comunidades y pueblos originarios mediante consultas.
Que el Tren Maya, a su vez, funcionará como corredor humanitario por medio del cual se entregarán apoyos alimentarios, médicos, etc. para las comunidades indígenas y pueblos marginados del sureste mexicano. Tendrá un flujo constante, y solo por su conducto, se podrá llegar a dichos poblados de manera pronta y eficaz; igualmente, por su ubicación geográfica, es fundamental para salvaguardar las costas y la zona fronteriza con Centroamérica;
Que el Programa Sectorial de Turismo 2020-2024, publicado el 3 de julio de 2020 en el DOF, prevé que la construcción del Tren Maya se encuentra entre los proyectos regionales más importantes del Ejecutivo Federal. "Es el más relevante compromiso de infraestructura para impulsar el desarrollo armónico socioeconómico y turístico de la historia del sureste del país", para fortalecer la integración de cadenas productivas en la península de Yucatán, así como el mejoramiento de la calidad de los servicios turísticos y el fomento a la capacitación y profesionalización del capital humano que forma parte de esta industria, como condicionantes para mejorar el posicionamiento de México en las preferencias del turista;
Que Fonatur Tren Maya, S.A. de C.V. es una empresa de participación estatal mayoritaria sectorizada en la Secretaría de Turismo, como se desprende de la Relación de Entidades Paraestatales de la Administración Pública Federal, publicada en el DOF de 15 de agosto de 2019, creada mediante escritura pública número 98,727 (noventa y ocho mil setecientos veintisiete) de fecha 5 de diciembre de 2018, la cual tiene por objeto social:
· Tramitar todo tipo de asignaciones y permisos, y ejecutar la construcción, operación y explotación, conservación y mantenimiento de vías férreas en el sureste de la república mexicana.
· Tramitar todo tipo de asignaciones y permisos y prestar el servicio público de transporte ferroviario de carga o de pasajeros, por sí mismo mediante asignación o de manera conjunta con concesionarios.
· Tramitar todo tipo de asignaciones y permisos para prestar servicios auxiliares ferroviarios, así como todo tipo de asignaciones y permisos para prestar servicios auxiliares ferroviarios, así como todo tipo de servicios relacionados con la infraestructura ferroviaria.
· Celebrar todo tipo de actos jurídicos por los cuales otorgue o reciba el uso y aprovechamiento de bienes muebles e inmuebles, así como el adquirirlos o enajenarlos, comprendidos instalaciones turísticas o inmobiliarias de cualquier naturaleza, en cualquier destino turístico, polos de desarrollo turístico, Centros Integralmente Planeados, y en Centros Turísticos Sustentables del Fondo Nacional del Fomento al Turismo (Fonatur), en el sureste de la República Mexicana.
Que el 21 de abril de 2020, se publicó en el DOF la asignación que otorga el gobierno federal, por conducto de la entonces Secretaría de Comunicaciones y Transportes, en favor de la empresa de participación estatal mayoritaria Fonatur Tren Maya S.A. de C.V., para construir, operar y explotar la vía general de comunicación ferroviaria denominada Tren Maya, la prestación del servicio público de transporte ferroviario de carga y de pasajeros, la cual incluye los permisos para prestar los servicios auxiliares requeridos;
Que el 20 de noviembre de 2020, se publicó en el DOF el Programa Institucional 2020-2024 del Fondo Nacional de Fomento al Turismo (Fonatur), el cual tiene como uno de sus objetivos prioritarios en su numeral
7.1: "...Desarrollar el Proyecto Regional Tren Maya en los estados de Chiapas, Tabasco, Campeche, Yucatán y Quintana Roo";
Que, en cumplimiento del Programa Institucional 2020-2024 del Fondo Nacional de Fomento al Turismo, Fonatur Tren Maya S.A. de C.V. elaboró dictámenes técnicos respecto de la viabilidad del proyecto Tren Maya, en los que se concluye que es de primera necesidad contar con un servicio confiable, eficiente, cómodo y seguro que permita, por una parte, el transporte de mercancías, y por otra, movilizar a sus usuarios con altos estándares de calidad, acceso y cobertura en el área urbana y conurbada. Asimismo, dichos dictámenes acreditan que el proyecto Tren Maya satisface el interés colectivo, e impulsa las actividades económicas del sur-sureste del país que garantizan el derecho a la movilidad en condiciones de seguridad, accesibilidad, comodidad, eficiencia, calidad e igualdad. La construcción del Tren Maya permitirá el desarrollo socioeconómico y turístico; reducirá los niveles de pobreza que existen en la zona, y mejorará las condiciones de vida de quienes habitan y transitan por la zona;
Que, en razón de lo anterior, el 24 de junio de 2022 se emitieron los dictámenes técnicos sobre la idoneidad y necesidad de expropiar diversos inmuebles de propiedad privada, ubicados en los municipios de Palenque, del estado de Chiapas, Tenosique y Balancán, del estado de Tabasco, y Candelaria, del estado de Campeche, para la construcción de obras de infraestructura pública en el Tramo 1 Palenque Escárcega del Proyecto Tren Maya;
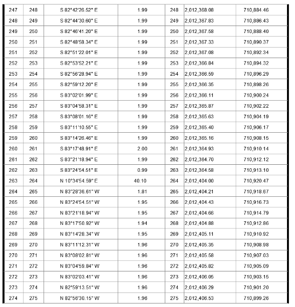
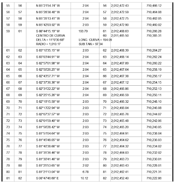
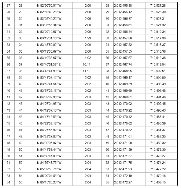
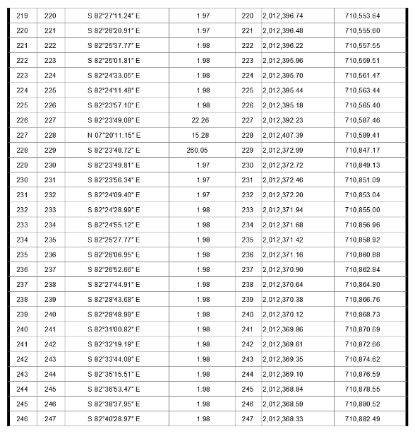
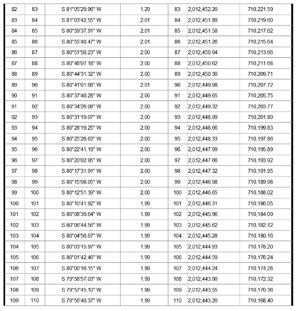
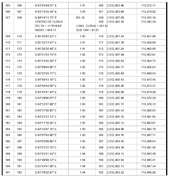
Que, con los dictámenes técnicos elaborados por Fonatur Tren Maya S.A. de C.V., se comprueba que los bienes inmuebles que se pretenden adquirir son apropiados e idóneos para la construcción y el funcionamiento integral del Proyecto Tren Maya conforme a los planos topográficos de los inmuebles en los que se advierten las coordenadas UTM de cada uno de ellos, los cuales se detallan conforme a los siguientes cuadros de construcción:
(La superficie a expropiar y a ocupar de cada predio aparece resaltada).
Predio
Plano
Predio 1
T1/CHI-PAL/PRIV-EXPR/1
Predio 2
T1/CHI-PAL/PRIV-EXPR/2
Predio 3
T1/CHI-PAL/PRIV-EXPR/3
Predio 4
T1/CHI-PAL/PRIV-EXPR/4
Predio 5
T1/CHI-PAL/PRIV-EXPR/5
Predio 6
T1/CHI-PAL/PRIV-EXPR/6
Predio 7
T1/CHI-PAL/PRIV-EXPR/7
Predio 8
T1/CHI-PAL/PRIV-EXPR/8
Predio 9
T1/CHI-PAL/PRIV-EXPR/9
Predio 10
T1/CHI-PAL/PRIV-EXPR/10
Predio 11
T1/CHI-PAL/PRIV-EXPR/11
Predio 12
T1/CHI-PAL/PRIV-EXPR/12
Predio 13
T1/CHI-PAL/PRIV-EXPR/13
Predio 14
T1/CHI-PAL/PRIV-EXPR/14
Predio 15
T1/CHI-PAL/PRIV-EXPR/15
Predio 16
T1/TAB-TEN/PRIV-EXPR/16
Predio 17
T1/TAB-BAL/PRIV-EXPR/17
Predio 18
T1/TAB-BAL/PRIV-EXPR/18
Predio 19
T1/TAB-BAL/PRIV-EXPR/19
Predio 20
T1/TAB-BAL/PRIV-EXPR/20
Predio 21
T1/CAM-CAN/PRIV-EXPR/21
Predio 22
T1/CAM-CAN/PRIV-EXPR/22
 
 
Del municipio de Palenque, estado de Chiapas:
Predio 01:

 

Predio 02:


Predio 03:
 



 
Predio 04:


 

Predio 05:

 

Predio 06:


 
Predio 07:


Predio 08:
 


Predio 09:
 


Predio 10:
 


Predio 11:
 


Predio 12:
 



Predio 13:
 


 
Predio 14:


 

Predio 15:

 

Del municipio de Tenosique, estado de Tabasco:
Predio 16:

 


 
Del municipio de Balancán, estado de Tabasco:
Predio 17:


Predio 18:
 


 
Predio 19:


Predio 20:
 


Del municipio de Candelaria, estado de Campeche:
Predio 21:
 


 

 
 

 

 

 

 

 

 

 

 

 

 


Predio 22:
 


 

 

 

Que se acredita la causa de utilidad pública prevista en el artículo 1o., fracción III Bis, de la Ley de Expropiación, consistente en la construcción de la obra de infraestructura pública Tren Maya, con la finalidad de atender el principio de interés general para comunicar de manera eficiente a los habitantes de la península de Yucatán, y dada la magnitud e importancia del Proyecto Tren Maya, se reactivará la economía y el desarrollo en diversos sectores, como el comercial y el turístico, que se traducirá en bienestar de la población de dicha región;
Que debido a la trascendencia del Proyecto Tren Maya y a efecto de evitar pérdidas económicas innecesarias al erario público, es preciso fortalecer la viabilidad técnica durante la construcción del proyecto, lo que actualiza la hipótesis prevista en los artículos 2 Bis, 4o. y 7o. de la Ley de Expropiación para realizar la ocupación temporal inmediata de los 22 inmuebles identificados anteriormente, hasta que se emita el decreto expropiatorio correspondiente;
Que las indemnizaciones que procedan por la ocupación temporal deberán consistir en una compensación a valor de mercado, y su pago se realizará a quienes acrediten estar ocupando legalmente los bienes inmuebles a la fecha de ejecución de este decreto;
Que las indemnizaciones por expropiación de los bienes inmuebles materia de este decreto se harán, con base en los avalúos que al efecto emita el Instituto de Administración y Avalúos de Bienes Nacionales, a quienes acrediten ser legítimos propietarios;
 
Que deben llevarse a cabo las inscripciones del decreto de la ocupación temporal en el Registro Público de la Propiedad Federal y en el registro público de la propiedad que corresponda, con base en el artículo 8 Bis de la Ley de Expropiación;
Que en caso de que los bienes inmuebles materia de la declaratoria de utilidad pública, de expropiación u ocupación temporal no fueran destinados total o parcialmente al fin que dio causa a la declaratoria respectiva, al término de cinco años, los propietarios afectados podrán solicitar a la autoridad que haya tramitado el expediente, la reversión total o parcial del bien de que se trate, o la insubsistencia de la ocupación temporal, o el pago de los daños causados, en términos de la normativa aplicable;
Que, toda vez que no se conoce el domicilio de los propietarios de los bienes, es procedente efectuar una segunda publicación en el DOF con fundamento en los artículos 2o, fracción II, y 4o., párrafo cuarto, de la Ley de Expropiación;
Que el procedimiento a que se refiere el artículo 2o, fracciones III, IV, V, VI y VII, de la Ley de Expropiación queda a cargo de Fonatur Tren Maya, S.A. de C.V., así como el pago de las indemnizaciones y compensaciones correspondientes en términos de los artículos 19 y 20 de la Ley de Expropiación;
Que, por todo lo anterior y con fundamento en las disposiciones constitucionales y legales antes señaladas, he tenido a bien expedir el siguiente
DECRETO
PRIMERO. Se declara de utilidad pública la infraestructura, desarrollo socioeconómico y turismo del Proyecto Tren Maya, que se materializará en la construcción de obras de infraestructura pública sobre terrenos de propiedad privada, que suman una superficie de 83,246.45 m2 (ochenta y tres mil doscientos cuarenta y seis punto cuarenta y cinco metros cuadrados) comprendidos por todos y cada uno de los predios detallados en el considerando décimo cuarto de la presente declaratoria.
SEGUNDO. Se decreta la ocupación temporal de 83,246.45 m2 (ochenta y tres mil doscientos cuarenta y seis punto cuarenta y cinco metros cuadrados), que corresponden a los predios detallados en la parte considerativa del presente documento; por tanto, ejecútese y proceda Fonatur Tren Maya, S.A. de C.V. a la ocupación temporal, total e inmediata.
TERCERO. Fonatur Tren Maya, S.A. de C.V. queda a cargo del pago de la compensación por la ocupación temporal de los bienes inmuebles materia de este decreto a quienes acrediten estar ocupándolos legalmente en términos de la normativa aplicable.
CUARTO. Los titulares de los inmuebles afectados por la ocupación temporal, podrán acudir, en los plazos y conforme al procedimiento señalado en los artículos 2o. y 4o. de la Ley de Expropiación, a hacer valer lo que convenga a sus intereses y presentar las pruebas que estimen pertinentes ante Fonatur Tren Maya, S.A. de C.V. con domicilio en carretera federal 199, Tramo Catazajá - Rancho Nuevo, Colonia Pakal Na (antes Las Joyas), municipio de Palenque, Chiapas. C.P. 29960;
QUINTO. Los interesados deben señalar domicilio para oír y recibir notificaciones en el municipio de Palenque, Chiapas, apercibidos que, de no hacerlo, se les notificará mediante rotulón que se instale en el domicilio de Fonatur Tren Maya, S.A. de C.V., antes señalado conforme a los artículos 2 de la Ley Federal de Procedimiento Administrativo y 305, 306 y 316 del Código Federal de Procedimientos Civiles.
SEXTO. Proceda Fonatur Tren Maya, S.A. de C.V. a realizar la inscripción del decreto de ocupación temporal en el Registro Público de la Propiedad Federal y en el Registro Público de la Propiedad estatal o municipal que corresponda.
SÉPTIMO. Publíquese el presente decreto en el Diario Oficial de la Federación, y notifíquese personalmente a los titulares de los bienes mediante una segunda publicación en el referido medio de difusión oficial conforme a los artículos 2, fracción II, y 4o., párrafo cuarto, de la Ley de Expropiación.
Dado en la residencia del Ejecutivo Federal, en Ciudad de México a 26 de agosto de 2022.- Andrés Manuel López Obrador.- Rúbrica.- El Secretario de Desarrollo Agrario, Territorial y Urbano, Román
Guillermo Meyer Falcón.- Rúbrica.