ACUERDO del Consejo Nacional del Sistema Nacional de Transparencia, Acceso a la Información Pública y Protección de Datos Personales mediante el cual se aprueba el Programa Nacional de Transparencia y Acceso a la Información (PROTAI) 2022-2026.
Al margen un logotipo, que dice: Sistema Nacional de Transparencia, Acceso a la Información Pública y Protección de Datos Personales.- Consejo Nacional.- CONAIP/SNT/ACUERDO/EXT01-17/05/2022-03.
ACUERDO DEL CONSEJO NACIONAL DEL SISTEMA NACIONAL DE TRANSPARENCIA, ACCESO A LA INFORMACIÓN PÚBLICA Y PROTECCIÓN DE DATOS PERSONALES MEDIANTE EL CUAL SE APRUEBA EL PROGRAMA TRANSPARENCIA Y ACCESO A LA INFORMACIÓN (PROTAI) 2022-2026.
CONSIDERANDO
I. Que el Consejo Nacional del Sistema Nacional de Transparencia, Acceso a la Información Pública y Protección de Datos Personales, es competente para emitir el presente Acuerdo, con fundamento en lo establecido por los artículos 31, fracción I de la Ley General de Transparencia y Acceso a la Información Pública; y 10, fracciones I, II y VII; y 12, fracción XVII del Reglamento del Consejo Nacional del Sistema Nacional de Transparencia, Acceso a la Información Pública y Protección de Datos Personales.
II. Que el 7 de febrero de 2014, fue publicado en el Diario Oficial de la Federación, el Decreto por el que se reforman y adicionan diversas disposiciones de la Constitución Política de los Estados Unidos Mexicanos, en materia de Transparencia; al efecto en su artículo Segundo Transitorio, establece que, el Congreso de la Unión deberá expedir la Ley General del artículo 6o. de esta Constitución, así como las reformas que correspondan a la Ley Federal de Transparencia y Acceso a la Información Pública Gubernamental, a la Ley Federal de Datos Personales en Posesión de los Particulares.
III. Que la Ley General de Transparencia y Acceso a la Información Pública (en adelante Ley General de Transparencia), fue publicada en el Diario Oficial de la Federación el 4 de mayo de 2015, a través de la cual se fijaron las bases de organización del Sistema Nacional de Transparencia, Acceso a la Información Pública y Protección de Datos Personales (Sistema Nacional). Dicho ordenamiento tiene por objeto establecer los principios, bases generales y procedimientos para garantizar el derecho de acceso a la información en posesión de cualquier autoridad, entidad, órgano y organismo de los poderes Legislativo, Ejecutivo y Judicial, órganos autónomos, partidos políticos, fideicomisos y fondos públicos, así como de cualquier persona física, moral o sindicato que reciba y ejerza recursos públicos o realice actos de autoridad de la Federación, las Entidades Federativas y los municipios.
IV. Que de conformidad con el artículo 30 la Ley General de Transparencia, el Sistema Nacional se integra por el Instituto Nacional de Transparencia, Acceso a la Información y Protección de Datos Personales (en lo sucesivo INAI), los Organismos Garantes de las entidades federativas, la Auditoría Superior de la Federación, el Archivo General de la Nación y el Instituto Nacional de Estadística y Geografía; quienes de acuerdo con lo establecido en el numeral 32 integran el Consejo Nacional, el cual puede funcionar en Pleno y en Comisiones atendiendo a lo previsto en el artículo 34 de la Ley de la materia.
V. Que el artículo 31, fracción I, de la Ley General de Transparencia establece que el Sistema Nacional de Transparencia, Acceso a la Información Pública y Protección de Datos Personales (Sistema Nación de Transparencia en lo sucesivo), tiene entre sus funciones la de establecer lineamientos, instrumentos, objetivos, indicadores, metas, estrategias, códigos de buenas prácticas, modelos y políticas integrales, sistemáticas, continuas y evaluables, tendentes a cumplir con sus objetivos.
VI. Que la fracción III, del mismo artículo 31, establece que el Sistema Nacional de Transparencia cuenta con facultades para desarrollar y establecer programas comunes de alcance nacional, para la promoción, investigación, diagnóstico y difusión en materias de transparencia, acceso a la información, protección de datos personales y apertura gubernamental en el país.
VII. Que el mismo artículo 31, fracción XII de la Ley General de Transparencia, dispone que el Sistema Nacional debe aprobar, ejecutar y evaluar el Programa Nacional de Transparencia y Acceso a la Información (PROTAI).
VIII. Que el 13 de abril de 2016, el Consejo Nacional del Sistema Nacional de Transparencia, durante su Segunda Sesión Extraordinaria, aprobó los Lineamientos para la Elaboración, Ejecución y
Evaluación del Programa Nacional de Transparencia y Acceso a la Información (Lineamientos del PROTAI) dictaminados por las Comisiones Unidas de Vinculación, Promoción, Difusión y Comunicación Social y Asuntos de Entidades Federativas y Municipios, los cuales se publicaron en el Diario Oficial de la Federación el 4 de mayo de 2016.
IX. Que los Lineamientos del PROTAI definen conceptos de política pública; establecen mecanismos de coordinación para la elaboración, ejecución y evaluación; así como, la descripción de plazos, de responsables, de productos y de formas para realizar consultas públicas para su elaboración.
X. Que en el punto número 5 del Orden del Día, de la Sesión Ordinaria de 2017, del Consejo Nacional del Sistema Nacional, celebrada el 15 de diciembre del mismo año, fue presentado, sometido a discusión y aprobado por unanimidad el Programa Nacional de Transparencia y Acceso a la Información 2017-2021 (PROTAI), mediante acuerdo con número CONAIP/SNT/ACUERDO/ORD01- 15/12/2017-03. Mismo que fue publicado en el Diario Oficial de la Federación el 05 de marzo de 2018.
XI. Que el PROTAI es el instrumento de política pública a través del cual se atiende el mandato constitucional contenido en el último párrafo del apartado A del artículo 6°, al coordinar las acciones entre los integrantes del SNT, con el objeto de fortalecer la rendición de cuentas del Estado mexicano.
XII. Que es a través de este Programa que, de una manera dinámica, compleja y metódica, se identifican los problemas públicos y se proponen soluciones oportunas y concretas, con la finalidad de cerrar brechas de las diferencias en capacidades institucionales y fomentar la garantía progresiva del derecho de acceso a la información.
XIII. Que con este Programa se acerca la política pública hacia las necesidades de la sociedad mexicana y su contacto constante con las instituciones públicas, favoreciendo el acceso a la información de trámites, servicios y documentos que faciliten la rendición de cuentas, estableciendo prioridades, objetivos comunes y estrategias para coordinar las acciones de sus integrantes en las materias de su competencia.
XIV. Que en el punto 8 del Orden del Día de la Primera Sesión Extraordinaria 2020 del Consejo Nacional de Sistema Nacional celebrada el 05 de noviembre de 2020, fue presentado, sometido a discusión y aprobado por unanimidad el Acuerdo mediante el cual se aprueban las Actualizaciones 2020 del Programa Nacional de Transparencia y Acceso a la Información.
XV. Que en el punto 5 del Orden del Día de la Primera Sesión Ordinaria 2021 del Consejo Nacional del Sistema Nacional de Transparencia , celebrada el 30 de abril de 2021, fue presentado, sometido a discusión y aprobado por unanimidad el Acuerdo mediante el cual se aprueba reformar los numerales décimo sexto, vigésimo tercero, vigésimo octavo, trigésimo tercero, trigésimo octavo, trigésimo octavo bis, trigésimo octavo ter, trigésimo noveno y cuadragésimo segundo de los Lineamientos para la Elaboración, Ejecución y Evaluación del Programa Nacional de Transparencia y Acceso a la Información; así como los numerales décimo, décimo tercero, décimo noveno, vigésimo, trigésimo séptimo, cuadragésimo segundo bis, cuadragésimo tercero, cuadragésimo cuarto y quincuagésimo primero de los Lineamientos para la Elaboración, Ejecución y Evaluación del Programa Nacional de Protección de Datos Personales.
XVI. Que teniendo en cuenta que el PROTAI debe ser un instrumento cohesionador de la transparencia y del acceso a la información no solo a nivel federal, sino que debe incluir activamente al nivel local, donde deberá permear positivamente de manera transversal en las políticas públicas, se requirió dotar a su elaboración de mayor estabilidad, imparcialidad y suficiencia técnica para orientar la continuación de los trabajos y objetivos del Sistema Nacional, por lo que se identificó como necesaria la participación de una institución de prestigio social y académico en la conformación de la propuesta de PROTAI a fin de dotarla de dichos elementos.
XVII. Que el 14 de junio de 2021 se firmó un Convenio de Colaboración con el Instituto de Investigaciones Jurídicas de la Universidad Nacional Autónoma de México (IIJ de la UNAM) con el objeto de llevar a cabo la "Consultoría y Elaboración de los Diagnósticos, la propuesta del Programa Nacional de Transparencia y Acceso a la Información (PROTAI) y del Programa Nacional de Protección de Datos Personales (PRONADATOS) 2022-2024, así como el acompañamiento a sus ajustes", equipo liderado por la Dra. Issa Luna Pla.
XVIII. Que el 21 de septiembre de 2021 se realizó el Foro de Lanzamiento de la Elaboración de los Nuevos Programas Nacionales con la finalidad de formalizar la entrega del IIJ de la UNAM al INAI de las primeras propuestas de los siguientes Programas Nacionales.
XIX. Que en el punto 6 del Orden del Día de la Cuarta Sesión Extraordinaria 2021 del Consejo Nacional
del Sistema Nacional de Transparencia celebrada el 15 de octubre de 2021, fueron presentadas las primeras propuestas del Programa Nacional de Transparencia y Acceso a la Información y del Programa Nacional de Protección de Datos Personales (PROTAI-PRONADATOS 2022-2024) para ser turnado a las instancias e integrantes con lo que se inició el proceso de análisis.
XX. Que el proceso de análisis del PROTAI 2022, además de la retroalimentación por parte de las instancias e integrantes del Sistema Nacional incluyó la realización de tres Foros Regionales:
1) Foro Regional "Derechos Humanos, Enfoque de Género e Inclusión Social rumbo al PROTAI 2022", realizado el 5 de noviembre de 2021 en la Región Sureste del Sistema Nacional.
2) Foro Regional "Rendición de Cuentas, Estado Abierto, Gobierno Digital y Transparencia Proactiva rumbo al PROTAI 2022", realizado el 19 de noviembre de 2021 en la Región Centro Occidente del Sistema Nacional.
3) Foro Regional "Actividad materialmente jurisdiccional de los organismos garantes, fomento de la cultura de la transparencia y profesionalización rumbo al PROTAI 2022", realizado el 13 de diciembre de 2021 en la Región Norte del Sistema Nacional.
XXI. Que con el objeto de fortalecer la próxima política pública marco del Sistema Nacional a través de la participación de la Sociedad Civil y la academia, buscando fomentar el diálogo informado entre los diversos sectores involucrados con las materias de los organismos garantes, se realizaron cinco Mesas Temáticas de Análisis y Trabajo "Rumbo al próximo Programa Nacional de Transparencia y Acceso a la Información del Sistema Nacional de Transparencia" los días 15 y 16 de febrero de 2022:
Mesa 1. Los enfoques de Derechos Humanos, género e inclusión social en la actividad materialmente jurisdiccional del INAI y los organismos garantes locales.
Mesa 2. Promoción, Difusión y Fomento de la Cultura de Transparencia y Acceso a la Información.
Mesa 3. Estado Abierto, Gobierno Digital, Transparencia Proactiva y SIPOT.
Mesa 4. Rendición de Cuentas, Combate a la Corrupción y Vinculación con la Sociedad.
Mesa 5. Profesionalización y Fortalecimiento Institucional.
XXII. Que con la finalidad de que la propuesta de PROTAI fuera retroalimentada por cualquier persona interesada, se realizó una consulta pública en línea del 24 de febrero al 4 de marzo del 2022.
XXIII. Que derivado de las observaciones recibidas en los diversos mecanismos de consulta realizados, el IIJ de la UNAM y, posteriormente la Secretaría Ejecutiva del SNT procedieron a su sistematización, así como a la atención de las observaciones y comentarios emitidos.
XXIV. Que en el punto número 10 del Orden del Día, de la Primera Sesión Ordinaria de 2022, del Consejo Nacional del Sistema Nacional de Transparencia, celebrada el 24 de marzo de 2022, fue presentado, sometido a discusión y aprobado en lo general por unanimidad el Programa Nacional de Transparencia y Acceso a la Información (PROTAI) 2022 con vigencia hasta el año 2026.
XXV. Que en la discusión en lo particular, sólo dos integrantes de este Consejo Nacional, el representante del Instituto Nacional de Estadística y Geografía (INEGI); reservó varias líneas de acción del programa, señaló los números específicos de las líneas de acción, en el caso de PROTAI son 21 casos es la: 1.1.9, 2.1.11, 3.2.1, 3.2.2, 3.4.5, 3.5.1-B, 3.5.2, 3.5.3, 3.5.4, 3.5.5, 3.5.6-B, 3.5.7-C, 3.5.8-A, 4.1.10, 4.1.11, 3.4.1-A, 3.5.8-A, 3.5.1-B, 3.5.6-B, 3.2.2-C y 3.5.7-C., de la misma forma la representante de la Auditoría Superior de la Federación (ASF) reservó en lo particular los números de líneas de acción siguientes: PROTAI. Eje 4: líneas de acción 4.1.1, 4.1.2.A, 4.1.8 y 4.1.11., Eje transversal A: líneas de acción 4.1.2.A y 4.1,13. A., Eje 4: líneas de acción 4.1.9 y 4.1.10.y Eje 3: línea de acción 3.2. 1.
XXVI. Acto seguido, con la autorización de la Presidenta del Consejo Nacional, el Secretario Ejecutivo del Consejo Nacional del Sistema Nacional de Transparencia suspendió el análisis de este asunto, dejando constancia de que el mismo ya había sido aprobado en lo general y reservar su discusión y en su caso la aprobación en lo particular para una sesión de Consejo Nacional posterior, luego que la Secretaria Ejecutiva del Consejo Nacional atendieran y analizaran los numerales del PROTAI que solo los dos integrantes del Consejo Nacional ha reservado
XXVII. Derivado de lo anterior, la Secretaría Ejecutiva de Sistema Nacional de Transparencia se abocó a atender dichas observaciones, por lo que el miércoles 30 de marzo de 2022 se realizó reunión de trabajo virtual entre el personal de la Secretaría Ejecutiva del SNT y del INEGI para revisar y atender los comentarios emitidos. De igual forma, el viernes 1 de abril del 2022-2026, se realizó
reunión de trabajo en las instalaciones de la ASF entre el personal de la Secretaría Ejecutiva del SNT y de dicha Institución con el mismo propósito.
XXVIII. El lunes 18 de abril de 2022-2026, personal de la Secretaría Ejecutiva del SNT remitió vía correo electrónico a los enlaces designados del INEGI y de la ASF la propuesta de Programa ajustado para su validación.
XXIX. Que el viernes 29 de abril y el lunes 2 de mayo de 2022, personal de la Secretaría Ejecutiva del SNT recibió vía correo electrónico la validación de la propuesta de Programa ajustado por los enlaces designados por el INEGI y de la ASF, respectivamente.
XXX. Que en el punto número 5 del Orden del Día, de la Primera Sesión Extraordinaria de 2022, del Consejo Nacional del Sistema Nacional de Transparencia, celebrada el 17 de mayo de 2022, fue presentado, sometido a discusión en lo particular, sólo los numerales que se habían reservado por ASF y el INEGI, habiendo resultado aprobado por unanimidad el Acuerdo mediante el cual se aprueba el Programa Nacional de Transparencia y Acceso a la Información (PROTAI) 2022, esto en virtud de que en la sesión del 24 de marzo de 2022 fue votado y aprobado en lo general. La Presidenta del Consejo Nacional declaro aprobado en lo general y en lo particular el Programa Nacional de Transparencia y Acceso a la Información (PROTAI) 2022-2026, ordenando a la Secretaria Ejecutiva del Sistema Nacional de Transparencia a realizar las gestiones correspondientes para su publicación en el Diario Oficial de la Federación.
Por las razones expuestas y con fundamento en lo establecido en el artículo 31, fracción XII de la Ley General de Transparencia y Acceso a la Información Pública; así como, en el artículo 10, fracciones IV y VII del Reglamento del Consejo Nacional del Sistema Nacional de Transparencia, Acceso a la Información Pública y Protección de Datos Personales, se emite el siguiente:
ACUERDO
PRIMERO. Se aprueba el Programa Nacional de Transparencia y Acceso a la Información (PROTAI) 2022 - 2026 conforme al Anexo Único de este Acuerdo.
CUARTO. Se instruye a la Secretaría Ejecutiva y a las instituciones integrantes del Sistema Nacional de Transparencia, a ejecutar el presente Acuerdo en sus términos.
TRANSITORIO
PRIMERO. El presente Acuerdo entrará en vigor al día siguiente de su publicación en el Diario Oficial de la Federación.
SEGUNDO. Se instruye al Director General de Vinculación, Coordinación y Colaboración con Entidades Federativas, en suplencia por ausencia del Secretario Ejecutivo del SNT, de conformidad al Oficio INAI/OCP-BLIC/130BIS/2022 y con fundamento en el artículo 53 del Estatuto Orgánico del INAI a publicar el presente Acuerdo y su Anexo Único en el Diario Oficial de la Federación, así como en la página del Sistema Nacional de Transparencia, Acceso a la Información Pública y Protección de Datos Personales, mismos que estarán disponibles para su consulta en el vínculo electrónico siguiente:
www.dof.gob.mx/2022/INAI/CONAIP-SNT-ACUERDO-EXT01-17-05-2022-03.pdf
http://snt.org.mx/wp-conte/uploads/CONAIP-SNT-ACUERDO-EXT01-17-05-2022-03.pdf
De manera adicional, envíese a las direcciones de correo electrónico institucional de los integrantes del Sistema Nacional de Transparencia, Acceso a la Información Pública y Protección de Datos Personales a través de la dirección de correo del Director General de Vinculación, Coordinación y Colaboración con Entidades Federativas, en suplencia por ausencia del Secretario Ejecutivo del SNT, de conformidad al Oficio INAI/OCP-BLIC/130BIS/2022 y con fundamento en el artículo 53 del Estatuto Orgánico del INAI (jose.naya@inai.org.mx
Así lo acordó el Pleno del Consejo Nacional del Sistema Nacional de Transparencia, Acceso a la Información Pública y Protección de Datos Personales, en su Primera Sesión Extraordinaria, celebrada el 17 de mayo de 2022, de manera virtual con presencia remota, lo que se certifica y se hace constar, con fundamento en el artículo 12, fracción XII y 13, fracción VII del Reglamento del Consejo Nacional del Sistema Nacional de Transparencia, Acceso a la Información Pública y Protección de Datos Personales.- Presidenta del Consejo Nacional del Sistema Nacional de Transparencia, Acceso a la Información Pública y Protección de Datos Personales, Mtra. Blanca Lilia Ibarra Cadena.- Director General de Vinculación, Coordinación y Colaboración con Entidades Federativas, en suplencia por ausencia del Secretario Ejecutivo del SNT, de conformidad al Oficio INAI/OCP-BLIC/130BIS/2022 y con fundamento en el artículo 53 del Estatuto Orgánico del INAI, LAE. José Luis Naya González.- Rúbrica.
ANEXO ÚNICO DEL ACUERDO
CONAIP/SNT/ACUERDO/EXT01-17/05/2022-03
Programa Nacional de Transparencia y Acceso a la Información (PROTAI) 2022-2026
Índice
Introducción al PROTAI 2022-2026
Antecedentes: valoración general del Primer PROTAI
Objetivos del PROTAI 2022-2026: Avanzar, mejorar y consolidar
Marco normativo. El modelo mexicano de acceso a la información pública
CONTENIDO PROTAI
OBJETIVO GENERAL:
OBJETIVOS ESPECÍFICOS:
ESTRATEGIAS:
ESTRUCTURA:
Eje 1. Archivo y Gestión Documental
Eje 2. Derecho de Acceso a la Información
Eje 3. Políticas de Transparencia: Estado Abierto, Gobierno Digital, Transparencia Proactiva, SIPOT y Datos Abiertos
3.1. ESTADO ABIERTO
3.2 GOBIERNO DIGITAL
3.3 TRANSPARENCIA PROACTIVA
3.4 SIPOT (Sistema de Portales de Obligaciones de Transparencia de la Plataforma Nacional de Transparencia)
3.5 DATOS ABIERTOS
Eje 4. Rendición de Cuentas y Anticorrupción
Eje 5. Actividad Materialmente Jurisdiccional de los Organismos Garantes
Eje Transversal A. Promoción, Difusión y Fomento de la Cultura de Transparencia y Acceso a la Información
Eje Transversal B. Derechos Humanos, Enfoque de Género e Inclusión Social
Eje Transversal C. Profesionalización y Fortalecimiento Institucional
Implementación y Seguimiento del PROTAI
1. Ejecución
2. Seguimiento
3. Actualización y Evaluación
Perspectivas del PROTAI
GLOSARIO
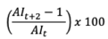
Anexo 1. Fichas de Indicadores de Objetivos Estratégicos del PROTAI
FICHA INDICADOR 1.1. Índice de control de la gestión documental
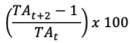
FICHA INDICADOR 2.1. Porcentaje de avance del indicador de Acceso a la Información del Gobierno de la Métrica de Gobierno Abierto
FICHA INDICADOR 3.1. Porcentaje de avance del Subíndice de Participación de la Métrica de Gobierno Abierto.
FICHA INDICADOR 3.2. Índice de uso de Infraestructura en Tecnologías de la Información de los
Organismos Garantes
FICHA INDICADOR 3.3. Índice de promoción de transparencia proactiva.
FICHA INDICADOR 3.4. Porcentaje de avance en el indicador de Transparencia Activa de la Métrica de Gobierno Abierto
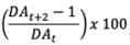
FICHA INDICADOR 3.5. Porcentaje de avance en el indicador de Datos Abiertos de la Métrica de Gobierno Abierto
FICHA INDICADOR 4.1 Índice de fortalecimiento anticorrupción institucional en los Organismos Garantes.
FICHA INDICADOR 5.1 Porcentaje de Recursos de Revisión en Materia de Acceso a la Información Desechados por los Organismos Garantes.
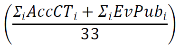
FICHA INDICADOR TRANSVERSAL A.1 Promedio de acciones reportadas en el CNTAIPPDP por los Organismos Garantes como realizadas en materia de promoción y difusión del DAI.
FICHA INDICADOR TRANSVERSAL B.1 Porcentaje de Organismos Garantes que reportan que sus sujetos obligados implementan medidas de accesibilidad y/o ajustes razonables.
FICHA INDICADOR TRANSVERSAL C.1 Índice de fortalezas institucionales en los Organismos Garantes.
Introducción al PROTAI 2022-2026
El Programa Nacional de Transparencia y Acceso a la Información, conocido como PROTAI, es una herramienta fundamental de planeación y establecimiento de la política pública de la garantía del derecho humano al acceso a la información y la transparencia gubernamental en México, desarrollada por el Sistema Nacional de Transparencia, Acceso a la Información Pública y Protección de Datos Personales (SNT) que es la instancia de coordinación que integra las perspectivas nacionales y locales de manera no jerarquizada.
El programa impulsa acciones coordinadas dirigidas a las instituciones integrantes del SNT para que mediante estrategias y objetivos comunes se fortalezcan la garantía del derecho de acceso a la información y la transparencia a lo largo y ancho del país; a dichos integrantes les corresponde ejecutar las líneas de acción a través del desarrollo de sus Rutas de Implementación anuales en los diversos ejes temáticos y transversales. La observación de la ejecución del PROTAI le corresponde a la Secretaría Ejecutiva del SNT, quien da seguimiento a la información derivada de la implementación de manera homogénea de forma que le permite comparar datos sobre su cumplimiento a través del tiempo y obtener retroalimentación de un Comité Técnico de expertos.
A pesar de que el alcance de las políticas del PROTAI son dirigidas en un primer momento a las instituciones integrantes del SNT, el efecto de sus acciones impacta en la práctica de los sujetos obligados de las leyes de transparencia y acceso a la información y en la sociedad en general a partir de las políticas y lineamientos desarrollados desde el programa; logrando de esta manera una incidencia nacional en su ejercicio del derecho a saber.
Como antecedente, el SNT aprobó en 2017 la primera versión de PROTAI 2017-2021, después de amplios procesos de consulta y participación ciudadana; este primer ejercicio incluyó estrategias, líneas de acción y metas específicas de cumplimiento para homologar el cumplimiento de las leyes a lo largo del territorio. De manera innovadora, el primer PROTAI inauguró una metodología para diagnosticar los problemas públicos que presentaban la transparencia y el acceso a la información basada en datos y marcos conceptuales, proponiendo mecanismos de seguimiento de avances de la implementación de la política. En los últimos tres años, esta metodología ha producido un cúmulo de información que da paso a una nueva etapa de valoración del programa facilitada por el análisis computacional de datos.
El PROTAI 2022-2026 se origina en el marco de las obligaciones jurídicas preexistentes desde la Ley General de Transparencia y Acceso a la Información y de los lineamientos para su elaboración emitidos y reformados por el SNT. Del proceso de discusión y reforma de estos lineamientos, con la participación de las instituciones integrantes del SNT, destaca que la gran parte del diseño previsto en los lineamientos es aceptado y considerado idóneo después de los primeros años de ejecución. Asimismo, del análisis de los datos reportados por las instituciones integrantes del SNT sobre la implementación del primer programa, se advierte una heterogeneidad en los niveles de cumplimiento y buenas prácticas que facilitan un proceso de ajustes para reforzar y mejorar los objetivos del programa bajo un contexto realista y viable. En general, el PROTAI 2017-2021 ha tenido una buena aceptación, pues de todas las actividades previstas el 80 por ciento de ellas fueron reportadas como cumplidas por las propias instituciones integrantes del SNT según los datos de la Dirección Técnica, Seguimiento y Normatividad del Sistema Nacional de Transparencia.
Es a partir de lo anterior que se considera dar continuidad a la política pública, incluir mejoras y fortalecer la institucionalidad, profesionalización y cultura organizacional de los Organismos Garantes. En esta edición 2022-2026, el PROTAI aprende de las experiencias de los Organismos Garantes Locales, de los integrantes federales del SNT y del uso que han hecho del derecho de acceso a la información las personas en su vida cotidiana. Esto permite advertir las fortalezas del programa y de las instituciones a las que va dirigido, plantear retos, desafíos y riesgos de imprevistos que podrían obstaculizar el curso de las acciones, por lo que la presente edición del PROTAI ajusta las expectativas a la realidad viable y a las mejores prácticas de implementación de la primera edición, con el objetivo de incrementar la ejecución de acciones en cada integrante del SNT.
Antecedentes: valoración general del Primer PROTAI
El PROTAI 2017-2021 tuvo una estructura compuesta por cuatro ejes temáticos rectores y dos ejes transversales provistos de objetivos, estrategias, 124 líneas de acción y se realizaron 2,984 actividades en los tres primeros años de su vigencia por parte de las instituciones integrantes del SNT.
Los ejes temáticos del PROTAI 2017-2021 fueron:
· Eje 1. Archivo y Gestión Documental
· Eje 2. Derecho de Acceso a la Información
· Eje 3. Gobierno Abierto, Transparencia Proactiva y SIPOT
· Eje 4. Rendición de Cuentas
Mientras que los ejes transversales fueron:
· Eje A. Promoción, Difusión y Fomento de la Cultura de Transparencia y Acceso a la Información
· Eje B. Derechos Humanos, Perspectiva de Género e Inclusión Social
En el periodo 2018-2020, la mayoría de las líneas de acción implementadas se concentraron con actividades dentro del Eje A de Promoción, Difusión y Fomento de la Cultura de la Transparencia y el Acceso a la Información, así como los ejes del Derecho de Acceso a la Información (2) y las políticas de transparencia: Gobierno Abierto, Transparencia Proactiva y SIPOT (3). Mientras que los ejes sobre Rendición de Cuentas (4) y Derechos Humanos, Perspectiva de Género e Inclusión Social (B) fueron los que presentaron menos auto-reportes de líneas de acción y actividades ejecutadas. Cabe mencionar que se denominan "actividades auto-reportadas" aquellas que las instituciones integrantes del Sistema informan a la Secretaría Ejecutiva del Sistema por medio de los mecanismos de seguimiento.
Al observar específicamente las actividades auto-reportadas entre las y los integrantes federales del SNT se identifica una implementación desigual por año y por eje, considerando que se trata de instituciones que cumplen con los objetivos del PROTAI desde la diversidad de sus funciones y atribuciones; sin embargo, podría también significar la necesidad de perfeccionar el diseño de las líneas de acción en las que participan.

El INAI, como cabeza del SNT y con funciones alineadas desde su plan institucional de trabajo con los objetivos del PROTAI, tanto en acceso a la información como en rendición de cuentas, implementó de manera creciente a lo largo de los años diversas actividades dentro de todos los ejes. El INAI reportó la mayor parte de sus actividades dentro de los ejes A, 3 y 2, y pocas acciones en los ejes 1, 4 y B. La ASF sobre los ejes 3 y 4, sobre gobierno abierto y rendición de cuentas. En contraste, el AGN se concentró en actividades destinadas el eje 1 sobre archivos y gestión documental, y el INEGI reportó actividades sobre el eje transversal B sobre derechos humanos, perspectiva de género e inclusión social, el eje 3 sobre gobierno abierto y el eje 2 del cumplimiento de sus obligaciones bajo la Ley General en la materia.
El número total de acciones emprendidas en el periodo por los Organismos Garantes Locales se ilustra en la gráfica sobre "Porcentaje de actividades auto-reportadas por año: Entidades". Con un total de 2,291 actividades y una media nacional de alrededor de 71 actividades durante el periodo, los organismos locales por encima de ella y con más de 100 actividades, se encuentran los correspondientes a las entidades federativas de: Morelos, Oaxaca, Nuevo León, Estado de México, Chihuahua, Puebla, Ciudad de México, Jalisco y Veracruz. En contraste, por debajo de 20 acciones aparecen los Organismos Garantes de Tabasco, Colima, Baja California Sur, Sonora, Chiapas, Nayarit, Hidalgo, Querétaro y Tamaulipas.
Adicionalmente, el comportamiento individual anual muestra una diversidad de resultados de la implementación del PROTAI dentro de los años 2018 al 2020. No se observa una tendencia general nacional de incremento en la implementación gradual de actividades dentro de una curva de aprendizaje de los Organismos Garantes en el curso de los años. De hecho, esta tendencia puede derivar de la diversidad de sus contextos, capacidades y realidades político-económicas.
Esta misma heterogeneidad en la implementación del PROTAI 2017-2021 puede apreciarse en las cuatro regiones de la República Mexicana: Norte, Centro Occidente, Centro y Sureste. Cabe resaltar en cada una de las regiones hay al menos dos Organismos Garantes Locales que mostraron un nivel por encima de la media de cumplimiento de acciones (71) y, en contraste, al menos un organismo garante que realizó entre 3 y 0 acciones, siendo la Región Centro donde hay más Organismos Garantes que ejecutaron el mayor número de acciones y el Sureste con el menor.
En el análisis del cumplimiento de las actividades de manera regional por organismo garante local se puede observar que en las cuatro regiones más del 50% de sus integrantes alcanzaron niveles de cumplimiento por encima del 60% de las actividades reportadas, hasta el 10% parcialmente cumplidas (166), menos 10% de las actividades se reportaron como no cumplidas (142) y poco más del 10% (195) no contestó el cuestionario de evaluación para conocer el avance de cumplimiento recopilado por la Secretaría Ejecutiva del SNT.
Sin embargo, a pesar de contar sólo con tres años en los que se ejecutaron observaciones, se puede inferir una tendencia ligeramente a la baja en las actividades reportadas con cumplimiento pleno y un aumento en aquellas con un cumplimiento parcial o incluso no cumplido del todo. Cabe señalar que resulta interesante la disminución de actividades en las que no se contestó sobre el auto-reporte, lo que muestra una permanente cooperación de las instituciones integrantes del sistema con la Secretaría Ejecutiva.
Dentro de los datos reportados de las 1,866 acciones cumplidas (79%) de un total de 2,369 consideradas para los Organismos Garantes Locales en el periodo 2018-2020 en la siguiente gráfica destacan correspondientes a los estados de: Nuevo León, Puebla, Chihuahua, Veracruz y Oaxaca que tienen los mayores índices de cumplimiento de actividades, y Nayarit, Sonora y Baja California Sur reportaron actividades, pero no las completaron.
Asimismo, desde los datos de las gráficas mostradas previamente no es posible afirmar que la implementación del PROTAI se vio afectada por la pandemia de COVID-19 en el año 2020, puesto que diversos Organismos Garantes de los estados reportaron un incremento de sus acciones realizadas en dicho año. Las dificultades o imprevistos que obstaculizaron el cumplimiento del PROTAI en algunos casos se refieren a circunstancias específicas. Según los datos que reportaron las instituciones integrantes del SNT a la Secretaría Ejecutiva, el mayor número de actividades con incidencias reportadas fueron a causa de falta de recursos humanos, y otras causas de imprevistos tales como recursos materiales y económicos, y desastres naturales o contingencia sanitaria solamente se consideró que afectaron a 13 actividades; al parecer, gracias a los mecanismos flexibles de ejecución y seguimiento donde 19 instituciones integrantes del SNT realizaron modificaciones a sus rutas de implementación originales (de 30 integrantes en total) derivado de la contingencia sanitaria nacional(1). Estas cifras son útiles para orientar la atención de los Organismos Garantes hacia mejores diseños institucionales con los recursos humanos y económicos disponibles.
Mientras que la correspondencia, es decir, las acciones reportadas como ejecutadas y las evidencias entregadas por los Organismos Garantes, se confirma que 1,566 si corresponden a un cumplimiento y 363 no fueron reportadas de manera correspondiente con las evidencias entregadas. Tanto la consistencia como la correspondencia son dos criterios de evaluación relevantes dentro del PROTAI que amerita cada vez mejores herramientas de medición para diagnosticar, valorar, medir y advertir los riesgos que pueden enfrentar los Organismos Garantes en su labor de cumplimiento del programa, sin olvidar que sus objetivos generales buscan promover el derecho de acceso a la información y la transparencia a través de acciones coordinadas y conjuntas del SNT y sus integrantes.
La legislación mexicana en materia de transparencia y acceso a la información establece que el derecho debe ser garantizado con un enfoque de género y de las diversidades. De ahí que el PROTAI 2017-2021 previó actividades que impulsan estos enfoques, aunque en la práctica se reportó una cifra baja de implementación tanto entre las instituciones integrantes del SNT federales como estatales. En todos los casos, se observa que estas actividades no fueron consistentes a lo largo de los años (o no se repitieron), y como máximo, cada sujeto del PROTAI llevó a cabo hasta 10 actividades o menos durante el periodo de 2018-2020.
Estas cifras resultan contundentes para considerar que el PROTAI 2022-2026 deberá considerar dentro de sus objetivos prioritarios la promoción del enfoque de derechos humanos, género y diversidades, hacer operativo el fundamento jurídico de la Ley, así como dar cumplimiento a las disposiciones normativas.
El análisis de datos permitió hacer una valoración específica sobre el cumplimiento de objetivos, estrategias y ejes del PROTAI 2017-2021 con los datos de la Dirección General Técnica, Seguimiento y Normatividad dentro de la Secretaría Ejecutiva del SNT, mismo que se describe en el diagnóstico del presente programa.
Objetivos del PROTAI 2022-2026: Avanzar, mejorar y consolidar
Esta edición del PROTAI como el anterior, tiene por objeto fortalecer el cumplimiento normativo, la difusión, la capacitación, la profesionalización y los procedimientos institucionales de la garantía progresiva del derecho de acceso a la información, la transparencia y la rendición de cuentas, a través de las instituciones integrantes del Sistema Nacional de Transparencia, Acceso a la Información Pública y Protección de Datos Personales. El PROTAI es una herramienta de política pública que ha mejorado la coordinación entre las instituciones integrantes del SNT para impulsar las capacidades institucionales, profesionales, de autosuficiencia e independencia para la consecución del cumplimiento del marco normativo en la materia. También, ha promovido acciones institucionalizadas para la resolución de problemas sociales de trascendencia para la vida pública, el acceso a los servicios, trámites y programas sociales.
El presente PROTAI 2022-2026 recupera los avances alcanzados en la edición anterior en sus objetivos generales y enfoca nuevamente sus estrategias para avanzar hacia un cumplimiento de acciones más estandarizado entre todas las instituciones integrantes del SNT. Derivado del análisis diagnóstico del programa anterior, fue posible aprender que las y los integrantes federales del SNT con facultades y atribuciones diversas a aquellas de los Organismos Garantes, emprenden acciones del PROTAI cuando están más apegadas a sus funciones centrales. Es así que el INAI emprendió acciones en todos los ejes en su calidad de organismo garante, la ASF especialmente en los objetivos de rendición de cuentas, el AGN en tanto al eje de archivos y el INEGI en materia de derechos humanos, género y diversidades. Es por ello que se proponen ciertas acciones particulares que podrían cumplir dichos integrantes federales, y se reforzaron las acciones dirigidas hacia los Organismos Garantes, buscando lograr un cumplimiento más homogéneo de la política nacional entre estas instituciones.
A través de los mecanismos de participación y retroalimentación de las instituciones integrantes del SNT, se ha identificado que los enlaces responsables de dar seguimiento a la implementación del PROTAI percibieron una lista amplia y a veces repetitiva de actividades en su primera edición. Es por ello que el programa actual fue revisado con datos e información reportada de las actividades realizadas para diferenciar su contenido y concentrar los objetivos en las acciones más efectivas, viables y relevantes. Al mismo tiempo, el nuevo diseño busca consolidar las prácticas de aquellas instituciones integrantes del SNT que han ajustado y adoptado la planeación de acciones del PROTAI, desde la inclusión de acciones del PROTAI en sus planes
institucionales y hasta la creación de áreas o equipos de planeación de política pública.
Un hallazgo importante del análisis de datos de los reportes de desempeño del PROTAI 2017-2021, es la cantidad mínima de actividades que los sujetos reportaron dentro del eje B. Derechos Humanos, Perspectiva de Género e Inclusión Social. El diseño del programa contenía diversas actividades susceptibles a ser implementadas con perspectiva de género de manera optativa, lo que generó poca claridad entre los operadores. Esta edición del PROTAI busca mejorar y definir acciones específicas para hacer más fácil que los Organismos Garantes y las instituciones integrantes del SNT reporten avances en el enfoque de derechos humanos, género y diversidad, tales como promover la desagregación de datos por género y diversidades entre los sujetos obligados de las leyes de transparencia, o enfatizar el uso práctico del derecho para la defensa de los derechos y por parte de las comunidades indígenas. Los nuevos objetivos dentro del PROTAI se alinean a la conceptualización y operativización del enfoque de género aplicado a la garantía del derecho de acceso a la información.
En los últimos años, después de la publicación del primer PROTAI en el año 2017, se aprobaron diversas políticas nacionales y estatales en materia de anticorrupción que introdujeron prioridades de política pública y la creación de sistemas de coordinación en todos los niveles de gobierno. La rendición de cuentas y el combate a la corrupción son temas que cada vez interesan más al SNT. A través de su Comisión temática se ha acentuado la importancia de coordinar esfuerzos con los sistemas nacional y estatales en materia de anticorrupción, de manera proactiva con acciones emprendidas desde los Organismos Garantes estatales y los integrantes federales del SNT. Retomando este importante debate, el PROTAI 2022-2026 define de mejor manera las acciones que materializan la rendición de cuentas vertical (desde los ciudadanos hacia los gobiernos) y horizontal (entre los poderes) a través de la coordinación interinstitucional, la publicación de información y abriendo espacio a la participación social para conocer sus demandas informativas, así como de las acciones destinadas al combate a la corrupción en línea con las prioridades establecidas por la Política Nacional Anticorrupción.
A pesar de los avances alcanzados con el PROTAI 2017-2022 y las acciones de los Organismos Garantes para ampliar la base de personas usuarias de la transparencia y el derecho de acceso a la información, el nuevo programa refuerza los objetivos, estrategias y acciones que deriven en mejores resultados para potenciar los beneficios que las personas pueden obtener para su vida social, política y económica.
El PROTAI 2022-2026 mantiene la mayoría de los ejes temáticos y transversales de la edición anterior. El SNT incluyó algunas modificaciones en los ejes temáticos a partir de una reforma a los lineamientos para elaborar el programa. Se refinó el tema del eje 3 para incluir el concepto de Estado Abierto (en términos más amplios que el de Gobierno Abierto como estaba anteriormente); y se creó un nuevo eje temático llamado "Actividad Materialmente Jurisdiccional de los Organismos Garantes", para impulsar acciones coordinadas y homologar la interpretación del derecho a lo largo del país. Igualmente, a partir del análisis técnico y diagnóstico, se añadió al diseño del PROTAI 2022-2026 un eje transversal sobre "Profesionalización y el Fortalecimiento Institucional"; se incorporó el eje 3 en Políticas de Transparencia, además de incluir de forma específica un apartado de Datos Abiertos; y se complementó el eje 4 con la temática Anticorrupción, dada la relevancia adquirida para el SNT.
Los ejes temáticos del PROTAI 2022-2026 son los siguientes:
Eje 1. Archivo y Gestión Documental
Eje 2. Derecho de Acceso a la Información
Eje 3. Políticas de Transparencia: Estado Abierto, Gobierno Digital, Transparencia Proactiva, SIPOT y Datos Abiertos
Eje 4. Rendición de Cuentas y Anticorrupción
Eje 5. Actividad Materialmente Jurisdiccional de los Organismos Garantes
Los ejes transversales son:
Eje A. Promoción, Difusión y Fomento de la Cultura de Transparencia y Acceso a la Información.
Eje B. Derechos Humanos, Enfoque de Género e Inclusión Social
Eje C. Profesionalización y Fortalecimiento Institucional.
Dada la presente estructura, recuperada de los lineamientos aprobados por el SNT y las consideraciones técnicas durante el diagnóstico y estudio de la experiencia reciente del anterior PROTAI, las transformaciones que sufre el programa se realizaron a nivel de objetivos, acciones y metas con el propósito de conservar la coherencia en la medición, seguimiento, evaluación y vigilancia del desempeño del programa a lo largo de los años. De ahí que en esta edición se proponga mejorar las herramientas de reporte y seguimiento del PROTAI para incrementar la calidad de los datos y contribuir en el trabajo cotidiano de las instituciones integrantes del SNT en el cumplimiento de acciones y reporte de metas.
Finalmente, el presente PROTAI ha sido alineado con:
· El Objetivo de Desarrollo Sostenible 16: "Promover sociedades justas, pacíficas e inclusivas" y sus metas: 16.5 (Reducir considerablemente la corrupción y el soborno en todas sus formas), 16.6 (Crear a todos los niveles instituciones eficaces y transparentes que rindan cuentas), 16.7 (Garantizar la adopción en todos los niveles de decisiones inclusivas, participativas y representativas que respondan a las necesidades) y 16.10 (Garantizar el acceso público a la información y proteger las libertades fundamentales, de conformidad con las leyes nacionales y los acuerdos internacionales).(2)
· El Plan Nacional de Desarrollo 2019-2024, en su eje general: Justicia y Estado de Derecho; y sus ejes transversales: Igualdad de género, no discriminación e inclusión; Combate a la corrupción y mejora de la gestión pública; y Territorio y desarrollo sostenible. Los cuales buscan la regeneración ética como "intención ejemplificante de un ejercicio de gobierno austero, honesto, transparente, incluyente, respetuoso de las libertades, apegado a derecho, sensible a las necesidades de los más débiles y vulnerables y pendiente en todo momento del interés superior" y define como acciones prioritarias: recuperar la capacidad de las instituciones para desempeñar sus tareas legales, para atender las necesidades de la población, para garantizar los derechos de los ciudadanos y para incidir en forma positiva en el desarrollo del país; además de establecer la obligatoriedad de las declaraciones patrimonial, fiscal y de intereses de todas las personas del servicio público, monitorear en línea y en tiempo real el dinero para adquisiciones y realizar verificaciones obligatorias de los precios de mercado antes de cualquier adquisición. Así como transitar hacia una democracia participativa, pues "no es suficiente con que la sociedad esté informada y atenta; debe, además, participar e involucrarse en las decisiones relevantes de quienes la representan en la función pública; debe borrarse para siempre la separación entre el pueblo y el gobierno".(3)
· Y de forma especial con el diagnóstico y 22 de las 40 prioridades de la Política Nacional Anticorrupción(4), por lo que incluso considera una vinculación directa desde el Eje de Rendición de Cuentas, temática que engloba el fin del propio SNT.
Diagnóstico:
· El servicio público a escala nacional no se articula sobre bases mínimas de mérito, profesionalismo, integridad y congruencia.
· Los procesos de planeación, presupuesto y ejercicio del gasto de las instituciones públicas carecen de transparencia y de criterios mínimos que permitan justificar las decisiones públicas.
· Persisten espacios de opacidad y arbitrariedad en la interacción entre ciudadanos y empresas con el gobierno, al realizar trámites o solicitar servicios.
· Los procesos de contrataciones públicas ocurren en un ambiente de opacidad, discrecionalidad y poca claridad sobre sus efectos en la entrega eficaz de bienes y servicios a la población.
· Las asociaciones público-privadas no cuentan con esquemas suficientes que brinden transparencia y claridad sobre las inversiones realizadas a través de estos mecanismos.
· No existen reglas claras que brinden transparencia y aminoren riesgos de captura y conflicto de interés en las labores de cabildeo.
· Los esquemas de participación y vigilancia social tienen alcances acotados y, en muchas ocasiones, no tienen un funcionamiento adecuado. No existen estrategias sistemáticas que promuevan la colaboración y la co-creación entre autoridades, funcionarios y sociedad para el control de la corrupción.
· Los procesos formativos impulsados desde el Sistema Educativo Nacional en materia de formación cívica, ética, integridad y derechos humanos no necesariamente transmiten valores y ni favorecen el desarrollo de capacidades prácticas que promuevan el control de la corrupción desde la sociedad.
· No existe evidencia suficiente sobre el impacto que tienen las campañas de comunicación y concientización para promover la cultura de la denuncia, y valores como la integridad y la imparcialidad.
Prioridades:
· Prioridad 4. Implementar estrategias efectivas para la difusión de las obligaciones de transparencia y publicación de información proactiva en materia de prevención, denuncia, detección, investigación, resolución y sanción de hechos de corrupción, en colaboración con el SNT.
· Prioridad 10. Implementar mecanismos de gobierno abierto que fortalezcan las acciones de combate a la corrupción por parte de las instancias encargadas de la investigación, substanciación, determinación y resolución de faltas administrativas y delitos por hechos de corrupción.
· Prioridad 11. Impulsar la adopción, socialización y fortalecimiento de políticas de integridad y prevención de conflictos de interés, en los entes públicos mediante comités de ética o entes homólogos.
· Prioridad 12. Promover el diseño, implementación y evaluación del desempeño de programas de capacitación, certificación de capacidades y desarrollo profesional en el servicio público enfocadas al control de la corrupción, responsabilidades administrativas y ética pública.
· Prioridad 13. Generar bases y criterios mínimos para el diseño, desarrollo y ejecución de programas de recursos humanos en el servicio público, en colaboración con la Comisión Permanente de Contralores Estados-Federación.
· Prioridad 14. Generalizar el diseño, instrumentación y evaluación de servicios profesionales de carrera en todos los ámbitos de gobierno y poderes públicos, basados en el mérito, capacidades, desempeño y habilidades de acuerdo con el perfil de puesto, cargo o comisión, con perspectiva de género y fomento a la diversidad e inclusión.
· Prioridad 15. Implementar un modelo de evaluación del desempeño del Sistema Nacional Anticorrupción, junto con una metodología nacional de anexo transversal presupuestal en materia de combate a la corrupción.
· Prioridad 16. Fomentar el desarrollo de políticas de transparencia proactiva y gobierno abierto que propicien, desde una perspectiva ciudadana, el seguimiento, evaluación, mejora, simplificación, gestión de riesgos y rendición de cuentas de los entes públicos, el ciclo presupuestal, las contrataciones públicas, las asociaciones público-privadas, el cabildeo y los programas públicos, en colaboración con el SNT e instancias públicas nacionales e internacionales.
· Prioridad 18. Impulsar políticas de archivo y procesos homologados de gestión documental, en colaboración con el Sistema Nacional de Archivos y el SNT, que mejoren la calidad de la información que las entidades públicas registran mediante sistemas informáticos actualizados.
· Prioridad 20. Impulsar el desarrollo y utilización de metodologías de análisis de datos masivos e inteligencia artificial relacionadas con la identificación de riesgos, la evaluación, la mejora de la gestión, la auditoría y la fiscalización estratégicas de programas, procesos, actividades y funciones en el sector público.
· Prioridad 21. Fomentar la colaboración interinstitucional y el intercambio de información que permitan un fortalecimiento y simplificación de los puntos de contacto gobierno sociedad, como trámites, servicios, seguridad ciudadana, programas sociales, servicios educativos y de salud, entre otros.
· Prioridad 22. Fortalecer mecanismos de evaluación de los programas presupuestarios con enfoques de derechos humanos y gestión de riesgos de corrupción.
· Prioridad 23. Promover la mejora, simplificación de los procesos institucionales y homologación de trámites y servicios públicos a través del desarrollo de sistemas de evaluación ciudadana y políticas de transparencia proactiva, en coordinación con el Sistema Nacional de Mejora Regulatoria.
· Prioridad 24. Generar un sistema único que integre información sobre las políticas sociales, que incluya un catálogo nacional de programas sociales y un padrón universal de beneficiarios que aproveche la información pública existente.
· Prioridad 28. Desarrollar e implementar políticas de transparencia proactiva y gobierno abierto que fortalezcan la rendición de cuentas y la vigilancia social en materia de infraestructura, obra pública y asociaciones público-privadas, en colaboración con el SNT.
· Prioridad 29. Desarrollar e implementar un sistema único de información sobre compras y adquisiciones públicas, que incluya un padrón nacional de proveedores de gobierno y un sistema nacional homologado de contrataciones públicas, vinculados a la Plataforma Digital Nacional.
· Prioridad 30. Promover la creación y adopción de criterios y estándares unificados en las compras, contrataciones y adquisiciones públicas, que acoten espacios de arbitrariedad, y mejoren su transparencia y fiscalización.
· Prioridad 31. Desarrollar una agenda estratégica, con un enfoque incluyente y perspectiva de género, de incidencia ciudadana en el control de la corrupción, en la que se promueva el fortalecimiento de los mecanismos de participación ciudadana existentes en la materia, y la creación de nuevos esquemas y redes de colaboración social.
· Prioridad 32. Implementar políticas de transparencia proactiva y gobierno abierto que promuevan la participación ciudadana y el ejercicio de derechos en el combate de la corrupción, en colaboración con el SNT.
· Prioridad 38. Adoptar prácticas homogéneas de parlamento abierto en los poderes legislativos federal y estatales, tendientes a un modelo de Estado Abierto.
· Prioridad 39. Homologar criterios a escala nacional para la realización de campañas de comunicación sobre la corrupción, sus costos, implicaciones y elementos disponibles para su combate.
· Prioridad 40. Colaborar con el Sistema Educativo Nacional en materia de formación cívica, ética, integridad y derechos humanos.
Además, se han creado vasos comunicantes y de interacción con el PRONADATOS por medio de los ejes transversales, todo ello para maximizar esfuerzos en actividades ya planificadas en los diversos instrumentos de los propios integrantes como sus programas institucionales de los integrantes federales y los programas operativos anuales de los Organismos Garantes Locales.
Marco normativo. El modelo mexicano de acceso a la información pública
El derecho a la información en México es un derecho fundamental regulado en su garantía de manera sólida. Durante estas dos décadas, el derecho de la información ha generado cambios sustantivos en el sistema jurídico y político mexicano, empoderando a la ciudadanía e instaurado el principio de la transparencia gubernamental entre la cultura burocrática.
El fundamento constitucional del derecho de acceso a la información, lo encontramos en el artículo 6° Constitucional, que desde 1977 reconoce que el derecho a la información será garantizado por el Estado Mexicano. La redacción actual es fruto de varias reformas constitucionales, de las que destacan la de 2007, 2013 y 2014, siendo esta última la más reciente de la cual se desprende un andamiaje normativo e institucional bastante robusto. El texto constitucional contiene las bases para el ejercicio del derecho de acceso a la información pública, establece quiénes son los sujetos obligados y las obligaciones de éstos últimos; así como los medios de garantía para su ejercicio. Se prevén los límites al derecho de acceso a la información como los derechos de terceros, la privacidad, la protección de datos personales, la seguridad nacional y el interés público. Entre los mecanismos de garantía institucionales más sobresalientes se estipula la creación de 33 Organismos Garantes con autonomía constitucional que tienen por objeto vigilar y promover el correcto ejercicio de este derecho.
El marco normativo que desarrolla al artículo 6° constitucional, tiene como punto de partida a la Ley General de Transparencia y Acceso a la Información Pública, la Ley Federal y las Leyes Estatales específicas en la materia. La Ley General desarrolla el piso mínimo de los derechos de las personas y las obligaciones de las personas del servicio público, así como las bases del Organismo Garante Nacional, los Organismos Garantes de las entidades federativas y los mecanismos de interacción con otras instituciones a través del SNT.
Para los sujetos obligados de orden federal, resulta aplicable la Ley Federal de Transparencia y Acceso a la Información Pública. En este ordenamiento, además de encontrar detalles de aplicación de la Ley General, se desarrollan los mecanismos procedimentales para el ejercicio del derecho de acceso a la información, la rendición de cuentas. También se prevén mecanismos de apremio, un catálogo de conductas consideradas infracciones, las responsabilidades administrativas, pecuniarias y las sanciones penales.
Desde el ámbito de competencia de las entidades federativas tenemos 32 leyes. Cada Congreso ha cumplido con su responsabilidad de actualizar la legislación y también ha designado los recursos humanos, materiales y administrativos para el establecimiento de un organismo garante local. Esta normatividad resulta aplicable a los sujetos obligados pertenecientes a las autoridades de los Estados o de la Ciudad de México, así como de las autoridades municipales o de las demarcaciones territoriales, según corresponda.
Desde el punto de vista organizacional y de gobernanza, el legislador federal consideró una estructura de coordinación compleja en la que convergen representantes de múltiples espacios geográficos y de diversas especialidades. El Sistema Nacional de Transparencia, Acceso a la Información y Protección de Datos Personales es el mecanismo de gobernanza de mayor representación y alcance en las materias de Transparencia y Acceso a la Información, integrado por los 33 Organismos Garantes, el Archivo General de la Nación, el Instituto Nacional de Estadística y Geografía y la Auditoría Superior de la Federación. Asimismo, el Sistema se engarza en sus funciones y acciones con los Sistemas Nacionales de Archivo y Anticorrupción, contando con marcos jurídicos federales y estatales en las materias de protección de datos personales, archivos y anticorrupción, así como la participación en el Sistema Nacional de Mejora Regulatoria con la ley general en la materia.
Dentro del modelo del SNT, se constituyen facultades de reglamentación para la emisión de lineamientos, acuerdos, guías, política pública y otros documentos normativos por parte de su Consejo Nacional. A continuación, se muestra la tabla con el Marco Normativo básico en la materia.
Marco normativo básico
| Derecho de acceso a la información |
| Leyes | 1. Artículo 6, apartado A, Constitución Política de los Estados Unidos Mexicanos. 2. Ley General de Transparencia y Acceso a la Información Pública. 3. Ley Federal de Transparencia y Acceso a la Información Pública. 4. 32 leyes de transparencia y acceso a la información pública de las entidades federativas. |
| Lineamientos | 1. Lineamientos para la organización, coordinación y funcionamiento de las instancias de los integrantes del Sistema Nacional de Transparencia, Acceso a la Información Pública y Protección de Datos Personales. 2. Lineamientos para la elaboración, ejecución y evaluación del Programa Nacional de Transparencia y Acceso a la Información. 3. Lineamientos para determinar los catálogos y publicación de información de interés público; y para la emisión y evaluación de políticas de transparencia proactiva. 4. Lineamientos generales en materia de clasificación y desclasificación de la información, así como para la elaboración de versiones públicas. 5. Lineamientos para la organización y conservación de los archivos. 6. Lineamientos de la Funcionalidad, Operación y Mejoras de la Plataforma Nacional de Transparencia. 7. Lineamientos que deberán observar los sujetos obligados para la atención de requerimientos, observaciones, recomendaciones y criterios que emita el Sistema Nacional de Transparencia, Acceso a la Información Pública y Protección de Datos Personales. 8. Lineamientos técnicos generales para la publicación, homologación y estandarización de la información de las obligaciones establecidas en el título quinto y en la fracción IV del artículo 31 de la Ley General de Transparencia y Acceso a la Información Pública, que deben de difundir los sujetos obligados en los portales de Internet y en la Plataforma Nacional de Transparencia. 9. Criterios para que los sujetos obligados garanticen condiciones de accesibilidad que permitan el ejercicio de los derechos humanos de acceso a la información y protección de datos personales a grupos vulnerables. 10. Lineamientos para la emisión de criterios de interpretación de resoluciones emitidas por los Organismos Garantes integrantes del SNT. |
| Acuerdos | 1. Acuerdo mediante el cual el Pleno del Instituto Nacional de Transparencia, Acceso a la Información y Protección de Datos Personales, establece las bases de interpretación y aplicación de la Ley General de Transparencia y Acceso a la Información Pública. 2. Acuerdo mediante el cual se realizan modificaciones a los formatos establecidos en los anexos de los Lineamientos Técnicos Generales para la publicación, homologación y estandarización de la información de las obligaciones establecidas en el Título Quinto y en la fracción IV del artículo 31 de la Ley General de Transparencia y Acceso a la Información Pública, que deben de difundir los sujetos obligados en los portales de Internet y en la Plataforma Nacional de Transparencia. |
| Reglamentos | 1. Reglamento del Consejo Nacional del Sistema Nacional de Transparencia, Acceso a la Información Pública y Protección de Datos Personales. |
| Protección de datos personales |
| Leyes | 1. Ley Federal de Protección de Datos Personales en Posesión de Particulares. 2. Ley General de Protección de Datos Personales en Posesión de Sujetos Obligados. 3. 32 leyes estatales de protección de datos personales. |
| Combate a la Corrupción |
| Leyes | 1. Ley General del Sistema Nacional Anticorrupción. 2. Ley General de Responsabilidades Administrativas. 3. Ley General de Contabilidad Gubernamental. 4. 32 leyes estatales de los sistemas estatales de anticorrupción. 5. 32 leyes estatales de responsabilidades administrativas. |
| Rendición de cuentas |
| Leyes | 1. Ley de Fiscalización y Rendición de Cuentas de la Federación. 2. Ley General de Contabilidad Gubernamental. 3. Ley de Disciplina Financiera de las Entidades Federativas y los Municipios. |
| Archivo y Gestión documental |
| Leyes | 1. Ley General de Archivos. 2. 28 leyes estatales de archivos. |
| Reglamento | 1. Reglamento de la Ley Federal de Archivos |
| Normas | 1. Norma de Archivo Contable Gubernamental 2. Normas generales para el registro, afectación, disposición final y baja de bienes muebles de la Administración Pública Federal Centralizada |
| Lineamientos | 1. Lineamientos generales para la organización y conservación de los archivos del Poder Ejecutivo Federal publicados el 3 de julio de 2015 y emitidos por el Archivo General de la Nación y el Instituto Nacional de Transparencia, Acceso a la Información y Protección de Datos Personales. 2. Lineamientos para analizar, valorar y decidir el destino final de la documentación de las dependencias y entidades del Poder Ejecutivo Federal. 3. Lineamientos Generales para la Organización y Conservación de los Archivos del Poder Ejecutivo Federal. 4. Lineamientos para la Creación y Uso de Sistemas Automatizados de Gestión y Control de Documentos. |
| Disposiciones | 1. Disposiciones Generales en las materias de Archivos y Transparencia para la Administración Pública Federal y su Anexo Único. |
| Guías | 1. Guía para la Salvaguarda de Documentos en Circunstancias de Riesgo 2. Guía para la Auditoría Archivística. 3. Guía para el Descarte de libros o publicaciones periódicas que se ubican en los Archivos de Concentración de las dependencias y entidades de la Administración Pública Federal. 4. Guía para la Identificación de Series Documentales con Valor Secundario. |
| Instructivos | 1. Instructivo para elaborar el Cuadro General de Clasificación Archivística. 2. Instructivo para la elaboración del Catálogo de Disposición Documental 3. Instructivo para la Transferencia Secundaria de Archivos (soporte papel) dictaminados con valor histórico al Archivo General de la Nación. 4. Instructivo para el Trámite de Baja Documental de Archivos del Gobierno Federal. |
| Recomendaciones | 1. Recomendaciones para Proyectos de Digitalización de Documentos 2. Recomendaciones para la Organización y Conservación de Correos Electrónicos Institucionales de las dependencias y entidades de la Administración Pública Federal. |
| Mejora Regulatoria |
| Leyes | 1. Ley General de Mejora Regulatoria 2. Leyes estatales de Mejora Regulatoria |
| Acuerdo | 1. Estrategia Nacional de Mejora Regulatoria |
| Tecnologías de Información |
| Decretos | 1. Decreto por el que se establece la regulación en materia de Datos Abiertos. |
| Acuerdos | 1. Acuerdo que tiene por objeto emitir las Disposiciones Generales en las materias de Archivos y de Gobierno Abierto para la Administración Pública Federal y su Anexo Único. 2. Acuerdo por el que se aprueba la Norma Técnica para el acceso y publicación de Datos Abiertos de la Información Estadística y Geográfica de Interés Nacional. 3. Acuerdo por el que se establece el Esquema de Interoperabilidad y de Datos Abiertos de la Administración Pública Federal. |
| Guías | 1. Guía de Implementación de la Política de Datos Abiertos. |
CONTENIDO PROTAI
OBJETIVO GENERAL:
Fortalecer institucionalmente la profesionalización y los procedimientos de garantía progresiva del derecho de acceso a la información, la apertura del Estado, la transparencia, la rendición de cuentas y lucha contra la corrupción; por medio de la mejora regulatoria, la promoción y difusión de la cultura de transparencia, la capacitación y formación de las personas del servicio público, el aprovechamiento del desarrollo tecnológico y la coordinación institucional entre las instituciones integrantes del Sistema Nacional de Transparencia, Acceso a la Información y Protección de Datos Personales (SNT) y los sujetos obligados de la Ley General de Transparencia y Acceso a la Información Pública (LGTAIP) y demás leyes en la materia.
OBJETIVOS ESPECÍFICOS:
· Establecer mecanismos de coordinación entre las instituciones integrantes del SNT que generen sinergias y uso eficiente de sus capacidades institucionales, presupuestos, profesionalización, especialización y autonomía de toma de decisiones para lograr el objetivo general del PROTAI.
· Definir responsabilidades específicas de los sujetos obligados y mecanismos de monitoreo, en el ámbito de competencia de cada organismo garante, en la consecución del cumplimiento del marco normativo en la materia y las materias del PROTAI.
· Organizar el trabajo coordinado entre las instituciones integrantes del SNT para simplificar el marco normativo, la ingeniería de procesos institucionales, el uso de las tecnologías de información, así como la capacitación, profesionalización, difusión y accesibilidad de los derechos, la transparencia, la gestión documental y de archivos, la rendición de cuentas y la lucha contra la corrupción entre los sujetos obligados de las leyes en la materia.
· Fomentar la coordinación entre las instituciones integrantes del SNT en el diseño y ejecución de políticas públicas en materia de transparencia y para el ejercicio universal del derecho de acceso a la información que favorezcan la resolución de problemas sociales, el acceso a servicios, trámites y programas sociales con participación social, respeto a los derechos humanos, con inclusión y libre de discriminación.
ESTRATEGIAS:
El PROTAI cuenta con siete estrategias vinculadas con los objetivos estratégicos de los ejes como herramientas que permiten darle mayor simplicidad a la organización del trabajo coordinado del SNT y sus integrantes.
En el anterior programa se desarrollaron seis estrategias (1. Marco normativo, 2. Tecnologías de la Información y Plataforma Nacional de Transparencia, 3. Coordinación Institucional del SNT, 4. Desempeño Institucional y procesos, 5. Capacitación y Fortalecimiento de Recursos Humanos y 6. Difusión) que son retomadas casi en su totalidad con algunas variaciones. A excepción del caso de "desempeño institucional y procesos" que se eleva ahora a nivel de eje transversal a partir de la experiencia en el diseño de los primeros programas nacionales PROTAI y PRONADATOS y la relevancia en la construcción de Organismos Garantes fuertes, profesionales y autónomos; el resto de las estrategias buscan replantearse en términos instrumentales claros.
De tal forma que las estrategias descritas a continuación se ubican en la categoría de condiciones,
tácticas, o medios que permitirán a las instituciones integrantes del SNT alcanzar los objetivos de los Ejes Temáticos.
1. Socialización (nueva): Unos de los principales desafíos estratégicos para los Organismos Garantes es el bajo conocimiento y ejercicio de los derechos que garantizan, sumado a que sus funciones involucran la promoción activa de sus materias y en el desarrollo de políticas públicas se vuelven fundamentales el desarrollo de mecanismos de socialización directa, que permitan incrementar la formación de agentes multiplicadores del acceso a la información en sectores especializados y personas en situación de vulnerabilidad: sociedad civil, activistas, periodistas, académicos, divulgadores, entre otros, que permitirán aumentar y diversificar el número de los beneficiarios en su ejercicio. De forma particular, el caso del desarrollo del Plan de Socialización del Derecho de Acceso a la Información (Plan DAI) representa un ejemplo claro de una herramienta probada y con un diseño metodológico robusto para implementar esta estrategia (mayor información en https://micrositios.inai.org.mx/plandai).
2. Coordinación (antes Coordinación Institucional del SNT): Tras más de cinco años de operación, las instancias del SNT (Comisiones, Regiones, Coordinación de Organismos Garantes de las Entidades Federativas, y Consejo Nacional) se han consolidado como espacios de diálogo y coordinación, incluso con agendas particulares en contingencias específicas. En 2020 se aprobaron ajustes a las primeras versiones de los programas nacionales que buscaron dar mayor incidencia a las Comisiones en la realización de acciones coordinadas y con un sentido de priorización respecto al cumplimiento de los objetivos. Por lo tanto, establecer Comisiones específicas para el desarrollo de acciones, rutas o mecanismos de colaboración entre las mismas y los Organismos Garantes o los Organismos Garantes y sus Sujetos Obligados se vuelve fundamental para lograr una implementación, ejecución y seguimiento de los temas del PROTAI más eficaz.
3. Capacitación (antes Capacitación y fortalecimiento de recursos humanos): Desde la anterior versión del PROTAI, en que se estableció la necesidad de esta estrategia, se han fortalecido las herramientas didácticas, pero también la cantidad de temas en los que es necesario capacitar al personal de los sujetos obligados y profesionalizar a los Organismos Garantes con la emisión de nuevas leyes; al mismo tiempo, la contingencia sanitaria por COVID-19 ha impulsado la virtualidad a nuevos niveles desarrollando estos mecanismos de forma importante. Por lo cual en este caso la Red Nacional por la Cultura de la Transparencia y la Protección de Datos Personales con su Programa de Capacitación en materia de Transparencia, Acceso a la Información, Protección de Datos de Personales y Temas Relacionados con Alcance Nacional; así como el Centro Virtual de Formación en Acceso a la Información y Protección de Datos Personales se convierten en instrumentos replicables a nivel nacional para dar cauce a las necesidades de capacitación.
4. Plataforma Nacional de Transparencia y Tecnologías de la información (PNT y TICs): La PNT se ha convertido en el instrumento que homologa el ejercicio de derechos al conjuntar en un solo espacio electrónico la consulta de información pública obligatoria, su solicitud y la gestión medios de impugnación para casi ocho mil sujetos obligados, por lo cual es una herramienta clave para cualquiera de los ejes involucrados en este programa; asimismo, las tecnologías de la información y comunicación son la base para hacer esto posible; adecuadas conexiones a internet, infraestructura de almacenamiento y procesamiento, así como equipos funcionales y licenciamientos vigentes son clave para lograr los objetivos establecidos.
5. Mejora Regulatoria (antes Marco normativo): Uno de los riesgos más importantes detectados desde el diagnóstico anterior fue la sobrecarga regulatoria de nuevas obligaciones en las instituciones públicas, derivado del modelo legal que se diseñó para normar las distintas materias de la reforma constitucional de 2014 (acceso a la información, protección de datos personales y archivos); en este sentido cobra relevancia el establecimiento del Sistema Nacional de Mejora Regulatoria que busca simplificar y promover la eficiencia de la regulación, con lo que se vuelven necesarias acciones de valoración para la emisión de nuevos instrumentos normativos y revisar los existentes, como lo posibilita la estrategia de implementación y seguimiento normativo acordada por el SNT. Cabe señalar que en dicho Sistema participa como invitado permanente a nivel nacional la Presidencia del INAI y en las entidades federativas las Presidencias de los Organismos Garantes.
6. Inclusión (nueva): El desarrollo de acciones para garantizar y promover el ejercicio de derechos fundamentales; como lo es el derecho de acceso a la información, el cual requiere de ampliar sus alcances a toda la diversidad de la población, así como generar condiciones y mecanismos para superar las brechas sociales, vulnerabilidades y desigualdades. Con base en la promesa
de la Agenda 2030 de "no dejar a nadie atrás" promovida por la Organización de las Naciones Unidas, las estrategias deben centrarse en los grupos más desfavorecidos como las personas con discapacidad, los pueblos indígenas, la juventud, las personas migrantes y refugiadas, las mujeres y niñas vulnerables, las personas mayores, y las personas en situación de pobreza y de discriminación en cualquiera de sus formas, así como las que se encuentran en situación de analfabetismo digital.
7. Comunicación (antes Difusión): Los distintos retos identificados en los diagnósticos previos y la situación del ejercicio y conocimiento social de las materias del Programa hacían fundamental establecer esta estrategia como un pilar para difundir en los distintos públicos la información y el ejercicio del derecho con el fin consolidar y ampliar la participación, vinculación y retroalimentación de los actores relacionados al PROTAI; tras el primer ejercicio con los programas hubo una importante concentración de acciones en este tema por parte de las instituciones integrantes del SNT; sin embargo, el impacto de las acciones no ha sido identificado y han sido esfuerzos desiguales y con poca coordinación y alcance nacional. Por ello es necesario reorganizar los trabajos hacia una estrategia de comunicación efectiva y coordinada, así como a monitorear sus resultados e impacto.
ESTRUCTURA:
Eje 1. Archivo y Gestión Documental
Síntesis de la problemática identificada en el diagnóstico: Las principales problemáticas ubicadas en el PROTAI 2017-2021 han sido atendidas de manera variada. Si bien la falta de un sistema de archivos y procedimientos para el manejo de información y el fortalecimiento de los programas o planes estratégicos de gestión documental de los Sujetos Obligados ya no representan unas prioridades sustantivas. Como se señala en el documento diagnóstico de este programa: la gestión documental en medios electrónicos, la capacitación del personal especializado, así como continuar con la armonización e implementación de la Ley en materia de archivos siguen siendo retos imperantes. Puesto que la disparidad en los procesos y normatividad de archivo y gestión documental entre los Organismos Garantes del país origina deficiencias en el acceso a la información pública, en particular, en muchos no se generan documentos electrónicos o un control de expedientes y documentos electrónicos. Para que los Organismos Garantes estén en posibilidad de asistir a los Sujetos Obligados en dichos procesos, deben generar capacidades mínimas hacia dentro de los mismos, al tiempo que atienden apremiante necesidad de generación de mapeos y estadísticas que les permitan diagnosticar la situación de la materia archivística en cada uno de los sujetos obligados en el país en coordinación con el CONARCH.
Objetivo Estratégico 1.1: Consolidar la regulación de la gestión documental y la administración de archivos como condición necesaria para el ejercicio y desarrollo del Derecho de Acceso a la Información Pública.
Líneas de acción:
1.1.1 Establecer la Comisión de Archivos y Gestión Documental como espacio de diálogo, coordinación y colaboración entre el SNT y el Sistema Nacional de Archivos (SNArch) en coordinación con el Archivo General de la Nación (AGN) y el INAI como integrante del CONARCH, para fomentar el ejercicio de la transparencia, el acceso a la información y la rendición de cuentas a través de una adecuada gestión documental y administración de archivos (INAI, AGN).
1.1.2 Fortalecer y difundir el proceso de armonización de la normatividad local en materia de gestión documental y administración de archivos en coordinación con el SNArch y el AGN, por medio de los mecanismos que considere el SNT, con el desarrollo de guías, lineamientos, recomendaciones e instrumentos modelo de acompañamiento, así como análisis legales en los casos que sea necesario (INAI, AGN, OGL).
1.1.3-C Línea Transversal de Profesionalización y Fortalecimiento Institucional. Articular y supervisar contenidos normativos y técnicos en materia de archivos en coordinación con las comisiones del SNT de Archivos y Gestión Documental; Capacitación, Educación y Cultura y el AGN, para su aprovechamiento en los instrumentos de capacitación del SNT establecidos en la línea de acción 2.1.1-C (INAI, AGN, OGL).
1.1.4-C Línea Transversal de Profesionalización y Fortalecimiento Institucional. Acompañar a los sujetos obligados en la implementación de su Sistema Automatizado para la Gestión Documental y Administración de Archivos por medio de los instrumentos de capacitación del SNT establecidos en la línea de acción 2.1.1-C, priorizando sectores o grupos de instituciones conforme su situación o avances (INAI, OGL).
1.1.5-B Línea Transversal DDHH, Enfoque de Género e Inclusión Social. Propiciar la generación de alianzas y convenios con la sociedad civil, instituciones académicas, autoridades especializadas en sectores especializados y personas en situación de vulnerabilidad, para identificar áreas de oportunidad en archivos y gestión documental, así como su vinculación con el derecho de acceso a la información por medio de investigaciones, diagnósticos, replicación de buenas prácticas y/o certificaciones (INAI, OGL).
1.1.6-A Línea Transversal de Promoción, Difusión y Fomento de la Cultura. Generar, aprobar y difundir, de forma individual por integrante o en conjunto con las comisiones del SNT correspondientes (Archivos y Gestión Documental y Capacitación, Educación y Cultura) y el AGN, productos y materiales de comunicación sobre la gestión documental y su impacto en el acceso a la información pública, ajustables por las instituciones integrantes del SNT o sus sujetos obligados y considerando mecanismos de evaluación de su difusión, conforme a la línea de acción 2.1.7-A (INAI, AGN, OGL).
1.1.7 Desarrollar el procedimiento para permitir el acceso a la información pública de documentos con valor histórico, que no hayan sido transferidos a un archivo histórico y que contengan datos personales sensibles, para los casos señalados por el artículo 38 de la Ley General de Archivos (INAI, OGL).
1.1.8 Promover, en el marco de las atribuciones del SNT en coadyuvancia con la instancia especializada en la materia, el desarrollo de sistemas informáticos de control y gestión documental, así como de digitalización documental, tratamiento, administración y conservación de documentación electrónica (INAI, OGL).
1.1.9 Diseñar y aplicar, con asesoría técnica del AGN y el CONARCH, un cuestionario o censo a los sujetos obligados para realizar un diagnóstico de la situación de sus archivos físicos y digitales, así como de sus sistemas institucionales de archivo (INAI, AGN, OGL).
1.1.10 Identificar y reconocer de forma nacional a sujetos obligados con prácticas destacadas y efectivas en el desarrollo de sistemas informáticos de control y gestión documental, digitalización documental, así como tratamiento, administración y conservación de documentación electrónica (INAI, AGN).
1.1.11 Explorar y desarrollar mecanismos de vinculación de la Plataforma Nacional de Transparencia y los sistemas informáticos de control y gestión documental, en coordinación con lo establecido en la línea de acción 3.2.4-B (INAI, OGL).
1.1.12-C Línea Transversal de Profesionalización y Fortalecimiento Institucional. Fomentar el desarrollo de áreas operativas o adscripción de personas servidoras públicas para realizar las funciones de archivo de concentración e histórico; así como asesorías sobre procesos internos para que Organismos Garantes con pocos recursos materiales y humanos puedan cumplir con dichas funciones (INAI, AGN).
Estrategias:
· Socialización: En el nivel de las personas del servicio público para su sensibilización y conocimiento de la norma.
· Coordinación: Vinculación con SNArch, AGN, CONARCH, INEGI y Comisiones del SNT.
· Capacitación: Instrumentos del SNT establecidos en la línea de acción 2.1.1-C.
· PNT y TICs: Vinculación PNT con sistemas informáticos de control y gestión documental y promoción al desarrollo de estos últimos.
· Mejora Regulatoria: Armonización y difusión de normatividad.
· Inclusión: Emprender acciones, alianzas y convenios con instituciones, organizaciones y personas en situación de vulnerabilidad.
· Comunicación: Acciones coordinadas y evaluadas a nivel nacional y ajustables localmente a las necesidades de Organismos Garantes y Sujetos Obligados.
Indicador de Resultado: Índice de control de la gestión documental.
Línea Base: 59.84%, CNTAIPPDPF y CNTAIPPDPE 2020
Índice con dos componentes: 1) Mide el porcentaje de Organismos Garantes con existencia de procesos y mecanismos para el control del tratamiento de la documentación (cuadro de clasificación archivística, catálogo de disposición documental; sistema institucional de archivos y sistema automatizado de gestión documental y control de documentos) y el 2) porcentaje de los Organismos Garantes que incorporan documentos electrónicos a expedientes electrónicos.
NOTA DE CAUCIÓN: Si se desea obtener una medición más precisa de los avances del presente objetivo se recomienda priorizar el desarrollo de la línea de acción 1.1.9, para contar con estadísticas confiables y actualizadas que permitan generar nuevos indicadores a nivel de los sujetos obligados.
Hasta el momento la PNT permite obtener los registros sobre catálogo de disposición y guías de archivo documental de la obligación general de transparencia XLV, siendo un primer acercamiento a la construcción de dichos conjuntos de datos.
Eje 2. Derecho de Acceso a la Información
Síntesis de la problemática identificada en el diagnóstico: En el diagnóstico del PROTAI 2017-2021 se identificaron cinco problemáticas sobre este eje temático:
· Ausencia de sistematización de criterios mínimos de la interpretación del derecho, a la gestión de solicitudes y recursos de acceso a la información, y en el cumplimiento de obligaciones de transparencia, y la imposición de sanciones y medidas de apremio.
· Insuficiencia del seguimiento y evaluación de las actividades sobre la promoción, difusión y fomento de la cultura de acceso a la información entre la población, en el ámbito federal y estatal.
· Ausencia de estrategias sobre derecho de acceso a la información dirigidas a población en situación de vulnerabilidad.
· Insuficiencia de procesos de coordinación e interconexión sobre sistemas informáticos para la gestión de solicitudes y recursos.
· Desconocimiento por parte de la población en relación a los procedimientos para solicitar información al gobierno, así como la falta de confianza en la información gubernamental y el desconocimiento de los Organismos Garantes encargados del acceso de este derecho.
Aunque todas ellas presentan avances, se requiere trabajar más para generar proyectos específicos sobre el derecho de acceso a la información incluyentes para la población en situación de vulnerabilidad, disminuir brechas sociales, impulsar la accesibilidad, la inclusión con perspectiva de género; asimismo, consolidar actividades de promoción, difusión y fomento de la cultura de acceso a la información para darle un sentido de utilidad a la información gubernamental en la vida de las personas, y facilitar los procedimientos a través de los cuales la ciudadanía accede a la información e interpone recursos de revisión ante el INAI y los Organismos Garantes.
Una importante consideración sobre las líneas de acción propuestas es que no cierran la posibilidad de impulsar iniciativas específicas por parte de las instituciones integrantes del SNT; sin embargo, se busca generar acciones de coordinación nacional que permitan el desarrollo de instrumentos efectivos en el desarrollo y fortalecimiento del ejercicio del DAI.
Objetivo Estratégico 2.1 Expandir el conocimiento del Derecho de Acceso a la Información Pública como herramienta para el ejercicio de otros derechos fundamentales para una sociedad más justa.
Líneas de acción:
2.1.1-C Línea Transversal de Profesionalización y Fortalecimiento Institucional. Establecer como mecanismos de capacitación del SNT para las personas del servicio público de los sujetos obligados (INAI, OGL):
a. La Red Nacional y Redes Locales por una cultura de la Transparencia y la Protección de Datos Personales,
b. El Programa de Capacitación en Transparencia, Acceso a la Información, Protección de Datos de Personales y Temas Relacionados con Alcance Nacional (PCCAN),
c. El Centro Virtual de Formación en Acceso a la Información y Protección de Datos Personales, y
d. Otros que considere el SNT, sus integrantes, comisiones e instancias.
2.1.2 Consolidar la "Red Nacional por una cultura de la Transparencia y PDP" y su Programa de Capacitación en Transparencia, Acceso a la Información, Protección de Datos de Personales y Temas Relacionados con Alcance Nacional (PCCAN) como mecanismos permanentes de capacitación y colaboración entre Organismos Garantes y las personas del servicio público de los Sujetos Obligados en las materias que competen al PROTAI a fin de fortalecer la cultura del acceso a la información y la transparencia (INAI, OGL).
2.1.3 Promover el establecimiento o acciones de fortalecimiento de las Redes Locales por una cultura de la Transparencia y la PDP y sus programas de capacitación (INAI, OGL).
2.1.4 Fortalecer y ampliar la cobertura de las herramientas de capacitación en línea del Centro Virtual de Formación en Acceso a la Información y Protección de Datos Personales y apoyar el desarrollo de otras iniciativas similares (INAI).
2.1.5-B Línea Transversal DDHH, Enfoque de Género e Inclusión Social. Propiciar la generación de alianzas y convenios con la sociedad civil, sector privado, instituciones académicas y autoridades de los tres órdenes de gobierno, incluyendo las comunitarias y aquellas especializadas para que toda persona tenga a su alcance los medios apropiados a sus posibilidades para ejercer y aprovechar el DAI para el acceso a otros derechos fundamentales (salud, educación, trabajo, servicios, seguridad, justicia, libertad de expresión, igualdad, etc.) con una adecuada perspectiva de inclusión y promoción de los derechos humanos con la replicación nacional de: (INAI, OGL)
a. La Red por la Utilidad Social de los Derechos de Acceso a la Información y Protección de Datos Personales (Red USOC),
b. El Programa de Sensibilización de Derechos (PROSEDE),
c. La Caravana de la Transparencia y Privacidad,
d. Concursos o certámenes que fomenten el uso y valor social de la información, en coordinación con autoridades educativas para dar mayor alcance.
e. El Programa: "Promociona, Vincula y Acciona Tus Derechos y
f. El Plan Nacional de Socialización del Derecho de Acceso a la Información (Plan DAI)
g. Otros que considere el SNT, sus integrantes, comisiones e instancias.
2.1.6-A Línea Transversal de Promoción, Difusión y Fomento de la Cultura. Fortalecer acciones de los órganos garantes para el diseño de políticas públicas de transparencia y acceso a la información con perspectiva de género, derechos humanos e inclusión, para con ello actualizar
y consolidar políticas y/o acciones del Plan DAI dirigidas a ampliar y diversificar el número de personas usuarias del derecho de acceso a la información; así como formar agentes multiplicadores del DAI en sectores especializados: sociedad civil, activistas, periodistas, académicos, divulgadores, influencers, organizaciones (sociales, asociaciones, confederaciones, empresarios), entre otros para aumentar sus beneficios sociales derivados (INAI, OGL).
2.1.7-A Línea Transversal de Promoción, Difusión y Fomento de la Cultura. Generar y difundir, de forma individual por integrante o en coordinación con las comisiones del SNT de Vinculación, Promoción, Difusión y Comunicación Social y la de Derechos Humanos, Equidad de Género e Inclusión Social(5), productos (revista, folletos, historietas, etc.), materiales (infografías, videos, textos, etc.) y herramientas (redes sociales, canales de video, portal SNT, etc.) de comunicación que incorporen los principios de igualdad y no discriminación sobre el acceso a la información pública y la transparencia en sus diferentes aspectos, ajustables por cada integrante del SNT y los sujetos obligados; considerando el diseño y establecimiento de mecanismos de monitoreo, seguimiento y evaluación para las acciones de promoción y difusión emprendidas desde el SNT (INAI, OGL).
Esta línea de acción se replica en materia de Archivos (1.1.6-A), Estado Abierto (3.1.4-A), Gobierno Digital (3.2.6-A), Transparencia Proactiva (3.3.8-A), uso del SIPOT (3.4.1-A), Datos Abiertos (3.5.8-A), Anticorrupción (4.1.13-A) y resoluciones de recursos de revisión socialmente relevantes (5.1.10-A).
2.1.8-C Línea Transversal de Profesionalización y Fortalecimiento Institucional. Impulsar el desarrollo y establecimiento de cursos, diplomados, certificaciones o posgrados en materia de acceso a la información y transparencia con Universidades, autoridades educativas de todos los niveles y Organismos Garantes (INAI, OGL).
2.1.9 Expandir el trabajo del Centro de Atención a la Sociedad (CAS) de forma nacional para beneficio de la ciudadanía en el ejercicio y goce del derecho de acceso a la información pública (INAI).
2.1.10-C Línea Transversal de Profesionalización y Fortalecimiento Institucional. Implementar un modelo de planeación y seguimiento de resultados institucionales de los Organismos Garantes, acorde a sus capacidades financieras, materiales y humanas para aumentar la eficacia de los recursos y capacidades destinados a las materias que competen al PROTAI, en especial para promover el ejercicio y garantía del DAI (INAI, OGL).
2.1.11 Generar reportes estadísticos sobre los principales aspectos del ejercicio del Derecho de Acceso a la Información (se propone usar como base el Índice de Respuestas a Solicitudes de Información Pública y el Índice de Desempeño de las Unidades de Transparencia). (INAI, OGL).
2.1.12-C Línea Transversal de Profesionalización y Fortalecimiento Institucional: Diseñar mecanismos de selección y reclutamiento de personal a partir de perfiles de puestos actualizados y diseñados curricularmente para cubrir las necesidades en materia del DAI (INAI, OGL).
2.1.13 Realizar acciones de acompañamiento y asesoría con Unidades y Comités de Transparencia de los sujetos obligados, a partir de su priorización por temáticas de las solicitudes de información recibidas y sectorización por relevancia social, a partir de lo dispuesto en Catálogo de Sujetos Obligados y el Catálogo de Clasificación Temática de Solicitudes de Información(6) (INAI, OGL).
2.1.14 Consolidar la presencia del INAI y el SNT en las redes internacionales, así como su incidencia en los foros especializados y eventos institucionales con componente internacional a fin de mantener a la vanguardia la PDP en México (INAI).
2.1.15 Desarrollar estrategias de educación cívica y/o iniciativas que permitan la inclusión de las temáticas de acceso a la información y transparencia gubernamental en los programas y planes de estudio, libros y materiales que se utilicen en las instituciones educativas de los distintos niveles (incluyendo especialistas) (INAI, OGL).
2.1.16 Elaborar y publicar estudios e investigaciones para difundir y ampliar el conocimiento sobre acceso a la información, la transparencia gubernamental, la rendición de cuentas y sus repercusiones sociales (INAI, OGL).
2.1.17 Realización de eventos de análisis, exposiciones o retos públicos sobre el acceso a la información y transparencia gubernamental en sus diferentes facetas, así como para promover la igualdad y no discriminación en el ejercicio del DAI; se recomienda que estén enfocados a
crear alianzas y ampliar redes de conocimiento, a fin de que incluir sujetos obligados, centros educativos u organizaciones de la sociedad civil diversas a los colaboradores habituales(7) (INAI, OGL).
2.1.18 Analizar el cumplimiento de los Lineamientos emitidos por el SNT en atención a la LGTAIP e identificar áreas de oportunidad para su mejora regulatoria conforme a la estrategia de implementación y seguimiento normativo del SNT acordada por el Consejo Nacional en atención a las consideraciones en la materia del Sistema Nacional de Mejora Regulatoria (INAI, OGL).
2.1.19 Establecer estrategias para el posicionamiento de los Organismos Garantes como piezas clave en el ejercicio y garantía del Derecho de Acceso a la Información por medio de casos de éxito (INAI, OGL).
2.1.20 Propiciar la generación de alianzas y convenios con medios de comunicación públicos y privados (en particular internet, radio y televisión), así como realizar su seguimiento y valoración de resultados, para promover y dar a conocer los mecanismos de ejercicio y garantía del DAI y cómo puede ser útil para el ejercicio de otros derechos fundamentales (salud, educación, trabajo, servicios, seguridad, justicia, libertad de expresión, igualdad, etc.) con perspectiva de inclusión y promoción de los derechos humanos (INAI, OGL).
2.1.21-B Línea Transversal DDHH, Enfoque de Género e Inclusión Social. Identificar información básica de las instituciones integrantes del SNT o de Sujetos Obligados que sea de utilidad social para pueblos y comunidades indígenas, así como desarrollar e implementar un programa piloto de traducción y difusión de dicha información, de la difusión de las leyes y documentos traducidos en lenguas indígenas que faciliten el conocimiento y ejercicio del DAI y su aplicación concreta en la vida de las comunidades y personas (INAI, OGL).
2.1.22-C Línea Transversal de Profesionalización y Fortalecimiento Institucional. Establecer normas y procedimientos que sienten las bases para la organización, funcionamiento y desarrollo de un Sistema de Servicio Profesional de Carrera o equivalente en los Organismos Garantes que garantice la capacitación, profesionalización y especialización de sus servidoras y servidores públicos, para fortalecer así la garantía del DAI (INAI, OGL).
2.1.23-B Línea Transversal DDHH, Enfoque de Género e Inclusión Social. Implementar por parte de los Organismos Garantes instrumentos orientadores para el fortalecimiento del Enfoque de Derechos Humanos, Igualdad de Género e Inclusión Social emitidos por el SNT o por sus Instancias (INAI, OGL).
Estrategias:
· Socialización: Establecimiento y desarrollo de instrumentos del SNT. Además de alianzas, convenios e iniciativas con instituciones, organizaciones y personas.
· Coordinación: Vinculación con INEGI y Comisiones del SNT.
· Capacitación: Establecimiento y desarrollo de instrumentos del SNT
· PNT y TICs: Difusión, socialización y capacitación del uso de la PNT
· Mejora Regulatoria: Identificar áreas de oportunidad en normatividad emitida conforme a la estrategia de implementación y seguimiento normativo del SNT
· Inclusión: Emprender acciones, alianzas y convenios con instituciones, organizaciones y personas en situación de vulnerabilidad.
· Comunicación: Acciones coordinadas y evaluadas a nivel nacional y ajustables localmente a las necesidades de Organismos Garantes y Sujetos Obligados.
Indicador de Resultado: Porcentaje de avance del indicador de Acceso a la Información del Gobierno de la Métrica de Gobierno Abierto
Línea Base: 25.37%, Métrica de Gobierno Abierto 2017-2019
Se calcula el avance del indicador señalado entre una edición y otra en términos porcentuales. El cual se obtiene a partir de la revisión de las respuestas de sujetos obligados a las solicitudes de acceso a la información realizadas en un periodo dado analizando el cumplimiento del plazo legal, la existencia de una respuesta, y la frecuencia del uso de prórroga.
NOTA DE CAUCIÓN: Es recomendable la construcción de uno o más indicadores compuestos que reflejen la diversidad de problemáticas sobre el uso del derecho, el acceso a la información gubernamental por parte de la población por diversos medios, y el conocimiento del derecho.
Algunas variables y sus fuentes a continuación:
| Porcentaje estimado de población mayor a 18 años que conoce o ha escuchado sobre la existencia de una Ley en materia de transparencia | ENAID | 50.60% | 62.63% |
| Promedio del presupuesto ejercido por los organismos garantes como porcentaje de su presupuesto autorizado | CNTAIPPDP | 97.13% | 98.69% |
| Indicador de Acceso a la Información del Gobierno de la Métrica de Gobierno Abierto | MGA | 0.6687 | 0.84 |
| Porcentaje de organismos garantes que cuentan con información sistematizada para el desarrollo de una plataforma de criterios y precedentes sobre el derecho de acceso a la información en el país | SESNT | 42.42% | 51.51% |
| Número de tickets levantados por incidencias en el funcionamiento de la Plataforma Nacional de Transparencia | PNT | - | - |
| Indicador compuesto a partir de las consultas a portales, así como solicitudes y recursos de revisión registrados | PNT | - | - |
Eje 3. Políticas de Transparencia: Estado Abierto, Gobierno Digital, Transparencia Proactiva, SIPOT y Datos Abiertos
Síntesis de la problemática identificada en el diagnóstico: En este eje se conjuntan diversas expresiones de la transparencia en las instituciones públicas y su relación con la ciudadanía para materializar el acceso a la información en la disminución de brechas sociales, dar acceso al ejercicio de otros derechos y resolver problemas públicos.
La Métrica de Gobierno Abierto es un estudio que "aporta diferentes elementos de análisis en materia de apertura, con base en los ejes de transparencia y participación ciudadana, así como la oferta de mecanismos gubernamentales y la demanda de instrumentos por parte de la ciudadanía"(8). De acuerdo con los datos de su Índice de Gobierno Abierto en México, en 2019 reportaba avances respecto a la medición de 2017; con excepción del eje temático de participación desde el gobierno, hubo un incremento de los niveles apertura, acceso a la información, transparencia y participación.
Por otra parte, si bien es cierto que mejoraron las calificaciones, sigue estando pendiente la publicación de los datos abiertos por parte de los Sujetos Obligados y que se atiendan las necesidades específicas de la ciudadanía respecto al acceso a la información, sobre todo creando información más entendible y enfocada. Asimismo, se deben mejorar los portales y buscadores para el acceso a estos datos a nivel nacional, pero, sobre todo, a nivel estatal, en el que hay muchas disparidades. También se vuelve indispensable homologar el lenguaje y las interacciones con los Sujetos Obligados y avanzar en la instalación de los Secretariados Técnicos Locales, que contribuyan a la dimensión de la participación ciudadana.
3.1. ESTADO ABIERTO
Síntesis de la problemática identificada en el diagnóstico: Durante la ejecución PROTAI 2017-2021 hubo avances registrados principalmente en los indicadores de la Métrica de Gobierno Abierto y el incremento en la instalación de Secretariados Técnicos y determinación de Planes de Acción en la iniciativa "Co-creación: Creación desde lo local". Aunque, derivado del despertar social por participar en la resolución de problemas públicos y la exigencia de la población de ser tomada en cuenta y ejercer la democracia en más ámbitos de la vida pública es que fue quedando obsoleto limitar la apertura a los gobiernos y ha ido extendiéndose a los parlamentos, poderes judiciales y demás instituciones que conforman el Estado. Ante lo anterior ha sido necesario un replanteamiento de los conceptos y evolucionar con ellos en la implementación de los principios de apertura gubernamental a todos los niveles y poderes del Estado como mecanismo de gobernanza para materializar políticas concretas con amplia participación ciudadana en la toma de decisiones, mismos que a los que es necesario evaluar para conocer su impacto y dar seguimiento a sus resultados.
Al hacer un balance para la renovación de este eje merece la pena mencionar que en el PROTAI 2017-2021 fueron auto reportadas 313 acciones en el periodo de 2018 a 2021 por parte de los Organismos Garantes Locales. Siendo Oaxaca la entidad que más actividades registró: 64 (20.4% del total), en tanto que casi la tercera parte de Organismos Garantes (10) no reporta ninguna actividad; como en otros ejes, se denota una gran disparidad en el escenario local en el avance en la materia. En particular las líneas 3.2 Fomentar la participación ciudadana en los procesos de toma de decisiones para fortalecer el enfoque de Gobierno Abierto con perspectiva derechos humanos y de género, y 3.3 Consolidar la capacitación de las y las personas del servicio público en materia de Gobierno Abierto, solo reportaron 28 y 22 actividades cada una, de nuevo siendo Oaxaca el mayor número (10 en cada una). Destaca que, para ambas líneas, tres cuartas partes de los Organismos Garantes no registraron acciones de capacitación, ni actividades en el tema de perspectiva de derechos humanos y de género.
Objetivo Estratégico 3.1 Actualizar los principios de apertura gubernamental y robustecer el enfoque de Estado Abierto para aumentar la participación en la solución de problemas sociales.
Líneas de acción:
3.1.1 Promover la inclusión en el marco normativo y técnico de la obligación de apertura del Estado en todos sus ámbitos para mantener actualizada la normatividad al avance conceptual, incluyendo los lineamientos y documentos de referencia emitidos por el Consejo Nacional del SNT (INAI, OGL).
3.1.2 Desarrollar herramientas de seguimiento, medición y evaluación de los mecanismos de Estado Abierto como metodologías que permitan determinar la situación institucional de la apertura como posible solución de problemas sociales (INAI, OGL).
3.1.3-C Línea Transversal de Profesionalización y Fortalecimiento Institucional. Consolidar los procesos de capacitación de las personas del servicio público y sociedad civil en materia de participación ciudadana para la toma de decisiones y fortalecer los mecanismos de Estado Abierto conforme a los esquemas desarrollados por el SNT en las líneas de acción 2.1.1-C y 2.1.5-B (INAI, OGL).
3.1.4-A Línea Transversal de Promoción, Difusión y Fomento de la Cultura. Generar y difundir, de forma individual por integrante o en colaboración con las comisiones del SNT correspondientes, productos y materiales de comunicación sobre el Estado Abierto y su impacto en el acceso a la información pública ajustables por las instituciones integrantes del SNT o sus sujetos obligados y considerando mecanismos de evaluación a su difusión, conforme a la línea de acción 2.1.7-A (INAI, OGL).
3.1.5-B Línea Transversal DDHH, Enfoque de Género e Inclusión Social. Ampliar la instalación y funcionamiento de iniciativas y mecanismos de Estado Abierto en los tres ámbitos de gobierno que respondan a los contextos sociales locales, federal y nacional (Parlamento Abierto, Justicia Abierta y Gobierno Abierto) de forma que sean incluyentes y accesibles a la participación ciudadana como un elemento indispensable para el robustecimiento de estas prácticas, así como para grupos en situación de vulnerabilidad (INAI, OGL).
3.1.6 Propiciar iniciativas de colaboración con personas y organizaciones de la sociedad civil y autoridades para dotar de utilidad social de la información contenida en las obligaciones de transparencia y su vinculación con la rendición de cuentas y la integridad pública; se recomienda que dichas alianzas se amplíen más allá de los colaboradores habituales(9) (INAI, OGL).
3.1.7 Consolidar el diálogo y colaboración estratégica con personas y organizaciones de la sociedad civil y autoridades para aprovechar la plataforma de la Alianza para el Gobierno Abierto en la difusión y desarrollo de prácticas en materia de Estado Abierto y Transparencia Proactiva se recomienda que dichas iniciativas se amplíen más allá de los colaboradores habituales(10) (INAI, OGL).
Estrategias:
· Socialización: Diálogo, colaboración, alianzas, convenios e iniciativas con instituciones, organizaciones y personas, garantizando el componente de participación.
· Coordinación: Vinculación con instancias y Comisiones del SNT, organizaciones civiles e internacionales (Alianza para el Gobierno Abierto).
· Capacitación: Instrumentos del SNT establecidos en la línea de acción 2.1.1-C.
· Mejora Regulatoria: Actualización del marco normativo del SNT.
· Inclusión: Emprender acciones, alianzas y convenios con instituciones, organizaciones y personas en situación de vulnerabilidad, garantizando el componente de participación.
· Comunicación: Acciones coordinadas y evaluadas a nivel nacional y ajustables localmente a las necesidades de Organismos Garantes y Sujetos Obligados.
Indicador de Resultado: Porcentaje de avance del Subíndice de Participación de la Métrica de Gobierno Abierto
El subíndice de participación ciudadana evalúa tanto la existencia y funcionamiento de mecanismos de participación en cada sujeto obligado, como el nivel en el que las personas pueden comunicarse con los sujetos obligados para hacer propuestas sobre su quehacer. Por ello, esa medición se considera la medición más cercana al objetivo propuesto al calcular el avance entre una edición y otra del indicador señalado en términos porcentuales.
Línea Base: 46.43%, Métrica de Gobierno Abierto 2017-2019
3.2 GOBIERNO DIGITAL
Síntesis de la problemática identificada en el diagnóstico: La contingencia sanitaria del 2020 origina por la COVID-19 obligó a las instituciones integrantes del SNT a adaptarse de manera rápida para funcionar a distancia y realizar una acelerada incorporación de tecnologías de comunicación en sus labores cotidianas. Dicho proceso que ha sucedido de forma gradual, considerando que diversos mecanismos del SNT ya operaban de forma remota ocasionalmente (principalmente gracias al INEGI), sumada a la consolidación de la PNT como herramienta central y que había iniciativas para profundizar dicha tendencia de más de veinte años en la administración pública de construcción del gobierno digital.
En este sentido, es necesario seguir consolidando la infraestructura y capacidades de las instituciones integrantes del SNT, así como responder a los nuevos retos tanto de interconexión con los desarrollos, herramientas y plataformas de otros Sistemas Nacionales e instituciones, como de disparidades en los portales y buscadores para el acceso a información a nivel nacional y de forma particular a nivel estatal.
Objetivo Estratégico 3.2 Impulsar el uso de Tecnologías de la Información y Comunicación como instrumento de actualización y accesibilidad para disminuir las brechas en el ejercicio del DAI.
Líneas de acción:
3.2.1 Elaborar, por parte de la Comisión de Tecnologías de la Información y Plataforma Nacional de Transparencia del SNT, un diagnóstico de la infraestructura y recursos tecnológicos disponibles que operan las instituciones integrantes del SNT y los sujetos obligados de la LGTAIP, para la identificación de necesidades y áreas de oportunidad (INAI, OGL).
3.2.2-C Línea Transversal de Profesionalización y Fortalecimiento Institucional: Actualizar, mejorar y aprovechar la infraestructura tecnológica existente al interior de las instituciones integrantes del SNT para la administración del conocimiento y la colaboración digital, a través de sistemas y esquemas tecnológicos de organización, coordinación y comunicación (INAI, AGN, ASF, OGL).
3.2.3 Actualizar y promover la realización de trámites y atención a la población a través de medios electrónicos como facilitadores del acceso a la información pública, por medio de mejoras continuas y actualizaciones al SISAI y SIGEMI (INAI, OGL).
3.2.4-B Línea Transversal DDHH, Enfoque de Género e Inclusión Social. Continuar la implementación de la PNT a nivel nacional y realizar las actualizaciones necesarias para mantener la accesibilidad y usabilidad por sus personas usuarias (en especial aquellos con alguna discapacidad o de lengua indígena), administradores y las personas del servicio público de los sujetos obligados; así como desarrollar acciones para reducir la brecha digital y mecanismos de vinculación con los sistemas informáticos de control y gestión documental y la Plataforma Digital Nacional (PDN) (INAI, OGL).
3.2.5-B Línea Transversal DDHH, Enfoque de Género e Inclusión Social. Generar estrategias de inclusión digital a partir de la generación de material (infografías, videos, textos en revistas, folletos, historietas, etcétera) de los mecanismos para el ejercicio del DAI, así como los productos informativos (micrositios, estadísticas, información focalizada), cursos y asesorías que se ofrecen; asimismo, desarrollar cursos de orientación para que personas en situación de vulnerabilidad o sus familiares y/o cuidadores que puedan ayudarles a encontrar y acceder información pública sobre trámites y/o servicios en línea, mediante el uso de computadora o un teléfono móvil (INAI, OGL).
3.2.6-A Línea Transversal de Promoción, Difusión y Fomento de la Cultura. Diseñar y difundir, de forma individual por integrante o en colaboración con las comisiones del SNT correspondientes, productos y materiales de comunicación sobre los mecanismos para el ejercicio del DAI, así como los productos informativos (micrositios, estadísticas, información focalizada), cursos y asesorías que ofrecen las instituciones integrantes del SNT, con el fin de explicarle a las personas en situación de vulnerabilidad la utilidad de la PNT y otras herramientas digitales, así como los beneficios que se podrían generar en su vida con el acceso a la información. Considerando mecanismos de evaluación a su difusión, conforme a la línea de acción 2.1.7-A (INAI, OGL).
3.2.7-C Línea Transversal de Profesionalización y Fortalecimiento Institucional: Consolidar el soporte técnico, esquemas de seguridad y mecanismos de emergencia de la PNT (INAI, OGL).
3.2.8-C Línea Transversal de Profesionalización y Fortalecimiento Institucional. Consolidar los procesos de capacitación de las personas del servicio público para una adecuada administración de la PNT conforme a los esquemas desarrollados por el SNT en la línea de acción 2.1.1-C (INAI, OGL).
Estrategias:
· Coordinación: Vinculación con instancias y Comisiones del SNT e integrantes del SNA y el SNARCH
· Capacitación: Instrumentos del SNT establecidos en la línea de acción 2.1.1-C.
· PNT y TICs: Actualización y mejora PNT e infraestructura tecnológica.
· Inclusión: Emprender acciones e iniciativas dirigidas a personas en situación de vulnerabilidad.
· Comunicación: Acciones coordinadas y evaluadas a nivel nacional y ajustables localmente a las necesidades de Organismos Garantes y Sujetos Obligados.
Indicador de Resultado: Índice de uso de Infraestructura en Tecnologías de la Información de los Organismos Garantes
Mide el fortalecimiento de las TIC´s para el ejercicio de las funciones de los Organismos Garantes en la garantía del DAI por medio de dos variables: 1) la proporción de Organismos Garantes que reportaron hacer uso de la infraestructura tecnológica destinada al sistema INFOMEX u otras aplicaciones similares; y 2) la proporción de Organismos Garantes que reportaron hacer uso del servicio de internet institucional.
Línea Base: 1. 72.72%, 2. 96.96% CNTAIPPDPF y CNTAIPPDPE 2020.
3.3 TRANSPARENCIA PROACTIVA
Síntesis de la problemática identificada en el diagnóstico: En el proceso de diagnóstico para la elaboración de este programa se identificó un crecimiento importante del componente de Transparencia Proactiva en la Métrica de Gobierno Abierto, al pasar de 0.15 en 2017 a 0.53 en 2019; sin embargo se identificó que los Sujetos Obligados no enfocan sus acciones a necesidades específicas de información de la ciudadanía, pues sigue en desarrollo la homogeneización de procedimientos para detectar necesidades y obstáculos de uso de información de su población objetivo o potencial. Destaca que, durante la ejecución del programa anterior, la línea de acción 3.6 Consolidar la capacitación de las y las personas del servicio público en materia de transparencia proactiva es la que suma menos actividades de todas (13) y solo son 4 los Organismos Garantes que tienen resultados. Sobresale el hecho de que en materia de capacitación sobre transparencia proactiva un 87.5% de los Organismos Garantes Locales no realizó ninguna actividad.
Objetivo Estratégico 3.3 Promover que la información generada y divulgada coadyuve a la toma de decisiones, reduzca las barreras de acceso a la información pública y resuelva problemáticas sociales específicas.
Líneas de acción:
3.3.1 Mantener el desarrollo de instrumentos de diagnóstico, monitoreo y seguimiento de la implementación de las Políticas Nacionales de Estado Abierto y Transparencia Proactiva (INAI, OGL).
3.3.2 Consolidar los procesos para la implementación, verificación, evaluación y reconocimiento de actividades de Transparencia Proactiva de forma nacional incrementando la participación ciudadana (INAI, OGL).
3.3.3 Consolidar el desarrollo y actualización de los repositorios nacionales de información y difusión de prácticas de Transparencia Proactiva, para su documentación y socialización. Así como la
inclusión de prácticas desarrolladas respecto a información de interés para la sociedad de otros Sistemas Nacionales (INAI, OGL).
3.3.4 Llevar a cabo intervenciones de Transparencia Proactiva en colaboración con sujetos obligados especializados y participación social para su asesoramiento y acompañamiento en la implementación de acciones y estrategias (INAI, OGL).
3.3.5-B Línea Transversal DDHH, Enfoque de Género e Inclusión Social. Propiciar iniciativas de colaboración con personas en situación de vulnerabilidad para dotar de utilidad social a los ejercicios de Transparencia Proactiva y reducir las brechas informativas que generan desigualdad en el ejercicio de sus derechos; se recomienda que dichas acciones se amplíen de los colaboradores y grupos habituales para llegar a personas en situación de pobreza, niñas, niños y adolescentes, diversidad sexual, origen rural, entre otros (INAI, OGL).
3.3.6-B Línea Transversal DDHH, Enfoque de Género e Inclusión Social. Establecer perfiles de personas usuarias y para construir fuentes con información de calidad, inclusión, accesibilidad, así como conocimiento público en temas de interés de la sociedad, con atención al contexto social en que se desenvuelven los sujetos obligados, para reducir las brechas en el acceso a la información pública, resolver problemas sociales y sensibilizar en materia de discriminación y violencia por razón de género con un enfoque de derechos humanos, igualdad y género; así como acciones de acercamiento con sociedad civil en general, que guíen sobre la información que los grupos en situación de vulnerabilidad particularmente consideren como útil (INAI, OGL).
3.3.7-C Línea Transversal de Profesionalización y Fortalecimiento Institucional. Consolidar los procesos de capacitación de las personas del servicio público y sociedad civil en las acciones de Transparencia Proactiva conforme a los esquemas desarrollados por el SNT (líneas de acción 2.1.1-C y 2.1.5-B) (INAI, OGL).
3.3.8-A Línea Transversal de Promoción, Difusión y Fomento de la Cultura. Generar y difundir, de forma individual por integrante o en colaboración con las comisiones del SNT correspondientes, productos y materiales de comunicación sobre Transparencia Proactiva y su impacto en el acceso a la información pública ajustables por las instituciones integrantes del SNT o sus sujetos obligados y considerando mecanismos de evaluación a su difusión, conforme a la línea de acción 2.1.7-A (INAI, OGL).
3.3.9 Establecer categorías para dotar de utilidad social de la información contenida en las obligaciones de transparencia y construir fuentes con información de calidad, inclusión, accesibilidad, así como conocimiento público en temas de interés de la sociedad para reducir las brechas en el acceso a la información pública con la rendición de cuentas y la integridad pública (INAI, OGL).
3.3.10 Priorizar la participación ciudadana como elemento clave para el fortalecimiento de las políticas de Transparencia Focalizada desarrollando las siguientes herramientas:
a. Análisis de solicitudes de información con herramientas de análisis de datos.
b. Desarrollar espacios de contacto ciudadano a partir de las propias funciones de los Sujetos Obligados.
c. Realizar minería de información en buscadores y redes sociales.
d. Repensar la comunicación social institucional para llevar información a la ciudadanía (INAI, OGL).
3.3.11 Brindar acompañamiento especializado para impulsar procesos locales de evaluación y reconocimiento de prácticas de Transparencia Proactiva (INAI, OGL).
Estrategias:
· Socialización: Establecimiento de alianzas, convenios e iniciativas con instituciones, organizaciones y personas.
· Coordinación: Vinculación con instancias y Comisiones del SNT e integrantes del SNA y el SNARCH
· Capacitación: Instrumentos del SNT establecidos en la línea de acción 2.1.1-C.
· PNT y TIC's: Desarrollo de micrositios y repositorios.
· Inclusión: Desarrollar acciones e iniciativas dirigidas a personas en situación de vulnerabilidad como centro de la política de transparencia proactiva.
· Comunicación: Acciones coordinadas y evaluadas a nivel nacional y ajustables localmente a las necesidades de Organismos Garantes y Sujetos Obligados.
Indicador de Resultado: Índice de promoción de transparencia proactiva
Línea Base: 25.76%, CNTAIPPDPF y CNTAIPPDPE 2020
Este índice mide la cobertura de las acciones de seguimiento de la política de transparencia proactiva por medio de dos componentes: el primero, se refiere al porcentaje total de Organismos Garantes que reportaron en el CNTAIPPDP evaluar el impacto de los efectos generados por la publicación, difusión de la información y/o el conocimiento en sus sujetos obligados; el segundo componente se refiere al porcentaje total de Organismos Garantes que reportaron en el CNTAIPPDP realizar acciones de acciones de diseño, implementación y evaluación de una política de transparencia proactiva en los sujetos obligados.
NOTA DE CAUCIÓN: En caso de considerar alguna versión alternativa de indicador se sugiere utilizar el Indicador de Transparencia Proactiva de la Métrica de Gobierno Abierto.
3.4 SIPOT (Sistema de Portales de Obligaciones de Transparencia de la Plataforma Nacional de Transparencia)
Síntesis de la problemática identificada en el diagnóstico: En lo que se refiere al SIPOT, conforme a la Métrica de Gobierno Abierto ha incrementado su indicador sobre información obligatoria al pasar de 0.45 a 0.72, a partir de la revisión de una selección de las obligaciones de transparencia publicadas. Por otra parte, de acuerdo con lo reportado en el CNTAIPPDPF(11) los sujetos obligados han incrementado las estructuras organizacionales formales para garantizar el acceso a la información:
| | Unidades de Transparencia | Comités de Transparencia |
| 2017 | 5,769 | 4,459 |
| 2019 | 7,219 | 6,592 |
| 2020 | 6,858 | 6,759 |
| 2021 | 7,489 | 7,054 |
Sin embargo, ahora los retos se relacionan con la calidad y simplicidad de acceso a la información, las formas de llegar a la información pública que generan los sujetos obligados son múltiples y esto dificulta a los particulares su pronta localización. Por su parte, el SIPOT, a pesar de sus actualizaciones sigue siendo un sistema técnico y poco comprensible para el usuario por el nivel de sofisticación de la información que arroja. Por lo que se considera necesario seguir impulsando herramientas para alcanzar una mayor inclusión y diversidad de personas usuarias del sistema.
Objetivo Estratégico 3.4. Fortalecer al SIPOT de la Plataforma Nacional de Transparencia como herramienta de transparencia para las instituciones públicas
Líneas de acción:
3.4.1-A Línea Transversal de Promoción, Difusión y Fomento de la Cultura. Actualizar y difundir, de forma individual por integrante o en colaboración con las comisiones del SNT correspondientes, los productos y materiales de comunicación existentes sobre el uso del SIPOT, sus buscadores y su relevancia en el acceso a la información pública, así como hacerlos ajustables por las instituciones integrantes del SNT o sus sujetos obligados y considerando mecanismos de evaluación a su difusión, conforme a la línea de acción 2.1.7-A (INAI, OGL).
3.4.2-B Línea Transversal DDHH, Enfoque de Género e Inclusión Social. Realizar las actualizaciones necesarias al SIPOT y sus buscadores, tutoriales y herramientas para mantener la accesibilidad y usabilidad por sus personas usuarias (en especial aquellos con alguna discapacidad o de lengua indígena), administradores y las personas del servicio público de los sujetos obligados; así como desarrollar mecanismos de vinculación con los sistemas informáticos de control y gestión documental y la Plataforma Digital Nacional (INAI, OGL).
3.4.3-C Línea Transversal de Profesionalización y Fortalecimiento Institucional. Diseñar los programas de acompañamiento a los sujetos obligados y formular contenidos de capacitación en las dimensiones Portales de Transparencia, Respuestas a Solicitudes de Información, para que los Organismos Garantes por medio de un canal de comunicación permanente brinden acompañamiento y soporte técnico a los Sujetos Obligados para el cumplimiento del marco normativo en transparencia y acceso a la información (INAI, OGL).
Las temáticas formuladas deberán considerarse en los instrumentos de capacitación establecidos por el SNT en la línea de acción 2.1.1-C.
3.4.4-C. Línea Transversal de Profesionalización y Fortalecimiento Institucional. Impulsar el desarrollo de los estándares de competencia laboral para certificar las competencias de los verificadores de los Órganos Garantes en el uso de herramientas y criterios de cada dimensión de evaluación de las obligaciones de transparencia y acceso a la información en sujetos obligados (Portales, Respuestas a Solicitudes de Información, Unidades de Transparencia y Capacitación); así como implementar la certificación referida (INAI, OGL).
3.4.5 Desarrollar un padrón nacional de Sujetos Obligados en materia de acceso a la información y transparencia con la participación de los Organismos Garantes (INAI, OGL).
3.4.6 Estandarizar a nivel nacional los procesos de verificación de los portales de Transparencia, y sustanciación de la denuncia por incumplimiento a las obligaciones de transparencia ante los organismos garantes; así como su vinculación a sus obligaciones archivísticas y de gestión documental (INAI, OGL).
3.4.7 Generar metodologías para el desarrollo de memorias técnicas de verificación, ajustes y homologación en la interpretación y elaboración de formatos de obligaciones y su llenado, criterios de resolución de denuncias de incumplimiento, así como para la elaboración de tablas de aplicabilidad de obligaciones de transparencia (INAI, OGL).
3.4.8 Generar y publicar estadísticas del cumplimiento de las obligaciones de transparencia, consultas, uso de información del SIPOT en trámites, servicios y programas sociales y temáticas prioritarias para la sociedad (INAI, OGL).
3.4.9-B Línea Transversal DDHH, Enfoque de Género e Inclusión Social. Propiciar iniciativas de colaboración con personas en situación de vulnerabilidad para dotar de utilidad social de la información contenida en las obligaciones de transparencia y reducir las brechas informativas que generan desigualdad en el ejercicio de sus derechos; se recomienda que dichas acciones se amplíen más allá de los colaboradores habituales(12) (INAI, OGL).
3.4.10-B Línea Transversal DDHH, Enfoque de Género e Inclusión Social. Revisar los lineamientos y normatividad relativa a la publicación de obligaciones de transparencia para favorecer la incorporación del enfoque de género y de inclusión social desde la captura de la información; asimismo desarrollar herramientas y/o buscadores que permitan encontrarla fácilmente (INAI, OGL).
Estrategias:
· Socialización: Establecimiento de alianzas, convenios e iniciativas con instituciones, organizaciones y personas.
· Coordinación: Vinculación con instancias y Comisiones del SNT y con integrantes del SNA y el SNARCH
· Capacitación: Instrumentos del SNT establecidos en la línea de acción 2.1.1-C.
· PNT y TIC's: Desarrollo de micrositios y repositorios.
· Inclusión: Desarrollar acciones e iniciativas dirigidas a personas en situación de vulnerabilidad para mejorar su acceso a la información publicada en el SIPOT.
· Comunicación: Acciones coordinadas y evaluadas a nivel nacional y ajustables localmente a las necesidades de Organismos Garantes y Sujetos Obligados.
Indicador de Resultado: Porcentaje de avance en el indicador de Transparencia Activa de la Métrica de Gobierno Abierto
Línea Base: 60%, Métrica de Gobierno Abierto 2017-2019
Se calcula el avance del indicador señalado entre una edición y otra en términos porcentuales. Revisión de la publicación de información de obligaciones comunes de transparencia en el Sistema de Portales de Obligaciones de Transparencia (SIPOT). Se consideran las primeras 13 obligaciones de acuerdo con el artículo 70 de la LGTAIP.
NOTA DE CAUCIÓN: En caso de considerar el desarrollo de alguna versión alternativa de indicador se sugiere utilizar las siguientes variables:
· Tiempo promedio de búsqueda de información por usuario.
· Evolución de calificaciones de las verificaciones de obligaciones de transparencia.
· Número de denuncias presentadas por incumplimiento de obligaciones de transparencia.
· Porcentaje de desechamiento de denuncias presentadas por incumplimiento de obligaciones de transparencia.
· Grado de cumplimiento de las denuncias presentadas por incumplimiento de obligaciones de transparencia.
3.5 DATOS ABIERTOS
Síntesis de la problemática identificada en el diagnóstico: El creciente uso de datos por parte de la sociedad ha llevado a diversas instancias del SNT a considerar que este tema merece un tratamiento específico dentro del PROTAI para plantear acciones estratégicas que definan y promuevan su confección y apertura. Según un análisis de la CEPAL(13), a menudo los sujetos obligados dejan de lado la publicación de datos abiertos y no enfocan sus acciones a necesidades específicas de la ciudadanía. A pesar de su relevancia para la rendición de cuentas, los esfuerzos en materia de datos abiertos siguen siendo intermitentes.
A nivel federal se emprendieron los primeros esfuerzos en esta agenda en 2011 con la emisión del Acuerdo que Establece el esquema de Interoperabilidad y de Datos Abiertos para la Administración Pública Federal (APF), que impactó el tema en programas federales, decretos, guías y firmas de compromisos. A partir de la publicación oficial de la Política de Transparencia, Gobierno Abierto y Datos Abiertos de la Administración Pública Federal 2021-2024. El INEGI mediante el Comité Técnico Especializado de Información de Gobierno (CTEIG) que preside la Secretaría de Hacienda y Crédito Público, continúa revisando desde octubre de 2019 los temas que analizaba el extinto Comité Técnico Especializado de Datos Abiertos (CTEDA) así como la Norma Técnica para el acceso y publicación de Datos Abiertos de la Información Estadística y Geográfica de Interés Nacional.
Algunas dependencias gubernamentales federales han puesto en marcha iniciativas de apertura y uso de datos, destacan las plataformas DataMéxico (permite exploración, visualización y descarga de datos de la economía mexicana) de la Secretaría de Economía y el portal de datos abiertos sobre COVID de la Secretaría de Salud y CONACYT(14). A nivel estatal, aún son pocos los gobiernos con agendas de datos abiertos siendo el nivel municipal el espacio público menos avanzado en materia de transparencia de información pública. No obstante, existe una creciente demanda e interés en el fortalecimiento de capacidades de funcionarios públicos en materia de uso y apertura de datos.
De acuerdo con el Barómetro de Datos Abiertos de América Latina y el Caribe 2020(15) México tiene áreas de oportunidad en datos relacionados con propiedad de la tierra, registro de compañías y legislación, así como en el desempeño educativo básico y elecciones; sin embargo, su mayor deficiencia es respecto al impacto de los datos en lo social y económico.
El Barómetro presenta cuatro recomendaciones centrales:
· Los gobiernos deben invertir de manera constante y sostenida en equipos que guíen e implementen políticas de datos abiertos a todos los niveles de gobierno.
· Los gobiernos deben considerar de forma holística los distintos aspectos de la producción y uso de
datos del sector público y privado, incluyendo aspectos regulatorios en materia de privacidad, uso de datos para el bien común y tecnologías emergentes, focalizando en la inclusión de las personas más vulnerables de la sociedad.
· Los gobiernos deben redoblar los esfuerzos para incluir al sector privado y la sociedad civil en el ecosistema de apertura de datos para poder avanzar en la agenda y generar mejores y mayores usos de los datos para producir beneficios a los diversos grupos de la sociedad.
· Los gobiernos deben mejorar la calidad de sus datos, tomando especial cuidado en considerar las dimensiones de género, como otras variables relevantes, de forma que incluya a todas las personas en sus sociedades.
Objetivo Estratégico 3.5: Promover la instrumentación de políticas, estrategias y acciones nacionales en materia de datos abiertos, dirigidas a optimizar el acceso, uso y aprovechamiento de la información pública en México.
Líneas de acción:
3.5.1-B Línea Transversal DDHH, Enfoque de Género e Inclusión Social. Identificar, impulsar y compartir mejores prácticas de datos abiertos en el marco del SNT, sobre temas de relevancia social y dirigidos a reducir las brechas de inclusión informativa que generan desigualdad en el ejercicio de los derechos humanos; se recomienda que dichas acciones se amplíen más allá de los colaboradores habituales(16) (INAI, OGL).
3.5.2 Generar estrategias para la construcción de una política nacional de datos abiertos que permita estandarizar y homologar los procesos de publicación de información en formatos abiertos, accesibles y de calidad por parte de los sujetos obligados, en colaboración con las Comisiones del SNT correspondientes (INAI, OGL).
3.5.3 Desarrollar acciones para fomentar una cultura de los datos abiertos en México, orientada a su uso y aprovechamiento (INAI, OGL).
3.5.4 Generar estrategias para la instrumentación de la política nacional de datos abiertos en las actividades institucionales de los sujetos obligados para optimizar la transparencia y el acceso a la información pública (INAI, OGL).
3.5.5 Consolidar el desarrollo y actualización de los repositorios nacionales de información y difusión de iniciativas de Datos Abiertos, para su documentación y socialización. Así como la inclusión de prácticas desarrolladas respecto a información de interés para la sociedad de otros Sistemas Nacionales (INAI, OGL).
3.5.6-B Línea Transversal DDHH, Enfoque de Género e Inclusión Social. Propiciar iniciativas de colaboración con personas en situación de vulnerabilidad para dotar de utilidad e inclusión social a iniciativas de Datos Abiertos y reducir las brechas informativas que generan desigualdad en el ejercicio de sus derechos; se recomienda que dichas acciones se amplíen más allá de los colaboradores habituales(17) (INAI, OGL).
3.5.7-C Línea Transversal de Profesionalización y Fortalecimiento Institucional. Desarrollar contenidos y acciones de capacitación de las personas del servicio público y sociedad civil para impulsar la generación de iniciativas de Datos Abiertos conforme a los esquemas desarrollados por el SNT (líneas de acción 2.1.1-C y 2.1.5-B) (INAI, OGL).
3.5.8-A Línea Transversal de Promoción, Difusión y Fomento de la Cultura. Generar y difundir, de forma individual por integrante o en colaboración con las comisiones del SNT correspondientes, productos y materiales de comunicación sobre Datos Abiertos y su impacto en el acceso a la información pública ajustables por las instituciones integrantes del SNT o sus sujetos obligados y considerando mecanismos de evaluación a su difusión, conforme a la línea de acción 2.1.7-A (INAI, OGL).
Estrategias:
· Socialización: Establecimiento de alianzas, convenios e iniciativas con instituciones, organizaciones y personas.
· Coordinación: Vinculación con instancias y Comisiones del SNT
· Capacitación: Instrumentos del SNT establecidos en la línea de acción 2.1.1-C.
· PNT y TIC's: Desarrollo de micrositios y repositorios.
· Inclusión: Desarrollar acciones e iniciativas dirigidas a personas en situación de vulnerabilidad para
mejorar su acceso a la información publicada en Datos Abiertos.
· Comunicación: Acciones coordinadas y evaluadas a nivel nacional y ajustables localmente a las necesidades de Organismos Garantes y Sujetos Obligados.
Indicador de Resultado: Porcentaje de avance en el indicador de Datos Abiertos de la Métrica de Gobierno Abierto
Línea Base: 100%, Métrica de Gobierno Abierto 2017-2019
Se calcula el avance del indicador señalado entre una edición y otra en términos porcentuales. Revisión de la existencia y calidad de los datos publicados por el sujeto obligado.
NOTA DE CAUCIÓN: Tras la construcción e implementación de la política nacional de Datos Abiertos se sugiere desarrollar indicadores que permitan dar seguimiento al desarrollo de la materia, para lo cual se puede considerar replicar la metodología del Barómetro de Datos Abiertos de América Latina y el Caribe a nivel local.
Eje 4. Rendición de Cuentas y Anticorrupción
Síntesis de la problemática identificada en el diagnóstico: En el diagnóstico se identificó un avance positivo en los procesos para la publicación de información orientada a fomentar la rendición de cuentas en los Sujetos Obligados considerando las perspectivas de la sociedad civil, pero aún son menos de la mitad de las instituciones integrantes del SNT que están implementando estrategias para las temáticas de cultura de la legalidad, fiscalización, seguimiento, vigilancia y contraloría de recursos públicos.
En el eje temático de Rendición de Cuentas en el PROTAI 2017-2021, se auto reportaron únicamente 72 actividades por parte de los Organismos Garantes Locales, siendo el eje que cuenta con el menor número de actividades de 2018 a 2021 en comparación con el resto y únicamente participaron 15 Organismos Garantes Locales en su implementación.
Objetivo Estratégico 4.1 Fortalecer la Transparencia y el Acceso a la Información Pública como medios para la fiscalización, rendición de cuentas y denuncia de actos de corrupción en la sociedad en coordinación con el Sistema Nacional Anticorrupción y el Sistema Nacional de Fiscalización.
Líneas de acción:
4.1.1 Considerar a la Comisión de Rendición de Cuentas y Combate a la Corrupción del SNT como un espacio en el que se recuperen la experiencia y puntos de vista de sus integrantes con la finalidad de realizar propuestas en temas de rendición de cuentas, fiscalización y combate a la corrupción para consideración del Consejo Nacional del SNT (INAI, ASF, OGL).
4.1.2-A Línea Transversal de Promoción, Difusión y Fomento de la Cultura. Establecer, por parte de la Comisión de Vinculación, Promoción, Difusión y Comunicación Social del SNT, una estrategia de difusión nacional, en redes sociales, sobre el vínculo entre el ejercicio del Derecho de Acceso a la Información con la fiscalización, rendición de cuentas y la identificación y denuncia de actos de corrupción. (INAI, ASF, OGL).
4.1.3-C Línea Transversal de Profesionalización y Fortalecimiento Institucional. Consolidar el uso de la Herramienta de Autoevaluación de la Integridad (INTOSAINT)(18) en las instituciones integrantes del SNT e implementar las acciones derivadas del análisis de riesgo (INAI, ASF, OGL).
4.1.4-C Línea Transversal de Profesionalización y Fortalecimiento Institucional. Desarrollar e implementar en el marco del SNT un modelo de Rendición de Cuentas con personas usuarias y actores sociales relevantes para los Organismos Garantes que pueda ser incluido en los planes y programas institucionales de sus integrantes (INAI, OGL).
4.1.5-C Línea Transversal de Profesionalización y Fortalecimiento Institucional. Implementar el modelo de planeación y seguimiento de resultados institucionales de los Organismos Garantes señalado en la línea de acción 2.1.10-C para mejorar la rendición de cuentas del desempeño institucional y la eficacia de los recursos y capacidades de los Organismos Garantes (INAI, OGL).
4.1.6-C Línea Transversal de Profesionalización y Fortalecimiento Institucional. Desarrollar contenidos, criterios y recomendaciones en materia de rendición de cuentas y combate a la corrupción en su vinculación con la transparencia y el acceso a la información; así como articular sus contenidos con los instrumentos de capacitación del SNT conforme a la línea de
acción 2.1.1-C (INAI, ASF, OGL).
4.1.7 Identificar políticas públicas en acceso a la información, transparencia y rendición de cuentas en el contexto internacional y su posible implementación en México (INAI, ASF, OGL).
4.1.8 Explorar, y en su caso, presentar propuestas de mecanismos, procedimientos y estrategias de vinculación de la Plataforma Nacional de Transparencia y los sistemas informáticos anticorrupción de la Plataforma Digital Nacional y sus referentes locales, en coordinación con lo establecido en la línea de acción 3.2.4-B (INAI, ASF, OGL).
4.1.9 Asesorar, por medio de los mecanismos que mejor convengan a los objetivos del SNT, la aplicación por parte de los Organismos Garantes Locales y Sujetos Obligados de lineamientos, guías, políticas, manuales y metodologías establecidas por el SNA y el SNF para mejorar la rendición de cuentas y la lucha anticorrupción (INAI, OGL).
4.1.10 Fomentar el uso de la Herramienta de Contrataciones Públicas ante la Emergencia, la EDCA-MX: Plataforma de Datos Abiertos para Contrataciones Públicas, el Estándar de Datos de Contrataciones Abiertas (EDCA), el sistema de Contrataciones Abiertas y Publicidad Abierta del INAI, entre otras herramientas semejantes, con las instituciones integrantes del SNT y los Sujetos Obligados para generar esquemas de transparencia proactiva, rendición de cuentas y combate a la opacidad en contrataciones públicas, así como mejorar los procesos de diálogo y trabajo interinstitucional (INAI, OGL).
4.1.11 Identificar y difundir, por parte de la Comisión de Rendición de Cuentas y Combate a la Corrupción del SNT, las mejores prácticas anticorrupción dentro de la esfera de competencia de cada institución integrante del SNT. (INAI, AGN, ASF, OGL).
4.1.12-C Línea Transversal de Profesionalización y Fortalecimiento Institucional. Incluir dentro del Programa de Capacitación en Transparencia, Acceso a la Información, Protección de Datos Personales, temas relacionados con ética e integridad pública, rendición de cuentas y conflicto de intereses en coordinación con los instrumentos de capacitación del SNT establecidos en la línea de acción 2.1.1-C (INAI, OGL).
4.1.13-A Línea Transversal de Promoción, Difusión y Fomento de la Cultura. Generar y difundir, de forma individual por integrante o en colaboración con las comisiones del SNT de Rendición de Cuentas y Combate a la Corrupción y la de Capacitación, Educación y Cultura, los productos y materiales de comunicación existentes en materia de combate a la corrupción en su vinculación con la transparencia y el acceso a la información, haciendo dichos materiales ajustables por las instituciones integrantes del SNT o sus sujetos obligados. Considerar los mecanismos de evaluación a su difusión, conforme a la línea de acción 2.1.7-A (INAI, ASF, OGL).
4.1.14 Implementar mecanismos de revisión entre pares con la finalidad de fortalecer la operación, los programas y el marco normativo en materia anticorrupción (OGL).
Estrategias:
· Socialización: Establecimiento de alianzas, convenios e iniciativas con instituciones, organizaciones y personas.
· Coordinación: Vinculación con instancias y Comisiones del SNT, el SNA y el SNF.
· Capacitación: Instrumentos del SNT establecidos en la línea de acción 2.1.1-C.
· PNT y TIC's: Desarrollo de la vinculación entre PNT y PND.
· Comunicación: Acciones coordinadas y evaluadas a nivel nacional y ajustables localmente a las necesidades de Organismos Garantes y Sujetos Obligados.
Indicador de Resultado: Índice de fortalecimiento anticorrupción institucional en los Organismos Garantes
Línea Base: 39.39%, CNTAIPPDPF y CNTAIPPDPE 2020
Medir la cobertura en el fortalecimiento institucional de los Organismos Garantes para el combate a la corrupción en términos de planeación y desarrollo de capacidades a partir de dos componentes: 1) con la proporción de Organismos Garantes que reportaron contar o estar en proceso de integración de un plan o programa anticorrupción; y por otro lado 2) la proporción de Organismos Garantes que reportaron haber realizado al menos una acción de capacitación sobre prevención, detección, control, sanción, disuasión y combate a la corrupción. Se incluyen 6 tipos de acciones de capacitación: diplomado, curso, taller, conferencia, seminario u otra.
NOTA DE CAUCIÓN: Tras la implementación de acciones y prioridades de la Política Nacional Anticorrupción se sugiere incluir un componente al indicador que permitan dar seguimiento a la participación de los Organismos Garantes en dichas iniciativas.
Eje 5. Actividad Materialmente Jurisdiccional de los Organismos Garantes
Síntesis de la problemática identificada en el diagnóstico: El principal reto detectado en diagnóstico del Programa Institucional 2021-2024 se concentra en desarrollar estrategias efectivas que permitan atender el incremento de la interposición de medios de impugnación, de forma paralela al que se fortalece la accesibilidad, entendimiento y la protección de los derechos en los contenidos de dichas resoluciones.
Este último aspecto, conforme a los datos de la Evaluación Nacional de los Organismos Garantes del Derecho a la Información 2018 (ENOGDAI 2018) realizada por Artículo 19(19), se sabe que: 17 organismos aplicaron suplencia de la queja en 221 impugnaciones; 6 (Durango, Estado de México, Nuevo León, Puebla, Veracruz y Zacatecas) mencionaron haber invocado el principio pro persona en sus resoluciones a recursos de revisión; y solo Nuevo León, Estado de México y Zacatecas indicaron haber ejercido el control de convencionalidad ex oficio en alguna de sus resoluciones a recursos de revisión.
Por otro lado, de acuerdo con lo registrado por el Censo 2021, se recibieron 63,184 recursos de revisión en el ámbito federal, estatal y municipal respecto a los 92,985 del Censo 2020, de los cuales 49,285 se resolvieron y 1,689 se encontraban pendientes de concluir para 2021, respecto a los 77,338 resueltos y 15,053 pendientes de concluir de 2020. Con base en el estatus de los recursos de revisión recibidos, las proporciones respecto los admitidos, desechados y en análisis se mantuvieron; destacando un incremento en los desechamientos de 19.2% en 2020 y 21.5% en 2021.(20)
Objetivo Estratégico 5.1 Optimizar los procesos para la tutela del Derecho de Acceso a la Información desde una perspectiva de mejora continua en los Organismos Garantes y los Sujetos Obligados.
Líneas de acción:
5.1.1-B Línea Transversal DDHH, Enfoque de Género e Inclusión Social. Promover la eficacia en la resolución de medios de impugnación respetando los derechos procesales, principio pro-persona, la suplencia de la queja y la aplicación del control de convencionalidad con el desarrollo de metodologías y protocolos para su atención. De igual manera transversalizar la perspectiva de género en las resoluciones emitidas por los órganos garantes, así como su identificación (INAI, OGL).
5.1.2-B Línea Transversal DDHH, Enfoque de Género e Inclusión Social. Impulsar el lenguaje ciudadano, lectura fácil y mecanismos de inclusión en las resoluciones a las personas promoventes (INAI, OGL).
5.1.3-B Línea Transversal DDHH, Enfoque de Género e Inclusión Social. Promover el diseño de protocolos de atención con enfoque de Derechos Humanos, Perspectiva de Género e Inclusión Social (INAI, OGL).
5.1.4 Homologar y socializar entre los Organismos Garantes, los criterios para la interpretación y tratamiento de las solicitudes de acceso a la información; así como, de los medios de impugnación que de ellos deriven para mejorar el ejercicio y garantía del DAI, en especial aquellos relacionados con el impulso a la interpretación conforme, el principio pro persona y la suplencia de la queja en la admisión, sustanciación y resolución de los recursos de revisión, así como con el desechamiento y sobreseimiento de los mismos (INAI, OGL).
Las acciones derivadas de esta línea implican reuniones de trabajo de discusión en las instancias del SNT con rumbo a una consolidación y modificación al marco normativo en materia de criterios de interpretación aplicables a los Organismos Garantes.
5.1.5-C Línea Transversal de Profesionalización y Fortalecimiento Institucional. Fortalecer el uso de metodologías y diseñar herramientas para simplificar y coordinar el proceso interno de gestión de solicitudes de acceso a la información entre las unidades administrativas, el Comité de Transparencia y la Unidad de Transparencia de los sujetos obligados (INAI, OGL).
5.1.6-C Línea Transversal de Profesionalización y Fortalecimiento Institucional. Incluir, en las actividades desarrolladas de la línea 2.1.8-C, temáticas de la actividad materialmente jurisdiccional a fin de promover la profesionalización de las personas funcionarios de
Organismos Garantes y responsables (INAI, OGL).
5.1.7-C Línea Transversal de Profesionalización y Fortalecimiento Institucional. Difundir contenidos respecto de la actividad materialmente jurisdiccional de los Organismos Garantes en los instrumentos de capacitación del SNT (como el PCCAN y el CVFAIP) establecidos en la línea de acción 2.1.1-C (INAI, OGL).
5.1.8-C Línea Transversal de Profesionalización y Fortalecimiento Institucional: Considerar en el modelo de planeación y seguimiento de resultados institucionales de los Organismos Garantes, planteado en la línea de acción 2.1.10-C, indicadores y herramientas para valorar su desempeño en su actividad materialmente jurisdiccional (INAI, OGL).
5.1.9-A Línea Transversal de Promoción, Difusión y Fomento de la Cultura: Identificar y divulgar resoluciones a recursos de revisión y su cumplimiento, solicitudes de información y sus respuestas, acciones de inconstitucionalidad o controversias constitucionales (tanto demandas como resoluciones) socialmente relevantes y su cumplimiento como prueba de la efectividad del DAI (INAI, OGL).
5.1.10-A Línea Transversal de Promoción, Difusión y Fomento de la Cultura. Generar y difundir, de forma individual por integrante o en colaboración con las comisiones del SNT correspondientes(21), productos y materiales de comunicación, que incorporen los principios de igualdad y no discriminación, sobre las resoluciones de los recursos de revisión socialmente relevantes y su cumplimiento, ajustables por las instituciones integrantes del SNT o sus sujetos obligados y considerando mecanismos de evaluación, conforme a la línea de acción 2.1.7-A (INAI, OGL).
5.1.11 Elaborar un compendio estadístico socialmente útil en materia de recursos de revisión que permita reutilizar su información para construir estudios, visualizaciones o sitios electrónicos en los que se realice su diagnóstico y desafíos para establecer posibles rutas de mejora al ejercicio del DAI en el territorio nacional (INAI, OGL).
5.1.12 Diseñar mecanismos y metodologías para promover el cumplimiento, la efectiva aplicación y el seguimiento de las medidas de apremio y sanciones que en su caso correspondan. Asimismo, diseñar y difundir modelos para impulsar las ventajas procesales y de efectividad de la imposición de medidas de apremio (INAI, OGL).
5.1.13 Desarrollar e implementar metodologías y criterios, en coordinación con las Comisiones del SNT correspondientes, para el análisis e interposición de acciones de inconstitucionalidad y controversias constitucionales por parte de los Organismos Garantes (INAI, OGL).
5.1.14 Desarrollar análisis y práctica de litigio estratégico orientado a la generación de precedentes, tesis y jurisprudencia que definan la procedencia de medios de impugnación (INAI, OGL).
Estrategias: Socialización / Coordinación / Capacitación / Inclusión / Comunicación
· Socialización: Establecimiento de alianzas, convenios e iniciativas con instituciones, organizaciones y personas.
· Coordinación: Vinculación con instancias y Comisiones del SNT.
· Capacitación: Instrumentos del SNT establecidos en la línea de acción 2.1.1-C.
· Inclusión: Desarrollar acciones e iniciativas dirigidas a personas en situación de vulnerabilidad para fortalecer su inclusión en la garantía del ejercicio de su DAI.
· Comunicación: Acciones coordinadas y evaluadas a nivel nacional y ajustables localmente a las necesidades de Organismos Garantes y Sujetos Obligados.
Indicador de Resultado: Porcentaje de Recursos de Revisión en Materia de Acceso a la Información Desechados por los Organismos Garantes.
Línea Base: 18.51, CNTAIPPDPF y CNTAIPPDPE 2020
Medir la cobertura en la atención de los recursos de revisión en materia de acceso a la información, por medio de la proporción de recursos desechados respecto al total de recursos recibidos a partir del Tabulado de Recursos de revisión recibidos por el Organismo Garante, por nivel de gobierno, entidad federativa y tipo de sujeto obligado, según materia y estatus obtenido por el CNTAIPPDP, considerando que esta fuente tiene periodicidad continua en su publicidad y confiabilidad metodológica en su construcción aunque no proporciona otras características cualitativas deseables en la medición de la problemática como respeto de derechos procesales o suplencia de la queja, entre otros. Sin embargo, el incremento en la proporción promedio de recursos desechados de 10% en 2016, 14% en 2017, 23% en 2019, 19.2% en 2020 y 21.5% en 2021(22), muestra que los criterios para admitir a resolución los recursos de revisión se han vuelto más estrictos y que las valoraciones de las causales podrían no estar considerando el respeto de derechos procesales,
desarrollando adecuados mecanismos de inclusión de personas promoventes, una adecuada suplencia de la queja o del control de convencionalidad; por ello se considera que la medición propuesta de este indicador proporciona una primera aproximación que engloba las causas de desechamiento establecidas en el Artículo 155 de la LGTAIP y las implicaciones señaladas:
Presentación extemporánea por haber transcurrido el plazo de quince días establecido en el artículo 142(23) de la LGTAIP;
II. Tramitación ante el Poder Judicial de algún recurso o interposición de algún medio de defensa por el recurrente;
III. Falta de actualización de alguno de los supuestos previstos en el artículo 143(24) de la LGTAIP; lo que supondría un conocimiento claro de la persona recurrente de las implicaciones de los conceptos de las causales;
IV. Falta del desahogo de la prevención en los términos establecidos en el artículo 145(25) de la LGTAIP;
V. Impugnación de la veracidad de la información proporcionada;
VI. Se trate de una consulta, o
VII. El recurrente amplíe su solicitud en el recurso de revisión, únicamente respecto de los nuevos contenidos.
NOTA DE CAUCIÓN: Se recomienda priorizar las acciones de generación de estadísticas relativas a la eficacia en la resolución de medios de impugnación respetando los derechos procesales, principio pro-persona, la suplencia de la queja y la aplicación del control de convencionalidad, así como del uso de lenguaje ciudadano y mecanismos de inclusión en las resoluciones a las personas promoventes.
Eje Transversal A. Promoción, Difusión y Fomento de la Cultura de Transparencia y Acceso a la Información
Síntesis de la problemática identificada en el diagnóstico: Los medios para la promoción, difusión y fomento de esta cultura deben tener seguimiento y evaluación para mejorar sus resultados entre la población, en el ámbito federal y estatal. En el diagnóstico de este programa se menciona que 8 Organismos Garantes reportaron en 2021 que evalúan el impacto de sus campañas de difusión, mientras que 19 no lo hacen. Asimismo, 19 Organismos Garantes incluyendo al INAI observan alguna variación significativa en los últimos 3 años en la percepción de la sociedad del derecho a conocer la información que genera el gobierno frente a 8 Organismos Garantes que no.
Este tema se vuelve muy relevante porque representa la entrada al conocimiento sobre la transparencia y el derecho a la información, tanto de las instancias públicas responsables, como a los propios derechos que tiene la sociedad para su acceso. Al respecto, en 2021, 27 Organismos Garantes (que representa un 84.4%) y el INAI realizaron actividades de promoción a través del uso de las Tecnologías de la Información y de Comunicación (TIC's).
Finalmente, es importante señalar que ha disminuido el porcentaje de población que busca información de gobierno en las páginas de internet institucionales, de 44% en 2015 a 35.7% en 2019. De hecho, es más grande el porcentaje de quienes deciden hablar por teléfono para solicitar información gubernamental (que era 4.6% en 2019) en comparación con buscarla en internet (3% en 2019). Concretamente, las personas ubican como última instancia para hacerse de información pública al mecanismo de solicitudes de información, que disminuyó de 0.7% en 2015 al 0.5% en 2019.
Objetivo Estratégico A.1 Articular desde el SNT de manera conjunta la promoción y difusión de la transparencia y el acceso a la información.
Líneas de acción: Se desarrollan al interior de cada uno de los ejes temáticos con el indicador "Línea transversal de Promoción, Difusión y Fomento de la Cultura".
1.1.6-A Línea Transversal de Promoción, Difusión y Fomento de la Cultura. Generar, aprobar y difundir, de forma individual por integrante o en conjunto con las comisiones del SNT correspondientes (Archivos y Gestión Documental y Capacitación, Educación y Cultura) y el AGN, productos y materiales de comunicación sobre la gestión documental y su impacto en el acceso a la información pública, ajustables por las instituciones integrantes del SNT o sus sujetos obligados y considerando mecanismos de evaluación de su difusión, conforme a la línea de acción 2.1.7-A (INAI, AGN, OGL).
2.1.6-A Línea Transversal de Promoción, Difusión y Fomento de la Cultura. Fortalecer acciones de los órganos garantes para el diseño de políticas públicas de transparencia y acceso a la información con perspectiva de género, derechos humanos e inclusión, para con ello actualizar y
consolidar políticas y/o acciones del Plan DAI dirigidas a ampliar y diversificar el número de personas usuarias del derecho de acceso a la información; así como formar agentes multiplicadores del DAI en sectores especializados: sociedad civil, activistas, periodistas, académicos, divulgadores, influencers, organizaciones (sociales, asociaciones, confederaciones, empresarios), entre otros para aumentar sus beneficios sociales derivados (INAI, OGL).
2.1.7-A Línea Transversal de Promoción, Difusión y Fomento de la Cultura. Generar y difundir, de forma individual por integrante o en coordinación con las comisiones del SNT de Vinculación, Promoción, Difusión y Comunicación Social y la de Derechos Humanos, Equidad de Género e Inclusión Social, productos (revista, folletos, historietas, etc.), materiales (infografías, videos, textos, etc.) y herramientas (redes sociales, canales de video, portal SNT, etc.) de comunicación que incorporen los principios de igualdad y no discriminación sobre el acceso a la información pública y la transparencia en sus diferentes aspectos, ajustables por cada integrante del SNT y los sujetos obligados; considerando el diseño y establecimiento de mecanismos de monitoreo, seguimiento y evaluación para las acciones de promoción y difusión emprendidas desde el SNT (INAI, OGL).
Esta línea de acción se replica en materia de Archivos (1.1.6-A), Estado Abierto (3.1.4-A), Gobierno Digital (3.2.6-A), Transparencia Proactiva (3.3.8-A), uso del SIPOT (3.4.1-A), Datos Abiertos (3.5.8-A), Anticorrupción (4.1.13-A) y resoluciones de recursos de revisión socialmente relevantes (5.1.10-A).
3.1.4-A Línea Transversal de Promoción, Difusión y Fomento de la Cultura. Generar y difundir, de forma individual por integrante o en colaboración con las comisiones del SNT correspondientes, productos y materiales de comunicación sobre el Estado Abierto y su impacto en el acceso a la información pública ajustables por las instituciones integrantes del SNT o sus sujetos obligados y considerando mecanismos de evaluación a su difusión, conforme a la línea de acción 2.1.7-A (INAI, OGL).
3.2.6-A Línea Transversal de Promoción, Difusión y Fomento de la Cultura. Diseñar y difundir, de forma individual por integrante o en colaboración con las comisiones del SNT correspondientes, productos y materiales de comunicación sobre los mecanismos para el ejercicio del DAI, así como los productos informativos (micrositios, estadísticas, información focalizada), cursos y asesorías que ofrecen las instituciones integrantes del SNT, con el fin de explicarle a los personas en situación de vulnerabilidad la utilidad de la PNT y otras herramientas digitales, así como los beneficios que se podrían generar en su vida con el acceso a la información. Considerando mecanismos de evaluación a su difusión, conforme a la línea de acción 2.1.7-A (INAI, OGL).
3.3.8-A Línea Transversal de Promoción, Difusión y Fomento de la Cultura. Generar y difundir, de forma individual por integrante o en colaboración con las comisiones del SNT correspondientes, productos y materiales de comunicación sobre Transparencia Proactiva y su impacto en el acceso a la información pública ajustables por las instituciones integrantes del SNT o sus sujetos obligados y considerando mecanismos de evaluación a su difusión, conforme a la línea de acción 2.1.7-A (INAI, OGL).
3.4.1-A Línea Transversal de Promoción, Difusión y Fomento de la Cultura. Actualizar y difundir, de forma individual por integrante o en colaboración con las comisiones del SNT correspondientes, los productos y materiales de comunicación existentes sobre el uso del SIPOT, sus buscadores y su relevancia en el acceso a la información pública, así como hacerlos ajustables por las instituciones integrantes del SNT o sus sujetos obligados y considerando mecanismos de evaluación a su difusión, conforme a la línea de acción 2.1.7-A (INAI, OGL).
3.5.8-A Línea Transversal de Promoción, Difusión y Fomento de la Cultura. Generar y difundir, de forma individual por integrante o en colaboración con las comisiones del SNT correspondientes, productos y materiales de comunicación sobre Datos Abiertos y su impacto en el acceso a la información pública ajustables por las instituciones integrantes del SNT o sus sujetos obligados y considerando mecanismos evaluación a su difusión, conforme a la línea de acción 2.1.7-A (INAI, OGL).
4.1.2-A Línea Transversal de Promoción, Difusión y Fomento de la Cultura. Establecer, por parte de la Comisión de Vinculación, Promoción, Difusión y Comunicación Social del SNT, una estrategia de difusión nacional, en redes sociales, sobre el vínculo entre el ejercicio del Derecho de Acceso a la Información con la fiscalización, rendición de cuentas y la identificación y denuncia de actos de corrupción; INAI, ASF, OGL).
4.1.13-A Línea Transversal de Promoción, Difusión y Fomento de la Cultura. Generar y difundir, de forma individual por integrante o en colaboración con las comisiones del SNT de Rendición de Cuentas y Combate a la Corrupción y la de Capacitación, Educación y Cultura, los productos y materiales de comunicación existentes en materia de combate a la corrupción en su vinculación con
la transparencia y el acceso a la información, haciendo dichos materiales ajustables por las instituciones integrantes del SNT o sus sujetos obligados. Considerar los mecanismos de evaluación a su difusión, conforme a la línea de acción 2.1.7-A (INAI, ASF, OGL).
5.1.9-A Línea Transversal de Promoción, Difusión y Fomento de la Cultura: Identificar y divulgar resoluciones a recursos de revisión y su cumplimiento, solicitudes de información y sus respuestas, acciones de inconstitucionalidad o controversias constitucionales (tanto demandas como resoluciones) socialmente relevantes y su cumplimiento como prueba de la efectividad del DAI (INAI, OGL).
5.1.10-A Línea Transversal de Promoción, Difusión y Fomento de la Cultura. Generar y difundir, de forma individual por integrante o en colaboración con las comisiones del SNT correspondientes(26), productos y materiales de comunicación, que incorporen los principios de igualdad y no discriminación, sobre las resoluciones de los recursos de revisión socialmente relevantes y su cumplimiento, ajustables por las instituciones integrantes del SNT o sus sujetos obligados y considerando mecanismos de evaluación, conforme a la línea de acción 2.1.7-A (INAI, OGL).
Estrategias: Socialización / Coordinación / Capacitación / PNT y TIC's / Mejora Regulatoria / Inclusión / Comunicación
Indicador de Resultado: Promedio de acciones reportadas en el CNTAIPPDP por los Organismos Garantes como realizadas en materia de promoción y difusión del DAI.
Este indicador busca medir la diversidad en la realización de actividades y acciones, por parte de los Organismos Garantes, dirigidas al público para promover el derecho de acceso a la información a partir de listados de acciones establecidos en los reactivos del CNTAIPPDP.
Línea Base: 69.39%, CNTAIPPDPF y CNTAIPPDPE 2020
Eje Transversal B. Derechos Humanos, Enfoque de Género e Inclusión Social
Síntesis de la problemática identificada en el diagnóstico: Deficiencia de acciones relacionadas al derecho de acceso a la información dirigidos a población en situación de vulnerabilidad, comunidades indígenas, con perspectiva de género y derechos humanos.
La incorporación de enfoques esenciales permite visibilizar los avances y los desafíos pendientes en las desigualdades con respecto al derecho de acceso a la información, así como medir la atención que en la materia reciben los grupos vulnerables del país, y si las instancias encargadas de esta labor imprimen un enfoque de género y de derechos humanos a sus funciones o no.
Existe una problemática generada por la contraposición de aspectos igualmente valiosos en el ejercicio del DAI, que se origina en las condición optativa establecida en la legislación para proporcionar datos de identificación en la realización de solicitudes de información misma que por un lado garantiza la mayor libertad para el ejercicio del derecho pero por otro incrementa la dificultad para conocer más respecto a los solicitantes y mejorar la calidad de la información en función de sus necesidades, por ejemplo, realizar la desagregación de datos por género que se considera una de las buenas prácticas en dicho enfoque. Aunque esto no significa que por estas razones no existan diversas brechas y exclusiones en el acceso a la información.
En el anterior PROTAI, el eje transversal Derechos Humanos, Enfoque de Género e Inclusión Social, con base en las 90 actividades que auto reportaron los Organismos Garantes Locales de 2018 a 2020: un 59.4% de estados registraron al menos una y un 40.6% ninguna. Las actividades estuvieron encauzadas principalmente en la línea de acción para impulsar un enfoque de derechos humanos, no discriminación e inclusión social con las perspectivas establecidas en el PROTAI 2017-2021.
Objetivo Estratégico B.1 Consolidar el enfoque de derechos humanos, género, no discriminación e inclusión social para garantizar atención integral a grupos con mayor vulnerabilidad en el ejercicio del Derecho de Acceso a la Información.
Líneas de acción: Se desarrollan al interior de cada uno de los ejes temáticos con el indicador "Línea Transversal DDHH, Enfoque de Género e Inclusión Social"
1.1.5-B Línea Transversal DDHH, Enfoque de Género e Inclusión Social. Propiciar la generación de alianzas y convenios con la sociedad civil, instituciones académicas y autoridades especializadas en sectores especializados y personas en situación de vulnerabilidad, para identificar áreas de oportunidad en archivos y gestión documental, así como su vinculación con el derecho de acceso a la información por medio de investigaciones, diagnósticos, replicación de buenas prácticas y/o certificaciones (INAI, OGL).
2.1.5-B Línea Transversal DDHH, Enfoque de Género e Inclusión Social. Propiciar la generación de alianzas y convenios con la sociedad civil, sector privado, instituciones académicas y autoridades de los tres órdenes de gobierno, incluyendo las comunitarias y aquellas especializadas para que toda persona tenga a su alcance los medios apropiados a sus posibilidades para ejercer y aprovechar el DAI para el acceso a otros derechos fundamentales (salud, educación, trabajo, servicios, seguridad, justicia, libertad de expresión, igualdad, etc.) con una adecuada perspectiva de inclusión y promoción de los derechos humanos con la replicación nacional de: (INAI, OGL)
a. La Red por la Utilidad Social de los Derechos de Acceso a la Información y Protección de Datos Personales (Red USOC),
b. El Programa de Sensibilización de Derechos (PROSEDE),
c. La Caravana de la Transparencia y Privacidad,
d. Concursos o certámenes que fomenten el uso y valor social de la información, en coordinación con autoridades educativas para dar mayor alcance.
e. El Programa: "Promociona, Vincula y Acciona Tus Derechos y
f. El Plan Nacional de Socialización del Derecho de Acceso a la Información (Plan DAI)
g. Otros que considere el SNT, sus integrantes, comisiones e instancias.
2.1.21-B Línea Transversal DDHH, Enfoque de Género e Inclusión Social. Identificar información básica de las instituciones integrantes del SNT o de Sujetos Obligados que sea de utilidad social para pueblos y comunidades indígenas, así como desarrollar e implementar un programa piloto de traducción y difusión de dicha información, de la difusión de las leyes y documentos traducidos en lenguas indígenas que faciliten el conocimiento y ejercicio del DAI y su aplicación concreta en la vida de las comunidades y personas (INAI, OGL).
2.1.23-B Línea Transversal DDHH, Enfoque de Género e Inclusión Social. Implementar por parte de los Organismos Garantes instrumentos orientadores para el fortalecimiento del Enfoque de Derechos Humanos, Igualdad de Género e Inclusión Social emitidos por el SNT o por sus Instancias (INAI, OGL).
3.1.5-B Línea Transversal DDHH, Enfoque de Género e Inclusión Social. Ampliar la instalación y funcionamiento de iniciativas y mecanismos de Estado Abierto en los tres ámbitos de gobierno que respondan a los contextos sociales locales, federal y nacional (Parlamento Abierto, Justicia Abierta y Gobierno Abierto) de forma que sean incluyentes y accesibles a la participación ciudadana como un elemento indispensable para el robustecimiento de estas prácticas, así como para grupos en situación de vulnerabilidad (INAI, OGL).
3.2.4-B Línea Transversal DDHH, Enfoque de Género e Inclusión Social. Continuar la implementación de la PNT a nivel nacional y realizar las actualizaciones necesarias para mantener la accesibilidad y usabilidad por sus personas usuarias (en especial aquellos con alguna discapacidad o de lengua indígena), administradores y las personas del servicio público de los sujetos obligados; así como desarrollar acciones para reducir la brecha digital y mecanismos de vinculación con los sistemas informáticos de control y gestión documental y la Plataforma Digital Nacional (PDN) (INAI, OGL).
3.2.5-B Línea Transversal DDHH, Enfoque de Género e Inclusión Social. Generar estrategias de inclusión digital a partir de la generación de material (infografías, videos, textos en revistas, folletos, historietas, etc.) de los mecanismos para el ejercicio del DAI, así como los productos informativos (micrositios, estadísticas, información focalizada), cursos y asesorías que se ofrecen; asimismo, desarrollar cursos de orientación para que personas en situación de vulnerabilidad o sus familiares y/o cuidadores que puedan ayudarles a encontrar y acceder información pública sobre trámites y/o servicios en línea, mediante el uso de computadora o un teléfono móvil (INAI, OGL).
3.3.5-B Línea Transversal DDHH, Enfoque de Género e Inclusión Social. Propiciar iniciativas de colaboración con personas en situación de vulnerabilidad para dotar de utilidad social a los ejercicios de Transparencia Proactiva y reducir las brechas informativas que generan desigualdad en el ejercicio de sus derechos; se recomienda que dichas acciones se amplíen de los colaboradores y grupos habituales para llegar a personas en situación de pobreza, niñas, niños y adolescentes, diversidad sexual, origen rural, entre otros (INAI, OGL).
3.3.6-B Línea Transversal DDHH, Enfoque de Género e Inclusión Social. Establecer perfiles de personas usuarias y para construir fuentes con información de calidad, inclusión, accesibilidad, así como conocimiento público en temas de interés de la sociedad, con atención al contexto social en que se desenvuelven los sujetos obligados, para reducir las brechas en el acceso a la información pública, resolver problemas sociales y sensibilizar en materia de discriminación y violencia por razón de género con un enfoque de derechos humanos, igualdad y género; así como acciones de acercamiento con sociedad civil en general, que guíen sobre la información que los grupos en situación de vulnerabilidad particularmente consideren como útil (INAI, OGL).
3.4.2-B Línea Transversal DDHH, Enfoque de Género e Inclusión Social. Realizar las actualizaciones necesarias al SIPOT y sus buscadores, tutoriales y herramientas para mantener la accesibilidad y usabilidad por sus personas usuarias (en especial aquellos con alguna discapacidad o de lengua indígena), administradores y las personas del servicio público de los sujetos obligados; así como desarrollar mecanismos de vinculación con los sistemas informáticos de control y gestión documental y la Plataforma Digital Nacional (INAI, OGL).
3.4.9-B Línea Transversal DDHH, Enfoque de Género e Inclusión Social. Propiciar iniciativas de colaboración con personas en situación de vulnerabilidad para dotar de utilidad social de la información contenida en las obligaciones de transparencia y reducir las brechas informativas que generan desigualdad en el ejercicio de sus derechos; se recomienda que dichas acciones se amplíen de los colaboradores habituales(27) (INAI, OGL).
3.4.10-B Línea Transversal DDHH, Enfoque de Género e Inclusión Social. Revisar los lineamientos y normatividad relativa a la publicación de obligaciones de transparencia para favorecer la incorporación del enfoque de género y de inclusión social desde la captura de la información; asimismo desarrollar herramientas y/o buscadores que permitan encontrarla fácilmente (INAI, OGL).
3.5.1-B Línea Transversal DDHH, Enfoque de Género e Inclusión Social. Identificar, impulsar y compartir mejores prácticas de datos abiertos en el marco del SNT, sobre temas de relevancia social y dirigidos a reducir las brechas de inclusión informativa que generan desigualdad en el ejercicio de los derechos humanos; se recomienda que dichas acciones se amplíen de los colaboradores habituales(28) (INAI, OGL).
3.5.6-B Línea Transversal DDHH, Enfoque de Género e Inclusión Social. Propiciar iniciativas de colaboración con personas en situación de vulnerabilidad para dotar de utilidad e inclusión social a iniciativas de Datos Abiertos y reducir las brechas informativas que generan desigualdad en el ejercicio de sus derechos; se recomienda que dichas acciones se amplíen de los colaboradores habituales(29) (INAI, OGL).
5.1.1-B Línea Transversal DDHH, Enfoque de Género e Inclusión Social. Promover la eficacia en la resolución de medios de impugnación respetando los derechos procesales, principio pro-persona, la suplencia de la queja y la aplicación del control de convencionalidad con el desarrollo de metodologías y protocolos para su atención. De igual manera transversalizar la perspectiva de género en las resoluciones emitidas por los órganos garantes, así como su identificación (INAI, OGL).
5.1.2-B Línea Transversal DDHH, Enfoque de Género e Inclusión Social. Impulsar el lenguaje ciudadano, lectura fácil y mecanismos de inclusión en las resoluciones a las personas promoventes (INAI, OGL).
5.1.3-B Línea Transversal DDHH, Enfoque de Género e Inclusión Social. Promover el diseño de protocolos de atención con enfoque de Derechos Humanos, Perspectiva de Género e Inclusión Social (INAI, OGL).
Estrategias: Socialización / Coordinación / Capacitación / PNT y TIC's / Mejora Regulatoria / Inclusión / Comunicación
Indicador de Resultado: Porcentaje de Organismos Garantes que reportan que sus sujetos obligados implementan medidas de accesibilidad y/o ajustes razonables
Línea Base: 87.87%, CNTAIPPDPF y CNTAIPPDPE 2020
Al medir la cobertura de las acciones de accesibilidad y/o ajustes razonables desplegadas por los sujetos obligados y reportados por sus Organismos Garantes se conoce el alcance mínimo del enfoque de derechos humanos, género, no discriminación e inclusión social para garantizar atención integral a grupos con mayor vulnerabilidad en el ejercicio del Derecho de Acceso a la Información, al reportar al menos una de las acciones establecidas en el Catálogo de medidas de accesibilidad y/o ajustes razonables:
1. Instalaciones que permitan la permanencia y el libre desplazamiento de personas con discapacidad, adultos mayores, niños, niñas y mujeres embarazadas
2. Mobiliario ergonómico para personas con discapacidad, adultos mayores, niños, niñas y mujeres embarazadas
3. Uso de tecnologías de la información que permitan generar condiciones de accesibilidad
4. Uso de audioguías
5. Personal especializado para interpretar lenguas indígenas
6. Personal especializado para interpretar lenguaje de señas
7. Personal especializado para traducir el sistema de escritura Braille
8. Estenografía proyectada
9. Programa de capacitación para el personal en materia de derechos humanos, igualdad, género y no discriminación
10. Protocolos de actuación para atender a grupos en situación de vulnerabilidad
11. Elaboración de diagnósticos en materia de igualdad y no discriminación
12. Otro tipo de medidas
Conforme a cada una de las 17 categorías de sujetos obligados establecidas en el CNTAIPPDP (Poder Ejecutivo, Municipios o demarcaciones territoriales de la Ciudad de México, Poder Legislativo, Poder Judicial, Organismos de protección de los derechos humanos, Organismos Garantes del derecho de acceso a la información y protección de datos personales, Organismos públicos electorales, Tribunal Electoral, Fiscalía General, Tribunal de Justicia Administrativa, Otros Organismos Constitucionales Autónomos, Autoridades administrativas y jurisdiccionales en materia laboral, Instituciones de educación superior públicas autónomas, Partidos políticos, Fideicomisos y fondos públicos, Sindicatos y Otros).
NOTA DE CAUCIÓN: Tras la implementación de acciones y obtención de información que permita establecer de forma clara aspectos de mejora en las políticas de inclusión se sugiere desarrollar un nuevo indicador que permita dar seguimiento a la participación de los Organismos Garantes en dichas iniciativas.
Eje Transversal C. Profesionalización y Fortalecimiento Institucional
Síntesis de la problemática identificada en el diagnóstico: Se ha hecho énfasis en la capacitación como mecanismo de profesionalización; sin embargo, es necesario complementar con el desarrollo de capacidades y procesos de evaluación del desempeño institucional, al tiempo que se hace frente a restricciones de recursos humanos y presupuestales.
En el diagnóstico del programa se identificó el avance en elementos, mecanismos y/o esquemas de profesionalización para el personal de 14 de los Organismos Garantes de acuerdo con el CNTAIPPDP de 2020, siendo los Programas de capacitación los de mayor frecuencia (12), seguidos de Servicio civil de carrera (4), actualización de perfiles de puesto (4) y mecanismos de evaluación y desempeño (4). Por lo que sigue siendo un frente importante impulsar iniciativas en este sentido.
Objetivo Estratégico C.1 Fortalecer institucionalmente a los Organismos Garantes para mejorar sus capacidades en el desarrollo de una cultura de la transparencia y el acceso a la información, mediante la profesionalización y el servicio civil de carrera.
Líneas de acción: Se desarrollan al interior de cada uno de los ejes temáticos con el indicador "Línea Transversal de Profesionalización y Fortalecimiento Institucional"
1.1.3-C Línea Transversal de Profesionalización y Fortalecimiento Institucional. Articular y supervisar contenidos normativos y técnicos en materia de archivos en coordinación con las comisiones del SNT de Archivos y Gestión Documental; Capacitación, Educación y Cultura y el AGN, para su aprovechamiento en los instrumentos de capacitación del SNT establecidos en la línea de acción 2.1.1-C (INAI, AGN, OGL).
1.1.4-C Línea Transversal de Profesionalización y Fortalecimiento Institucional. Acompañar a los sujetos obligados en la implementación de su Sistema Automatizado para la Gestión Documental y Administración de Archivos por medio de los instrumentos de capacitación del SNT establecidos en la línea de acción 2.1.1-C, priorizando sectores o grupos de instituciones conforme su situación o avances (INAI, OGL).
1.1.12-C Línea Transversal de Profesionalización y Fortalecimiento Institucional. Fomentar el desarrollo de áreas operativas o adscripción de personas servidoras públicas para realizar las funciones de archivo de concentración e histórico; así como asesorías sobre procesos internos para que Organismos Garantes con pocos recursos materiales y humanos puedan cumplir con dichas funciones (INAI, AGN).
2.1.1-C Línea Transversal de Profesionalización y Fortalecimiento Institucional. Establecer como mecanismos de capacitación del SNT para las personas del servicio público de los sujetos obligados (INAI, OGL):
a. La Red Nacional y Redes Locales por una cultura de la Transparencia y la Protección de Datos Personales,
b. El Programa de Capacitación en Transparencia, Acceso a la Información, Protección de Datos de Personales y Temas Relacionados con Alcance Nacional (PCCAN),
c. El Centro Virtual de Formación en Acceso a la Información y Protección de Datos Personales y
d. Otros que considere el SNT, sus integrantes, comisiones e instancias.
2.1.8-C Línea Transversal de Profesionalización y Fortalecimiento Institucional. Impulsar el desarrollo y establecimiento de cursos, diplomados, certificaciones o posgrados en materia de acceso a la información y transparencia con Universidades, autoridades educativas de todos los niveles y Organismos Garantes (INAI, OGL).
2.1.10-C Línea Transversal de Profesionalización y Fortalecimiento Institucional. Implementar un modelo de planeación y seguimiento de resultados institucionales de los Organismos Garantes, acorde a sus capacidades financieras, materiales y humanas para aumentar la eficacia de los recursos y capacidades destinados a las materias que competen al PROTAI, en especial para promover el ejercicio y garantía del DAI (INAI, OGL).
2.1.12-C Línea Transversal de Profesionalización y Fortalecimiento Institucional: Diseñar mecanismos de selección y reclutamiento de personal a partir de perfiles de puestos actualizados y diseñados curricularmente para cubrir las necesidades en materia del DAI (INAI, OGL).
2.1.22-C Línea Transversal de Profesionalización y Fortalecimiento Institucional. Establecer normas y procedimientos que sienten las bases para la organización, funcionamiento y desarrollo de un Sistema de Servicio Profesional de Carrera o equivalente en los Organismos Garantes que garantice la capacitación, profesionalización y especialización de sus servidoras y servidores públicos, para fortalecer así la garantía del DAI (INAI, OGL).
3.1.3-C Línea Transversal de Profesionalización y Fortalecimiento Institucional. Consolidar los procesos de capacitación de las personas del servicio público y sociedad civil en materia de participación ciudadana para la toma de decisiones y fortalecer los mecanismos de Estado Abierto conforme a los esquemas desarrollados por el SNT en las líneas de acción 2.1.1-C y 2.1.5-B (INAI, OGL).
3.2.2-C Línea Transversal de Profesionalización y Fortalecimiento Institucional: Actualizar, mejorar y aprovechar la infraestructura tecnológica existente al interior de las instituciones integrantes del SNT para la administración del conocimiento y la colaboración digital, a través de sistemas y esquemas tecnológicos de organización, coordinación y comunicación (INAI, AGN, ASF, OGL).
3.2.7-C Línea Transversal de Profesionalización y Fortalecimiento Institucional: Consolidar el soporte técnico, esquemas de seguridad y mecanismos de emergencia de la PNT (INAI, OGL).
3.2.8-C Línea Transversal de Profesionalización y Fortalecimiento Institucional. Consolidar los procesos de capacitación de las personas del servicio público para una adecuada administración de la PNT conforme a los esquemas desarrollados por el SNT en la línea de acción 2.1.1-C (INAI, OGL).
3.3.7-C Línea Transversal de Profesionalización y Fortalecimiento Institucional. Consolidar los procesos de capacitación de las personas del servicio público y sociedad civil en las acciones de Transparencia Proactiva conforme a los esquemas desarrollados por el SNT (líneas de acción 2.1.1-C y 2.1.5-B) (INAI, OGL).
3.4.3-C Línea Transversal de Profesionalización y Fortalecimiento Institucional. Diseñar los programas de acompañamiento a los sujetos obligados y formular contenidos de capacitación en las dimensiones Portales de Transparencia y Respuestas a Solicitudes de Información, para que los Organismos Garantes por medio de un canal de comunicación permanente brinden acompañamiento y soporte técnico a los Sujetos Obligados para el cumplimiento del marco normativo en transparencia y acceso a la información (INAI, OGL).
Las temáticas formuladas deberán considerarse en los instrumentos de capacitación establecidos por el SNT en la línea de acción 2.1.1-C.
3.4.4-C. Línea Transversal de Profesionalización y Fortalecimiento Institucional. Impulsar el desarrollo de los estándares de competencia laboral para certificar las competencias de los verificadores de los Órganos Garantes en el uso de herramientas y criterios de cada dimensión de evaluación de las obligaciones de transparencia y acceso a la información en sujetos obligados (Portales, Respuestas a Solicitudes de Información, Unidades de Transparencia y Capacitación); así como implementar la certificación referida (INAI, OGL).
3.5.7-C Línea Transversal de Profesionalización y Fortalecimiento Institucional. Desarrollar contenidos y acciones de capacitación de las personas del servicio público y sociedad civil para impulsar la generación de iniciativas de Datos Abiertos conforme a los esquemas desarrollados por el SNT (líneas de acción 2.1.1-C y 2.1.5-B) (INAI, OGL).
4.1.3-C Línea Transversal de Profesionalización y Fortalecimiento Institucional. Consolidar el uso de la Herramienta de Autoevaluación de la Integridad (INTOSAINT) en las instituciones integrantes del SNT e implementar las acciones derivadas del análisis de riesgo (INAI, ASF, OGL).
4.1.4-C Línea Transversal de Profesionalización y Fortalecimiento Institucional. Desarrollar e implementar en el marco del SNT un modelo de Rendición de Cuentas con personas usuarias y actores sociales relevantes para los Organismos Garantes que pueda ser incluido en los planes y programas institucionales de sus integrantes (INAI, OGL).
4.1.5-C Línea Transversal de Profesionalización y Fortalecimiento Institucional. Implementar el modelo de planeación y seguimiento de resultados institucionales de los Organismos Garantes señalado en la línea de acción 2.1.10-C para mejorar la rendición de cuentas del desempeño institucional y la eficacia de los recursos y capacidades de los Organismos Garantes (INAI, OGL).
4.1.6-C Línea Transversal de Profesionalización y Fortalecimiento Institucional. Desarrollar contenidos, criterios y recomendaciones en materia de rendición de cuentas y combate a la corrupción en su vinculación con la transparencia y el acceso a la información; así como articular sus contenidos con los instrumentos de capacitación del SNT conforme a la línea de acción 2.1.1-C (INAI, ASF, OGL).
4.1.12-C Línea Transversal de Profesionalización y Fortalecimiento Institucional. Incluir dentro del Programa de Capacitación en Transparencia, Acceso a la Información, Protección de Datos Personales, temas relacionados con ética e integridad pública, rendición de cuentas y conflicto de intereses en coordinación con los instrumentos de capacitación del SNT establecidos en la línea de acción 2.1.1-C (INAI, OGL).
5.1.5-C Línea Transversal de Profesionalización y Fortalecimiento Institucional. Fortalecer el uso de metodologías y diseñar herramientas para simplificar y coordinar el proceso interno de gestión de solicitudes de acceso a la información entre las unidades administrativas, el Comité de Transparencia y la Unidad de Transparencia de los sujetos obligados (INAI, OGL).
5.1.6-C Línea Transversal de Profesionalización y Fortalecimiento Institucional. Incluir, en las actividades desarrolladas de la línea 2.1.8-C, temáticas de la actividad materialmente jurisdiccional a fin de promover la profesionalización de las personas funcionarias de Organismos Garantes y responsables (INAI, OGL).
5.1.7-C Línea Transversal de Profesionalización y Fortalecimiento Institucional. Difundir contenidos respecto de la actividad materialmente jurisdiccional de los Organismos Garantes en los
instrumentos de capacitación del SNT (como el PCCAN y el CVFAIP) establecidos en la línea de acción 2.1.1-C (INAI, OGL).
5.1.8-C Línea Transversal de Profesionalización y Fortalecimiento Institucional: Considerar en el modelo de planeación y seguimiento de resultados institucionales de los Organismos Garantes, planteado en la línea de acción 2.1.10-C, indicadores y herramientas para valorar su desempeño en su actividad materialmente jurisdiccional (INAI, OGL).
Estrategias: Socialización / Coordinación / Capacitación / PNT y TIC's / Mejora Regulatoria / Inclusión / Comunicación
Indicador de Resultado: Índice de fortalezas institucionales en los Organismos Garantes
Línea Base: 58.50%, CNTAIPPDPF y CNTAIPPDPE 2020
Este indicador busca a partir del CNTAIPPDP medir la existencia de elementos de planeación y evaluación, así como elementos de desarrollo de una cultura para la profesionalización de la transparencia y el acceso a la información; componentes que al encontrarse en los Organismos Garantes denotan desarrollo institucional.
El primer componente se refiere a los elementos de evaluación institucional reportados por los Organismos Garantes. Se incluyen 4 elementos:
- Elementos de evaluación del personal;
- Elementos de evaluación presupuestal;
- Elementos de evaluación de desempeño institucional;
- Otros elementos de evaluación.
El segundo componente se refiere a la proporción de Organismos Garantes que reportaron contar con al menos uno de los 12 elementos, mecanismos y/o esquemas de profesionalización:
- Servicio Civil de Carrera;
- Reclutamiento, selección e inducción;
- Diseño y selección de pruebas de ingreso;
- Diseño curricular;
- Actualización de perfiles de puesto;
- Diseño y validación de competencias;
- Concursos públicos y abiertos para la contratación;
- Mecanismos de evaluación del desempeño;
- Programas de capacitación;
- Evaluación de impacto de la capacitación;
- Programas de estímulos y recompensas;
- Separación del servicio;
- Otros.
Implementación y Seguimiento del PROTAI
Las actividades por implementar en el marco del programa por cada integrante del SNT son acompañadas en su seguimiento y evaluación por la Secretaría Ejecutiva del Sistema Nacional de Transparencia, Acceso a la Información y Protección de Datos Personales, a fin de informar al propio Sistema de sus avances y oportunidades. Conforme a los Lineamientos del Programa, estos procesos se realizan de la siguiente forma:
1. Ejecución
La ejecución del PROTAI corresponde a todas las Instituciones Integrantes del SNT, es decir, a los Organismos Garantes de las Entidades Federativas, el INAI y las instituciones federales del Sistema: ASF, INEGI e AGN; cada cual, en el marco de sus atribuciones y según lo determine el mismo Programa. Para lo anterior, de acuerdo con el numeral Trigésimo Octavo de los Lineamientos del Programa, cada Institución Integrante del SNT deberá nombrar a un Enlace, el cual mantendrá un contacto permanente con la Secretaría Ejecutiva del SNT, que permitirá dar estabilidad a los procesos del Programa, así como facilitar el intercambio de información. Dicho Enlace, debe contar con nombramiento oficial por parte del Pleno o del Titular de la Institución, según corresponda.
Asimismo, con base al numeral Trigésimo Segundo de los Lineamientos, cada Institución Integrante se apoyará de una Ruta de Implementación Anual. Estas rutas, son los instrumentos técnicos que describen las actividades a realizar en el marco de los objetivos estratégicos y líneas de acción del Programa Nacional, que en su caso determinará cada Integrante de forma autónoma, a partir de sus Programas Anuales o procesos de planeación institucional. En el diseño e integración de las Rutas de Implementación la Secretaría Ejecutiva del SNT proporcionará la capacitación y asesoría necesaria para que reflejen de la mejor manera posible las actividades de cada integrante.
Una diferencia importante respecto al PROTAI anterior radica en el papel de los integrantes federales que no son Organismos Garantes en la implementación del programa; derivado del análisis de dicho antecedente se concluye que las principales aportaciones del AGN, la ASF y el INEGI son de carácter técnico especializado, sobre todo considerando que cada una de estas instituciones coordina al menos un Sistema Nacional en su materia y tiene participación en varios. En este sentido, se establecieron líneas de acción orientadas a obtener la experiencia y conocimiento de dichas instituciones, así como a establecer los mecanismos de coordinación y colaboración con otros Sistemas Nacionales; asimismo, se considera que de esta manera sus aportaciones al interior de las Comisiones y demás instancias del SNT podrán ser más relacionadas con sus funciones y planes de trabajo sustantivos.
Por otro lado, derivado del análisis de la implementación del anterior PROTAI, durante el 2018 y 2019 reflejado en sus modificaciones 2020, advirtió la necesidad de que las instancias del SNT puedan optar por impulsar ciertas líneas de acción que consideren necesarias, con el aval de sus integrantes; a partir de esta experiencia se consideró en el diseño del programa añadir acciones con coordinación de una o más comisiones y que pueden desarrollarse de esta forma a partir de tres posibles rutas:
Inclusión en programa de trabajo del Coordinador de la instancia: A partir de la adopción de determinadas iniciativas de interés o relevancia para alguna de las instancias del SNT por medio de la aprobación de su incorporación al programa de trabajo del Coordinador.
Líder Implementador: La línea de acción se desarrollará en actividades por un integrante de la instancia. Posteriormente, compartirá con el resto de los integrantes los resultados y entregables obtenidos; con ello, el resto de las instituciones que lo estimen conveniente podrán aplicar los productos ya generados en la acción a impulsar.
Implementación Complementaria. La línea de acción será desarrollada por todas las instituciones que integran la instancia y estimen conveniente participar en la línea de acción. Al cierre del periodo determinado se realiza el balance de la implementación para la identificación buenas prácticas y áreas de oportunidad.
Para el seguimiento de las acciones se crean las Pizarras de Avance, que reflejan únicamente el avance en las actividades a las que cada integrante o instancia se haya comprometido en su ruta de implementación del Programa Nacional. Asimismo, las Pizarras de Avance permiten ver el balance general de los esfuerzos que cada estrategia y línea de acción recibe en la generalidad del Programa Nacional, lo cual posibilita la reorientación de esfuerzos, ajustes al programa y la autorregulación de los integrantes para la atención integral del mismo. Incluso es posible establecer alguna clase de incentivo o sistema de ponderadores para compensar en los mecanismos de reporte a quienes adquieren mayores compromisos de implementación.
El mantenimiento de las Pizarras de Avance y su actualización es responsabilidad de la Secretaría Ejecutiva del SNT y ésta debe ser accesible a la sociedad en su conjunto para su consulta mediante el portal oficial del SNT y en la Plataforma Nacional. Como parte del ejercicio de rendición de cuentas del propio PROTAI, los informes que arrojen las Pizarras de Avance deben divulgarse periódicamente por medios alternativos.
En adición a las Pizarras de avance que darán cuenta de indicadores estadísticos y desempeño en términos cuantitativos, la Secretaría Ejecutiva del SNT referirá en sus informes de avances y seguimiento la recopilación y análisis de información cualitativa, a partir de la cual se obtendrán mejores prácticas, desafíos, entre otras consideraciones que complementen futuras acciones.
Asimismo, se considera apropiado que las instituciones integrantes del SNT consideren el desarrollo de los programas institucionales en coordinación con las rutas de implementación del PROTAI que plantean de forma anual, de manera que sea posible en algún momento integrar un sistema de planeación y evaluación institucional nacional en materia de transparencia y acceso a la información pública.
2. Seguimiento
Para el seguimiento de las actividades, y con la finalidad de contar con información comparable entre todas las instituciones integrantes del SNT, la Secretaría Ejecutiva ha desarrollado diversos mecanismos y guías que le permiten recolectar y sistematizar de manera oportuna y veraz el avance semestral en el desarrollo de las actividades. Conforme al numeral Trigésimo Sexto de los Lineamientos de PROTAI se prevé la existencia de las Pizarras de Avance.
Esta herramienta tecnológica es, además de la herramienta de seguimiento, el instrumento para la rendición de cuentas y publicidad de información del avance del Programa. Se alimenta con la información provista por las instituciones integrantes del SNT y sirve de evidencia de la realización de las líneas de acción establecidas en sus correspondientes rutas de implementación. De esta manera, las Pizarras de Avance permiten visualizar el balance general de los esfuerzos en cada uno de los niveles del Programa, posibilitando, si fuera necesario, la reorientación de dichos esfuerzos, ajustes al Programa y la autorregulación de los Integrantes para la atención integral del mismo. Adicionalmente, la información reflejada servirá de insumo para la evaluación de los resultados del PROTAI.
Asimismo, para direccionar y coordinar los esfuerzos de los implementadores, y de acuerdo con el numeral Trigésimo Octavo Bis de los Lineamientos, el PROTAI posee un Sistema de Monitoreo y Seguimiento (SM&S) que consta de los siguientes elementos:
I. Mecanismo de Operación: Integrado por matrices de información sobre las acciones de cada integrante, basadas en las Rutas de Implementación establecidas, reportes con los que se alimentan las Pizarras de Avance.
II. Mecanismo de Información Estadística: Integrado por diversos indicadores de resultados del PROTAI y los reportes integrados respecto al seguimiento.
III. Mecanismo de Seguimiento y Gobernanza: Integrado por actores clave (Comisión de Indicadores, Evaluación e Investigación, Comité Técnico de Seguimiento y la Secretaría Ejecutiva) para el impulso de la deliberación de los avances del PROTAI, sus recomendaciones y compromisos.
En este último es de destacar que para el adecuado acompañamiento del SM&S, el PROTAI contempla la creación de un Comité Técnico de Seguimiento que incorpora la participación de la Coordinación de los Organismos Garantes de las Entidades Federativas, la Secretaría Ejecutiva del SNT, el Consejo Consultivo del INAI y tres expertos de la academia y/o sociedad civil como miembros honoríficos. Dicho Comité tiene la facultad de emitir recomendaciones, responder consultas, emitir orientación y coordinar actividades encaminadas a dotar de rigor técnico y fortalecer la implementación del Programa; y se reúne al menos dos veces al año para el desahogo de sus funciones.
Para poder contar con un seguimiento más completo, que incluya las acciones que son desarrolladas desde las instancias del SNT como avances en el marco de los Programas Nacionales, la Secretaría Ejecutiva del SNT en uso de sus atribuciones incluya al concentrado de actividades institucionales, aquellas que fueron desarrolladas y/o impulsadas desde las instancias del SNT y de las cuáles tenga acceso a las evidencias de su desarrollo.
El desarrollo de este proceso se realizaría tomando en cuenta las siguientes consideraciones:
· Se agregarán al concentrado de actividades, exclusivamente aquellas sobre las cuáles cuente con evidencia del desarrollo de las mismas.
· Para efectos de la Ruta de Implementación, las actividades serán asociadas a todas las Líneas de Acción del Programa Nacional en las que causen impacto.
· El seguimiento a estas actividades se hará del conocimiento del Consejo Nacional a través de los informes respecto a la implementación de los lineamientos de los Programas Nacionales.
Si bien, existe asesoría técnica de la SESNT y sus áreas adscritas respecto a la implementación y seguimiento del PROTAI, es necesario el establecimiento de un ciclo de sesiones iniciales de capacitación con los enlaces correspondientes para que conozcan el programa a detalle, ejemplos de su puesta en marcha, experiencias y las herramientas necesarias para llevar a cabo la planeación, ajustes y seguimiento de la implementación en sus instituciones, estableciendo con ello un punto de partida. Para facilitar estos ejercicios a la luz de procesos de rotación de personal o designaciones, es conveniente que la SESNT establezca un repositorio de asesorías grabadas con el propósito de tener un espacio de consulta permanente al cual puedan acudir las personas involucradas en los Programas Nacionales. Este sitio debe contener material audiovisual que responda las preguntas más frecuentes y brinde casos prácticos que ayude a los enlaces en el llenado de sus formatos.
3. Actualización y Evaluación
En su numeral Trigésimo Octavo Ter y Trigésimo Noveno, los Lineamientos del Programa establecen que este deberá actualizarse -en términos de la ejecución de la política pública- y evaluarse al término de cada ejercicio anual, por lo que, a partir del su primer ejercicio se podrán identificar un conjunto de acciones prioritarias a impulsar en los ciclos subsecuentes y en programas posteriores.
Estas actualizaciones y evaluaciones dotan de flexibilidad al programa para incluir conocimiento útil e información valiosa sobre las acciones emprendidas y de los resultados obtenidos, así como advertir oportunidades de mejora. Asimismo, con la finalidad de abonar una mayor imparcialidad y objetividad en las evaluaciones, se debe privilegiar que el desarrollo de estas se realice por parte de terceros, ya sean entidades gubernamentales específicas, organizaciones internacionales o de la sociedad en su conjunto o de particulares con amplia experiencia en el tema, pero sobre todo orientadas a identificar el impacto de las acciones realizadas y el cumplimiento de sus metas y objetivos. Es la Comisión de Indicadores, Evaluación e Investigación quien establece el calendario de evaluaciones a realizar en el marco del Programa Nacional y corresponde a la Secretaría Ejecutiva del SNT dar seguimiento a la evaluación en coordinación con dicha Comisión.
Perspectivas del PROTAI
El PROTAI en su segunda edición ofrece nuevas perspectivas que incorporan el conocimiento y experiencia de los retos y hallazgos de los primeros años de implementación de la política pública. En la perspectiva global, el PROTAI aspira a convertirse en un instrumento útil para la coordinación interinstitucional, la garantía progresiva del derecho, la cultura burocrática de la transparencia y el máximo uso del derecho en beneficio de la vida de las personas.
| ¿Dónde estamos? 2021-2022 | ¿Dónde estaremos? 2022-2026 | Hacia el Tercer PROTAI | ¿Qué aspiramos? |
| 1. El SNT cuenta con la visión y enfoque estratégico para evaluar la eficacia normativa y de políticas públicas, así como el cumplimiento de los mandatos de las leyes y normatividad en la materia. | 1.Se han mejorado las normas jurídicas y fortalecido las capacidades institucionales de las instituciones integrantes del SNT para garantizar progresivamente el derecho de acceso a la información, la transparencia y la rendición de cuentas en México. | 1. Concentrar y maximizar los esfuerzos de las instituciones integrantes del SNT hacia la ejecución de acciones del PROTAI con impacto en los objetivos centrales. | 1. Las instituciones del SNT se coordinan efectivamente para desarrollar en los sujetos obligados políticas públicas eficientes en la atención necesidades informativas de la población. |
| 2. Gracias a la documentación y seguimiento del programa en su primera edición ha sido posible evaluar los avances en los procedimientos de gestión institucionales necesarios para cumplir con los objetivos específicos del PROTAI. | 2. Existen mecanismos de planeación, evaluación y corrección de normas y políticas públicas al alcance de los sujetos obligados acordes a la garantía progresiva del derecho de acceso a la información, la transparencia y la | 2. Mayor promoción de acciones enfocadas en el eje temático de Derechos Humanos, Perspectiva de Género e Inclusión Social que hacen posible la garantía del derecho en la diversidad social. | 2. Los sujetos obligados y las personas del servicio público tienen una sólida cultura de la transparencia y rendición de cuentas que involucra a la ciudadanía en la toma de decisiones con modelos de apertura. |
| | rendición de cuentas en México. | | |
| 3. Evaluar las estrategias de difusión, acceso a la información y transparencia con miras a alcanzar la trascendencia del PROTAI. | 3. La información pública es aprovechada por la población y tiene trascendencia en la vida nacional. | 3. Mayor coordinación de acciones con los sistemas de anticorrupción y la ampliación de la agenda de rendición de cuentas vinculada a la función de transparencia de las instituciones integrantes del SNT. | 3. La población confía y usa la información pública activamente, además de conocer sus derechos relacionados y las instituciones que los protegen. |
| 4. Fue desarrollado y mejorado el Sistema de Monitoreo y Seguimiento para hacer los ajustes necesarios en la operación del primer PROTAI y la planeación basada en datos del segundo PROTAI. | | 4. Mayor conocimiento entre la población sobre el ejercicio del derecho de acceso a la información y los Organismos Garantes. | |
GLOSARIO
Accesibilidad: El conjunto de medidas pertinentes para asegurar el derecho de acceso a la información a todas las personas en igualdad de condiciones e independientemente de sus capacidades técnicas, físicas, cognitivas o de lenguaje; por lo que comprenderán el entorno físico de las instalaciones, la información y las comunicaciones e inclusive los sistemas y las tecnologías de la información, así como las telecomunicaciones y otros servicios e instalaciones abiertos al público o de uso general, tanto en zonas urbanas como rurales;
AGN: Archivo General de la Nación;
Archivo: El conjunto orgánico de documentos en cualquier soporte, que son producidos o recibidos por los sujetos obligados o los particulares en el ejercicio de sus atribuciones o en el desarrollo de sus actividades;
ASF: Auditoría Superior de la Federación;
Comité de Transparencia: La instancia a la que hace referencia el artículo 43 de la Ley General de Transparencia y Acceso a la Información Pública;
CVFAIP: Centro Virtual de Formación en Acceso a la Información y Protección de Datos Personales;
CNTAIPPDPF: Censo Nacional de Transparencia, Acceso a la Información Pública y Protección de Datos Personales Federal;
CNTAIPPDPE: Censo Nacional de Transparencia, Acceso a la Información Pública y Protección de Datos Personales Estatal;
Datos abiertos: Los datos digitales de carácter público que son accesibles en línea que pueden ser usados, reutilizados y redistribuidos por cualquier interesado;
Derechos Humanos: Conjunto de prerrogativas sustentadas en la dignidad humana, cuya realización efectiva resulta indispensable para el desarrollo integral de la persona. Este conjunto de prerrogativas se encuentra establecido dentro del orden jurídico nacional, en nuestra Constitución Política, tratados internacionales y las leyes;
Digitalización: La técnica que permite convertir la información que se encuentra guardada de manera analógica, en soportes como papel, video, casetes, cinta, película, microfilm, etcétera, en una forma que sólo puede leerse o interpretarse por medio de una infraestructura tecnológica;
Discriminación: Toda distinción, exclusión, restricción o preferencia que, por acción u omisión, con intención o sin ella, no sea objetiva, racional ni proporcional y tenga por objeto o resultado obstaculizar, restringir, impedir, menoscabar o anular el reconocimiento, goce o ejercicio de los derechos humanos y libertades, cuando se base en uno o más de los siguientes motivos: el origen étnico o nacional, el color de piel, la cultura, el sexo, el género, la edad, las discapacidades, la condición social, económica, de salud o jurídica, la religión, la apariencia física, las características genéticas, la situación migratoria, el embarazo, la lengua, las opiniones, las preferencias sexuales, la identidad o filiación política, el estado civil, la situación familiar, las responsabilidades familiares, el idioma, los antecedentes penales o cualquier otro motivo;
Disposición documental: La selección sistemática de los expedientes de los archivos de trámite o concentración cuya vigencia documental o uso ha prescrito, con el fin de realizar la baja documental o transferirlos;
Eje Temático: El contenido general que sirve de línea vertebral o referencia con respecto al cual se desarrollan asuntos o temas referentes a la transparencia, acceso a la información pública dentro del Programa Nacional, conforme a la Ley General de Transparencia y Acceso a la Información Pública;
Eje Transversal: El contenido, asuntos o temas referentes a la transparencia, acceso a la información pública, cuyo desarrollo implica la interacción o conexión con más de un eje temático o cuya consecución implica la suma de productos y servicios de diversas instituciones integrantes del SNT;
Entidades federativas: Son las partes integrantes de la Federación, es decir, los Estados de Aguascalientes, Baja California, Baja California Sur, Campeche, Coahuila, Colima, Chiapas, Chihuahua, Durango, Guanajuato, Guerrero, Hidalgo, Jalisco, México, Michoacán, Morelos, Nayarit, Nuevo León, Oaxaca, Puebla, Querétaro, Quintana Roo, San Luis Potosí, Sinaloa, Sonora, Tabasco, Tamaulipas, Tlaxcala, Veracruz, Yucatán, Zacatecas y la Ciudad de México;
Estrategia: El conjunto de acciones interrelacionadas para la atención de una problemática que asegura un resultado;
Gestión documental: El tratamiento integral de la documentación a lo largo de su ciclo vital, a través de la ejecución de procesos de recepción, producción, organización, acceso y consulta, conservación, valoración y disposición documental;
Gobierno Digital: Todas aquellas actividades basadas en las modernas tecnologías de la información y comunicación (TIC's), que el Estado desarrolla para aumentar la eficiencia de la gestión pública, mejorar los servicios ofrecidos a los ciudadanos y proveer a las acciones de gobierno de un marco mucho más transparente que el actual;
INAI: Instituto Nacional de Transparencia, Acceso a la Información y Protección de Datos Personales;
Indicador: La variable o factor que proporciona un medio sencillo y fiable para medir logros, cambios o ayudar a evaluar resultados;
Indicador de resultados: La variable o factor que permite verificar los cambios en el estado de los beneficiarios de las acciones a las que se asocia;
Indicador de impacto: Expresiones cuantitativas y cualitativas de mediano y largo plazo que buscan servir como un marco de referencia para advertir y dar cuenta de los cambios sociales a los que contribuyen las acciones;
INEGI: Instituto Nacional de Estadística y Geografía;
Información de interés público: Se refiere a la información que resulta relevante o beneficiosa para la sociedad y no simplemente de interés individual, cuya divulgación resulta útil para que el público comprenda las actividades que llevan a cabo los sujetos obligados;
Instituciones Integrantes del Sistema Nacional de Transparencia: El Art. 30 de la LGTAIP, establece que son parte integrante del Sistema Nacional:
I. El Instituto Nacional de Transparencia, Acceso a la Información y Protección de Datos Personales;
II. Los Organismos Garantes de las Entidades Federativas;
III. La Auditoría Superior de la Federación;
IV. El Archivo General de la Nación, y
V. El Instituto Nacional de Estadística y Geografía
Regiones del Sistema Nacional de Transparencia: De conformidad con el artículo 15 de los Lineamientos para la organización, coordinación y funcionamiento de las instancias del SNT, el territorio nacional se divide en cuatro regiones:
I. Centro: Distrito Federal, Guerrero, Hidalgo, Estado de México, Morelos, Oaxaca, Puebla y Tlaxcala;
II. Centro-Occidente: Aguascalientes, Colima, Guanajuato, Jalisco, Michoacán, Nayarit, Querétaro, San Luis Potosí y Zacatecas;
III. Norte: Baja California, Baja California Sur, Chihuahua, Coahuila, Durango, Nuevo León, Sinaloa, Sonora y Tamaulipas, y
IV. Sureste: Veracruz, Tabasco, Campeche, Chiapas, Yucatán y Quintana Roo.
Instrumentos de consulta: Los inventarios generales, de transferencia o baja documental, así como las guías de fondos y los catálogos documentales;
Línea de acción: El catálogo de actividades encaminadas al resultado del objetivo estratégico respectivo;
Meta: El valor que se espera alcance un indicador y sirva de evidencia del avance en la consecución de los objetivos estratégicos en un periodo establecido;
Medios de impugnación: Actos procesales mediante los cuales se pueden revise la respuesta, o la falta de ésta, así como las resoluciones de los Organismos Garantes para que se estudie su procedencia y legalidad;
Objetivo Estratégico: El fin general al que se ajustan las líneas de acción y que se asocia unívocamente con las estrategias. Refleja de manera concisa la solución de las problemáticas identificadas en el eje temático o transversal;
Obligaciones de transparencia: El catálogo de información prescrita en el Título Quinto de la Ley General de Transparencia y Acceso a la Información Pública;
Obligaciones comunes: Son aquellas que describen la información que deberán poner a disposición de los particulares y mantener actualizada en los sitios de Internet correspondientes y en la Plataforma Nacional todos los sujetos obligados, sin excepción alguna, y que se refieren a temas, documentos y políticas que aquellos poseen en ejercicio de sus facultades, obligaciones y el uso de recursos públicos, respecto de: su organización interna y funcionamiento, atención al público, ejercicio de los recursos públicos, determinaciones institucionales, estudios, ingresos recibidos y donaciones realizadas, organización de archivos, entre otros;
Organismos Garantes: Aquellos con autonomía constitucional especializados en materia de acceso a la información y protección de datos personales en términos de los artículos 6o., 116, fracción VIII y 122, apartado C, BASE PRIMERA, Fracción V, inciso ñ) de la Constitución Política de los Estados Unidos Mexicanos. 32 Organismos Garantes Locales y el Instituto Nacional de Transparencia, Acceso a la Información y Protección de Datos Personales;
PCCAN: Programa de Capacitación en Transparencia, Acceso a la Información, Protección de Datos Personales y Temas Relacionados con Alcance Nacional;
Personas del servicio público: Las y los mencionados en el párrafo primero del artículo 108 de la Constitución Política de los Estados Unidos Mexicanos y sus correlativos de las Entidades Federativas y municipios que establezcan las Constituciones de los Estados;
Personas en situación de vulnerabilidad: Núcleos de población y/o personas que, por diferentes factores o la combinación de ellos, enfrentan situaciones de riesgo o discriminación que les impiden ejercer, en igualdad de condiciones, los derechos humanos de acceso a la información, y, por lo tanto, requieren de la atención e implementación de acciones, medidas y políticas por parte de los sujetos obligados. Entre éstos se encuentran las personas pertenecientes a los pueblos indígenas, afrodescendientes, personas con discapacidad, mujeres en situación de vulnerabilidad, niñas, niños, adolescentes, personas adultas mayores, migrantes y personas en situación de pobreza;
Perspectiva de género: Concepto que se refiere a la metodología y los mecanismos que permiten identificar, cuestionar y valorar la discriminación, desigualdad y exclusión de las mujeres, que se pretende justificar con base en las diferencias biológicas entre mujeres y hombres, así como las acciones que deben emprenderse para actuar sobre los factores de género y crear las condiciones de cambio que permitan avanzar en la construcción de la igualdad de género;
Plataforma Nacional: La Plataforma Nacional de Transparencia a que hace referencia el artículo 49 de la Ley General de Transparencia y Acceso a la Información Pública;
PROSEDE: Programa de Sensibilización de Derechos;
Red USOC: Red por la Utilidad Social de los Derechos de Acceso a la Información y Protección de Datos Personales;
Rendición de Cuentas: Relación entre dos actores (A y B), en la que A está formalmente obligado a informar, explicar y justificar su conducta a B (con respecto a un asunto R). En esta relación, B tiene la facultad de examinar la conducta de A (con respecto a R) y cuenta con instrumentos para vigilarlo e incidir en su comportamiento -vía sanciones o incentivos;
Ruta de Implementación: Mecanismo técnico que describe las actividades de las instituciones integrantes del SNT para el Programa Nacional, a partir de sus Programas Anuales o sus procesos de planeación institucional;
SIPOT: Sistema de Portales de Obligaciones de Transparencia;
SNT: Sistema Nacional de Transparencia, Acceso a la Información Pública y de Protección de Datos Personales;
Solicitudes de información: El formato impreso, electrónico o escrito libre que utilizan los solicitantes para describir los contenidos a los que desean tener acceso;
Sujetos obligados: Cualquier autoridad, entidad, órgano y organismo de los poderes Ejecutivo, Legislativo y Judicial, órganos autónomos, partidos políticos, fideicomisos y fondos públicos, así como, cualquier persona física, moral o sindicato que reciba y ejerza recursos públicos o realice actos de autoridad en los ámbitos federal, de las entidades federativas y municipal;
Transparencia proactiva: El conjunto de actividades que promueven la identificación, generación, publicación y difusión de información adicional a la establecida con carácter obligatorio por la Ley General, que permite la generación de conocimiento público útil con un objeto claro enfocado en las necesidades de sectores de la sociedad determinados o determinables;
Unidad de Transparencia: Instancia a la que hace referencia el artículo 45 de la Ley General de Transparencia y Acceso a la Información Pública, y
Vulnerabilidad: Condición multifactorial que refiere a situaciones de riesgo o discriminación que impiden alcanzar mejores niveles de vida y lograr bienestar.
Anexo 1. Fichas de Indicadores de Objetivos Estratégicos del PROTAI
| FICHA INDICADOR 1.1. Índice de control de la gestión documental |
| ELEMENTO | CARACTERÍSTICA |
| Eje | 1. Archivos y Gestión Documental |
| Objetivo | 1.1 Consolidar la regulación de la gestión documental y la administración de archivos como condición necesaria para el ejercicio y desarrollo del Derecho de Acceso a la Información Pública. |
| Descripción general | Medir la existencia de procesos y mecanismos en los Organismos Garantes para el control del tratamiento de la documentación. |
| Método de cálculo | Donde: se refiere al total de mecanismos de control archivístico y gestión documental i reportados por los Organismos Garantes. Se incluyen 4 mecanismos: - Cuadro de clasificación archivística; - Catálogo de disposición documental; - Sistema institucional de archivos; - Sistema automatizado de gestión documental y control de documentos. |
| Periodicidad | Anual |
| Reactivos utilizados | Variable: MCA |
| | Censo Estatal Módulo 01 Sección 08 Pregunta 119 Censo Federal Módulo 01 Sección 08 Pregunta 115 |
| Medios de verificación | INEGI. Censo Nacional de Transparencia, Acceso a la Información Pública y Protección de Datos Personales Federal (CNTAIPPDPF). Censo Nacional de Transparencia, Acceso a la Información Pública y Protección de Datos Personales Estatal (CNTAIPPDPE). |
| Actores vinculados con el indicador | Organismos Garantes. |
| Línea base (CNTAIPPDPF y CNTAIPPDPE 2020) | 59.84% https://www.inegi.org.mx/programas/cntaippdpf/2020/ y https://www.inegi.org.mx/ programas/cntaippdpe/2020/ |
| Meta 2022 (CNTAIPPDPF y CNTAIPPDPE 2023) | 65-70% |
| Meta 2023 (CNTAIPPDPF y CNTAIPPDPE 2024) | 80-85% |
| Meta 2024 (CNTAIPPDPF y CNTAIPPDPE 2025) | 90-100% |
| Meta 2025 (CNTAIPPDPF y CNTAIPPDPE 2026) | 100% |
| Meta 2026 (CNTAIPPDPF y CNTAIPPDPE 2027) | 100% |
| Observaciones | NOTA DE CAUCIÓN: Para la medición de los avances del presente objetivo se recomienda priorizar la línea de acción 1.1.9 que permita contar con estadísticas confiables y actualizadas para generar nuevos indicadores a nivel de los sujetos obligados. |
| comportamiento esperado | Ascendente |
| FICHA INDICADOR 2.1. Porcentaje de avance del indicador de Acceso a la Información del Gobierno de la Métrica de Gobierno Abierto |
| ELEMENTO | CARACTERÍSTICA |
| Eje | 2. Derecho de Acceso a la Información. |
| Objetivo | 2.1 Expandir el conocimiento del Derecho de Acceso a la Información Pública como herramienta para el ejercicio de otros derechos fundamentales para una sociedad más justa. |
| Descripción general | Revisión de las respuestas de sujetos obligados a las solicitudes de acceso a la información realizadas en un periodo dado analizando el cumplimiento del plazo legal, la existencia de una respuesta, y la frecuencia del uso de prórroga. |
| Método de cálculo | Donde: |
| | es el Componente de Acceso a la Información de la Métrica de Gobierno Abierto obtenido en el año t de la Métrica del Gobierno Abierto. |
| Periodicidad | Bienal. |
| Medios de verificación | Métrica de Gobierno Abierto |
| Reactivos utilizados | Proporción del cambio entre mediciones de resultados del Componente de Acceso a la Información de la Métrica de Gobierno Abierto. |
| Actores vinculados con el indicador | Organismos Garantes. |
| Línea base | 25.37% https://micrositios.inai.org.mx/gobiernoabierto/?page_id=5765 |
| Meta 2023 | 10% |
| Meta 2025 | 10% |
| Meta 2027 | 5-10% |
| Observaciones | En caso de falta de disponibilidad del instrumento de "Métrica de Gobierno Abierto" es posible utilizar datos del ENAID para calcular el Porcentaje estimado de población mayor a 18 años que conoce o ha escuchado sobre la existencia de una Ley en materia de transparencia como un indicador alterno para el objetivo estratégico. |
| comportamiento esperado | Descendente |
| FICHA INDICADOR 3.1. Porcentaje de avance del Subíndice de Participación de la Métrica de Gobierno Abierto. |
| ELEMENTO | CARACTERÍSTICA |
| Eje | 3. Políticas de Transparencia: Estado Abierto, Gobierno Digital, Transparencia Proactiva, SIPOT y Datos Abiertos |
| Objetivo | 3.1 Actualizar los principios de apertura gubernamental y robustecer el enfoque de Estado Abierto para aumentar la participación en la solución de problemas sociales. |
| Descripción general | Evalúa tanto la existencia y funcionamiento de mecanismos de participación en cada sujeto obligado, como el nivel en el que las personas pueden comunicarse con los sujetos obligados para hacer propuestas sobre su quehacer. |
| Método de cálculo | Donde: es el Subíndice de Participación de la Métrica de Gobierno Abierto en el año final. es el Subíndice de Participación de la Métrica de Gobierno Abierto en el año de inicio de estudio. |
| Periodicidad | Bienal. |
| Medios de verificación | Métrica de Gobierno Abierto |
| Reactivos utilizados | Proporción del cambio entre mediciones de resultados del Subíndice de Participación de la Métrica de Gobierno Abierto |
| Actores vinculados con el indicador | Organismos Garantes. |
| Línea base | 46.43% https://micrositios.inai.org.mx/gobiernoabierto/?page_id=5765 |
| Meta 2023 | 50% |
| Meta 2025 | 60% |
| Meta 2027 | 70% |
| Observaciones | En caso de falta de disponibilidad del instrumento de "Métrica de Gobierno Abierto" es posible utilizar datos del CNTAIPPDP para calcular el porcentaje de Organismos Garantes con mecanismos de seguimiento y evaluación de los compromisos establecidos en el Plan de Acción como un indicador alterno para el objetivo estratégico. |
| comportamiento esperado | Ascendente |
| FICHA INDICADOR 3.2. Índice de uso de Infraestructura en Tecnologías de la Información de los Organismos Garantes |
| ELEMENTO | CARACTERÍSTICA |
| Eje | 3. Políticas de Transparencia: Estado Abierto, Gobierno Digital, Transparencia Proactiva, SIPOT y Datos Abiertos |
| Objetivo | 3.2 Impulsar el uso de Tecnologías de la Información y Comunicación como instrumento de actualización y accesibilidad para disminuir las brechas en el ejercicio del DAI. |
| Descripción general | Medir el fortalecimiento de las TIC´s para el ejercicio de las funciones de los Organismos Garantes en la garantía del DAI. |
| Método de cálculo | Donde: se refiere a la proporción de Organismos Garantes que reportaron hacer uso de infraestructura tecnológica destinada al sistema INFOMEX u otras aplicaciones similares. se refiere a la proporción de Organismos Garantes que reportaron hacer uso del servicio de internet institucional. |
| Periodicidad | Anual. |
| Medios de verificación | INEGI. Censo Nacional de Transparencia, Acceso a la Información Pública y Protección de Datos Personales Federal (CNTAIPPDPF). Censo Nacional de Transparencia, Acceso a la Información Pública y Protección de Datos Personales Estatal (CNTAIPPDPE). |
| Reactivos utilizados | Variable: INFO Censo Estatal Módulo 01 Sección 04 Pregunta 43 Censo Federal Módulo 01 Sección 04 Pregunta 40 | Variable: IIS Censo Estatal Módulo 01 Sección 04 Pregunta 44 Censo Federal Módulo 01 Sección 04 Pregunta 41 |
| Actores vinculados con el indicador | Organismos Garantes. |
| Línea base (CNTAIPPDPF y CNTAIPPDPE 2020) | 1. 72.72% 2. 96.96% https://www.inegi.org.mx/programas/cntaippdpf/2020/ y https://www.inegi.org.mx/ programas/cntaippdpe/2020/ |
| Meta 2022 (CNTAIPPDPF y CNTAIPPDPE 2023) | 1. 80-90% 2. 100% |
| Meta 2023 (CNTAIPPDPF y CNTAIPPDPE 2024) | 1. 91-100% 2. 100% |
| Meta 2024 (CNTAIPPDPF y CNTAIPPDPE 2025) | 1. 100% 2. 100% |
| Meta 2025 (CNTAIPPDPF y CNTAIPPDPE 2026) | 1. 100% 2. 100% |
| Meta 2026 (CNTAIPPDPF y CNTAIPPDPE 2027) | 1. 100% 2. 100% |
| comportamiento esperado | Ascendente |
| FICHA INDICADOR 3.3. Índice de promoción de transparencia proactiva. |
| ELEMENTO | CARACTERÍSTICA |
| Eje | 3. Políticas de Transparencia: Estado Abierto, Gobierno Digital, Transparencia Proactiva, SIPOT y Datos Abiertos |
| Objetivo | 3.3 Promover que la información generada y divulgada coadyuve a la toma de decisiones, reduzca las barreras de acceso a la información pública y resuelva problemáticas sociales específicas. |
| Descripción general | Medir la cobertura de las acciones de seguimiento de la política de transparencia proactiva. |
| Método de cálculo | Donde: se refiere a la proporción total de Organismos Garantes que reportaron evaluar el impacto de los efectos generados por la publicación, difusión de la información y/o el conocimiento. se refiere a la proporción total de Organismos Garantes que reportaron realizar acciones de diseño, implementación y evaluación de una política de transparencia proactiva en los sujetos obligados. |
| Periodicidad | Anual. |
| Medios de verificación | INEGI. Censo Nacional de Transparencia, Acceso a la Información Pública y Protección de Datos Personales Federal (CNTAIPPDPF). Censo Nacional de Transparencia, Acceso a la Información Pública y Protección de Datos Personales Estatal (CNTAIPPDPE) |
| Reactivos utilizados | Tabulado con la condición de promoción de acciones en materia de transparencia proactiva por parte del Organismo Garante hacia el total de sujetos obligados, por nivel de gobierno y entidad federativa según tipo de acción |
| Actores vinculados con el indicador | Organismos Garantes. |
| Línea base (CNTAIPPDPF y CNTAIPPDPE 2020) | 25.76% https://www.inegi.org.mx/programas/cntaippdpf/2020/ y https://www.inegi.org.mx/ programas/cntaippdpe/2020// |
| Meta 2022 (CNTAIPPDPF y CNTAIPPDPE 2023) | 40-50% |
| Meta 2023 (CNTAIPPDPF y CNTAIPPDPE 2024) | 50-60% |
| Meta 2024 (CNTAIPPDPF y CNTAIPPDPE 2025) | 60-70% |
| Meta 2025 (CNTAIPPDPF y CNTAIPPDPE 2026) | 70-80% |
| Meta 2026 (CNTAIPPDPF y CNTAIPPDPE 2027) | 80-90% |
| Observaciones | En caso de considerar alguna versión alternativa de indicador se sugiere utilizar el Indicador de Transparencia Proactiva de la Métrica de Gobierno Abierto. |
| comportamiento esperado | Ascendente |
| FICHA INDICADOR 3.4. Porcentaje de avance en el indicador de Transparencia Activa de la Métrica de Gobierno Abierto |
| ELEMENTO | CARACTERÍSTICA |
| Eje | 3. Políticas de Transparencia: Estado Abierto, Gobierno Digital, Transparencia Proactiva, SIPOT y Datos Abiertos |
| Objetivo | 3.4 Fortalecer al SIPOT de la Plataforma Nacional de Transparencia como herramienta de transparencia para las instituciones públicas. |
| Descripción general | Revisión de la publicación de información de obligaciones comunes de transparencia en el Sistema de Portales de Obligaciones de Transparencia (SIPOT). Se consideran las primeras 13 obligaciones de acuerdo con el artículo 70 de la LGTAIP. |
| Método de cálculo | Donde: es el Componente de Transparencia Activa de la Métrica de Gobierno Abierto obtenido en el año t de la Métrica del Gobierno Abierto. |
| Medios de verificación | Métrica de Gobierno Abierto |
| Reactivos utilizados | Proporción del cambio entre mediciones de resultados del Componente de Transparencia Activa de la Métrica de Gobierno Abierto. |
| Actores vinculados con el indicador | Organismos Garantes. |
| Línea base | 60.00% https://micrositios.inai.org.mx/gobiernoabierto/?page_id=5765 |
| Meta 2023 | 30% |
| Meta 2025 | 30% |
| Meta 2027 | 25% |
| comportamiento esperado | Descendente |
| FICHA INDICADOR 3.5. Porcentaje de avance en el indicador de Datos Abiertos de la Métrica de Gobierno Abierto |
| ELEMENTO | CARACTERÍSTICA |
| Eje | 3. Políticas de Transparencia: Estado Abierto, Gobierno Digital, Transparencia Proactiva, SIPOT y Datos Abiertos |
| Objetivo | 3.5 Promover la instrumentación de políticas, estrategias y acciones nacionales en materia de datos abiertos, dirigidas a optimizar el acceso, uso y aprovechamiento de la información pública en México. |
| Descripción general | Revisión de la existencia y calidad de los datos publicados por el sujeto obligado. |
| Método de cálculo | Donde: es el Componente de Datos Abiertos de la Métrica de Gobierno Abierto obtenido en el año t de la Métrica del Gobierno Abierto. |
| Periodicidad | Bienal. |
| Medios de verificación | Métrica de Gobierno Abierto |
| Reactivos utilizados | Proporción del cambio entre mediciones de resultados del Componente de Datos Abiertos de la Métrica de Gobierno Abierto. |
| Actores vinculados con el indicador | Organismos Garantes. |
| Línea base | 100% https://micrositios.inai.org.mx/gobiernoabierto/?page_id=5765 |
| Meta 2023 | 5% |
| Meta 2025 | 5% |
| Meta 2027 | 5% |
| comportamiento esperado | Descendente |
| FICHA INDICADOR 4.1 Índice de fortalecimiento anticorrupción institucional en los Organismos Garantes. |
| ELEMENTO | CARACTERÍSTICA |
| Eje | 4. Rendición de Cuentas |
| Objetivo | 4.1 Fortalecer la Transparencia y el Acceso a la Información Pública como medios para la fiscalización, rendición de cuentas y denuncia de actos de corrupción en la sociedad en coordinación con el Sistema Nacional Anticorrupción y el Sistema Nacional de Fiscalización. |
| Descripción general | Medir la cobertura en el fortalecimiento institucional de los Organismos Garantes para el combate a la corrupción en términos de planeación. |
| Método de cálculo | Donde: se refiere a la cuenta de Organismos Garantes que reportaron contar o estar en proceso de integración de un plan o programa anticorrupción (Sí cuenta con un plan o programa anticorrupción=1; en desarrollo=0.5) |
| Periodicidad | Anual. |
| Medios de verificación | INEGI. Censo Nacional de Transparencia, Acceso a la Información Pública y Protección de Datos Personales Federal (CNTAIPPDPF). Censo Nacional de Transparencia, Acceso a la Información Pública y Protección de Datos Personales Estatal (CNTAIPPDPE). |
| Reactivos utilizados | Variable: PA Censo Estatal Módulo 01 Sección 06 Pregunta 98 Censo Federal Módulo 01 Sección 06 Pregunta 94 |
| Actores vinculados con el indicador | Organismos Garantes. |
| Línea base (CNTAIPPDPF y CNTAIPPDPE 2020) | 39.39% https://www.inegi.org.mx/programas/cntaippdpf/2020/ y https://www.inegi.org.mx/ programas/cntaippdpe/2020/ |
| Meta 2022 (CNTAIPPDPF y CNTAIPPDPE 2023) | 56.82% |
| Meta 2023 (CNTAIPPDPF y CNTAIPPDPE 2024) | 75.01% |
| Meta 2024 (CNTAIPPDPF y CNTAIPPDPE 2025) | 93.20% |
| Meta 2025 (CNTAIPPDPF y CNTAIPPDPE 2026) | 100% |
| Meta 2026 (CNTAIPPDPF y CNTAIPPDPE 2027) | 100% |
| Observaciones | Tras la implementación de acciones y prioridades de la Política Nacional Anticorrupción se sugiere incluir un componente al indicador que permitan dar seguimiento a la participación de los Organismos Garantes en dichas iniciativas. |
| comportamiento esperado | Ascendente |
| FICHA INDICADOR 5.1 Porcentaje de Recursos de Revisión en Materia de Acceso a la Información Desechados por los Organismos Garantes. |
| ELEMENTO | CARACTERÍSTICA |
| Eje | 5. Actividad Materialmente Jurisdiccional. |
| Objetivo | 5.1 Optimizar los procesos para la tutela del Derecho de Acceso a la Información desde una perspectiva de mejora continua en los Organismos Garantes y los Sujetos Obligados. |
| Descripción general | Medir la cobertura en la atención de los recursos de revisión en materia de acceso a la información. |
| Método de cálculo | Donde: se refiere al total de recursos de revisión desechados en materia de acceso a la información por el Organismo Garante i durante el periodo. se refiere al total de recursos de revisión recibidos por el Organismo Garante i durante el periodo. |
| Periodicidad | Anual. |
| Medios de verificación | INEGI. Censo Nacional de Transparencia, Acceso a la Información Pública y Protección de Datos Personales Federal (CNTAIPPDPF). Censo Nacional de Transparencia, Acceso a la Información Pública y Protección de Datos Personales Estatal (CNTAIPPDPE). |
| Reactivos utilizados | Tabulado de Recursos de revisión recibidos por el Organismo Garante, por nivel de gobierno, entidad federativa y tipo de sujeto obligado, según materia y estatus |
| Actores vinculados con el indicador | Organismos Garantes. |
| Línea base (CNTAIPPDPF y CNTAIPPDPE 2020) | 18.51% https://www.inegi.org.mx/programas/cntaippdpf/2020/ y https://www.inegi.org.mx/programas/cntaippdpe/2020/ |
| Meta 2022 (CNTAIPPDPF y CNTAIPPDPE 2023) | 13.39% |
| Meta 2023 (CNTAIPPDPF y CNTAIPPDPE 2024) | 10.83% |
| Meta 2024 (CNTAIPPDPF y CNTAIPPDPE 2025) | 9.55% |
| Meta 2025 (CNTAIPPDPF y CNTAIPPDPE 2026) | 8.27% |
| Meta 2026 (CNTAIPPDPF y CNTAIPPDPE 2027) | 6.99% |
| comportamiento esperado | Descendente |
| FICHA INDICADOR TRANSVERSAL A.1 Promedio de acciones reportadas en el CNTAIPPDP por los Organismos Garantes como realizadas en materia de promoción y difusión del DAI. |
| ELEMENTO | CARACTERÍSTICA |
| Eje | A. Promoción, Difusión y Fomento de la Cultura de Transparencia y Acceso a la Información. |
| Objetivo | A.1. Articular desde el SNT de manera conjunta la promoción y difusión de la transparencia y el acceso a la información. |
| Descripción general | Medir la diversidad en la realización de actividades y acciones por parte de los Organismos Garantes, dirigidas al público para promover el derecho de acceso a la información. |
| Método de cálculo | Donde: se refiere al número de acciones promovidas por el Organismos Garante i para la creación de una cultura de la transparencia y acceso a la información: - Promover entre las autoridades e instituciones educativas que incluyan en sus programas y actividades temas del derecho de acceso a la información; - Promover la instalación de módulos de información pública en bibliotecas e instalaciones archivísticas; - Promover la creación de centros de investigación, difusión y docencia sobre transparencia, derecho de acceso a la información y rendición de cuentas; - Establecer acuerdos para elaborar y publicar material de derecho de acceso a la información entre las instituciones públicas de educación; - Promover la participación ciudadana en materia de transparencia y acceso a la información entre autoridades; - Desarrollar programas de formación de personas usuarias; - Desarrollar programas para la asesoría y orientación de personas usuarias del derecho de acceso a la información en centros comunitarios digitales y bibliotecas; - Desarrollar estrategias para fomentar la igualdad y no discriminación en las acciones de promoción del ejercicio del derecho de acceso a la información; - Otra. se refiere a la cantidad de eventos dirigidos al público realizados por el Organismos Garante i para la promoción del derecho de acceso a la información: -Capacitación específica en el tema de derecho de acceso a la información; -Exposiciones en materia de derecho de acceso a la información; -Convocatorias para participar en retos públicos en materia de transparencia y acceso a la información; |
| | -Jornadas y mesas de trabajo en el tema de derecho de acceso a la información; -Jornadas y mesas de trabajo para promover la igualdad y no discriminación en el ejercicio del derecho de acceso a la información; -Otro tipo de evento. |
| Periodicidad | Anual. |
| Medios de verificación | INEGI. Censo Nacional de Transparencia, Acceso a la Información Pública y Protección de Datos Personales Federal (CNTAIPPDPF). Censo Nacional de Transparencia, Acceso a la Información Pública y Protección de Datos Personales Estatal (CNTAIPPDPE). |
| Reactivos utilizados | Censo Estatal Módulo 02 Sección 02 Pregunta 15A Censo Federal Módulo 02 Sección 02 Pregunta14A | Censo Estatal Módulo 02 Sección 02 Pregunta 14A Censo Federal Módulo 02 Sección 02 Pregunta 13A |
| Actores vinculados con el indicador | Organismos Garantes. |
| Línea base (CNTAIPPDPF y CNTAIPPDPE 2020) | 69.39 https://www.inegi.org.mx/programas/cntaippdpf/2020/ y https://www.inegi.org.mx/programas/cntaippdpe/2020/ |
| Meta 2022 (CNTAIPPDPF y CNTAIPPDPE 2023) | 75 |
| Meta 2023 (CNTAIPPDPF y CNTAIPPDPE 2024) | 80 |
| Meta 2024 (CNTAIPPDPF y CNTAIPPDPE 2025) | 85 |
| Meta 2025 (CNTAIPPDPF y CNTAIPPDPE 2026) | 90 |
| Meta 2026 (CNTAIPPDPF y CNTAIPPDPE 2027) | 95 |
| comportamiento esperado | Ascendente |
| FICHA INDICADOR TRANSVERSAL B.1 Porcentaje de Organismos Garantes que reportan que sus sujetos obligados implementan medidas de accesibilidad y/o ajustes razonables. |
| ELEMENTO | CARACTERÍSTICA |
| Eje | B. Derechos Humanos, Enfoque de Género e Inclusión Social. |
| Objetivo | B.1 Consolidar el enfoque de derechos humanos, género, no discriminación e inclusión social para garantizar atención integral a grupos con mayor vulnerabilidad en el ejercicio del derecho de acceso a la información. |
| Descripción general | Medir la cobertura de las acciones de accesibilidad y/o ajustes razonables desplegadas por los sujetos obligados reportados por sus Organismos Garantes. |
| Método de cálculo | Donde: se refiere al número de Organismos Garantes que reportan que sus Sujetos Obligados implementaron medidas de accesibilidad y/o ajustes razonables por categoría de Sujeto Obligado, donde i es cada una de las categorías de Sujetos Obligados. |
| Periodicidad | Anual. |
| Medios de verificación | INEGI. Censo Nacional de Transparencia, Acceso a la Información Pública y Protección de Datos Personales Federal (CNTAIPPDPF). Censo Nacional de Transparencia, Acceso a la Información Pública y Protección de Datos Personales Estatal (CNTAIPPDPE). |
| Reactivos utilizados | Censo Estatal Módulo 03 Sección 02 Pregunta 04 Censo Federal Módulo 03 Sección 02 Pregunta 04 |
| Actores vinculados con el indicador | Sujetos Obligados, agregados en las siguientes categorías: Poder Ejecutivo / Municipios o demarcaciones territoriales de la Ciudad de México / Poder Legislativo / Poder Judicial / Organismos de protección de los derechos humanos / Organismos Garantes del derecho de acceso a la información y protección de datos personales / Organismos públicos electorales / Tribunal electoral / Fiscalía general / Tribunal de justicia administrativa / Otros organismos constitucionales autónomos / Autoridades administrativas y jurisdiccionales en materia laboral / Instituciones de educación superior públicas autónomas / Partidos políticos / Fideicomisos y fondos públicos / Sindicatos / Otros. |
| Línea base (CNTAIPPDPF y CNTAIPPDPE 2020) | 87.87% https://www.inegi.org.mx/programas/cntaippdpf/2020/ y https://www.inegi.org.mx/ programas/cntaippdpe/2020/ |
| Meta 2022 (CNTAIPPDPF y CNTAIPPDPE 2023) | 90% |
| Meta 2023 (CNTAIPPDPF y CNTAIPPDPE 2024) | 95% |
| Meta 2024 (CNTAIPPDPF y CNTAIPPDPE 2025) | 100% |
| Meta 2025 (CNTAIPPDPF y CNTAIPPDPE 2026) | 100% |
| Meta 2026 (CNTAIPPDPF y CNTAIPPDPE 2027) | 100% |
| Observaciones | Catálogo de medidas de accesibilidad y/o ajustes razonables: 1. Instalaciones que permitan la permanencia y el libre desplazamiento de personas con discapacidad, adultos mayores, niños, niñas y mujeres embarazadas 2. Mobiliario ergonómico para personas con discapacidad, adultos mayores, niños, niñas y mujeres embarazadas 3. Uso de tecnologías de la información que permitan generar condiciones de accesibilidad 4. Uso de audioguías 5. Personal especializado para interpretar lenguas indígenas 6. Personal especializado para interpretar lenguaje de señas 7. Personal especializado para traducir el sistema de escritura Braille 8. Estenografía proyectada 9. Programa de capacitación para el personal en materia de derechos humanos, igualdad, género y no discriminación 10. Protocolos de actuación para atender a grupos en situación de vulnerabilidad 11. Elaboración de diagnósticos en materia de igualdad y no discriminación 12. Otro tipo de medidas |
| comportamiento esperado | Ascendente |
| FICHA INDICADOR TRANSVERSAL C.1 Índice de fortalezas institucionales en los Organismos Garantes. |
| ELEMENTO | CARACTERÍSTICA |
| Eje | C. Profesionalización y Fortalecimiento Institucional |
| Objetivo | C.1 Fortalecer institucionalmente a los Organismos Garantes para mejorar sus capacidades en el desarrollo de una cultura de la transparencia y el acceso a la información. |
| Descripción general | Medir la existencia de elementos de planeación y evaluación, así como elementos desarrollo de una cultura para la profesionalización de la transparencia y el acceso a la información; componentes que al encontrarse en los Organismos Garantes denotan desarrollo institucional |
| Método de cálculo | Donde: se refiere al número de Organismos Garantes que cuentan con al menos un elemento de evaluación institucional. Se incluyen 4 elementos: - Elementos de evaluación del personal; - Elementos de evaluación presupuestal; - Elementos de evaluación de desempeño institucional; - Otros elementos de evaluación. se refiere al número de Organismos Garantes que reportaron contar con al menos uno de los elementos, mecanismos y/o esquemas de profesionalización. Se incluyen 13 elementos: - Servicio Civil de Carrera; - Reclutamiento, selección e inducción; - Diseño y selección de pruebas de ingreso; - Diseño curricular; - Actualización de perfiles de puesto; - Diseño y validación de competencias; - Concursos públicos y abiertos para la contratación; - Mecanismos de evaluación del desempeño; - Programas de capacitación; - Evaluación de impacto de la capacitación; - Programas de estímulos y recompensas; - Separación del servicio; - Otros. |
| Periodicidad | Anual. |
| Medios de verificación | INEGI. Censo Nacional de Transparencia, Acceso a la Información Pública y Protección de Datos Personales Federal (CNTAIPPDPF) Censo Nacional de Transparencia, Acceso a la Información Pública y Protección de Datos Personales Estatal (CNTAIPPDPE). |
| Reactivos utilizados | Variable: Ev Censo Estatal Módulo 01 Sección 04 Pregunta 36 Censo Federal Módulo 01 Sección 04 Pregunta 33 | Variable: PE Censo Estatal Módulo 01 Sección 03 Pregunta 24 Censo Federal Módulo 01 Sección 03 Pregunta 21 |
| Actores vinculados con el indicador | Organismos Garantes Locales e INAI. |
| Línea base (CNTAIPPDPF y CNTAIPPDPE 2020) | 58.50% https://www.inegi.org.mx/programas/cntaippdpf/2020/ y https:// www.inegi.org.mx/programas/cntaippdpe/2020/ |
| Meta 2022 (CNTAIPPDPF y CNTAIPPDPE 2023) | 70-80% |
| Meta 2023 (CNTAIPPDPF y CNTAIPPDPE 2024) | 81-90% |
| Meta 2024 (CNTAIPPDPF y CNTAIPPDPE 2025) | 91-100% |
| Meta 2025 (CNTAIPPDPF y CNTAIPPDPE 2026) | 100% |
| Meta 2026 (CNTAIPPDPF y CNTAIPPDPE 2027) | 100% |
| comportamiento esperado | Ascendente |
JOSÉ LUIS NAYA GONZÁLEZ, EN MI CARÁCTER DE DIRECTOR GENERAL DE VINCULACIÓN, COORDINACIÓN Y COLABORACIÓN CON ENTIDADES FEDERATIVAS, EN SUPLENCIA POR AUSENCIA DEL SECRETARIO EJECUTIVO DEL SNT, DE CONFORMIDAD AL OFICIO INAI/OCP-BLIC/130BIS/2022 Y CON FUNDAMENTO EN EL ARTÍCULO 53 DEL ESTATUTO ORGÁNICO DEL INAI, Y DE CONFORMIDAD CON EL ARTÍCULO 13, FRACCIONES VII Y VIII DEL REGLAMENTO DEL CONSEJO NACIONAL DEL SISTEMA NACIONAL DE TRANSPARENCIA, ACCESO A LA INFORMACIÓN PÚBLICA Y PROTECCIÓN DE DATOS PERSONALES; QUEDÓ APROBADA EN LO GENERAL EN LA PRIMERA SESIÓN ORDINARIA DE 2022 CELEBRADA EL 24 DE MARZO DE 2022 Y SE RESERVÓ PARA SU APROBACIÓN EN LO PARTICULAR, PARA LA PRIMERA SESIÓN EXTRAORDINARIA DE 2022, CELEBRADA EL 17 DE MAYO EL AÑO EN CURSO, DEL CONSEJO NACIONAL DEL SISTEMA NACIONAL DE TRANSPARENCIA, ACCESO A LA INFORMACIÓN PÚBLICA Y PROTECCIÓN DE DATOS PERSONALES, HABIENDO QUEDÓ APROBADO EN LO GENERAL Y EN LO PARTICULAR POR UNANIMIDAD MEDIANTE EL ACUERDO CONAIP/SNT/ACUERDO/EXT01-17/05/2022-03, DE FECHA 17 DE MAYO DE 2022. CERTIFICO: QUE EL PRESENTE DOCUMENTO FUE COTEJADO, ES FIEL Y EXACTA REPRODUCCIÓN DEL ORIGINAL QUE OBRA EN LOS ARCHIVOS DE ESTA SECRETARÍA EJECUTIVA DE SISTEMA NACIONAL DE TRANSPARENCIA, ACCESO A LA INFORMACIÓN Y PROTECCIÓN DE DATOS PERSONALES; MISMO QUE SE EXPIDE EN UN TOTAL DE 163 FOJAS ÚTILES EN LA CIUDAD DE MÉXICO, EL 20 DE MAYO DE 2022.- DOY FE.- Rúbrica.
1 Lo anterior se afirma, conforme al informe que rinde el Secretario Ejecutivo del SNT sobre Avances y acciones realizadas para la implementación de los Lineamientos para la Elaboración, Ejecución y Evaluación del Programa Nacional de Transparencia y Acceso a la Información (PROTAI) así como, para la implementación de los Lineamientos para la Elaboración, Ejecución y Evaluación del Programa Nacional de Protección de Datos Personales (PRONADATOS) con fecha Abril de 2021.
2 https://www.un.org/sustainabledevelopment/es/peace-justice/
3 http://www.dof.gob.mx/nota_detalle.php?codigo=5565599&fecha=12/07/2019
4 https://www.sesna.gob.mx/politica-nacional-anticorrupcion/
5 Con la posible invitación a colaborar a la Comisión Nacional de Derechos Humanos
6 Acuerdo Mediante el cual se aprueban el Catálogo de Sujetos Obligados y el Catálogo de Clasificación Temática de Solicitudes de Información CONAIP/SNT/ACUERDO/EXT02-14/07/2021-02.
7 La creación de alianzas y ampliación de redes de conocimiento se desarrollarán a fin de que se expanda -por ejemplo- a sujetos obligados, centros educativos u organizaciones de la sociedad civil diversas a las que se han colaborado en años anteriores; esto con el propósito de que el público objetivo de los mismos no sea el nicho consolidado al interior o al exterior del SNT.
8 CIDE-INAI, Métrica de Gobierno Abierto 2017 y 2019.
https://micrositios.inai.org.mx/gobiernoabierto/?page_id=5765
9 La creación de alianzas y ampliación de redes de conocimiento se desarrollarán a fin de que se expanda -por ejemplo- a sujetos obligados, centros educativos u organizaciones de la sociedad civil diversas a las que se han colaborado en años anteriores; esto con el propósito de que el público objetivo de los mismos no sea el nicho consolidado al interior o al exterior del SNT.
10 La creación de alianzas y ampliación de redes de conocimiento se desarrollarán a fin de que se expanda -por ejemplo- a sujetos obligados, centros educativos u organizaciones de la sociedad civil diversas a las que se han colaborado en años anteriores; esto con el propósito de que el público objetivo de los mismos no sea el nicho consolidado al interior o al exterior del SNT.
11 INEGI, Censo Nacional de Transparencia, Acceso a la Información Pública y Protección de Datos Personales (CNTAIPPDPF). https://www.inegi.org.mx/programas/cntaippdpf/
12 La creación de alianzas y ampliación de redes de conocimiento se desarrollarán a fin de que se expanda -por ejemplo- a sujetos obligados, centros educativos u organizaciones de la sociedad civil diversas a las que se han colaborado en años anteriores; esto con el propósito de que el público objetivo de los mismos no sea el nicho consolidado al interior o al exterior del SNT.
13 De Gobierno Abierto a Estado Abierto, Biblioteca de la CEPAL, información en línea, disponible en: https://biblioguias.cepal.org/EstadoAbierto/ConceptoEstadoAbierto
14 De acuerdo con Juan Manuel Casanueva, experto de Social TIC. Ver: https://barometrolac.org/ilda-edicion/informe/#policy-recommendations
15 Ver: https://barometrolac.org/ilda-edicion/informe/
16 La creación de alianzas y ampliación de redes de conocimiento se desarrollarán a fin de que se expanda -por ejemplo- a sujetos obligados, centros educativos u organizaciones de la sociedad civil diversas a las que se han colaborado en años anteriores; esto con el propósito de que el público objetivo de los mismos no sea el nicho consolidado al interior o al exterior del SNT.
17 La creación de alianzas y ampliación de redes de conocimiento se desarrollarán a fin de que se expanda -por ejemplo- a sujetos obligados, centros educativos u organizaciones de la sociedad civil diversas a las que se han colaborado en años anteriores; esto con el propósito de que el público objetivo de los mismos no sea el nicho consolidado al interior o al exterior del SNT.
18 Ver: https://www.snf.org.mx/intosaint.aspx
19 Artículo 19, Evaluación Nacional de los Organismos Garantes del Derecho a la Información 2018 (ENOGDAI 2018): https://enogdai.org/
20 INEGI, Censo Nacional de Transparencia, Acceso a la Información Pública y Protección de Datos Personales (CNTAIPPDPF). https://www.inegi.org.mx/programas/cntaippdpf/
21 Se sugiere que la Comisión Nacional de los Derechos Humanos tenga participación, a fin de que oriente, supervise y/o revise el contenido del material sobre la incorporación de los principios de igualdad y no discriminación sobre el acceso a la información pública y la transparencia, en virtud de que una de sus funciones consiste en promover el
estudio, la enseñanza y divulgación de los derechos humanos en el ámbito nacional e internacional, así como impulsar la observancia de los derechos humanos en México.
22 En casos los extremos en 2021 se observan situaciones donde no hay recursos desechados como en Aguascalientes y Chiapas o donde se alcanza hasta la mitad de recursos recibidos como en Baja California Sur, Durango, Guerrero, Michoacán, Puebla, Tlaxcala y Zacatecas
23 Artículo 142. El solicitante podrá interponer, por sí mismo o a través de su representante, de manera directa o por medios electrónicos, recurso de revisión ante el organismo garante que corresponda o ante la Unidad de Transparencia que haya conocido de la solicitud dentro de los quince días siguientes a la fecha de la notificación de la respuesta, o del vencimiento del plazo para su notificación.
En el caso de que se interponga ante la Unidad de Transparencia, ésta deberá remitir el recurso de revisión al organismo garante que corresponda a más tardar al día siguiente de haberlo recibido.
24 Artículo 143. El recurso de revisión procederá en contra de:
I. La clasificación de la información;
II. La declaración de inexistencia de información;
III. La declaración de incompetencia por el sujeto obligado;
IV. La entrega de información incompleta;
V. La entrega de información que no corresponda con lo solicitado;
VI. La falta de respuesta a una solicitud de acceso a la información dentro de los plazos establecidos en la ley;
VII. La notificación, entrega o puesta a disposición de información en una modalidad o formato distinto al solicitado;
VIII. La entrega o puesta a disposición de información en un formato incomprensible y/o no accesible para el solicitante;
IX. Los costos o tiempos de entrega de la información;
X. La falta de trámite a una solicitud;
XI. La negativa a permitir la consulta directa de la información;
XII. La falta, deficiencia o insuficiencia de la fundamentación y/o motivación en la respuesta, o
XIII. La orientación a un trámite específico.
La respuesta que den los sujetos obligados derivada de la resolución a un recurso de revisión que proceda por las causales señaladas en las fracciones III, VI, VIII, IX, X y XI es susceptible de ser impugnada de nueva cuenta, mediante recurso de revisión, ante el organismo garante correspondiente.
25 Artículo 145. Si el escrito de interposición del recurso no cumple con alguno de los requisitos establecidos en el artículo anterior y el organismo garante que corresponda no cuenta con elementos para subsanarlos, se prevendrá al recurrente, por una sola ocasión y a través del medio que haya elegido para recibir notificaciones, con el objeto de que subsane las omisiones dentro de un plazo que no podrá exceder de cinco días, contados a partir del día siguiente de la notificación de la prevención, con el apercibimiento de que, de no cumplir, se desechará el recurso de revisión.
La prevención tendrá el efecto de interrumpir el plazo que tienen los Organismos garantes para resolver el recurso, por lo que comenzará a computarse a partir del día siguiente a su desahogo.
No podrá prevenirse por el nombre que proporcione el solicitante.
26 Se sugiere que la Comisión Nacional de los Derechos Humanos tenga participación, a fin de que oriente, supervise y/o revise el contenido del material sobre la incorporación de los principios de igualdad y no discriminación sobre el acceso a la información pública y la transparencia, en virtud de que una de sus funciones consiste en promover el estudio, la enseñanza y divulgación de los derechos humanos en el ámbito nacional e internacional, así como impulsar la observancia de los derechos humanos en México.
27 La creación de alianzas y ampliación de redes de conocimiento se desarrollarán a fin de que se expanda -por ejemplo- a sujetos obligados, centros educativos u organizaciones de la sociedad civil diversas a las que se han colaborado en años anteriores; esto con el propósito de que el público objetivo de los mismos no sea el nicho consolidado al interior o al exterior del SNT.
28 La creación de alianzas y ampliación de redes de conocimiento se desarrollarán a fin de que se expanda -por ejemplo- a sujetos obligados, centros educativos u organizaciones de la sociedad civil diversas a las que se han colaborado en años anteriores; esto con el propósito de que el público objetivo de los mismos no sea el nicho consolidado al interior o al exterior del SNT.
29 La creación de alianzas y ampliación de redes de conocimiento se desarrollarán a fin de que se expanda -por ejemplo- a sujetos obligados, centros educativos u organizaciones de la sociedad civil diversas a las que se han colaborado en años anteriores; esto con el propósito de que el público objetivo de los mismos no sea el nicho consolidado al interior o al exterior del SNT.