Estados Unidos Mexicanos
Aeropuertos y Servicios Auxiliares
Subdirección de Finanzas
Resolución Núm. RES/238/2022
Esta publicación se realiza en estricto acatamiento de todos y cada uno de los resolutivos contenidos en la determinación RES/238/2022, emitida por la Comisión Reguladora de Energía.
RESOLUCIÓN DE LA COMISIÓN REGULADORA DE ENERGÍA POR LA QUE SE APRUEBA A AEROPUERTOS Y SERVICIOS AUXILIARES, TITULAR DEL PERMISO DE ALMACENAMIENTO DE PETROLÍFEROS EN AERÓDROMO NÚMERO PL/23972/ALM/AE/2022, LAS TARIFAS MÁXIMAS INICIALES APLICABLES A LA PRESTACIÓN DEL SERVICIO DE ALMACENAMIENTO DE PETROLÍFEROS
RESULTANDO
PRIMERO. Que el 11 de agosto de 2014 fueron publicadas en el Diario Oficial de la Federación (DOF) la Ley de Hidrocarburos (LH) y la Ley de los Órganos Reguladores Coordinados en Materia Energética (LORCME), así también el 31 de octubre de 2014, fue publicado el Reglamento de las actividades a se refiere el Título Tercero de la Ley de Hidrocarburos (el Reglamento), en el mismo medio de difusión oficial.
SEGUNDO. Que el 12 de enero de 2016, la Comisión Reguladora de Energía (la Comisión) publicó en el DOF la resolución número RES/899/2015, por la que se expiden las Disposiciones administrativas de carácter general en materia de acceso abierto y prestación de los servicios de transporte por ducto y almacenamiento de petrolíferos y petroquímicos (DACG); cuya disposición Séptima Transitoria y 39.1 y Apartado 7 fueron modificadas mediante la diversa resolución número RES/184/2016 y el acuerdo número A/051/2017, publicados en el DOF el 30 de marzo de 2016 y el 27 de octubre de 2017, respectivamente.
TERCERO. Que mediante la resolución número RES/1705/2018, de fecha 3 de agosto de 2018, la Comisión aprobó a Aeropuertos y Servicios Auxiliares, la lista de tarifas máximas iniciales aplicables a la prestación del servicio de almacenamiento de combustibles para aeronaves en aeródromos para 60 permisos y la metodología para el cálculo.
CUARTO. Que el 25 de junio de 2021, se publicó en el DOF el Acuerdo número A/019/2021, por el que la Comisión establece los supuestos que constituyen una actualización de permiso.
QUINTO. Que con fecha 28 de diciembre de 2021, Aeropuertos y Servicios Auxiliares presentó a la Comisión una solicitud de permiso de almacenamiento de petrolíferos en aeródromo para el Aeropuerto Internacional Felipe Ángeles (AlFA).
SEXTO. Que mediante oficio número C31/0207/2022 recibido en la Comisión el 8 de febrero de 2022, Aeropuertos y Servicios Auxiliares presentó su solicitud de aprobación de tarifas máximas iniciales para la prestación del servicio de almacenamiento de petrolíferos en aeródromo para el AlFA.
SÉPTIMO. Que el 11 de marzo de 2022, mediante la resolución número RES/207/2022, la Comisión otorgó a Aeropuertos y Servicios Auxiliares, el permiso de almacenamiento de petrolíferos en aeródromo número PL/23972/ALM/AE/2022 (el Permiso).
OCTAVO. Que el 11 de marzo de 2022, mediante oficio número UN-250/13044/2022, en prevención al escrito referido en el resultando inmediato anterior, a fin de poder iniciar la evaluación de la propuesta de tarifas máximas, la Comisión requirió a Aeropuertos y Servicios Auxiliares presentar el comprobante de pago de aprovechamientos por concepto de análisis, evaluación y expedición de las contraprestaciones, precios o tarifas, toda vez que fue omiso en presentarlo.
Asimismo, la Comisión solicitó a Aeropuertos y Servicios Auxiliares diversa información relativa a la estimación del ingreso requerido para la prestación del servicio, los costos de operación, mantenimiento y administración (costos OMA), impuestos y la tasa de rentabilidad, entre otras.
NOVENO. Que mediante oficio C31/0392/2022 recibido en la Comisión el 15 de marzo de 2022, Aeropuertos y Servicios Auxiliares presentó el comprobante de pago de aprovechamientos por el análisis, evaluación y expedición de las contraprestaciones, precios o tarifas de las actividades permisionadas, realizado el 14 de marzo de 2022, así como su propuesta tarifaria y la memoria de cálculo utilizada para la determinación de las tarifas.
DÉCIMO. Que mediante oficio número C31/0394/2022 recibido en la Comisión el 15 de marzo de 2022, Aeropuertos y Servicios Auxiliares presentó diversa información en alcance al escrito referido en el resultando Noveno a fin de dar respuesta a la prevención referida en el resultando Octavo, así como la memoria de cálculo actualizada.
CONSIDERANDO
PRIMERO. Que de acuerdo con lo dispuesto en los artículos 41, fracción I y 42 de la LORCM E, la Comisión deberá regular y promover el desarrollo eficiente de la actividad de almacenamiento de petrolíferos en aeródromos, y fomentará el desarrollo eficiente de la industria, promoverá la competencia en el sector, protegerá los intereses de los usuarios, propiciará una adecuada cobertura nacional y atenderá la confiabilidad, estabilidad y seguridad en el suministro y la prestación de los servicios.
SEGUNDO. Que de acuerdo con el artículo 4, fracción II, de la LH, el almacenamiento se define como la actividad consistente en el depósito y resguardo de los petrolíferos en depósitos e instalaciones confinados que pueden ubicarse en la superficie, el mar o el subsuelo. En adición a lo anterior, el artículo 20 del Reglamento prevé que dicha actividad comprende la recepción de petrolíferos propiedad de terceros, en los puntos de recepción de su instalación o sistema, conservarlos en depósito, resguardarlos y devolverlos al depositante o a quien éste designe, en los puntos de entrega determinados en su instalación o sistema, conforme a lo dispuesto en las disposiciones administrativas de carácter general que emita la Comisión.
TERCERO. Que de conformidad con lo dispuesto en los artículos 48, fracción II y 82 de la LH, la actividad de almacenamiento de petrolíferos en aeródromos requerirá de permiso otorgado por la Comisión, la cual expedirá disposiciones de aplicación general para la regulación de dicha actividad, en el ámbito de su competencia, incluyendo la determinación de las contraprestaciones, precios y tarifas aplicables, entre otros.
CUARTO. Que de conformidad con el artículo 82, fracción II, inciso b) de la LH, las contraprestaciones, precios y tarifas se fijarán de acuerdo a las metodologías de aplicación general para su cálculo que para tal efecto emita la Comisión, considerando la estimación de costos eficientes para producir el bien o prestar el servicio, así como la obtención de una rentabilidad razonable que refleje el costo de oportunidad del capital invertido, el costo estimado de financiamiento y los riesgos inherentes del proyecto, entre otros.
QUINTO. Que de conformidad con el artículo 77 del Reglamento, la Comisión expedirá, mediante disposiciones administrativas de carácter general, la regulación de las contraprestaciones, precios o tarifas para las actividades permisionadas, con excepción de las actividades de comercialización y expendio al público de gas licuado de petróleo, gasolina y diésel, cuyos precios se determinarán conforme a las condiciones de mercado, Asimismo, la Comisión podrá aplicar las medidas a que se refiere el artículo 83 de la LH, en particular en la determinación de contraprestaciones, precios o tarifas, la Comisión empleará las herramientas de evaluación que estime necesarias para lograr su objetivos regulatorios, para lo cual podrá realizar ejercicios comparativos y aplicar los ajustes que estime oportunos, así como emplear indicadores de desempeño para fines de publicidad.
SEXTO. Que, de conformidad con el Transitorio Tercero del Reglamento, la Comisión podrá aplicar las disposiciones jurídicas en materia de otorgamiento y regulación de permisos, incluyendo las disposiciones administrativas de carácter general y demás disposiciones emitidas por la Comisión que se encuentren vigentes, en lo que no se opongan a la LH y al Reglamento, hasta en tanto se expiden las disposiciones administrativas de carácter general y demás ordenamientos correspondientes.
SÉPTIMO. Que, la disposición 38.1 de las DACG establece, entre otros aspectos que la regulación de tarifas por la prestación de los servicios tomará en cuenta la naturaleza de la actividad y de los proyectos en cuestión, así como la aplicación de dicha regulación a través de mecanismos de mercado que fomentan el
desarrollo eficiente de la industria.
OCTAVO. Que, adicionalmente, la disposición 39.2 de las DACG, establece que la Comisión puede resolver que determinados permisionarios de almacenamiento se sujeten a una regulación más estricta cuando el servicio sea prestado de manera predominante por un almacenista o por un número limitado de permisionarios.
NOVENO. Que, de conformidad con el considerando Noveno de la resolución número RES/1705/2018, la experiencia internacional muestra que el servicio de almacenamiento de combustible de aviación en aeródromos es brindado preponderantemente por un solo proveedor en cada aeródromo, en este sentido la Comisión considera que Aeropuertos y Servicios Auxiliares es un proveedor predominante que debe estar sujeto a una regulación más estricta, de conformidad con la fracción I de las DACG.
DÉCIMO. Que, con base en el escrito referido en el considerando Sexto, el Permisionario propuso el siguiente pliego tarifario, conforme a la tabla siguiente:
Tabla 1. Lista de Tarifas Máximas propuesta
| Tipo de Cargo | Unidades | Tarifa |
| Tarifa Base | pesos/m3 | 166.73 |
| Tarifa Hidrante | pesos/m3 | 11.58 |
Cifras expresadas en pesos de diciembre de 2021.
UNDÉCIMO. Que, la información que Aeropuertos y Servicios Auxiliares presentó en los escritos referidos en los resultandos Noveno y Décimo contempla, en base a la metodología establecida en la resolución número RES/1705/2018, la estimación del ingreso requerido para la prestación del servicio por un periodo de 25 años, considerando una base contable de activos, costos OMA, impuestos y una tasa de rentabilidad. Asimismo, a partir del ingreso requerido, se presenta un esquema tarifario, considerando la capacidad y demanda estimada de combustible, para determinar las tarifas del servicio de almacenamiento de petrolíferos en aeródromos a partir de un modelo de flujo de efectivo descontado. El esquema tarifario presentado por Aeropuertos y Servicios Auxiliares incluye:
1. Tarifa por almacenamiento. Corresponde a una tarifa acorde con la modalidad de uso común en el almacenamiento, consistente en un cargo por el volumen almacenado y entregado.
2. Cargo por entrega a través de hidrante. Representa un cargo adicional a la tarifa por almacenamiento y se cobrará únicamente por aquel volumen que sea entregado a través de la red de hidrantes de los aeródromos.
DUODÉCIMO. Que para dar cumplimiento al artículo 34 de la LORCME y 9 y 83 del Reglamento, Aeropuertos y Servicios Auxiliares realizó el pago de aprovechamientos por el análisis, evaluación y expedición de las contra prestaciones, precios o tarifas de las actividades permisionadas en materia de petrolíferos, de conformidad con el monto establecido en el Oficio No. 349-B-086, emitido por la Unidad de Política de Ingresos No Tributarios de la Subsecretaría de Ingresos de la Secretaría de Hacienda y Crédito Público, el 9 de marzo de 2021, y ajustado conforme al factor de actualización establecido en el artículo 10 de la Ley de Ingresos de la Federación para el Ejercicio Fiscal de 2022, publicada en el DOF el 12 de noviembre de 2021, del cual la Comisión tuvo el formato electrónico del recibo de pago.
DECIMOTERCERO. Que Aeropuertos y Servicios Auxiliares como parte de su propuesta tarifaria presentó el cálculo de costos de capital (ROE) de su proyecto, así como la rentabilidad 10.26%, basado en la metodología del Capital Asset Pricing Model (CAPM), de acuerdo con la metodología establecida en el Anexo IV aprobada mediante la RES/1705/2018.
DECIMOCUARTO. Que Aeropuertos y Servicios Auxiliares estimó la capacidad eficiente necesaria para la prestación del servicio, con base en la metodología establecida en el Anexo IV aprobada mediante la RES/1705/2018 y la actualiza con los siguientes criterios:
· 50% de la capacidad requerida para satisfacer el Acuerdo que modifica al diverso por el que se emite la Política Pública de Almacenamiento Mínimo de Petrolíferos, publicado por la Secretaría de Energía (SENER) en el DOF del 6 de diciembre de 2019, correspondiente a 3 días de almacenamiento;
· 70% de la capacidad requerida para retener la demanda promedio durante el periodo del 2018 al 2020 del Aeropuerto Internacional de la Ciudad de México (AICM) proyectada a 15 años con la tasa de crecimiento anual de las ventas de turbosina estimada por Aeropuertos y Servicios Auxiliares para el periodo 2018-2033. La proyección de Aeropuertos y Servicios Auxiliares de las ventas totales de turbosina considera un crecimiento promedio de 3.04% por año en ese periodo.
· Las tarifas para el servicio de almacenamiento de petrolíferos en aeródromos son volumétricas y se encuentran expresadas en pesos de diciembre de 2020.
DECIMOQUINTO. Que Aeropuertos y Servicios Auxiliares, de acuerdo con la metodología establecida en el Anexo IV aprobada mediante la RES/1705/2018, determinó los costos OMA y el valor de los activos
amortizados a 25 años considerando parámetros observados en el mercado de almacenamiento a nivel Internacional.
DECIMOSEXTO. Que Aeropuertos y Servicios Auxiliares está sujeto al pago de Derechos de Uso de Aeropuerto, el cual es de 5% sobre la suma de los ingresos brutos por servicios aeroportuarios, complementarios y comerciales de ASA, de acuerdo con los artículos 219 y 220 de la Ley Federal de Derechos, por lo que el pago de dicho derecho se consideró para el cálculo de las tarifas de Aeropuertos y Servicios Auxiliares.
DECIMOSÉPTIMO. Que tomando en cuenta que la entrega a través de hidrante constituye un servicio complementario al servicio de almacenamiento, cuyo costo resulta marginal respecto al de este último y, con base en el considerando Decimoctavo de la RES/1705/2018, la tarifa por uso de hidrante propuesta por Aeropuertos y Servicios Auxiliares es de diez pesos por metro cúbico de combustible entregando por este medio.
DECIMOCTAVO. Que mediante oficio número 600-04-04-10703, del 22 de marzo de 2013, el Sistema de Administración Tributaria confirmó que a Aeropuertos y Servicios Auxiliares, por tratarse de un Organismo descentralizado, que es parte integrante de la Administración Pública Paraestatal sujeto a control Presupuestario, le resultaba aplicable el régimen establecido en la Ley de Ingresos de la Federación para el Ejercicio Fiscal 2013, de conformidad con lo dispuesto en su artículo 14 y demás disposiciones fiscales aplicables y por ende no es contribuyente del Impuesto Sobre la Renta.
DECIMONOVENO. Que, con base en la información referida en los considerandos Decimotercero a Decimoctavo, la Comisión considera apropiados los ajustes, quedando el siguiente pliego tarifario, conforme a la tabla siguiente:
Tabla 2. Lista de Tarifas Máximas ajustada
| Tipo de Cargo | Unidades | Tarifa |
| Tarifa Base | pesos/m3 | 128.43 |
| Tarifa Hidrante | pesos/m3 | 10.00 |
Cifras expresadas en pesos de diciembre de 2020.
VIGÉSIMO. Que las tarifas máximas a las que hace referencia el considerando inmediato anterior podrán ser ajustadas anualmente de acuerdo con el índice de inflación a solicitud expresa de Aeropuertos y Servicios Auxiliares. El cálculo, de conformidad con la metodología establecida en el Anexo III de la RES/1705/2018 y con el acuerdo A/019/2021 referido en el resultando Cuarto, deberá ser sometido a la Comisión para su revisión y en su caso, aprobación. El factor de ajuste por inflación FAI, se determinará durante el mes de enero o febrero de cada año y siempre que sus tarifas estén vigentes, de la siguiente manera:
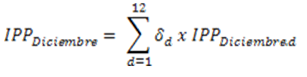
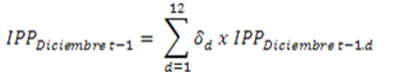
FAI a= IPP Diciembre t-1
IPP Diciembre
Dónde:
IPP diciembre es un índice de precios al productor que se calculará para el mes de diciembre del año base como un promedio ponderado de doce índices seleccionados de Precios Productor, Producción total y Clasificación por origen (SCIAN 2007) del Instituto Nacional de Estadística y Geografía (INEGI), de la siguiente manera:
El subíndice d expresa, cada una de las once actividades seleccionadas de la industria manufacturera, así como el sector de la construcción.
IPP Diciembre t-1 corresponde al índice de precios al productor de diciembre del año previo a aquel en que Aeropuertos y Servicios Auxiliares solicite la actualización de sus tarifas, y se calculará de acuerdo con la siguiente fórmula:
Las actividades y el sector seleccionado, junto con los valores de sus correspondientes coeficientes son:
Tabla 3. Índices de precios
| Código SCIAN1 | Actividad | d |
| 321 | Industria de la madera | 0.012 |
| 325 | Industria química | 0.112 |
| 326 | Industria del plástico y del hule | 0.034 |
| 327 | Fabricación de productos a base de minerales no metálicos | 0.045 |
| 331 | Industrias metálicas básicas | 0.096 |
| 332 | Fabricación de productos metálicos | 0.034 |
| 333 | Fabricación de maquinaria y equipo | 0.032 |
| 334 | Fabricación de equipo de computación, medición y de otros equipos, componentes y accesorios electrónicos | 0.126 |
| 335 | Fabricación de accesorios, aparatos eléctricos y equipo de generación de energía eléctrica | 0.053 |
| 336 | Fabricación de equipo de transporte | 0.204 |
| 339 | Otras industrias manufactureras | 0.026 |
| 23 | Construcción | 0.227 |
NOTA: Los índices de precios, denotados 1PPDiciembre eI PPDiciembre t-I, serán los publicados por el INEGI clasificación por origen de la producción total, con base junio de 2012 igual a 100, o los que los sustituyan.
VIGÉSIMO PRIMERO. Que a fin de que la lista de tarifas máximas referida en el considerando Decimonoveno se encuentre expresada en pesos de diciembre de 2021, la Comisión considera ajustarla de acuerdo con la metodología descrita en el considerando inmediato anterior, conforme a la siguiente tabla:
Tabla 4. Lista de Tarifas Máximas aplicable
| Tipo de Cargo | Unidades | Tarifa |
| Tarifa Base | pesos/m3 | 140.97 |
| Tarifa Hidrante | pesos/m3 | 10.98 |
Cifras expresadas en pesos de diciembre de 2021.
Por lo expuesto y con fundamento en los artículos 28, párrafo octavo de la Constitución Política de los Estados Unidos Mexicanos; 2, fracción III y 43 Ter, de la Ley Orgánica de la Administración Pública Federal; 1, 2, fracción II, 3, 4, primer párrafo, 5, 22, fracciones I, II, III, X, XXIV, XXVI, incisos a) y e), y XXVII, 27, 41 fracción I y 42 de la Ley de los Órganos Reguladores Coordinados en Materia Energética; 1,2, fracción IV, 5, párrafo segundo, 48 fracción II, 70, 81, fracciones I inciso a), y VI, 82, 95 y 131 de la Ley de Hidrocarburos; 2, 57, fracción I, de la Ley Federal de Procedimiento Administrativo; 1, 3, 5, fracción I, 6, 7, 20, 21, 22, 77, 78 y 83 del Reglamento de las Actividades a las que se refiere el Título Tercero de la Ley de Hidrocarburos y 1, 4, 7, fracción I, 12, 16, 18, fracciones I y XI del Reglamento Interno de la Comisión Reguladora de Energía y las disposiciones 39.1 y 39.2 de las Disposiciones Administrativas de Carácter General en materia de acceso abierto y prestación de los servicios de transporte por ducto y almacenamiento de petrolíferos y petroquímicos, la Comisión Reguladora de Energía:
RESUELVE
PRIMERO. Se aprueba a Aeropuertos y Servicios Auxiliares, titular del permiso de almacenamiento de petrolíferos en aeródromos número PL/23972/ALM/AE/2022, la lista de tarifas máximas conforme al considerando Vigésimo primero para el primer quinquenio de operaciones, el cual abarca el periodo comprendido del 21 de marzo de 2022 al 20 de marzo de 2027, misma que se encuentra expresada en pesos de diciembre de 2021.
SEGUNDO. Aeropuertos y Servicios Auxiliares, deberá publicar de manera permanente en su boletín electrónico las tarifas máximas iniciales aprobadas por la Comisión referidas en el resolutivo Primero, a partir del día hábil siguiente a aquel en que surta efectos la notificación de dicha aprobación, indicando que el pago de la tarifa se realizará en pesos, conforme a lo establecido en el resolutivo anterior. Una vez publicadas, tendrá la obligación, dentro de los primeros cinco días hábiles siguientes, de informar a la Comisión que las tarifas máximas aprobadas a las que hace referencia el Resolutivo Primero se encuentran disponibles en su boletín electrónico. Las tarifas máximas iniciales aprobadas por la Comisión referidas en el resolutivo Primero entrarán en vigor a más tardar cinco días hábiles después de que Aeropuertos y Servicios Auxiliares haya realizado la publicación de éstas en su Boletín Electrónico.
TERCERO. Las tarifas mencionadas en el resolutivo Primero se pagarán en pesos mexicanos, de conformidad con el artículo Primero de la Ley Monetaria de los Estados Unidos Mexicanos.
CUARTO. Aeropuertos y Servicios Auxiliares deberá de publicar de manera permanente en su Boletín Electrónico, las tarifas máximas ajustadas por inflación, a partir del día hábil siguiente a aquel en que surta efectos la notificación de la aprobación de dicho ajuste. Las tarifas máximas ajustadas por inflación aprobadas entrarán en vigor a más tardar cinco días hábiles después de que se haya realizado la publicación de éstas en el Boletín Electrónico. Una vez publicadas, Aeropuertos y Servicios Auxiliares tendrá la obligación, dentro de los primeros cinco días hábiles siguientes, de informar a la Comisión de que se encuentran disponibles en su boletín electrónico.
QUINTO. Se aprueba a Aeropuertos y Servicios Auxiliares, la aplicación de la metodología de ajuste anual de tarifas por inflación conforme al considerando Vigésimo durante el primer quinquenio de operaciones. Aeropuertos y Servicios Auxiliares, podrá solicitar, durante el mes de enero o febrero de cada año del quinquenio, el ajuste anual por inflación y tipo de cambio de las tarifas aprobadas mediante la presente resolución. El derecho a solicitar el ajuste por el índice de inflación debe ejercitarse de forma anual y pre incluye al finalizar el mes de febrero de cada año. La falta de presentación de la solicitud de ajuste por el índice de inflación se entenderá como la voluntad de Aeropuertos y Servicios Auxiliares para conservar las tarifas y cargos máximos autorizados para el año anterior, y bajo ningún supuesto se autorizará el
reconocimiento de inflación acumulada para un periodo superior a doce meses.
SEXTO. Notifíquese la presente resolución a Aeropuertos y Servicios Auxiliares, y hágase de su conocimiento que el presente acto administrativo puede ser impugnado a través del juicio de amparo indirecto, conforme a lo dispuesto por el artículo 27 de la Ley de los Órganos Reguladores Coordinados en Materia Energética y que el expediente respectivo se encuentra y puede ser consultado en las oficinas de la Comisión Reguladora de Energía, ubicadas en Boulevard Adolfo López Mateos 172, Col. Merced Gómez, C.P. 03930, Benito Juárez, Ciudad de México.
SÉPTIMO. Inscríbase la presente resolución bajo el número RES/238/2022, en el registro a que se refieren los artículos 22, fracción XXVI, y 25, fracción X, de la Ley de los Órganos Reguladores Coordinados en Materia Energética y 4 y 16 del Reglamento Interno de la Comisión Reguladora de Energía.
Ciudad de México, a 28 de marzo de 2022.
Presidente
Leopoldo Vicente Mélchi Garcia
| Comisionada Norma Leticia Campos Aragón | Comisionado Hermilo Ceja Lucas |
| Comisionada Guadalupe Escalante Benítez | Comisionado Luis Linares Zapata |
Comisionado
Luis Guillermo Pineda Bernal
Ciudad de México, a 28 de marzo de 2022.
Subdirectora de Finanzas
C.P. Erika Cruz Rivera
Rúbrica.
(R.- 519696)