AVISO de medición y deslinde del predio de presunta propiedad nacional denominado La Gran Esperanza, con una superficie aproximada de 9,100-79-52.892 hectáreas, ubicado en el Municipio de Ahome, Sin.

Al margen un sello con el Escudo Nacional, que dice: Estados Unidos Mexicanos.- DESARROLLO TERRITORIAL.- Secretaría de Desarrollo Agrario, Territorial y Urbano.

AVISO DE DESLINDE
AVISO DE MEDICIÓN Y DESLINDE DEL PREDIO DE PRESUNTA PROPIEDAD NACIONAL DENOMINADO LA GRAN ESPERANZA, CON UNA SUPERFICIE APROXIMADA DE 9,100-79-52.892 HECTÁREAS, UBICADO EN EL MUNICIPIO DE AHOME, ESTADO DE SINALOA.
La Dirección General de Ordenamiento de la Propiedad Rural, de la Secretaría de Desarrollo Agrario, Territorial y Urbano, mediante oficio núm. II210.DGOPR.ORG.03087.2022, de fecha 14 de marzo de 2022, autorizó el deslinde y medición del predio presuntamente propiedad de la nación, arriba mencionado y comisionó a Alberto Fuentes López, Hermelindo Carrizosa Velasco, Bersain Santiago Calvo, Luis Octavio Chávez Maldonado, Juan Ramos García, Briseyda Rodríguez Tinoco y Laura Nayeli Sevilla Miguel a llevar a cabo la medición y deslinde del citado predio, se nombra como Comisionado General a Alberto Fuentes López, por lo que, en cumplimiento de los artículos 14 Constitucional, 3 de la Ley Federal de Procedimiento Administrativo, 160 de la Ley Agraria; 101, 104 y 105 Fracción I del Reglamento de la Ley Agraria en Materia de Ordenamiento de la Propiedad Rural, se publica, por una sola vez, en el Diario Oficial de la Federación, en el Periódico Oficial del Gobierno del Estado de Sinaloa y en el periódico de mayor circulación de la entidad federativa de que se trate con efectos de notificación a los propietarios, poseedores, colindantes y todo aquel que considere que los trabajos de deslinde lo pudiesen afectar, a efecto de que dentro del plazo de 30 días hábiles contados a partir de la publicación del presente Aviso en el Diario Oficial de la Federación, comparezcan ante el suscrito para exponer lo que a su derecho convenga, así como para presentar la documentación que fundamente su dicho en copia certificada o en copia simple, acompañada del documento original para su cotejo, en términos de la fracción II del artículo 15-A de la Ley Federal de Procedimiento Administrativo. Asimismo, en su comparecencia deberán señalar domicilio cierto para oír y recibir notificaciones en la Ciudad en la que se ubica la Oficina de Representación Estatal de la Secretaría de Desarrollo Agrario, Territorial y Urbano en el Estado de Sinaloa, con el apercibimiento de que, de no hacerlo, se fijará la notificación en la puerta de la sede de dicha representación. Lo anterior, en términos de los artículos 305, 306 y 316 del Código Federal de Procedimientos Civiles.
A las personas que no presenten sus documentos dentro del plazo señalado, o que habiendo sido notificadas a presenciar el deslinde no concurran al mismo, se les tendrá como conformes con sus resultados.
El plano relativo al terreno que se va a deslindar, se encuentra a la vista de cualquier interesado en la Oficina de Representación Estatal de la Secretaría de Desarrollo Agrario, Territorial y Urbano en el Estado de Sinaloa, ubicada en Av. Paseo Niños Héroes No. 684 Oriente, Col. Centro, C.P. 8000, Culiacán, Sinaloa.
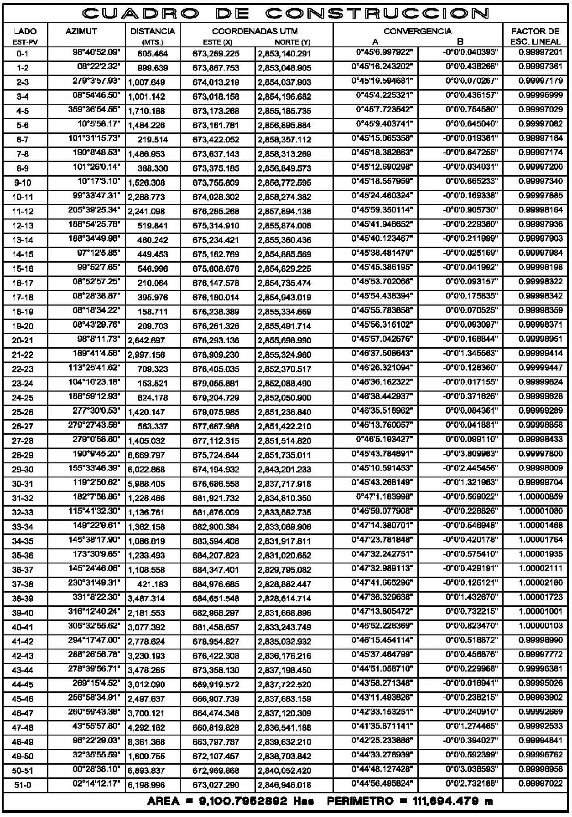
Las medidas, colindancias, coordenadas de ubicación geográfica (latitud norte, longitud oeste al centro del predio) y cuadro de construcción son los siguientes:
Al Norte: en 17,624.659 metros con terrenos nacionales y Ejido Cobayme.
Al Sur: en 27,864.373 metros con Zona Federal del Mar de Cortés.
Al Este: en 32,050.018 metros con Zona Federal del Mar de Cortés, Ejido Primero de Mayo No. 2 y Ejido Bachomobampo.
Al Oeste: en 34,155.609 metros con terrenos nacionales, Ejido Campo Pesquero el Colorado y Zona Federal del Mar de Cortés.
COORDENADAS:
Latitud norte: 26° 42' 21.56''
Longitud oeste: 109° 15' 59.13''
 

Se hace saber que dicho aviso con el croquis respectivo se fijará a su vez, en los parajes cercanos al predio.
Ciudad de México, a catorce de marzo de dos mil veintidós.- El Comisionado General, Alberto Fuentes López.- Rúbrica.