ACUERDO mediante el cual se aprueba el Manual de Percepciones de las personas servidoras públicas del Instituto Nacional de Transparencia, Acceso a la Información y Protección de Datos Personales para el ejercicio fiscal dos mil veintidós.
Al margen un sello con el Escudo Nacional, que dice: Estados Unidos Mexicanos.- Instituto Nacional de Transparencia, Acceso a la Información y Protección de Datos Personales.
ACUERDO ACT-PUB/23/02/2022.09
ACUERDO MEDIANTE EL CUAL SE APRUEBA EL MANUAL DE PERCEPCIONES DE LAS PERSONAS SERVIDORAS PÚBLICAS DEL INSTITUTO NACIONAL DE TRANSPARENCIA, ACCESO A LA INFORMACIÓN Y PROTECCIÓN DE DATOS PERSONALES PARA EL EJERCICIO FISCAL DOS MIL VEINTIDÓS.
Con fundamento en los artículos 6°, apartado A, fracción VIII y 127 de la Constitución Política de los Estados Unidos Mexicanos; 20 y Anexo 23.12 del Decreto de Presupuesto de Egresos de la Federación para el ejercicio fiscal dos mil veintiuno; 2, fracciones XIII y XV, 5, fracción I, inciso b), 64, fracciones I a IV y 66 de la Ley Federal de Presupuesto y Responsabilidad Hacendaria; 29, fracción I y 31, fracción XII de la Ley Federal de Transparencia y Acceso a la Información Pública; 6, 8, 12, fracciones I, XIV, XXXIV, XXXV, 16, fracción VI, 18, fracciones XIV, XVI y XXVI y 30, fracción II del Estatuto Orgánico del Instituto Nacional de Transparencia, Acceso a la Información y Protección de Datos Personales, el Pleno del Instituto Nacional de Transparencia, Acceso a la Información y Protección de Datos Personales; y conforme a las siguientes:
CONSIDERACIONES
1. Que la Constitución Política de los Estados Unidos Mexicanos dispone en su artículo 127 que los servidores públicos de los organismos autónomos recibirán una remuneración adecuada e irrenunciable por el desempeño de su función, empleo, cargo o comisión, que deberá ser proporcional a sus responsabilidades.
2. Que de conformidad con el artículo 2°, fracciones XIII y XV de la Ley Federal de Presupuesto y Responsabilidad Hacendaria (LFPRH) se entiende como ejecutores de gasto a los entes autónomos a los que se asignan recursos del Presupuesto de Egresos a través de los ramos autónomos, los cuales se constituyen como personas de derecho público de carácter federal con autonomía en el ejercicio de sus funciones y en su administración, creadas por disposición expresa de la Constitución Política de los Estados Unidos Mexicanos.
3. Que con fundamento en lo dispuesto en el artículo 5, fracción I, inciso b), de la LFPRH, la autonomía presupuestaria otorga al Instituto la facultad para ejercer su presupuesto con base en los principios de eficiencia, eficacia y transparencia, sin sujetarse a las disposiciones generales emitidas por las Secretarías de Hacienda y Crédito Público y de la Función Pública.
4. Que la propia LFPRH establece en el artículo 64 que el gasto en servicios personales, aprobado en el Presupuesto de Egresos, comprende la totalidad de recursos para cubrir las remuneraciones que constitucional y legalmente correspondan al personal de los ejecutores de gasto por concepto de percepciones ordinarias y extraordinarias, las aportaciones de seguridad social, así como las primas de los seguros que se contratan a favor de las servidoras y servidores públicos y demás asignaciones autorizadas en los términos de las normas aplicables y las obligaciones fiscales que generen dichas remuneraciones. Y que de conformidad con lo señalado en el artículo 66, primer párrafo, los entes autónomos por conducto de sus respectivas unidades de administración emitirán sus manuales de remuneraciones, incluyendo el tabulador y las reglas correspondientes.
5. Que el veintinueve de noviembre de dos mil veintiuno, el Pleno de la Cámara de Diputados publicó en el Diario Oficial de la Federación (DOF), el Presupuesto de Egresos de la Federación para el ejercicio fiscal dos mil veintidós, cuya vigencia inicia el primero de enero de dos mil veintidós, y dispone en su artículo 20, que los entes autónomos deberán publicar en el referido Diario, a más tardar el último día hábil del mes de febrero, el manual que regule las remuneraciones para los servidores públicos a su servicio, en el que se proporcione la información completa y detallada relativa a las remuneraciones que se cubran para cada uno de los niveles jerárquicos, así como la estructura ocupacional con la integración de los recursos aprobados en el Capítulo de Servicios Personales y la desagregación de su plantilla total.
6. Que el artículo Vigésimo Primero Transitorio del Presupuesto de Egresos de la Federación para el
ejercicio fiscal 2022, establece que los ejecutores de gasto deberán realizar las acciones conducentes y emitir las disposiciones específicas conducentes para que sus percepciones y prestaciones se sujeten, a partir del 1o. de enero de 2022, a los límites máximos de percepciones y de prestaciones previstos en el Anexo 23 del Presupuesto.
7. Que el Manual de percepciones de las personas servidoras públicas del Instituto Nacional de Transparencia, Acceso a la Información y Protección de Datos Personales para el Ejercicio Fiscal dos mil veintidós (Manual de Percepciones), el cual forma parte del presente Acuerdo en documento anexo, ha sido elaborado por la Dirección General de Administración, observando los principios de economía, eficiencia, eficacia, honradez, legalidad y transparencia en la gestión pública en el establecimiento de las remuneraciones y prestaciones a las personas servidoras públicas, de conformidad con las atribuciones que le confiere el artículo 30, fracción II del Estatuto Orgánico, como la unidad administrativa encargada de vigilar el cumplimiento de la normatividad aplicable para la adecuada administración de los recursos humanos, financieros y materiales del Instituto.
8. Que el presente Manual de Percepciones formulado con base en los recursos autorizados en materia de servicios personales, de conformidad con lo dispuesto en el Anexo 23.12 del Presupuesto de Egresos de la Federación para el ejercicio fiscal dos mil veintidós, contiene los rubros temáticos que se señalan a continuación:
I. Objeto;
II. Definiciones;
III. Ámbito de aplicación;
IV. Disposiciones generales;
V. Sistema de remuneraciones;
VI. Percepciones ordinarias sueldos y salarios;
VII. Prestaciones;
VIII. Percepciones extraordinarias;
IX. Transparencia;
X. Interpretación, y
XI. Vigilancia.
Asimismo, contiene los siguientes anexos:
Anexo 1.
Tabulador de percepciones brutas y netas mensuales para las personas servidoras públicas del Instituto Nacional de Transparencia, Acceso a la Información y Protección de Datos Personales para el ejercicio 2022.
Anexo 2.
Límites de percepción ordinaria total para las personas servidoras públicas del Instituto Nacional de Transparencia, Acceso a la Información y Protección de Datos Personales para el ejercicio 2022.
Anexo 3.
Seguros de personas (De Vida y de Retiro).
Anexo 4A.
Sumas aseguradas del seguro de retiro para las personas trabajadoras que eligieron el sistema de pensiones basado en cuentas individuales.
Anexo 4B.
Sumas aseguradas del seguro de retiro para las personas trabajadoras que eligieron el sistema de pensiones establecido en el artículo Décimo Transitorio de la Ley del Instituto de Seguridad y Servicios Sociales de los Trabajadores del Estado.
Anexo 5.
Estructura ocupacional del Instituto Nacional de Transparencia, Acceso a la Información y Protección de Datos Personales 2022.
Anexo 6.
Tabulador para personas físicas contratadas por el Instituto Nacional de Transparencia, Acceso a la Información y Protección de Datos Personales para prestar sus servicios profesionales bajo el régimen de honorarios asimilados a salarios 2022.
9. Presentación, discusión y, en su caso, aprobación del proyecto de acuerdo mediante el cual se somete a consideración del Pleno de este Instituto, aprobar el Manual de percepciones de las personas servidoras públicas del Instituto Nacional de Transparencia, Acceso a la Información y Protección de Datos Personales para el ejercicio fiscal dos mil veintidós.
Por lo antes expuesto, en las consideraciones de hecho y de derecho, el Pleno del Instituto Nacional de Transparencia, Acceso a la Información y Protección de Datos Personales, expide el siguiente:
ACUERDO
PRIMERO. Se aprueba el Manual de percepciones de las personas servidoras públicas del Instituto Nacional de Transparencia, Acceso a la Información y Protección de Datos Personales para el ejercicio fiscal dos mil veintidós, de conformidad con el documento que se adjunta y que forma parte del presente Acuerdo.
SEGUNDO. En cumplimiento al artículo Vigésimo Primero Transitorio del Presupuesto de Egresos de la Federación para el ejercicio fiscal 2022, el Manual de percepciones de las personas servidoras públicas del Instituto Nacional de Transparencia, Acceso a la Información y Protección de Datos Personales para el Ejercicio Fiscal dos mil veintidós, será vigente a partir del primero de enero del presente ejercicio fiscal.
Lo anterior con independencia de su formal publicación en el Diario Oficial de la Federación.
TERCERO. Se abroga el Acuerdo ACT-PUB/19/02/2020.06, relativo a la aprobación del Manual de percepciones de los servidores públicos del Instituto Nacional de Transparencia, Acceso a la Información y Protección de Datos Personales para el Ejercicio Fiscal dos mil veintiuno.
CUARTO. Se instruye a la Dirección General de Administración para que dé cumplimiento a lo dispuesto en el presente Acuerdo.
QUINTO. Se instruye a la Dirección General de Asuntos Jurídicos para que realice las gestiones necesarias a efecto de que, a más tardar el último día hábil del mes de febrero de 2022, se publique en el Diario Oficial de la Federación el presente Acuerdo y su Anexo.
SEXTO. Se instruye a la Secretaría Técnica del Pleno para que, por conducto de la Dirección General de Atención al Pleno, realice las gestiones necesarias a efecto de que el presente Acuerdo y su anexo se publiquen en el portal de internet del INAI.
SÉPTIMO. Se instruye a la Secretaria Técnica del Pleno que, con fundamento en lo dispuesto en el artículo 45, fracción IV, de la Ley Federal de Transparencia y Acceso a la Información Pública, expida certificación del presente Acuerdo, para agilizar su cumplimiento.
OCTAVO. El presente Acuerdo y su anexo entrarán en vigor al día siguiente de su publicación en el Diario Oficial de la Federación.
Así lo acordaron, por unanimidad de las Comisionadas y de los Comisionados del Pleno del Instituto Nacional de Transparencia, Acceso a la Información y Protección de Datos Personales, Francisco Javier Acuna Llamas, Adrián Alcalá Méndez, Norma Julieta del Río Venegas, Oscar Mauricio Guerra Ford, Rosendoevgueni Monterrey Chepov, Josefina Román Vergara, y Blanca Lilia Ibarra Cadena, en sesión ordinaria celebrada el veintitrés de febrero de dos mil veintidós, ante Ana Yadira Alarcón Márquez, Secretaria Técnica del Pleno.
Comisionada Presidenta, Blanca Lilia Ibarra Cadena.- Comisionados: Francisco Javier Acuña Llamas, Adrián Alcalá Méndez, Norma Julieta Del Río Venegas, Oscar Mauricio Guerra Ford, Rosendoevgueni Monterrey Chepov, Josefina Román Vergara.- Secretaria Técnica del Pleno, Ana Yadira Alarcón
Márquez.
ANEXO DEL ACUERDO ACT-PUB/23/02/2022.09
DIRECCIÓN GENERAL DE ADMINISTRACIÓN
MANUAL DE PERCEPCIONES DE LAS PERSONAS SERVIDORAS PÚBLICAS DEL INSTITUTO NACIONAL DE TRANSPARENCIA, ACCESO A LA INFORMACIÓN Y PROTECCIÓN DE DATOS PERSONALES PARA EL EJERCICIO FISCAL DOS MIL VEINTIDÓS.
I. OBJETO
Artículo 1.- El presente ordenamiento establece las disposiciones generales para regular el otorgamiento de las remuneraciones y prestaciones de las personas servidoras públicas del Instituto Nacional de Transparencia, Acceso a la Información y Protección de Datos Personales.
II. DEFINICIONES
Artículo 2.- Para efectos de este ordenamiento, las definiciones previstas en el artículo 2 de la Ley Federal de Presupuesto y Responsabilidad Hacendaria serán aplicables, conjuntamente con las siguientes:
I. Comisionadas o Comisionados: Las personas integrantes del Pleno del Instituto Nacional de Transparencia, Acceso a la Información y Protección de Datos Personales;
II. Compensación Garantizada: Los importes en favor de las personas servidoras públicas que forman parte de sus remuneraciones ordinarias, se consignan en el tabulador de percepciones, son complementarias del sueldo base tabular y conforman al sueldo integrado;
III. Compensaciones: Las remuneraciones complementarias al sueldo integrado que se cubren a las personas servidoras públicas y se consideran en el rubro de sueldos y salarios. Estas remuneraciones no forman parte de la base de cálculo para determinar las prestaciones básicas, ni las cuotas y aportaciones de seguridad social, salvo aquellas que en forma expresa determinen las disposiciones aplicables. Dichos conceptos de pago no podrán formar parte de la base de cálculo para efectos de indemnización o liquidación, con excepción de los supuestos específicos que establezca el Presupuesto de Egresos;
IV. Desarrollo Humano: La Dirección de Desarrollo Humano y Organizacional, adscrita a la Dirección General de Administración del Instituto Nacional de Transparencia, Acceso a la Información y Protección de Datos Personales;
V. Dirección General: Dirección General de Administración del Instituto;
VI. Grado: El valor que se le da a un puesto de un mismo grupo en el Tabulador de Percepciones;
VII. Grupo: El conjunto de puestos que determinan la jerarquía o rango en el Tabulador de Percepciones, independientemente de la denominación del puesto. Los grupos que existen en el Instituto son mando superior; mando medio, y apoyo operativo;
VIII. Estructura Ocupacional: El ordenamiento jerárquico de plazas que refleja el número total de éstas, autorizadas por grupo, grado y nivel, así como el desglose de sus percepciones;
IX. Estructura Orgánica: Es la forma en que se encuentran ordenadas las unidades administrativas que integran el Instituto Nacional de Transparencia, Acceso a la Información y Protección de datos Personales, en el que se plasman las jerarquías, atribuciones, división de funciones y delimita responsabilidades;
X. Instituto: El Instituto Nacional de Transparencia, Acceso a la Información y Protección de Datos Personales;
XI. ISSSTE: El Instituto de Seguridad y Servicios Sociales de los Trabajadores del Estado;
XII. Ley del ISSSTE: La Ley del Instituto de Seguridad y Servicios Sociales de los Trabajadores del Estado;
XIII. Ley Federal de los Trabajadores al Servicio del Estado: La Ley Federal de los Trabajadores al Servicio del Estado, Reglamentaria del Apartado B del artículo 123 Constitucional;
XIV. Manual: El Manual de Percepciones de las personas servidoras públicas del Instituto;
XV. Nivel o Nivel Salarial: La escala de percepciones ordinarias identificada en el Tabulador respectivo, relativa a los puestos ordenados en un mismo grupo y grado;
XVI. Pleno: El órgano máximo de dirección y decisión del Instituto, integrado por siete personas Comisionadas o Comisionados;
XVII. Percepción Extraordinaria: Las remuneraciones autorizadas por el Pleno que no constituyen un ingreso fijo, regular o permanente, y su otorgamiento se encuentra sujeto a los requisitos y condiciones que les rigen. Este tipo de percepciones en ningún caso integran la base de cálculo para efectos de indemnización, liquidación o de prestaciones de seguridad social, y están sujetas a la existencia de suficiencia presupuestaria;
XVIII. Percepción Ordinaria: Las remuneraciones fijas mensuales, y regulares, vigentes durante el ejercicio, que reciben las personas servidoras públicas por el desempeño de sus funciones, de conformidad con el nivel salarial correspondiente a su cargo, y se integran con el sueldo base tabular y la compensación garantizada;
XIX. Plantilla de Personal: La relación de personal que labora en las unidades administrativas que conforman la estructura orgánica, señalando el puesto que ocupan y las percepciones;
XX. Plaza: La posición presupuestaria que respalda a un puesto de la estructura ocupacional que sólo puede ser ocupada por una servidora o servidor público a la vez y que tiene una adscripción determinada;
XXI. Prestaciones: Los beneficios que reciben las personas servidoras públicas, en razón al sueldo o al grupo, grado y nivel autorizado al que pertenezcan, en los términos establecidos en el presente Manual;
XXII. Puesto: La unidad impersonal para la que se determina su misión, objetivos y funciones; implica deberes específicos y delimita jerarquías y capacidades para su desempeño;
XXIII. UMA: La Unidad de Medida y Actualización;
XXIV. Servidora pública o Servidor Público: El personal de confianza que ocupa una plaza presupuestal autorizada en la estructura orgánica del Instituto, ya sea permanente o eventual;
XXV. SIPOT: Sistema de Portales de Obligaciones de Transparencia;
XXVI. Sueldo Base o Sueldo Base Tabular: Los importes consignados en el Tabulador de Percepciones que constituyen la base de cálculo aplicable para calcular las prestaciones básicas a favor de las personas servidoras públicas, así como las cuotas y aportaciones por concepto de seguridad social;
XXVII. Sueldos y Salarios: Las remuneraciones que se deben cubrir a las personas servidoras públicas por concepto de sueldo base tabular y compensación garantizada por los servicios prestados al Instituto, conforme a su nombramiento y el presente Manual;
XXVIII. Tabulador o Tabulador de Percepciones: El instrumento técnico en el que se ordenan y fijan por nivel, los valores monetarios autorizados para los puestos que integran la estructura organizacional y se compone de sueldo base tabular y compensación garantizada, y
XXIX. Unidades Administrativas: Las áreas a las que se les confiere funciones en el Estatuto Orgánico del Instituto.
III. ÁMBITO DE APLICACIÓN
Artículo 3.- Las disposiciones contenidas en el presente Manual son de aplicación exclusiva para las personas servidoras públicas del Instituto.
Artículo 4.- Se excluye de la aplicación del presente Manual a las personas físicas contratadas para prestar sus servicios profesionales bajo el régimen de honorarios.
Artículo 5.- El Pleno del Instituto podrá aprobar o modificar en cualquier momento disposiciones que regulen en forma complementaria las percepciones ordinarias y las extraordinarias referidas en este Manual.
Artículo 6.- La Dirección General será la unidad administrativa responsable de observar y dar seguimiento a la aplicación de este Manual.
IV. DISPOSICIONES GENERALES
Artículo 7.- Las remuneraciones y prestaciones de las Comisionadas y Comisionados del Instituto, quedarán reguladas por el artículo 127 de la Constitución Política de los Estados Unidos Mexicanos.
Artículo 8.- Las personas servidoras públicas del Instituto recibirán una remuneración adecuada e irrenunciable por el desempeño de su función, empleo, cargo o comisión, que deberá ser proporcional a sus responsabilidades, en ningún caso podrán tener una remuneración igual o mayor que su superior jerárquico, salvo que el excedente sea consecuencia del desempeño de un trabajo técnico calificado o por especialización en su función; en cuyo caso, la suma de dichas retribuciones no deberá exceder la mitad de la remuneración establecida para el Presidente de la República en el presupuesto correspondiente, de conformidad con la fracción III del artículo 127 constitucional.
Artículo 9.- El presente Manual define las remuneraciones de todas las personas servidoras públicas del Instituto.
Artículo 10.- Las adecuaciones a la estructura orgánica y ocupacional, así como a la plantilla que se deriven de la conversión u otras modificaciones de categorías serán aprobadas por el Pleno, atendiendo a la suficiencia presupuestaria del ejercicio fiscal 2022.
Las nuevas contrataciones o promociones se harán con base en los niveles establecidos en el Tabulador de Percepciones, y conforme a la suficiencia presupuestaria del ejercicio fiscal 2022.
Durante el ejercicio fiscal 2022, el Instituto podrá realizar contrataciones de personal eventual, con base en la disponibilidad presupuestaria.
Artículo 11.- Las remuneraciones de las personas servidoras públicas serán reguladas por las disposiciones del presente Manual, así como por aquellas que emita el Pleno del Instituto para tales efectos.
La persona titular de la Dirección General presentará al Pleno para conocimiento, y en su caso aprobación, los proyectos de Acuerdo para el pago de las prestaciones del presente Manual.
Cuando no existan recursos presupuestales suficientes para cubrir las prestaciones que requieran autorización del Pleno establecidas en el presente Manual, con los recursos existentes se autorizarán aquellas con cuyo otorgamiento y monto se beneficie al mayor número de personas servidoras públicas.
Artículo 12.- En caso de que la persona servidora pública hubiese fallecido antes de hacer efectivo su derecho al cobro de los conceptos de nómina y demás prestaciones, estos deberán ser pagados por el Instituto a quien acredite legalmente tener derecho al cobro.
Artículo 13.- Los descuentos a la nómina de remuneraciones o prestaciones de las personas servidoras públicas, serán los establecidos por ley, por mandato judicial, y aquellos con consentimiento de la persona servidora pública para el pago de beneficios como seguros y comedor, así como por concepto de viáticos, fondos fijos y gastos no comprobados, que se efectuarán conforme a los montos solicitados por la Dirección de Recursos Financieros.
Artículo 14.- Las personas servidoras públicas que al momento del pago de sueldos o prestaciones se encuentren de licencia sin goce de sueldo, o bien hayan dejado de prestar sus servicios al Instituto, sólo tendrán derecho a que se les cubra la parte proporcional de las remuneraciones y prestaciones correspondiente al tiempo laborado. Desarrollo Humano estará facultada para solicitar a las personas servidoras o exservidoras públicas la devolución de los pagos que hayan recibido en demasía a consecuencia de la recepción extemporánea de documentos que sustentan los movimientos de personal solicitados a la Dirección General, entre otros, así como, en su caso, descontarlo de los importes cuyo pago a la persona servidora o exservidora pública se encuentren pendientes.
Artículo 15.- El descuento por pensión alimenticia ordenado por autoridad judicial competente se aplicará en los términos y montos ordenados en el mandato judicial y tiene prioridad sobre los descuentos personales.
Artículo 16.- Solo surtirá efectos la suspensión del descuento por pensión alimenticia, cuando la ordene la autoridad judicial competente mediante la resolución correspondiente que sea notificada al Instituto.
Artículo 17.- No procederá el descuento por pago de pensión alimenticia, cuando la persona servidora pública disfrute de una licencia sin goce de sueldo. El Instituto, a través de la Dirección General de Asuntos Jurídicos, deberá notificar esta situación a la autoridad judicial correspondiente.
V. SISTEMA DE REMUNERACIONES
Artículo 18.- Remuneración o retribución es toda percepción en numerario o en especie recibida por las personas servidoras públicas como contraprestación por su trabajo personal subordinado, en los términos de este Manual y de la regulación laboral aplicable.
Artículo 19.- Las remuneraciones a que se refiere el artículo anterior se integran por las percepciones ordinarias y extraordinarias, agrupadas en los siguientes conceptos:
A) Percepciones ordinarias:
I. En numerario, que comprende:
a) Sueldos y salarios:
i. Sueldo integrado por el sueldo base tabular y la compensación
ii. Esquema de compensaciones que determine el Pleno.
b) Prestaciones con base en el régimen laboral aplicable, susceptibles de otorgarse a las servidoras y los servidores públicos de conformidad con el presente Manual.
Las prestaciones son de las siguientes clases:
i. Por mandato de Ley, y
ii. Por acuerdo de Pleno, de conformidad con las disposiciones aplicables.
II. En especie.
B) Percepciones extraordinarias:
I. Premios, estímulos, reconocimientos, recompensas, incentivos, ayudas y pagos equivalentes a los mismos, que se otorgan de manera excepcional a las personas servidoras públicas, condicionados al cumplimiento de compromisos en los términos de las disposiciones aplicables, y
II. Otras percepciones de carácter excepcional autorizadas por el Pleno, con sujeción a las disposiciones aplicables.
VI. PERCEPCIONES ORDINARIAS SUELDOS Y SALARIOS
Artículo 20.- Corresponde al Pleno aprobar y emitir el Tabulador de Percepciones de las personas servidoras públicas del Instituto, así como sus modificaciones.
Artículo 21.- El Tabulador de Percepciones del Instituto para el ejercicio 2022 se agrega a este Manual como su Anexo 1, con sus reglas de aplicación que consideran, entre otros, los siguientes criterios:
I. El importe de la percepción ordinaria bruta mensual que se otorgue a las personas servidoras públicas por concepto de sueldos y salarios, estará integrado por el sueldo base tabular, la compensación garantizada y por las compensaciones que en su caso autorice el Pleno;
II. En ningún caso la percepción ordinaria bruta mensual podrá rebasar los montos que se consignen en el Tabulador de Percepciones, ni modificar la composición establecida en los mismos para el sueldo base tabular y la compensación;
III. En los importes del sueldo base tabular y compensaciones no se incluirán las prestaciones económicas o en especie;
IV. El Tabulador de Percepciones considerará únicamente la percepción ordinaria bruta y neta mensual por concepto de sueldo base tabular y compensaciones. Éstos deberán estar comprendidos dentro de los límites mínimos y máximos de percepción ordinaria neta mensual por concepto de sueldos y salarios establecidos en el Anexo 2 de este Manual;
V. Las modificaciones a los grupos, grados y niveles, así como a la denominación de los puestos o cualquier otro concepto correspondiente al Tabulador de Percepciones contenido en el presente ordenamiento, requerirán de la autorización expresa del Pleno, en el ámbito de su competencia;
VI. El costo de la aplicación del tabulador de percepciones deberá ser cubierto con cargo a los recursos del presupuesto autorizado para el ejercicio;
VII. El pago de percepciones contenidas en el tabulador de percepciones se hará de acuerdo con el calendario. Las percepciones que no se incluyan en tabulador, serán pagadas en la fecha que para tal efecto establezca el Pleno del Instituto. En ningún caso se cubrirán percepciones con efectos retroactivos a la fecha de autorización para su otorgamiento, salvo resolución jurisdiccional, y
VIII. El pago de remuneraciones a las personas servidoras públicas deberá realizarse conforme al tabulador de percepciones aprobado para el ejercicio correspondiente y lo dispuesto en el presente Manual, considerando el lugar de adscripción de la persona servidora pública a la fecha establecida para realizar el pago.
VII. PRESTACIONES
Artículo 22.- El Instituto otorgará las prestaciones que correspondan a las y los servidores públicos de conformidad con lo siguiente:
VII.I PRESTACIONES POR MANDATO DE LEY
Artículo 23.- La remuneración de las personas servidoras públicas incluye dentro del esquema de prestaciones, las aportaciones por concepto de seguridad social de acuerdo con la Ley del ISSSTE y la Ley de los Sistemas de Ahorro para el Retiro, en los términos de las disposiciones aplicables.
Artículo 24.- Las prestaciones previstas para las personas servidoras públicas sujetas a la Ley Federal de los Trabajadores al Servicio del Estado, son las siguientes:
I. La prima quinquenal se otorgará en razón de la antigüedad por cada cinco años de servicios efectivamente prestados y hasta llegar a veinticinco años.
Para el pago de la prima quinquenal por años de servicio, el tiempo se acreditará mediante la exhibición de hojas únicas de servicio en original o copia certificada que al efecto expida la institución en que se prestaron.
Si se acredita la antigüedad para recibir el pago correspondiente a un quinquenio o más, los subsecuentes deberán ser solicitados por la o el servidor público interesado a la Dirección General de Administración.
El pago de quinquenios se realizará a partir de la quincena siguiente en que la persona servidora pública entregue a Desarrollo Humano los comprobantes que acrediten los años de cotización ante el ISSSTE.
Esta prestación se entregará sobre base mensual, en forma quincenal conforme al siguiente cuadro:
| Prima | Importe Mensual en Pesos | Antigüedad |
| 1 | 160 | 5 a menos de 10 años |
| 2 | 185 | 10 a menos de 15 años |
| 3 | 235 | 15 a menos de 20 años |
| 4 | 260 | 20 a menos de 25 años |
| 5 | 285 | 25 años en adelante |
II. La prima vacacional, que equivale al cincuenta por ciento de veinte días de sueldo base tabular y compensación garantizada, se otorgará a las personas servidoras públicas en cada uno de los periodos vacacionales a que tengan derecho a disfrutar, y se pagará en los meses de junio y diciembre.
Para el cálculo de la prima vacacional a pagar, correspondiente al primer periodo del ejercicio de que se trate, se tomará en consideración el tiempo laborado del 1 de enero al 30 de junio, y para el segundo periodo, del 1 de julio al 31 de diciembre.
Tiene derecho a la parte proporcional:
a. El personal que ingresó al Instituto después del 1 de enero o del 1 de julio del ejercicio fiscal correspondiente.
b. El personal que disfrutó de licencia sin goce de sueldo por un periodo de más de un mes.
c. Para las personas servidoras públicas que causaron baja durante el ejercicio, se realizará el pago de manera proporcional al periodo laborado.
Se cubrirá la prima vacacional en el puesto que se tenga al momento de pago.
Las licencias con goce de sueldo y las incapacidades médicas expedidas por el ISSSTE, serán consideradas como tiempo efectivo de servicios.
III. Las personas servidoras públicas con más de seis meses de servicio consecutivo en el Instituto, tendrán derecho a disfrutar de dos periodos vacacionales por año, de diez días hábiles cada uno, de conformidad con el Acuerdo por el que se establezca el calendario oficial de suspensión de labores del Instituto, aprobado por el Pleno. Para gozar de los periodos vacacionales, los meses laborados en el Instituto se computarán a partir del primer día natural de los meses enero y julio, respectivamente.
Si por las necesidades del servicio, las personas servidoras públicas no disfrutaren de los días de vacaciones en el ejercicio de que se trate, podrán hacerlo una vez que cesen las causas que lo impidieron, y a más tardar un año posterior a la conclusión de cada periodo, sujetándose en su caso a la autorización del titular de la unidad administrativa de su adscripción, quien notificará a la Dirección General de Administración el periodo de vacaciones de que se trate, con por lo menos 5 días de antelación a su disfrute.
Los días de vacaciones no disfrutados no podrán compensarse con percepción económica alguna.
IV. Las personas servidoras públicas recibirán por concepto de aguinaldo anual un pago de por lo menos cuarenta y cinco días de sueldo base tabular, de conformidad con los siguientes criterios:
a) El cálculo para el pago de aguinaldo será realizado en forma proporcional al tiempo de servicio laborado y a los puestos desempeñados por la persona servidora pública durante el ejercicio;
b) Las personas servidoras públicas que hayan prestado sus servicios durante el ejercicio fiscal, por un periodo menor a un año, tendrán derecho a la parte proporcional de aguinaldo por el periodo del ejercicio trabajado en el Instituto y los puestos ocupados durante el mismo;
c) El pago se realizará en dos exhibiciones, la primera a razón del 50%, durante los primeros veinte días naturales de noviembre;
El 50% restante, se realizará a más tardar el 15 de diciembre;
d) La parte proporcional devengada por la persona servidora pública que haya concluido su relación laboral, será cubierta a más tardar el 15 de diciembre del año que se trate;
e) El Instituto y el ISSSTE cubrirán a las y los servidores públicos que durante el ejercicio fiscal causen baja del Instituto y alta como pensionistas, la parte proporcional del aguinaldo que les corresponda, de acuerdo al tiempo de servicio activo laborado y al de la pensión otorgada, esta última en atención a lo dispuesto en los artículos 122 y 123, de la ley del ISSSTE;
f) Queda condicionado a la existencia de suficiencia presupuestal y a la autorización del Pleno, el que a las personas servidoras públicas les sea cubierto el importe neto correspondiente a cuando menos 45 días de sueldo base tabular bruto;
g) El Instituto cubrirá mediante cheque la parte proporcional del aguinaldo a la persona beneficiaria de la o el servidor público que fallezca durante el ejercicio fiscal y antes del pago de la prestación. Para la determinación de la persona beneficiaria, se atenderá lo dispuesto por la o el finado en el formato que para tal efecto emita la Dirección General de Administración y avalado por la Dirección General de Asuntos Jurídicos;
h) La acción para reclamar al Instituto el pago de aguinaldo, prescribirá en el término de un año, contado a partir del día en que inicie el pago de dicha prestación, en términos de lo dispuesto en los artículos 112 de la Ley Federal de los Trabajadores al Servicio del Estado, Reglamentaria del Apartado B del artículo 123 de la Constitución Política de los Estados Unidos Mexicanos y, 72 de la Ley Federal de Presupuesto y Responsabilidad Hacendaria;
i) Las licencias con goce de sueldo o incapacidades médicas expedidas por el ISSSTE serán consideradas como tiempo efectivo de servicios, y
j) No se considerarán como tiempo de servicio laborado las licencias sin goce de sueldo.
V. Las madres trabajadoras disfrutarán de treinta días naturales de descanso previos a la fecha que se fije como probable para el parto, o fecha de adopción y de otros sesenta días naturales contados a partir del nacimiento del producto de la gestación. Se podrán transferir días de descanso previos al parto para después del mismo.
Durante la lactancia, por el periodo legal de seis meses y complementario hasta los dos años del niño o niña, tendrán derecho a decidir entre contar con dos reposos extraordinarios por día, o bien, un descanso extraordinario por día, para alimentar a sus hijas o hijos o para realizar la extracción manual de leche en el lactario con que cuenta el Instituto, además de acceso a la capacitación y fomento para la lactancia materna y amamantamiento, incentivando a que la leche materna sea alimento exclusivo durante seis meses y complementario hasta avanzado el segundo año de edad.
Los reposos y el descanso extraordinarios a que tienen derecho las madres trabajadoras se encuentran regulados en el artículo 62 de este Manual.
VI. Los padres trabajadores contarán con un permiso de paternidad de 15 días con goce de sueldo, por nacimiento o adopción de sus hijas o hijos.
VII. Cuando alguna servidora o servidor público fallezca y tuviere cuando menos una antigüedad en el servicio de seis meses, sus beneficiarios nombrados en el formato que para tal efecto adopte la Dirección General y avale la Dirección General de Asuntos Jurídicos; o en su defecto sus familiares, o a falta de estos quienes hayan vivido con la persona finada en la fecha del fallecimiento y además se hagan cargo de los gastos de inhumación, recibirán hasta el importe de cuatro meses de las percepciones ordinarias que estuviere percibiendo en la fecha de fallecimiento.
VII.II PRESTACIONES APROBADAS POR EL PLENO DEL INSTITUTO
Asignaciones Adicionales
Artículo 25.- La prestación denominada asignaciones adicionales es de carácter general con la finalidad de contribuir al mejoramiento de la calidad de vida individual y familiar, además de fomentar la cultura del ahorro entre las personas servidoras públicas del Instituto.
Artículo 26.- El pago y monto de las asignaciones adicionales serán aprobados por el Pleno y estarán sujetos a la existencia de disponibilidad presupuestal.
Artículo 27.- El cálculo para el pago de asignaciones adicionales será realizado en forma proporcional al tiempo de servicio laborado y al nivel tabular de los puestos desempeñados por la persona servidora pública durante el periodo que se pague.
Artículo 28.- Las licencias con goce de sueldo y las incapacidades médicas expedidas por el ISSSTE, serán consideradas como tiempo efectivo de servicios.
Artículo 29.- Al personal que, a la fecha del pago, se encuentre de licencia sin goce de sueldo, o bien haya dejado de laborar, se le cubrirá la parte proporcional por el tiempo laborado.
Artículo 30.- De cumplir con lo dispuesto en el artículo 26, del presente Manual, el pago de asignaciones adicionales a las personas servidoras públicas que se encuentren en activo se realizará en abril, julio y octubre. Tratándose de las personas que concluyeron su relación laboral, el pago de la parte proporcional devengada se realizará mediante cheque nominativo a partir de la misma fecha en que se efectúe al personal activo.
Ayuda para gastos de funeral
Artículo 31.- Ayuda para gastos de funeral es la prestación de carácter económico que tiene por objeto contribuir al pago de los gastos por concepto de sepelio, inhumación o cremación motivados por el deceso de una persona servidora pública que al momento de su fallecimiento desempeñaba un cargo en el Instituto.
Artículo 32.- Tendrá derecho a la ayuda para gastos de funeral la persona que demuestre documentalmente haberse hecho cargo de los gastos de sepelio, inhumación o cremación a que se refiere el artículo anterior.
Artículo 33.- El importe de este beneficio consiste en $60,000.00 (sesenta mil pesos 00/100 M.N.) netos, condicionado a la existencia de suficiencia presupuestal y autorización del Pleno.
Artículo 34.- No se otorgará a los deudos la prestación referida, en caso de que la persona servidora pública al momento de su deceso estuviere disfrutando de licencia sin goce de sueldo, con excepción de las licencias por enfermedad y maternidad expedidas por el ISSSTE.
Artículo 35.- El trámite de la ayuda de gastos funerales se realizará a petición de las personas interesadas mediante la presentación de la documentación comprobatoria correspondiente.
Ayuda para las madres
Artículo 36.- Ayuda para las madres es el beneficio económico anual que se paga a las servidoras públicas del Instituto que tengan hijas o hijos y se encuentren en servicio activo al momento del pago. Deberán acreditar el derecho a este beneficio con el certificado de alumbramiento, acta de nacimiento o de adopción.
Artículo 37.- El importe de este beneficio será de hasta $3,000.00 (tres mil pesos 00/100 M.N.) netos por servidora pública, condicionado a la existencia de suficiencia presupuestal y autorización del Pleno.
Artículo 38.- El pago se realizará el día hábil inmediato anterior al 10 de mayo.
Artículo 39.- Las servidoras públicas que a la fecha del pago cuenten con licencia sin goce de sueldo, no serán acreedoras al mismo.
Ayuda para la mujer gestante
Artículo 40.- Es la ayuda otorgada a las servidoras públicas del Instituto, cuyo objeto es contribuir al control precoz, periódico y completo de la evolución del embarazo, así como la preparación del parto, y con ello disminuir los riesgos para la madre y el producto de la gestación. Se pagará a quienes formen parte de la plantilla y acrediten su estado mediante certificado médico o estudio clínico expedido por institución de salud pública, con por lo menos pasado el primer trimestre de gestación.
Artículo 41.- El importe de este beneficio será de hasta $1,500.00 (un mil quinientos pesos 00/100 M.N.) netos por servidora pública, condicionado a la existencia de suficiencia presupuestal y autorización del Pleno.
Artículo 42.- El pago se realizará el día hábil inmediato anterior al 10 de mayo.
Artículo 43.- Las servidoras públicas que a la fecha del pago cuenten con licencias sin goce de sueldo, no serán acreedoras al mismo.
Ayuda para los padres
Artículo 44.- Ayuda para los padres es el beneficio económico anual que se otorga a los servidores públicos del Instituto que tengan hijas o hijos y se encuentren en servicio activo al momento del pago. Deberán acreditar el derecho a este beneficio con el certificado de alumbramiento, acta de nacimiento o de adopción.
Artículo 45.- El importe de este beneficio será de hasta $3,000.00 (tres mil pesos 00/100 M.N.) netos por servidor público, condicionado a la existencia de suficiencia presupuestal y autorización del Pleno.
Artículo 46.- El pago se realizará el viernes inmediato anterior al tercer domingo del mes de junio.
Artículo 47.- Los servidores públicos que a la fecha del pago cuenten con licencias sin goce de sueldo, no serán acreedores al mismo.
Pago extraordinario
Artículo 48.- El Pago extraordinario tiene por objeto satisfacer necesidades presentes o futuras en beneficio de las personas servidoras públicas de mando del Instituto con nivel tabular HB1, que se otorga dada la naturaleza de alta complejidad y responsabilidad de las funciones que tienen encomendadas.
Artículo 49.- Se harán hasta 4 pagos en el ejercicio, cada uno hasta por 36 mil pesos, condicionados a la existencia de suficiencia presupuestal. Una vez autorizado su otorgamiento por el Pleno, el pago de cada exhibición deberá efectuarse conjuntamente con la nómina correspondiente a la segunda quincena de los meses de marzo, junio, septiembre y diciembre.
Artículo 50.- El pago se realizará en forma proporcional al tiempo de servicio laborado por la persona servidora pública en cada periodo, considerando que la proporcionalidad será sobre el número de días del periodo a pagar.
Artículo 51.- No se considera como tiempo de servicio laborado las licencias sin goce de sueldo; por tal razón, quienes se encuentren en dicha situación, así como aquellas personas que hayan dejado de prestar sus servicios, sólo tendrán derecho a la parte proporcional por el tiempo laborado.
Ayuda para anteojos
Artículo 52.- Ayuda para anteojos es el beneficio de carácter económico por la adquisición de anteojos, con la finalidad de contribuir a la protección de la salud de las personas servidoras públicas del Instituto.
Artículo 53.- Tendrán derecho a la ayuda de que trata el numeral anterior las personas servidoras públicas que adquieran anteojos durante el ejercicio 2022, y hayan laborado en el Instituto al menos durante un año ininterrumpido previo a la fecha en que se solicite el pago de la ayuda y se encuentren en activo al momento de solicitarla.
Artículo 54.- La ayuda de que se trata consiste en el reembolso anual por una sola vez, y hasta por $ 2,500.00 (dos mil quinientos pesos 00/100 M.N.) netos por persona, y estará condicionada a la existencia de disponibilidad presupuestal y autorización del Pleno.
Artículo 55.- En caso que se cumplan las condiciones a que se refiere el artículo anterior, el reembolso se efectuará conjuntamente con la nómina de la segunda quincena del mes inmediato posterior al periodo que correspondan las solicitudes procedentes, de acuerdo con lo siguiente:
| PERIODO | MES DE PAGO |
| Enero marzo | Abril |
| Abril junio | Julio |
| Julio septiembre | Octubre |
Artículo 56.- Las personas servidoras públicas interesadas en recibir la ayuda de que se trata deberán dirigir solicitud de pago a la Dirección General de Administración, acompañada de la siguiente documentación, respecto de la cual manifestarán bajo protesta de decir verdad la autenticidad de los datos que contienen:
a. Copia del último comprobante de pago de nómina quincenal.
b. Solicitud de reembolso por concepto de ayuda para anteojos debidamente integrado.
c. Original de la receta o constancia emitida por médico oftalmólogo u optometrista en el que conste su nombre y cédula profesional, expedida a favor de la persona servidora pública solicitante.
d. Factura original o impresión del formato electrónico (CFDI) expedida a nombre de la persona servidora pública por la adquisición de anteojos o lentes, sin enmendaduras, o adiciones posteriores a su elaboración o alteración alguna que invalide su aceptación.
e. No se realizarán rembolsos de pagos que se hayan realizado en efectivo.
f. Quedan totalmente excluidos cualquier tipo de lente intraocular, cosmético, de sol o accesorio.
Es responsabilidad de la persona servidora pública verificar que la factura que presenta para tener derecho a la prestación contenga los requisitos fiscales vigentes.
Las licencias con goce de sueldo o incapacidades médicas expedidas por el Instituto serán consideradas como tiempo efectivo de servicios. No son acreedores de esta ayuda las personas servidoras públicas que al momento de la adquisición de anteojos se encuentren de licencia sin goce de sueldo.
Gratificación de fin de año
Artículo 57.- Las y los servidores públicos recibirán por concepto de gratificación de fin de año un pago de por lo menos cuarenta y cinco días de compensación garantizada, de conformidad con los siguientes criterios:
a) El cálculo para el pago de la gratificación de fin de año será realizado en forma proporcional al tiempo de servicio laborado y a los puestos desempeñados por la persona servidora pública durante el ejercicio;
b) Las personas servidoras públicas que hayan prestado sus servicios durante el ejercicio fiscal, por un periodo menor a un año, tendrán derecho a la parte proporcional por el periodo del ejercicio trabajado en el Instituto y los puestos ocupados durante el mismo;
c) El pago se realizará en dos exhibiciones, la primera a razón del 50% durante los primeros veinte días del mes de noviembre;
El 50% restante de la compensación garantizada, a más tardar el 15 de diciembre;
d) La parte proporcional devengada por la persona servidora pública que haya concluido su relación laboral, será cubierta a más tardar el 15 de diciembre del año que se trate;
e) El Instituto y el ISSSTE cubrirán a las y los servidores públicos que durante el ejercicio fiscal causen baja del servicio y alta como pensionistas, la parte proporcional que les corresponda, de acuerdo al tiempo de servicio activo laborado y al de la pensión otorgada, esta última en atención a lo dispuesto en los artículos 122 y 123, de la ley del ISSSTE;
f) Queda condicionado a la existencia de suficiencia presupuestal y a la autorización del Pleno, el que a las personas servidoras públicas les sea cubierto el importe neto correspondiente a cuando menos 45 días de sueldo base tabular bruto;
g) El Instituto cubrirá mediante cheque la parte proporcional de la gratificación de fin de año a la persona beneficiaria de la o el servidor público que fallezca durante el ejercicio fiscal y antes del pago de la gratificación. Para la determinación de la persona beneficiaria, se atenderá lo dispuesto por la o el finado en el formato que para tal efecto emita la Dirección General de Administración y avalado por la Dirección General de Asuntos Jurídicos;
h) La acción para reclamar al Instituto el pago de aguinaldo, prescribirá en el término de un año, contado a partir del día en que inicie el pago de dicha prestación, en términos de lo dispuesto en los artículos 112 de la Ley Federal de los Trabajadores al Servicio del Estado, Reglamentaria del Apartado B del artículo 123 de la Constitución Política de los Estados Unidos Mexicanos y, 72 de la Ley Federal de Presupuesto y Responsabilidad Hacendaria;
i) Las licencias con goce de sueldo o incapacidades médicas expedidas por el ISSSTE serán consideradas como tiempo efectivo de servicios, y
j) No se considerarán como tiempo de servicio laborado las licencias sin goce de sueldo.
Seguros
Artículo 58.- La prestación del seguro de personas otorgados por el Instituto, tienen la finalidad de coadyuvar a la estabilidad económica, seguridad y bienestar de las y los servidores públicos. Dichos seguros son colectivos y las condiciones generales establecidas en los mismos aplican a la totalidad que integra el grupo asegurado conforme al Anexo 3.
I. El seguro de vida institucional tiene por objeto cubrir únicamente los siniestros por fallecimiento o por incapacidad total, invalidez o incapacidad permanente total, sin beneficios adicionales, de conformidad con las disposiciones aplicables.
La suma asegurada básica será el equivalente a cuarenta meses de percepción ordinaria bruta mensual y la prima correspondiente será cubierta por el Instituto.
La suma asegurada básica podrá incrementarse por voluntad expresa de la o el servidor público, con cargo a sus percepciones y mediante descuento vía nómina.
Las opciones para incrementar la suma asegurada serán de treinta y cuatro, cincuenta y uno o sesenta y ocho meses de percepción ordinaria bruta.
Las personas servidoras públicas que, por incapacidad total, invalidez o incapacidad permanente total hayan cobrado la suma asegurada correspondiente y se reincorporen a trabajar en el Instituto, sólo serán sujetos del seguro de vida institucional con una cobertura por fallecimiento, sin el beneficio de la incapacidad total, invalidez o incapacidad permanente total.
Los contratos o las pólizas del seguro de vida institucional con beneficios adicionales sólo podrán considerar incapacidad total, invalidez o incapacidad permanente total.
II. El seguro de retiro se otorga en favor de las y los servidores públicos que causen baja del Instituto y cuenten con la edad y años de cotización al ISSSTE legalmente necesarios, con el propósito de hacer frente a las contingencias inherentes a la separación del servicio público.
Para el otorgamiento de esta prestación, el pago de la prima se hará cincuenta por ciento con cargo a la o el servidor público y el cincuenta restante a cargo del Instituto, de conformidad con las disposiciones aplicables. Los porcentajes podrán ser modificados únicamente por el Pleno.
En el caso de las y los servidores públicos que optaron por el sistema de pensiones basado en cuentas individuales a que se refiere la Ley del ISSSTE, la suma asegurada se otorgará conforme a lo establecido en el Anexo 4A, del presente Manual.
Para aquellas personas que optaron por el sistema de pensiones previsto en el artículo Décimo Transitorio del Decreto por el que se expide la Ley del ISSSTE, la suma asegurada se otorgará conforme a lo establecido en el Anexo 4B, del presente Manual.
El Instituto continuará prestando a las personas servidoras públicas que conforman su plantilla de personal, el apoyo administrativo para que contraten el seguro para sus vehículos particulares con sus propios recursos, y puedan realizar el pago de las primas correspondientes mediante descuento en nómina.
Permisos al personal
Artículo 59.- Las servidoras y los servidores públicos podrán hacer uso de los siguientes permisos con goce de sueldo, para lo cual deberán contar con autorización previa emitida por la persona titular de la unidad administrativa de su adscripción:
I. Por el fallecimiento de la o el cónyuge, concubina o concubinario, o cualquier familiar directo, por consanguinidad o afinidad, tendrá derecho a tres días hábiles;
II. Por presentación de su examen profesional o de grado, gozará de tres días hábiles anteriores a su celebración;
III. Por contraer matrimonio y cuente con al menos un año de antigüedad en el Instituto, gozará de cinco días hábiles, que podrá disfrutar dentro del plazo de sesenta días contados a partir de la fecha de expedición del acta de matrimonio;
IV. Las personas titulares de las unidades administrativas podrán otorgar, bajo su responsabilidad, permisos personales a las y los servidores públicos que se encuentren bajo su adscripción, para ausentarse el día completo dentro de los horarios de trabajo establecidos, hasta por un periodo máximo de cinco días hábiles por año. Este tipo de permiso no podrá sumarse a otro y tampoco será acumulable de un año a otro, y
V. Las y los servidores públicos que cuenten con cinco años de servicio ininterrumpidos en el Instituto, gozarán de un periodo de cinco días hábiles durante el ejercicio fiscal inmediato posterior a aquel en que se cumplan los años de servicio. Del mismo modo ello aplicará para aquellas servidoras y servidores públicos que continúen laborando en el Instituto y cumplan periodos adicionales de cinco años.
Ayuda de despensa
Artículo 60.- La ayuda para despensa consiste en el otorgamiento de $885.00 (ochocientos ochenta y cinco pesos 00/100 M.N.) mensuales brutos, a las y los servidores públicos del Instituto.
Servicio médico y psicológico
Artículo 61.- El Instituto cuenta en sus instalaciones con servicio de atención psicológica y un consultorio médico para proporcionar la atención de primer contacto que, por causa de accidente o enfermedad, requieran las y los servidores públicos.
Los servicios médico y psicológico se otorgarán sin costo alguno para las personas servidoras públicas. Los medicamentos se proporcionarán de conformidad con la existencia y su cuadro básico.
Será responsabilidad de las y los servidores públicos acudir a su clínica de adscripción del ISSSTE o con su médico de su elección, a fin de que se les proporcione el tratamiento requerido y, de ser necesario, se les expida la licencia o certificado médico, según corresponda.
Queda estrictamente prohibido que las prestadoras y los prestadores del servicio médico y psicológico institucionales expidan permisos o licencias médicas.
Licencia para alimentación de menores
Artículo 62.- De conformidad con lo dispuesto en el artículo 24, fracción V, del presente Manual, una vez que concluya la licencia de maternidad y la madre se reintegre a sus actividades laborales en el Instituto, contará con un periodo legal de hasta 180 días naturales, contado a partir de su reintegración, y complementario hasta los dos años de su descendiente, para alimentar a su hija o hijo, pudiendo optar para el ejercicio de ese derecho, por una de las siguientes opciones:
a) Dos periodos, de cuarenta y cinco minutos cada uno, durante la jornada diaria;
b) Un periodo, de noventa minutos, durante la jornada diaria;
c) Iniciar la jornada noventa minutos después de la hora oficial, o
d) Concluir la jornada diaria noventa minutos antes de la hora oficial.
Artículo 63.- Los servidores públicos del Instituto que sean padres, podrán contar con descansos para alimentar a sus hijas o hijos dentro de las instalaciones del Instituto, durante los ciento ochenta días posteriores al nacimiento de estos y complementario hasta que cumplan sus dos años, con objeto de contribuir al fortalecimiento del vínculo paterno filial y de pareja.
Deberán acreditar el derecho a este beneficio con el certificado de alumbramiento, acta de nacimiento o de adopción.
La persona titular del área de adscripción del servidor público coordinará con éste el horario del descanso considerando lo siguiente:
a) Dos periodos, de cuarenta y cinco minutos cada uno, durante la jornada diaria;
b) Un periodo, de noventa minutos, durante la jornada diaria;
c) Iniciar la jornada noventa minutos después de la hora oficial, o
d) Concluir la jornada diaria noventa minutos antes de la hora oficial.
Comedor
Artículo 64.- El Instituto brindará un apoyo económico a sus servidoras y servidores públicos, para el pago de los alimentos que consuman en el comedor institucional y que formen parte del menú del día. El monto de la ayuda se otorga de conformidad con la siguiente tabla:
| Puesto de la persona servidora pública | Porcentaje de apoyo respecto al costo de la comida |
| Titular de Jefatura de Departamento / Consultor o Consultora / Auditor o Auditora | 20% |
| Personal de Enlace / Proyectista / Asesor o Asesora, | 40% |
| Secretaria, Choferesa, Chofer, Auxiliar Administrativa y Auxiliar Administrativo. | 60% |
Para tener derecho al apoyo económico, la persona servidora pública deberá proporcionar su clave de empleado al personal del proveedor del servicio de comedor.
Las personas que realicen su servicio social, práctica profesional o laboren en las empresas que presten un servicio al Instituto, no gozarán de ningún apoyo económico por parte de este para el consumo de alimentos.
El horario de servicio para el desayuno será de las 8:00 a las 10:30 horas. El servicio de comida se proporcionará de las 13:00 a las 16:30; los horarios para hacer uso del servicio por parte del personal serán programados de acuerdo con las necesidades de su área de adscripción.
La forma de hacer efectivo el apoyo económico será determinado por el Director General de Administración.
El apoyo económico se otorga para el pago de los alimentos durante el horario de comida; la servidora o servidor público pagará la diferencia entre el costo de la comida y el porcentaje de apoyo que corresponda a su puesto.
No se otorga apoyo económico para el pago de alimentos en el horario de desayuno, por lo que en este caso, la servidora o servidor público deberá pagar el total de su consumo al momento de solicitar sus alimentos.
VIII. PERCEPCIONES EXTRAORDINARIAS
Artículo 65.- Las que apruebe el Pleno del Instituto de conformidad con las disposiciones aplicables y en su caso, específicas.
IX. TRANSPARENCIA
Artículo 66.- La información de cada uno de los niveles salariales relativa a las percepciones ordinarias y extraordinarias, tanto en numerario como en especie, autorizadas de conformidad con este Manual y sus disposiciones específicas, deberá sujetarse a lo establecido en la normatividad aplicable en materia de transparencia y acceso a la información pública.
Artículo 67.- El Instituto publicará en el SIPOT, el inventario o plantilla de plazas indicando los puestos y los niveles salariales autorizados, de conformidad con la estructura ocupacional autorizada, apegándose a lo establecido en la normatividad aplicable en materia de transparencia y acceso a la información pública.
Artículo 68.- Las remuneraciones y el Tabulador de Percepciones que correspondan a cada nivel salarial serán públicos y deberán especificar y diferenciar en numerario y especie, la totalidad de sus elementos fijos y variables.
X. INTERPRETACIÓN
Artículo 69.- La Dirección General de Administración, en colaboración con la Dirección General de Asuntos Jurídicos y el Órgano Interno de Control, serán las responsables de interpretar, para efectos administrativos y jurídicos el presente Manual, y resolverán los casos no previstos en el mismo.
XI. VIGILANCIA
Artículo 70.- Corresponde al Órgano Interno de Control del Instituto, de conformidad con sus atribuciones, vigilar el cumplimiento de las disposiciones contenidas en este Manual.
TRANSITORIOS
PRIMERO. El presente Manual entrará en vigor al día siguiente de su publicación en el Diario Oficial de la Federación, en virtud de ser anexo del Acuerdo de Pleno ACT-PUB/23/02/2022.09.
SEGUNDO. La aplicación del presente Manual estará sujeta a la disponibilidad presupuestaria determinada en el Presupuesto de Egresos de la Federación para el ejercicio fiscal dos mil veintidós.
TERCERO. Para el otorgamiento de la prestación de seguros de personas, el Instituto cumplirá los compromisos contraídos en los contratos vigentes, y en su caso, podrá continuar participando en la contratación consolidada que para tal efecto lleve a cabo la Secretaría de Hacienda y Crédito Público. Lo anterior, con fundamento en lo dispuesto en el último párrafo del artículo 130 del Reglamento de la Ley Federal de Presupuesto y Responsabilidad Hacendaria.
Con independencia de la autonomía que goza el INAI, el otorgamiento del Seguro de Vida Institucional quedará supeditado a lo establecido en la Ley Federal de Austeridad Republicana, publicada en el Diario Oficial de la Federación el 19 de noviembre de 2019, así como en la aprobación por parte del Pleno del Instituto Nacional de Transparencia, Acceso a la Información y Protección de Datos Personales de su Manual de percepciones y a la suficiencia presupuestal con que cuente el propio Instituto.
CUARTO. Los porcentajes señalados en el artículo 64 del presente Manual, entrarán en vigor al día siguiente de su publicación en el Diario Oficial de la Federación. En tanto ello no ocurra, seguirá aplicándose el porcentaje establecido en el Manual de percepciones de los servidores públicos del Instituto Nacional de Transparencia, Acceso a la Información y Protección de Datos Personales para el ejercicio fiscal dos mil veintiuno.
QUINTO. Las disposiciones establecidas en el presente manual, continuarán vigentes hasta la publicación del manual correspondiente al ejercicio siguiente en caso de contar con suficiencia presupuestal.
SEXTO. A partir de la entrada en vigor de este manual, se renivelarán al ingreso máximo autorizado las plazas que sean susceptibles de ello y que además sus titulares cumplan con los requisitos normativos correspondientes.
La percepción resultante se cubrirá en la primera quincena de marzo de 2022.
SÉPTIMO. Aquellas plazas que sean susceptibles de renivelarse al ingreso máximo autorizado y sus titulares no tengan 6 meses de antigüedad en el puesto, serán llevadas a ese nivel una vez que cumplan el plazo, y la percepción correspondiente será cubierta a partir de esa fecha, debiéndose reflejar en la nómina de la quincena posterior a este evento.
OCTAVO. Se abroga el ACUERDO ACT-PUB/17/02/2021.05 relativo a la aprobación del Manual de Percepciones de los Servidores Públicos del Instituto Nacional de Transparencia, Acceso a la Información y
Protección de Datos Personales para el ejercicio fiscal dos mil veintiuno
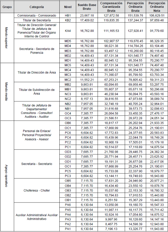
ANEXO 1
TABULADOR DE PERCEPCIONES BRUTAS Y NETAS MENSUALES PARA LAS PERSONAS
SERVIDORAS PÚBLICAS DEL INSTITUTO NACIONAL DE TRANSPARENCIA, ACCESO A LA
INFORMACIÓN Y PROTECCIÓN DE DATOS PERSONALES PARA EL EJERCICIO FISCAL DOS MIL
VEINTIDÓS.
ANEXO 2
LÍMITES DE PERCEPCIÓN ORDINARIA TOTAL PARA LAS PERSONAS SERVIDORAS PÚBLICAS DEL
INSTITUTO NACIONAL DE TRANSPARENCIA, ACCESO A LA INFORMACIÓN Y PROTECCIÓN DE
DATOS PERSONALES.
ANEXO 3
SEGUROS DE PERSONAS
| SEGURO | DESCRIPCIÓN | PERSONAL |
| DE VIDA | Suma asegurada básica de 40 meses de la percepción ordinaria bruta mensual. | P hasta H |
| DE RETIRO | Suma asegurada hasta de $25,000 pesos. | P hasta H |
ANEXO 4A
SUMAS ASEGURADAS DEL SEGURO DE RETIRO PARA LAS PERSONAS TRABAJADORAS QUE
ELIGIERON EL SISTEMA DE PENSIONES BASADO EN CUENTAS INDIVIDUALES
Para el año 2022
Para recibir la suma asegurada de $25,000.00 pesos, las y los trabajadores deberán cumplir con los requisitos establecidos para el cobro del seguro de retiro (de acuerdo con la póliza o contrato respectivo, según corresponda). Así como presentar original (para su cotejo), y copia simple de la resolución de pensión emitida por el ISSSTE (concesión de pensión), y copia simple del documento en el que la persona servidora pública acredite el régimen de retiro elegido (cuenta individual).
ANEXO 4B
SUMAS ASEGURADAS DEL SEGURO DE RETIRO PARA LAS PERSONAS SERVIDORAS PÚBLICAS QUE
ELIGIERON EL SISTEMA DE PENSIONES ESTABLECIDO EN EL ARTÍCULO DÉCIMO TRANSITORIO DE
LA LEY DEL INSTITUTO DE SEGURIDAD Y SERVICIOS SOCIALES DE LOS TRABAJADORES DEL
ESTADO
Para el año 2022
a) Los trabajadores que hubieren cotizado 30 años o más y tengan una edad mínima de 56 años, y las trabajadoras que hubieran cotizado 28 años o más y tengan una edad mínima de 54 años, tendrán derecho a una suma asegurada equivalente a $25,000.00 pesos.
b) Las trabajadoras y los trabajadores que cumplan 60 años de edad o más y 15 años o más de cotización al Instituto, tendrán derecho a una suma asegurada de acuerdo a la siguiente tabla:
| Años de servicio y cotización al Instituto | Suma Asegurada |
| 15 | $ 12,500.00 |
| 16 | $ 13,125.00 |
| 17 | $ 13,750.00 |
| 18 | $ 14,375.00 |
| 19 | $ 15,000.00 |
| 20 | $ 15,625.00 |
| 21 | $ 16,250.00 |
| 22 | $ 16,875.00 |
| 23 | $ 17,500.00 |
| 24 | $ 18,125.00 |
| 25 | $ 18,750.00 |
| 26 | $ 20,000.00 |
| 27 | $ 21,250.00 |
| 28 | $ 22,500.00 |
| 29 | $ 23,750.00 |
c) Las trabajadoras y los trabajadores que se separen voluntariamente del servicio a los 65 años de edad o más y hayan cotizado al Instituto por un mínimo de 10 años, tendrán derecho a una suma asegurada de acuerdo a la siguiente tabla:
| Edad | Suma Asegurada |
| 65 ò más | $12,500.00 |
ANEXO 5
ESTRUCTURA OCUPACIONAL DEL INSTITUTO NACIONAL DE TRANSPARENCIA, ACCESO A LA
INFORMACIÓN Y PROTECCIÓN DE DATOS PERSONALES 2022
| | Número de Plazas | CONCEPTOS DE PAGO Y APORTACIONES (MENSUALES) | COSTO ANUAL |
| | Ocupadas | Vacantes (A) | Total de Plazas 2022 | Sueldo Base | Compensación Garantizada | Prima quinquenal (B) | Prima vacacional | Aguinaldo o gratificación de fin de año sobre sueldo base | Aguinaldo o gratificación de fin de año sobre compensación garantizada | Aportaciones al ISSSTE | Aportaciones al seguro de cesantía en edad avanzada y vejez | Aportaciones al FOVISSSTE | Aportaciones al Sistema de Ahorro para el Retiro | Aportaciones para el ahorro solidario (C) | Cuotas para el seguro de vida institucional | Cuotas para el seguro colectivo de retiro | Ayuda para despensa | Servicio de comedor | Ayuda para las madres (1) | Ayuda para los padres (1) | Ayuda para la mujer gestante (1) | Pago extraordinario | Ayuda para anteojos (1) | Ayuda para gastos de titulación (1) | Ayuda para gastos de funeral (1) | Asignación adicional PS | Pago por defunción (1) | Unitario | Colectivo total |
| HB1 | 7 | 0 | 7 | 23,667.18 | 127,872.58 | 285.00 | 8,418.88 | 2,958.40 | 15,984.07 | 2,648.63 | 865.79 | 1,183.36 | 473.34 | 1,538.36 | 1,060.78 | 35.45 | 885.00 | - | 355.00 | 355.00 | 125.00 | 12,000.00 | 208.33 | - | 5,000.00 | - | 50.77 | 2,471,650.98 | 17,301,556.85 |
| KB2 | 5 | 0 | 5 | 17,409.02 | 119,835.35 | 285.00 | 7,624.69 | 2,176.13 | 14,979.42 | 2,024.69 | 667.10 | 870.45 | 348.18 | 1,131.59 | 960.71 | 35.45 | 885.00 | - | 355.00 | 355.00 | 125.00 | - | 208.33 | 416.67 | 5,000.00 | 833.33 | 50.77 | 2,118,922.50 | 10,594,612.50 |
| KA4 | 34 | 0 | 34 | 16,762.88 | 111,165.53 | 285.00 | 7,107.13 | 2,095.36 | 13,895.69 | 1,960.27 | 646.58 | 838.14 | 335.26 | 1,089.60 | 895.50 | 35.45 | 885.00 | - | 355.00 | 355.00 | 125.00 | - | 208.33 | 416.67 | 5,000.00 | 833.33 | 50.77 | 1,984,097.94 | 67,459,329.95 |
| MD5 | 21 | 0 | 21 | 16,762.88 | 102,907.57 | 285.00 | 6,648.36 | 2,095.36 | 12,863.45 | 1,960.27 | 646.58 | 838.14 | 335.26 | 1,089.60 | 837.69 | 35.45 | 885.00 | - | 355.00 | 355.00 | 125.00 | - | 208.33 | 416.67 | 5,000.00 | 833.33 | 50.77 | 1,866,416.50 | 39,194,746.59 |
| MC5 | 52 | 1 | 53 | 14,409.43 | 87,131.34 | 285.00 | 5,641.15 | 1,801.18 | 10,891.42 | 1,725.63 | 571.86 | 720.47 | 288.19 | 936.62 | 710.79 | 35.45 | 885.00 | - | 355.00 | 355.00 | 125.00 | - | 208.33 | 416.67 | 5,000.00 | 833.33 | 50.77 | 1,600,531.55 | 84,828,172.04 |
| MC4 | 16 | 0 | 16 | 14,409.43 | 80,945.12 | 285.00 | 5,297.48 | 1,801.18 | 10,118.14 | 1,725.63 | 571.86 | 720.47 | 288.19 | 936.62 | 667.48 | 35.45 | 885.00 | - | 355.00 | 355.00 | 125.00 | - | 208.33 | 416.67 | 5,000.00 | 833.33 | 50.77 | 1,512,373.79 | 24,197,980.62 |
| MC3 | 2 | 0 | 2 | 14,409.43 | 71,390.07 | 285.00 | 4,766.64 | 1,801.18 | 8,923.76 | 1,725.63 | 571.86 | 720.47 | 288.19 | 936.62 | 600.60 | 35.45 | 885.00 | - | 355.00 | 355.00 | 125.00 | - | 208.33 | 416.67 | 5,000.00 | 833.33 | 50.77 | 1,376,207.96 | 2,752,415.91 |
| MB2 | 113 | 2 | 115 | 9,863.81 | 60,094.65 | 285.00 | 3,886.58 | 1,232.98 | 7,511.83 | 1,272.43 | 427.54 | 493.19 | 197.28 | 641.16 | 489.71 | 35.45 | 885.00 | - | 355.00 | 355.00 | 1,500.00 | - | 208.33 | 416.67 | 5,000.00 | 833.33 | 50.77 | 1,152,428.57 | 132,529,285.03 |
| MB1 | 32 | 1 | 33 | 9,863.81 | 55,807.37 | 285.00 | 3,648.40 | 1,232.98 | 6,975.92 | 1,272.43 | 427.54 | 493.19 | 197.28 | 641.16 | 459.70 | 35.45 | 885.00 | - | 355.00 | 355.00 | 1,500.00 | - | 208.33 | 416.67 | 5,000.00 | 833.33 | 50.77 | 1,091,331.97 | 36,013,954.92 |
| NC3 | 22 | 1 | 23 | 9,863.81 | 46,230.94 | 285.00 | 3,116.38 | 1,232.98 | 5,778.87 | 1,272.43 | 427.54 | 493.19 | 197.28 | 641.16 | 392.66 | 35.45 | 885.00 | - | 355.00 | 355.00 | 1,500.00 | - | 208.33 | 416.67 | 5,000.00 | 833.33 | 50.77 | 954,861.46 | 21,961,813.48 |
| NB2 | 100 | 2 | 102 | 7,957.05 | 32,748.19 | 285.00 | 2,261.40 | 994.63 | 4,093.52 | 1,082.33 | 367.00 | 397.85 | 159.14 | 517.21 | 284.94 | 35.45 | 885.00 | 418.97 | 355.00 | 355.00 | 1,500.00 | - | 208.33 | 416.67 | 5,000.00 | 833.33 | 50.77 | 734,481.39 | 74,917,102.22 |
| NB1 | 88 | 2 | 90 | 7,957.05 | 31,616.68 | 285.00 | 2,198.54 | 994.63 | 3,952.09 | 1,082.33 | 367.00 | 397.85 | 159.14 | 517.21 | 277.02 | 35.45 | 885.00 | 418.97 | 355.00 | 355.00 | 1,500.00 | - | 208.33 | 416.67 | 5,000.00 | 833.33 | 50.77 | 718,356.62 | 64,652,096.03 |
| OC4 | 37 | 0 | 37 | 7,385.77 | 26,064.58 | 285.00 | 1,858.35 | 923.22 | 3,258.07 | 1,025.37 | 348.86 | 369.29 | 147.72 | 480.09 | 234.15 | 35.45 | 885.00 | 418.97 | 355.00 | 355.00 | 1,500.00 | - | 208.33 | 416.67 | 5,000.00 | 833.33 | 50.77 | 629,268.04 | 23,282,917.30 |
| OC3 | 2 | 0 | 2 | 7,385.77 | 21,586.51 | 285.00 | 1,609.57 | 923.22 | 2,698.31 | 1,025.37 | 348.86 | 369.29 | 147.72 | 480.09 | 202.81 | 35.45 | 885.00 | 418.97 | 355.00 | 355.00 | 1,500.00 | - | 208.33 | 416.67 | 5,000.00 | 833.33 | 50.77 | 565,452.55 | 1,130,905.10 |
| OB6 | 92 | 4 | 96 | 7,385.77 | 18,817.17 | 285.00 | 1,455.72 | 923.22 | 2,352.15 | 1,025.37 | 348.86 | 369.29 | 147.72 | 480.09 | 183.42 | 35.45 | 885.00 | 418.97 | 355.00 | 355.00 | 1,500.00 | - | 208.33 | 416.67 | 5,000.00 | 833.33 | 50.77 | 525,987.61 | 50,494,810.67 |
| OC1 | 23 | 2 | 25 | 7,385.77 | 17,868.99 | 285.00 | 1,403.04 | 923.22 | 2,233.62 | 1,025.37 | 348.86 | 369.29 | 147.72 | 480.09 | 176.78 | 35.45 | 885.00 | 418.97 | 355.00 | 355.00 | 1,500.00 | - | 208.33 | 416.67 | 5,000.00 | 833.33 | 50.77 | 512,475.41 | 12,811,885.35 |
| PC6 | 10 | 3 | 13 | 6,604.82 | 17,772.83 | 285.00 | 1,354.31 | 825.60 | 2,221.60 | 947.51 | 324.06 | 330.24 | 132.10 | 429.33 | 170.64 | 35.45 | 885.00 | 418.97 | 355.00 | 355.00 | 1,500.00 | - | 208.33 | 416.67 | 5,000.00 | 833.33 | 50.77 | 497,478.87 | 6,467,225.33 |
| PC4 | 23 | 2 | 25 | 6,604.82 | 15,439.96 | 285.00 | 1,224.71 | 825.60 | 1,930.00 | 947.51 | 324.06 | 330.24 | 132.10 | 429.33 | 154.31 | 35.45 | 885.00 | 418.97 | 355.00 | 355.00 | 1,500.00 | - | 208.33 | 416.67 | 5,000.00 | 833.33 | 50.77 | 464,233.92 | 11,605,847.98 |
| PC2 | 4 | 0 | 4 | 6,604.82 | 10,900.19 | 285.00 | 972.50 | 825.60 | 1,362.52 | 947.51 | 324.06 | 330.24 | 132.10 | 429.33 | 122.54 | 35.45 | 885.00 | 418.97 | 355.00 | 355.00 | 1,500.00 | - | 208.33 | 416.67 | 5,000.00 | 833.33 | 50.77 | 399,539.17 | 1,598,156.68 |
| PC1 | 2 | 0 | 2 | 6,604.82 | 10,514.07 | 285.00 | 951.05 | 825.60 | 1,314.26 | 947.51 | 324.06 | 330.24 | 132.10 | 429.33 | 119.83 | 35.45 | 885.00 | 418.97 | 355.00 | 355.00 | 1,500.00 | - | 208.33 | 416.67 | 5,000.00 | 833.33 | 50.77 | 394,036.70 | 788,073.41 |
| OD3 | 6 | 0 | 6 | 7,685.77 | 21,760.98 | 285.00 | 1,635.93 | 960.72 | 2,720.12 | 1,055.28 | 358.38 | 384.29 | 153.72 | 499.59 | 206.13 | 35.45 | 885.00 | 418.97 | 355.00 | 355.00 | 1,500.00 | - | 208.33 | 416.67 | 5,000.00 | 833.33 | 50.77 | 573,173.23 | 3,439,039.36 |
| OD2 | 1 | 0 | 1 | 7,685.77 | 20,771.94 | 285.00 | 1,580.98 | 960.72 | 2,596.49 | 1,055.28 | 358.38 | 384.29 | 153.72 | 499.59 | 199.20 | 35.45 | 885.00 | 418.97 | 355.00 | 355.00 | 1,500.00 | - | 208.33 | 416.67 | 5,000.00 | 833.33 | 50.77 | 559,078.75 | 559,078.75 |
| OB5 | 7 | 0 | 7 | 7,115.70 | 17,831.20 | 285.00 | 1,385.94 | 889.46 | 2,228.90 | 998.45 | 340.28 | 355.79 | 142.31 | 462.51 | 174.63 | 35.45 | 885.00 | 418.97 | 355.00 | 355.00 | 1,500.00 | - | 208.33 | 416.67 | 5,000.00 | 833.33 | 50.77 | 507,224.29 | 3,550,570.06 |
| PA6 | 19 | 0 | 19 | 6,130.64 | 13,050.06 | 285.00 | 1,065.59 | 766.33 | 1,631.26 | 900.23 | 309.01 | 306.53 | 122.61 | 398.48 | 134.26 | 35.45 | 885.00 | 418.97 | 355.00 | 355.00 | 1,500.00 | - | 208.33 | 416.67 | 5,000.00 | 833.33 | 50.77 | 421,902.40 | 8,016,145.59 |
| PA5 | 12 | 3 | 15 | 6,130.64 | 11,987.11 | 285.00 | 1,006.54 | 766.33 | 1,498.39 | 900.23 | 309.01 | 306.53 | 122.61 | 398.48 | 126.82 | 35.45 | 885.00 | 418.97 | 355.00 | 355.00 | 1,500.00 | - | 208.33 | 416.67 | 5,000.00 | 833.33 | 50.77 | 406,754.65 | 6,101,319.80 |
| PA3 | 1 | 0 | 1 | 6,130.64 | 9,997.96 | 285.00 | 896.03 | 766.33 | 1,249.75 | 900.23 | 309.01 | 306.53 | 122.61 | 398.48 | 112.90 | 35.45 | 885.00 | 418.97 | 355.00 | 355.00 | 1,500.00 | - | 208.33 | 416.67 | 5,000.00 | 833.33 | 50.77 | 378,407.94 | 378,407.94 |
| PA1 | 1 | 0 | 1 | 6,130.64 | 7,196.13 | 285.00 | 740.38 | 766.33 | 899.52 | 900.23 | 309.01 | 306.53 | 122.61 | 398.48 | 93.29 | 35.45 | 885.00 | 418.97 | 355.00 | 355.00 | 1,500.00 | - | 208.33 | 416.67 | 5,000.00 | 833.33 | 50.77 | 338,479.99 | 338,479.99 |
| TOTA L | 732 | 23 | 755 | | | | | | | | | | | | | | | | | | | | | | | | | | |
(A) Corresponde a la segunda quincena de enero de 2022.
(B) Considera el pago del quinquenio cinco.
(C) Considerando que la persona servidora pública aporta el 2%.
(1) Se otorga en caso de acreditar el derecho a percibirla.
(PS) Previsión socialANEXO 6
TABULADOR PARA PERSONAS FÍSICAS CONTRATADAS POR EL INSTITUTO NACIONAL DE
TRANSPARENCIA, ACCESO A LA INFORMACIÓN Y PROTECCIÓN DE DATOS PERSONALES PARA
PRESTAR SUS SERVICIOS PROFESIONALES BAJO EL RÉGIMEN DE HONORARIOS ASIMILADOS A
SALARIOS 2022
ANA YADIRA ALARCÓN MÁRQUEZ, EN MI CARÁCTER DE SECRETARIA TÉCNICA DEL PLENO DEL INSTITUTO NACIONAL DE TRANSPARENCIA, ACCESO A LA INFORMACIÓN Y PROTECCIÓN DE DATOS PERSONALES, CON FUNDAMENTO EN EL ARTÍCULO 45, FRACCIÓN IV, DE LA LEY FEDERAL DE TRANSPARENCIA Y ACCESO A LA INFORMACIÓN PÚBLICA, ASÍ COMO EN LO ORDENADO EN EL PUNTO DE ACUERDO SEPTIMO, DEL ACUERDO ACT-PUB/23/02/2022.09, CERTIFICO: QUE EL PRESENTE DOCUMENTO ES FIEL Y EXACTA REPRODUCCIÓN DEL CITADO ACUERDO ACT-PUB/23/02/2022.09 Y SU ANEXO, APROBADO EN LA SESIÓN ORDINARIA DEL PLENO DE ESTE INSTITUTO, CELEBRADA EL VEINTITRÉS DE FEBRERO DE DOS MIL VEINTIDÓS; MISMO QUE SE EXPIDE EN UN TOTAL DE 35 FOJAS ÚTILES.- MÉXICO, CIUDAD DE MÉXICO, A VEINTITRÉS DE FEBRERO DE DOS MIL VEINTIDÓS.- Rúbrica.