DECRETO por el que se entregan a favor del Pueblo Yaqui 2,943-73-89.23 hectáreas, ubicadas en los municipios de Guaymas, Cajeme, Empalme y San Ignacio Río Muerto, Estado de Sonora.
Al margen un sello con el Escudo Nacional, que dice: Estados Unidos Mexicanos.- Presidencia de la República.
ANDRÉS MANUEL LÓPEZ OBRADOR, Presidente Constitucional de los Estados Unidos Mexicanos, en ejercicio de la facultad que me confieren los artículos 89, fracción XX y 90 de la Constitución Política de los Estados Unidos Mexicanos, con fundamento en los artículos 1o., 2o. y 27, fracción VII, párrafo segundo de la propia Constitución; 1, 13 y 14 del Convenio 169 de la OIT sobre Pueblos Indígenas y Tribales en Países Independientes; 3, 4, 5, 8 numeral 2, inciso b), 26 y 27 de la Declaración de las Naciones Unidas sobre los Derechos de los Pueblos Indígenas; XIX y XXV de la Declaración Americana sobre los Derechos de los Pueblos Indígenas; 1, fracción I, 6 fracción VII, 28 de la Ley General de Bienes Nacionales, 7 y 157 de la Ley Agraria, 41 de la Ley Orgánica de la Administración Pública Federal; las Resoluciones publicadas en el Diario Oficial de la Federación el 30 de octubre de 1937 y 22 de octubre de 1940, respectivamente, por el entonces titular del Ejecutivo Federal, General Lázaro Cárdenas del Río, a favor del Pueblo Yaqui, y en cumplimiento con el Artículo Cuarto, fracción III del Decreto por el que se crea la Comisión Presidencial de Justicia para el Pueblo Yaqui del estado de Sonora, y
CONSIDERANDO
Que el Pueblo Yaqui, asentado en el estado de Sonora, es uno de los 68 pueblos indígenas reconocidos en el país, conformado por las comunidades de Vícam Pueblo, Primera Cabecera; Pótam, Segunda Cabecera; Tórim, Rahum, Loma de Bácum, Huírivis, Cócorit-Loma de Guamúchil y Belem, con una forma de organización de territorio ancestral y de gobierno tradicional con sus propios sistemas normativos, por lo que está tutelado por los artículos 1 y 2 Constitucionales, 14 del Convenio 169 de la OIT sobre Pueblos Indígenas y Tribales en Países Independientes; 3, 4, 5, 8 numeral 2, inciso b), 26 y 27 de la Declaración de las Naciones Unidas sobre los Derechos de los Pueblos Indígenas; XIX y XXV de la Declaración Americana sobre los Derechos de los Pueblos Indígenas;
Que el 30 de octubre de 1937 se publicó en el Diario Oficial de la Federación el "Acuerdo dictado para la resolución del problema agrario en la región del Yaqui, Son."; asimismo, el 22 de octubre de 1940 se publicó en el Diario Oficial de la Federación la "RESOLUCIÓN que titula definitivamente y precisa la ubicación de los terrenos que se restituyen a la Tribu Yaqui, del Estado de Sonora", en el que se precisaron los puntos a que se sujetaría el deslinde y amojonamiento de las tierras restituidas en favor de los núcleos de población del Pueblo Yaqui y que sirvió de titulación definitiva;
Que mediante Decreto Presidencial publicado en el Diario Oficial de la Federación el 10 de enero de 1997, se expropió al Pueblo Yaqui, ubicado en los municipios de Cajeme, Guaymas y Bácum, una superficie de 2,688-48-35.89 hectáreas;
Que el 26 de octubre de 2019 en la comunidad de Pótam, segunda cabecera del Pueblo Yaqui, el Titular del Ejecutivo Federal acordó impulsar un Plan de Justicia que atendiera sus reclamos ancestrales sobre tierras, territorio, agua y desarrollo integral. Este acuerdo fue ratificado en la reunión realizada el 6 de agosto de 2020, en la Guardia Tradicional de Vícam Pueblo;
Que para dar cumplimiento al Acuerdo antes citado, mediante Decreto publicado en el Diario Oficial de la Federación el 27 de octubre de 2020, se creó con carácter transitorio la Comisión Presidencial de Justicia para el Pueblo Yaqui, del estado de Sonora, la cual tiene "como objeto analizar, diseñar y proponer un Plan de Justicia para el Pueblo Yaqui, del estado de Sonora, que atienda sus necesidades sobre tierras, territorio, agua y desarrollo integral";
Que el Gobierno de México y las Autoridades Tradicionales del Pueblo Yaqui, han suscrito los "Acuerdos por la Justicia del Pueblo Yaqui", en los que se asume el compromiso de resarcir al Pueblo Yaqui sus reivindicaciones territoriales, por lo que el presente Decreto constituye un primer acto para dar inicio al cumplimiento de dichos Acuerdos;
Que la Secretaría de Desarrollo Agrario, Territorial y Urbano, como integrante de la mencionada Comisión Presidencial, conforme a lo dispuesto en la fracción III del Artículo Cuarto, del citado Decreto y, con relación a los procedimientos administrativos iniciados con el fin de dar cumplimiento al Decreto antes citado y una vez que se llevaron a cabo las investigaciones de antecedentes registrales y los trabajos de medición y deslinde correspondientes rindió informe al Titular del Ejecutivo Federal en el que se determinó la existencia de diversas superficies que suman un total de 2,943-73-89.23 ha (dos mil novecientas cuarenta y tres hectáreas, setenta y tres áreas, ochenta y nueve punto veintitrés centiáreas), ubicadas en los municipios de Guaymas, Cajeme, Empalme y San Ignacio Río Muerto, estado de Sonora que constituyen terrenos que carecen de Título de Propiedad Privada o Social, por lo que se encuentran bajo el dominio de la Nación. Dichos polígonos son los siguientes:
1. Predio: Polígono 1 Fracción A
Municipio: Guaymas
Estado: Sonora
a) Coordenadas de ubicación geográfica:
De latitud norte 28° grados 13' minutos 55.33'' segundos y de longitud oeste 110° grados 29' minutos 3.61'' segundos
b) Vértices de Colindancias:
c) Colindancias por cuadrante con origen al centro del polígono:
| CUADRANTE | COLINDANTES | DISTANCIAS (m) |
| Noroeste | Presunta propiedad de Daniel Burgos Daniel. | 685.29 |
| Noreste | Presunta Propiedad de Daniel Burgos Daniel y presunta propiedad de Javier Alejandro Vázquez Aello. | 1,738.8 |
| Sureste | Presunta propiedad de Javier Alejandro Vázquez Aello. | 454.65 |
| Suroeste | Presunta propiedad de Javier Alejandro Vázquez Aello y Daniel Burgos Daniel. | 3,510.85 |
Por tal motivo se elaboró plano definitivo y cuadros de construcción, respecto de la superficie, libre de inconformidad, Polígono 1 Fracción A.
2. Predio: Polígono 1 Fracción B
Municipio: Cajeme
Estado: Sonora
a) Coordenadas de ubicación geográfica:
De latitud norte 28° grados 01' minuto 13.78'' segundos y de longitud oeste 109° grados 59' minutos 21.79'' segundos
b) Vértices de Colindancias:
c) Colindancias por cuadrante con origen al centro del polígono:
| CUADRANTE | COLINDANTES | DISTANCIAS (m) |
| Noroeste | Comunidad indígena Pueblo Yaqui, presunta propiedad privada "Sahuaral o La Noria de Leher, Tarimas, Paroscahue fracción E y Parcela 1 fracción B". La Noria Ranch de S.P.R. de R.L. de C.V. y presunta propiedad privada predio "El Represo" de Lidia Valenzuela Pablos. | 19,654.14 |
| Noreste | Presunta propiedad privada predio "El Represo" de Lidia Valenzuela Pablos y predio "Rancho la Matanza y/o La Matanza", solicitado por la Comunidad Indígena Pueblo Yaqui. | 550.98 |
| Sureste | Predio "Rancho el Tigre y/o El Tigre", solicitado por la Comunidad Indígena Pueblo Yaqui, predio "Rancho la Matanza y/o La Matanza", solicitado por la Comunidad Indígena Pueblo Yaqui y Comunidad Buenavista. | 17,050.01 |
| Suroeste | Comunidad Indígena Pueblo Yaqui. | 487.82 |
MOSAICO INFORMATIVO:
Por tal motivo se elaboró plano definitivo y cuadros de construcción, respecto de la superficie, libre de inconformidad, Polígono 1 Fracción B.
3. Predio: Polígono 3
Municipio: Empalme
Estado: Sonora
a) Coordenadas de ubicación geográfica:
De latitud norte 28° grados 02' minutos 26.09'' segundos y de longitud oeste 110° grados 33' minutos 41.20'' segundos
b) Vértices de Colindancias:
c) Colindancias por cuadrante con origen al centro del polígono:
| CUADRANTE | COLINDANTES | DISTANCIAS (m) |
| Noroeste | Presunta propiedad privada. | 1,189.551 |
| Noreste | Presunta propiedad privada y ejido "Junelancahui". | 1,399.865 |
| Sureste | Ejido "Junelancahui". | 1,273.312 |
| Suroeste | Ejido "Junelancahui", Colonia Agrícola y Ganadera "Narciso Mendoza" y presunta propiedad privada. | 1,369.129 |
MOSAICO INFORMATIVO:
Por tal motivo se elaboró plano definitivo y cuadros de construcción, respecto de la superficie, libre de inconformidad, Polígono 3.
4. Predio: Polígono 5-A
Municipio: Empalme
Estado: Sonora
a) Coordenadas de ubicación geográfica:
De latitud norte 28° grados 02' minutos 22'' segundos y de longitud oeste 110° grados 32' minutos 11'' segundos
b) Vértices de Colindancias:
c) Colindancias por cuadrante con origen al centro del polígono:
| CUADRANTE | COLINDANTES | DISTANCIAS (m) |
| Noroeste | Presunta propiedad privada y ejido Junelancahui. | 944.617 |
| Noreste | Presunta privada, calle, ejido Sonora, Colonia Agrícola y Ganadera "Vicente Guerrero" y presunta propiedad privada. | 6,485.936 |
| Sureste | Colonia Agrícola y Ganadera "Vicente Guerrero". | 960.338 |
| Suroeste | Presunta propiedad privada, ejido Junelancahui, ejido Mariano Escobedo, calle y Colonia Agrícola y Ganadera "Narciso Mendoza". | 1,369.129 |
MOSAICO INFORMATIVO:
Por tal motivo se elaboró plano definitivo y cuadros de construcción, respecto de la superficie, libre de inconformidad, Polígono 5-A.
| SUPERFICIE ANALÍTICA DEL PREDIO | 389-57-25.887 HA. |
| SUPERFICIE EXCLUÍDA DE LA CALLE | 03-31-26.543 HA. |
| SUPERCIE SUSCEPTIBLE A REGULARIZAR | 386-25-99.344 HA. |
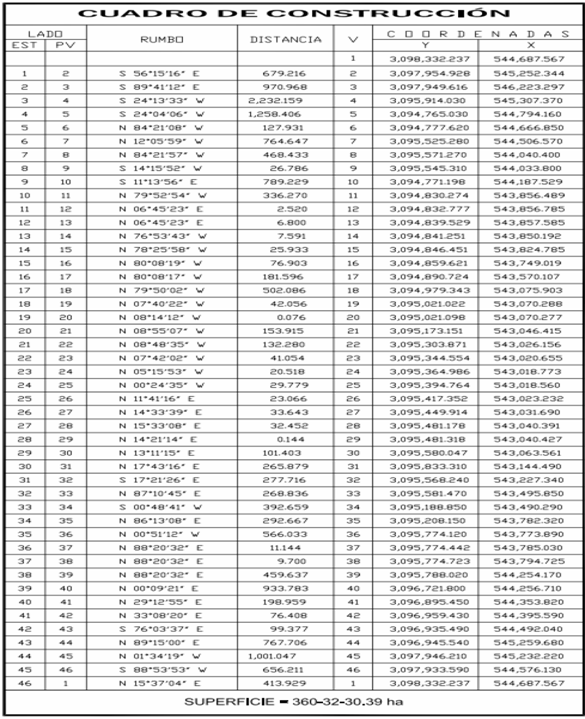
5. Predio: Polígono 5-B
Municipio: Empalme
Estado: Sonora
a) Coordenadas de ubicación geográfica:
De latitud norte 27° grados 59' minutos 35.22'' segundos y de longitud oeste 110° grados 32' minutos 50.27'' segundos
b) Vértices de Colindancias:
c) Colindancias por cuadrante con origen al centro del polígono:
| CUADRANTE | COLINDANTES | DISTANCIAS (m) |
| Noroeste | Presunta propiedad privada y Colonia Agrícola y Ganadera "Vicente Guerrero". | 3,716.011 |
| Noreste | Colonia Agrícola y Ganadera "Vicente Guerrero" y presunta propiedad privada. | 3,339.211 |
| Sureste | Propiedad Privada. | 1,726.331 |
| Suroeste | Presunta propiedad de Cruz Emilia Maytorena Plaza y otros, calle y presunta propiedad privada. | 6,977.998 |
MOSAICO INFORMATIVO:
Por tal motivo se elaboró plano definitivo y cuadros de construcción, respecto de la superficie, libre de inconformidad, Polígono 5-B.
| SUPERFICIE ANALÍTICA DEL POLÍGONO 5-B | 360-32-30.39 HA. |
| SUPERFICIE EXCLUIDA DE LA CALLE (INTERNA) | 00-75-54.19 HA. |
| SUPERCIE SUSCEPTIBLE A REGULARIZAR | 359-56-76.20 HA. |
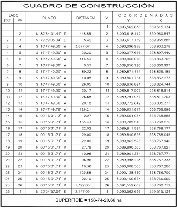
6. Predio: Polígono 5-C
Municipio: Empalme
Estado: Sonora
a) Coordenadas de ubicación geográfica:
De latitud norte 27° grados 57' minutos 7.88'' segundos y de longitud oeste 110° grados 36' minutos 3.83'' segundos
b) Vértices de Colindancias:
c) Colindancias por cuadrante con origen al centro del polígono:
| CUADRANTE | COLINDANTES | DISTANCIAS (m) |
| Noroeste | Presunta propiedad privada. | 923.85 |
| Noreste | Presunta propiedad privada de Cruz Emilia Maytorena Plaza y otros y polígono 6 solicitado por la Comunidad Indígena Pueblo Yaqui. | 2,950.95 |
| Sureste | Polígono 6 solicitado por la Comunidad Indígena Pueblo Yaqui. | 784.76 |
| Suroeste | Polígono 6 solicitado por la Comunidad Indígena Pueblo Yaqui y Presunta propiedad privada de Cruz Emilia Maytorena Plaza y otros. | 3,984.69 |
MOSAICO INFORMATIVO:
Por tal motivo se elaboró plano definitivo y cuadros de construcción, respecto de la superficie, libre de inconformidad, Polígono 5-C.
| SUPERFICIE ANALITICA DEL POLIGONO 5-C | 158-74-20.66 HA. |
| SUPERFICIE EXCLUIDA | 00-67-16.99 HA. |
| SUPERCIE SUSCEPTIBLE A REGULARIZAR | 158-07-03.67 HA. |
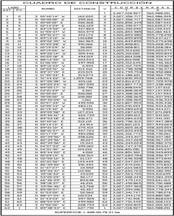
7. Predio: Polígono 8
Municipio: San Ignacio Río Muerto
Estado: Sonora
a) Coordenadas de ubicación geográfica:
De latitud norte 27° grados 21' minutos 15.30'' segundos y de longitud oeste 110° grados 24' minutos 25.30'' segundos
b) Vértices de Colindancias:
c) Colindancia por cuadrante con origen al centro del polígono:
| CUADRANTE | COLINDANTES | DISTANCIAS (m) |
| Noroeste | Ejido Renegados 1910. | 905.88 |
| Noreste | Ejido San Francisco o Narciso Beltrán, Colonia Melchor O. Campo, Ejido San Francisco o Narciso Beltrán, Presunta Propiedad Privada, Ejido San Francisco o Narciso Beltrán, presunta propiedad privada, Ejido 7 de Noviembre, presunta propiedad de Marco Antonio Aragón Beltrán, Ejido Liliba, Polígono 9 solicitado por la Comunidad Indígena, Pueblo Yaqui, Ejido Liliba, Polígono 9 solicitado por la Comunidad Indígena Pueblo Yaqui, Presunta Propiedad de Juan Manuel Avitia Paredes, Presunta Propiedad de Miguel Jiménez Portugal y Polígono 9 solicitado por la Comunidad Indígena Pueblo Yaqui. | 9,734.92 |
| Sureste | Polígono 9 solicitado por la Comunidad Indígena Pueblo Yaqui, Presunta Propiedad de María Luisa Brava Rabago, Ejido San Francisco o Narciso Beltrán y Presunta Propiedad Privada. | 3,252.70 |
| Suroeste | Presunta Propiedad Privada, Ejido San Francisco o Narciso Beltran, Presunta Propiedad de Mario Navarro, Ejido Liliba y Ejido Renegados 1910. | 4,678.62 |
MOSAICO INFORMATIVO:
Por tal motivo se elaboró plano definitivo y cuadros de construcción, respecto de la superficie, libre de inconformidad, Polígono 8.
| SUPERFICIE ANALÍTICA DEL PREDIO | 498-00-78.31HA |
| SUPERFICIE LA CARRETERA | 02-34-38.72 HA |
| SUPERFICIE SUCEPTIBLE A REGULARIZAR | 495-66-39.59 HA |
8. Predio: Polígono 9
Municipio: San Ignacio Río Muerto
Estado: Sonora
a) Coordenadas de ubicación geográfica:
De latitud norte 27° grados 21' minutos 19.4'' segundos y de longitud oeste 110° grados 23' minutos 35.9'' segundos
b) Vértices de Colindancias:
c) Colindancias por cuadrante con origen al centro del polígono:
| CUADRANTE | COLINDANTES | DISTANCIAS (m) |
| Noroeste | Presunta propiedad de Alicia Portugal, ejido "Liliba", "Polígono 8" solicitado por la Comunidad Indígena Pueblo Yaqui, presunta propiedad de Juan Manuel Avitia Rosales y presunta propiedad de Miguel Jiménez Portugal. | 2,214.971 |
| Noreste | Presunta propiedad de Alicia Portugal, ejido "Liliba", "Polígono 8" solicitado por la Comunidad Indígena Pueblo Yaqui, zona federal del canal y presunta propiedad privada. | 1,637.877 |
| Sureste | Ejido "San Francisco o Narciso Beltrán", presunta propiedad de Armando Lamas Corona, presunta propiedad privada y presunta propiedad de Alicia Portugal. | 1,562.521 |
| Suroeste | Ejido "San Francisco o Narciso Beltrán", "Polígono 8" solicitado por la Comunidad Indígena Pueblo Yaqui, presunta propiedad de Miguel Jiménez Portugal y presunta propiedad de Alicia Portugal. | 1,808.039 |
MOSAICO INFORMATIVO:
Por tal motivo se elaboró plano definitivo y cuadros de construcción, respecto de la superficie, libre de inconformidad, Polígono 9.
| SUPERFICIE ANALÍTICA DEL PREDIO | 119-29-75.81 HA. |
| SUPERFICIE LA CARRETERA | 04-29-15.74 HA. |
| SUPERFICIE SUSCEPTIBLE A REGULARIZAR | 115-00-60.07 HA. |
9. Predio: Polígono 10
Municipio: San Ignacio Río Muerto
Estado: Sonora
a) Coordenadas de ubicación geográfica:
De latitud norte 27° grados 22' minutos 54.66'' segundos y de longitud oeste 110° grados 22' minutos 51.13'' segundos
b) Vértices de Colindancias:
c) Colindancias por cuadrante con origen al centro del polígono:
| CUADRANTE | COLINDANTES | DISTANCIAS (m) |
| Noroeste | Presunta Propiedad de Roberto Manuel Escalante Peraza, Presunta Propiedad de Mario Alberto Navarro Cuamela y Camino. | 1,064.987 |
| Noreste | Presunta Propiedad de Mario Alberto Navarro Cuamela, Zona Federal del Canal y Presunta Propiedad Privada. | 1,046.928 |
| Sureste | Presunta Propiedad Privada y Zona Federal del Canal. | 2,247.221 |
| Suroeste | Zona Federal del Canal y Presunta Propiedad Privada. | 1,728.079 |
MOSAICO INFORMATIVO:
Por tal motivo se elaboró plano definitivo y cuadros de construcción, respecto de la superficie, libre de inconformidad, Polígono 10.
| SUPERFICIE ANALÍTICA DEL PREDIO | 62-46-85.30 HA. |
| SUPERFICIE DEL CAMINO | 00-23-20.55 HA. |
| SUPERFICIE SUSCEPTIBLE A REGULARIZAR | 62-23-64.75 HA. |
10. Predio: Polígono 11
Municipio: San Ignacio Río Muerto
Estado: Sonora
a) Coordenadas de ubicación geográfica:
De latitud norte 27° grados 23' minutos 16.02'' segundos y de longitud oeste 110° grados 22' minutos 31.16'' segundos
b) Vértices de Colindancias:
c) Colindancias por cuadrante con origen al centro del polígono:
| CUADRANTE | COLINDANTES | DISTANCIAS (m) |
| Noroeste | Presunta propiedad de Angélica Meza Corrales. | 255.782 |
| Noreste | Presunta propiedad de Angélica Meza Corrales y presunta propiedad de Julián Navarro Cuamea. | 210.424 |
| Sureste | Presunta propiedad de Julián Navarro Cuamea y presunta propiedad de Pedro Pablo Navarro Arvizu. | 286.306 |
| Suroeste | Presunta propiedad de Pedro Pablo Navarro Arvizu y presunta propiedad de Angélica Meza Corrales. | 203.847 |
MOSAICO INFORMATIVO:
Por tal motivo se elaboró plano definitivo y cuadros de construcción, respecto de la superficie, libre de inconformidad, Polígono 11.
| SUPERFICIE ANALÍTICA DEL PREDIO | 08-14-88.30 HA. |
| SUPERFICIES EXCLUIDAS DE PRESUNTAS PROPIEDADES | 02-76-70.51 HA. |
| SUPERFICIE SUSCEPTIBLE A REGULARIZAR | 05-38-17.79 HA. |
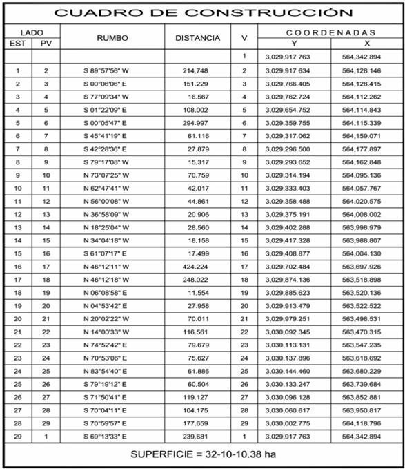
11. Predio: Polígono 12
Municipio: San Ignacio Río Muerto
Estado: Sonora
a) Coordenadas de ubicación geográfica:
De latitud norte 27° grados 23' minutos 24.29'' segundos y de longitud oeste 110°grados 21' minutos 14.81'' segundos
b) Vértices de Colindancias:
c) Colindancias por cuadrante con origen al centro del polígono:
| CUADRANTE | COLINDANTES | DISTANCIAS (m) |
| Noroeste | Presunta propiedad de María Jesús Jusacamea Coronel, presunta propiedad y zona federal del canal. | 723.915 |
| Noreste | Zona Federal del Canal y ejido "San Francisco o Narciso Beltrán". | 819.806 |
| Sureste | Ejido "San Francisco o Narciso Beltrán", camino, presunta propiedad y presunta propiedad de José Alfredo Viramontes Jusacamea. | 1,003.235 |
| Suroeste | Presunta propiedad de José Alfredo Viramontes Jusacamea y presunta propiedad de María Jesús Jusacamea Coronel. | 402.327 |
MOSAICO INFORMATIVO:
Por tal motivo se elaboró plano definitivo y cuadros de construcción, respecto de la superficie, libre de inconformidad, Polígono 12
| SUPERFICIE ANALÍTICA DEL PREDIO | 34-05-30.42 HA |
| SUPERFICIE DEL CAMINO | 01-95-20.04 HA |
| SUPERFICIE SUSCEPTIBLE A REGULARIZAR | 32-10-10.38 HA |
12. Predio: Predio Playa y/o Costa.
Municipio: San Ignacio Río Muerto.
Estado: Sonora.
a) Coordenadas de ubicación geográfica:
De latitud norte 27° grados, 19' minutos y 44.63" segundos y de longitud oeste 110° grados, 26' minutos y 33.23" segundos.
b) Vértices de Colindancias:
| Vértices | Colindante | Distancias (m) |
| 1 al 2 | Zona Federal del Canal. | 369.093 |
| 2 al 77 | Zona Federal Marítimo Terrestre del Golfo de California. | 4,786.945 |
| 77 al 79 | Zona Federal del Canal. | 499.569 |
| 79 al 83 | Zona Federal Marítimo Terrestre del Golfo de California. | 264.394 |
| 83 al 84 | Expropiación. | 1,164.391 |
| 84 al 1 | Camino. | 3,728.805 |
c) Colindancias por cuadrante con origen al centro del polígono:
| CUADRANTE | COLINDANTES | DISTANCIAS (m) |
| Noroeste | Zona Federal Marítimo Terrestre del Golfo de California, zona federal del canal, expropiación y camino. | 4,138.407 |
| Noreste | Camino. | 1,194.323 |
| Sureste | Camino, zona federal del canal y Zona Federal Marítimo Terrestre del Golfo de California. | 3,886.243 |
| Suroeste | Zona Federal Marítimo Terrestre del Golfo de California. | 1,594.224 |
Con el siguiente plano y cuadros de construcción:
| SUPERFICIE ANALÍTICA DEL PREDIO | 307-89-14.06 HA |
| SUPERFICIE DEL CAMINO | 2-23-68.45 HA |
| SUPERFICIE SUSCEPTIBLE A REGULARIZAR | 305-65-45.61 HA |
Que es decisión y facultad del Presidente de los Estados Unidos Mexicanos, como titular del Ejecutivo Federal, en términos de lo dispuesto en los artículos 27 y 89 de la Constitución Política de los Estados Unidos Mexicanos, Tratados Internacionales suscritos en materia de derechos humanos y derechos de los pueblos indígenas, así como en los numerales 2 fracción II y 6 fracción VII de la Ley General de Bienes Nacionales, llevar a cabo las acciones necesarias para el fomento y desarrollo agropecuario particularmente de los pueblos indígenas; por lo que en resarcimiento a la pérdida sufrida por el Pueblo Yaqui, con motivo de la expropiación de que fue objeto a través del Decreto publicado en el Diario Oficial de la Federación el 10 de enero de 1997, se le entrega en propiedad para su uso, explotación y administración, conforme a sus usos y costumbres, la superficie total de 2,943-73-89.23 ha (dos mil novecientas cuarenta y tres hectáreas, setenta y tres áreas, ochenta y nueve punto veintitrés centiáreas), que comprenden los polígonos antes descritos ubicados en los municipios de Guaymas, Cajeme, Empalme y San Ignacio Río Muerto, estado de Sonora; lo anterior con independencia de las demás acciones y procedimientos que se deban llevar a cabo para atender la justa demanda de tierras del Pueblo Yaqui, y
Que en consecuencia, de conformidad con las facultades contenidas en los artículos 27, primer párrafo, 89, fracción XX, de la Constitución Política de los Estados Unidos Mexicanos, y demás normativa aplicable y en concordancia con la obligación del Titular del Ejecutivo Federal de proveer lo conducente para tutelar los derechos del Pueblo Yaqui, he tenido a bien emitir el siguiente
DECRETO
ARTÍCULO PRIMERO. Se entregan a favor del Pueblo Yaqui, los polígonos ubicados en los municipios de Guaymas, Cajeme, Empalme y San Ignacio Río Muerto, estado de Sonora que dan un total de 2,943-73-89.23 ha (dos mil novecientas cuarenta y tres hectáreas, setenta y tres áreas, ochenta y nueve punto veintitrés centiáreas), y que se localizan conforme a los datos precisados en la parte considerativa del presente Decreto, para su uso, explotación y administración para el fomento y desarrollo agropecuario, conforme a sus usos y costumbres.
ARTÍCULO SEGUNDO. El presente Decreto constituye el título de propiedad colectiva respecto de la superficie indicado en el Artículo que antecede. Por lo que se ordena su inscripción en el Instituto Catastral y Registral del estado de Sonora, en el Registro Público de la Propiedad Federal y en el Registro Agrario Nacional.
ARTÍCULO TERCERO. Publíquese el presente Decreto en el Diario Oficial de la Federación; comuníquese al Instituto de Administración y Avalúos de Bienes Nacionales, para los efectos a que haya lugar en el ámbito de su competencia.
TRANSITORIOS
ÚNICO. El presente Decreto entrará en vigor al día siguiente de su publicación en el Diario Oficial de la Federación.
Dado en la residencia del Poder Ejecutivo Federal, en la Ciudad de México, a 28 de septiembre de 2021.- Andrés Manuel López Obrador.- Rúbrica.- El Secretario de Desarrollo Agrario, Territorial y Urbano, Román Guillermo Meyer Falcón.- Rúbrica.