Estados Unidos Mexicanos
Secretaría de Comunicaciones y Transportes
Aeropuertos y Servicios Auxiliares
MAURICIO OMAR ARELLANO VILLAVICENCIO. Director de Combustibles de Aeropuertos y Servicios Auxiliares, con fundamento en los artículos 1, 3, fracción I, y 45 de la Ley Orgánica de la Administración Pública Federal; 77 de la Ley Federal de Presupuesto y Responsabilidad Hacendaria; 4 de la Ley Federal de Procedimiento Administrativo; 21 y 56, fracciones I, III, V, XI, XVIII, XXI y XXII del ESTATUTO Orgánico de Aeropuertos y Servicios Auxiliares; así como en cumplimiento al Oficio número SE-300/33007/2021, de la Comisión Reguladora de Energía, mediante el cual requiere a este Organismo para que sea publicada íntegramente en el Diario Oficial de la Federación, la resolución número RES/1705/2018 de 03 de agosto de 2018, en acatamiento a la sentencia de amparo en revisión de fecha 10 de junio de 2021, dictada en recurso de revisión R.A. 58/2020, del índice del Primer Tribunal Colegiado en Materia Administrativa, Especializado en Competencia Económica, Radiodifusión y Telecomunicaciones con residencia en la Ciudad de México y Jurisdicción en toda la República; lo que se hace en los siguientes términos:
RESOLUCIÓN Núm. RES/1705/2018
RESOLUCIÓN DE LA COMISIÓN REGULADORA DE ENERGÍA POR LA QUE SE APRUEBA A AEROPUERTOS Y SERVICIOS AUXILIARES LA LISTA DE TARIFAS MÁXIMAS INICIALES APLICABLES A LA PRESTACIÓN DEL SERVICIO DE ALMACENAMIENTO DE COMBUSTIBLES PARA AERONAVES EN AERÓDROMOS.
R E S U L T A DO
PRIMERO. Que el 11 de agosto de 2014, se publicó en el Diario Oficial de la Federación (DOF) la Ley de Hidrocarburos (LH) y la Ley de los Órganos Reguladores Coordinados en Materia Energética (LORCME) y el 31 de octubre de 2014 el Reglamento de las Actividades a que se refiere el Título Tercero de la Ley de Hidrocarburos (Reglamento), en el mismo medio de difusión oficial.
SEGUNDO. Que el 12 de enero de 2016, se publicó en el DOF la resolución RES/899/2015, mediante la cual la Comisión Reguladora de Energía (la comisión) expidió las Disposiciones Administrativas de Carácter General en materia de acceso abierto y prestación de los servicios de transporte por ducto y almacenamiento de petrolíferos y petroquímicos (las DACG).
TERCERO. Que en el periodo comprendido del 5 de octubre al 9 de noviembre de 2015, Aeropuertos y Servicios Auxiliares (el Permisionario) presentó ante la Comisión 60 solicitudes de permisos de almacenamiento de petrolíferos en aeródromos
CUARTO. Que mediante la resolución RES/817/2015, de fecha 26 de noviembre de 2015, la Comisión, otorgó al Permisionario 60 permisos de almacenamiento de petrolíferos en aeródromos, cuyos sistemas de almacenamiento en aeródromos específicos y el número de cada permiso, se encuentra señalados en el Anexo Único de la resolución antes mencionada.
QUINTO. Que mediante el oficio C/0236/2017, recibido en la Comisión el 26 de junio de 2017, el Permisionario presentó una propuesta de programa de trabajo para revisar sus tarifas de almacenamiento de combustibles de aviación y entregó un resumen de resultado de análisis para la separación de costos de las actividades de almacenamiento y expendio de petrolíferos en aeródromos.
SEXTO. Que por medio del oficio UP-270/44210/2017, de fecha 14 de julio de 2017, la Comisión requirió al Permisionario el cumplimiento de obligaciones consistente en presentar su propuesta de metodología tarifaria, las tarifas para cada sistema de almacenamiento en aeródromos y el pago de aprovechamiento correspondiente; a fin de encontrarse en condiciones de iniciar el procedimiento de evaluación, y en su caso, aprobación tarifaria, de conformidad con el artículo 83 del Reglamento.
SÉTIMO. Que a través del escrito C3/886/2017, recibido en la Comisión el 12 de septiembre de 2017, el Permisionario dio respuesta al requerimiento a que se refiere el resultado inmediato anterior, presentando
diversa documentación que contiene, la propuesta de tarifas para la prestación del servicio, la metodología para el cálculo de las mismas, la herramienta de cálculo del modelo tarifario y el plan de inversiones de corto plazo. Adicionalmente, presentó copia del recibo bancario por el pago de derechos y aprovechamiento por concepto de análisis, evaluación y, en su caso, aprobación de tarifas máximas iniciales para 60 sistemas de almacenamiento de petrolíferos en aeródromos, realizado el 25 de agosto de 2017.
OCTAVO. Que mediante el oficio UP-270/54755/2017, de fecha 28 de septiembre de 2017, en términos de lo previsto en el artículo 83, fracción II, del Reglamento, la Comisión previno al Permisionario para que presentará información adicional necesaria para el análisis y evaluación de las tarifas propuestas, toda vez que la información presentada a través del escrito C3/886/2017, referido en el resultado inmediato anterior, resultó ser insuficiente para el análisis y aprobación de la propuesta tarifaria.
NOVENO. Que a través del escrito C3/943/2017, recibido el 9 de octubre de 2017, el Permisionario en respuesta al oficio a que se refiere el resultado inmediato anterior, presentó diversa información que contiene: i) la herramienta de cálculo para la determinación de las tarifas, ii) los insumos utilizados en el modelo tarifario, iii) la tasa de rentabilidad con sus respectivas series históricas de los parámetros utilizados para determinar la rentabilidad razonable del modelo tarifario, y iv) la memoria de cálculo para determinar el costo marginal de inversión para la prestación del servicio.
DÉCIMO. Que mediante el oficio UP-270/63671/2017, del 31 de octubre del 2017, la Comisión previno al Permisionario, en términos del artículo 83, fracción II, del Reglamento; para que aportara diversa información adicional, necesaria y específica respecto de los criterios de aplicabilidad de las tarifas propuestas, entre otra información, la proyección de crecimiento de la demanda y la estimación paramétrica de la inversión.
UNDÉCIMO. Que por medio del escrito C3/1048/2017, recibido el 14 de noviembre del 2017, el Permisionario en respuesta al oficio al que se refiere el resultado inmediato anterior, presentó para tales efectos la información siguiente: i) los insumos del capital de trabajo, ii) la depreciación de activos actuales, iii) la proyección de la depreciación de los activos en que el Permisionario realizará inversión, y vi) la estimación paramétrica de la inversión largo plazo con ajustes. Asimismo, el Permisionario presentó un documento que contiene la metodología para el cálculo de tarifas, una nota de consideraciones para el cálculo de la demanda de combustibles y otra sobre las consideraciones de la inversión a largo plazo.
DUODÉCIMO. Que a través del oficio UP-270/71689/2017, de fecha 27 de noviembre de 2017, la Comisión, con fundamento en el artículo 83, fracción III, del Reglamento, requirió al Permisionario presentar la propuesta de tarifa única mencionado en el escrito indicado en el resultado Séptimo, así como la metodología de cálculo y justificación, respecto de los sistemas de almacenamiento en aeródromos donde el volumen de facturación anual no exceda 25 millones de litros.
DECIMOTERCERO. Que mediante el escrito C/478/2017, recibido en la Comisión el 8 de enero de 2018, en atención al requerimiento contenido en el oficio al que se refiere el resultado inmediato anterior, el Permisionario presentó: i) la metodología de cálculo tarifario con ajustes, derivado de las observaciones realizadas por la Comisión, y ii) las alternativas de ajuste a la estimación de tarifas máximas considerando la problemática de los sistemas de almacenamiento con poco volumen de demanda, para evaluación de la Comisión.
DECIMOCUARTO. Que por medio del oficio UP-270/18315/2018, de fecha 7 de febrero de 2018, la Comisión realizó un requerimiento al Permisionario, de conformidad con la fracción III, del artículo 83, del Reglamento; para que aportara información necesaria, adicional y específica sobre los criterios de aplicabilidad de las tarifas propuestas, entre otra información se requirió lo siguiente: i) la propuesta específica y los valores de tarifas para los sistemas de almacenamiento donde el volumen de facturación anual no excede 25 millones de litros, desglosando con mayor detalle los costos de operación, mantenimiento y administración (OMA); ii) la serie histórica utilizada para el pronóstico de demanda, revisar los supuestos de demanda y costos de los sistemas de almacenamiento medianos, y iii) el modelo tarifario para todas las terminales de almacenamiento y sus criterios de aplicabilidad, considerando los cambios solicitados.
DECIMOQUINTO. Que a través del escrito C3/ 174/2018, recibido en la Comisión el 2 de marzo de 2018, en atención al oficio a que se refiere el resultado inmediato anterior, el Permisionario presentó: i) las series históricas de la demanda; ii) una nota metodológica respecto del modelo para el pronóstico de la demanda; iii)
los costos OMA desglosados; iv) los criterios de aplicabilidad de las tarifas de almacenamiento; v) una nota informativa sobre los ajustes en los sistemas de almacenamiento a realizar, destacando que cerrarán de manera progresiva 10 sistemas de almacenamiento con mínima demanda; la optimización de costos en 7 sistemas de almacenamiento para disminuir las tarifas que fueron propuestas anteriormente, y vi) el modelo tarifario ajustando los cambios señalados por la Comisión en el oficio referido en el resultando inmediato anterior.
DECIMOSEXTO. Que mediante oficio UP-270/29073/2018, d fecha 20 de marzo de 2018, la Comisión realizó un requerimiento de información complementaria al Permisionario, con fundamento en el artículo 83, fracción III, del Reglamento; para presentar una propuesta tarifaria específica para los Aeropuertos con ventas anuales menores a los 25 millones de litros de combustibles, incluyendo el plazo de vigencia.
DECIMOSÉPTIMO. Que mediante el escrito C3/301/2018, recibido en la Comisión el 16 de abril de 2018, en atención al oficio a que se refiere el resultando inmediato anterior, el Permisionario presentó la propuesta específica para los aeropuertos con ventas anuales menores a 25 millones de litros, la cual incluye las tarifas concretas que propone, adicionalmente, el Permisionario presentó una nueva propuesta tarifaria para los aeropuertos de Matamoros y San José del Cabo por ajustes en la demanda e inversión, respectivamente.
DECIMOCTAVO. Que a través el oficio UP-270/38409/2018, del 30 de abril de 2018, la Comisión realizó un requerimiento de información complementaria al Permisionario, con fundamento el artículo 83, fracción III, del Reglamento; para conocer la fecha en que los sistemas de almacenamiento de petrolíferos en aeródromos podrán operar con las tarifas que sean aprobadas por la Comisión, con su respectiva justificación, adicionalmente se solicitó presentar el desglose de la inversión para el aeropuerto de San José del Cabo en atención a la solicitud de modificación de tarifa referida en el escrito a que se refiere el resultando inmediato anterior.
DECIMONOVENO. Que por medio del escrito C31/1176/2018, recibido en la Comisión el 28 de mayo de 2018, en atención al oficio a que se refiere el resultando inmediato anterior, el Permisionario informó que los cambios en los sistemas informáticos para la facturación de las tarifas que sean aprobadas por la Comisión concluirán el 1 de julio del 2018, adicionalmente presentó el desglose de la inversión para el aeropuerto de San José del Cabo, y los estudios de impacto de riesgo ambientales y protección civil, para la operación de las granjas de almacenamiento en aeródromos.
C O N S I D E R A N D O
PRIMERO. Que de acuerdo con lo dispuesto en los artículos 41, fracción I y 42 de la LORCME, la Comisión deberá regular y promover el desarrollo eficiente de la actividad de almacenamiento de petrolíferos en aeródromos, y fomentará el desarrollo eficiente de la industria, promoverá la competencia en el sector, protegerá los intereses de los usuarios, propiciará una adecuada cobertura nacional y atenderá la confiabilidad, estabilidad y seguridad en el suministro y la prestación de los servicios.
SEGUNDO. Que de acuerdo con el artículo 4, fracción II, de la LH, el almacenamiento se define como la actividad consistente en el depósito y resguardo de los petrolíferos en depósitos e instalaciones confinados que pueden ubicarse en la superficie, el mar o el subsuelo. En adición a lo anterior, el artículo 20 del Reglamento prevé que dicha actividad comprende la recepción de petrolíferos propiedad de terceros, en los puntos de recepción de su instalación o sistema, conservarlos en depósito, resguardarlos y devolverlos al depositante o a quien éste designe, en los puntos de entrega determinados en su instalación o sistema, conforme a lo dispuesto en las disposiciones administrativas de carácter general que emita la Comisión.
TERCERO. Que de conformidad con lo dispuesto en los artículos 48, fracción II y 82 de la LH, la actividad de almacenamiento de petrolíferos en aeródromos requerirá de permiso otorgado por la Comisión, la cual expedirá disposiciones de aplicación general para la regulación de dicha actividad, en el ámbito de su competencia, incluyendo los términos y condiciones a los que deberá sujetarse la prestación del servicio; al igual que la determinación de las contraprestaciones, precios y tarifas aplicables, entre otros.
CUARTO. Que de conformidad con el artículo 82, fracción II, inciso b) de la LH, la metodología para el cálculo de las tarifas considerará la estimación de costos eficientes para la prestación del servicio, así como la obtención de una rentabilidad razonable que refleje los costos de oportunidad del capital invertido, el costo
estimado de financiamiento y los riegos inherentes del proyecto, entre otros.
QUINTO. Que de conformidad con el artículo 77 del Reglamento, la Comisión expedirá, mediante disposiciones administrativas de carácter general, la regulación de las contraprestaciones, precios o tarifas para las actividades permisionadas, con excepción de las actividades de comercialización y expendio al público de gas licuado de petróleo, gasolina y diésel, cuyos precios se determinarán conforme a las condiciones de mercado, Asimismo, la Comisión podrá aplicar las medidas a que se refiere el artículo 83 de la LH, en particular en la determinación de contraprestaciones, precios o tarifas, la Comisión empleará las herramientas de evaluación que estime necesarias para lograr su objetivos regulatorios, para lo cual podrá realizar ejercicios comparativos y aplicar los ajustes que estime oportunos, así como emplear indicadores de desempeño para fines de publicidad.
SEXTO. Que, de conformidad con el Transitorio Tercero del Reglamento, la Comisión podrá aplicar las disposiciones jurídicas en materia de otorgamiento y regulación de permisos, incluyendo las disposiciones administrativas de carácter general y demás disposiciones emitidas por la Comisión que se encuentren vigentes, en lo que no se opongan a la LH y al Reglamento, hasta en tanto se expiden las disposiciones administrativas de carácter general y demás ordenamientos correspondientes.
SÉPTIMO. Que, la disposición 38.1 de las DACG establece, entre otros aspectos que la regulación de tarifas por la prestación de los servicios tomará en cuenta la naturaleza de la actividad y de los proyectos en cuestión, así como la aplicación de dicha regulación a través de mecanismos de mercado que fomentan el desarrollo eficiente de la industria.
OCTAVO. Que, adicionalmente, la disposición 39.2 de las DACG, establece que la Comisión puede resolver que determinados permisionarios de almacenamiento se sujeten a una regulación más estricta cuando el servicio sea prestado de manera predominante por un almacenista o por un número limitado de permisionarios.
NOVENO. Que, la experiencia internacional muestra que el servicio de almacenamiento de combustible de aviación en aeródromos es brindado preponderantemente por un solo proveedor en cada aeródromo, y siendo que el Permisionario es el único almacenista en 60 aeródromos nacionales, la Comisión considera que el Permisionario es un proveedor predominante que debe estar sujeto a una regulación más estricta, de conformidad con la fracción I de la disposición mencionada en el considerando inmediato anterior.
DÉCIMO. Que la información que el Permisionario prestó en los escritos referidos en los resultandos Séptimo y Noveno, contemplan el plan de negocios, la estimación del ingreso requerido para la prestación del servicio por un periodo de 25 años, considerando una base contable de activos, costos de operación y mantenimiento, impuestos, depreciación y una tasa de rentabilidad. Asimismo, a partir del ingreso requerido, se presenta un esquema tarifario para cada sistema de almacenamiento, considerando las capacidades y demanda estimada de combustible en cada terminal, para determinar las tarifas del servicio de almacenamiento de petrolíferos en aeródromos a partir de un modelo de flujo de efectivo descontado. El esquema tarifario presentado por el Permisionario incluye:
1. Tarifa por almacenamiento. Corresponde a una tarifa acorde con la modalidad de uso común en el almacenamiento, consistente en un cargo por el volumen almacenado y entregado.
2. Cargo por entrega a través de hidrante. Representa un cargo adicional a la tarifa por almacenamiento y se cobrará únicamente por aquel volumen que sea entregado a través de la red de hidrantes de los aeródromos.
3. Tarifa por horario extraordinario. Los aeródromos que no operen 24 horas del día podrán cobrar un cargo adicional por la operación fuera del horario oficial del aeropuerto (Tarifa por horario extraordinario), a fin de permitir al permisionario recuperar el costo adicional incurrido en la operación del almacenamiento y entrega de combustibles en estas condiciones.
UNDÉCIMO. Que para dar cumplimiento al artículo 34 de la LORCME y 9 y 83 del Reglamento, el Permisionario realizó el pago de aprovechamientos correspondiente, en términos de lo dispuesto por el Oficio No. 349-B-210, emitido por la Unidad de Política de Ingresos No Tributarios de la Subsecretaria de Ingresos de la Secretaría de Hacienda y Crédito Público, el 23 de marzo de 2017.
DUODÉCIMO. Que del análisis de la información presentada por el Permisionario en su modelo tarifario, se determinó que los costos OMA relacionados con la propuesta de Tarifas Base y Tarifas por uso de Hidrante
no son consistentes con referencia de parámetros internacionales de operación de terminales de almacenamiento, por lo que la Comisión considerará necesario ajustar las cifras de costos OMA utilizadas por el Permisionario para la determinación de dichas tarifas, a fin de que reflejen costos eficientes de prestación del servicio, de conformidad con el inciso b) de la fracción II del segundo párrafo del artículo 82 de la LH.
DECIMOTERCERO. Que el Permisionario como parte de su propuesta tarifaria presentó el cálculo de costos de capital (ROE) de su proyecto, así como la rentabilidad o Costo Promedio Ponderado de Capital (WACC, por sus siglas en ingles), tomando como referencia la metodología aprobada por la Comisión en la resolución RES/233/2013 de fecha 20 de junio de 2013, mediante la cual se expiden los criterios de aplicación de la Directiva sobre la determinación de las tarifas y el traslado de precios para las actividades reguladas en materia de gas natural DIR-GAS-001-2007 en relación al costo de capital para el transporte de gas naturalpor ducto.
DECIMOCUARTO. Que la Comisión evaluó las capacidades de almacenamiento presentadas por el Permisionario para cada uno de los permisos de almacenamiento de petrolíferos en aeródromos, encontrando que estas no representan la capacidad eficiente necesaria para la prestación del servicio, con base en criterios establecidos en la guía de la Asociación Internacional de Transporte Aéreo (IATA por sus siglas en ingles) sobre Capacidad de Almacenamientos de Combustible en Aeropuertos (IATA Guidance on Airport Fuel Storage Capacity, primera edición, publicada en mayo 2008). Por lo anterior, la Comisión estimó la capacidad eficiente necesaria para la prestación del servicio en cada una de las terminales de almacenamiento en aeródromos del Permisionario, como la mayor entre las capacidades resultantes de los siguientes criterios:
· 50% de la capacidad requerida para satisfacer la política pública de ALMACENAMIENTO Mínimo de Petrolíferos, publicado mediante acuerdo de la Secretaria de Energía (SENER) en el Diario Oficial de la Federación del 12 de diciembre de 2017;
· La capacidad requerida para retener 5 días de la demanda máxima de cada aeropuerto en 2017;
· La capacidad requerida para retener por 5 días la diferencia entre la demanda máxima y la demanda mínima de cada aeropuerto en 2017 y,
· La capacidad requerida para retener la demanda máxima de 2017 de cada aeropuerto proyectada a 15 años con la tasa de crecimiento anual de las ventas de turbosina estimada por ASA para cada uno de los aeropuertos para el periodo 2018-2033. La proyección de ASA de las ventas totales de turbosina en todos los aeropuertos considera un crecimiento promedio de 3.04% por año en ese periodo.
DECIMOQUINTO. Que, con base en los ajustes mencionados en los considerandos duodécimo y decimocuarto, la comisión ajustó la propuesta tarifaria del Permisionario, determinado las tarifas a a partir de las capacidades óptimas estimadas para prestar el servicio de almacenamiento en los aeropuertos en los que opera el Permisionario. Asímismo se determinaron los costos OMA y el valor de los activos amortizados a 25 años considerando parámetros observados en el mercado de almacenamiento a nivel Internacional.
DECIMOSEXTO. Que el Permisionario está sujeto al pago de derechos de Uso de Aeropuerto, el cual es de 5% sobre la suma de los ingresos brutos por servicios aeroportuarios, complementarios y comerciales del Permisionario, de acuerdo a los artículos 219 y 220 de la Ley Federal de Derechos, por lo que el pago de dicho derecho se consideró para el cálculo de las tarifas del Permisionario.
DECIMOSÉPTIMO. Que, con base en el análisis realizado en los considerandos Duodécimo y Decimocuarto, la Comisión estima necesario ajustar la propuesta tarifaria del permisionario, determinando las tarifas base de almacenamiento siguiendo la metodología del cálculo descrita en el anexo IV de la presente resolución, el cual forma parte de la misma como si a la letra se insertase. Asimismo, la Comisión considera necesario ajustar las Tarifas por uso de Hidrante a un centavo de peso, por litro de combustible entregado por este medio.
DECIMOCTAVO. Que tomando en cuenta que la entrega a través de hidrante constituye un servicio complementario al servicio de almacenamiento, cuyo costo resulta marginal respecto al de éste último, la Comisión considera necesario ajustar las tarifas por uso de Hidrante a diez pesos por metro cúbico de combustible entregando por este medio.
DECIMONOVENO. Que la Comisión estima que la metodología utilizada por el Permisionario para determinar su propuesta de Tarifas por Horario Extraordinario es razonable, por lo que considera pertinente aceptarla.
VIGÉSIMO. Que mediante oficio 600-04-04-10703, del 22 de marzo de 2013, el Sistema de Administración Tributaria confirmó que al Permisionario, por tratarse de un Organismo descentralizado, que es parte integrante de la Administración Pública Paraestatal sujeto a control Presupuestario, le resultaba aplicable el régimen establecido en la Ley de Ingresos de la Federación para el Ejercicio Fiscal 2013, de conformidad con lo dispuesto en su artículo 14 y demás disposiciones fiscales aplicables y por ende no es contribuyente del Impuesto Sobre la Renta.
VIGÉSIMO PRIMERO. Que con base en lo anterior se determinaron dos conjuntos de tarifas: un conjunto considerando el impuesto sobre la renta y otro sin éste impuesto. Cada conjunto de tarifas para la prestación del servicio de almacenamiento de combustibles de aviación en aeródromos contiene:
1. Tarifa por almacenamiento. Corresponde a una tarifa acorde con la modalidad de uso común en el almacenamiento, consistente en un cargo por el volumen almacenado y entregado.
2. Cargo por entrega a través de hidrante. Representa un cargo adicional a la tarifa por almacenamiento y se cobrará únicamente por aquel volumen que sea entregado a través de la red de hidrantes de los aeródromos.
3. Tarifa por horario extraordinario. Los aeródromos que no operen 24 horas del día podrán cobrar un cargo adicional por la operación fuera del horario oficial del aeropuerto (Tarifa por horario extraordinario), a fin de permitir al permisionario recuperar el costo adicional incurrido en la operación del almacenamiento y entrega de combustible en estas condiciones.
VIGÉSIMO SEGUNDO. Que las tarifas a que se refiere el considerando inmediato anterior corresponden exclusivamente al servicio de almacenamiento del combustible de aviación y se cobrará por cada metro cúbico de combustible almacenado y entregado. Se considera necesario que estas tarifas entren en vigor a partir del momento en que un comercializador distinto de ASA o sus partes relacionadas contrate elservicio de almacenamiento. En tanto esto no ocurra, ASA no estará prestando el servicio de almacenamiento conforme a lo previsto en el artículo 4 fracción II de la LH y el artículo 20 del Reglamento por loque las contraprestaciones aplicables al suministro de combustibles sean las que resulten conforme a la normatividad aplicable.
Por lo expuesto y con fundamento en los artículos 2, fracción III y 43 Ter, de la Ley Orgánica de la Administración Pública Federal; 1, 2, fracción II, 3, 4, primer párrafo, 5, 22, fracciones I, II, III, X, XXIV, XXVI, incisos a) y e), y XXVII, 27, 41 fracción I y 42 de la Ley de los Órganos Reguladores Coordinados en Materia Energética; 1,2, fracción IV, 5, párrafo segundo, 48 fracción II, 70, 81, fracciones I inciso a), y VI, 82, 95 y 131 de la Ley de Hidrocarburos; 2, 16, fracciones IX y X 35, fracción II, 49 y 57, fracción I, de la Ley Federal de Procedimiento Administrativo; 1, 3, 5, fracción I, 6, 7, 10, 20, 21, 22, 77, 78 y 83 del Reglamento de las Actividades a las que se refiere el Titulo Tercero de la Ley de Hidrocarburos y 1, 4, 7, fracción I, 12, 16, 18, fracciones I y XI del Reglamento Interno de la Comisión Reguladora de Energía y las disposiciones 39.1 y 39.2 de las Disposiciones Administrativas de Carácter General en materia de acceso abierto y prestación de los servicios de transporte por ducto y almacenamiento de petrolíferos y petroquímicos, la Comisión Reguladora de Energía:
R E S U L E V E
PRIMERO. Se aprueba a Aeropuertos y Servicios Auxiliares, titular de 60 permisos de almacenamiento de petrolíferos en aeródromos, autorizados mediante la resolución RES/817/2015, la lista de tarifas máximas conforme al Anexo I, el cual forma parte de la presente resolución como si a la letra se insertase. Dichas tarifas correspondientes exclusivamente al servicio de almacenamiento, tendrán una vigencia de 5 años a partir de la notificación de la presente resolución.
Las tarifas empezarán a cobrarse a partir del momento en que un comercializador de combustibles de aviación distinto de ASA y sus partes relacionadas contrate el servicio de almacenamiento. En tanto esto no ocurra las contraprestaciones correspondientes al suministro de combustibles serán las que resulten conforme a la normatividad aplicable.
Cuando el Permisionario deje de estar exento del pago de impuesto sobre la renta, deberá comunicarlo a la Comisión Reguladora de Energía, a fin de que sea autorizada la aplicación del conjunto de tarifas que consideren el pago de dicho impuesto, las cuales se presentan en el anexo II de la presente resolución. En su caso, dicha autorización no implicará extender la vigencia de las tarifas aprobadas en la presente
resolución.
SEGUNDO. Las tarifas para el servicio de almacenamiento de petrolíferos en aeródromos que se presentan en los Anexo I y II son volumétricas, expresadas en pesos de agosto de 2018 por metro cúbico ($/M. cúbico).
TERCERO. Las terminales de almacenamiento en aeródromos de Aeropuertos y Servicios Auxiliares que a la fecha de la presente resolución no cuenten con hidrantes y posteriormente los incorporen, deberán presentar ante la Comisión la solicitud para la autorización del cargo correspondiente.
CUARTO. Aeropuertos y Servicios Auxiliares deberá a más tardar 30 días naturales después de la notificación de ésta Resolución, presentar a esta Comisión un calendario de inicio de la presentación del servicio de almacenamiento en la modalidad de uso común en aeródromos de los cuales sea Titular de los permisos de almacenamiento. Dicho calendario deberá prever que en un plazo no mayor a cuatro meses, a partir de la notificación de ésta Resolución, todos los sistemas de almacenamiento de petrolíferos en aeródromos de cuyo permiso sea titular presten el servicio de almacenamiento bajo dicha modalidad.
QUINTO. A partir de 2020, Aeropuertos y Servicios Auxiliares, podrá solicitar a la Comisión, durante los meses de enero y febrero de cada año, siempre que sus tarifas estén vigentes, la actualización de éstas por índice de inflación. Para lo anterior se utilizará el índice de precios establecidos con base en la metodología indicada en el Anexo III de la presente resolución, el cual forma parte de la misma como si a la letra se insertase.
SEXTO. Aeropuertos y Servicios Auxiliares deberá publicar en el Diario Oficial de la Federación, así como de manera permanente en su boletín electrónico, la lista de las tarifas máximas autorizadas por la Comisión Reguladora de Energía, indicada en el resolutivo Primero de la presente resolución, a partir del día hábil siguiente a la fecha de notificación de la presente resolución.
SÉPTIMO. Notifíquese la presente resolución a Aeropuertos y Servicios Auxiliarles y hágase de su conocimiento que el presente acto administrativo sólo podrá impugnarse a través del juicio de amparo indirecto, conforme a lo dispuesto por el artículo 27 de la Ley de Órganos Reguladores Coordinados en Materia Energética, publicada en el Diario Oficial de la Federación el 11 de agosto de 2014 y que el expediente respectivo se encuentra y puede ser consultado en las oficinas de la Comisión Reguladora de Energía, ubicad en boulevard Adolfo López Mateos 172, colonia Merced Gómez, código postal 03930, Benito Juárez, Ciudad de México.
Así lo resolvió el Órgano de Gobierno de ésta Comisión, por mayoría de seis votos a favor y uno en contra de la comisionada Neus Peniche Sala, quien formuló "Voto en contra razonada".
OCTAVO. Inscríbase la presente resolución bajo el número RES/1705/2018, en el registro a que se refiere los artículos 22, fracción XXVI y 25, fracción X, de la Ley de Órganos Regulados Coordinados en Materia Energética y 4 y 16 del Reglamento Interno de la Comisión Reguladora de Energía.
Ciudad de México, a 3 de agosto de 2018
Guillermo Ignacio Garcia Alcocer
Presidente
| Marcelo Madrigal Martínez Comisionado | Neus Peniche Sala Comisionada |
| Luis Guillermo Pineda Bernal Comisionado | Cecilia Montserrat Ramiro Ximénez Comisionada |
| Jesús Serrano Landeros Comisionado | Guillermo Zuñiga Martínez Comisionado |
ANEXO I
TARIFAS MÁXIMAS INICIALES APLICABLES A LA PRESTACIÓN DEL SERVICIO DE ALMACENAMIENTO DE COMBUSTIBLES PARA AERONAVES EN AERÓDROMOS EN TRES MODALIDADES: TARIFA BASE, TARIFA POR HIDRANTE Y TARIFA POR HORARIO EXTRAORDINARIO, SIN CONSIDERAR IMPUESTO SOBRE LA RENTA.
| Estación | Aeropuerto | Tarifa Base ($/ m3) | Tarifa Hidrante ($/m3) | Tarifa Horario Extraordinario ($/m3) |
| SLP | San Luis Potosí | $138.36 | No aplica | $127.26 |
| MEX | AICM | $143.98 | $10.00 | No Aplica |
| CEN | Cd. Obregón | $129.25 | No aplica | $114.94 |
| CME | Cd. del Carmen | $132.53 | No aplica | $91.26 |
| TRC | Torreón | $137.51 | No aplica | $68.39 |
| VER | Veracruz | $134.65 | $10.00 | $30.81 |
| TGZ | Tuxtla Gutiérrez | $139.60 | No aplica | $51.79 |
| CUU | Chihuahua | $142.04 | No aplica | $71.16 |
| CUN | Cancún | $151.67 | $10.00 | No Aplica |
| QET | Querétaro | $141.67 | No aplica | No Aplica |
| HMO | Hermosillo | $136.28 | $10.00 | $46.22 |
| GDL | Guadalajara | $146.08 | $10.00 | No Aplica |
| VSA | Villahermosa | $135.86 | $10.00 | $45.75 |
| TLC | Toluca | $139.91 | No aplica | No Aplica |
| MID | Mérida | $142.64 | $10.00 | No Aplica |
| TAM | Tampico | $138.44 | No aplica | $93.43 |
| CTM | Chetumal | $175.72 | No aplica | $96.60 |
| AGU | Aguascalientes | $148.80 | No aplica | $79.74 |
| LAP | La Paz | $141.00 | No aplica | $91.11 |
| TAP | Tapachula | $129.62 | No aplica | No Aplica |
| PBC | Puebla | $146.01 | No aplica | $117.83 |
| ZCL | Zacatecas | $145.37 | No aplica | No Aplica |
| MLM | Morelia | $144.59 | $10.00 | No Aplica |
| DGO | Durango | $152.29 | No aplica | $111.00 |
| CUL | Culiacán | $145.15 | No aplica | $73.70 |
| LMM | Los Mochis | $143.39 | No aplica | $150.44 |
| OAX | Oaxaca | $148.14 | No aplica | $86.83 |
| TIJ | Tijuana | $152.36 | $10.00 | $27.50 |
| CJS | Cd. Juárez | $146.11 | No aplica | $94.80 |
| REX | Reynosa | $148.91 | No aplica | $136.74 |
| MTY | Monterrey | $159.17 | $10.00 | No Aplica |
| BJX | Bajío | $159.70 | $10.00 | $52.10 |
| SJD | San José del Cabo | $167.72 | $10.00 | $25.88 |
| MZT | Mazatlán | $164.99 | No aplica | No Aplica |
| ACA | Acapulco | $168.73 | No aplica | No Aplica |
| HUX | Huatulco | $176.43 | $10.00 | $22.03 |
| MXL | Mexicali | $175.15 | No aplica | $62.29 |
| CZM | Cozumel | $194.08 | No aplica | No Aplica |
| PVR | Puerto Vallarta | $203.64 | $10.00 | No Aplica |
| ZLO | Manzanillo | $194.10 | No aplica | $299.30 |
| ZIH | Zihuatanejo | $229.76 | $10.00 | $132.54 |
| CVJ | Cuernavaca | $228.03 | No aplica | $277.00 |
| MTT | Minatitlán | $145.61 | No aplica | $322.80 |
| UPN | Uruapan | $153.56 | No aplica | $150.48 |
| NOG | Nogales | $282.94 | No aplica | $277.00 |
| PAZ | Poza Rica | $118.41 | No aplica | $277.00 |
| PPE | Puerto Peñasco | $409.94 | No aplica | $277.00 |
| CVM | Cd. Victoria | $154.27 | No aplica | $217.74 |
| CLQ | Colima | $130.65 | No aplica | $135.79 |
| PCA | Pachuca | $175.22 | No aplica | $277.00 |
| LTO | Loreto | $237.88 | No aplica | $277.00 |
| PXM | Puerto Escondido | $148.54 | No aplica | $158.95 |
| TCN | Tehuacán | $231.04 | No aplica | $277.00 |
| GYM | Guaymas | $435.51 | No aplica | $277.00 |
| MAM | Matamoros | $93.83 | No aplica | $42.15 |
| TSL | Tamuín | $191.13 | No aplica | $277.00 |
| TPQ | Tepic | $147.98 | No aplica | $145.17 |
| NLD | Nuevo Laredo | $162.80 | No aplica | $277.00 |
| LZC | Lázaro Cárdenas | $124.79 | No aplica | $277.00 |
| CPE | Campeche | $154.93 | No aplica | $48.27 |
ANEXO II
TARIFAS MÁXIMAS INICIALES APLICABLES A LA PRESTACIÓN DEL SERVICIO DE ALMACENAMIENTO DE COMBUSTIBLES PARA AERONAVES EN AERÓDROMOS EN TRES MODALIDADES: TARIFA BASE, TARIFA POR HIDRANTE Y TARIFA POR HORARIO EXTRAORDINARIO, CONSIDERANDO IMPUESTO SOBRE LA RENTA.
| Estación | Aeropuerto | Tarifa Base ($/ m3) | Tarifa Hidrante ($/m3) | Tarifa Horario Extraordinario ($/m3) |
| SLP | San Luis Potosí | $150.10 | No aplica | $127.26 |
| MEX | AICM | $156.19 | $10.00 | No Aplica |
| CEN | Cd. Obregón | $140.21 | No aplica | $114.94 |
| CME | Cd. del Carmen | $143.77 | No aplica | $91.26 |
| TRC | Torreón | $149.17 | No aplica | $68.39 |
| VER | Veracruz | $146.07 | $10.00 | $30.81 |
| TGZ | Tuxtla Gutiérrez | $151.43 | No aplica | $51.79 |
| CUU | Chihuahua | $154.08 | No aplica | $71.16 |
| CUN | Cancún | $164.53 | $10.00 | No Aplica |
| QET | Querétaro | $153.68 | No aplica | No Aplica |
| HMO | Hermosillo | $147.84 | $10.00 | $46.22 |
| GDL | Guadalajara | $158.47 | $10.00 | No Aplica |
| VSA | Villahermosa | $147.38 | $10.00 | $45.75 |
| TLC | Toluca | $151.78 | No aplica | No Aplica |
| MID | Mérida | $154.74 | $10.00 | No Aplica |
| TAM | Tampico | $150.18 | No aplica | $93.43 |
| CTM | Chetumal | $190.62 | No aplica | $96.60 |
| AGU | Aguascalientes | $161.42 | No aplica | $79.74 |
| LAP | La Paz | $152.96 | No aplica | $91.11 |
| TAP | Tapachula | $140.61 | No aplica | No Aplica |
| PBC | Puebla | $158.39 | No aplica | $117.83 |
| ZCL | Zacatecas | $157.69 | No aplica | No Aplica |
| MLM | Morelia | $156.85 | $10.00 | No Aplica |
| DGO | Durango | $165.20 | No aplica | $111.00 |
| CUL | Culiacán | $157.45 | No aplica | $73.70 |
| LMM | Los Mochis | $155.55 | No aplica | $150.44 |
| OAX | Oaxaca | $160.70 | No aplica | $86.83 |
| TIJ | Tijuana | $165.28 | $10.00 | $27.50 |
| CJS | Cd. Juárez | $158.49 | No aplica | $94.80 |
| REX | Reynosa | $161.54 | No aplica | $136.74 |
| MTY | Monterrey | $172.67 | $10.00 | No Aplica |
| BJX | Bajío | $173.24 | $10.00 | $52.10 |
| SJD | San José del Cabo | $181.94 | $10.00 | $25.88 |
| MZT | Mazatlán | $178.98 | No aplica | No Aplica |
| ACA | Acapulco | $183.03 | No aplica | No Aplica |
| HUX | Huatulco | $191.39 | $10.00 | $22.03 |
| MXL | Mexicali | $190.00 | No aplica | $62.29 |
| CZM | Cozumel | $210.53 | No aplica | No Aplica |
| PVR | Puerto Vallarta | $220.90 | $10.00 | No Aplica |
| ZLO | Manzanillo | $210.56 | No aplica | $299.30 |
| ZIH | Zihuatanejo | $249.24 | $10.00 | $132.54 |
| CVJ | Cuernavaca | $247.37 | No aplica | $277.00 |
| MTT | Minatitlán | $157.96 | No aplica | $322.80 |
| UPN | Uruapan | $166.58 | No aplica | $150.48 |
| NOG | Nogales | $306.93 | No aplica | $277.00 |
| PAZ | Poza Rica | $128.45 | No aplica | $277.00 |
| PPE | Puerto Peñasco | $444.70 | No aplica | $277.00 |
| CVM | Cd. Victoria | $167.35 | No aplica | $217.74 |
| CLQ | Colima | $141.73 | No aplica | $135.79 |
| PCA | Pachuca | $190.07 | No aplica | $277.00 |
| LTO | Loreto | $258.04 | No aplica | $277.00 |
| PXM | Puerto Escondido | $161.13 | No aplica | $158.95 |
| TCN | Tehuacán | $250.63 | No aplica | $277.00 |
| GYM | Guaymas | $472.43 | No aplica | $277.00 |
| MAM | Matamoros | $101.79 | No aplica | $42.15 |
| TSL | Tamuín | $207.33 | No aplica | $277.00 |
| TPQ | Tepic | $160.52 | No aplica | $145.17 |
| NLD | Nuevo Laredo | $176.61 | No aplica | $277.00 |
| LZC | Lázaro Cárdenas | $135.37 | No aplica | $277.00 |
| CPE | Campeche | $168.07 | No aplica | $48.27 |
ANEXO III
Factor de ajuste por inflación aplicable a las tarifas máximas de Aeropuertos y Servicios Auxiliares
El factor de ajuste por inflación FAIa se determinará durante enero o febrero de cada año, a solicitud de Aeropuertos y Servicios Auxiliares y siempre que sus tarifas estén vigentes, de la siguiente manera:
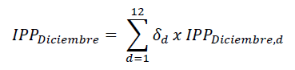
IPPDiciembre es un índice de precios al productor que se calculará para el mes de diciembre de 2018 (año base) como un promedio ponderado de doce índices seleccionados de Precios Productor, Producción total y Clasificación por origen (SCIAN 2007) del Instituto Nacional de Estadística y Geografía (INEGI), de la siguiente manera:
El subíndice d expresa, cada una de las once actividades seleccionadas de la industria manufacturera, así como el sector de la construcción.
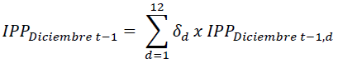
IPPDiciembre t-1 corresponde al índice de precios al productor de diciembre del año previo a aquel en que ASA solicite la actualización de sus tarifas, y se calculará de acuerdo con la siguiente fórmula:
Las actividades y el sector seleccionado, junto con los valores de sus correspondientes coeficientes son:
| Código SCIAN1 | Actividad | d |
| 321 | Industria de la madera | 0.012 |
| 325 | Industria química | 0.112 |
| 326 | Industria del plástico y del hule | 0.034 |
| 327 | Fabricación de productos a base de minerales no metálicos | 0.045 |
| 331 | Industrias metálicas básicas | 0.096 |
| 332 | Fabricación de productos metálicos | 0.034 |
| 333 | Fabricación de maquinaria y equipo | 0.032 |
| 334 | Fabricación de equipo de computación, medición y de otros equipos, componentes y accesorios electrónicos | 0.126 |
| 335 | Fabricación de accesorios, aparatos eléctricos y equipo de generación de energía eléctrica | 0.053 |
| 336 | Fabricación de equipo de transporte | 0.204 |
| 339 | Otras industrias manufactureras | 0.026 |
| 23 | Construcción | 0.227 |
NOTA: Los índices de precios, denotados IPPDiciembre e IPPDiciembre t-1, serán los publicados por el lNEGI, clasificación por origen de la producción total, con base junio de 2012 igual a 100, o los que los sustituyan.
ANEXO IV
METODOLOGÍA PARA EL CÁLCULO DE TARIFAS MÁXIMAS EN LA ACTIVIDADDE ALMACENAMIENTO
DE PETROLÍFEROS EN AEROPUERTOS
Fundamentación y motivación
I. En términos del Artículo 82 de la Ley de Hidrocarburos, la Comisión Reguladora de Energía ("CRE") debe expedir disposiciones de aplicación general para la regulación de las contraprestaciones, precios y tarifas, aplicables a las actividades amparadas por un permiso.
II. En términos del segundo párrafo del propio Artículo 82 de la Ley de Hidrocarburos la regulación de contraprestaciones, precios y tarifas que establezca la CRE, para las actividades reguladas deberá sujetarse a lo siguiente: "
i. La regulación para cada actividad en particular será aplicable salvo que, a juicio de la Comisión Federal de Competencia Económica ("COFECE"), existan condiciones de competencia efectiva en dicha actividad, en cuyo caso las contraprestaciones, precios o tarifas correspondientes se determinarán por las condiciones de mercado;
ii. La regulación, además de contemplar los impuestos que determinen las leyes aplicables,considerará que:
a) Las contraprestaciones, precios y tarifas, de los bienes y servicios susceptibles de comercializarse internacionalmente se fijarán considerando el costo de oportunidad y las condiciones de competitividad prevalecientes en el mercado internacional de estos productos, libres de impuestos, contribuciones o gravámenes, y
b) Para aquellos bienes o servicios que no sean susceptibles de comercializarse en el mercado internacional, las contraprestaciones, precios y tarifas se fijarán de acuerdo a las metodologías de aplicación general para su cálculo que para tal efecto emita la Comisión Reguladora de Energía, considerando la estimación de costos eficientes para producir el bien o prestar el servicio, así como la obtención de una rentabilidad razonable que refleje el costo de oportunidad del capital invertido, el costo estimado de financiamiento y los riesgos inherentes del proyecto, entre otros.
La Secretaría de Energía, la Comisión Reguladora de Energía o los Permisionarios podrán solicitar a la Comisión Federal de Competencia Económica que evalúe la existencia de condiciones de competencia efectiva y, en su caso, que emita la declaratoria correspondiente."1
iii. El Reglamento de las Actividades a que se Refiere el Título Tercero de la Ley de Hidrocarburos en su Artículo 77 establece que "La Distribución no vinculada a Ductos de Gas Licuado de Petróleo y demás Petrolíferos no estará sujeta a la regulación de contraprestaciones, precios o tarifas que emita la Comisión, por tratarse de una actividad que conlleva el Expendio al Público, en términos de los artículos 4, fracción XI, y
82, segundo párrafo, de la Ley, salvo determinación en contrario de la Comisión Federal de Competencia Económica"2. Por esta razón, las actividades de distribución al avión no estarán sujetas a precios máximos.
iv. Así mismo, el Reglamento, en el tercer párrafo del Artículo 77, indica que la CRE, al establecer las contraprestaciones, precios y tarifas, además de cumplir lo establecido en las Fracciones I y II del Artículo 82 de la Ley de Hidrocarburos, "tomará en cuenta los principios que permitan el desarrollo eficiente de la industria objeto del presente Reglamento y de mercados competitivos, que reflejen las mejores prácticas en las decisiones de inversión y operación y que protejan los intereses de los usuarios. La Comisión no reconocerá las contraprestaciones, precios o tarifas que se aparten de lo establecido en este párrafo. Adicionalmente, las contraprestaciones, precios o tarifas que autorice la Comisión deberán constituir mecanismos que promuevan una demanda y uso racional de los bienes y servicios"3.
v. Derivado de lo dispuesto en el Artículo Noveno Transitorio del Reglamento de la Ley de Aeropuertos, Aeropuertos y Servicios Auxiliares ("ASA") presta el servicio de almacenamiento de combustibles de aviación en aeropuertos de manera exclusiva en la mayoría de los aeropuertos del país.4
_____________________
1 Ley de Hidrocarburos, Segundo párrafo, Fracciones I y II, Artículo 82, publicada en el Diario Oficial de la Federación del 11 de octubre de 2014, Segunda Sección, Secretaría de Energía, DECRETO por el que se expide la Ley de Hidrocarburos y se reforman diversas disposiciones de la Ley de Inversión Extranjera; Ley Minera, y Ley de Asociaciones Público Privadas.
2 REGLAMENTO de las actividades a que se refiere el Título Tercero de la Ley de Hidrocarburos, Artículo 77, publicado en el Diario Oficial de la Federación del 31 de octubre de 2014, Primera Sección, Secretaría de Energía
3 Idem
4 El 21 de junio de 2018 se publicó en el Diario Oficial de la Federación el Aviso General relacionado con el Artículo Noveno Transitorio del Reglamento de la Ley de Aeropuertos, mediante el cual la Secretaría de Comunicaciones y Transportes informó que, con motivo de la entrada en vigor de la Ley de Hidrocarburos, se materializó la derogación del artículo Noveno Transitorio del Reglamento de la Ley de Aeropuertos. No obstante, las condiciones actuales del mercado mexicano de almacenamiento de combustibles para aeronaves en aeropuertos reflejan las características de un régimen en el que ASA tiene, de facto, la exclusividad en la prestación del servicio de almacenamiento de petrolíferos en aeropuertos.
_____________________
vi. Mediante oficio OPN-002-2018, de fecha 13 de marzo 2018, la COFECE emitió una opinión no vinculante, en la que expresó, entre otras cuestiones, que "el régimen de exclusividad de ASA impide la entrada de nuevos oferentes en este mercado y afecta las condiciones de suministro de combustibles para aeronaves a precios competitivos que reflejen el precio de estos productos en los mercados internacionales, en detrimento de los operadores aéreos y de los consumidores finales".
vii. De acuerdo con lo anterior, la CRE ha evaluado la propuesta de tarifas de almacenamiento hecha por ASA y ha calculado una tarifa máxima, para cada aeropuerto, para la prestación de los servicios en cuestión de acuerdo con la siguiente metodología.
Descripción de la Metodología
Para desarrollar la tarifa máxima que podrá ser cobrada por ASA, para la prestación del servicio de almacenamiento de petrolíferos en aeropuertos y aeródromos civiles del país, fue necesario seguir el siguiente procedimiento: (i) hacer una descripción del servicio a prestar, (ii) establecer los objetivos de la tarifa, (iii) revisar la tarifa propuesta por ASA y (iv) realizar un análisis para establecer la tarifa máxima. El último paso se realizó utilizando tres procedimientos independientes que permitieran dar suficiente información sobre los mercados nacional e internacional, que permitieran obtener una tarifa que fuera concordante con los requisitos establecidos en el Artículo 82 de la Ley de Hidrocarburos y lo establecido en el Reglamento respectivo. Estos
tres procedimientos consistieron en: (i) buscar posibles ajustes a la tarifa propuesta por ASA, (ii) hacer un análisis estadístico de los mercados internacional y nacional de los combustibles de aviación y (iii) realizar un ejercicio utilizando capacidades eficientes, para determinar los requerimientos indicativos de inversión y los costos indicativos de la operación, mantenimiento y administración de este tipo de instalaciones. (Ver Ilustración 1)
Ilustración 1: Descripción de la metodología
Descripción de los servicios sujetos a tarifa
Los servicios sujetos a tarifa consisten en la recepción de los combustibles de aviación propiedad de terceros a partir del transporte y almacenamiento troncal; su almacenamiento en instalaciones cercanas a o dentro del perímetro del aeropuerto o aeródromo civil que corresponda; y entrega del producto almacenado al tercero correspondiente o a quién éste indique, para su distribución y suministro final al avión. Conforme a la práctica internacional, el almacenamiento se realiza bajo el régimen de uso común, sin que exista la posibilidad de reservar capacidad en estas instalaciones. La entrega final del producto para su distribución y suministro al avión se realiza, a autotanques proporcionados por el usuario del servicio de almacenamiento o un prestador de servicios contratado por éste, o, en los aeropuertos que cuenten con dicha infraestructura, mediante hidrantes, haciendo la entrega directa al avión a través del dispensador que se encuentra conectado al final de dichos hidrantes. En ambos casos, la entrega al avión se realiza por prestadores de servicio distintos de aquellos que controlan las instalaciones de almacenamiento en los aeropuertos o aeródromos civiles y esos servicios se precian por separado de acuerdo con los términos que dicte el mercado correspondiente. (Para mayor claridad, a lo largo de este documento, se identificará al permisionario que presta los servicios de almacenamiento sujetos a tarifa máxima como "Almacenador" y al permisionario que realiza el servicio de entrega al avión como "Distribuidor al Avión" y a las actividades correspondientes como
"Almacenamiento" y "Distribución al Avión").
Además de los servicios descritos en el párrafo anterior, el Almacenador podrá ofertar servicios complementarios como: (i) identificación, extracción y disposición de producto contaminado y (ii) otros servicios de manera análoga. Estos servicios podrán ser preciados y cobrados por separado, siempre que implique un costo adicional para el Almacenador y se ofrezcan de manera no indebidamente discriminatoria, a todos los usuarios potenciales de las instalaciones de almacenamiento. (Ver Ilustración 2).
Ilustración 2. Descripción de los servicios sujetos a tarifa
De acuerdo con la literatura emitida por diversas instituciones relacionadas con la industria de aviación, a nivel internacional, las aerolíneas y otros compradores de combustibles de aviación, prefieren operar en aeropuertos cuyo modelo asegure la participación de varios proveedores de combustible y de varios Distribuidores al Avión y donde la instalación de almacenamiento sea operada por entidades independientes de los suministradores de combustible y de los Distribuidores al Avión. (Ver Ilustración 3). De acuerdo con un estudio realizado por el Board of Airline Representatives of Australia (Consejo de Representantes de Aerolíneas de Australia) en diciembre de 2014, nuevos suministradores de combustibles de aviación, encontraban barreras para acceder de manera oportuna y secuenciada a la infraestructura de almacenamiento y transporte en varios aeropuertos australianos, debido a que dicha infraestructura era propiedad de y controlada por empresas o asociaciones de empresas que, a su vez, suministran combustibles
de aviación. Para evitar esta concentración, el Consejo de Representantes de Aerolíneas de Australia propone tres medidas básicas: (i) acceso abierto y no indebidamente indiscriminado a la infraestructura de almacenamiento y transporte de combustibles de aviación al aeropuerto; (ii) acceso abierto a los ductos de transporte de turbosina existentes; y, (iii) acceso abierto a la infraestructura de almacenamiento en aeropuertos. El análisis que se comenta presenta evidencia empírica de que aquellos aeropuertos con acceso abierto alcanzan precios de turbosina mucho más bajos que los aeropuertos donde la infraestructura es controlada por un solo suministrador.5 De acuerdo con esto, al regular el servicio de almacenamiento en aeropuertos, la CRE debe realizar acciones que incentiven el acceso abierto a la infraestructura de transporte y almacenamiento existentes, incluyendo las instalaciones de almacenamiento en aeropuertos.
Ilustración 3. Modelos de prestación de servicio en aeropuerto.
_____________________
5 ICF International, Planning of Aviation Fuel Concessions, junio de 2014. Board of Airline Representatives of Australia (BARA), A Competitive Supply of Jet Fuel at Australia's Major international Airports, diciembre de 2014. Air Transport Association (hoy Airlines for América), Managing Fuel Supply and Costs at Small Airports, julio 17 de 2009. Airlines for America, Jet Fuel from Well to Wing, enero de 2018.
Objetivos de la tarifa
De acuerdo con los objetivos regulatorios de la CRE y en concordancia con las medidas identificadas en la sección anterior, para evitar barreras a la entrada de nuevos suministradores de combustible en aeropuertos, los objetivos de la tarifa son:
Revisión de la tarifa propuesta por ASA
ASA propuso a la CRE una tarifa, para el Almacenamiento en aeropuertos, basada en la metodología de rentabilidad razonable, de acuerdo con las resoluciones emitidas por la propia CRE para gas natural y gas licuado de petróleo. La metodología toma como base los costos de operación, mantenimiento y administración, incurridos por el organismo durante 2016 y los segrega entre sus diferentes actividades (comercialización, Almacenamiento, Distribución al Avión y otras) aplicando, para el cálculo de la tarifa de Almacenamiento, los que correspondieron a dicha actividad, incluyendo parte de los costos corporativos del organismo. El total de los costos de operación, mantenimiento y administración de Almacenamiento fueron segregados entre los diferentes aeropuertos donde ASA presta el servicio de Almacenamiento y se les agregó: (i) las inversiones existentes y las inversiones requeridas en los próximos 5 años, (ii) una rentabilidad razonable de 10.26% sobre la inversión, (iii) el Derecho de Uso de Aeropuerto ("DUA") de 5% sobre el ingreso bruto obtenido de prestar el servicio complementario de suministro y succión de combustible y (iv) el impuesto sobre la renta. Vale la pena indicar que, por su calidad de organismo público descentralizado, sujeto a control presupuestario, a ASA le aplica el régimen establecido en el Artículo 14 de la Ley de Ingresos de la Federación por lo que no es contribuyente del Impuesto Sobre la Renta ("ISR"). No obstante, ASA calculó las tarifas considerando el pago del ISR bajo el argumento que, si se otorgaba la administración de las granjas a compañías privadas, éstas deberían pagar el ISR
A partir de los flujos mencionados ASA calculó el flujo neto de ingresos que tendría anualmente, durante
un periodo de 25 años. La tarifa se calculó de tal manera que el valor presente neto de dichos flujos de ingresos descontados a la tasa de 10.26% fuera cero durante toda la vida del proyecto.
Igualmente, es importante notar que, por los servicios referidos, la Secretaría de Hacienda y Crédito Público ("SHCP") autorizó a ASA cobrar el 1% del costo total del combustible por Almacenamiento y Distribución al Avión. En 2017 este porcentaje equivalió a 13 centavos de peso por litro de combustible de aviación entregado.
La tarifa resultante del ejercicio descrito arriba se muestra en la Gráfica 1.
Gráfica 1: Tarifa propuesta por ASA
Para aquellos aeropuertos con instalaciones adecuadas para la entrega en hidrantes, ASA también hizo una propuesta de tarifa para el uso de dicha infraestructura, basada en el costo de inversión estimado de la misma. En la Gráfica 2 se muestran las tarifas de uso de hidrante propuestas por ASA.
Gráfica 2: Tarifa de hidrante propuesta por ASA
TARIFA POR USO DE HIDRANTE
· En aquellos aeropuertos equipados con hidrantes (en algunas posiciones), la tarifa propuesta por
ASA propone que la entrega a través de dichos sistemas sea parte del servicio de almacenamiento y sugiere las tarifas que se indican a continuación para este servicio, mismas que se cobran en adición a la tarifa de almacenamiento.
Un análisis de los costos utilizados por el organismo en su propuesta muestra que el 58% de los costos contemplados corresponden a gasto de inversión en activos existentes, inversiones previstas para los próximos 5 años y a otros gastos que incluyen impuestos y derechos (DUA e ISR) y costos corporativos. El 42% restante corresponde a gastos de operación, mantenimiento y administración. (Ver Gráfica 4.)
Gráfica 4. Costos contemplados en la tarifa propuesta por ASA
ASIGNACION DE COSTOS EN TARIFA DE ASA
· La tarifa de ASA se construyó a partir de los costos de la paraestatal más un margen razonable, de acuerdo con las metodologías establecidas por la CRE para gas natural y gas licuado de petróleo. Las tarifas reflejan un peso muy importante en la revaluación de activos y su amortización y en un rubro genérico.
La tarifa propuesta por ASA resulta en niveles muy superiores a los observados internacionalmente, en especial en aquellos aeropuertos con poco tráfico aéreo. Esto se debe principalmente a un elevado costo de inversión que refleja la sobreinversión en ciertas instalaciones de almacenamiento en aeropuertos e importante incidencia de gastos corporativos mayores a los del estándar internacional. No obstante, estos problemas, no se puede hacer una reducción aleatoria de los costos utilizados por ASA, ya que esto implicaría quitarle integralidad y coherencia al análisis exhaustivo efectuado por el organismo.
Análisis estadístico del mercado
El segundo paso de la metodología para definir las tarifas máximas consistió en un análisis del mercado internacional de estos servicios, para determinar los niveles alcanzados por estas tarifas en mercados competitivos. Se decidió analizar el mercado estadounidense para los años de 2013 a 2017, por ser un mercado altamente competitivo, con buena información pública disponible. Se analizaron las series de precio de la turbosina entregada a puerta de refinería, de acuerdo con los precios publicados por la Energy Information Administration (Agencia de Información de Energía). Se analizaron los precios pagados por las tres principales aerolíneas del país -American, Delta y United- a partir de la información publicada por las propias aerolíneas en sus declaraciones anuales a la Securities and Exchange Commission ("SEC") (Comisión del Mercado de Valores) (Forma 10-K).
Se asume que la diferencia entre el precio de venta de la turbosina en la puerta de la refinería y el precio pagado por las aerolíneas corresponde a los costos logísticos del almacenamiento y transporte troncal y el Almacenamiento en aeropuertos y Distribución al Avión.
Para poder asignar el diferencial entre los distintos servicios se revisó la literatura correspondiente para obtener parámetros razonables de comparación. De acuerdo con información publicada por la International Air Transport Association ("IATA") y por el Airport Council International ("ACI") el 5% del costo total de la turbosina
es atribuible a costos logísticos y, de dicho 5%, el 30% corresponde al transporte troncal, el 20% al almacenamiento troncal, el 20% al almacenamiento en aeropuertos y el 30% a la Distribución al Avión6. Estas proporciones también se observan en el análisis de los niveles de precio observado en el período 2013-2017.
Aplicando los parámetros mencionados a los niveles de precio observados, se determinó que en el período 2013-2017, las aerolíneas estadounidenses pagaron, por servicios de almacenamiento en aeropuerto, en promedio las siguientes cantidades: (i) 2013 = 6.93 centavos de peso por litro; (ii) 2014 = 6.97 centavos de peso por litro; (iii) 2015 = 7.61 centavos de peso por litro; (iv) 2016 = 8.35 centavos de peso por litro y (v) 2017 9.19 centavos de peso por litro. Las siguientes gráficas muestran los resultados del análisis descrito. Vale la pena hacer notar que conforme bajan los precios de los combustibles, los precios de los servicios asociados tienden a subir.
_____________________
6 ICF International, Planning of Aviation Fuel Concessions, junio de 2014
Gráfica 5. Parámetros para identificar la tarifa de almacenamiento
· De acuerdo con parámetros internacionales, el 5% del precio de venta del combustible es atribuible a costos logísticos.
· Los costos logísticos se dividen en 30% del transporte troncal, 20% de almacenamiento troncal, 20% de almacenamiento en el aeropuerto y 30% de la venta al ala del avión.
Gráfica 6. Desglose de precio de turbosina E.U. 2013-2017 según parámetros
Gráfica 7. Desglose de los costos logísticos identificados en E.U. 2013-2017
Tarifa definida a partir de capacidades óptimas.
· Este ejercicio parte de la definición de las capacidades óptimas que deberían tener las instalaciones de almacenamiento operadas por ASA en los aeropuertos de México. Para determinar estas capacidades se utilizó la metodología propuesta por IATA en su IATA Guidance on Airport Fuel Storage Capacity (Guía de la IATA para la Capacidad de Almacenamiento de Combustible en Aeropuertos), primera Edición, mayo de 2008. De acuerdo con esta guía, para definir la capacidad óptima de almacenamiento en un aeropuerto se debe identificar la capacidad máxima requerida para satisfacer el mayor de cuatro parámetros, estos parámetros se definen a partir de los siguientes criterios: (i) demanda; (ii) suministro, (iii) manejo de inventarios, (iv) control de calidad y (v) requerimientos regulatorios. Para el análisis se escogieron tres parámetros relacionados con la demanda en los aeropuertos y un parámetro relacionado con requerimientos regulatorios, ya que se consideró que el resto de los parámetros estaban correctamente satisfechos con las instalaciones existentes. Los parámetros seleccionados para definir las capacidades óptimas fueron: (i) 50% de la capacidad requerida para satisfacer la Política Pública de Almacenamiento Mínimo de Petrolíferos, publicada mediante acuerdo de la Secretaría de Energía ("SENER") en el Diario Oficial de la Federación del 12 de diciembre de 2017; (ii) la capacidad requerida para retener 5 días de la demanda máxima de cada aeropuerto en 2017; (iii) la capacidad requerida para retener por 5 días la diferencia entre la demanda máxima y la demanda mínima de cada aeropuerto en 2017 y (iv) La capacidad requerida para retener la demanda máxima de 2017 de cada aeropuerto proyectada a 15 años con la tasa de crecimiento anual de las ventas de turbosina estimada por ASA para cada uno de los aeropuertos para el periodo 2018 2033. La proyección de ASA de las ventas totales de turbosina en todos los aeropuertos considera un crecimiento promedio de 3.04% por año en este periodo.
Con los parámetros mencionados se identificó la capacidad óptima por aeropuerto. En todos los casos la capacidad fue determinada por el cuarto parámetro que indicaba la capacidad requerida para retener la demanda pico de 2017 proyectada a 15 años. A partir de esta capacidad se calculó el valor de los activos y los costos de operación, mantenimiento y administración, tomando como referencia los siguientes parámetros: (i) un costo de inversión de 120 dólares por barril de capacidad instalada, (ii) un costo mensual de operación de 0.90 dólares por barril de capacidad instalada; (iii) un costo mensual de mantenimiento de 1.10 dólares por barril de capacidad instalada; (iv) un costo mensual de administración de 0.20 dólares por barril de capacidad instalada; (v) un margen razonable de 10.26%; (vi) el pago del derecho de uso de aeropuerto y (vii) en un ejercicio específico el impuesto sobre la renta correspondiente. Además, se supone un tipo de cambio de 20 pesos por dólar y un capital de trabajo igual a 3 meses de los costos OMA. Con estos parámetros se calcularon los flujos del negocio a 25 años y se calculó la tarifa dividiendo el ingreso requerido para pagar los conceptos mencionados anualmente, entre el volumen vendido por aeropuerto en 2017.
| Aeropuerto | Capacidad requerida (barriles) | Aeropuerto | Capacidad requerida (barriles) |
| San Luis Potosí | 2,875.50 | Monterrey | 36,500.45 |
| Ciudad de México | 276,135.28 | Bajío | 10,082.99 |
| Cd. Obregón | 1,276.86 | San José del Cabo | 23,690.80 |
| Ciudad del Carmen | 2,575.41 | Mazatlán | 4,275.75 |
| Torreón | 2,154.18 | Acapulco | 3,353.16 |
| Veracruz | 3,470.64 | Huatulco | 4,233.66 |
| Tuxtla | 4,608.11 | Mexicali | 4,235.46 |
| Chihuahua | 5,653.65 | Cozumel | 3,995.31 |
| Cancún | 147,914.93 | Puerto Vallarta | 27,875.71 |
| Querétaro | 6,739.85 | Manzanillo | 1,209.09 |
| Hermosillo | 6,718.44 | Zihuatanejo | 4,003.52 |
| Guadalajara | 57,429.27 | Cuernavaca | 324.77 |
| Villahermosa | 4,271.80 | Minatitlán | 818.91 |
| Toluca | 11,667.55 | Uruapan | 908.17 |
| Mérida | 9,483.41 | Nogales | 17.49 |
| Tampico | 1,756.91 | Poza Rica | 125.11 |
| Chetumal | 1,502.83 | Puerto Peñasco | 141.79 |
| Aguascalientes | 3,389.65 | Ciudad Victoria | 291.49 |
| La Paz | 4,277.63 | Colima | 566.60 |
| Tapachula | 1,180.64 | Pachuca | 112.80 |
| Puebla | 2,638.04 | Loreto | 441.99 |
| Zacatecas | 1,686.86 | Puerto Escondido | 664.35 |
| Morelia | 3,727.01 | Tehuacán | 61.46 |
| Durango | 1,917.56 | Guaymas | 270.91 |
| Culiacán | 7,278.60 | Matamoros | 274.43 |
| Los Mochis | 1,768.65 | Tamuín | 34.18 |
| Oaxaca | 3,144.74 | Tepic | 687.68 |
| Tijuana | 34,066.84 | Nuevo Laredo | 425.26 |
| Ciudad Juárez | 4,742.40 | Lázaro Cárdenas | 102.47 |
| Reynosa | 1,674.35 | Campeche | 1,136.85 |
Los niveles de costo, mencionados en el párrafo anterior, son indicativos de los parámetros que se ven en la industria, pero debe recordarse que no existe un parámetro concreto, ya que todas las empresas que construyen, administran, operan y dan mantenimiento a instalaciones de almacenamiento de productos petrolíferos tienen diferentes estructuras de costo y eficiencia. Además, la escala de las terminales de almacenamiento en aeropuertos es menor a la escala de las terminales de almacenamiento troncales, lo cual reduce las eficiencias en la operación. De esta manera, las empresas que administran almacenamientos troncales con capacidades superiores a los 150,000 barriles pueden generar economías de escala, ya que requieren los mismos servicios personales que una terminal con menor tamaño.
Los costos de inversión se determinaron consultando los reportes financieros entregados por empresas de almacenamiento a la SEC, reportes a inversionistas de empresas que prestan servicios logísticos como Buckeye Partners, LLC y Kinder Morgan, Inc. y los costos estimados de construcción declarados por permisionarios a la CRE en las solicitudes de permiso de almacenamiento correspondiente. La siguiente tabla muestra los costos de inversión reportados.
| EMPRESA | PROYECTO | CAPACIDAD DEL PROYECTO EN MM DE BARRILES | INVERSIÓN ESPERADA EN MM DE USD | INVERSIÓN POR UNIDAD DE CAPACIDAD EN USD/BL |
| Kinder Morgan Inc. | Galena Park, Texas | 1.2 | 123.8 | 105.16 |
| Kinder Morgan Inc. | Desarrollo Pit 11 | 2.0 | 165.4 | 82.70 |
| Kinder Morgan Inc. | Terminal de exportación de Houston para insumos para mezcla de refinados. | 1.5 | 172.0 | 114.66 |
| Kinder Morgan Inc. | Galena Park centro de mezclado | 0.1 | 12.5 | 125.00 |
| Permisionario 1 | Proyecto 1 | 2.7 | 115.4 | 42.74 |
| Permisionario 2 | Proyecto 2 | 0.5 | 39.4 | 78.80 |
| Permisionario 3 | Proyecto 3 | 0.5 | 63.9 | 127.80 |
| Permisionario 4 | Proyecto 4 | 0.675 | 19 | 28.14 |
| Permisionario 5 | Proyecto 5 | 0.865 | 75.5 | 87.28 |
| Permisionario 6 | Proyecto 6 | 0.05 | 40.7 | 814.00 |
| Permisionario 7 | Proyecto 7 | 0.006 | 5.36 | 894.41 |
| Permisionario 8 | Proyecto 8 | 0.320 | 6.3 | 19.68 |
| Permisionario 9 | Proyecto 9 | 0.002 | 0.225 | 11.25 |
| Permisionario 10 | Proyecto 10 | 1.4 | 284 | 202.85 |
| Permisionario 11 | Proyecto 11 | 1.265 | 115.58 | 91.36 |
| Permisionario 12 | Proyecto 12 | 0.200 | 36.24 | 181.20 |
| Permisionario 13 | Proyecto 13 | 1.080 | 21.77 | 20.15 |
| Permisionario 14 | Proyecto 14 | 0.210 | 30.3 | 144.28 |
| Permisionario 15 | Proyecto 15 | 0.300 | 56.25 | 187.5 |
| Permisionario 16 | Proyecto 16 | 0.130 | 12.75 | 98.07 |
| Permisionario 17 | Proyecto 17 | 1.04 | 15.2 | 116.92 |
| Permisionario 18 | Proyecto 18 | 1.776 | 200.75 | 113.06 |
| Permisionario 19 | Proyecto 19 | 0.720 | 149.55 | 207.71 |
| Permisionario 20 | Proyecto 20 | 0.130 | 11.75 | 90.39 |
| Permisionario 21 | Proyecto 21 | 0.870 | 101.9 | 117,12 |
| Permisionario 22 | Proyecto 22 | 0.095 | 22 | 231.57 |
| Permisionario 23 | Proyecto 23 | 3.158 | 144.55 | 45.77 |
| Permisionario 24 | Proyecto 24 | 0.224 | 39.245 | 175.20 |
| Permisionario 25 | Proyecto 25 | 0.690 | 50.185 | 72.73 |
Los costos de operación, mantenimiento y administración se obtuvieron de la Agencia de Información de Energía de los Estados Unidos, el American Petroleum Institute (Oil & Natural Gas Transportation & Storage Infrastructure: Status, Trends, & Economic Benefits, HIS Report to the American Petroleum Insitute); American Petrochemical Fuels Manufacturers; Kindermorgan 10K Annual SEC Filings y reportes a inversionistas; Buckeye Partners LLP, 10K Annual Filings y reportes a inversionistas, Project Managment Insitute, (Tankfarm Construction and Operations Report), Hydrocarbonprocessing Magazine, entre otras.
Solicita la publicación en el Diario oficial de la Federación
Ciudad de México, a 9 de julio del 2021
Director de Combustibles de Aeropuertos y Servicios Auxiliares
Mauricio Omar Arellano Villavicencio
Rúbrica.
(R.- 508841)