NORMA Oficial Mexicana NOM-012-ENER-2019, Eficiencia energética de unidades condensadoras y evaporadoras para refrigeración. Límites, métodos de prueba y etiquetado.
Al margen un sello con el Escudo Nacional, que dice: Estados Unidos Mexicanos.
NORMA OFICIAL MEXICANA NOM-012-ENER-2019, EFICIENCIA ENERGÉTICA DE UNIDADES CONDENSADORAS Y EVAPORADORAS PARA REFRIGERACIÓN. LÍMITES, MÉTODOS DE PRUEBA Y ETIQUETADO.
ODÓN DEMÓFILO DE BUEN RODRÍGUEZ, Presidente del Comité Consultivo Nacional de Normalización para la Preservación y Uso Racional de los Recursos Energéticos (CCNNPURRE) y Director General de la Comisión Nacional para el Uso Eficiente de la Energía, con fundamento en los artículos: 17, 33, fracción X de la Ley Orgánica de la Administración Pública Federal; 17, 18, fracciones IV, V y XIX y 36, fracción IX de la Ley de Transición Energética; 38, fracciones II y IV, 40, fracciones I, II, X y XII, 41 y 47, fracción IV de la Ley Federal sobre Metrología y Normalización; 28 y 34 del Reglamento de la Ley Federal sobre Metrología y Normalización; 2, apartado F, fracción II, 8, fracciones XIV, XV y XXX, 39 y 40 del Reglamento Interior de la Secretaría de Energía y Artículo único del ACUERDO por el que se delegan en el Director General de la Comisión Nacional para el Uso Eficiente de la Energía, las facultades que se indican, publicado en el Diario Oficial de la Federación, el día 21 de julio de 2014; expide la siguiente: NORMA OFICIAL MEXICANA NOM-012-ENER-2019, EFICIENCIA ENERGÉTICA DE UNIDADES CONDENSADORAS Y EVAPORADORAS PARA REFRIGERACIÓN. LÍMITES, MÉTODOS DE PRUEBA Y ETIQUETADO.
CONSIDERANDO
Que la Ley Orgánica de la Administración Pública Federal, define las facultades de la Secretaría de Energía, entre las que se encuentra la de expedir normas oficiales mexicanas que promueven la eficiencia del sector energético;
Que la Ley de Transición Energética, establece que corresponde a la Comisión Nacional para el Uso Eficiente de la Energía expedir normas oficiales mexicanas en materia de eficiencia energética;
Que la Ley Federal sobre Metrología y Normalización señala como una de las finalidades de las normas oficiales mexicanas, el establecimiento de criterios y/o especificaciones que promuevan el mejoramiento del medio ambiente, la preservación de los recursos naturales y salvaguardar la seguridad al usuario;
Que habiéndose cumplido el procedimiento establecido en la Ley Federal sobre Metrología y Normalización para la elaboración de proyectos de normas oficiales mexicanas, el Presidente del Comité Consultivo Nacional de Normalización para la Preservación y Uso Racional de los Recursos Energéticos, con fundamento en las atribuciones que tiene establecidas en el artículo 47, fracción I, del ordenamiento legal en cita, ordenó la publicación del Proyecto de Norma Oficial Mexicana PROY-NOM-012-ENER-2017, Eficiencia energética de unidades condensadoras y evaporadoras para refrigeración. Límites, métodos de prueba y etiquetado; lo que se realizó en el Diario Oficial de la Federación el 9 de octubre de 2017, con el objeto de que los interesados presentaran sus comentarios al citado Comité Consultivo que lo propuso;
Que durante el plazo de 60 días naturales, contados a partir de la fecha de publicación de proyecto de Norma Oficial Mexicana, la Manifestación de Impacto Regulatorio a que se refiere el artículo 45 de la Ley Federal sobre Metrología y Normalización, estuvo a disposición del público en general para su consulta; y que dentro del mismo plazo, los interesados presentaron comentarios sobre el contenido del Proyecto de Norma Oficial Mexicana, mismos que fueron analizados por el Comité, realizándose las modificaciones conducentes. Las respuestas a los comentarios recibidos fueron publicadas en el Diario Oficial de la Federación el 31 de diciembre de 2018, y
Que la Ley Federal sobre Metrología y Normalización establece que las normas oficiales mexicanas se constituyen como el instrumento idóneo para la prosecución de los objetivos establecidos por dicho ordenamiento en materia de normalización; por lo tanto, se expide la siguiente Norma Oficial Mexicana NOM-012-ENER-2019, Eficiencia energética de unidades condensadoras y evaporadoras para refrigeración. Límites, métodos de prueba y etiquetado.
PREFACIO
Esta Norma Oficial Mexicana fue elaborada en el Comité Consultivo Nacional de Normalización para la Preservación y Uso Racional de los Recursos Energéticos (CCNNPURRE), con la colaboración de los siguientes organismos, instituciones y empresas:
· Asociación Nacional de Fabricantes para la Industria de la Refrigeración, ANFIR
· Bitzer México, S. de R.L. DE C.V.
· Bohn de Mexico, S.A. de C.V.
· Criotec, S.A. de C.V
· Danfoss Industries, S.A. de C.V.
· Emerson Climate Technologies México, S.A. de C.V.
· Güntner de México S.A. de C.V.
· Hussmann-American, S. de R.L. de C.V.
· Intertek Testing Services de México, S.A. de C.V.
· Laboratorios Radson, S.A. de C.V.
· Manufacturas Especializadas, S.A.
· Sistemas de Refrigeración Totales S.R.T
· Tecumseh Products Company
· Universidad Autónoma de Nuevo León / Facultad de Ingeniería Mecánica y Eléctrica
CONTENIDO
0. Introducción
1. Objetivo y campo de aplicación.
2. Referencias.
3. Definiciones.
4. Símbolos y abreviaturas
5. Clasificación.
5.1 Clasificación de unidades condensadoras
5.2 Clasificación de unidades evaporadoras
6. Especificaciones
6.1 Unidades condensadoras
6.2 Unidades evaporadoras
7. Muestreo.
8. Métodos de prueba.
8.1 Pruebas requeridas
8.2 Condiciones de prueba
8.3 Instrumentos
8.4 Arreglos para realizar las pruebas de las unidades condensadoras y evaporadoras
8.5 Métodos de prueba. Procedimientos de prueba según el arreglo utilizado.
8.6 Desarrollo de los procedimientos de prueba
8.7 Datos y resultados
8.8 Cálculos para determinar el FEEE
9. Criterios de aceptación.
10. Etiquetado.
10.1 Permanencia
10.2 Información
10.3 Dimensiones
10.4 Distribución de la información y de los colores
11. Vigilancia.
12. Procedimiento para la evaluación de la conformidad.
12.1 Objetivo
12.2 Referencias
12.3 Definiciones
12.4. Disposiciones generales
12.5 Procedimiento
12.6 Diversos
13. Sanciones
14. Concordancia con normas internacionales.
Apéndices normativos e informativos
15. Bibliografía.
16. Transitorios.
Índice de Tablas
Tabla 1 - Nivel mínimo del FEEE que debe cumplir la unidad condensadora, de acuerdo con su potencia frigorífica bruta en Watt (BTU/h)
Tabla 2 - Nivel mínimo del FEEE, en unidades evaporadoras para refrigeración.
Tabla 3 - Condiciones de evaluación estándar para unidades condensadoras objeto de prueba (UCOP)
Tabla 4 - Condiciones de evaluación estándar para unidades evaporadoras objeto de prueba (UEOP)
Tabla 5 - Factores de corrección por refrigerante en unidades evaporadoras.
Tabla 6 - Exactitud de los instrumentos de medición utilizados en la prueba
Tabla 7 - Requisitos generales de las mediciones realizadas a las UCOP y UEOP.
Tabla 8 - Métodos aplicables para el cálculo del FEEE de las unidades condensadoras y evaporadoras
Tabla 9 - Tolerancias de las mediciones de las condiciones de prueba
Tabla 10 - Tolerancias de temperatura del refrigerante
Tabla 11 - Datos a ser registrados
Índice de figuras
Figura 1 - Diagrama presión vs entalpia con ciclo de refrigeración convencional
Figura 2 - Potencia del equipo vs tiempo
Figura 3 - Etiqueta de eficiencia energética para condensadoras
Figura 4 - Etiqueta de eficiencia energética para evaporadoras
Figura 5 - Método calorímetro
Figura 6 - Método doble instrumentación
Figura 7 - Método cuarto calibrado
0. Introducción
El uso de las unidades condensadoras y evaporadoras que se instalan en cuartos, cabinas o procesos de refrigeración, que demandan energía a la red eléctrica, se ha venido incrementando fuertemente en los últimos años, por lo que se consideró necesario elaborar una norma para determinar la eficiencia energética de estos equipos, comprobando su capacidad de refrigeración y propiciando que al integrar dichas unidades a un sistema de refrigeración, se disminuya el consumo de energía por este concepto, contribuyendo a la preservación de los recursos naturales no renovables.
1. Objetivo y campo de aplicación
Esta Norma Oficial Mexicana establece los requisitos de eficiencia energética que deben cumplir las unidades condensadoras y evaporadoras, así como los métodos de prueba para verificar su cumplimiento, el etiquetado y el procedimiento para evaluar la conformidad de los productos. Aplica a:
a) Unidades condensadoras para refrigeración, que son fabricadas para su instalación al aire libre o en
interiores con potencia frigorífica, mayor o igual que 746 W (2 547 BTU/h) y menor que 26 000 W (88 716 BTU/h) en media temperatura, y menor que 9 500 W (32 415 BTU/h) en baja temperatura.
b) Unidades evaporadoras para refrigeración de bajo perfil que son destinadas para operar con un refrigerante y alimentados por expansión directa en condiciones húmedas y/o secas con capacidades nominales de enfriamiento, mayor o igual que 300 W (1 023 BTU/h) y menor que 40 000 W (136 482 BTU/h) en media temperatura, y menor que 13 000 W (44 397 BTU/h) en baja temperatura.
Quedan excluidos del campo de aplicación de esta Norma Oficial Mexicana:
a) Unidades de acondicionamiento de aire para uso en confort; con temperatura de aire mayor que 15.0 °C, las cuales deben ser evaluadas conforme a las normas de eficiencia energética para acondicionamiento de aire que le aplique.
b) Difusores de aire o evaporadores para refrigeración instalados en ductos o conectadas a ductos. (Manejadoras de aire).
c) Sistemas de refrigeración tipo tándem (tipo rack) en paralelo de más de un compresor.
d) Unidades condensadoras que incluyan un variador de frecuencia que, por su características y especificaciones técnicas presentadas, son denominadas del tipo "INVERTER", esta excepción debe ser autorizada por la dependencia que emite esta norma.
e) Equipos cuyo diseño sea específico para operación con refrigerantes naturales, amoniaco (NH3) y bióxido de carbono (CO2).
2. Referencias
Para la correcta aplicación de esta Norma Oficial Mexicana debe consultarse y aplicarse la siguiente norma vigente o la que la sustituya:
NOM-008-SCFI-2002, Sistema General de Unidades de Medida, publicada en el Diario Oficial de la Federación el 27 de noviembre de 2002.
3. Definiciones
Para efectos de esta Norma Oficial Mexicana se aplican las siguientes definiciones:
NOTA: Los términos que no se incluyen en esta norma se definen en la norma de referencia incluida en el Capítulo 2, o tienen su acepción dentro del contexto en el que se utilizan.
3.1 Aletas del intercambiador: Superficie de intercambio de calor conformada por una serie de láminas de material conductor de calor separadas entre sí para permitir el flujo de aire que transfiere calor entre el aire que entra en contacto con ellas y la superficie de los tubos del intercambiador a los cuales están adheridas.
3.2 Aplicación frigorífica en baja temperatura: Cuando la unidad se utiliza para obtener un enfriamiento que opere en temperaturas de aire de (menos) - 40.0 °C a 0.0 °C.
3.3 Aplicación frigorífica en media temperatura: Cuando la unidad se utiliza para obtener un enfriamiento que opere en temperaturas de aire de 0.0 °C a 15.0 °C.
3.4 Calor latente: Es la energía requerida por una cantidad de sustancia para cambiar de fase, de sólido a líquido (calor de fusión) o de líquido a gaseoso (calor de vaporización). Se debe tener en cuenta que esta energía en forma de calor se invierte para el cambio de fase y no para un aumento de la temperatura.
3.5 Calor sensible: Es aquel que recibe un cuerpo y hace que aumente su temperatura sin afectar su estructura molecular y, por tanto, su estado.
3.6 Calorímetro: Es un instrumento que permite medir las cantidades de calor disipadas por la evaporación de un refrigerante volátil mediante la medición de los parámetros necesarios para determinar el ingreso y las pérdidas de calor de un medio conocido y controlado.
Este puede ser un intercambiador de calor (evaporador) sumergido o embebido en un fluido o medio de propiedades conocidas, con una fuente de energía térmica controlada y cuyo conjunto se encuentre confinado en un recipiente cuyas pérdidas puedan ser cuantificadas o inhibidas por algún sistema de control. La obtención del calor total disipado por el refrigerante debe estar sujeta a valores obtenidos de mediciones con instrumentos correctamente calibrados y certificados.
3.7 Clasificación publicada: Declaración de los valores asignados de las características de rendimiento, en condiciones de calificación establecidas, por el que una unidad puede ser elegida para adaptarse a una aplicación. Estos valores se emplean en todas las unidades de tamaño nominal del producto y tipo (identificación) elaborado por el fabricante. El término incluye la calificación de todas las características de rendimiento que se muestran en la unidad o publicados en las especificaciones, publicidad u otra literatura controlada por el fabricante en condiciones nominales indicadas.
- Clasificación de aplicaciones: Basada en las pruebas realizadas en las condiciones de aplicación de calificación.
- Clasificación estándar: Basada en las pruebas realizadas en el estándar de calificación de condiciones.
3.8 Condiciones de prueba: Es la configuración de operación a la cual, las pruebas comprueban el resultado de desempeño del aparato sometido a prueba. A cada configuración de condiciones de operación corresponde solo un resultado de desempeño.
3.9 Condiciones estándar de aire: Aire seco a 21.0 °C, a una presión absoluta de 101.3 kPa y densidad de 1.2 kg/m3.
3.10 Diferencia de entalpía: El cambio entre la entalpía del aire a la entrada del difusor enfriador de aire y la entalpía del aire saturado a la salida de este.
3.11 Diferencial de temperatura: El cambio entre la temperatura de bulbo seco del aire a la entrada del difusor enfriador de aire y la temperatura de saturación del refrigerante a la salida de este.
3.12 Estado de equilibrio: Etapa de funcionamiento de un sistema, incluyendo su entorno, en el que la magnitud de los cambios con el tiempo está dentro de los límites requeridos en esta norma.
3.13 Estado estable: Es cuando el funcionamiento del sistema de refrigeración registra una variación promedio en la temperatura del aire menor a 1.0 °C, y la temperatura promedio del refrigerante tiene una variación máxima de 1.5 °C, con un flujo de refrigerante que registra variación menor al 2.0 % en las lecturas.
3.14 Factor de Eficiencia Energética Estandarizado (FEEE): Es la relación de la potencia frigorífica bruta entre la potencia instantánea medida durante la prueba, considerando los factores de corrección correspondientes para cada tipo de unidad, condensadora o evaporadora, de acuerdo con los modelos matemáticos utilizados en el inciso 8.8.
3.15 Intercambiador de calor aletado: Dispositivo del equipo que está constituido por aletas adheridas a tubos y tiene la función de transmitir calor entre el aire que pasa a través de las aletas, y algún fluido o refrigerante que pasa a través de los tubos.
3.16 Lectura de prueba: Es la grabación y/o registro de una serie de mediciones completas de la prueba necesarias para evaluar el desempeño de la unidad objeto de prueba.
3.17 Medición de prueba Es la lectura de un instrumento de medición específico en un parámetro específico en el tiempo. La medición reportada de la prueba debe ser el promedio de las mediciones del mismo parámetro al mismo punto en el tiempo, para determinar una lectura de prueba o ser promediada respecto a la duración total de la prueba para determinar un valor de prueba de funcionamiento. Debe cumplir con el número de lecturas de prueba y la duración mínima de prueba establecidos en el método de prueba.
3.18 Potencia eléctrica nominal: Es el flujo energético de los motores de los ventiladores a tensión nominal, bajo carga normal o bajo las condiciones normales de trabajo, y a la temperatura normal de operación especificada en el aparato por el fabricante.
- Para motores de una fase, representa el total de la potencia de entrada de los motores de los ventiladores expresado en watts o kilowatts.
- Para motores de más de una fase, representa la potencia de salida de los motores de los ventiladores expresado en watts o kilowatts.
3.19 Potencia frigorífica o capacidad de refrigeración: Es la tasa de transferencia de energía térmica desde un espacio o medio hacia el refrigerante que circula en el interior del evaporador expresada en Watt. También se define como la capacidad asociada con el incremento de la entalpía total, multiplicado por la tasa de flujo másico del refrigerante, durante el proceso de evaporación.
3.20 Potencia frigorífica bruta: Es el calor que absorbe el refrigerante en Watt, representa la suma de la potencia frigorífica neta más el calor equivalente a la energía necesaria para operar la unidad evaporadora. (Por ejemplo: ventiladores, deshielo). Incluye tanto calor latente como calor sensible.
3.21 Potencia frigorífica corregida: Es el factor de corrección para considerar el calor latente de condensación de agua proveniente del aire húmedo durante la operación típica de aplicación de una UEOP también llamada condición de serpentín húmedo. El valor aplica según la condición de prueba.
3.22 Potencia frigorífica neta: Es la potencia frigorífica disponible en Watt para enfriar un espacio, cabina o cuarto de refrigerar. Representa la diferencia entre la potencia frigorífica bruta menos el calor equivalente a la energía necesaria para operar la unidad evaporadora (por ejemplo: ventiladores, deshielo). Incluye tanto calor latente como calor sensible.
3.23 Potencia frigorífica nominal: Es la tasa de transferencia de energía térmica expresada en Watt establecida por el fabricante bajo condiciones definidas.
3.24 Prueba de funcionamiento: Son las lecturas compiladas durante la prueba de operación del difusor enfriador de aire durante la cual se hayan logrado condiciones de estado estable. Su duración debe ser por un periodo mínimo de 30.0 minutos con por lo menos 15 lecturas de prueba consecutivas, como se establece en la Tabla 7. La prueba de funcionamiento incluye la información suficiente para determinar los valores de desempeño de la unidad evaporadora a una condición de prueba estándar.
3.25 Punto de Rocío: Es la temperatura de saturación de vapor de refrigerante a una presión específica.
3.26 Refrigerante: Es un fluido usado para transferir calor en un sistema de enfriamiento y/o refrigeración. Este fluido absorbe calor a baja temperatura y baja presión. El fluido cede calor a una temperatura mayor y a una presión mayor. Usualmente implica un cambio físico de estado del fluido.
3.27 Refrigerante volátil: Es un refrigerante que cambia de líquido a vapor en el proceso de absorción de calor.
3.28 Refrigerante zeotrópico: Es un refrigerante compuesto por múltiples elementos de diferentes características de volatilidad, que cuando se utilizan en sistemas de refrigeración cambian de composición volumétrica y de temperatura de saturación, exhibiendo un deslizamiento entre los puntos de saturación de los diferentes elementos que ocurre dentro de un evaporador o un condensador.
3.29 Revestimiento del aparato: Es todo aquel elemento que forma parte del aparato más no es indispensable para el correcto desempeño del mismo. Por ejemplo: cubiertas y tapas.
3.30 Separación entre aletas: Es la distancia que existe entre las aletas de un intercambiador de calor aletado expresada en milímetros.
3.31 Temperatura de saturación de refrigerante. Temperatura del refrigerante a la entrada o salida en un difusor enfriador de aire, ya sea midiendo la temperatura a la salida de un flujo de refrigerante de dos fases para un enfriador de aire con líquido recirculado, o midiendo la presión del refrigerante y determinando su correspondiente temperatura en tablas o ecuaciones de refrigerantes. Para refrigerantes zeotrópos la temperatura correspondiente a una presión medida será la temperatura de Punto de Rocío.
3.32 Tensión nominal: Es el valor de la tensión o intervalo de tensiones de la red eléctrica que el fabricante asigna al aparato para su alimentación y operación.
3.33 Unidad condensadora: Es una combinación específica de componentes ensamblados del sistema de refrigeración para operar con un refrigerante dado. Que consta de compresor(es) de desplazamiento positivo, intercambiador de calor para condensación, motores ventiladores y accesorios de protección y control previstos por el fabricante.
3.34 Unidad condensadora "Inverter": Es aquella que cuenta con un variador de frecuencia, encargado de regular la frecuencia hacia el compresor de modo que éste pueda cambiar su velocidad de giro en el cigüeñal.
3.35 Unidad evaporadora: Es el medio intercambiador de calor por cuyo interior fluye el refrigerante que cambia su estado de líquido a vapor. Este cambio de estado permite absorber el calor sensible contenido alrededor del evaporador y de esta manera el gas, al abandonar el evaporador lo hace con una energía interna notablemente superior debido al aumento de su entalpía, cumpliéndose así el fenómeno de refrigeración. Su nombre proviene del cambio de estado sufrido por el refrigerante al recibir esta energía, luego de una brusca expansión que reduce su temperatura. Durante el proceso de evaporación, el fluido pasa del estado líquido al gaseoso. El diseño, tamaño y capacidad de las unidades evaporadoras utilizadas en los sistemas de refrigeración como neveras y cámaras frigoríficas, depende de la aplicación y carga térmica de cada uso.
Los serpentines aletados son los más ampliamente utilizados en la refrigeración; las aletas sirven como superficie secundaria para la absorción de calor y tiene por efecto aumentar el área superficial externa del intercambiador de calor. El tamaño y espaciamiento de las aletas depende del tipo de aplicación para la cual está diseñado el serpentín. Tubos pequeños requieren aletas pequeñas y viceversa. El espaciamiento de las aletas varía entre 1 hasta 14 aletas por pulgada, dependiendo principalmente de la temperatura de operación del serpentín. A menor temperatura, mayor espaciamiento entre aletas. Por lo anterior, las unidades evaporadoras se identifican como unidades de bajo, medio y alto perfil.
La unidad evaporadora de bajo perfil es aquel evaporador de convección forzada, que opera bajo expansión directa y además con descarga y admisión de aire horizontal que cuenta con una altura del serpentín no mayor que 400 mm y ventiladores con diámetro máximo de 300 mm.
3.36 Unidad Condensadora Objeto de Prueba (UCOP) y Unidad Evaporadora Objeto de Prueba (UEOP): Es una muestra seleccionada de acuerdo con la clasificación establecida y entregada al laboratorio de pruebas para ser evaluada de acuerdo con lo establecido en esta norma.
3.37 Condiciones de evaluación estándar: Condiciones operativas establecidas en el método de prueba en las que se obtiene un nivel único de rendimiento (FEEE), que hacen posible la reproducibilidad de resultados de los equipos objeto de prueba y su capacidad de refrigeración o potencia frigorífica.
3.38 Vapor sobrecalentado; vapor sobrecargado; vapor anhidro: Es una sustancia en fase gaseosa con temperatura superior a la de vapor saturado a una cierta presión. Se trata de Gas cien por ciento seco.
4. Símbolos y abreviaturas
| Dtrated | Diferencia de temperatura en condiciones de calificación, expresada en °C |
| Dttest | Diferencial de temperatura en las condiciones de prueba, expresada en °C |
| E | Entrada total de energía eléctrica al (los) motor (es) del ventilador del refrigerador de la unidad, expresada en W |
| Ec | Entrada total de energía eléctrica al calentador y al equipo auxiliar, expresada en W |
| Er | Entrada total de energía eléctrica de las resistencias de deshielo eléctrico, expresada en W |
| efm | Eficiencia del motor del ventilador |
| FS | Velocidad del ventilador, expresada en revoluciones por minuto (rpm) o r/min |
| h0 | Entalpía de líquido refrigerante a la entrada del intercambiador de calor evaporador, expresada en J/kg |
| h2 | Entalpía de refrigerante a la salida del intercambiador de calor evaporador, expresada en J/kg |
| Kcb | Coeficiente de fuga de calor de la caja calibrada, expresada en W/°C |
| M1 | Punto de medición del flujo másico 1 |
| M2 | Punto de medición del flujo másico 2 |
| M2ALT | Punto de medición alternativo del flujo másico 2 |
| N | Número de estaciones de medición |
| Nmot | Número de motores |
| P0 | Presión del líquido refrigerante subenfriado que entra en la válvula de expansión (valor medio del método 1), expresada en Pa |
| P0a | Presión del líquido refrigerante subenfriado que entra en la válvula de expansión, expresada en Pa |
| P0b | Presión del líquido refrigerante subenfriado que entra en la válvula de expansión, expresada en Pa |
| P2 | Presión del vapor de refrigerante sobrecalentado que sale del enfriador de la unidad (valor medio del método 1), expresada en Pa |
| P2a | Presión del vapor de refrigerante sobrecalentado que sale del refrigerador de la unidad, expresada en Pa |
| P2b | Presión del vapor de refrigerante sobrecalentado que sale del refrigerador de la unidad, expresada en Pa |
| Pb | Presión barométrica, expresada en Pa |
| Pfmi | Potencia nominal de entrada, expresada en W |
| Pfmo | Potencia nominal de salida, expresada en W |
| rsa | Densidad del aire en Condiciones Estándar del Aire, 1.201 kg/m3 |
| rtest | Densidad de aire en las condiciones de prueba, expresada en kg/m3 |
| Qper | Perdidas de calor cuantificadas en el calorimetro, expresado en W |
| qt | Efecto enfriamiento total bruto, expresado en W |
| qta | Efecto de enfriamiento total bruto del lado del aire, expresado en W |
| qtr | Efecto de enfriamiento total bruto del refrigerante, expresado en W |
| qtr1 | Efecto de enfriamiento total bruto del lado refrigerante establecido por primera medición independiente, expresado en W |
| qtr2 | Efecto de enfriamiento total bruto del lado refrigerante establecido por segunda medición independiente, expresado en W |
| t0 | Temperatura del refrigerante subenfriado que entra en la válvula de expansión (valor medio del método de instrumentación doble), expresada en °C |
| t0a | Temperatura del líquido refrigerante subenfriado que entra en la válvula de expansión, expresada en °C |
| t0b | Temperatura del líquido refrigerante subenfriado que entra en la válvula de expansión, expresada en °C |
| t0s | Temperatura de saturación del refrigerante a la entrada de la válvula de expansión, expresada en °C |
| t0sc | Subenfriamiento entrando en la válvula de expansión, expresado en °C |
| t2 | Temperatura del refrigerante sobrecalentado que sale del evaporador enfriador de la unidad (valor medio del método de doble instrumentación), expresada en °C |
| t2a | Temperatura del refrigerante sobrecalentado que sale del evaporador, expresada en °C |
| t2b | Temperatura del refrigerante sobrecalentado que sale del evaporador, expresada en °C |
| t2s | Temperatura del refrigerante saturado que sale del evaporador, expresada en °C |
| t2sh | Sobrecalentamiento total, expresado en °C |
| tcb | Temperatura media del bulbo seco del aire dentro de la caja calibrada, expresada en °C |
| tdb | Temperatura media del bulbo seco del aire que entra en el enfriador de la unidad, expresada en °C |
| tdp | Temperatura de punto de rocío del aire que entra en el refrigerador de la unidad, expresada en °C |
| tDCF | Factor de corrección de la diferencia de temperatura |
| ten | Temperatura media de bulbo seco del aire dentro del recinto controlado por temperatura, expresada en °C |
| twb | Temperatura del bulbo húmedo del aire que entra en el refrigerador de la unidad, expresada en ° C |
| Tcd | Periodo de ciclo de deshielo (encendido de resistencias) |
| TE | Periodo estándar |
| V | Tensión de cada fase, expresada en V |
| Wv1 | Caudal másico de líquido refrigerante subenfriado a través de M1, expresada en kg/s En donde: M1 Es el punto de medición sugerido de flujo másico 1, (figura 6 y 7) |
| Wv2 | Caudal de masa de vapor refrigerante subenfriado o refrigerante sobrecalentado a través de M2 o M2ALT, expresada en kg/s En donde: M2 es la representación del medidor del punto de medición sugerido de flujo másico 2, (figura 6) y M2ALT es una alternativa de punto de medición sugerido de flujo másico a los anteriores, (figura 6) |
| Wen | Potencia de calor de entrada al calorimetro, expresado en W |
| Wm | Potencia promedio tomada de las quince lecturas durante la prueba en estado estable, expresada en W |
| Waux | Cualquier sistema anexo a la UCOP que implique un consumo de potencia eléctrica. |
5. Clasificación
Las unidades condensadoras y evaporadoras de acuerdo con sus aplicaciones frigoríficas y su utilización en los sistemas de refrigeración se clasifican de la manera siguiente:
5.1 Clasificación de unidades condensadoras
Las unidades condensadoras con potencia frigorífica bruta fija o variable que son enfriadas por aire, cubiertas por la presente Norma Oficial Mexicana se clasifican de acuerdo con su aplicación frigorífica y su uso o instalación, como sigue:
5.1.1 De acuerdo con su aplicación frigorífica:
· Media temperatura: Toda aplicación de enfriamiento que opere en temperaturas de aire de 0.0 °C a 15.0 °C.
· Baja temperatura: Toda aplicación de enfriamiento que opere en temperaturas de (menos) - 40.0 °C a 0.0 °C.
5.1.2 De acuerdo con su uso e instalación:
· Uso en interior
· Uso en exterior
5.1.3 De acuerdo con su capacidad:
· Capacidad fija
· Capacidad variable
· Capacidad fija con motor de capacidad variable
5.1.4 De acuerdo con su tipo de enfriamiento:
· Enfriados por agua
· Enfriados por aire
5.2 Clasificación de unidades evaporadoras
Las unidades evaporadoras considerando su potencia frigorífica nominal de enfriamiento, cubiertas por la presente Norma Oficial Mexicana se clasifican de acuerdo con su tipo, tamaño y diseño, como sigue:
5.2.1 Según el tipo de circulación del aire:
· Por convección forzada (ventiladores)
5.2.2 Según alimentación de refrigerante en:
· De expansión directa, denominado también de expansión seca
5.2.3 Según su tipo de deshielo:
· Eléctrico
· Por aire
· Por gas (caliente o frío)
5.2.4 Según su tipo de construcción:
· Aletados
6. Especificaciones
6.1 Unidades condensadoras
Las unidades condensadoras que se encuentran dentro del campo de aplicación de esta Norma Oficial Mexicana deben cumplir con los valores de Factor de Eficiencia Energética Estandarizada (FEEE) de acuerdo con su potencia frigorífica bruta, como se establece en la Tabla 1 y conforme al método de prueba descrito en el capítulo 8.
De igual manera, estas unidades deben cumplir con los valores de capacidad frigorífica y consumo de potencia eléctrica reportados por el fabricante, con una tolerancia de ± 5.0 %, respecto al valor marcado en la etiqueta.
Tabla 1 - Nivel mínimo del FEEE que debe cumplir la unidad condensadora, de acuerdo con su potencia
frigorífica bruta en Watt (BTU/h).
| Aplicación frigorífica | Potencia frigorífica bruta en Watt (BTU/h) | Nivel mínimo del FEEE |
| Media temperatura | Mayor o igual que 746 W y Menor o igual que 12 000 W (Mayor o igual que 2 547 BTU/h y Menor o igual que 40 982 BTU/h) | 1.65 |
| Mayor que 12 000 W y Menor o igual que 26 000 W (Mayor que 40 982 BTU/h y Menor o igual que 88 716 BTU/h) | 1.65 |
| Baja temperatura | Mayor o igual que 746 W y Menor o igual que 4 500 W (Mayor o igual que 2 547 BTU/h y Menor o igual que 15 355 BTU/h) | 0.83 |
| Mayor que 4 500 W y Menor o igual que 9 500 W (Mayor que 15 355 BTU/h y Menor o igual que 32 415 BTU/h) | 0.83 |
6.2 Unidades evaporadoras
Las unidades evaporadoras que se encuentran dentro del campo de aplicación de esta Norma Oficial Mexicana deben cumplir con los valores de FEEE de acuerdo con su capacidad de refrigeración, como se establece en la Tabla 2 y conforme al método de prueba descrito en el capítulo 8.
De igual manera, estas unidades deben cumplir con los valores de capacidad frigorífica y consumo de potencia eléctrica reportados por el fabricante, con una tolerancia de ± 5.0 %, respecto al valor marcado en la etiqueta.
Tabla 2 - Nivel mínimo del FEEE, en unidades evaporadoras para refrigeración.
| Aplicación frigorífica | Tipo del deshielo y características de diseño | Nivel mínimo del FEEE |
| Media temperatura | Deshielo por aire menor a 5 mm de espacio entre aletas | 9.50 |
| Deshielo por aire de 5 mm de espacio entre aletas o más | 13.00 |
| Baja temperatura | Deshielo eléctrico menor a 5 mm de espacio entre aletas | 5.00 |
| Deshielo eléctrico de 5 mm de espacio entre aletas o más | 6.00 |
| Deshielo gas caliente menor a 5 mm de espacio entre aletas | 10.00 |
| Deshielo gas caliente de 5 mm de espacio entre aletas o más | 13.50 |
7. Muestreo
Está sujeto a lo dispuesto en el capítulo 12.5.2 de la presente Norma Oficial Mexicana.
8. Métodos de prueba
8.1 Pruebas requeridas
Para determinar la capacidad de refrigeración y el FEEE de los equipos incluidos en el alcance de esta Norma Oficial Mexicana es necesario realizar las pruebas siguientes:
8.1.1 Pruebas de desempeño en estado estable de las unidades condensadoras objeto de prueba (UCOP).
La prueba de desempeño en estado estable a la UCOP, debe considerar las condiciones de prueba establecidas en la Tabla 3, en la cual, se establecen los parámetros de entrada y salida del refrigerante y bajo estas condiciones se realizan las mediciones de temperatura y presión según el método de prueba para determinar la potencia frigorífica bruta de la UCOP.
8.1.2 Pruebas de desempeño en estado estable de las unidades evaporadoras (UEOP)
La prueba de desempeño en estado estable a la UEOP, debe considerar las condiciones de prueba establecidas en la Tabla 4, en la cual, se establecen las condiciones de humedad y temperatura de la entrada de aire a la unidad evaporadora; mientras se mantiene un sobrecalentamiento en el refrigerante fijo a 5 °C (5 K) y un sub-enfriamiento de 1 °C (1 K) con temperatura de condensación de 40.5 °C y bajo estas condiciones se realizan las mediciones de temperatura y presión según el método de prueba en cuestión para determinar la potencia frigorífica bruta de la UEOP.
8.2 Condiciones de prueba
Las Tablas 3 y 4, especifican las condiciones de evaluación estándar sobre las cuales se deben realizar las pruebas de desempeño a estado estable de las unidades condensadoras y evaporadoras, respectivamente.
Tabla 3 - Condiciones de evaluación estándar para unidades condensadoras objeto de prueba (UCOP)
| Aplicación frigorífica | Temperatura ambiente bulbo seco °C | Temperatura de evaporación °C | Temperatura de condensación °C | Sobre calentamiento (K) | Humedad Relativa (%) | Sub enfriamiento (K) |
| Media temperatura | 30.0 +/- 1.0 | - 4.0 +/- 0.5 | 36.0 < °C < 42.0 | 5.0 +/- 0.5 | 50.0 % +/- 5.0 % | > 1.0 |
| Baja temperatura | 30.0 +/- 1.0 | - 32.0 +/-0.5 | 36.0 < °C < 42.0 | 5.0 +/- 0.5 | 50.0 % +/- 5.0 % | > 1.0 |
| Nota: El sub-enfriamiento natural debe ser de al menos 1.0 K. Cuando se utilice un sub-enfriamiento adicional, derivado del uso de cualquier método o dispositivo que forme parte de la UCOP, debe ser declarado por el fabricante, como se establece en el inciso 10.2.9. El valor reportado está sujeto a verificar su cumplimiento durante el desarrollo de esta prueba. |
La UCOP, debe ser conectada a un calorímetro capaz de suministrar y controlar la potencia frigorífica bruta especificada por el fabricante en la etiqueta. Se puede utilizar para la realización de pruebas, un evaporador que cumpla con las condiciones de estado estable indicadas en la Tabla 3.
Para realizar la medición del caudal másico de refrigerante, se instala un medidor de caudal másico para flujo líquido en la salida de la unidad condensadora. Se debe asegurar que se tenga una fase única de flujo del refrigerante a través del medidor de flujo másico de refrigerante líquido.
Tabla 4 - Condiciones de evaluación estándar para unidades evaporadoras objeto de prueba (UEOP)
| Aplicación frigorífica | Condición de serpentín | Aire entrante a la unidad evaporadora | Temperatura de saturación del refrigerante (°C) | Diferencial de temperatura (°C) |
| Temperatura de bulbo seco de aire a la entrada (°C) | Humedad Relativa (%) | Temperatura de punto de rocío del aire a estas condiciones (°C) |
| Media temperatura | Seco | 2.0 | < 50.0 | - 7.0 | - 4.0 | 6.0 |
| Baja temperatura | Seco | - 24.0 | < 43.0 | - 32.0 | - 30.0 | 6.0 |
El equipo debe ser instalado de acuerdo con las especificaciones del fabricante considerando, en la misma, todos los componentes que formen parte constitutiva del funcionamiento de la unidad.
El refrigerante empleado para la prueba de la unidad debe ser el R404A. Si el fabricante especifica otro tipo de refrigerante, su equipo debe ser adecuado por el fabricante para la realización de las pruebas con R404A, alterando mínimamente aspectos constructivos del equipo. Los resultados de dicha evaluación se deben someter a los factores de corrección expresados en la Tabla 5.
Tabla 5 - Factores de corrección por refrigerante en unidades evaporadoras y condensadoras.
| Refrigerante | Unidades evaporadoras | Unidades condensadoras |
| Media temperatura | Baja temperatura | Media temperatura | Baja temperatura |
| R404A (referencia) | 1 | 1 | 1 | 1 |
| R22 | 0.95 | 1.02 | 0.86 | 0.85 |
| R134a | 0.91 | 0.89 | 0.57 | 0.41 |
| R507A | 0.97 | 0.97 | 0.97 | 0.97 |
| R407A | 0.87 | 0.94 | 0.90 | 0.82 |
| R407C | 0.95 | 0.95 | 0.96 | NA |
| R407F | 0.94 | 0.93 | 0.96 | NA |
| R448A | 0.97 | 0.91 | 0.98 | 0.83 |
| R449A | 0.95 | 0.90 | 0.97 | 0.83 |
| R452A | 0.97 | 0.94 | 0.94 | 0.87 |
| NOTA: Para unidades evaporadoras, los factores de refrigerantes zeotrópicos con deslizamientos de temperatura mayores a 0.7 °C están basados en el método de selección de temperatura media con respecto a su temperatura de punto de rocío. En caso de que el refrigerante utilizado por la unidad a probar no se encuentre en esta tabla, se deberá de solicitar o proponer a Conuee el factor de corrección de acuerdo con el tipo de refrigerante de la unidad a probar. Los factores para unidades condensadoras sirven para ajustar el valor de capacidad frigorífica obtenido de pruebas con R404A al valor del refrigerante en cuestión. |
Las UCOP que sean diseñados para instalarse vertical u horizontal se deben probar en la orientación en la cual sea más común su instalación.
Todas las pruebas deben llevarse a cabo a una frecuencia eléctrica de 60.0 Hz ± 0.5 %, con la tensión de suministro más alta especificada por el fabricante con una variación de ± 2.5 %, para los equipos monofásicos o trifásicos.
Las tolerancias en las mediciones se encuentran especificadas en las Tablas 9 y 10.
8.3 Instrumentos
Los instrumentos de medición y dispositivos de registro de lecturas automáticos utilizados en el desarrollo de las pruebas a unidades condensadoras y evaporadoras, acorde a los parámetros requeridos, deben ser seleccionados para cumplir o sobrepasar los criterios de precisión establecidos en la Tabla 6.
Tabla 6 - Exactitud de los instrumentos de medición utilizados en la prueba
| Medición | Medio | Mínima exactitud | Ejemplo de Instrumentos |
| Temperatura | Bulbo seco de aire | ± 0.06 °C (± 0.10 °F) | Termómetros de resistencia eléctrica (Termistor tipo RTD). |
| Bulbo húmedo de aire |
| Líquido refrigerante |
| Vapor refrigerante | ± 0.3 °C (± 0.5 °F) | Termopares (calibrados especialmente) |
| Punto de rocío aire |
| Otros, °C | ± 0.6 °C (± 1.0 °F) | Termómetros de vidrio con columna de mercurio |
| Humedad relativa 1/ | Aire | ± 3 % | Sensor de humedad relativa (rh) capacitivo o resistivo |
| Presión | Refrigerante | Presión correspondiente a ± 0.1 °C de la temperatura de saturación | Transductores electrónicos de presión |
| Aire | ± 169.0 Pa | Barómetro Columna de mercurio; tubo Bourdon |
| Flujo | Refrigerante | 1.0 % de lectura | Manómetro Medidor de flujo másico |
| Líquidos | 1.0 % de lectura |
| Parámetros Eléctricos | Motor: kilowatts /amperes / voltaje | 1.0 % de lectura | Instrumentos de indicación o de integración tales como: Medidores de voltaje, corriente, potencia, multímetro, etc. |
| Auxiliar kilowatts (ejemplo resistencias) |
| Velocidad | Flecha del motor | 1.0 % de lectura | Tacómetro |
| Peso | Aceite / solución del refrigerante | 0.5 % de lectura | Balanza gravitacional |
| Gravedad específica | Brine | 1.0 % de lectura | Hidrómetro |
| Tiempo | Horas / minutos / segundos | 0.5 % intervalo de tiempo | Cronómetro (Cronógrafo) |
| 1/ Las mediciones de punto de rocío de aire y humedad relativa (rh) están diseñadas para confirmar la condición de serpentín seco para la condición de prueba. |
8.4 Arreglos para realizar las pruebas de las unidades condensadoras y evaporadoras
8.4.1 Condiciones Generales
El equipo de prueba debe estar instalado en un espacio de dimensiones suficientes para evitar cualquier restricción o recirculamiento de aire, como se especifica a continuación.
a) Ningún obstáculo debe ser posicionado a una distancia de
desde la descarga de aire del equipo, donde A y B son las dimensiones que definen el área de paso de aire del intercambiador o serpentín en el lado de entrada de aire. b) La mínima distancia a la pared u obstáculo similar que debe existir en el lado de admisión de aire de los equipos debe ser 1.1 veces la altura del serpentín o intercambiador.
c) El volumen mínimo, (m3) de la cámara de prueba debe ser el 1 200 % de la tasa de flujo de aire producida por el difusor enfriador de aire (m3/s) en conjunto con todo dispositivo auxiliar que implique el movimiento de aire al interior del recinto simultáneamente.
d) Para unidades evaporadoras, la altura mínima de instalación debe ser 1.5 m, mientras que a los lados debe existir un espacio libre de al menos 0.2 m; para unidades condensadoras las dimensiones deben ser tales que, se cumpla con las desviaciones en la medición de las temperaturas de bulbo seco y bulbo húmedo, establecidas en el inciso 8.6.2.2
8.4.2 Calorímetro
El arreglo de calorímetro se muestra esquemáticamente en la Figura 5. En este, la UCOP es colocada en un recinto con condiciones de humedad y temperatura controladas. Este debe ser suficientemente grande para permitir la libre circulación de aire y las condiciones requeridas de temperatura y humedad a la entrada del intercambiador de calor expresadas en el punto 8.6.2.2.
La capacidad del equipo se obtiene del promedio de dos determinaciones independientes:
1) Mediante el cambio de entalpia, y el flujo másico de refrigerante a través de la unidad.
2) De la potencia de calor de entrada en el calorímetro y la cuantificación de las pérdidas de calor del mismo.
El calorímetro debe contar con los instrumentos de medición necesarios para determinar los siguientes parámetros:
a) Potencia de la fuente de calor. Para resistencias eléctricas será la potencia de entrada de las resistencias.
b) Temperatura promedio del fluido secundario. Obtenida de al menos 4 puntos en la extensión del fluido o medio secundario, separadas por distancias no menores a 0.1 veces la dimensión mayor del recipiente que contiene al medio y así mismo la variación entre estas no puede ser mayor que 0.2 °C. Si se cuenta con al menos tres estaciones adicionales, se puede exceptuar la condición de variación de temperatura.
c) Pérdidas de calor. La temperatura de las paredes del recipiente del calorímetro es obtenida de al menos 4 puntos en la extensión del recipiente y deben ser tomadas al centro del material constitutivo con respecto al espesor y separadas por distancias no menores a 0.1 veces la dimensión mayor del recipiente que contiene al medio y así mismo, la variación entre estas no puede ser mayor que 0.1 °C. La cuantificación de las pérdidas de calor no es necesaria siempre y cuando las mediciones de temperatura del fluido o medio secundario se mantengan dentro de un rango de variación de ±0.2 °C con respecto a la temperatura de las paredes que contienen al fluido secundario.
Se pueden emplear calorímetros prefabricados y existentes en el mercado que sean adecuados para la aplicación y que cuenten con certificados de calibración nacionales o internacionales reconocidos.
8.4.3 Doble instrumentación
El arreglo de doble instrumentación se muestra esquemáticamente en la Figura 6. La capacidad del equipo se determina por medio del cambio de entalpia, y el flujo másico de refrigerante a través de la unidad empleando dos sistemas de medición independientes.
8.4.4 Cuarto calibrado
El arreglo de cuarto calibrado se muestra esquemáticamente en la Figura 7. La capacidad del equipo se determina por medio del cambio de entalpia y flujo másico de refrigerante a través de la unidad y las entradas de calor en el espacio calibrado.
8.5 Métodos de prueba. Procedimientos de prueba según el arreglo utilizado.
8.5.1 Descripción general
Los siguientes métodos son cubiertos en esta Norma Oficial Mexicana.
a) Método de calorímetro (ver 8.5.3).
b) Método de doble instrumentación (ver 8.5.4).
c) Método de cuarto calibrado (ver 8.5.5).
Los equipos deben probarse con el o los métodos establecidos en la Tabla 8, para cada clasificación específica, y están sujetos a cualquier limitación adicional detallada en la sección de métodos de prueba.
Para todos los arreglos utilizados en el método de prueba, se debe determinar el cambio de entalpías (h2 h0), como se muestra en el diagrama de la Figura 1.
Figura 1. Diagrama presión vs entalpia con ciclo de refrigeración convencional.
8.5.2 Procedimientos de pruebas de operación
Las pruebas de funcionamiento de estado estable deben llevarse a cabo de acuerdo con las condiciones descritas en los incisos 8.2.1, 8.2.2 y los procedimientos descritos en esta sección.
Los aparatos y equipo de reacondicionamiento del cuarto de prueba, relativos a la prueba, deben operarse hasta que se alcancen las condiciones de equilibrio, sin embargo, no debe ser menos de una hora antes que los datos de la prueba sean registrados.
Para todos los métodos de prueba, debe ser llevado a cabo un registro de datos en intervalos de 10.0 minutos hasta que se obtengan cuatro juegos consecutivos de lecturas con la tolerancia descrita en el inciso 8.3 y las Tablas 9 y 10.
8.5.3 Método calorímetro para pruebas en la UCOP
8.5.3.1 Verificar que la carga recomendada de aceite especificada por el manual de instalación del fabricante, se encuentre completa o adicione en caso de ser requerida.
8.5.3.2 Evacue el sistema hasta alcanzar un vacío estático de 500.0 micrones y realice el rompimiento de vacío con Nitrógeno Seco al 99.9 %, durante tres ocasiones antes de proceder a la carga de refrigerante.
8.5.3.3 Adicione la carga de refrigerante adecuada recomendada por el manual del fabricante.
8.5.3.4 Los sensores de temperatura deben aislarse a manera de no tener contacto con superficies y fluidos circundantes tratando de reducir al máximo el intercambio térmico y la afectación de la lectura objeto de la prueba.
8.5.3.5 Ubicación de la unidad en el cuarto de pruebas
La UCOP debe ser posicionada en una cámara de pruebas de tal manera que no tenga obstáculo alguno ajeno al equipo de prueba dentro de una distancia de la razón de:
desde el punto de descarga de aire de los ventiladores para evitar restricciones y/o recirculaciones del flujo de aire, como se establece en los incisos a, b y c del inciso 8.4.1. Los instrumentos de medición con volumen general menor a 1 litro, bulbos sensores, tubería y cableado requeridos para la prueba quedan excluidos de esta condición. 8.5.3.6 Condiciones de operación y límites de ajuste.
8.5.3.7 Conecte la UCOP al mayor valor de tensión indicado por el fabricante en la etiqueta. Dicho suministro debe ser capaz de controlar la tensión de suministro, con una variación de ± 1.0 %. Y la variación entre líneas no debe ser mayor al ± 2.0 %.
8.5.3.8 La potencia instantánea debe ser medida para todos los componentes incluidos en la UCOP. Si existen bombas de fluido secundario o cualquier otro accesorio, sea electrónico o eléctrico necesario para la operación normal de la unidad, este debe ser incluido en el circuito de medición para ser tomado en cuenta.
Ajuste la cámara de pruebas a las condiciones de evaluación requeridas en la Tabla 3 - Condiciones de evaluación estándar para UCOP.
8.5.3.9 Corrida de estabilización
Verifique el arranque de la unidad y todos sus componentes, espere y ajuste todo el sistema hasta lograr un estado estable de operación.
El equilibrio mecánico del compresor es una evidencia que el sistema ha alcanzado un estado estable, siga las hojas técnicas del fabricante del compresor para determinar, si los valores de corriente, potencia instantánea y flujo másico corresponden.
Ajuste los valores especificados de presión en succión y descarga del compresor, estos deben ser mantenidos con variaciones iguales o menores al ± 2.0 % en descarga y ± 5 % en succión.
Ajuste y mantenga las temperaturas de sobre-calentamiento del vapor refrigerante especificado en la Tabla 3, tanto en la salida del evaporador como en la succión del compresor a ± 1.0 K.
Ajuste y mantenga las presiones y temperaturas en la descarga del compresor correspondientes a las de saturación de condensación del refrigerante especificado a ± 1.0 %.
8.5.4 Método de doble instrumentación para pruebas en la UEOP
8.5.4.1 Descripción general
8.5.4.1.1 En este método la determinación de la capacidad total neta de refrigeración deberá ser el promedio de dos determinaciones independientes. Los dos valores de capacidad del equipo se determinan mediante el cambio de entalpia y el flujo másico de refrigerante a través de la unidad obtenido de los datos de dos estaciones de medición de temperatura, presión y flujo másico del refrigerante independientes (ver Figura 6). El promedio del resultado de la capacidad obtenida de ambas estaciones de medición de forma independiente será el valor final de capacidad total neta de refrigeración. Toda medición deberá realizarse
durante condiciones de estabilidad en la operación del equipo de acuerdo con lo establecido en el inciso 8.6.2 de esta norma y siguiendo las recomendaciones de medición establecidas dentro del mismo inciso.
8.5.4.2 Medición de las propiedades del refrigerante
8.5.4.2.1 El equipo debe ser operado bajo las condiciones de prueba requeridas y las mediciones de temperatura y presión del refrigerante a la entrada y la salida de la UEOP, deben tomarse en intervalos de 1.0 minuto.
8.5.4.2.2 Las temperaturas del refrigerante deben medirse de acuerdo con lo establecido en el punto 8.6.2.
8.5.4.2.3 Los sensores de temperatura no deben ser retirados, reemplazados o sometidos a cualquier otra acción que cause disturbios en las mediciones durante ninguna etapa de la prueba de capacidad de refrigeración.
8.5.4.2.4 Las temperaturas y presiones del vapor refrigerante a la entrada y salida del evaporador deben ser medidas en las líneas del refrigerante de acuerdo con lo establecido en el inciso 8.6.2.2.
8.5.5 Método de cuarto calibrado para pruebas en la UEOP
En este método, la determinación de la capacidad total neta de refrigeración deberá ser el promedio de dos determinaciones independientes. Los dos valores de capacidad para obtener dicho promedio se determinan:
a) Mediante el cambio de entalpia y el flujo másico de refrigerante a través de la unidad, obtenido de los datos recopilados de una estación de medición considerando las siguientes variables: temperatura, presión y flujo másico del refrigerante. El promedio del resultado de la capacidad obtenida de ambas estaciones de medición de forma independiente será el valor final de capacidad total neta de refrigeración. Toda medición deberá realizarse durante condiciones de estabilidad en la operación del equipo de acuerdo con lo establecido en el inciso 8.6.2 de esta norma.
b) Las entradas de calor hacia el espacio o caja calibrada.
El recinto calibrado debe estar instalado en un espacio con temperatura controlada en el cual se pueda establecer un nivel de temperatura constante.
El espacio controlado debe tener dimensiones tales que permitan un espacio de 460.0 mm en todos los lados, parte superior e inferior, exceptuando que el espacio libre de cualquier superficie puede reducirse a no menos de 140.0 mm.
Las fugas de calor del espacio calibrado no deben exceder el 30.0 % del valor total de capacidad frigorífica del equipo de prueba; las cuales deben determinarse mediante un balance de la energía, realizando una comparación entre la energía suministrada por el equipo de calefacción del recinto y la energía retirada por la UEOP.
Las líneas de refrigerante que se encuentren al interior del espacio calibrado deben estar aisladas para evitar cualquier pérdida o ganancia de calor.
Los instrumentos de medición de temperatura al exterior del espacio calibrado deben estar colocados al centro geométrico de cada pared, techo y piso a una distancia de 150.0 mm del espacio calibrado. En el caso en el que el espacio del recinto calibrado se encuentre reducido a una distancia menor a los anteriormente especificados de 460.0 mm, el número de sensores de medición de temperatura debe ser aumentado a 6.0, los cuales deben ser promediados para obtener la medición representativa de temperatura de aire circundante a la superficie en cuestión. Cuando la distancia del espacio calibrado hacia una de las paredes de la cámara de ambiente controlado se encuentre reducido por debajo de 305.0 mm en alguna de las superficies los 6 sensores de temperatura deben colocarse a la mitad de distancia entre ambas paredes y estar ubicados en el centro geométrico de 6 secciones rectangulares de dimensiones iguales.
Los medios de calefacción al interior del recinto calibrado deben ser cubiertos o instalados de manera que se evite la transferencia de calor por radiación hacia el equipo a prueba, los instrumentos de medición de temperatura y/o las paredes del espacio calibrado. Los medios calefactores deben ser adecuados para evitar la estratificación de temperaturas y proveer de una distribución de temperatura uniforme.
El promedio de temperatura de bulbo seco en la caja calibrada durante las pruebas de capacidad en el equipo difusor al igual que en las pruebas de fugas térmicas de este espacio calibrado debe determinarse mediante el promedio de ocho temperaturas tomadas en las esquinas de la caja calibrada a una distancia de 50.0 mm a 100.0 mm de las paredes. Los instrumentos deben estar protegidos para evitar contacto con cualquier superficie fría o caliente y a su vez no deben estar aislados de las paredes adyacentes de la caja. Durante las pruebas del equipo difusor de aire, estos instrumentos de medición de temperatura no deben recibir directamente la corriente de aire de descarga del equipo de prueba.
8.5.5.1 Calibración de la caja calibrada. Se debe realizar una prueba de calibración para el máximo y
mínimo de flujo de aire forzado esperado durante el uso de la caja. Las fugas de calor durante la calibración deben ser graficadas en una recta en función de las dos cantidades de flujo de aire y la curva resultante debe ser usada a modo de curva de calibración de la caja.
Las ganancias de calor deben ser ajustadas para mantener un promedio de temperatura no menor que 14.0 °C arriba de la temperatura del espacio de prueba.
El promedio de temperatura de bulbo seco al interior de la caja calibrada no debe variar más de 0.6 °C durante el curso de la prueba de calibración.
La prueba de calibración debe ser el promedio de 11 lecturas consecutivas realizadas en intervalos de una hora una vez que se ha alcanzado la condición de estado estable de temperatura.
La temperatura de la caja es el promedio de todas las lecturas una vez que se ha alcanzado la condición de estado estable de temperatura.
La caja calibrada ha alcanzado el estado estable cuando:
El promedio de temperatura de la caja es no menos que 14.0 °C sobre la temperatura del espacio de prueba.
Las variaciones de temperatura no exceden 2.8 °C entre estaciones de medición.
Las temperaturas no varían más de 1.1 °C entre ninguna de las estaciones de medición.
8.6 Desarrollo de los procedimientos de prueba
8.6.1 Requisitos del cuarto de prueba
8.6.1.1 Se requieren uno o dos cuartos de prueba, dependiendo del tipo de equipo a ser probado y de las instrucciones de instalación del fabricante.
8.6.1.2 Condición en el cuarto de prueba. El cuarto o espacio en el cual las condiciones establecidas de prueba deben mantenerse dentro de las tolerancias prescritas y la velocidad del aire alrededor del equipo a probar no exceda de 2.5 m/s.
8.6.1.3 El cuarto o espacio de prueba que debe tener un volumen suficiente, de tal manera que no haya cambios en la circulación normal del aire alrededor del equipo de prueba. Este cuarto debe tener también las dimensiones suficientes para que la distancia de cualquier superficie del cuarto a cualquier superficie del equipo de prueba en donde haya descarga de aire, como se establece en el inciso 8.4.1.
8.6.2 Requisitos de las mediciones
8.6.2.1 Descripción general de las mediciones realizadas a las UCOP y UEOP.
El número de mediciones y los intervalos de cada medición quedan expresados en la Tabla 7.
Tabla 7 - Requisitos generales de las mediciones realizadas a las UCOP y UEOP.
| Parámetros de prueba | Intervalo mínimo de mediciones por hora | Número mínimo de mediciones capturados por prueba |
| Temperatura | 30 | 30 |
| Humedad Relativa | 30 | 30 |
| Presión | 30 | 30 |
| Flujo másico de refrigerante | 30 | 30 |
| Presión barométrica de cuarto de prueba | 1 | 1 |
| Velocidad del ventilador * | 1 | 1 |
| Potencial o voltaje | 30 | 30 |
| Potencia Instantánea eléctrica total | 30 | 30 |
| * Sólo aplica para unidades evaporadoras; En caso de evaporadoras con ventiladores que operen con dos o más rangos de velocidades, se debe probar durante 30.0 minutos en cada una de ellas. |
Las mediciones se deben realizar bajo condición de estado estable de operación como se establece en 8.5.3.9 Corrida de estabilización. El promedio de las mediciones realizadas es el valor reportado. La variación o diferencia máxima aceptable se encuentra establecida en las Tablas 8 y 9.
8.6.2.2 Mediciones de temperatura
Las temperaturas de bulbo seco y bulbo húmedo entrantes al intercambiador se miden con base en el área de paso de aire en el punto de medición. Se requiere una estación de medición para cada 0.19 m2 de los
primeros 0.93 m2 de área de paso de aire y una estación de medición adicional para cada 0.27 m2 arriba de 0.93 m2. Se debe usar un mínimo de dos estaciones de medición y el número de estas debe ser redondeado al número entero mayor consiguiente.
El área de paso de aire debe ser dividida en el número requerido de rectángulos con relación de dimensiones largo/alto de 2:1. Se puede aumentar el número de estaciones de medición para cumplir este requerimiento. Las estaciones de medición deben colocarse en el centro geométrico de cada rectángulo.
Los instrumentos de medición deben colocarse de manera que las pérdidas de presión estática sean mínimas durante la realización de la prueba.
La desviación máxima entre mediciones de temperatura deber ser menor o igual a 1.0 °C.
Las lecturas de temperatura del refrigerante a la entrada y salida del evaporador o calorímetro deben ser tomadas con sensores localizados en contacto directo con el refrigerante, o bien en termopozos en contacto con el refrigerante. Los termopozos deben contener pasta o liquido de alta conductividad térmica y no solidificable para asegurar que el sensor esté expuesto a una temperatura representativa. Además, los termopozos deben ser colocados en conexiones de perfil suave que generen la menor caída de presión posible en el refrigerante.
Las temperaturas del refrigerante a la entrada deben ser medidas a una distancia del dispositivo de expansión no mayor a seis veces el diámetro de la tubería en dirección contraria al flujo de refrigerante. Las temperaturas de salida deben ser medidas en el punto más cercano a la salida física del equipo y la distancia no puede ser mayor a seis diámetros de tubería.
8.6.2.3 Mediciones de presión
Las conexiones de los sensores de presión deben estar adecuadas a la forma del interior del tubo de manera que generen la menor caída de presión posible. Estas deben estar colocadas a no menos de seis veces el diámetro de tubería de distancia en dirección del flujo de separación de cualquier accesorio que implique caídas de presión considerables que puedan tener efectos en la medición tales como accesorios, codos u obstrucciones de cualquier tipo.
Las presiones del refrigerante a la entrada del evaporador o calorímetro deben ser medidas a una distancia del dispositivo de expansión no mayor a seis veces el diámetro de la tubería en dirección contraria al flujo de refrigerante. Las presiones de salida del evaporador o calorímetro deben ser medidas en el punto más cercano a la salida física del equipo de prueba y la distancia no puede ser mayor a seis diámetros de tubería.
8.6.2.4 Mediciones de flujo másico
El medidor de flujo colocado a la entrada del evaporador debe estar acondicionado de manera que la caída de presión que este genere permita el ingreso del líquido refrigerante bajo las condiciones y tolerancias establecidas en la sección de "Condiciones de prueba en el refrigerante", que es validada por las mediciones de los sensores de temperatura y presión colocados en esta sección del sistema.
Para mediciones en fase liquida el refrigerante debe ser subenfriado en puntos anterior y posterior al medidor de flujo para asegurar que el fluido permanezca en una sola fase.
Para mediciones en fase gaseosa el refrigerante debe ser sobrecalentado en puntos anterior y posterior al medidor de flujo para asegurar que el fluido permanezca en una sola fase.
Para la medición de flujo en la salida del evaporador se debe asegurar que las condiciones de sobrecalentamiento se encuentren correctamente establecidas de acuerdo con los parámetros estándar del inciso de Condiciones de prueba en el refrigerante de esta norma.
Los medidores de flujo deben ser instalados al menos a diez diámetros de tubería de distancia corriente arriba y al menos cinco diámetros corriente abajo en trayecto de tubo recto libre de accesorios, o bien de acuerdo con las especificaciones del fabricante.
Se sugiere el uso de instrumentos de medición directa de flujo másico, sin embargo, cualquier medidor capaz de realizar las mediciones de flujo másico dentro de los parámetros y tolerancias establecidas en esta norma es aceptable.
Es prioritario que las mediciones de flujo másico se realicen con el refrigerante en una sola fase para evitar errores en la medición. Para esto se deben colocar mirillas en los puntos anterior y posterior a la localización de los medidores de flujo, respetando las distancias mencionadas en el punto anterior, con el fin de inspeccionar visualmente la presencia de burbujas en el lado del líquido, y/o presencia de gotas en el lado de gas.
8.6.2.5 Medición del contenido del aceite en el refrigerante
El contenido de aceite en el refrigerante debe ser menor al 1.0 % en proporción de masa. A menos que el sistema sea libre de aceite, se deben realizar pruebas de concentración en al menos una ocasión por prueba realizada.
8.6.2.6 Mediciones de potencia del equipo
Para efectos del establecimiento de la potencia nominal del equipo, los siguientes parámetros deben de ser medidos:
E Potencia eléctrica total de los ventiladores, expresada en W
FS Velocidad del ventilador, expresada en rpm (r/min)
N Número de ventiladores
Pb Presión barométrica, expresada en Pa
tdb Temperatura de bulbo seco, expresada en °C
twb Temperatura de bulbo húmedo, expresada en °C
V Voltaje por fase, expresada en V
Para una configuración de devanado del motor dada, la potencia total debe ser medida al voltaje mayor especificado en la placa de datos del equipo. Para motores polifásicos el desbalance entre fases debe ser menor o igual al 2.0 %.
Para equipos con ventiladores que tengan capacidad de operar a diferentes velocidades de giro, se debe probar únicamente en el valor máximo de velocidad de los ventiladores.
Los intervalos de medición de la prueba deben realizarse como se especifica en la Tabla 7.
8.6.3 Instalación del equipo
El equipo a ser probado debe ser instalado en el cuarto o cuartos de prueba, de acuerdo con las instrucciones de instalación del fabricante, usando accesorios y procedimientos recomendados de instalación. En todos los casos, las recomendaciones del fabricante con respecto a las distancias de las paredes adyacentes a los equipos, cantidad de extensiones a través de las paredes, etc., deben ser seguidas.
No se deben hacer alteraciones a los equipos excepto para la sujeción de los aparatos e instrumentación de prueba requeridos.
La tubería de interconexión debe ser suministrada o prescrita por el fabricante. A menos de que existan otras instrucciones, debe emplearse 7.6 m de tubería, al menos 3.0 m de ésta, debe localizarse en la parte exterior del cuarto de prueba.
Cuando se requiera, los manómetros deben ser conectados al equipo sólo a través de pequeños tramos de tubería de diámetro pequeño y deben localizarse de tal manera, que tampoco influya en las lecturas por la presión del flujo en la tubería o se deben hacer las correcciones de operación de enfriamiento.
No se debe hacer ningún cambio para corregir las variaciones barométricas en la velocidad del ventilador o la resistencia del equipo.
8.6.4 Procedimientos de operación de prueba
8.6.4.1 Las unidades condensadoras y evaporadoras para refrigeración, deben operarse hasta que alcancen las condiciones de equilibrio, pero no por menos de una hora, antes de que los datos sean registrados.
8.6.4.2 Para todos los métodos de prueba, debe ser llevado a cabo un registro de datos en intervalos de 10.0 minutos hasta que se obtengan cuatro juegos consecutivos de lecturas con la tolerancia descrita en el inciso 8.3 y las Tablas 9 y 10.
8.7 Datos y resultados
8.7.1 Datos a ser registrados
La Tabla 11, muestra los datos que deben ser registrados durante el lapso de prueba. Los conceptos indicados por una "x" sobre la columna de un método de prueba específico, se deben medir cuando se utilice dicho método.
8.7.2 Tolerancias de prueba
Todas las observaciones de prueba deben ser dentro de las tolerancias de la Tabla 9, las cuales están referidas a los distintos métodos de prueba y tipos de equipo.
La variación máxima permisible de cualquier observación durante la prueba de capacidad está enlistada
en la Tabla 9, bajo el título "Tolerancias de operación durante prueba". Estas representan la diferencia más grande permisible entre la máxima y mínima observación del instrumento durante la prueba. Cuando es expresado como un porcentaje, la variación máxima permisible es el porcentaje especificado del promedio aritmético de las observaciones.
En la Tabla 9, "Tolerancias de condiciones de prueba", se muestra la variación máxima permisible del promedio de las mediciones bajo condiciones de prueba predeterminadas.
Las variaciones mayores a aquellas prescritas deben invalidar la prueba.
8.8 Cálculos para determinar el FEEE
8.8.1 Cálculo del Factor de Eficiencia Energética Estandarizada (FEEE) para unidades condensadoras, conforme a las especificaciones dispuestas en la Tabla 1 de esta Norma Oficial Mexicana.
8.8.1.1 Los datos y resultados de prueba requeridos para calcular la FEEE en Wt/We deben incluir lo siguiente:
La identificación del ensayo, el cual debe incluir fecha, lugar, duración y nombre del operador.
Descripción de la UCOP. Debe incluir, modelo, serie, marca, dimensiones cubicas totales, peso sin embalaje.
Se debe utilizar en la prueba el refrigerante tipo R - 404A.
Propiedades termodinámicas del refrigerante según el fabricante del mismo.
Ficha técnica del lubricante empleado por el compresor.
Descripción del equipo utilizado para la medición. Lista de sensores de temperatura, presión, velocidad o flujo de aire, transductores eléctricos, aparatos electro-mecánicos como calorímetros, medidor de flujo másico, electrónicos o sistemas de adquisición de datos identificados por marca, modelo y serie.
- Condiciones de operación en cámara de pruebas.
- Temperatura de bulbo seco
- Temperatura de bulbo húmedo
- Presión barométrica
- Humedad Relativa
- Dirección del flujo en un diagrama esquemático.
8.8.1.2 Emisión de resultados de prueba
Factor de Eficiencia Energética Estandarizada (FEEE)
FEEE = (qt + C1) / (Wm - C2 + Waux) (E1)
Donde:
C1 - es el factor de corrección de altitud para potencia frigorífica expresado en (W/m) determinado por C1 = 0000.31H donde H es la altura sobre el nivel del mar en metros del lugar de realización de la prueba.
C2 es el factor de corrección de altitud para potencia demandada por el compresor expresado en (W/m) y determinado por:
C2 = 0000.0000162H2 + 0000.0868920H para compresores tipo scroll.
O bien: C2 = 0000.086H para compresores herméticos y semi herméticos.
8.8.2 Cálculo del Factor de Eficiencia Energética Estandarizada (FEEE) para unidades evaporadoras, conforme a las especificaciones dispuestas en la Tabla 2.
Los datos y resultados de prueba requeridos para calcular la FEEE en Wt/We deben incluir lo siguiente:
Potencia nominal, para unidades con motores
· Potencia nominal, para unidades con motores monofásicos
(E2) · Potencia nominal, para unidades con motores polifásicos:
(E3) Temperaturas medias medidas
· Temperatura del bulbo seco (aplica para todos los métodos)
(E4) Temperatura de entrada de la válvula de expansión (todos los métodos).
Para determinar t0s a la presión P0 se debe recurrir a tablas de propiedades termofísicas certificadas por el fabricante del refrigerante o mediante los datos o software, elaborados o reconocidos por un organismo a nivel internacional, como se establece en el Apéndice informativo D.
Temperatura de saturación de la salida del equipo difusor de aire (métodos de caja calibrada y doble instrumentación).
Determine t2s para P2 haciendo referencia a propiedades termofísicas certificadas por el fabricante del refrigerante o mediante los datos o software, elaborados o reconocidos por un organismo a nivel internacional, como se establece en el Apéndice informativo D.
Subenfriamiento de líquido entrando en la válvula de expansión (todos los métodos).
(E12) Sobrecalentamiento del vapor dejando el enfriador de la unidad (todos los métodos)
(E13) Entalpias.
Entalpias de refrigerante
Se deben determinar las entalpias del refrigerante mediante las lecturas de presión y temperatura del interior del ciclo de refrigeración, tomadas en los diferentes puntos previamente establecidos. Los valores deben ser obtenidos mediante datos o software elaborados o reconocidos por un organismo a nivel internacional como se establece en el Apéndice informativo D.
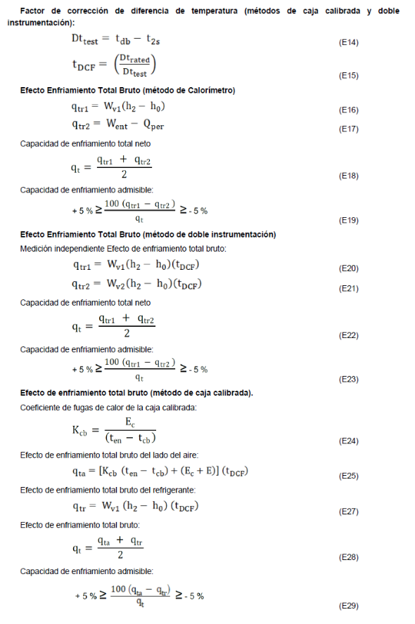
Se determina el FEE de la UEOP según aplique mediante las siguientes fórmulas:
Para equipos con deshielo por aire:
(E30) Para equipos con deshielo por gas caliente y eléctrico:
(E31) FC3 = Factor de corrección de serpentín húmedo y aplica para media temperatura como 1.07 y/o baja temperatura como 1.03.
El espaciamiento entre aletas en milímetros. Para efectos de la clasificación de los equipos con deshielo eléctrico el consumo energético de las resistencias debe ser considerado. Siendo que el modo de operación de los equipos con deshielo eléctrico consiste en el paro de los ventiladores durante el periodo de encendido de las resistencias eléctricas, resulta conveniente integrar en el tiempo las variables de la ecuación (E31). Para esta integración se supone un desempeño cíclico del evaporador con la realización del número de deshielos por día especificados por el fabricante. En este supuesto el evaporador debe tener periodos de encendido equivalentes a veinticuatro horas menos la suma de los periodos de deshielo (Tcd), entre el número de deshielos por día (establecidos por el fabricante de la UEOP). Se define como periodo estándar (PE) el ciclo recurrente del evaporador tomando en consideración el inicio de encendido de las resistencias de deshielo, hasta el apagado de ventiladores y corte de suministro de refrigerante correspondiente al inicio del siguiente ciclo de deshielo (Ver Figura 2). El consumo eléctrico de las resistencias de deshielo se asume como parte del requerimiento energético de la UEOP para el cumplimiento de su propósito.
El mismo modelo se emplea para los equipos con deshielo por gas caliente haciendo caso omiso a contribución energética alguna por efectos del gas caliente y suponiendo cuatro deshielos por día con duración de treinta minutos por ciclo de deshielo.
Figura 2 Potencia del equipo vs. tiempo
9. Criterios de aceptación
Para cumplir con esta Norma Oficial Mexicana, los resultados de las pruebas de laboratorio descritas en el capítulo 8 de cada una de las unidades condensadoras y/o evaporadoras comprendidas en el campo de aplicación que integran la muestra seleccionada deben cumplir con las especificaciones aplicables del capítulo 6, de acuerdo con cada tipo de equipo o aparato y en el nivel de FEEE señalado. Los resultados se expresan con 1 o 2 dígitos enteros y 2 decimales.
10. Etiquetado
Los aparatos objeto de esta Norma Oficial Mexicana que se comercialicen en los Estados Unidos Mexicanos deben llevar una etiqueta que proporcione información relacionada con el factor de eficiencia energética estandarizada (FEEE) que presenta el producto, además de la información básica de los modelos, para ser comparados con otros de su misma capacidad de refrigeración.
Con base en pruebas, el titular (fabricante, importador o comercializador) es quien establece el valor de Factor de Eficiencia Energética Estandarizada (FEEE), que debe utilizarse en la etiqueta del modelo o familia que desee certificar; este valor debe cumplir con las siguientes condiciones:
a) Ser siempre igual o mayor al valor de Factor de Eficiencia Energética Estandarizada (FEEE), según lo especificado en el inciso 6 Tabla 1 o Tabla 2, según corresponda.
b) La capacidad de refrigeración y el FEEE obtenidos en cualquier prueba (certificación inicial, renovación, muestreo, ampliación, etc.) puede ser menor al valor indicado en la etiqueta de eficiencia energética y sólo se debe permitir un decremento de 5.0 %, siempre y cuando este valor no exceda el valor mínimo establecido en las Tablas 1 y 2.
El valor de la capacidad de refrigeración que se especifique en la información colocada o adherida sobre el producto o empaque debe corresponder al valor de la capacidad de refrigeración especificado en la etiqueta de eficiencia energética, en Watts y su equivalente en BTU/h.
10.1 Permanencia
La etiqueta debe ir adherida o colocada en el producto o empaque, ya sea por medio de un engomado, o en su defecto, por medio de un cordón, en cuyo caso, la etiqueta debe tener la rigidez suficiente para que no se flexione por su propio peso. En cualquiera de los casos no debe removerse del producto o empaque, hasta después de que éste haya sido adquirido por el consumidor final.
10.2 Información
La etiqueta de Factor de Eficiencia Energética Estandarizada de las unidades condensadoras y evaporadoras para refrigeración, debe marcarse en forma legible e indeleble y debe contener la información que se lista a continuación y de acuerdo con la distribución e información que se muestra en el modelo de etiqueta en las Figuras 3 y 4, según sea el caso.
10.2.1 La leyenda: "EFICIENCIA ENERGÉTICA", en mayúsculas y tipo negrita.
10.2.2 La leyenda: "UNIDAD CONDENSADORA PARA REFRIGERACIÓN" o "UNIDAD EVAPORADORA PARA REFRIGERACIÓN", según sea el caso, en mayúsculas y tipo negrita.
10.2.3 La leyenda: "Factor de Eficiencia Energética Estandarizada (FEEE)", en tipo negrita.
10.2.4 La leyenda "Determinado como se establece en la: NOM-012-ENER-2019", en tipo normal.
10.2.5 La leyenda "Marca:", en tipo negrita, seguida de la marca de la unidad condensadora o evaporadora, en tipo normal.
10.2.6 La leyenda "Modelo:", en tipo negrita, seguida del modelo de la unidad condensadora o evaporadora, en tipo normal.
10.2.7 La leyenda "Aplicación Frigorífica:", en tipo negrita, seguida de la leyenda "Baja" o "Media", según sea el caso en tipo normal.
10.2.8 La leyenda "Potencia Eléctrica:", en tipo negrita, seguida del valor de la potencia eléctrica de la unidad condensadora o evaporadora, expresada en W, en tipo normal.
10.2.9 La leyenda "Sub-enfriamiento adicional:", en tipo negrita, seguida del reporte o indicación "Si" o "No", expresada en W, en tipo normal. Esta sólo aplica a unidades condensadoras.
10.2.10 La leyenda "Espacio entre aletas", en tipo negrita, seguida del reporte o indicación de acuerdo con la Tabla 2 en "5 mm o más" o "menos de 5 mm". Sólo aplica a unidades evaporadoras.
10.2.11 La leyenda "Tipo de deshielo:", en tipo negrita, seguida del reporte o indicación de acuerdo con la Tabla 2 en "Aire", "Eléctrico" o "Gas caliente", en tipo normal. Sólo aplica a unidades evaporadoras.
10.2.12 La leyenda "Capacidad frigorífica:", en tipo negrita, seguida de la capacidad de refrigeración bruta de la unidad, expresada en watts, en tipo normal, entre paréntesis capacidad de refrigeración bruta de la unidad expresada en Watts, en tipo normal, en la fila posterior se debe expresar entre paréntesis el FEEE de la unidad expresada en BTU/h, en tipo normal.
10.2.13 La leyenda "FEEE establecida en la norma (Wt/We)", en tipo negrita, seguida del FEEE mínimo conforme a lo establecido en el inciso 6 de la presente norma, (expresado a dos decimales aplicando la regla del redondeo progresivo) expresada en Watts, en tipo normal.
10.2.14 La leyenda "FEEE de este aparato (Wt/We)", en tipo negrita, seguida del FEEE, en tipo normal. (Expresado a dos decimales aplicando la regla del redondeo progresivo), determinado por el fabricante, importador o comercializador de esta unidad, con base a un informe de pruebas de un laboratorio acreditado y aprobado, expresada en watts, en tipo normal.
10.2.15 La leyenda "AHORRO DE ENERGÍA" en mayúsculas y tipo negritas.
10.2.15.1 Una escala horizontal, indicando el por ciento de ahorro de energía, de 0 % al 50 % de 10 % en 10 %.
10.2.15.2 A un costado de la escala, en 0 % debe colocarse la leyenda "Menor Ahorro", en tipo negrita.
10.2.15.3 A un costado de la escala, en 50 % debe colocarse la leyenda "Mayor Ahorro", en tipo negrita.
10.2.15.4 Sobre la escala se debe colocar una flecha en color gris oscuro que indique el porcentaje de ahorro de energía que tiene el producto (Uno o dos números enteros y un decimal aplicando la regla del redondeo progresivo), en tipo negrita, obtenido con el siguiente cálculo:
Esta flecha debe colocarse de tal manera que coincida su punta con el por ciento de ahorro de energía que se representa gráficamente.
10.2.16 La leyenda "IMPORTANTE", en tipo negrita.
10.2.17 La leyenda "El consumo real de energía dependerá de los hábitos de uso y localización del aparato", en tipo normal.
10.2.18 La leyenda "La etiqueta no debe retirarse del aparato hasta que haya sido adquirido por el consumidor final", en tipo normal.
10.3 Dimensiones
Las dimensiones de la etiqueta son las siguientes:
Alto: 13.0 cm ± 1.0 cm
Ancho: 10.0 cm ± 1.0 cm
10.4 Distribución de la información y de los colores
Toda la información descrita en el inciso 10.2, así como las líneas y escala deben ser de color negro. El resto de la etiqueta debe ser de color amarillo.
Figura 3 - Etiqueta de eficiencia energética para condensadoras
Figura 4 - Etiqueta de eficiencia energética para evaporadoras
11. Vigilancia
La Secretaría de Energía, a través de la Comisión Nacional para Uso Eficiente de la Energía (Conuee) y la Procuraduría Federal del Consumidor (Profeco), conforme a sus atribuciones y en el ámbito de sus respectivas competencias, son las autoridades que estarán a cargo de vigilar el cumplimiento de esta Norma Oficial Mexicana.
El cumplimiento de esta Norma Oficial Mexicana no exime ninguna responsabilidad en cuanto a la observancia de lo dispuesto en otras normas oficiales mexicanas.
12. Procedimiento para la Evaluación de la Conformidad
De conformidad con los artículos 68 primer párrafo y 73 de la Ley Federal sobre Metrología y Normalización, se establece el presente Procedimiento para la Evaluación de la Conformidad (PEC), que determina los procedimientos y requisitos que deben realizar los organismos de certificación para producto, acreditados y aprobados, para realizar la evaluación de la conformidad de las unidades condensadoras y evaporadoras comprendidos en el campo de aplicación de la presente Norma Oficial Mexicana.
12.1 Objetivo
Este PEC se establece para facilitar y orientar a los organismos de certificación, laboratorios de prueba, fabricantes, importadores, comercializadores, en la aplicación de la Norma Oficial Mexicana "NOM-012-ENER-2019, Eficiencia energética de unidades evaporadoras y condensadoras para refrigeración. Límites métodos de prueba y etiquetado," (en adelante se referirá como NOM) independientemente de lo que, en su caso, determine la autoridad competente.
12.2 Referencias
Para la correcta aplicación de este PEC es necesario consultar los siguientes documentos vigentes:
· Ley Federal sobre Metrología y Normalización (LFMN).
· Reglamento de la Ley Federal sobre Metrología y Normalización (RLFMN).
12.3 Definiciones
Para los efectos de este PEC, se entenderá por:
12.3.1 Ampliación, modificación o reducción del certificado de la conformidad del producto: Documento que expide el organismo de certificación para producto a petición del fabricante, importador o comercializador, para extender, modificar o reducir el alcance del certificado de conformidad del cual es titular, y que le ha sido otorgado con antelación para acreditar que cuenta con un sistema de control de la calidad de un producto o familia de productos, durante su vigencia en alguno o algunos de los siguientes aspectos: modelo, marca, país de origen o especificaciones, siempre y cuando se cumplan con los criterios de agrupación de familia indicado en el inciso 12.5.3. y el procedimiento a que hace referencia el inciso 12.5.7.
12.3.2 Autoridad competente: La Secretaría de Energía (Sener); la Comisión Nacional para el Uso Eficiente de la Energía (Conuee) y la Procuraduría Federal del Consumidor (Profeco), conforme a sus atribuciones y en el ámbito de sus respectivas competencias.
12.3.3 Cancelación del certificado de conformidad: Acto por medio del cual el organismo de certificación para producto deja sin efectos de modo definitivo el certificado de conformidad, de conformidad con lo dispuesto en los artículos 112 fracción V de la Ley y 102 de su Reglamento.
12.3.4 Certificado de la conformidad del producto: Documento mediante el cual el organismo de certificación para producto, hace constar que un producto o una familia de productos determinados cumple con las especificaciones establecidas en la NOM.
NOTA: El organismo de certificación para producto debe vigilar y comprobar que durante la vigencia del certificado el producto o familia de productos cumple con lo dispuesto por la NOM, en caso contrario, se debe cancelar la vigencia de dicho certificado.
12.3.5 Certificación mediante pruebas periódicas a productos y seguimiento: Opción para evaluar la conformidad de los productos que pertenecen a un modelo o familia de productos, presentados por el interesado, basándose para ello en la selección y pruebas de laboratorio periódicas de uno o más productos
12.3.6 Certificación mediante el sistema de gestión de la calidad: Opción para evaluar la conformidad de los productos que pertenecen a un modelo o familia de productos, presentado por el interesado, basándose en pruebas de laboratorio periódicas y en el sistema de gestión de la calidad de las líneas de producción en las que se ensambla ese modelo de producto.
12.3.7 Especificaciones técnicas: Información técnica de los productos que describe que estos cumplen con los criterios de agrupación de familia de producto y que ayudan a demostrar cumplimiento con las especificaciones establecidas en la NOM.
12.3.8 Evaluación de la conformidad: La determinación del grado de cumplimiento con la NOM.
12.3.9 Familia de productos: Grupo de productos del mismo tipo en el que las variantes son de carácter estético o de apariencia, pero conservan las características de diseño que aseguran el cumplimiento con la NOM y que cumplan con 12.5.3.
12.3.10 Informe de certificación del sistema de calidad: El que otorga un organismo de certificación para producto a efecto de hacer constar que el sistema de aseguramiento de calidad del producto que se pretende certificar, contempla procedimientos para asegurar el cumplimiento con la NOM.
12.3.11 Informe de pruebas: El documento que emite un laboratorio de pruebas acreditado y aprobado en los términos de la LFMN, mediante el cual se presentan los resultados obtenidos en las pruebas realizadas a la muestra seleccionada. La vigencia del informe de pruebas es de noventa días a partir de su fecha de emisión.
12.3.12 Laboratorio de pruebas: Persona física o moral acreditada y aprobada para realizar pruebas de acuerdo con la NOM, conforme lo establece la LFMN y su Reglamento.
12.3.13 Organismo de certificación de producto: La persona moral acreditada y aprobada conforme a la LFMN y su Reglamento, que tenga por objeto realizar funciones de certificación a los productos referidos en la NOM. (En adelante se le llamará "OCP")
12.3.14 Organismo de certificación para sistemas de gestión de la calidad: La persona moral acreditada conforme a la LFMN y su Reglamento, que tenga por objeto realizar funciones de certificación de sistemas de gestión de la calidad.
12.3.15 Producto: Las unidades evaporadoras y condensadoras para refrigeración que se indican en el campo de aplicación de la presente NOM.
12.3.16 Renovación del certificado de cumplimiento del producto: Emisión de un nuevo certificado de conformidad, que se otorga al demostrarse mediante el seguimiento, que los productos siguen cumpliendo con los requisitos establecidos en la NOM. Se otorga por un periodo igual al que se otorgó la certificación original.
12.3.17 Seguimiento: Es la comprobación a la que están sujetos los productos certificados de conformidad con la NOM, así como el sistema de aseguramiento de la calidad, a los que se les otorgó un certificado de la conformidad con el objeto de comprobar si dichos productos continúan cumpliendo o no, con la NOM y del que depende la vigencia de dicha certificación.
12.4. Disposiciones generales
12.4.1 Todo producto comprendido en el campo de aplicación de esta NOM, debe contar con certificado de conformidad de producto de acuerdo con esta NOM. Los certificados de conformidad se otorgarán a las personas formalmente establecidas en los Estados Unidos Mexicanos de acuerdo con las disposiciones legales aplicables o a personas con las que nuestro país tenga acuerdos de libre comercio.
12.4.2 Los trámites, documentación y requisitos que se presenten al OCP, debe estar en idioma español, sin perjuicio de que además se expresen en otros idiomas.
12.4.3 La evaluación de la conformidad debe realizarse por laboratorios de prueba y OCP, acreditados y aprobados, conforme a lo dispuesto en la LFMN. Así como por organismos de certificación de sistemas de gestión de la calidad acreditados en las normas mexicanas de sistemas de gestión de la calidad.
12.4.4 El interesado debe solicitar la evaluación de la conformidad, al OCP, cuando lo requiera para dar cumplimiento a las disposiciones legales o para otros fines de su propio interés y el OCP debe entregar al interesado la solicitud de servicios de certificación, el contrato de prestación de servicios y la información necesaria para llevar a cabo el proceso de certificación de producto.
12.4.5 Una vez que el interesado ha analizado la información proporcionada por el OCP, debe presentar la solicitud con la información respectiva, así como el contrato de prestación de servicios de certificación que celebra con el OCP.
12.4.6 El interesado debe elegir un laboratorio de pruebas, con objeto de someter a pruebas de laboratorio una muestra, que cumpla con lo establecido en 12.5.3.
12.4.7 El OCP analiza la información y requisitos que presenten los interesados en la certificación en alguna de sus dos modalidades y con base en ello otorga o niega la certificación correspondiente.
12.4.8 Cuando las solicitudes de los interesados no cumplan con los requisitos o no se acompañen de la información correspondiente, el OCP debe prevenir a los interesados por escrito y por una sola vez, para que subsanen la omisión correspondiente.
12.4.9 El OCP, debe contar con los procedimientos para dar respuesta a las solicitudes de certificación, ampliación y reducción del alcance de la certificación, así como para la suspensión o cancelación de certificados de conformidad, según proceda.
12.4.10 El presente PEC es aplicable a los productos de fabricación nacional o de importación que se comercialicen en el territorio nacional.
12.4.11 La autoridad competente debe resolver las controversias en la interpretación de este PEC.
12.4.12 La ampliación de titularidad no está considerada en esta NOM.
12.5 Procedimiento
12.5.1 Para obtener el certificado de la conformidad del producto, el interesado puede optar por la modalidad de certificación mediante pruebas periódicas al producto (por modelo o por familia), o por la modalidad de certificación mediante el sistema de gestión de la calidad de la línea de producción y, para tal efecto, debe presentar como mínimo la siguiente documentación al OCP, por cada modelo que integra la familia:
12.5.1.1 Para el certificado de la conformidad con verificación mediante pruebas periódicas al producto (modalidad 1):
En caso de familia de producto: Declaración bajo protesta de decir verdad, por medio de la cual el interesado manifestará que el producto presentado a pruebas de laboratorio es representativo de la familia que se pretende certificar, de acuerdo con lo dispuesto en los incisos 12.3.5 y 12.5.3.
· Fotografías.
· Etiqueta de eficiencia energética.
· Características eléctricas: Tensión (V), frecuencia (Hz), potencia nominal (W) o corriente nominal (A).
· Instructivo o manual de uso.
· Diagrama eléctrico.
· Original del informe de pruebas vigente realizadas por un laboratorio de pruebas acreditado y aprobado.
· Listado de componentes.
12.5.1.2 Para el certificado de conformidad del producto con verificación mediante el sistema de gestión de la calidad de la línea de producción (modalidad 2):
· Los descritos en inciso 12.5.1.1.
· Copia del certificado vigente del sistema de gestión de la calidad que incluya la línea de producción, expedido por un organismo de certificación para sistemas de gestión de la calidad.
· Informe de certificación del sistema de calidad que indique que se cuenta con procedimiento de verificación al proceso de producción.
12.5.2 Muestreo
Se debe de tomar una muestra al azar por certificado, para la realización de las pruebas de laboratorio, descritas en el inciso 8 de la presente norma.
12.5.3 Agrupación de familias
Para el proceso de certificación, las unidades condensadoras y unidades evaporadoras, se agrupan en familias de acuerdo con lo siguiente:
Para definir la familia de productos correspondiente a esta NOM, dos o más modelos se consideran de la misma familia siempre y cuando cumplan con todos y cada uno de los criterios siguientes:
1) Mismo tipo de producto o unidad, condensadora o evaporadora.
2) Misma aplicación frigorífica, media temperatura o baja temperatura. Así como:
3) La unidad condensadora debe tener una potencia frigorífica bruta dentro del intervalo establecido en la Tabla 1 de esta NOM.
4) La unidad evaporadora debe tener el mismo tipo de deshielo y características de diseño (espacio entre aletas), como se establece en la Tabla 2 de esta NOM. Para el caso de evaporadoras de baja temperatura se permite agrupar en la misma familia las unidades de deshielo eléctrico y gas caliente.
5) Misma tensión eléctrica.
Los modelos pertenecientes a una misma familia pueden presentar en sus etiquetas de eficiencia energética un valor de FEEE distinto entre sí, siempre y cuando éste no se encuentre por debajo del valor FEEE requerido por la NOM, Tabla 1 o Tabla 2, según corresponda.
En caso de unidades condensadoras, en el proceso de certificación inicial, se debe enviar a pruebas de laboratorio el modelo que integre la familia, que no cuente con un elemento de sub-enfriamiento.
En caso de unidades evaporadoras, para la certificación inicial, se debe probar el modelo de mayor número de motores y con menor superficie de intercambio de calor (tubos y aletas).
Las variantes de carácter estético o de apariencia del producto y sus componentes, no se consideran limitantes para la agrupación de familia.
No se considera de la misma familia a aquellos productos que no cumplan con uno o más criterios aplicables a la definición de familias antes expuestos.
12.5.4 Vigencia de los certificados de cumplimiento del producto.
12.5.4.1 Un año a partir de la fecha de su emisión, para los certificados de la conformidad con seguimiento mediante pruebas periódicas al producto.
12.5.4.2 Tres años a partir de la fecha de emisión, para los certificados de la conformidad con seguimiento mediante el sistema de gestión de la calidad de la línea de producción.
12.5.5 Seguimiento
12.5.5.1 El OCP debe realizar el seguimiento del cumplimiento con la NOM, de los productos certificados, como mínimo una vez al año, tanto de manera documental como por revisión y muestreo del producto certificado. En el caso de unidades condensadoras, si la familia incluye modelos que cuenten con un elemento adicional de subenfriamiento, el OCP debe escoger una unidad de este tipo para ser evaluada.
12.5.5.2 En la modalidad de certificación mediante el sistema de gestión de la calidad de la línea de producción, el seguimiento se debe realizar en el lugar donde se manufactura el producto. El organismo de certificación debe verificar que la planta cuente con un sistema de gestión de calidad en el proceso de producción, mientras que las muestras tomadas de la línea de producción deben cumplir con las pruebas especificadas en la NOM-012-ENER-2019 y realizados en un laboratorio de pruebas, acreditado y aprobado conforme a la Ley. Se deben revisar también los resultados de la última auditoría de seguimiento aplicado por el organismo de certificación de sistemas de gestión de la calidad, acreditado.
12.5.5.2.1 En ambas modalidades previstas en los incisos 12.5.1.1 y 12.5.1.2, las unidades objeto de prueba deben integrarse por una muestra de la familia, diferente a la que se ha evaluado en laboratorio de pruebas.
12.5.5.3 De los resultados del seguimiento correspondiente, el OCP dictamina la suspensión, cancelación o renovación del certificado de cumplimiento de producto.
12.5.5.4 En caso que el OCP determine la suspensión o cancelación del certificado, ya sea por el incumplimiento del producto con la NOM o cuando el seguimiento no pueda llevarse a cabo por causa imputable a la empresa a verificar, el OCP debe dar aviso al titular del certificado.
12.5.6 Renovación
Para obtener la renovación de un certificado de la conformidad del producto en cualquier modalidad que resulte aplicable, se procede conforme a lo siguiente.
12.5.6.1 Deben presentarse los documentos siguientes:
a) Solicitud de renovación.
b) Actualización de la información técnica debido a modificaciones en el producto en caso de haber ocurrido.
12.5.6.2 La renovación debe estar sujeta a lo siguiente:
a) Haber cumplido en forma satisfactoria con los seguimientos y pruebas establecidas en el inciso 12.5.5.
b) Que se mantengan las condiciones de la modalidad de certificación, bajo la cual se emitió el certificado de cumplimiento inicial.
Una vez renovado el certificado de la conformidad del producto, se debe estar sujeto a los seguimientos correspondientes a cada modalidad de certificación, así como las disposiciones aplicables del presente procedimiento para la evaluación de la conformidad.
12.5.7 Ampliación o reducción del certificado de la conformidad del producto
Una vez otorgado el certificado de la conformidad del producto se puede ampliar, reducir o modificar su alcance, a petición del titular del certificado, siempre y cuando se demuestre que se cumple con los requisitos de la NOM, mediante análisis documental y, de ser el caso, pruebas tipo.
El titular de la certificación puede ampliar, modificar o reducir en los certificados, modelos, marcas, especificaciones técnicas o domicilios, entre otros, siempre y cuando se cumpla con los criterios generales en materia de certificación y correspondan a la misma familia de productos.
Los certificados emitidos como consecuencia de una ampliación quedan condicionados tanto a la vigencia y seguimiento de los certificados de la conformidad de los productos iniciales.
Los certificados emitidos pueden contener la totalidad de modelos y marcas del certificado base, o bien una parcialidad de éstos.
Para ampliar, modificar o reducir el alcance del certificado de la conformidad del producto, deben presentarse los documentos siguientes:
a) Información técnica que justifique los cambios solicitados y que demuestre el cumplimiento con las especificaciones establecidas en la presente NOM, con los requisitos de agrupación de familia y con la modalidad de certificación correspondiente.
b) En caso de que el producto certificado sufra alguna modificación, el titular del certificado deberá
notificarlo al OCP correspondiente, para que se compruebe que se siga cumpliendo con la NOM.
12.5.8 Suspensión y cancelación del certificado de la conformidad de producto
Sin perjuicio de las condiciones contractuales de la prestación del servicio de certificación, el OCP debe aplicar los criterios siguientes para suspender o cancelar un certificado.
12.5.8.1 Se procede a la suspensión del certificado, cuando:
a) Por incumplimiento con los requisitos de información al público establecidos por la NOM.
b) Cuando el seguimiento no pueda llevarse a cabo por causas imputables al titular del certificado.
c) Cuando el titular del certificado no presente al OCP el informe de pruebas derivado del seguimiento, antes de 30 días naturales contados a partir de la fecha de emisión del informe de pruebas y dentro de la vigencia del certificado.
d) Por cambios o modificaciones a las especificaciones o diseño de los productos certificados que no hayan sido evaluados por causas imputables al titular del certificado.
e) Cuando la dependencia lo determine con base en el artículo 112, fracción V de la LFMN y 102 de su Reglamento.
El OCP debe informar al titular del certificado sobre la suspensión, otorgando un plazo de 30 días naturales para hacer aclaraciones pertinentes o subsanar las deficiencias del producto o del proceso de certificación. Pasado el plazo otorgado y en caso de que no se hayan subsanado los incumplimientos, el OCP procede a la cancelación inmediata del certificado de la conformidad del producto.
12.5.8.2 Se procede a la cancelación inmediata del certificado cuando:
a) Por cancelación del certificado del sistema de gestión de la calidad de la línea de producción.
b) Cuando se detecte falsificación o alteración de documentos relativos a la certificación.
c) A petición del titular de la certificación, siempre y cuando se hayan cumplido las obligaciones contraídas en la certificación, al momento en que se solicita la cancelación.
d) Cuando se incurra en declaraciones engañosas en el uso del certificado.
e) Por incumplimiento con especificaciones de la NOM, que no sean aspectos de marcado e información.
f) Una vez notificada la suspensión y no se corrija el motivo de ésta en el plazo establecido.
g) Cuando la dependencia lo determine con base en el artículo 112, fracción V de la LFMN y 102 de su Reglamento.
h) Se hayan efectuado modificaciones sustantivas al producto.
i) No se cumpla con las características y condiciones establecidas en el certificado.
j) El documento donde consten los resultados de la evaluación de la conformidad pierda su utilidad o se modifiquen o dejen de existir las circunstancias que dieron origen al mismo, previa petición de parte.
En todos los casos de cancelación se procede a dar aviso a las autoridades correspondientes, informando los motivos de ésta. El OCP debe mantener el expediente de los productos con certificados cancelados por incumplimiento con la NOM.
12.6 Diversos
12.6.1 La lista de los laboratorios de prueba y los OCP pueden consultarse en la Entidad Mexicana de Acreditación (ema) y en la dependencia competente, además de que dicha relación aparece publicada en el Diario Oficial de la Federación, pudiéndose consultar también en la página de Internet de la Secretaría de Economía.
12.6.2 Los gastos que se originen por los servicios de certificación y pruebas de laboratorio, por actos de evaluación de la conformidad, son a cargo del usuario conforme a lo establecido en el artículo 91, párrafo tercero de la LFMN.
13. Sanciones
El incumplimiento de esta Norma Oficial Mexicana debe ser sancionado conforme a lo dispuesto por la Ley de Federal sobre Metrología y Normalización y demás disposiciones legales aplicables.
14. Concordancia con normas internacionales
Esta Norma Oficial Mexicana no es equivalente (NEQ) con ninguna norma internacional, por no existir esta última al momento de su elaboración.
APÉNDICE A
NORMATIVO
Figuras
Figura 5 - Método calorímetro
APÉNDICE A
NORMATIVO
Figuras
Figura 6 - Método doble instrumentación
APÉNDICE A
NORMATIVO
Figuras
Figura 7 - Método cuarto calibrado
APÉNDICE B,
NORMATIVO
TABLAS
Tabla 8 - Métodos aplicables para el cálculo del FEEE de las unidades condensadoras y evaporadoras
| Unidad | Método de calorímetro | Método de doble instrumentación | Método de cuarto calibrado |
| Condensadora | X | X | |
Tabla 9 - Tolerancias de las mediciones de las condiciones de prueba
| Variable | Estabilidad de las condiciones de evaluación durante la realización de la prueba | Desviación permisible de temperaturas promedio de las pruebas de condiciones estándar |
| Condición de serpentín seco | Condición de serpentín seco |
| (°C) | (°C) |
| Temperatura de bulbo seco | - | ±0.6 |
| Temperatura de bulbo húmedo | - | - |
| Temperatura de punto de rocío | - | +0.0 |
| Diferencial de temperatura | ± 0.3 | - |
| Tasa de flujo de refrigerante | ± 3.0 % | - |
| Temperatura del medio del calorímetro | ±0.3 | ±0.3 |
| Nota: La tolerancia en la temperatura de bulbo húmedo está definida por el diferencial de temperatura. |
Tabla 10 - Tolerancias de temperatura del refrigerante
| Variable | Estabilidad de las condiciones de evaluación durante la realización de la prueba | Desviación permisible de temperaturas promedio de las pruebas de condiciones estándar |
| (°C) | (°C) |
| Temperatura de saturación del refrigerante a la entrada | ± 0.8 | ± 0.5 |
| Subenfriamiento a la entrada | ± 0.8 | ± 0.5 |
| Temperatura de saturación del refrigerante a la salida | - | ± 0.5 |
| Sobrecalentamiento | ± 0.8 | ± 0.5 |
APÉNDICE B,
NORMATIVO
TABLAS
Tabla 11 - Datos a ser registrados
| Parámetro | Unidades | Método de Calorímetro | Método de doble instrumentación | Método de cuarto calibrado |
| Fecha | | X | X | X |
| Observaciones | | X | X | X |
| Presión barométrica | kPa | X | X | X |
| Tiempo | | X | X | X |
| Potencia de entrada de la unidad de evaporación | W | X | X | X |
| Potencia total de las resistencias y equipo auxiliar | W | X | X | X |
| Voltaje aplicado a la unidad de evaporación | Volts | X | X | X |
| Voltaje aplicado a la unidad condensadora | Volts | X | X | X |
| Frecuencia | Hz | X | X | X |
| Velocidad del motor | rpm | X | X | X |
| Humedad relativa de entrada de aire | % | X | X | X |
| Temperatura promedio de bulbo seco de cuarto calibrado | °C | X | | X |
| Temperatura promedio de bulbo seco de cuarto controlado | °C | X | | X |
| Temperatura de bulbo seco del aire entrando a la unidad de evaporación | °C | X | X | X |
| Temperatura de bulbo húmedo del aire entrando a la unidad de evaporación | °C | X | X | X |
| Temperatura de bulbo seco del aire saliendo a la unidad de evaporación | °C | X | X | |
| Temperatura de bulbo húmedo del aire saliendo a la unidad de evaporación | °C | X | X | |
| Presión de condensación | kPa | X | X | X |
| Presión de evaporación | kPa | X | X | X |
| Temperatura de condensación | °C | X | X | X |
| Temperatura de evaporación | °C | X | X | X |
| Presión de subenfriamiento del líquido entrando a la válvula de expansión | kPa | X | X | X |
| Presión de sobrecalentamiento del evaporador dejando la unidad de evaporación | kPa | X | X | X |
| Presión del refrigerante de vapor en la succión del compresor | kPa | X | X | X |
| Presión del refrigerante de vapor en la descarga del compresor | kPa | X | X | X |
| Temperatura de subenfriamiento del refrigerante entrando a la válvula de expansión | °C | X | X | X |
| Temperatura de sobrecalentamiento del refrigerante dejando la unidad de evaporación | °C | X | X | X |
| Temperatura de vapor del refrigerante en la línea de succión del compresor | °C | X | X | X |
| Temperatura de vapor del refrigerante en la línea de descarga del compresor | °C | X | X | X |
| Flujo de masa del refrigerante líquido subenfriado | kg/s | X | X | X |
| Flujo de masa del refrigerante sobrecalentado | kg/s | X | X | X |
APÉNDICE C
Informativo
Información a presentar al laboratorio para realización de pruebas de UEOP.
Datos generales del equipo. Se deben registrar, según aplique, los siguientes datos para cada equipo objeto de ensayo, incluyendo las unidades de medida utilizadas:
a. Nombre y dirección del fabricante
b. Número de identificación (modelo / serie)
c. Tamaño dimensiones exteriores en milímetros (Largo, ancho, alto)
d. Datos del motor de la placa de características (para cada motor)
1. Tipo
2. Potencia, CV (kW)
3. Velocidad, rpm (r/min)
4. Voltaje, V
5. Amperios, A
6. Fase
7. Frecuencia, Hz
8. Eficiencia (NEMA nominal o certificado del fabricante para motores polifásicos)
9. Fabricante
10. Número de serie o número de identificación del fabricante
e. Datos del ventilador
1. Diámetro, en (mm)
2. Velocidad, rpm (r/min)
3. Número de álabes
4. Fabricante
5. Número de modelo o de pieza
6. Número de ventiladores
f. Datos del serpentín de enfriamiento
1. Longitud aletada en mm
2. Altura y profundidad de la aleta en mm
3. Número de filas de tubos de profundidad
4. Número de tubos de altura
5. Espaciamiento entre aletas en mm
6. Espesor del material de aleta medido en mm
7. Material de la aleta
8. Geometría de la aleta acabada (descripción breve o dibujo)
9. Material del tubo
10. Descripción del tubo {i.e. Diámetro exterior (o equivalente), mejoras (Tubo estriado u otro)}
11. Número de circuitos de refrigerante
12. Revestimientos de serpentín o aletas
g. Accesorios (por ejemplo, rejillas, orificio de distribución)
APÉNDICE D
Informativo
Propiedades termofísicas del refrigerante.
Para obtener los diferentes valores de presión, temperatura, entalpía, etcétera, del refrigerante utilizado en la prueba; se deben consultar las propiedades termofísicas certificadas por el fabricante del refrigerante o mediante los datos o software, elaborados o reconocidos por un organismo a nivel internacional, como por ejemplo:
- ASHRAE Handbook
- ASHRAE estándar 34
- NIST REFPROP (software)
- ASHRAE Psychrometric Analysis (software)
15. Bibliografía
| NMX-Z-013-SCFI-2015 | Guía para la estructuración y redacción de Normas |
| ANSI/ASHRAE Standard 23.1-2010 | Methods of Testing for Rating the Performance of Positive Displacement Refrigerant Compressors and Condensing Units that Operate at Subcritical Temperatures of the Refrigerant |
| ANSI/AHRI Standard 420 | Standard for Performance Rating of Forced-Circulation Free-Delivery Unit Coolers for Refrigeration, 2008. |
| ANSI/AHRI Standard 1250 (I-P/2014): | Performance Rating of Walk-in Coolers and Freezers |
| ANSI/AHRI Standard 1251 (SI/2014): | Performance Rating of Walk-in Coolers and Freezers |
| Handbook refrigeration system and applications, ASHRAE 1994. |
| Refrigeración y aire acondicionado, ARI Air Conditioning and Refrigeration Institute, Ed. Prentice/Hall International, Englewood Cliffs, N.J. 1979. |
16. Transitorios
Primero.- Esta Norma Oficial Mexicana, entrará en vigor 120 días naturales después de su publicación, para todas las unidades evaporadoras comprendidas en el campo de aplicación; y para las unidades condensadoras su entrada en vigor será en forma escalonada, considerando dos etapas, conforme a lo siguiente:
Etapa 1, entrará en vigor 120 días naturales después de su publicación, y a partir de esa fecha todas las unidades condensadoras para refrigeración de media temperatura con capacidad mayor o igual que 746 W (2 547 BTU/h) y menor o igual que 12 000 W (40 982 BTU/h) y de baja temperatura con capacidad mayor o igual que 746 W (2 547 BTU/h) y menor o igual que 4 500 W (15 355 BTU/h); deben ser certificadas con base a la misma.
Etapa 2, entrará en vigor 365 días naturales después de su publicación, y a partir de esa fecha todas las unidades condensadoras para refrigeración de media temperatura con capacidad mayor que 12 000 W (40 982 BTU/h) y Menor o igual que 26 000 W (88 716 BTU/h) y de baja temperatura con capacidad mayor que 4 500 W (15 355 BTU/h) y menor o igual que 9 500 W (32 415 BTU/h); deben ser certificadas con base a la misma.
Segundo.- Los equipos comprendidos dentro del campo de aplicación de esta Norma Oficial Mexicana, que sean fabricados en el territorio nacional, o hayan ingresado legalmente al país, o bien que se encuentren en tránsito, de conformidad con el conocimiento de embarque correspondiente, antes de la entrada en vigor de esta regulación; pueden ser comercializados hasta su agotamiento, sin mostrar cumplimiento con la misma, en todo caso, los productos a importarse deberán dar cumplimiento a lo dispuesto en el artículo 53, párrafo tercero de la LFMN.
Tercero.- Los laboratorios de prueba y los organismos de certificación de producto pueden iniciar los trámites de acreditación y aprobación, una vez que se publique la norma definitiva en el Diario Oficial de la Federación.
Sufragio Efectivo. No Reelección.
Ciudad de México, a 14 de mayo de 2020.- El Presidente del Comité Consultivo Nacional de Normalización para la Preservación y Uso Racional de los Recursos Energéticos (CCNNPURRE) y Director General de la Comisión Nacional para el Uso Eficiente de la Energía, Odón Demófilo de Buen Rodríguez.- Rúbrica.