PROYECTO de Norma Oficial Mexicana PROY-NOM-037-SCT2-2019, Barreras de protección en carreteras y vialidades urbanas.
Al margen un sello con el Escudo Nacional, que dice: Estados Unidos Mexicanos.- COMUNICACIONES.- Secretaría de Comunicaciones y Transportes.
PROYECTO DE NORMA OFICIAL MEXICANA PROY-NOM-037-SCT2-2019 BARRERAS DE PROTECCIÓN EN CARRETERAS Y VIALIDADES URBANAS
CARLOS ALFONSO MORÁN MOGUEL, Subsecretario de Transporte y Presidente del Comité Consultivo Nacional de Normalización de Transporte Terrestre, con fundamento en los artículos 36 fracciones I y XII de la Ley Orgánica de la Administración Pública Federal; 1, 3, 38 fracción II, 40 fracciones I, III y XVI, 41, 43, 47, fracciones I, III y IV y 51 de la Ley Federal sobre Metrología y Normalización; 4 de la Ley Federal de Procedimiento Administrativo; 5 fracción VI y 32 de la Ley de Caminos, Puentes y Autotransporte Federal; 28, 30, 33 y 39 del Reglamento de la Ley Federal Sobre Metrología y Normalización y 6 fracción XIII del Reglamento Interior de la Secretaría de Comunicaciones y Transportes; y los demás ordenamientos jurídicos que resulten aplicables; y
CONSIDERANDO
Que habiendo cumplido el procedimiento que establece la Ley Federal sobre Metrología y Normalización y su Reglamento, el Comité Consultivo Nacional de Normalización de Transporte Terrestre, en su tercera sesión ordinaria celebrada el 01 de octubre de 2019, tuvo a bien aprobar el Proyecto de Norma Oficial Mexicana PROY-NOM-037-SCT2-2019, Barreras de Protección en Carreteras y Vialidades Urbanas.
Que de conformidad con el artículo 51 cuarto párrafo de la Ley Federal sobre Metrología y Normalización, que establece la obligatoriedad de revisar en forma quinquenal las normas oficiales mexicanas, una vez efectuada la revisión y notificación correspondiente y dado que es imprescindible la aplicación de las disposiciones establecidas en la misma, se determinó su modificación en concordancia con las disposiciones ambientales relacionadas con el tema.
Que de conformidad con lo establecido en el artículo 47 fracción I de la Ley Federal sobre Metrología y Normalización, se ordena su publicación, para que en un plazo de 60 días naturales contados a partir de su fecha de publicación, los interesados presenten comentarios ante el Comité Consultivo Nacional de Normalización de Transporte Terrestre, así mismo durante ese lapso la Manifestación a que se refiere el artículo 45 de la citada Ley, estará a disposición del público para su consulta en el domicilio del Comité, ubicado en Calzada de las Bombas 411, piso 2, colonia Los Girasoles, Demarcación Territorial Coyoacán, Código Postal 04920, Ciudad de México, teléfono (55) 5723 9300 EXTENSIÓN 20115 o (55) 5265 3600 extensión 4510 y correo electrónico: hbonilla@imt.mx
En virtud de lo anterior, he tenido a bien ordenar la publicación del PROYECTO de Norma Oficial Mexicana PROY-NOM-037-SCT2-2019, Barreras de Protección en Carreteras y Vialidades Urbanas
Atentamente
Ciudad de México, a 27 de mayo de 2020.- El Subsecretario de Transporte y Presidente del Comité Consultivo Nacional de Normalización de Transporte Terrestre, Carlos Alfonso Morán Moguel.- Rúbrica.
PROYECTO DE NORMA OFICIAL MEXICANA APROY-NOM-037-SCT2-2019 "BARRERAS DE
PROTECCIÓN EN CARRETERAS Y VIALIDADES URBANAS"
PREFACIO
En la elaboración de esta Norma Oficial Mexicana participaron:
SECRETARÍA DE COMUNICACIONES Y TRANSPORTES
- INSTITUTO MEXICANO DEL TRANSPORTE
- DIRECCIÓN GENERAL DE SERVICIOS TÉCNICOS
- DIRECCIÓN GENERAL DE CONSERVACIÓN DE CARRETERAS
CAMINOS Y PUENTES FEDERALES Y SERVICIOS CONEXOS
- DIRECCIÓN DE INFRAESTRUCTURA CARRETERA
SECRETARÍA DE DESARROLLO AGRARIO, TERRITORIAL Y URBANO
- DIRECCIÓN GENERAL DE COORDINACIÓN METROPOLITANA
SECRETARÍA DE TURISMO
- DIRECCIÓN GENERAL DE NORMALIZACIÓN Y CALIDAD REGULATORIA TURÍSTICA
SECRETARÍA DE SEGURIDAD Y PROTECCIÓN CIUDADANA, POLICÍA FEDERAL
- DIVISIÓN DE SEGURIDAD REGIONAL, DIRECCIÓN GENERAL DE PLANES Y SUPERVISIÓN
SECRETARÍA DE MOVILIDAD DE LA CIUDAD DE MÉXICO
- DIRECCIÓN GENERAL DE SEGURIDAD VIAL Y SISTEMAS DE MOVILIDAD URBANA SUSTENTABLE
INSTITUCIONES ACADÉMICAS
- INSTITUTO DE INGENIERÍA DE LA UNIVERSIDAD NACIONAL AUTÓNOMA DE MÉXICO
- ESCUELA SUPERIOR DE INGENIERÍA Y ARQUITECTURA, UNIDAD ZACATENCO, DEL INSTITUTO POLITÉCNICO NACIONAL
CÁMARAS Y SOCIEDADES TÉCNICAS
- CÁMARA NACIONAL DEL AUTOTRANSPORTE DE CARGA
- CÁMARA NACIONAL DEL AUTOTRANSPORTE DE PASAJE Y TURISMO
- CONFEDERACIÓN NACIONAL DE TRANSPORTISTAS MEXICANOS, A.C.
- ASOCIACIÓN MEXICANA DE INGENIERÍA DE VÍAS TERRESTRES, A.C.
- ASOCIACIÓN NACIONAL DE INGENIERÍA URBANA, A.C.
- ASOCIACIÓN NACIONAL DE TRANSPORTE PRIVADO, A.C.
- ALIANZA MEXICANA DE ORGANIZACIÓN DE TRANSPORTISTAS, A.C.
ÍNDICE
0. Introducción
1. Objetivo
2. Campo de aplicación
3. Referencias
4. Definiciones
5. Barreras de orilla de corona y separadoras de sentidos de circulación
6. Parapetos
7. Barreras de transición
8. Secciones extremas de las barreras
9. Conservación
10. Proyecto
11. Concordancia con normas internacionales y normas mexicanas
12. Bibliografía
13. Evaluación de la conformidad
14. Vigilancia
15. Observancia
16. Vigencia
0. Introducción
En algunos tramos de carreteras y vialidades urbanas es posible que por condiciones meteorológicas, por fallas mecánicas, por errores de los conductores o por características específicas del camino, algunos vehículos pierdan su ruta en forma incontrolada, ocasionando accidentes que ponen en riesgo la vida de sus pasajeros y de otras personas, así como la integridad de las estructuras que pudieran existir en la orilla del camino. Para evitar que ello ocurra, se instalan barreras de protección a fin de que los vehículos no se salgan del camino, las que deben proyectarse y colocarse de acuerdo con estrictos y uniformes criterios técnicos, para lograr su eficacia y evitar daños mayores en los pasajeros, en terceras personas y en estructuras adyacentes; para ello el proyectista o el operador de la carretera o vialidad urbana debe analizar las condiciones mencionadas.
1. Objetivo
La presente Norma Oficial Mexicana tiene por objeto establecer los criterios generales que han de considerarse para el diseño y colocación de barreras de protección, incluidos los parapetos de puentes, en las carreteras y vialidades urbanas de jurisdicción federal, estatal y municipal, así como establecer la designación, definición y utilización de los diversos elementos que conforman dichas barreras. En el inciso 4.2. se definen y designan los diferentes tipos de barreras y tanto en el inciso 5.2. como en los capítulos 6, 7 y 8 se establecen los criterios para su utilización.
2. Campo de aplicación
Con el propósito de que las barreras de protección provean de seguridad a los usuarios, tanto del autotransporte federal como público en general, para que transiten en forma segura por las carreteras y vialidades urbanas que tengan tramos con curvas horizontales, terraplenes altos u obstáculos adyacentes a la corona de la carretera o al arroyo vial, estructuras como puentes, donde exista el riesgo de que ocurran accidentes cuando, por condiciones meteorológicas, por fallas mecánicas, por errores de los conductores o por características específicas del camino, los vehículos pudieran salirse de éste incontroladamente, esta Norma es de aplicación obligatoria en las carreteras federales, estatales y municipales, así como en las vialidades urbanas.
3. Referencias
Para la correcta aplicación de esta Norma, se debe consultar las Normas Oficiales Mexicanas NOM-086-SCT2-2015, Señalamiento y dispositivos para protección en zonas de obras viales y NOM-008-SCT2-2013, Amortiguadores de impacto en carreteras y vialidades urbanas.
4. Definiciones
Para los efectos de la presente Norma Oficial Mexicana se consideran las siguientes definiciones:
4.1. Arroyo vial
Franja destinada a la circulación de los vehículos, delimitada por los acotamientos o las banquetas.
4.2. Barreras de protección (OD-4)
Dispositivos que se instalan longitudinalmente en uno o en ambos lados del camino, con el objeto de impedir, por medio de la contención y redireccionamiento, que algún vehículo fuera de control salga del camino, por fallas en la conducción, condiciones meteorológicas, por fallas mecánicas o por características específicas del camino. Según su operación y ubicación, las barreras de protección son las que se indican en la Tabla 1 y se describen a continuación:
TABLA 1.- Barreras de protección (OD-4)
| Designación | Tipos de barrera |
| OD-4.1 | Barrera de orilla de corona |
| OD-4.1.1 | Flexible (Defensas de acero, cables de acero u otro material) |
| OD-4.1.2 | Semirrígida (Defensas de acero u otro material) |
| OD-4.1.3 | Rígida (Defensas de acero o barreras monolíticas o modulares de concreto u otro material) |
| OD-4.2 | Barrera separadora de sentidos de circulación |
| OD-4.2.1 | Flexible (Defensas de acero, cables de acero u otro material) |
| OD-4.2.2 | Semirrígida (Defensas de acero u otro material) |
| OD-4.2.3 | Rígida (Defensas de acero o barreras monolíticas o modulares de concreto u otro material) |
| OD-4.3 | Barrera de transición |
| OD-4.4 | Secciones extremas |
| OD-4.4.1 | Sección de amortiguamiento |
| OD-4.4.2 | Sección Terminal |
| OD-4.5 | Parapetos |
| OD-4.5.1 | Rígidos (Defensas de acero, barreras monolíticas o modulares de concreto) |
4.2.1. Barreras de orilla de corona (OD-4.1)
Son dispositivos de seguridad flexibles, semirrígidos o rígidos que se colocan en la orilla de las carreteras o vialidades urbanas, en subtramos específicos donde exista un peligro potencial, como puede ser una curva cerrada, la altura excesiva de un terraplén o la cercanía de estructuras u objetos fijos, con el propósito de incrementar la seguridad de los usuarios evitando que los vehículos salgan del camino si el conductor pierde el control, siempre y cuando dichos vehículos circulen en las condiciones normales de operación para las que se diseñen las barreras, en cuanto a velocidad, masa y dimensiones. Ocasionalmente pueden ser usadas para proteger a peatones y ciclistas del tránsito vehicular bajo condiciones especiales. Son concebidas para recibir impactos sólo por uno de sus lados.
4.2.2. Barreras separadoras de sentidos de circulación (OD-4.2)
Son dispositivos de seguridad flexibles, semirrígidos o rígidos que se colocan en caminos divididos para separar un arroyo vial de otro con flujo vehicular en sentido opuesto, con el propósito de impedir que algún vehículo abandone su arroyo vial e invada el otro, ya sea por condiciones meteorológicas, por fallas mecánicas o de conducción o por características específicas del camino. Quedan comprendidas dentro de esta definición, las barreras que se utilicen para separar carriles en el mismo sentido de circulación y las que sean móviles mediante un dispositivo especial, para abrir y cerrar carriles reversibles o habilitar carriles de emergencia por accidentes. Ocasionalmente pueden ser usadas para evitar el acceso de vehículos por sitios indebidos a carriles restringidos. Son concebidas para recibir impactos por ambos lados.
4.2.3. Barreras de transición (OD-4.3)
Barreras de orilla de corona o separadoras de sentidos de circulación, con arreglos y configuraciones particulares, que se colocan para conectar dos barreras comunes con niveles de contención o deflexión dinámica diferentes, o entre las barreras comunes y los parapetos de puentes o de estructuras similares, o entre aquellas y cualquier elemento lateral rígido como muros de contención y muros de entrada a túneles, entre otros, para lograr la transición progresiva del nivel de contención y la deflexión dinámica de las primeras al de los segundos, tanto en las aproximaciones como en las salidas de esas estructuras, con el propósito de evitar la deformación exagerada que resulta en ángulos excesivos de redireccionamiento con trayectorias peligrosas, el impacto de los vehículos en los elementos rígidos de las estructuras, con la consecuente desaceleración excesiva o la penetración de las barreras en los vehículos impactados a lo largo de la transición.
4.2.4. Secciones extremas (OD-4.4)
Son dispositivos que deben ser instalados en los extremos de una barrera, ya sea de orilla de corona (OD-4.1), separadora de sentidos de circulación (OD-4.2) o parapeto (OD-4.5), con el objeto de protegerlo y reforzarlo o disminuir el peligro que representa para los ocupantes de un vehículo el impacto en el extremo inicial de la barrera. Deben ser secciones de amortiguamiento (OD-4.4.1) cuando se instalan para amortiguar el impacto potencial e impedir que la barrera penetre en el vehículo, pudiéndose colocar amortiguadores de
impacto que cumplan con lo establecido en la NOM-008-SCT2-2013, Amortiguadores de impacto en carreteras y vialidades urbanas, o son terminales (OD-4.4.2) cuando se colocan para reforzar y proteger la barrera al término de la misma.
4.2.5. Parapetos (OD-4.5)
Son dispositivos de seguridad rígidos que se colocan longitudinalmente en los extremos laterales de los puentes y estructuras similares. Se clasifican, según su uso, en parapetos para vehículos automotores, parapetos peatonales y parapetos para bicicletas; para efectos de esta Norma, sólo son de interés los parapetos para vehículos automotores.
4.3. Carretera
Camino público, ancho y espacioso, pavimentado y dispuesto para el tránsito de vehículos, con o sin accesos controlados, que puede prestar un servicio de comunicación a nivel nacional, interestatal, estatal o municipal.
4.4. Corona
Superficie comprendida entre las aristas superiores de los taludes de un terraplén o superficie de la cama de un corte sin contar las cunetas.
4.5. Deflexión dinámica
Deformación horizontal máxima respecto a la posición inicial o línea de acción de la barrera de protección (OD-4), que le produce la colisión del vehículo con la velocidad y el ángulo de impacto considerados en el diseño de la barrera, y que determina el ancho de trabajo mínimo requerido para el correcto funcionamiento de la barrera, como se muestra en la figura 1.
FIGURA 1.- Deflexión dinámica de diferentes tipos de barreras de protección (OD-4)
4.6. Nivel de contención
Capacidad de la barrera de protección de absorber la energía de impacto de un vehículo, manteniendo una adecuada deformación, desaceleración y redireccionamiento del vehículo. Cada nivel de contención está definido por el nivel de prueba que la barrera resiste.
4.7. Nivel de prueba
Está definido por las condiciones de impacto (velocidad y ángulo de aproximación o de impacto) y el tipo de vehículo de prueba (que varía en tamaño y masa, y puede ser un automóvil, camioneta, camión unitario, tractocamión articulado o tractocamión articulado tipo tanque) utilizados para realizar una prueba de impacto para un nivel de contención específico.
4.8. Velocidad de operación
La velocidad adoptada por los conductores bajo las condiciones prevalecientes del tránsito y de la carretera. Se caracteriza por una variable aleatoria, cuyos parámetros se estiman a partir de la medición de las velocidades de los vehículos que pasan por un tramo representativo de la carretera bajo las condiciones prevalecientes (velocidades de punto). Para fines deterministas, suele designarse la velocidad de operación por el percentil ochenta y cinco (85) de las velocidades de punto. En vialidades urbanas en operación se refiere a la velocidad establecida por las autoridades correspondientes en los reglamentos de tránsito.
4.9. Velocidad de proyecto
Es la velocidad de referencia para dimensionar ciertos elementos de la carretera o vialidad urbana. Se fija de acuerdo con la función de la carretera o vialidad urbana y la velocidad deseada por los conductores.
4.10. Vialidad urbana
Conjunto integrado de vías de uso común que conforman la traza urbana, cuya función es facilitar el tránsito eficiente y seguro de personas y vehículos.
5. Barreras de orilla de corona y separadoras de sentidos de circulación
5.1. Clasificación
Las barreras de orilla de corona y separadoras de sentidos de circulación (OD-4.1 y OD-4.2) se clasifican como se indica a continuación:
5.1.1. Clasificación según el nivel de contención
De acuerdo con las características, velocidad y ángulo de impacto de los vehículos que son capaces de contener y redireccionar, las barreras de orilla de corona y separadoras de sentidos de circulación (OD-4.1 y OD-4.2) se clasifican en los seis niveles de contención que se indican en la Tabla 2, según el nivel de prueba que satisfagan del Manual for Assessing Safety Hardware (MASH), American Association of State Highway and Transportation Officials, Estados Unidos de América, 2016.
5.1.2. Clasificación según la deflexión dinámica
De acuerdo con la deflexión dinámica que pueden presentar las barreras de orilla de corona o separadoras de sentidos de circulación (OD-4.1 u OD-4.2) al ser impactadas por el vehículo con la velocidad y el ángulo de impacto considerados en su diseño, se clasifican en:
5.1.2.1. Flexibles (OD-4.1.1 u OD-4.2.1), cuando su deflexión dinámica es mayor de ciento sesenta (160) centímetros.
5.1.2.2. Semirrígida (OD-4.1.2 u OD-4.2.2), cuando su deflexión dinámica es mayor de setenta (70) y hasta ciento sesenta (160) centímetros.
5.1.2.3. Rígidas (OD-4.1.3 u OD-4.2.3), cuando su deflexión dinámica es hasta setenta (70) centímetros.
TABLA 2.- Clasificación de las barreras de orilla de corona, separadoras de sentidos de circulación y
parapetos (OD-4.1, OD-4.2 y OD-4.5) según su nivel de contención
| Nivel de contención | Vehículos que contiene y redirecciona | Prueba[1] |
| Designación | Vehículo | Masa vehicular kg | Nivel de prueba | Velocidad de impacto Km/h | Ángulo de impacto Grados | Condiciones[2] |
| NC-1 | Ap | Automóvil | 1100±25 | 1 | 50 | 25 | a) |
| Ac | Camioneta | 2270±50 | 50 | 25 |
| NC-2 | Ap | Automóvil | 1100±25 | 2 | 70 | 25 | a) |
| Ac | Camioneta | 2270±50 | 70 | 25 |
| NC-3 | Ap | Automóvil | 1100±25 | 3 | 100 | 25 | a) |
| Ac | Camioneta | 2270±50 | 100 | 25 |
| NC-4 | Ap | Automóvil | 1100±25 | 4 | 100 | 25 | a) y b) |
| Ac | Camioneta | 2270±50 | 100 | 25 |
| C2 | Camión unitario | 10000± 300 | 90 | 15 |
| NC-5 | Ap | Automóvil | 1100±25 | 5 | 100 | 25 | a) y b) |
| Ac | Camioneta | 2270±50 | 100 | 25 |
| T3-S2 | Tractocamión articulado | 36 000± 500 | 80 | 15 |
| NC-6 | Ap | Automóvil | 1100±25 | 6 | 100 | 25 | a) y b) |
| Ac | Camioneta | 2270±50 | 100 | 25 |
| T3-S2 | Tractocamión articulado tipo tanque | 36000± 500 | 80 | 15 |
| [1] Según el Manual for Assessing Safety Hardware (MASH), American Association of State Highway and Transportation Officials, Estados Unidos de América, 2016. [2] Las condiciones que han de satisfacerse para cada nivel de prueba son: a) La barrera o parapeto, dentro de su deflexión dinámica, debe contener y redireccionar al vehículo sin que éste la penetre ni la cruce por arriba o por abajo; los elementos, fragmentos u otros residuos de la barrera o del vehículo no deben penetrar a su cabina o generar algún tipo de peligro a otros vehículos y peatones; la cabina del vehículo no debe presentar deformaciones que representen riesgos para sus ocupantes; el tanque de combustible debe permanecer intacto y sin punzonamientos. Los vehículos con masas de 1.100 y 2 270 kg, durante el impacto y su salida, no deben presentar giros respecto a sus ejes longitudinal y transversal, que puedan ocasionar su volcamiento. La velocidad de impacto de los ocupantes de vehículos con masas de 1.100 y 2.270 kg, debe ser como máximo de 4,9 m/s en la dirección frontal y la resultante de las velocidades frontal y lateral no debe exceder de 12,2 m/s, con una desaceleración no mayor de 201 m/s2. b) Es preferible, aunque no esencial, que los vehículos con masa de 10 000 kg o más, no vuelquen durante el impacto y su salida. |
5.2. Utilización de barreras de orilla de corona y separadoras de sentidos de circulación (OD-4.1 y OD-4.2)
Las barreras de orilla de corona y separadoras de sentidos de circulación (OD-4.1 y OD-4.2) se deben utilizar en los siguientes casos:
5.2.1. Barreras de orilla de corona (OD-4.1)
Las barreras de orilla de corona (OD-4.1) se deben instalar en aquellos lugares de las carreteras o vialidades urbanas, donde exista el riesgo de que ocurra un accidente que pueda ocasionar muertos o lesionados graves cuando algún vehículo salga del camino en caso de que el conductor pierda su control, ya sea por la altura e inclinación de los taludes de terraplenes o de los balcones, la existencia de una curva horizontal, la cercanía a obstáculos laterales o para proteger a peatones o ciclistas que convivan con el tránsito vehicular bajo condiciones especiales, considerando que:
5.2.1.1. En terraplenes
Los factores que determinan la necesidad de una barrera de orilla de corona (OD-4.1) en un terraplén o en un balcón, ya sea en tangente o en curva, son la altura y la pendiente de sus taludes, como se muestra en la figura 2, en la que el punto definido por la altura y la pendiente, determina si se debe o no colocar la barrera, según el área donde caiga dicho punto. Para carreteras con velocidades de operación menores de 50 km/h y un tránsito diario promedio anual (TDPA) menor de 1.000, la barrera es opcional.
FIGURA 2.- Instalación de barreras de orilla de corona (OD-4.1) en terraplenes (Fuente: Roadside Design
Guide AASHTO, Estados Unidos de América 2011)
5.2.1.2. En curvas horizontales
Se deben colocar barreras de orilla de corona (OD-4.1) en cada curva horizontal (circular o circular con espiral de transición) cuya velocidad de operación sea menor que la velocidad de operación del tramo inmediato anterior a la curva, o en el caso de carreteras o vialidades urbanas nuevas las correspondientes velocidades de proyecto, y en las curvas que se ubiquen inmediatamente después de tangentes largas, mayores de cinco (5) kilómetros, en ambos casos sólo cuando la salida de un vehículo represente un riesgo a los ocupantes y se estime que la severidad del accidente pueda ocasionar muertos o lesionados, independientemente del tipo de sección transversal existente en la curva horizontal (corte, terraplén o balcón). Estas barreras se deben emplazar en la orilla exterior de dichas curvas si la carretera o la vialidad urbana es de dos carriles o en la orilla exterior de cada sentido de circulación si la carretera o la vialidad urbana cuenta con barrera separadora de sentidos de circulación (OD-4.2) o es de cuerpos separados. Para barreras de protección con vigas acanaladas de acero de dos o tres crestas, que sean instaladas en curvas con radio de cuarenta y seis (46) metros o menor, las vigas deben ser roladas de acuerdo con el radio que se tenga en el lugar de su instalación. Las barreras flexibles de cables de acero sólo se pueden instalar en curvas cuyos radios sean iguales a doscientos (200) metros o mayores, salvo que sean estrictamente indispensables, en cuyo caso la distancia entre los postes deberá reducirse en veinte (20) por ciento con respecto a su distancia normal, para radios entre ciento cincuenta (150) y ciento noventa y nueve (199) metros, y cuarenta (40) por ciento para radios entre cien (100) y ciento cuarenta y nueve (149) metros, pero nunca se instalarán en curvas con radios menores de cien (100) metros.
5.2.1.3. Por obstáculos laterales
Se deben colocar barreras de orilla de corona (OD-4.1) cuando existan obstáculos laterales ubicados dentro de una franja de nueve (9) metros de ancho, adyacente al arroyo vial de la carretera o de la vialidad urbana de circulación continua, o en la faja separadora cuando se trate de cuerpos separados, dependiendo del tipo y la cercanía de esos obstáculos. En general, su instalación se justifica sólo si la colisión contra la barrera produjera menor daño que el choque directo contra el obstáculo lateral, cuando no sea económicamente factible reubicarlo o removerlo. La Tabla 3 ofrece una guía para definir la colocación de una barrera ante la presencia de ciertos obstáculos laterales.
TABLA 3.- Guía para colocar barreras de orilla de corona (OD-4.1), por obstáculos laterales [1]
| Obstáculo lateral | Recomendación |
| Pilas, columnas, estribos u otros elementos estructurales que representen peligro | Colocar barreras de orilla de corona |
| Obras menores de drenaje y muros cabezales | Cuando su tamaño, forma o ubicación representen peligro, colocar barreras de orilla de corona |
| Obras de drenaje longitudinal | Cuando sea probable traspasarlas y ello represente peligro, colocar barreras de orilla de corona |
| Taludes sin irregularidades | Generalmente no se requieren barreras de orilla de corona |
| Taludes con irregularidades | Cuando sea probable que los vehículos impacten contra las irregularidades, colocar barreras de orilla de corona |
| Muros de contención | Cuando la forma y ubicación de un muro de contención sea tal que represente un peligro, colocar barreras de orilla de corona |
| Estructuras de señalamiento elevado y de iluminación | Colocar barreras de orilla de corona |
| Postes de servicios públicos y de semáforos | De acuerdo con las características del lugar y del tránsito, colocar barreras de orilla de corona |
| Árboles | Cuando sea probable que los vehículos impacten contra árboles con troncos de diámetro mayor de diez (10) centímetros, colocar barreras de orilla de corona |
| Rocas con una magnitud tal que el costo de removerlas sea significativo | Cuando sea probable que los vehículos impacten contra rocas de tal tamaño que el costo de removerlas sea significativo, colocar barreras de orilla de corona |
| Cuerpos de agua permanentes | Cuando su ubicación y profundidad representen peligro, colocar barreras de orilla de corona |
| [1] Fuente: Roadside Design Guide AASHTO, Estados Unidos de América 2011 |
5.2.1.4. En casos especiales
La necesidad de una barrera de orilla de corona (OD-4.1) en zonas donde peatones o ciclistas convivan de forma habitual con el tránsito vehicular de la carretera o de la vialidad urbana, depende de la intensidad de tránsito vehicular y peatonal en cada caso particular.
5.2.2. Barreras separadoras de sentidos de circulación (OD-4.2)
Las barreras separadoras de sentidos de circulación (OD-4.2) se deben instalar en las fajas separadoras o camellones de las carreteras o vialidades urbanas de dos o más carriles por sentido de circulación, para impedir que los vehículos invadan los carriles de sentido opuesto y evitar que se produzcan colisiones frontales.
En situaciones de conducción normal, cuando la faja separadora o el camellón tenga un ancho mayor de diez (10) metros, no se requieren barreras separadoras de sentidos de circulación, ya que en la mayoría de los casos los vehículos errantes se pueden detener en esa distancia, antes de invadir los carriles opuestos. Sin embargo, es recomendable analizar si se justifica su instalación por un motivo operacional o por que se trate de un lugar donde frecuentemente ocurran accidentes con víctimas.
En casos especiales estas barreras también se pueden instalar entre carriles del mismo sentido, para controlar el flujo del tránsito cuando las condiciones geométricas u operacionales así lo requieren, con el propósito de definir y limitar adecuadamente una trayectoria.
5.3. Selección
Una vez determinados los sitios donde se justifica instalar barreras de orilla de corona o separadoras de sentidos de circulación (OD-4.1 u OD-4.2), se debe seleccionar su tipo en función de su nivel de contención y de su deflexión dinámica, considerando lo siguiente:
5.3.1. Selección según el nivel de contención
Con base en la composición del flujo vehicular en términos del tránsito diario promedio anual (TDPA) y la velocidad de operación en el subtramo donde se emplazarán las barreras de orilla de corona o separadoras de sentidos de circulación (OD-4.1 y OD-4.2), que se esperan en los siguientes cinco (5) años, en la Tabla 4 se determina el nivel de contención mínimo que debe tener la barrera.
TABLA 4.- Niveles de contención mínimos según las características del tránsito y la velocidad de operación
| Velocidad de operación km/ h | Nivel de contención (NC) [1] mínimo de la barrera o parapeto [6] |
| Caminos de dos carriles, uno por sentido de circulación | Caminos de dos o más carriles por sentido de circulación |
| Tránsito diario promedio anual (TDPA) | Tránsito diario promedio anual (TDPA) |
| < 1 000 | 1 000 9 999 | > 10 000 | < 10 000 | > 10 000 |
| Hasta 50 | NC-1 [2] | NC-1 [2] | NC-1 [2] | NC-1 [2] | NC-2 |
| 51 - 70 | NC-2 | NC-2 | NC-2 | NC-2 | NC-3 [3] |
| 71 - 100 | NC-3 | NC-3 [3] | NC-3 [3-4] | NC-3 [3-4] | NC-3 [3-4] |
| más de 100 | NC-3 | NC-3 [3-4] | NC-4 [5] | NC-4 [5] | NC-5 |
| [1] NC = Niveles de contención asociados directamente con los que se presentan en la Tabla 2. [2] En el caso de parapetos, los niveles de contención para velocidades de hasta 50 km/h, serán NC-2 sin importar el tipo de camino ni el TDPA. [3] De contar con autobuses de pasajeros en un 25% o más del TDPA, se requieren barreras de orilla de corona o separadoras de sentidos de circulación (OD-4.1 u OD-4.2) con nivel de contención NC-4 como mínimo. [4] De contar con camiones de carga con masa vehicular mayor de 8 000 kg, en un 20% o más del TDPA, se requieren barreras de orilla de corona o separadoras de sentidos de circulación (OD-4.1 u OD-4.2) con nivel de contención NC-4 como mínimo. [5] De contar con camiones de carga con masa vehicular mayor de 18 000 kg, en un 25% o más del TDPA, se requieren barreras de orilla de corona o separadoras de sentidos de circulación (OD-4.1 u OD-4.2) con nivel de contención NC-5 como mínimo. [6] Para casos especiales en los que se considere que la salida del camino de los vehículos implica riesgos mayores por el tipo y volumen de tránsito, el proyectista podrá establecer niveles de contención mayores que los indicados en esta tabla. |
5.3.2. Selección según la deflexión dinámica
Para seleccionar el tipo de barrera de orilla de corona o separadora de sentidos de circulación (OD-4.1 y OD-4.2) en función de su deflexión dinámica, se debe proceder como se indica a continuación:
5.3.2.1. Se define la ubicación lateral de cada barrera de orilla de corona o separadora de sentidos de circulación (OD-4.1 u OD-4.2), de acuerdo con lo indicado en el inciso 5.4., considerando que:
5.3.2.1.1. En carreteras con acotamiento, las barreras de orilla de corona (OD-4.1) se deben ubicar fuera del mismo, en su lado exterior, de manera que ningún elemento de las barreras lo invada, salvo cuando la orilla exterior del acotamiento coincida con el hombro de un talud, en cuyo caso la barrera debe colocarse sobre el acotamiento, siempre y cuando no invada el carril de circulación contiguo, de lo contrario, la barrera se debe colocar en el talud según se indica en 5.3.2.1.2. Si la barrera se coloca sobre el acotamiento, la reducción de su ancho se debe indicar mediante el señalamiento horizontal y vertical de la carretera, prohibiendo, de ser necesario, el estacionamiento en el acotamiento. En cualquier caso en que la barrera se coloque sobre la corona de la carretera, entre el borde exterior de sus postes y el hombro del talud, debe quedar un espacio libre de al menos cincuenta (50) centímetros y el eje horizontal del elemento de contención
de la barrera (viga acanalada de acero, cables de acero u otro material) debe quedar sobre la superficie del acotamiento, a la altura (h) especificada en el diseño de la barrera que se utilice, como se muestra en la figura 3.
5.3.2.1.2. En carreteras sin acotamiento, las barreras se deben ubicar lo más lejos posible del arroyo vial. Si se ubican en terraplén o en balcón, se debe procurar que su desplante se haga sobre la corona de forma que quede entre el borde exterior de los postes y el hombro del talud, un espacio libre de al menos cincuenta (50) centímetros. Cuando el arroyo vial llegue hasta el hombro de un talud, los postes de la barrera podrán colocarse en el talud, a una distancia tal que el borde interior de la barrera coincida con el hombro del talud, en cuyo caso, la longitud de los postes deberá ser la necesaria para que el eje horizontal del elemento de contención de la barrera (viga acanalada de acero, cables de acero u otro material) quede sobre la superficie del arroyo vial, a la altura (h) y que los postes queden a la profundidad efectiva (p) dentro del material compactado, de acuerdo con el diseño y las especificaciones del fabricante de la barrera que se utilice, como se muestra en la figura 3.
5.3.2.1.3. En las vialidades urbanas las barreras de orilla de corona (OD-4.1) se deben ubicar fuera del arroyo vial. Cuando se instalen barreras junto a las guarniciones con banquetas o camellones, se deben considerar restricciones en el diseño de la forma y la altura de la guarnición, pues la presencia de una guarnición entre el arroyo vial y la barrera puede resultar en trayectorias impredecibles de los vehículos que han perdido su ruta en forma incontrolada, afectando las funciones de contención y redireccionamiento de vehículos que proporciona la barrera. Con objeto de que la barrera cumpla con su función, cuando es instalada en conjunto con una guarnición, la altura de una guarnición vertical no debe ser mayor de 10 cm, o de preferencia el diseño debe ser con la cara inclinada y su altura no mayor de 15 cm, como se muestra en la figura 4. En estos casos, las barreras se deben ubicar alineadas con la orilla de la guarnición, sin que ningún elemento de la barrera invada el arroyo vial, como se muestra en la figura 5.
FIGURA 3.- Ubicación de barreras de orilla de corona (OD-4.1) en terraplenes y balcones
FIGURA 4.- Forma y altura de guarniciones usadas en conjunto con barreras de orilla de corona (OD-4.1)
FIGURA 5.- Ubicación de barreras de orilla de corona (OD-4.1) en conjunto con guarniciones
5.3.2.1.4. Cuando se requieran barreras de orilla de corona (OD-4.1) por la existencia de obstáculos laterales, entre éstos y la barrera debe quedar un espacio equivalente al ancho de trabajo que limita la deflexión dinámica de la barrera.
5.3.2.1.5. Las barreras separadoras de sentidos de circulación (OD-4.2) se deben ubicar en las fajas separadoras o en los camellones que tengan un ancho hasta de diez (10) metros y que separen arroyos viales con sentidos de circulación opuestos o que separen carriles de un mismo sentido de circulación cuando las condiciones geométricas y operacionales así lo requieran. Para fajas o camellones con anchos entre siete (7) y diez (10) metros o que separen arroyos viales con distinto nivel de rasante, en lugar de las barreras separadoras de sentidos de circulación (OD-4.2), se pueden ubicar a cada lado, barreras de orilla de corona (OD-4.1), tomando en cuenta las consideraciones anteriores de este inciso.
5.3.2.1.6. Cuando las fajas separadoras o los camellones tengan un ancho mayor de diez (10) metros y sus superficies no sean transitables, o cuando contengan obstáculos que representen peligro, se deben ubicar en cada uno de sus lados, barreras de orilla de corona (OD-4.1), tomando en cuenta las consideraciones anteriores de este inciso.
5.3.2.2. Una vez definida la ubicación lateral de una barrera de orilla de corona o separadora de sentidos de circulación (OD-4.1 ó OD-4.2), se determina su ancho de trabajo, considerando lo siguiente:
5.3.2.2.1. Para las barreras de orilla de corona (OD-4.1) desplantadas sobre la corona de los terraplenes o balcones, en tangentes o en curvas, se debe considerar un ancho de trabajo máximo de ciento sesenta (160) centímetros y no más de ciento veinte (120) centímetros cuando se desplanten en el talud, como se muestra en la figura 6.
FIGURA 6.- Anchos de trabajo para barreras de orilla de corona (OD-4.1) en terraplenes y balcones
5.3.2.2.2. Cuando existan obstáculos laterales que representen peligro, en tangentes o en curvas, el ancho de trabajo máximo de las barreras de orilla de corona (OD-4.1), corresponde al espacio libre disponible entre la barrera y el obstáculo, como se muestra en la figura 7.
FIGURA 7.- Ancho de trabajo de barreras de orilla de corona (OD-4.1) para obstáculos laterales
5.3.2.2.3. Para las barreras separadoras de sentidos de circulación (OD-4.2), el ancho de trabajo está limitado por el espacio libre disponible entre la barrera y el lado exterior del acotamiento del carril que se desea proteger, como se muestra en la figura 8.
5.3.2.3. Una vez determinado el ancho de trabajo, se selecciona una barrera de orilla de corona o separadora de sentidos de circulación (OD-4.1 y OD-4.2) del tipo requerido, que satisfaga el nivel de contención determinado como se indica en el inciso 5.3.1. y que tenga una deflexión dinámica igual al ancho de trabajo o menor. La barrera se debe seleccionar de entre las que se haya certificado, por un laboratorio debidamente acreditado o reconocido por la Dirección General de Servicios Técnicos de la Secretaría de Comunicaciones y Transportes, que su nivel de contención cumple el nivel de prueba correspondiente del Manual for Assessing Safety Hardware (MASH), American Association of State Highway and Transportation Officials, Estados Unidos de América, 2016. El certificado de cumplimiento correspondiente debe indicar, de manera fehaciente, el detalle y las especificaciones del sistema de barrera aprobado, bien sea de manera genérica o de manera especial hacia una persona física o moral. Algunos ejemplos de barreras de orilla de corona y separadoras de sentidos de circulación (OD-4.1 y OD-4.2) aprobadas, son los contenidos en el sitio web de la Federal Highway Administration:
https://safety.fhwa.dot.gov/roadway_dept/countermeasures/reduce_crash_severity/.
En cualquier caso, para la selección de la barrera se debe considerar lo siguiente:
FIGURA 8.- Ancho de trabajo de barreras separadoras de sentidos de circulación (OD-4.2)
5.3.2.3.1. Cuando en un sitio específico la deflexión dinámica de la barrera de orilla de corona o separadora de sentidos de circulación, flexible o semirrígida (OD-4.1.1, OD-4.1.2, OD-4.2.1 u OD-4.2.2) que se seleccione, sea mayor que el ancho de trabajo disponible, se puede disminuir su deflexión dinámica reduciendo el espacio entre los postes de soporte, siempre y cuando se certifique por un laboratorio debidamente acreditado o reconocido por la Dirección General de Servicios Técnicos de la Secretaría de Comunicaciones y Transportes, que la nueva configuración cumple con el nivel de contención requerido, conforme al Manual for Assessing Safety Hardware (MASH), American Association of State Highway and Transportation Officials, Estados Unidos de América, 2016.
5.3.2.3.2. Para un buen desempeño de las barreras de orilla de corona y separadoras de sentidos de circulación, flexibles, semirrígidas o rígidas (OD-4.1.1, OD-4.1.2, OD-4.1.3., OD-4.2.1, OD-4.2.2 u OD-4.2.3), se debe respetar la interacción entre los postes y el suelo. Las barreras semirrígidas y rígidas pueden no funcionar adecuadamente si los postes están ahogados en concreto por lo que estos se deben hincar en el suelo por medios mecánicos, salvo que el detalle o las especificaciones del sistema de barrera aprobado, contenido en el certificado de cumplimiento, indique lo contrario. Las barreras flexibles pueden contar con postes ahogados en concreto o pueden ser hincados en el suelo por medios mecánicos, según lo indique el detalle o las especificaciones del sistema de barrera aprobado, contenido en el certificado de cumplimiento.
5.4. Emplazamiento
5.4.1. Emplazamiento de barreras de orilla de corona (OD-4.1)
5.4.1.1. Emplazamiento lateral de las barreras de orilla de corona (OD-4.1)
El emplazamiento lateral de las barreras de orilla de corona (OD-4.1) requiere considerar la distancia entre el arroyo vial y la barrera, la pendiente transversal y el ángulo entre la barrera y el camino:
5.4.1.1.1. Distancia de la orilla del arroyo vial a la barrera de orilla de corona (OD-4.1)
Para la determinación de la distancia lateral de la barrera a la orilla del arroyo vial se debe considerar lo siguiente:
a) Una barrera de orilla de corona (OD-4.1) instalada lo más lejos posible del arroyo vial brinda mejores oportunidades al conductor de un vehículo errante de retomar su control y evitar un accidente grave; además de que se aumenta la distancia de visibilidad, especialmente al aproximarse a una intersección o en curvas horizontales. Siempre que sea posible esta distancia debe ser uniforme a lo largo de la carretera o vialidad.
b) Instalar barreras de orilla de corona (OD-4.1) excesivamente lejos del arroyo vial, puede resultar en mayores ángulos de impacto, con lo que se reduce el nivel de contención deseado o se incrementa la deflexión dinámica de la barrera con respecto a la requerida.
c) En las carreteras, la distancia desde el borde del arroyo vial, más allá de la cual una barrera de orilla de corona o separadora de sentidos de circulación (OD-4.1 u OD-4.2) no es percibida como un obstáculo y no ocasiona que el conductor de un vehículo reduzca la velocidad o cambie de carril, se conoce como distancia de cautela, la que debe estar dentro de los rangos que se indican en la Tabla 5, en función del número de carriles de un mismo sentido de circulación y de la velocidad de operación.
TABLA 5.- Distancias de cautela mínima en carreteras para el emplazamiento lateral de barreras de orilla de
corona (OD-4.1)
| Número de carriles [1] | Velocidad de operación km/h |
| Hasta 50 | 60 - 70 | 80 - 100 | > 110 |
| Distancia de cautela mínima m [²] |
| 1 | 0,5 | 1,5 | 2,0 | 2,5 |
| 2 | 0,5 | 1,5 | 2,0 | 2,5 |
| 3 | 0,5 | 0,5 | 2,0 | 2,5 |
| [1] Número de carriles en un mismo sentido de circulación. [2] El área comprendida dentro de la distancia de cautela, debe ser sensiblemente plana, con una pendiente transversal no mayor de 10%, sin escalones y estar libre de obstáculos laterales como cunetas o bordillos, entre otros. |
d) El área comprendida dentro de la distancia de cautela debe ser sensiblemente plana, sin escalones y estar libre de obstáculos laterales como cunetas o bordillos, entre otros.
e) Los acotamientos deben estar totalmente alojados dentro de la distancia de cautela.
5.4.1.1.2. Pendiente transversal
En carreteras, a fin de asegurar el correcto desempeño de la barrera durante un impacto, se requiere que la superficie entre el arroyo vial y la barrera sea uniforme, con una pendiente transversal no mayor de diez (10) por ciento, sin escalones, cunetas o bordillos, entre otros. En terraplenes de reciente construcción en los que sea necesaria la construcción de un bordillo, éste se colocará en el hombro del terraplén, atrás de la barrera, como se muestra en la figura 9.
FIGURA 9.- Pendiente transversal dentro de la distancia de cautela
5.4.1.1.3. Esviaje de las barreras de orilla de corona (OD-4.1)
Una barrera de orilla de corona (OD-4.1) se considera esviajada cuando no es paralela al borde del arroyo vial, como se muestra en la figura 12, lo que se puede hacer al inicio de la barrera para disminuir su longitud, así como la percepción de angostamiento del arroyo vial. Los valores de esviaje máximo para barreras de orilla de corona semirrígidas (OD-4.1.2) y rígidas (OD-4.1.3) se muestran en la Tabla 6, en función de la velocidad de operación. Para barreras de orilla de corona flexibles (OD-4.1.1) no se recomienda el esviaje, salvo en el caso de que las barreras sean de cables, en las que el esviaje máximo será de treinta (30) metros en el sentido longitudinal del borde del arroyo vial por un (1) metro en el sentido transversal (30:1).
TABLA 6.- Esviaje máximo para el diseño de barreras de orilla de corona (OD-4.1)
| Velocidad de operación km/h | Esviaje máximo de barreras de orilla de corona (OD- 4.1) a : b [1] |
| Semirrígidas (OD-4.1.2) | Rígidas (OD-4.1.3) |
| >110 | 15 : 1 | 20 : 1 |
| 100 | 14 : 1 | 18 : 1 |
| 90 | 12 : 1 | 16 : 1 |
| 80 | 11 : 1 | 14 : 1 |
| 70 | 10 : 1 | 12 : 1 |
| 60 | 8 : 1 | 10 : 1 |
| 50 | 7 : 1 | 8 : 1 |
| [1] "a" es la distancia en el sentido longitudinal del borde del arroyo vial y "b" es la distancia en el sentido transversal. |
5.4.1.2. Emplazamiento longitudinal de las barreras de orilla de corona (OD-4.1)
El emplazamiento longitudinal de las barreras de orilla de corona (OD-4.1) comprende la determinación de la longitud de barrera necesaria para evitar que un vehículo fuera de control salga a una superficie no transitable o impacte contra un obstáculo lateral.
5.4.1.2.1. Determinación de la longitud necesaria de barreras de orilla de corona (OD-4.1) en terraplenes
La longitud de barrera de orilla de corona (OD-4.1), necesaria para que un vehículo fuera de control no salga hacia el talud de un terraplén no transitable, corresponde a la longitud del terraplén que, por su altura y pendiente, la requiera según lo indicado en la figura 2, más las longitudes previa y posterior requeridas para cubrir completamente la situación de riesgo, sin considerar la longitud adicional que proveen las secciones extremas de la barrera.
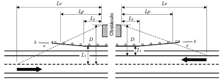
Como se muestra en la figura 10, la longitud previa (Lp), es decir, la longitud mínima que se debe prolongar la barrera en el extremo al cual se aproximan los vehículos, se obtiene como se indica a continuación:
a) Se determina la sección transversal "C" del arroyo vial, donde, por la altura y pendiente del talud del terraplén, se inicie el requerimiento de la barrera, como se ejemplifica en la figura 2 para carreteras de un carril por sentido de circulación.
b) Sobre la sección transversal "C" se mide la distancia horizontal "D" entre el borde del carril de circulación y el pie del talud o, en su caso, el borde exterior de la cuneta. Si esta distancia resulta mayor de nueve (9) metros, se considera igual a dicho límite.
c) En la Tabla 7 se determina la longitud de escape (Le), en el sentido del flujo vehicular hasta la sección transversal "C", en función del tránsito diario promedio anual esperado y de la velocidad de operación.
FIGURA 10.- Longitud previa mínima necesaria de barreras de orilla de corona (OD-4.1) para terraplenes (Lp)
TABLA 7.- Longitud de escape (Le), en metros
| Velocidad de operación km/h | Tránsito diario promedio anual (TDPA) |
| Menos de 800 | 800 a 2 000 | 2.001 a 6 000 | Más de 6.000 |
| >110 | 109 | 118 | 134 | 143 |
| 100 | 103 | 109 | 125 | 133 |
| 90 | 89 | 98 | 109 | 114 |
| 80 | 74 | 79 | 91 | 100 |
| 70 | 58 | 63 | 71 | 77 |
| 60 | 48 | 53 | 59 | 65 |
| 50 | 41 | 47 | 52 | 53 |
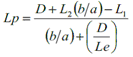
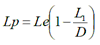
d) Con la siguiente expresión se calcula la longitud previa mínima (Lp) necesaria, la que debe ser siempre igual a diez (10) metros o mayor:
Donde:
| Lp | = | Longitud previa mínima de la barrera, en el sentido del flujo vehicular hasta la sección transversal "C" del arroyo vial, donde, por la altura y pendiente del talud del terraplén, se inicie el requerimiento de la barrera, atendiendo lo indicado en la figura 2, (m, con aproximación a la unidad) |
| D | = | Distancia horizontal en la sección transversal "C", entre el borde del carril de circulación y el pie del talud o, en su caso, el borde exterior de la cuneta, (m). Si esta distancia resulta mayor de 9 m, se considera igual a dicho límite |
| Le | = | Longitud de escape que se indica en la Tabla 7, en el sentido del flujo vehicular hasta la sección transversal "C", en función del tránsito diario promedio anual esperado y de la velocidad de operación, (m) |
| L1 | = | Distancia en la sección transversal "C", del interior de la barrera al borde del carril, (m) |
e) Cuando la carretera o vialidad urbana sea de cuerpos separados, o de dos o más carriles por sentido de circulación con barrera separadora de sentidos de circulación (OD-4.2), la longitud previa se calcula como se indica en el inciso d) de este inciso 5.4.1.2.1 y la longitud posterior de la barrera de orilla de corona (OD-4.1) debe ser como mínimo de diez (10) metros, a partir de la sección transversal del arroyo vial, donde, por la altura y pendiente del talud del terraplén, concluya el requerimiento de la barrera.
5.4.1.2.2. Determinación de la longitud necesaria de barreras de orilla de corona (OD-4.1) en curvas horizontales circulares o circulares con espirales
La longitud de barrera de orilla de corona (OD-4.1), necesaria para que un vehículo fuera de control no salga hacia una superficie no transitable en una curva horizontal circular o circular con espirales, corresponde a la longitud desde la sección transversal donde inicie la curva hasta la sección transversal donde empiece la tangente, en el sentido del flujo vehicular, más las longitudes previa y posterior requeridas para cubrir completamente la situación de riesgo, sin considerar la longitud adicional que proveen las secciones extremas de la barrera.
Como se muestra en la figura 11, la longitud previa (Lp), es decir, la longitud mínima que se debe prolongar la barrera en el extremo al cual se aproximan los vehículos, se obtiene como se indica a continuación:
FIGURA 11.- Longitud previa mínima necesaria de barreras de orilla de corona (OD-4.1) para curvas
horizontales, circulares o espirales (Lp)
a) Se determina la sección transversal "C" del arroyo vial, donde inicie la curva en el sentido del flujo vehicular, en los puntos denominados "Principia Curva" (PC) y "Principia Tangente" (PT) si la curva es circular, o "Tangente Espiral" (TE) y "Espiral Tangente" (ET) si la curva es circular con espirales, como se ejemplifica en la figura 11 para carreteras de un carril de sentido de circulación.
b) Sobre la sección transversal "C" se establece una distancia horizontal "D" de nueve (9) metros a partir del borde del carril de circulación.
c) En la Tabla 7 se determina la longitud de escape (Le), en el sentido del flujo vehicular hasta la sección transversal "C", en función del tránsito diario promedio anual esperado y de la velocidad de operación.
d) Con la siguiente expresión se calcula la longitud previa mínima (Lp) necesaria, la que debe ser siempre igual a diez (10) metros o mayor:
Donde:
| Lp | = | Longitud previa mínima de la barrera, en el sentido del flujo vehicular hasta la sección transversal "C" del arroyo vial donde se inicia la curva, (m, con aproximación a la unidad) |
| Le | = | Longitud de escape que se indica en la Tabla 7, en el sentido del flujo vehicular hasta la sección transversal "C", en función del tránsito diario promedio anual esperado y de la velocidad de operación, (m) |
| L1 | = | Distancia en la sección transversal "C", del interior de la barrera al borde del carril, (m) |
e) Cuando la carretera o vialidad urbana sea de cuerpos separados, o de dos o más carriles por sentido de circulación con barrera separadora de sentidos de circulación (OD-4.2), la longitud previa se calcula como se indica en el inciso d) de este inciso 5.4.1.2.2 y la longitud posterior de la barrera de orilla de corona (OD-4.1) debe ser como mínimo de diez (10) metros, a partir de la sección transversal del arroyo vial, donde termine la curva en el sentido del flujo vehicular.
5.4.1.2.3. Determinación de la longitud necesaria de barreras de orilla de corona (OD-4.1) por obstáculos laterales
La longitud de barrera de orilla de corona (OD-4.1), necesaria para evitar que un vehículo fuera de control impacte en un obstáculo lateral que se encuentre dentro de una franja de nueve (9) metros de ancho, adyacente al arroyo vial, corresponde a la longitud del obstáculo en el sentido del flujo vehicular, más las longitudes previa y posterior requeridas para cubrir completamente la situación de riesgo, sin considerar las longitudes adicionales que proveen las secciones extremas de la barrera. La longitud total de barrera de orilla de corona (OD-4.1) debe ser igual a cuarenta (40) metros o mayor.
a) Longitud previa en tangentes
La longitud previa mínima (Lp) necesaria de la barrera de orilla de corona (OD-4.1) en una tangente, que debe ser siempre igual a diez (10) metros o mayor, se determina mediante la siguiente expresión, según se ilustra en la figura 12:
Donde:
| Lp | = | Longitud previa mínima de la barrera, en el sentido del flujo vehicular hasta el borde anterior del obstáculo, (m, con aproximación a la unidad) |
| D | = | Distancia entre el borde del carril de circulación y el borde más alejado del obstáculo, (m). Si esta distancia resulta mayor de 9 m, se considera igual a dicho límite. |
| Le | = | Longitud de escape que se indica en la Tabla 7, en el sentido del flujo vehicular hasta el borde anterior del obstáculo, (m) |
| L1 | = | Distancia del interior de la barrera en la zona del obstáculo al borde del carril, (m) |
| L2 | = | Longitud de la barrera paralela al arroyo vial, propuesta por el proyectista, pero nunca mayor que Le, en el sentido del flujo vehicular hasta el borde anterior del obstáculo, (m) |
| b/a | = | Esviaje de la barrera, de acuerdo con lo indicado en la Tabla 6, (adimensional) |
FIGURA 12.- Longitud previa mínima necesaria de barreras de orilla de corona (OD-4.1) para obstáculos en
tangentes (Lp)
b) Longitud previa en curvas horizontales circulares
La longitud previa mínima (Lp) necesaria de la barrera de orilla de corona (OD-4.1) en una curva horizontal, que debe ser siempre igual a diez (10) metros o mayor, se determina mediante la siguiente expresión, según se ilustra en la figura 13:
Donde:
| Lp | = | Longitud previa mínima de la barrera, en el sentido del flujo vehicular hasta el borde anterior del obstáculo, (m, con aproximación a la unidad) |
| D | = | Distancia entre el borde del carril de circulación y el borde más alejado del obstáculo, (m). Si esta distancia resulta mayor de 9 m, se considera igual a dicho límite. |
| L1 | = | Distancia del interior de la barrera en la zona del obstáculo al borde del carril, (m) |
| R | = | Radio del borde exterior del carril de circulación cercano a la barrera, (m) |
c) Longitud previa en curvas horizontales espirales
La longitud previa mínima (Lp) necesaria de la barrera de orilla de corona (OD-4.1) en una curva espiral, que debe ser siempre igual a diez (10) metros o mayor, se determina gráficamente o en el campo mediante el siguiente procedimiento, según se ilustra en la figura 14:
1. En el borde anterior del obstáculo en el sentido del flujo vehicular se selecciona el punto más alejado del borde del carril de circulación. Si la distancia "D" entre ese punto y el borde del carril es mayor de nueve (9) metros, el punto se ubica a esta última distancia.
2. Desde el punto seleccionado se traza en sentido opuesto al del flujo vehicular, una tangente al borde del carril.
FIGURA 13.- Longitud previa mínima de barreras de orilla de corona (OD-4.1) para obstáculos en curvas
horizontales circulares (Lp)
FIGURA 14.- Longitud previa mínima de barreras de orilla de corona (OD-4.1) para obstáculos en curvas
horizontales espirales (Lp)
3. La longitud previa mínima (Lp) de la barrera es la que resulta desde el punto de la intersección de su trayectoria con la tangente trazada, hasta la sección transversal correspondiente al borde anterior del obstáculo, en el sentido del flujo vehicular.
d) Longitud posterior
Cuando la carretera o vialidad urbana sea de cuerpos separados, o de dos o más carriles por sentido de circulación con barrera separadora de sentidos de circulación (OD-4.2), la longitud previa se calcula como se indica en los incisos a), b) y c) del inciso 5.4.1.2.3 y la longitud posterior de la barrera de orilla de corona (OD-4.1) debe ser como mínimo de diez (10) metros a partir del borde posterior del obstáculo, en el sentido del flujo vehicular.
5.4.1.2.4. Determinación de la longitud necesaria de barreras de orilla de corona (OD-4.1) en casos especiales
La longitud de barrera de orilla de corona (OD-4.1), necesaria para evitar que un vehículo fuera de control pueda dañar a peatones o ciclistas en zonas donde estos convivan de forma habitual con el tránsito vehicular de la carretera o de la vialidad urbana, se debe determinar mediante un estudio de ingeniería de tránsito para
cada caso especial, considerando que deben incluirse las longitudes previa y posterior requeridas para cubrir completamente la situación de riesgo, mismas que deben ser siempre iguales a diez (10) metros o mayores, sin incluir las longitudes adicionales que proveen las secciones extremas de la barrera.
5.4.1.2.5. Secciones extremas de barreras de orilla de corona (OD-4.1)
En el caso de que algún extremo de la barrera de orilla de corona (OD-4.1), incluyendo sus longitudes previa y posterior, quede a corta distancia de un talud de corte sin irregularidades, la barrera se prolongará de forma que se traslape con el corte por lo menos diez (10) metros, en cuyo caso las secciones extremas se deben seleccionar y diseñar según lo establecido en el Capítulo 8. de esta Norma.
5.4.1.2.6. Conexión entre barreras de orilla de corona (OD-4.1)
Se debe proceder a la conexión de barreras de orilla de corona (OD-4.1) cuando la distancia entre sus extremos contiguos sea igual a la indicada en la Tabla 8 o menor, excepto cuando exista una causa plenamente justificada, como la presencia de accesos, paraderos, cruces peatonales, cortes sin irregularidades o un análisis económico, entre otras.
TABLA 8.- Distancia máxima de conexión entre sistemas
| Número de carriles por sentido de circulación | Distancia de conexión entre sistemas m |
| 1 | 80 |
| >1 | 60 |
Cuando las barreras por conectar sean iguales, sus extremos contiguos se deben prolongar hasta que se unan formando una sola barrera, de lo contrario, la conexión se hará mediante una barrera de transición (OD-4.3), según lo indicado en el Capítulo 7. de esta Norma.
5.4.2. Emplazamiento de barreras separadoras de sentidos de circulación (OD-4.2)
Cuando se requieran barreras separadoras de sentidos de circulación (OD-4.2) de acuerdo con lo establecido en 5.3.2.1.4., para su emplazamiento debe considerarse lo siguiente:
5.4.2.1. Emplazamiento lateral de las barreras separadoras de sentidos de circulación (OD-4.2)
El emplazamiento lateral de las barreras separadoras de sentidos de circulación (OD-4.2) requiere considerar la configuración transversal de la faja separadora o del camellón, así como el ancho de trabajo disponible, tomando en cuenta lo siguiente:
5.4.2.1.1. Si la faja separadora o el camellón tiene una superficie sensiblemente plana, con pendientes transversales no mayores de diez (10) por ciento (talud de 10:1), sin desniveles que produzcan una guía forzada de las ruedas del vehículo sin control y sin obstáculos tales como bordillos, cunetas o similares, entre el borde del arroyo vial y la barrera, ésta se debe emplazar al centro de la faja o camellón, como se muestra en la figura 15.
FIGURA 15.- Emplazamiento lateral de barreras separadoras de sentidos de circulación (OD-4.2) en fajas o
camellones con pendientes transversales máximas de 10%, sin obstáculos
5.4.2.1.2. Si la faja separadora o el camellón tiene una superficie con pendientes transversales entre treinta y tres coma tres (33,3) por ciento (talud 3:1) y diez (10) por ciento (talud 10:1) y sin obstáculos tales como bordillos, cunetas o similares, entre el borde del arroyo vial y la barrera, ésta se debe emplazar en el lado más alto de la faja o camellón, como se muestra en la figura 16.
5.4.2.1.3. Si la faja separadora o el camellón tiene una superficie con pendientes transversales mayores de treinta y tres coma tres (33,3) por ciento (talud 3:1) o existen en ella obstáculos que representen peligro, en lugar de las barreras separadoras de sentidos de circulación (OD-4.2), se deben emplazar barreras de orilla de corona (OD-4.1), como se establece en el inciso 5.4.1. de esta Norma.
FIGURA 16.- Emplazamiento lateral de barreras separadoras de sentidos de circulación (OD-4.2) en fajas
o camellones con pendientes transversales entre 33,3 % y 10%, sin obstáculos
5.4.2.2. Emplazamiento longitudinal de las barreras separadoras de sentidos de circulación (OD-4.2)
Para el emplazamiento longitudinal de las barreras separadoras de sentidos de circulación (OD-4.2) se debe considerar lo siguiente:
5.4.2.2.1. Las barreras separadoras de sentidos de circulación (OD-4.2) se deben emplazar a todo lo largo de las fajas separadoras o los camellones que la requieran, considerando que en sus extremos se deben colocar sus secciones de amortiguamiento (OD-4.4.1), como se muestra en la figura 17.
FIGURA 17.- Emplazamiento longitudinal de barreras separadoras de sentidos de circulación (OD-4.2)
5.4.2.2.2. Si en algún tramo de la faja separadora o del camellón se requieren barreras de orilla de corona (OD-4.1) de acuerdo con lo indicado en 5.4.2.1.3., la barrera separadora de sentidos de circulación (OD-4.2) se llevará hasta un sitio tal que la conexión entre ésta y las primeras pueda hacerse mediante barreras de transición (OD-4.3), según lo indicado en el Capítulo 7. de esta Norma, con el esviaje máximo que se indica en la Tabla 8, en función de la velocidad de operación, como se ilustra en la figura 17.
5.4.2.2.3. Las secciones extremas de las barreras separadoras de sentidos de circulación (OD-4.2) deben ser secciones de amortiguamiento (OD-4.4.1), conforme a lo establecido en el Capítulo 8. de esta Norma.
5.5. Instalación
Las barreras de orilla de corona y separadora de sentidos de circulación (OD-4.1 y OD-4.2) que se seleccionen, incluyendo, en su caso, sus longitudes previas y posteriores, se deben instalar de acuerdo con las especificaciones de sus fabricantes, sin embargo, en lo general, deben considerarse los siguientes
aspectos:
5.5.1. Postes
Cuando las barreras de orilla de corona o separadoras de sentidos de circulación (OD-4.1 y OD-4.2) tengan postes, éstos se deben hincar en el terreno o insertar en una excavación, según se indique en el detalle o las especificaciones del sistema de barrera aprobado, contenido en el certificado de cumplimiento respectivo, de forma tal que queden verticales, en los sitios que se indiquen en el proyecto.
5.5.2. Elementos traslapables
Cuando las barreras de orilla de corona o separadoras de sentidos de circulación (OD-4.1 y OD-4.2) estén integradas con elementos de contención que se traslapen, como vigas acanaladas de acero o vigas de acero en "U", en su caso, los separadores se deben fijar a los postes de acuerdo con el detalle o las especificaciones del sistema de barrera aprobado, contenido en el certificado de cumplimiento respectivo. Los tramos de los elementos de contención se deben instalar en sentido contrario al tránsito del carril más próximo a la barrera, de manera que el traslape cubra la fijación del tramo anterior, alineando sus perforaciones antes de fijarlos completamente y una vez alineadas se deben apretar todos y cada uno de los tornillos de fijación con el torque establecido, como se muestra en la figura 18 para el caso de barreras con vigas acanaladas de acero. La instalación de los tramos para las longitudes previas y posteriores de la barrera, de las barreras de transición, zapatas de conexión y secciones extremas, se debe hacer siguiendo el mismo procedimiento de colocación, salvo que los detalles o las especificaciones de estos elementos aprobados, contenidos en los certificados de cumplimiento respectivos, indiquen otra cosa.
FIGURA 18.- Instalación de vigas acanaladas de acero
6. Parapetos (OD-4.5)
Los parapetos son dispositivos que difieren de las barreras de protección porque forman parte integral de los puentes o estructuras similares, los que físicamente están conectados a través de un anclaje especial que durante el impacto de un vehículo, el tablero o estructura del puente no sufra daños relevantes. Los parapetos se deben diseñar con una deflexión dinámica menor a setenta (70) centímetros.
6.1. Clasificación según su nivel de contención
De acuerdo con las características, velocidad y ángulo de impacto de los vehículos, los parapetos de puentes y estructuras similares se clasifican en los niveles de contención que se indican en la Tabla 2.
6.2. Selección
En la selección de un parapeto para puentes y estructuras similares, se deben considerar los siguientes factores: clasificación de la carretera o vialidad urbana, compatibilidad con la estructura del puente, costos de construcción y conservación del parapeto, experiencia en campo del desempeño de los parapetos instalados y estética del parapeto de acuerdo con su sitio de instalación.
6.2.1. Selección según el nivel de contención
Con base en la composición del flujo vehicular en términos del tránsito diario promedio anual (TDPA) pronosticado para los siguientes quince (15) años, así como la velocidad de operación en el subtramo donde se emplazarán los parapetos para puentes y estructuras similares en la Tabla 4 se determina el nivel de contención mínimo que deben tener los parapetos.
6.3. Instalación
Los parapetos (OD-4.5) para puentes y estructuras similares que se seleccionen, se deben instalar de acuerdo con las especificaciones de sus fabricantes, sin embargo, en lo general, deben considerase los aspectos siguientes:
6.3.1. Parapetos en estructuras nuevas: Durante la elaboración de proyectos para puentes y estructuras similares, los parapetos y su anclaje se deberán diseñar junto con el diseño estructural del puente, con objeto de satisfacer un correcto anclaje y garantizar el nivel de contención adecuado para el tipo de vehículos que circularán por dicho puente o estructura similar, conforme a lo establecido en esta Norma. El sistema por utilizar deberá tener la aprobación de la Dirección General de Servicios Técnicos.
6.3.2. Parapetos en estructuras existentes: Cuando se lleven a cabo trabajos de conservación periódica en los puentes o estructuras similares, se deberá considerar la sustitución de los parapetos por un sistema compatible con la estructura existente, que cumpla con el nivel de contención requerido para el tránsito esperado, cumpliendo con lo establecido en esta Norma y con la aprobación de la Dirección General de Servicios Técnicos.
6.3.3. El sistema de parapetos considerado en estructuras nuevas y existentes deberá cumplir con las condiciones siguientes:
6.3.3.1. Los parapetos deben contener al vehículo sin la rotura completa de ninguno de sus elementos longitudinales.
6.3.3.2. Las cimentaciones, anclajes y fijaciones se deben comportar de acuerdo con el diseño de los parapetos, de tal manera que al impacto de los vehículos con el parapeto, ni los postes ni el tablero del puente tengan daños relevantes.
6.3.3.3. Considerar en su diseño los efectos que pudiera ocasionar la falla del anclaje ante un impacto en el parapeto, evitando daños al puente o estructura similar.
6.3.3.4. En los extremos de los parapetos se deben instalar las barreras de transición, las secciones extremas de amortiguamiento o los amortiguadores de impacto, según sea el caso.
6.3.3.5. En los puentes y estructuras similares con velocidades de ochenta (80) kilómetros por hora o más, que tengan banquetas, los parapetos para vehículos automotores se deben instalar en las orillas interiores de las banquetas y en las exteriores, los parapetos peatonales.
7. Barreras de transición (OD-4.3)
Se deben utilizar barreras de transición (OD-4.3) cuando se requiera conectar dos barreras, ya sean de orilla de corona (OD-4.1) o separadoras de sentidos de circulación (OD-4.2), que tengan niveles de contención o deflexiones dinámicas diferentes, según lo indicado en los incisos 5.3.1. y 5.3.2., o conectar las barreras con los parapetos de puentes o estructuras similares, u otros elementos estructurales rígidos como muros de contención y muros de entrada a túneles, entre otros. La barrera de transición debe proveer un cambio gradual de rigidez, es decir, del nivel de contención y de la deflexión dinámica, en la zona de aproximación al elemento más rígido, capaz de evitar la deformación exagerada por el impacto de un vehículo, que resulta en ángulos excesivos de redireccionamiento con trayectorias peligrosas, o el impacto de los vehículos en los elementos rígidos de las estructuras, con la consecuente desaceleración excesiva o la penetración de las barreras en los vehículos impactados a lo largo de la transición. Cada transición está en función de las características específicas de las barreras por unir, por lo que en cada caso debe seleccionarse la transición adecuada que haya mostrado buen comportamiento al ser probada por el Manual for Assessing Safety Hardware (MASH), American Association of State Highway and Transportation Officials, Estados Unidos de América, 2016, sin embargo, en lo general, deben considerarse los siguientes aspectos:
7.1. Carreteras y vialidades urbanas de dos carriles. En el caso de carreteras y vialidades urbanas que tengan un carril por sentido de circulación, las barreras de transición (OD-4.3) se deben utilizar de manera que se asegure la protección de los vehículos que circulen en los dos sentidos.
7.2. Longitud de transición. La transición se hará gradualmente aumentando la rigidez de la barrera en la aproximación al elemento más rígido, en un largo de diez (10) a doce (12) veces la diferencia entre las deflexiones normales de ambos elementos. Por ejemplo, al conectar una barrera metálica cuya deflexión normal es de un (1) metro, con una barrera rígida cuya deflexión normal es de cero (0) metros, la diferencia entre sus deflexiones normales es de un (1) metro y el largo del tramo de transición entre estos sistemas sería de diez (10) a doce (12) metros. Esto se puede lograr mediante una combinación de las siguientes acciones: disminuir gradualmente el espaciamiento entre postes, aumentar la sección de los postes y reforzar la sección
de la viga acanalada de dos o tres crestas, sobreponiendo dos vigas acanaladas adicionales, una adelante de la otra o usando vigas acanaladas de mayor espesor. Todos los elementos de la barrera de transición tendrán un diseño que evite el impacto vehicular en postes u otros elementos del sistema.
7.3. Conexiones adecuadas. Las conexiones entre las barreras serán tan resistentes a un impacto como la barrera de aproximación, para lo que se requiere que los tornillos de conexión atraviesen completamente ambos sistemas. Cuando la conexión se haga con un elemento de concreto, mampostería u otro material muy rígido, se deben usar zapatas de conexión especiales, como las mostradas en la figura 19 y placas de distribución de carga detrás del elemento de concreto, para repartir las cargas adecuadamente, como se muestra en la figura 20.
7.4. Sección de transición. Las secciones de transición que se utilicen para unir un tramo de barrera de acero con vigas acanaladas de dos crestas con otro tramo con vigas acanaladas de tres crestas, o viceversa, tendrán en uno de sus extremos la misma sección transversal que la de las vigas de dos crestas y, en el otro, la de las vigas de tres crestas, como se muestra en la figura 21. Cuando sea necesario pasar de una barrera de acero de dos crestas a un elemento muy rígido, la transición será una barrera de acero de tres crestas unida a la de dos mediante una sección de transición, como se muestra en la figura 22.
7.5. Doble banda. En algunos casos, en lugar de la sección de transición a que se refiere el inciso anterior, es recomendable usar una viga acanalada adicional colocada abajo de la normal para evitar el impacto vehicular en postes u otros elementos del sistema no aptos para ello, integrándose así una configuración de barrera denominada de "doble banda" como las mostradas en las figuras 23 y 24.
7.6. Transición de barreras flexibles de cables de acero. Cuando se requiera pasar de una barrera flexible de cables de acero a otra barrera que tenga nivel de contención mayor o deflexión dinámica menor, la transición se debe hacer mediante una barrera de acero con vigas acanaladas de dos o tres crestas, traslapada a la de cables en una longitud que comprenda toda la terminal de la barrera de cables más siete coma cinco (7,5) metros de ésta última, por lo menos, de forma que ambas barreras trabajen independientemente, como se ejemplifica en la figura 25. En su caso, la barrera de dos crestas se debe conectar a una de tres crestas o a un elemento de concreto, mampostería u otro material muy rígido, como se indica en los incisos 7.3. a 7.5. La transición puede hacerse mediante dispositivos especiales que conecten directamente la barrera de cables a la barrera de mayor rigidez, considerando lo señalado en el inciso 7.7.
7.7. Selección de barreras de transición. En cualquier caso, las barreras de transición (OD-4.3) que se seleccionen deben ser compatibles con el tipo específico de la barrera de orilla de corona o separadora de sentidos de circulación que se utilice y se pueden seleccionar de entre las disponibles en el mercado siempre y cuando hayan sido certificadas por un laboratorio debidamente acreditado o reconocido por la Secretaría de Comunicaciones y Transportes demostrando su buen desempeño en las pruebas del Manual for Assessing Safety Hardware MASH), American Association of State Highway and Transportation Officials, Estados Unidos de América, 2016, de manera que las barreras de transición mostradas en las figuras se presentan sólo como ejemplo, ya que cada caso es particular y han de seleccionarse las idóneas aunque no estén ilustradas en esta Norma. El certificado de cumplimiento correspondiente debe indicar, de manera fehaciente, el detalle y las especificaciones del sistema de transición aprobado, bien sea de manera genérica o de manera especial hacia una persona física o moral.
FIGURA 19.- Zapatas de conexión para barreras de vigas acanaladas de acero
FIGURA 20.- Transición de barrera metálica de tres crestas a muro vertical recto
FIGURA 21.- Sección de transición para unir vigas acanaladas de dos y de tres crestas
FIGURA 22.- Transición de barrera metálica de dos a tres crestas y muro vertical recto
FIGURA 23.- Transición de barrera metálica de doble banda a muro vertical recto
FIGURA 24.- Transición de barrera metálica de doble bandas a muro curvo
FIGURA 25.- Transición de barrera flexible de cables de acero
7.8. Pendientes laterales del terreno. En todo caso, la franja de terreno entre el arroyo vial y la barrera de transición tendrá una pendiente transversal máxima de diez a uno (10:1) y la zona estará despejada de cualquier elemento que impida su correcto funcionamiento como puede ser una cuneta o un bordillo, entre otros.
8. Secciones extremas de las barreras (OD-4.4)
Para asegurar el correcto y seguro funcionamiento de cada barrera, se deben diseñar con dos secciones extremas, una al inicio y otra al final de cada tramo de barrera según sea necesario. Las características
mecánicas, los detalles estructurales de las secciones en sí mismas y las geométricas del emplazamiento, deben ser materia del diseño particular de cada caso, lo cual dependerá fundamentalmente de las características del resto de la barrera, las condiciones del suelo y la situación geométrica del camino.
8.1. Secciones de amortiguamiento (OD-4.4.1)
Las secciones extremas deben ser secciones de amortiguamiento (OD-4.4.1) cuando se colocan en el extremo de la barrera en el que un vehículo que se aproxima a ella se pueda impactar de frente en ese extremo como se indica a continuación, pudiéndose colocar amortiguadores de impacto que cumplan con lo establecido en la NOM-008-SCT2-2013, Amortiguadores de impacto en carreteras y vialidades urbanas.
8.1.1. Clasificación
Las secciones de amortiguamiento (OD-4.4.1) se clasifican según su modo de operación y según su nivel de prueba, como se indica a continuación:
8.1.1.1. Clasificación según su modo de operación
Las secciones de amortiguamiento (OD-4.4.1) se clasifican de acuerdo con su modo de operación en tres categorías: Redireccionables-No traspasables (RNT), Redireccionables-Traspasables (RT) y No redireccionables (NR).
8.1.1.1.1. Secciones de Amortiguamiento RedireccionablesNo traspasables (OD-4.4.1/RNT)
Son diseñadas para absorber toda la energía de un impacto, frontal o angular, en su extremo inicial, desacelerando al vehículo por diversos mecanismos, ya sea cortando o deformando placas de acero, comprimiendo cartuchos deformables u otro mecanismo, hasta detener el vehículo en forma controlada y segura. Si el impacto es angular y se produce pasado el extremo inicial, el sistema absorbe parte de la energía del vehículo y lo redirecciona hacia el arroyo vial. Dependiendo de su configuración, pueden resistir impactos por uno o por ambos lados.
Estos dispositivos son apropiados en lugares donde existen condiciones geométricas restringidas o donde se requiera evitar que los vehículos invadan los carriles de sentido opuesto.
8.1.1.1.2. Secciones de Amortiguamiento Redireccionables-Traspasables (OD-4.4.1/RT)
Son diseñadas para absorber toda la energía de un impacto frontal en su extremo inicial, desacelerando el vehículo por diversos mecanismos, ya sea cortando o deformando placas de acero, comprimiendo cartuchos deformables u otro mecanismo, hasta detener el vehículo en forma controlada y segura. Si el impacto es angular y se produce en el extremo inicial, el vehículo puede traspasar el sistema después de transferir una parte de su energía cinética al dispositivo. Si el impacto es angular y se produce pasado el extremo inicial, el sistema absorbe parte de la energía del vehículo y lo redirecciona hacia el arroyo vial. Dependiendo de su configuración, pueden resistir impactos por uno o por ambos lados. En la figura 26 se muestra el esquema de una sección de amortiguamiento Redireccionable- Traspasable (OD-4.4.1/RT).
FIGURA 26.- Sección de amortiguamiento redireccionable- traspasable (OD-4.4.1/RT)
Estos dispositivos son apropiados en lugares donde existe un espacio transitable limitado detrás del dispositivo en donde el vehículo que lo traspase pueda tener tiempo y espacio para detenerse antes de
impactar algún objeto fijo o caerse por un terraplén no transitable.
8.1.1.1.3. Secciones de Amortiguamiento No Redireccionables (OD-4.4.1/NR)
Son diseñadas para absorber toda la energía de un impacto frontal en su extremo inicial, por transferencia del impulso a partículas de arena, agua u otro material contenido en recipientes especialmente diseñados, por lo que desaceleran al vehículo hasta detenerlo en forma controlada y segura. Estos dispositivos no tienen capacidad de contener ni redireccionar a un vehículo que lo impacte por un costado. Son apropiados en lugares donde existe un amplio espacio y terreno transitable detrás de ellos. Por lo general son destruidos durante el impacto, resultando irrecuperables después del mismo. Impactos angulares cercanos al final del dispositivo pueden resultar en desaceleraciones críticas para los vehículos. En la figura 27 se observa el esquema de una sección de amortiguamiento no redireccionable (OD-4.4.1/NR).
FIGURA 27.- Sección de amortiguamiento no redireccionable (OD-4.4.1/NR)
8.1.1.2. Clasificación según el nivel de contención
De acuerdo con las características, velocidad y ángulo de impacto de los vehículos que son capaces de contener y, en su caso, redireccionar, las secciones de amortiguamiento (OD-4.4.1) se clasifican en los tres niveles de contención que se indican en la Tabla 10, según el nivel de prueba que satisfagan del Manual for Assessing Safety Hardware (MASH), American Association of State Highway and Transportation Officials, Estados Unidos de América, 2016.
8.1.1.3. Clasificación según su vida útil
De acuerdo con su vida útil las secciones de amortiguamiento (OD-4.4.1), en función de la probabilidad de que un vehículo se impacte en ella en un año, considerando el volumen de tránsito, pueden ser:
8.1.1.3.1. Secciones de Amortiguamiento Desechables
Son las que al sufrir el impacto de un vehículo se destruyen quedando irreparables. Pueden ser utilizadas en aquellos sitios en los que se estime que la probabilidad de un impacto es de cuatro diezmilésimos (0,0004) de por ciento o menor, o donde haya ocurrido sólo un impacto en un año.
TABLA 10.- Clasificación de las secciones de amortiguamiento (OD-4.4.1) según su nivel de contención
| Nivel de contención | Vehículos que contiene y, en su caso, redirecciona | Prueba[1] |
| Designación | Vehículo | Masa vehicular kg | Nivel de prueba | Velocidad de impacto km/h | Ángulos de impacto Grados | Secciones de amortigua- miento | Punto de impacto en la sección |
| NC-1 | Ap | Automóvil | 1100 | 1 | 50 | 0 | RT, RNT y NR | Extremo inicial |
| 5-15 | RT | Extremo inicial |
| 15 | RNT y NR | Extremo inicial |
| 25 | RT y RNT | Previo al cuerpo |
| Ac | Camioneta | 2270 | 50 | 0 | RT, RNT y NR | Extremo inicial |
| 5-15 | RT y NR [2] | Extremo inicial |
| 20 | NR | Cuerpo |
| 25 | RT y RNT | Cuerpo o previo al cuerpo |
| NC-2 | Ap | Automóvil | 1100 | 2 | 70 | 0 | RT, RNT y NR | Extremo inicial |
| 5-15 | RT | Extremo inicial |
| 15 | RT y RNT | Cuerpo |
| 25 | RT y RNT | Cuerpo o previo al cuerpo |
| Ac | Camioneta | 2270 | 70 | 0 | RT, RNT y NR | Extremo inicial |
| 5-15 | RT, RNT y NR | Extremo inicial |
| 20 | NR | Cuerpo |
| 25 | RT y RNT | Cuerpo |
| NC-3 | Ap | Automóvil | 1100 | 3 | 100 | 0 | RT, RNT y NR | Extremo inicial |
| 5-15 | RT y NR | Extremo inicial |
| 15 | RT y RNT | Extremo inicial y cuerpo |
| 25 | RT y RNT | Cuerpo |
| Ac | Camioneta | 2270 | 100 | 0 | RT, RNT y NR | Extremo inicial |
| 5-15 | RT, RNT y NR | Extremo inicial |
| 20 | NR | Cuerpo |
| 25 | RT y RNT | Cuerpo |
| [1] Según el Manual for Assessing Safety Hardware (MASH), American Association of State Highway and Transportation Officials, Estados Unidos de América, 2016) [2] Para secciones tipo no redireccionales (NR) el ángulo de impacto es de 15 grados, de acuerdo con la prueba No. 43 del Manual for Assessing Safety Hardware (MASH), American Association of State Highway and Transportation Officials, Estados Unidos de América, 2016. |
8.1.1.3.2. Secciones de Amortiguamiento Parcialmente Reusables
Son las que al sufrir el impacto de un vehículo quedan dañadas en un veinticinco (25) a cincuenta (50) por ciento de su estructura, pudiendo ser reparadas. Pueden ser utilizadas en aquellos sitios en los que se estime que la probabilidad de un impacto es de doce diezmilésimos (0,0012) de por ciento o menor, o donde hayan ocurrido hasta tres (3) impactos en un año.
8.1.1.3.3. Secciones de Amortiguamiento Reusables
Son las que al sufrir el impacto de un vehículo quedan dañadas en menos del veinticinco (25) por ciento de su estructura, pudiendo ser reparadas rápidamente. Pueden ser utilizadas en aquellos sitios en los que se estime que la probabilidad de un impacto es mayor de doce diezmilésimos (0,0012) de por ciento o donde
hayan ocurrido más de tres impactos en un año.
8.1.2. Utilización
8.1.2.1. Se deben instalar secciones de amortiguamiento redireccionables-no traspasables (OD-4.4.1/RNT) al inicio, en el sentido del tránsito, de las barreras de orilla de corona (OD-4.1) y al final de ellas cuando la carretera o vialidad urbana sea de dos carriles, uno por sentido de circulación, así como en las barreras separadoras de sentidos de circulación (OD-4.2). En las barreras de orilla de corona (OD-4.1) paralelas en toda su longitud al arroyo vial, tienen la ventaja de que no se requieren modificaciones en los costados de la corona y la desventaja de que se ubican más cerca del arroyo vial que en el caso de barreras con esviaje, haciéndolas más propensas a ser impactadas. En las figuras 28 y 29 se observan esquemas básicos de estas secciones de amortiguamiento en barrera de orilla de corona paralela al arroyo vial (OD-4.1.1 y OD-4.1.2) y en barrera separadora de sentidos de circulación (OD-4.2.), respectivamente.
FIGURA 28.- Sección de amortiguamiento redireccionable- no traspasable (OD-4.4.1/RNT) en barrera de
orilla de corona paralela al arroyo vial (OD-4.1.1 y OD-4.1.2)
FIGURA 29.- Sección de amortiguamiento redireccionable- no traspasable (OD-4.4.1/RNT) en barrera
separadora de sentidos de circulación (OD-4.2.3)
8.1.2.2. En lugares donde exista un amplio espacio de terreno transitable sin obstáculos detrás de las barreras de orilla de corona (OD-4.1), con un ancho mayor de nueve (9) metros, longitud mínima de veintiún (21) metros y pendiente transversal no mayor de veinte (20) por ciento, se pueden instalar secciones de
amortiguamiento redireccionables - traspasables (OD-4.4.1/RT) o no redireccionables (OD-4.4.1/NR). En la figura 30 se observa el esquema básico de una sección de amortiguamiento en barrera de orilla de corona no paralela al arroyo vial (OD-4.1.2).
8.1.2.3. Cuando las barreras separadoras de sentidos de circulación (OD-4.2) se utilicen para separar carriles con un mismo sentido de circulación, donde no existe peligro de que los vehículos que las traspasen se impacten de frente con otro vehículo que circule en sentido opuesto, se pueden instalar secciones de amortiguamiento redireccionables - traspasables (OD-4.4.1/RT) o no redireccionables (OD-4.4.1/NR).
8.1.2.4. En cualquier caso, las secciones de amortiguamiento (OD-4.4.1) que se seleccionen deben ser compatibles con el tipo específico de la barrera de orilla de corona o separadora de sentidos de circulación que se utilice y se pueden seleccionar de entre las disponibles en el mercado siempre y cuando hayan sido certificadas por un laboratorio debidamente acreditado o reconocido por la Dirección General de Servicios Técnicos de la Secretaría de Comunicaciones y Transportes demostrando su buen desempeño en las pruebas del Manual for Assessing Safety Hardware (MASH), American Association of State Highway and Transportation Officials, Estados Unidos de América, 2016), de manera que las secciones de amortiguamiento mostradas en las figuras de esta Norma se presentan sólo como ejemplo, de manera ilustrativa mas no limitativa, ya que cada caso es particular y han de seleccionarse las idóneas aunque no estén ilustradas en esta Norma. El certificado de cumplimiento correspondiente debe indicar, de manera fehaciente, el detalle y las especificaciones de la sección de amortiguamiento aprobado, bien sea de manera genérica o de manera especial hacia una persona física o moral.
FIGURA 30.- Sección de amortiguamiento redireccionable-traspasable (OD-4.4.1/RT) en barrera de orilla
de corona no paralela al arroyo vial (OD-4.1.2)
Si la barrera es de tres o de cuatro cables de acero con postes débiles diseñados para doblarse al impacto de los vehículos, se puede omitir la colocación de una sección de amortiguamiento (OD-4.4.1), siempre y cuando se haya certificado, como se establece en este inciso, que el impacto de los vehículos en el extremo inicial de la barrera en el sentido del tránsito no representa peligro para sus ocupantes.
8.2. Secciones terminales (OD-4.4.2)
Las secciones extremas deben ser secciones terminales (OD-4.4.2) cuando se colocan en el extremo de una barrera de orilla de corona (OD-4.1.1 y OD-4.1.2) para reforzarla y protegerla, cuando sea reducido el riesgo de que un vehículo se impacte de frente en ese extremo. Se deben instalar sólo en el extremo final de dichas barreras en el sentido de circulación del tránsito, cuando las carreteras o vialidades urbanas sean de cuerpos separados o de dos o más carriles por sentido de circulación con barreras separadoras de sentidos de circulación (OD-4.2). Las secciones terminales (OD-4.4.2) pueden ser:
8.2.1. Para barreras de orilla de corona de acero con vigas acanaladas de dos o tres crestas (OD-4.1.1 y OD-4.1.2)
8.2.1.1. Secciones terminales sencillas(OD-4.4.2/S) también llamadas tipo "cola de pato" como las mostradas en la figura 31, que se deben colocar sólo cuando el extremo final de la barrera en el sentido de circulación del tránsito, sea esviajado.
8.2.1.2. Secciones terminales aterrizadas (OD-4.4.2/A) como las ilustradas en la figura 32, que se deben colocar sólo en el extremo final de la barrera en el sentido de circulación del tránsito, cuando ésta sea paralela al arroyo vial en toda su longitud.
FIGURA 31.- Secciones terminales sencillas para vigas acanaladas de dos y de tres crestas (OD-4.4.2/S)
FIGURA 32.- Sección terminal aterrizada para vigas acanaladas de dos y de tres crestas (OD-4.4.2/A)
8.2.2. Para barreras de orilla de corona de cables de acero (OD-4.1.1)
Cuando se instalen barreras de orilla de corona de cables de acero (OD-4.1.1), sus secciones terminales (OD-4.4.2) tendrán un anclaje adecuado para el sistema elegido, similar al ilustrado en la figura 25, que haya
demostrado un buen desempeño en las pruebas del Manual for Assessing Safety Hardware (MASH), American Association of State Highway and Transportation Officials, Estados Unidos de América, 2016.
8.2.3. En cualquier caso, las secciones terminales (OD-4.4.2) que se seleccionen deben ser compatibles con el tipo específico de la barrera de orilla de corona que se utilice y se pueden seleccionar de entre las disponibles en el mercado, de manera que las secciones terminales mostradas en las figuras de esta Norma se presentan sólo como ejemplo, de manera ilustrativa mas no limitativa, ya que cada caso es particular y han de seleccionarse las idóneas, aunque no estén ilustradas en esta Norma.
9. Conservación
Los responsables de la conservación de las carreteras o de las vialidades urbanas, deben asegurar que las barreras de protección de los tramos a su cargo, incluyendo sus barreras de transición y secciones extremas, siempre funcionen correctamente, por lo que deben implantar un programa de inspección y conservación rutinaria y, en su caso, proceder a reparar o reemplazar inmediatamente los elementos que resulten dañados por un percance o por vandalismo, para evitar que un vehículo se impacte en un elemento estropeado que pudiera incrementar la gravedad del accidente, pues una barrera dañada se convierte en un obstáculo muy peligroso para los usuarios. Conforme con lo establecido en el inciso 5.3.1, siempre que sea necesario reponer o reemplazar una barrera deberá revisarse el nivel de contención de las barreras de protección en función de la composición del flujo vehicular en términos del TDPA y de la velocidad de operación que se esperen en los siguientes cinco (5) años en el subtramo donde se ubique dicha barrera o parapeto. Los trabajos de inspección, conservación y reparación o reposición se deben realizar considerando lo siguiente:
Durante los trabajos de conservación, de reparación o de reemplazo, se debe prestar especial atención al señalamiento y dispositivos de protección conforme a lo establecido en la Norma Oficial Mexicana NOM-086-SCT2-2015, "Señalamiento y dispositivos para protección en zonas de obras viales", para no generar otro incidente derivado de esos trabajos.
9.1. Inventario de las barreras de protección
Todas las barreras de protección de una carretera o una vialidad urbana deben estar inventariadas en una base de datos, que contenga como mínimo, para cada barrera, la siguiente información:
- Designación y tipo de la barrera;
- ubicación precisa del inicio y término de la barrera, incluyendo sus secciones extremas;
- en su caso, ubicación, designación y tipo de las barreras de transición;
- designación y tipo de las secciones extremas;
- el manual de instalación y rehabilitación que incluya las especificaciones de diseño, operación, construcción y conservación de la barrera, así como de las barreras de transición y secciones extremas, los planos de instalación y rehabilitación, así como los procedimientos de reparación o reposición, que deben proporcionar los fabricantes o distribuidores de las barreras, las barreras de transición y de las secciones extremas;
- fecha, tipo y descripción de cada trabajo de conservación, reparación o reposición;
- disponibilidad en almacén de las piezas y refacciones para la conservación, reparación o reposición de la barrera, así como de sus barreras de transición y secciones extremas, y
- fecha y descripción de cada accidente o incidente que afecte la barrera o sus barreras de transición o secciones extremas, y descripción de los daños ocasionados a dichos elementos, así como a los vehículos y pasajeros.
Esta base de datos se debe actualizar tan pronto como se ejecuten los trabajos de conservación, reparación o reposición y debe estar disponible en cualquier momento para la autoridad responsable de la carretera o de la vialidad urbana y para cualquier otra autoridad competente que solicite la información.
9.2. Conservación rutinaria
El programa de inspección y conservación rutinaria se debe formular para cada año con base en las especificaciones de conservación aplicables a los diferentes tipos de barreras de protección que se utilicen en la carretera o la vialidad urbana, así como a sus barreras de transición y secciones extremas. Dicho programa debe ser revisado y en su caso, ajustado mensualmente con base en los trabajos de inspección, conservación, reparación o reposición que se ejecuten. Las inspecciones visuales deben ser periódicas para detectar los daños o deterioros que pudieran afectar el correcto funcionamiento de las barreras o sus barreras de transición y secciones extremas, con el propósito de ejecutar los trabajos de conservación oportunamente.
Estos trabajos de conservación rutinaria son, entre otros, los siguientes:
- Inspecciones periódicas para constatar el estado de las barreras y sus dispositivos;
- limpieza de acumulaciones de escombros y arena, y despeje de maleza;
- verificación del torque de los tornillos que sujetan a los diversos elementos;
- reposición de piezas dañadas o faltantes;
- en su caso, botones reflejantes y dispositivos antideslumbrantes, y
- en su caso, ajustes de tensión de cables guías y otros elementos del sistema.
9.3. Reparación o reemplazo
Después de un accidente o de cualquier otro percance que dañe una barrera de protección, sección de transición o sección extrema, se debe efectuar una inspección y análisis detenido, para determinar las partes o las piezas que requieran ser reparadas, ajustadas o reemplazadas para rehabilitar los elementos dañados rápida y oportunamente, ya que un impacto con un sistema no rehabilitado puede resultar en un accidente muy severo para los usuarios y daños de gran consideración a la barrera.
9.4. Almacenamiento
Con el propósito de efectuar la conservación rutinaria de las barreras de protección, incluyendo sus barreras de transición y extremas, así como las reparaciones o reposiciones que se requieran, en forma oportuna y eficaz para evitar accidentes posteriores de mayor gravedad, el responsable de la conservación de la carretera o vialidad urbana debe disponer del personal capacitado para realizar esas tareas y de disponer de un almacenamiento en cantidad suficiente, un completo abastecimiento de piezas y refacciones para cada tipo de barrera, de sección de transición y de sección extrema que exista en los tramos a su cargo, principalmente de aquellos elementos que más frecuentemente resulten dañados durante los percances y de los que más rápidamente se deterioren, pues nunca se deberá demorar en la restauración de esos dispositivos a su condición original por falta de personal, piezas o refacciones, por lo que se debe implementar un programa que asegure la disponibilidad, en cualquier momento, de los materiales necesarios para ejecutar dichas actividades. Todas las piezas y refacciones deben ser almacenadas conforme con los requisitos de almacenamiento que indique el fabricante o distribuidor.
10. Proyecto
Para la construcción, ampliación, modificación o reconstrucción de una carretera o una vialidad urbana, que impliquen el uso de barreras, el proyecto ejecutivo correspondiente debe incluir el proyecto de las barreras de protección, que sea aprobado por la Autoridad responsable de la carretera o vialidad urbana. Para trabajos de conservación que incluyan la instalación de barreras nuevas, es necesario contar con el correspondiente proyecto ejecutivo.
En el caso de parapetos, el ingeniero que proyecte el puente o estructura similar deberá tomar en cuenta en su diseño los efectos que pudiera ocasionar la falla del anclaje ante un impacto en el parapeto, evitando daños a la estructura.
11. Concordancia con normas internacionales y normas mexicanas
La presente Norma no concuerda con ninguna Norma Internacional ni Norma Mexicana, por no existir éstas en el momento de su elaboración.
12. Bibliografía
a) Manual for Assessing Safety Hardware (MASH), American Association of State Highway and Transportation Officials, Estados Unidos de América, 2016.
b) Roadside Design Guide, American Association of State Highway and Transportation Officials, Estados Unidos de América, 4a edición, 2011.
c) Countermeasures that Reduce Crash Severity, Hardware Eligibility Letters, Federal Highway Administration, Estados Unidos de América, (relación de barreras de protección aprobadas, disponible en <https://safety.fhwa.dot.gov/roadway_dept/countermeasures/reduce_crash_severity/>).
d) Capítulo N·PRY·CAR·6·01·002/01, Características Generales de Proyecto, Normativa para la Infraestructura del Transporte, Secretaría de Comunicaciones y Transportes, 2001.
13. Evaluación de la conformidad
Las disposiciones contenidas en los artículos 3o. fracción IV-A y 73 primer párrafo de la Ley Federal sobre Metrología y Normalización (LFMN), relativas a que, cuando para fines oficiales, sea requerida la evaluación de la conformidad para determinar el grado de cumplimiento de una Norma Oficial Mexicana, y sobre todo de acuerdo con el nivel de riesgo o protección necesarios para salvaguardar las finalidades a que se refiere el artículo 40 de la misma Ley; al respecto es necesario situar y clasificar el contenido y las características de la presente Norma Oficial Mexicana.
A efecto de puntualizar el sustento de la Norma, se hace referencia al artículo 40 fracción XVI de la LFMN, respecto a las características y/o especificaciones que deben reunir los vehículos de transporte, equipos y
servicios conexos para proteger las vías generales de comunicación y la seguridad de sus usuarios, así como el de proteger los bienes y vidas humanas del público en general.
Para el caso de esta Norma, correspondiente a las barreras de protección, las características principales de las disposiciones que contiene, están dirigidas a establecer los requisitos generales que obligatoriamente han de considerarse para diseñar e implantar las barreras de protección en las carreteras y vialidades urbanas de jurisdicción federal, estatal y municipal, que están directamente relacionadas con la seguridad de sus usuarios, así como con la protección de los bienes y vidas humanas del público en general.
Por ello, para la evaluación de la conformidad con las disposiciones contenidas en esta Norma se debe proceder como sigue:
13.1. Las Unidades Generales de Servicios Técnicos de los Centros SCT, dentro de su jurisdicción, así como las Unidades de Verificación autorizadas por la Secretaría de Comunicaciones y Transportes, deben supervisar e inspeccionar las barreras de protección de las carreteras y vialidades federales, incluyendo las concesionadas, mediante programas de inspecciones periódicas, para comprobar que cumplan con las disposiciones de esta Norma y que se encuentren en buen estado. Los alcances de las inspecciones, su frecuencia y sus métodos o instrucciones de trabajo, se realizarán según las estrategias que establezca la Dirección General de Servicios Técnicos de la Secretaría de Comunicaciones y Transportes, para dar cumplimiento a las disposiciones de esta Norma.
13.2. Las autoridades estatales y municipales, responsables de proyectar, construir, operar y conservar las carreteras y vialidades urbanas, deben designar al personal de verificación que supervise e inspeccione las barreras de protección de esas carreteras y vialidades, incluyendo las que hayan concesionado, mediante programas de inspecciones periódicas, para comprobar que cumplan con las disposiciones de esta Norma y que se encuentren en buen estado. Los alcances de las inspecciones, su frecuencia y sus métodos o instrucciones de trabajo, se realizarán según las estrategias que establezcan dichas autoridades, para dar cumplimiento a las disposiciones de esta Norma.
13.3. El personal de verificación, tanto de las Unidades Generales de Servicios Técnicos de los Centros SCT, como el de las Unidades de Verificación autorizadas por la Secretaría de Comunicaciones y Transportes, y el que designen las autoridades estatales y municipales, en el ámbito de su competencia, debe estar capacitado para llevar a cabo las actividades de verificación, supervisión e inspección de las barreras de protección, contenidas en la presente Norma.
14. Vigilancia
La Secretaría de Comunicaciones y Transportes, por conducto de la Dirección General de Servicios Técnicos, así como las autoridades estatales y municipales encargadas de proyectar, construir, operar y conservar las carreteras y vialidades urbanas, cada una en el ámbito de su competencia, son las autoridades responsables de vigilar el cumplimiento de la presente Norma Oficial Mexicana.
15. Observancia
Esta Norma es de observancia obligatoria en las carreteras y vialidades urbanas de jurisdicción federal, estatal y municipal, según lo establecido en el Capítulo 2. Campo de aplicación de esta Norma, así como en las que hayan sido concesionadas a particulares.
16. Vigencia
La presente Norma Oficial Mexicana, una vez que sea publicada en el Diario Oficial de la Federación como Norma definitiva, cancelará y sustituirá a la Norma Oficial Mexicana NOM-037-SCT2-2012 y entrará en vigor a los noventa (90) días naturales siguientes de su publicación en el Diario Oficial de la Federación.
Todo proyecto de barreras de protección para carreteras o vialidades urbanas nuevas o para el reemplazamiento de las existentes, deberá cumplir con las disposiciones contenidas en esta Norma, a partir de su entrada en vigor.
Las barreras de protección existentes, que no se ajusten a las disposiciones indicadas en esta Norma, deben ser corregidas o reemplazadas por la autoridad responsable de conservar la carretera o vialidad urbana respectiva, o en el caso de que sea concesionada, por el concesionario correspondiente, durante los trabajos de conservación y reposición de las barreras de protección; de tratarse de parapetos, para su reemplazo, debe considerarse la necesidad de un refuerzo de la estructura para que el nuevo parapeto cumpla con esta Norma. Las barreras de protección que carezcan de secciones extremas de amortiguamiento deben ser complementadas con estos elementos en un plazo no mayor de nueve (9) meses a partir de la entrada en vigor de esta Norma.
______________________________