| SERVICIO | PARÁMETROS DE CALIDAD | ÍNDICES DE CALIDAD | SANCIONABLE / INFORMATIVO |
| DEL SERVICIO DE TELEFONÍA FIJA | Proporción de intentos exitosos de Llamadas locales | >97% | SANCIONABLE |
| Tiempo promedio de establecimiento de Llamada local | ---- | INFORMATIVO | |
| DEL SERVICIO DE ACCESO A INTERNET | Tasa de Transmisión de Datos Promedio de Descarga | ---- | INFORMATIVO |
| Tasa de Transmisión de Datos Promedio de Carga | ---- | INFORMATIVO | |
| Latencia Promedio | ---- | INFORMATIVO | |
| Proporción de Paquetes Perdidos | ---- | INFORMATIVO | |
| DE LAS FALLAS | Proporción de Reportes de Fallas | <3.50% | SANCIONABLE |
| Proporción de reparación de Fallas en un día | >85% | SANCIONABLE | |
| Proporción de reparación de Fallas en tres días | >97% | SANCIONABLE | |
| Tiempo promedio de reparación del Servicio Fijo | ---- | INFORMATIVO | |
| Proporción de Teléfonos públicos fuera de servicio | <12% | SANCIONABLE |
| Índices | Metas Mínimas de Calidad Telmex | ||
| Metas mínimas 2011-2014 | |||
| Factor de Ponderación | [%] | ||
| ICON | 1 | 93.175 | |
| (Índice de Continuidad en el Servicio) | |||
| 1 | Fallas en líneas | 0.45 | 3.5 |
| 2 | Reparación de líneas el mismo día | 0.3 | 85 |
| 3 | Reparación de líneas en tres días | 0.25 | 97 |
| ICAL | 1 | 93.725 | |
| (Índice de Calidad del Servicio) | |||
| 4 | Establecimiento de llamadas locales | 0.25 | 97 |
| 5 | Establecimiento de llamadas larga distancia internacional | - | - |
| 6 | Teléfonos Públicos Fuera de Servicio | 0.35 | 12 |
| 7 | Contestación de Operadora 04 y 05 / de Recepción y de Servicios de Quejas | 0.15 | 92 |
















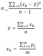
= Media obtenida para el Parámetro de Calidad de Servicio correspondiente, y
son calculados de Ejercicios de Medición previos(4).
para el Parámetro de Calidad de Servicio correspondiente en el Ejercicio de Medición, a partir de las siguientes fórmulas:
| ANEXO II ENTREGA DE LOS REPORTES DE FALLAS EN PARTE O EN LA TOTALIDAD DE LA RED O DE MANTENIMIENTOS PREVENTIVOS O REPARACIÓN | ![]() |
| Consideraciones Generales para el llenado del presente formato. 1. Completar la información requerida en cada uno de los rubros, conforme al tipo de solicitud que corresponda. 2. Los campos de información y documentos que contengan un asterisco (*) como identificador son de llenado obligatorio. No obstante lo anterior, se recomienda el llenado de todos los campos contenidos en este formato para una mejor evaluación de su solicitud. 3. Podrá llenar el presente con letra molde legible, preferentemente en tinta azul, con máquina de escribir o a computadora. Una vez completado, con firma autografa del promovente y escaneado, deberá adjuntarse en archivo electronico (PDF) editable y remitirse vía correo electrónico al siguiente correo: fallas.calidad.fijo@ift.org.mx 4. Para cualquier duda respecto a la información que habrá que proporcionar en cada uno de los rubros, consultar el instructivo del presente formato. 5. El formato no será válido si presenta tachaduras o enmendaduras en su información. 6. Ampliar los recuadros en caso de requerirse. |
| INSTITUTO FEDERAL DE TELECOMUNICACIONES (IFT) Unidad de Cumplimiento Av. Insurgentes Sur No. 1143, Col. Nochebuena, Demarcación Territorial Benito Juárez, C.P. 03720, Ciudad de México, México Tel. 55-5015-4000 www.ift.org.mx |
|
| SECCIÓN 1. TIPO DE PROCEDIMIENTO | ||||||||
| Procedimiento* (Sólo debe seleccionar una opción) | ||||||||
Inicio de trámite | Desahogo de prevención Oficio IFT: _________________________ Fecha oficio IFT: _________________________ DD/MM/AAAA | Alcance Folio de Acuse: _________________________ Fecha de Acuse: ________________________ DD/MM/AAAA | ||||||
| SECCIÓN 2. DATOS GENERALES DEL REGULADO | ||||||||
| Datos generales del Regulado | ||||||||
| Nombre o razón social del Regulado*: | _______________ _________________ __________________ Nombre (s) Primer apellido Segundo apellido | |||||||
| Folio FET*: | | Servicios que presta*: | | Cobertura*: | | |||
| Representante legal | |||||
| Nombre del Representante Legal*: | _______________ _________________ __________________ Nombre (s) Primer apellido Segundo apellido | ||||
| Domicilio para oír y recibir notificaciones | |||||
| Calle y No. exterior e interior*: | | Colonia*: | | ||
| Municipio o Demarcación Territorial*: | | Entidad Federativa*: | | ||
| Código Postal*: | | Correo electrónico*: | | ||
| Teléfono oficina*: | | Teléfono móvil: | | ||
| Autorizados (Agregar las filas que considere necesarias) | |||||
| Nombre(s) completo(s) de la(s) persona(s)autorizada(s) para oír y recibir notificaciones: | Nombre (s) Primer apellido Segundo apellido | ||||
| Nombre (s) Primer apellido Segundo apellido | |||||
| SECCIÓN 3. DATOS DEL REPORTE | |||||
| Información del Reporte de Fallas en la Red* | |||||
| Fecha de elaboración | _____________ DD/MM/AAAA | Tecnologías de acceso afectadas | | ||
| Nombre de la persona que elabora el informe | ___________ _______________ _______________ Nombre(s) Primer apellido Segundo apellido | ||||
| Puesto de la persona que elabora el informe | | ||||
| Descripción de la Falla | | ||||
| Zona geográfica de la Falla | | ||||
| Número de usuarios finales afectados | | ||||
| Fecha de la Falla | | Hora inicio de la Falla | _____________ hh:mm | Tiempo que permaneció la Falla de red | |
| Acciones correctivas | | ||||
| SECCIÓN 4. NOTIFICACIONES ELECTRÓNICAS | |||||
| Notificaciones electrónicas* | |||||
| Acepto recibir notificaciones de forma electrónica al correo señalado en la Sección 1 derivadas únicamente del presente trámite. | Sí, acepto No, acepto | ||||
| SECCIÓN 5. DOCUMENTACIÓN O INFORMACIÓN PARA ACREDITAR AL REPRESENTANTE LEGAL (Seleccione únicamente una de las siguientes dos opciones) | ||||||||||||
| Tipo de Documento* (Sólo debe seleccionar una opción) Referencia* | ||||||||||||
| ||||||||||||
|
| ||||
| Asimismo, declaro bajo protesta de decir verdad, que la información contenida en el presente formato es correcta y concuerda con los documentos que se anexan al mismo, quedando apercibido de las penas en que incurren las personas que declaran con falsedad ante una autoridad distinta de la judicial, en los términos de lo dispuesto por el artículo 247, fracción I, del Código Penal Federal. Asimismo, quedo enterado de los términos, condiciones y plazos de este procedimiento por lo que no tengo duda alguna y estoy conforme con ello. AVISO DE PRIVACIDAD SIMPLIFICADO |
| Responsable del tratamiento El Instituto Federal de Telecomunicaciones (IFT), a través de la Dirección de Supervisión de Telecomunicaciones. Datos recabados: · Nombres de personas físicas y denominación o razón social de personas morales · Teléfono (celular y/o particular) · Correo electrónico · Nacionalidad · Registro Federal de Contribuyentes · Clave Única de Registro de Población · Domicilio para oír y recibir notificaciones · Información técnica y económica. · Documentación que acredita personalidad: - Para persona física: INE, Cédula profesional, Pasaporte, acta de nacimiento, certificado de nacionalidad mexicana, carta de naturalización, pasaporte vigente, cédula de identidad ciudadana, matricula consular o cartilla liberada del servicio militar nacional. - Para persona moral: testimonio o copia certificada de la escritura pública en la que conste el acta constitutiva y compulsa de los estatutos sociales vigentes. · Comprobante de domicilio. · Escritura pública con los poderes suficientes para representar al interesado. Las finalidades del tratamiento para las cuales se obtienen los datos personales · Notificar y contactar a los Interesados en su caso, respecto del correspondiente trámite. Transferencias de datos personales El IFT, a través de la Dirección de Supervisión de Telecomunicaciones, no llevará a cabo tratamiento de datos personales para finalidades distintas a las expresamente señaladas en este aviso de privacidad, ni realizará transferencias de datos personales a otros responsables, de carácter público o privado, salvo aquéllas que sean estrictamente necesarias para atender requerimientos de información de una autoridad competente, que estén debidamente fundados y motivados. Estas transferencias no requerirán el consentimiento del titular, de conformidad con lo dispuesto por el artículo 22, fracciones I, II y III, de la LGPDPPSO. Ejercicio de los derechos ARCO Para ejercer sus derechos (ARCO) de Acceso, Rectificación, Cancelación y Oposición al tratamiento de los datos personales establecidos en la LGPDPPSO; deberá hacerlos a través de la Unidad de Transparencia del Instituto Federal de Telecomunicaciones ubicada en la Planta Baja, del Edificio Sede con domicilio en Insurgentes Sur #1143, Col. Nochebuena, Demarcación Territorial Benito Juárez, Ciudad de México, C.P. 03720, a los teléfonos 5015 4598 y 5015 2200, o al correo electrónico unidad.transparencia@ift.org.mx Aviso de privacidad Integral El Aviso de Privacidad integral se encuentra disponible físicamente en las oficinas de la Dirección de Supervisión de Telecomunicaciones del IFT y electrónicamente en el micrositio "Avisos de privacidad": http://www.ift.org.mx/avisos-de-privacidad, medios a través de los cuales el IFT comunicará a los titulares de los datos los cambios al aviso de privacidad. |
| Firma: __________________________________________________________ Nombre: ________________________________________________________ (Nombre y firma del interesado o de su representante legal) |
| INSTRUCTIVO DE LLENADO | ||
| Nombre del campo | Descripción del campo | Unidad de medida |
| Sección 1. Solicitud | ||
| Lugar y Fecha | Deberá indicar el lugar y la fecha de presentación de la solicitud. | No aplica |
| Procedimiento | Aquí se debe especificar seleccionando con un "X" si se trata de: 1) Entrega de información (la primera vez que se realiza la entrega de información para el periodo requerido). 2) Alcance. Entrega de información (datos o documentos) adicional a la entregada previamente. Deberá indicar el folio y la fecha señalados por la Oficialía de Partes Común del Instituto, en su Acuse de recibido del documento que pretende complementar. 3) Desahogo de prevención (escrito de atención a la prevención realizada por el IFT, posterior a una notificación de requerimiento o a la omisión de algun requisito dentro de la información presentada). Indicar el numero del oficio contenido en la prevención que se atiende.Indicar la fecha en que le fue notificada la prevención. | No aplica |
| Sección 2. Datos generales del regulado | ||
| Datos Generales del Regulado | ||
| Nombre o razón social del Regulado | Indique el nombre completo de la persona física o moral a quien se otorgó el Instrumento habilitante (título de concesión, Concesión única, Autorización o permiso) | No aplica |
| Folio FET | Indique el folio que corresponde al instrumento (s) habilitante (s) tal como aparece en la página electrónica del Registro Público de Concesiones. | No aplica |
| Servicios que presta | Indique el(los) servicio(s) que se encuentra prestando. | No aplica |
| Cobertura | Indique el área de cobertura en la cual se encuentra prestando servicio(s). | No aplica |
| Representante legal | ||
| Nombre del Representante Legal | Los interesados podrán actuar por sí o por medio de representante legal. La representación permite formular solicitudes, participar en el procedimiento administrativo, interponer recursos, desistirse y renunciar a derechos, para lo cual deberá acreditarse mediante instrumento público, y en el caso de personas físicas, también mediante carta poder firmada ante dos testigos y ratificadas las firmas del otorgante y testigos ante las propias autoridades o fedatario público, o declaración en comparecencia personal del interesado. Comprende los siguientes campos: 1) Nombre(s). Nombre completo, sin abreviaturas, del representante legal o apoderado. 2) Primer apellido. Primer apellido, sin abreviaturas, del representante legal o apoderado. 3) Segundo apellido. En caso de tenerlo, señalar el segundo apellido, sin abreviaturas, del representante legal o apoderado. | No aplica |
| Domicilio para oír y recibir notificaciones | ||
| Calle y No. exterior e interior | Nombre completo, sin abreviaturas, del tipo de vialidad que corresponda al domicilio para oír o recibir notificaciones, así como el número exterior o interior que corresponde a dicho domicilio. | No aplica |
| Colonia | Nombre completo sin abreviaturas de la colonia o asentamiento humano que corresponda al domicilio para oír o recibir notificaciones. | No aplica |
| Municipio o Demarcación Territorial | Nombre completo, sin abreviaturas, del municipio o de la demarcación territorial que corresponda al domicilio para oír o recibir notificaciones. | No aplica |
| Entidad Federativa | Entidad federativa en donde se encuentra el domicilio del representante legal. Por ejemplo: Ciudad de México, Baja California, Estado de México. | No aplica |
| Código Postal | Número completo del código postal que corresponda al domicilio para oír o recibir notificaciones. | No aplica |
| Correo electrónico | Indique una dirección de correo electrónico personal o corporativo. | |
| Teléfono fijo | Número(s) telefónico(s) fijo a 10 dígitos del Representante Legal, ejemplo: Teléfono local: 55 57 31 49 52. | No aplica |
| Teléfono móvil | Número(s) telefónico(s) móvil a 10 dígitos del Representante Legal, ejemplo: Teléfono celular: 55 13 13 12 20. | No aplica |
| Autorizados | ||
| Nombre(s) completo(s) de la(s) persona(s) autorizada(s) para oír y recibir notificaciones | El interesado o su representante legal podrán autorizar a la persona o personas que estime pertinente para oír y recibir notificaciones, realizar trámites, gestiones y comparecencias que fueren necesarias para la tramitación de tal procedimiento, incluyendo la interposición de recursos administrativos. Comprende los siguientes campos por cada autorizado: 1) Nombre(s). Nombre completo, sin abreviaturas, del autorizado. 2) Primer apellido. Primer apellido, sin abreviaturas, del autorizado. 3) Segundo apellido. En caso de tenerlo, señalar el segundo apellido, sin abreviaturas, del autorizado. Se deberá agregar y llenar una línea por cada autorizado que se designe. | No aplica |
| Sección 3. Datos que deberá contener el reporte | ||
| Fecha de elaboración | Deberá indicar la fecha en que se elaboró el informe de Falla de Red (dd/mm/aaaa). | No aplica |
| Tecnologías de acceso afectadas | Deberá indicar las Tecnologías de Acceso que fueron afectadas por la Falla. | No aplica |
| Nombre de la persona que elabora el informe | Deberá indicar el nombre completo (nombre, apellido paterno y apellido materno) de la persona que elaboró el informe de Fallas de red. | No aplica |
| Puesto de la persona que elabora el informe | Deberá indicar el puesto de la persona que elaboró el informe de Fallas de red. | No aplica |
| Descripción de la Falla | Explicar de manera precisa en qué consistió la Falla y, de ser posible, cuáles fueron las causas que la originaron. | No aplica |
| Zona geográfica de la Falla | Deberá indicar el lugar geográficamente que fue afectado por la Falla. Precisarlo comenzando por el nivel geográfico más grande partiendo del Estado, seguido del municipio, localidad y si es posible la(s) colonia(s). | No aplica |
| Número de usuarios finales afectados | Deberá indicar el número estimado de usuarios finales afectados durante la totalidad de la Falla. | No aplica |
| Fecha de la Falla | Deberá indicar la fecha en que se presentó la Falla (dd/mm/aaaa). | No aplica |
| Hora inicio de la Falla | Deberá indicar la hora en que se presentó la Falla (hh:mm). | hh:mm |
| Tiempo que permaneció la Falla de red | Deberá indicar la duración que tuvo la afectación. Si la Falla no ha sido solucionada, se deberá precisar la duración aproximada que tomará corregirla. Para este último caso, una vez que la Falla sea atendida se deberá presentar un nuevo reporte donde se actualice este dato indicando la duración real de la Falla. | No aplica |
| Acciones correctivas | Enlistar de manera breve y precisa, las acciones más relevantes que se llevaron a cabo para solucionar a la Falla. | No aplica |
| Sección 4. Notificaciones electrónicas | ||
| Manifestación de aceptación para recibir notificaciones de forma electrónica | Deberá indicar si el regulado acepta o no que le sean realizadas notificaciones de forma electrónica de información relativos al presente trámite | No aplica |
| Sección 5. Documentación adjunta | ||
| Documentación adjunta | Seleccione con una "X", e indique la referencia de la documentación que adjunta al formato y su referencia y número de hojas. 1. Se deberá adjuntar copia certificada de la escritura pública correspondiente con la que se acredite la identidad y alcances del representante legal del Concesionario o, en su caso, indicar sí este Instituto ya cuenta con un instrumento en el que se acredite la personalidad del promovente, así como la referencia del mismo. 2. Se deberá indicar si el IFT ya cuenta con el instrumento público o documento con el que se acredite la identidad y alcances del representante legal, indicando el numero la referencia del mismo. NOTA: Los documentos adicionales solicitados deben adjuntarse en el mismo al correo que sea enviado al correo electrónico fallas.calidad.fijo@ift.org.mx | No aplica |
| PLAZOS A LOS QUE ESTARÁ SUJETO EL TRÁMITE | ||
| El plazo con que cuenta el IFT para efectuar a los interesados la prevención ante la falta de información o requisitos del trámite es de 10 días hábiles. En caso de prevención, el plazo con que cuenta el interesado para subsanar la información o documentación faltante o errónea será de no menor a 5 días hábiles. Transcurrido dicho plazo sin que el interesado haya desahogado la prevención, el IFT desechará el trámite. | ||
| FUNDAMENTO JURÍDICO DEL TRÁMITE |
| - Lineamiento Décimo y Anexo II de los Lineamientos que fijan los índices y parámetros de calidad a que deberán sujetarse los prestadores del servicio fijo. - Artículo 35, fracción II de la Ley Federal de Procedimiento Administrativo. |
| INFORMACIÓN ADICIONAL QUE PUEDA SER DE UTILIDAD A LOS INTERESADOS |
| El reporte de fallas deberá ser entregado por los Prestadores del Servicio Fijo que operen sus propios Sistemas de Gestión que puedan generar archivos de Contadores de Desempeño sin perjuicio de las obligaciones que deriven de la Ley Federal de Protección al Consumidor incluyendo las bonificaciones, compensaciones y demás atribuciones de la Procuraduría Federal del Consumidor. En caso de que subsista la falla al momento de la presentación del reporte, los Prestadores del Servicio Fijo deberán continuar presentando el presente formato de reporte de fallas, en cumplimiento a lo establecido en los Lineamientos que fijan los índices y parámetros de calidad a que deberán sujetarse los prestadores del servicio fijo, cada veinticuatro horas comenzando a partir de la entrega del primer reporte y hasta que la falla de red haya sido subsanada. El IFT hará del conocimiento de la Procuraduría Federal del Consumidor en los siguientes 2 días hábiles contados a partir de la recepción del reporte de fallas de red, para que actúe en el ámbito de sus atribuciones, sin perjuicio de que el usuario final ejerza los derechos que le correspondan. En caso de dudas sobre cualquiera de los elementos contenidos en este formato por favor contactar al siguiente correo electrónico: fallas.calidad.fijo@ift.org.mx utilizando el formato del trámite denominado |
| |
| Consideraciones Generales para el llenado del presente formato. 1. Completar la información requerida en cada uno de los rubros, conforme al tipo de solicitud que corresponda. 2. Los campos de información y documentos que contengan un asterisco (*) como identificador son de llenado obligatorio. No obstante lo anterior, se recomienda el llenado de todos los campos contenidos en este formato para una mejor evaluación de su solicitud. 3. Podrá llenar el presente con letra molde legible, preferentemente en tinta azul, con máquina de escribir o a computadora. Una vez completado, con firma autografa del promovente y escaneado, deberá adjuntarse en archivo electronico (PDF) editable y remitirse vía correo electrónico al siguietne correo: fallas.calidad.fijo@ift.org.mx 4. Para cualquier duda respecto a la información que habrá que proporcionar en cada uno de los rubros, consultar el instructivo del presente formato. 5. El formato no será válido si presenta tachaduras o enmendaduras en su información. 6. Ampliar los recuadros en caso de requerirse. |
| INSTITUTO FEDERAL DE TELECOMUNICACIONES (IFT) Unidad de Cumplimiento Av. Insurgentes Sur No. 1143, Col. Nochebuena, Demarcación Territorial Benito Juárez, C.P. 03720, Ciudad de México, México Tel. 55-5015-4000 www.ift.org.mx
|
| SECCIÓN 1. TIPO DE PROCEDIMIENTO | |||||||
| Procedimiento* (Sólo debe seleccionar una opción) | |||||||
| Inicio de trámite | Desahogo de prevención Oficio IFT: _________________________ Fecha oficio IFT: _________________________ DD/MM/AAAA | Alcance Folio de Acuse: _________________________ Fecha de Acuse: ________________________ DD/MM/AAAA | |||||
| SECCIÓN 2. DATOS GENERALES DEL REGULADO | |||||||
| Datos generales del Regulado | |||||||
| Nombre o razón social del Regulado*: | Nombre (s) Primer apellido Segundo apellido | ||||||
| Folio FET*: | | Servicios que presta*: | | Cobertura*: | | ||
| Representante legal | |||||||
| Nombre del Representante Legal*: | Nombre (s) Primer apellido Segundo apellido | ||||||
| Domicilio para oír y recibir notificaciones | |||
| Calle y No. exterior e interior*: | | Colonia*: | |
| Municipio o Demarcación Territorial*: | | Entidad Federativa*: | |
| Código Postal*: | | Correo electrónico*: | |
| Teléfono oficina*: | | Teléfono móvil: | |
| Autorizados (Agregar las filas que considere necesarias) | |||
| Nombre(s) completo(s) de la(s) persona(s) autorizada(s) para oír y recibir notificaciones: | Nombre (s) Primer apellido Segundo apellido | ||
| Nombre (s) Primer apellido Segundo apellido | |||
| SECCIÓN 3. DATOS DEL REPORTE | ||||
| Información del Reporte de Mantenimientos * | ||||
| Fecha de elaboración | _____________ DD/MM/AAAA | Tecnologías de acceso afectadas | | |
| Nombre de la persona que elabora el informe | Nombre (s) Primer apellido Segundo apellido | |||
| Puesto de la persona que elabora el informe | | |||
| Zona geográfica del mantenimiento | | |||
| Fecha del mantenimiento | ___________________ DD/MM/AAAA | Hora de finalización del mantenimiento | ____________ hh:mm | |
| SECCIÓN 4. NOTIFICACIONES ELECTRÓNICAS | ||||
| Notificaciones electrónicas* | ||||
| Acepto recibir notificaciones de forma electrónica al correo señalado en la Sección 1 derivadas únicamente del presente trámite. | Sí, acepto No, acepto | |||
| | | |||
| SECCIÓN 5. DOCUMENTACIÓN O INFORMACIÓN PARA ACREDITAR AL REPRESENTANTE LEGAL (Seleccione únicamente una de las siguientes dos opciones) | |||||||||||||||
| Tipo de Documento* (Sólo debe seleccionar una opción) Referencia* | |||||||||||||||
| |||||||||||||||
| |
| |||||||||
| Asimismo, declaro bajo protesta de decir verdad, que la información contenida en el presente formato es correcta y concuerda con los documentos que se anexan al mismo, quedando apercibido de las penas en que incurren las personas que declaran con falsedad ante una autoridad distinta de la judicial, en los términos de lo dispuesto por el artículo 247, fracción I, del Código Penal Federal. Asimismo, quedo enterado de los términos, condiciones y plazos de este procedimiento por lo que no tengo duda alguna y estoy conforme con ello. |
| AVISO DE PRIVACIDAD SIMPLIFICADO |
| Responsable del tratamiento El Instituto Federal de Telecomunicaciones (IFT), a través de la Dirección de Supervisión de Telecomunicaciones. Datos recabados: · Nombres de personas físicas y denominación o razón social de personas morales · Teléfono (celular y/o particular) · Correo electrónico · Nacionalidad · Registro Federal de Contribuyentes · Clave Única de Registro de Población · Domicilio para oír y recibir notificaciones · Información técnica y económica. · Documentación que acredita personalidad: - Para persona física: INE, Cédula profesional, Pasaporte, acta de nacimiento, certificado de nacionalidad mexicana, carta de naturalización, pasaporte vigente, cédula de identidad ciudadana, matricula consular o cartilla liberada del servicio militar nacional. - Para persona moral: testimonio o copia certificada de la escritura pública en la que conste el acta constitutiva y compulsa de los estatutos sociales vigentes. · Comprobante de domicilio. · Escritura pública con los poderes suficientes para representar al interesado. Las finalidades del tratamiento para las cuales se obtienen los datos personales · Notificar y contactar a los Interesados en su caso, respecto del correspondiente trámite. Transferencias de datos personales El IFT, a través de la Dirección de Supervisión de Telecomunicaciones, no llevará a cabo tratamiento de datos personales para finalidades distintas a las expresamente señaladas en este aviso de privacidad, ni realizará transferencias de datos personales a otros responsables, de carácter público o privado, salvo aquéllas que sean estrictamente necesarias para atender requerimientos de información de una autoridad competente, que estén debidamente fundados y motivados. Estas transferencias no requerirán el consentimiento del titular, de conformidad con lo dispuesto por el artículo 22, fracciones I, II y III, de la LGPDPPSO. Ejercicio de los derechos ARCO Para ejercer sus derechos (ARCO) de Acceso, Rectificación, Cancelación y Oposición al tratamiento de los datos personales establecidos en la LGPDPPSO; deberá hacerlos a través de la Unidad de Transparencia del Instituto Federal de Telecomunicaciones ubicada en la Planta Baja, del Edificio Sede con domicilio en Insurgentes Sur #1143, Col. Nochebuena, Demarcación Territorial Benito Juárez, Ciudad de México, C.P. 03720, a los teléfonos 5015 4598 y 5015 2200, o al correo electrónico unidad.transparencia@ift.org.mx Aviso de privacidad Integral El Aviso de Privacidad integral se encuentra disponible físicamente en las oficinas de la Dirección de Supervisión de Telecomunicaciones del IFT y electrónicamente en el micrositio "Avisos de privacidad": http://www.ift.org.mx/avisos-de-privacidad, medios a través de los cuales el IFT comunicará a los titulares de los datos los cambios al aviso de privacidad. |
| Firma: __________________________________________________________ Nombre: ________________________________________________________ (Nombre y firma del interesado o de su representante legal) |
| INSTRUCTIVO DE LLENADO |
| Nombre del campo | Descripción del campo | Unidad de medida |
| Sección 1. Solicitud | ||
| Lugar y Fecha | Deberá indicar el lugar y la fecha de presentación de la solicitud. | No aplica |
| Procedimiento | Aquí se debe especificar seleccionando con un "X" si se trata de: 1) Entrega de información (la primera vez que se realiza la entrega de información para el periodo requerido). 2) Alcance. Entrega de información (datos o documentos) adicional a la entregada previamente. Deberá indicar el folio y la fecha señalados por la Oficialía de Partes Común del Instituto, en su Acuse de recibido del documento que pretende complementar. 3) Desahogo de prevención (escrito de atención a la prevención realizada por el IFT, posterior a una notificación de requerimiento o a la omisión de algun requisito dentro de la información presentada). Indicar el numero del oficio contenido en la prevención que se atiende.Indicar la fecha en que le fue notificada la prevención. | No aplica |
| Sección 2. Datos generales del regulado | ||
| Datos Generales del Regulado | ||
| Nombre o razón social del Regulado | Indique el nombre completo de la persona física o moral a quien se otorgó el Instrumento habilitante (título de concesión, Concesión única, Autorización o permiso) | No aplica |
| Folio FET | Indique el folio que corresponde al instrumento (s) habilitante (s) tal como aparece en la página electrónica del Registro Público de Concesiones. | No aplica |
| Servicios que presta | Indique el(los) servicio(s) que se encuentra prestando. | No aplica |
| Cobertura | Indique el área de cobertura en la cual se encuentra prestando servicio(s). | No aplica |
| Representante legal | ||
| Nombre del Representante Legal | Los interesados podrán actuar por sí o por medio de representante legal. La representación permite formular solicitudes, participar en el procedimiento administrativo, interponer recursos, desistirse y renunciar a derechos, para lo cual deberá acreditarse mediante instrumento público, y en el caso de personas físicas, también mediante carta poder firmada ante dos testigos y ratificadas las firmas del otorgante y testigos ante las propias autoridades o fedatario público, o declaración en comparecencia personal del interesado. Comprende los siguientes campos: 1) Nombre(s). Nombre completo, sin abreviaturas, del representante legal o apoderado. 2) Primer apellido. Primer apellido, sin abreviaturas, del representante legal o apoderado. 3) Segundo apellido. En caso de tenerlo, señalar el segundo apellido, sin abreviaturas, del representante legal o apoderado. | No aplica |
| Domicilio para oír y recibir notificaciones | ||
| Calle y No. exterior e interior | Nombre completo, sin abreviaturas, del tipo de vialidad que corresponda al domicilio para oír o recibir notificaciones, así como el número exterior o interior que corresponde a dicho domicilio. | No aplica |
| Colonia | Nombre completo sin abreviaturas de la colonia o asentamiento humano que corresponda al domicilio para oír o recibir notificaciones. | No aplica |
| Municipio o Demarcación Territorial | Nombre completo, sin abreviaturas, del municipio o de la demarcación territorial que corresponda al domicilio para oír o recibir notificaciones. | No aplica |
| Entidad Federativa | Entidad federativa en donde se encuentra el domicilio del representante legal. Por ejemplo: Ciudad de México, Baja California, Estado de México. | No aplica |
| Código Postal | Número completo del código postal que corresponda al domicilio para oír o recibir notificaciones. | No aplica |
| Correo electrónico | Indique una dirección de correo electrónico personal o corporativo. | |
| Teléfono fijo | Número(s) telefónico(s) fijo a 10 dígitos del Representante Legal, ejemplo: Teléfono local: 55 57 31 49 52. | No aplica |
| Teléfono móvil | Número(s) telefónico(s) móvil a 10 dígitos del Representante Legal, ejemplo: Teléfono celular: 55 13 13 12 20. | No aplica |
| Autorizados | ||
| Nombre(s) completo(s) de la(s) persona(s) autorizada(s) para oír y recibir notificaciones | El interesado o su representante legal podrán autorizar a la persona o personas que estime pertinente para oír y recibir notificaciones, realizar trámites, gestiones y comparecencias que fueren necesarias para la tramitación de tal procedimiento, incluyendo la interposición de recursos administrativos. Comprende los siguientes campos por cada autorizado: 1) Nombre(s). Nombre completo, sin abreviaturas, del autorizado. 2) Primer apellido. Primer apellido, sin abreviaturas, del autorizado. 3) Segundo apellido. En caso de tenerlo, señalar el segundo apellido, sin abreviaturas, del autorizado. Se deberá agregar y llenar una línea por cada autorizado que se designe. | No aplica |
| Sección 3. Datos que deberá contener el reporte | ||
| Fecha de elaboración | Deberá indicar la fecha en que se elaboró el informe de mantenimiento (dd/mm/aaaa). | No aplica |
| Tecnologías de acceso afectadas | Deberá indicar las Tecnologías de Acceso que fueron afectadas por el mantenimiento. | No aplica |
| Nombre de la persona que elabora el informe | Deberá indicar el nombre completo (nombre, apellido paterno y apellido materno) de la persona que elaboró el informe de Fallas de mantenimiento. | No aplica |
| Puesto de la persona que elabora el informe | Deberá indicar el puesto de la persona que elaboró el informe de Fallas de mantenimiento. | No aplica |
| Zona geográfica del mantenimiento | Deberá indicar el lugar geográficamente que será afectado durante el proceso de mantenimiento. Precisarlo comenzando por el nivel geográfico más grande partiendo del Estado, seguido del municipio, localidad y si es posible la(s) colonia(s). | No aplica |
| Fecha del mantenimiento | Deberá indicar la fecha en que se realizará el mantenimiento (dd/mm/aaaa). | No aplica |
| Hora de finalización del mantenimiento | Deberá indicar la hora en que se concluirá el mantenimiento (hh:mm). | hh:mm |
| Sección 4. Notificaciones electrónicas | ||
| Manifestación de aceptación para recibir notificaciones de forma electrónica | Deberá indicar si el regulado acepta o no que le sean realizadas notificaciones de forma electrónica de información relativos al presente trámite | No aplica |
| Sección 5. Documentación adjunta | ||
| Documentación adjunta | Seleccione con una "X", e indique la referencia de la documentación que adjunta al formato y su referencia y número de hojas. 1. Se deberá adjuntar copia certificada de la escritura pública correspondiente con la que se acredite la identidad y alcances del representante legal del Concesionario o, en su caso, indicar sí este Instituto ya cuenta con un instrumento en el que se acredite la personalidad del promovente, así como la referencia del mismo. 2. Se deberá indicar si el IFT ya cuenta con el instrumento público o documento con el que se acredite la identidad y alcances del representante legal, indicando el numero la referencia del mismo. NOTA: Los documentos adicionales solicitados deben adjuntarse en el mismo al correo que sea enviado al correo electrónico fallas.calidad.fijo@ift.org.mx | No aplica |
| | | |
| PLAZOS A LOS QUE ESTARÁ SUJETO EL TRÁMITE |
| El plazo con que cuenta el IFT para efectuar a los interesados la prevención ante la falta de información o requisitos del trámite es de 10 días hábiles. En caso de prevención, el plazo con que cuenta el interesado para subsanar la información o documentación faltante o errónea será de no menor a 5 días hábiles. Transcurrido dicho plazo sin que el interesado haya desahogado la prevención, el IFT desechará el trámite. |
| FUNDAMENTO JURÍDICO DEL TRÁMITE |
| - Lineamiento Décimo Segundo y Anexo II de los Lineamientos que fijan los índices y parámetros de calidad a que deberán sujetarse los prestadores del servicio fijo. - Artículo 35, fracción II de la Ley Federal de Procedimiento Administrativo. |
| INFORMACIÓN ADICIONAL QUE PUEDA SER DE UTILIDAD A LOS INTERESADOS |
| El reporte de mantenimiento deberá ser entregado por los Prestadores del Servicio Fijo sin perjuicio de las obligaciones que deriven de la Ley Federal de Protección al Consumidor incluyendo las bonificaciones, compensaciones y demás atribuciones de la Procuraduría Federal del Consumidor. En caso de dudas sobre cualquiera de los elementos contenidos en este formato por favor contactar al siguiente correo electrónico: fallas.calidad.fijo@ift.org.mx utilizando el formato del trámite denominado |
| ANEXO III ENTREGA DE MAPAS DE COBERTURA DEL SERVICIO FIJO | ![]() |
| Consideraciones Generales para el llenado del presente formato. 1. Completar la información requerida en cada uno de sus rubros, conforme al tipo de procedimiento que corresponda. 2. Los campos de información y documentación que contengan un asterisco (*) como identificador son de llenado obligatorio. No obstante lo anterior, se recomienda el llenado de todos los campos contenidos en este formato para una mejor evaluación de su solicitud. 3. Podrá llenar el presente con letra molde legible, preferentemente en tinta azul, con máquina de escribir o computadora. Una vez completado el formato, y de ser el caso, deberá imprimirlo para su suscripción y posterior presentación ante la Oficialía de Partes Común del Instituto Federal de Telecomunicaciones . 4. Para cualquier duda respecto a la información que habrá que proporcionar en cada uno de los rubros se sugiere consultar el instructivo del presente formato . 5. El formato no será válido si presenta tachaduras o enmendaduras en la información. 6. Ampliar los recuadros en caso de requerirse. | ||||||||
| INSTITUTO FEDERAL DE TELECOMUNICACIONES (IFT) Unidad de Cumplimiento Av. Insurgentes Sur No. 1143, Col. Nochebuena, Demarcación Territorial Benito Juárez, C.P. 03720, Ciudad de México, México Tel. 55-5015-4000 www.ift.org.mx
| ||||||||
| SECCIÓN 1. TIPO DE PROCEDIMIENTO | ||||||||
| Procedimiento* (Sólo debe seleccionar una opción) | ||||||||
| Inicio de trámite | Desahogo de prevención Oficio IFT: _________________________ Fecha oficio IFT: _________________________ DD/MM/AAAA | Alcance Folio de Acuse: _________________________ Fecha de Acuse: ________________________ DD/MM/AAAA | ||||||
| SECCIÓN 2. DATOS GENERALES DEL REGULADO | ||||||||
| Datos generales del Regulado | ||||||||
| Nombre o razón social del Regulado*: | ________________ _________________ ___________________ Nombre (s) Primer apellido Segundo apellido | |||||||
| Folio FET*: | | Servicios que presta*: | | Cobertura*: | | |||
| Representante legal | ||||||||
| Nombre del Representante Legal*: | _______________ _________________ ___________________ Nombre (s) Primer apellido Segundo apellido | |||||||
| Domicilio para oír y recibir notificaciones | ||||||||
| Calle y No. exterior e interior*: | | Colonia*: | | |||||
| Municipio o Demarcación Territorial*: | | Entidad Federativa*: | | |||||
| Código Postal*: | | Correo electrónico*: | | |||||
| Teléfono oficina*: | | Teléfono móvil: | | |||||
| Autorizados (Agregar tantos autorizados sean necesarios) | ||||||||
| Nombre(s) completo(s) de la(s) persona(s)autorizada(s) para oír y recibir notificaciones: | ________________ _________________ ___________________ Nombre (s) Primer apellido Segundo apellido | |||||||
| ________________ _________________ ___________________ Nombre (s) Primer apellido Segundo apellido | ||||||||
| SECCIÓN 3. DATOS DEL TRÁMITE | |||||||||||
| Los Mapas de Cobertura del Servicio Fijo deberán entregarse al IFT en el formato y con las características que a continuación se señalan y de manera adjunta al presente formato.
| |||||||||||
| Seleccione con una "X" el semestre que reporta. 1er. Semestre 2do. Semestre | Seleccione con una "X" el medio de presentación de la información y la cantidad de estos (USB o CD) que se entregan. USB Cantidad __________ CD Cantidad __________ Nota.- Los Mapas de Cobertura del Servicio Fijo deberán ser remitidos en medio electrónico de almacenamiento con formato de mapa con archivo Arcview (.shp) o Mapinfo (.tab). | ||||||||||
| SECCIÓN 4. DOCUMENTACIÓN QUE DEBERÁ ADJUNTARSE AL PRESENTE FORMATO | |||||||||||
| |||||||||||
| Asimismo, declaro bajo protesta de decir verdad, que la información contenida en el presente formato es correcta y concuerda con los documentos que se anexan al mismo, quedando apercibido de las penas en que incurren las personas que declaran con falsedad ante una autoridad distinta de la judicial, en los términos de lo dispuesto por el artículo 247, fracción I, del Código Penal Federal. Asimismo, quedo enterado de los términos, condiciones y plazos de este procedimiento por lo que no tengo duda alguna y estoy conforme con ello. AVISO DE PRIVACIDAD SIMPLIFICADO |
| Responsable del tratamiento El Instituto Federal de Telecomunicaciones (IFT), a través de la Dirección de Supervisión de Telecomunicaciones. Datos recabados: · Nombres de personas físicas y denominación o razón social de personas morales · Teléfono (celular y/o particular) · Correo electrónico · Nacionalidad · Registro Federal de Contribuyentes · Clave Única de Registro de Población · Domicilio para oír y recibir notificaciones · Información técnica y económica. · Documentación que acredita personalidad: - Para persona física: INE, Cédula profesional, Pasaporte, acta de nacimiento, certificado de nacionalidad mexicana, carta de naturalización, pasaporte vigente, cédula de identidad ciudadana, matricula consular o cartilla liberada del servicio militar nacional. - Para persona moral: testimonio o copia certificada de la escritura pública en la que conste el acta constitutiva y compulsa de los estatutos sociales vigentes. · Comprobante de domicilio. · Escritura pública con los poderes suficientes para representar al interesado. Las finalidades del tratamiento para las cuales se obtienen los datos personales · Notificar y contactar a los Interesados en su caso, respecto del correspondiente trámite. Transferencias de datos personales El IFT, a través de la Dirección de Supervisión de Telecomunicaciones, no llevará a cabo tratamiento de datos personales para finalidades distintas a las expresamente señaladas en este aviso de privacidad, ni realizará transferencias de datos personales a otros responsables, de carácter público o privado, salvo aquéllas que sean estrictamente necesarias para atender requerimientos de información de una autoridad competente, que estén debidamente fundados y motivados. Estas transferencias no requerirán el consentimiento del titular, de conformidad con lo dispuesto por el artículo 22, fracciones I, II y III, de la LGPDPPSO. Ejercicio de los derechos ARCO Para ejercer sus derechos (ARCO) de Acceso, Rectificación, Cancelación y Oposición al tratamiento de los datos personales establecidos en la LGPDPPSO; deberá hacerlos a través de la Unidad de Transparencia del Instituto Federal de Telecomunicaciones ubicada en la Planta Baja, del Edificio Sede con domicilio en Insurgentes Sur #1143, Col. Nochebuena, Demarcación Territorial Benito Juárez, Ciudad de México, C.P. 03720, a los teléfonos 5015 4598 y 5015 2200, o al correo electrónico unidad.transparencia@ift.org.mx Aviso de privacidad Integral El Aviso de Privacidad integral se encuentra disponible físicamente en las oficinas de la Dirección de Supervisión de Telecomunicaciones del IFT y electrónicamente en el micrositio "Avisos de privacidad": http://www.ift.org.mx/avisos-de-privacidad, medios a través de los cuales el IFT comunicará a los titulares de los datos los cambios al aviso de privacidad. |
| Firma: __________________________________________________________ Nombre: ________________________________________________________ (Nombre y firma del interesado o de su representante legal) |
| INSTRUCTIVO DE LLENADO | ||
| Nombre del campo | Descripción del campo | Unidad de medida |
| Sección 1. Tipo de procedimiento | ||
| Lugar y Fecha | Deberá indicar el lugar y la fecha de presentación de la solicitud. | No aplica |
| Procedimiento | Aquí se debe especificar seleccionando con un "X" si se trata de: 1) Inicio de trámite. La primera vez que se realiza la entrega de información. 2) Desahogo de prevención. La atención que realiza el interesado ante la prevención efectuada por el Instituto por falta de información (datos o documentos) solicitada en el presente formato. Deberá indicar el número y la fecha del oficio mediante el cual el Instituto emitió la prevención de información. En este caso, deberá señalar exclusivamente los campos solicitados en el oficio de prevención que le notificó el Instituto. 3) Alcance. Entrega de información (datos o documentos) adicional a la entregada previamente. Deberá indicar el folio y la fecha señalados por la Oficialía de Partes Común del Instituto, en su Acuse de recibido del documento mediante el cual inició el trámite. | No aplica |
| Sección 2. Datos generales del regulado | ||
| Datos Generales del Regulado | ||
| Nombre o razón social del Concesionario | Indique el nombre completo de la persona física o moral a quien se otorgó el Instrumento habilitante (título de concesión, Concesión única, Autorización o permiso) | No aplica |
| Folio FET (Folio Electrónico de Telecomunicaciones) | Indique el (los ) folio (s) que corresponde (n) al instrumento (s) habilitante (s) tal como aparece en la página electrónica del Registro Público de Concesiones. | No aplica |
| Servicios que presta | Indique el(los) servicio(s) que se encuentra prestando. | No aplica |
| Cobertura | Indique el área de cobertura en la cual se encuentra prestando el servicio(s). | No aplica |
| Representante legal | ||
| Nombre del Representante Legal | Los interesados podrán actuar por sí o por medio de representante legal. La representación permite formular solicitudes, participar en el procedimiento administrativo, desistirse y renunciar a derechos, para lo cual deberá acreditarse mediante instrumento público. Comprende los siguientes campos: 1) Nombre(s). Nombre completo, sin abreviaturas, del representante legal o apoderado. 2) Primer apellido. Primer apellido, sin abreviaturas, del representante legal o apoderado. 3) Segundo apellido. En caso de tenerlo, señalar el segundo apellido, sin abreviaturas, del representante legal o apoderado. | No aplica |
| Domicilio para oír y recibir notificaciones | ||
| Calle y No. exterior e interior | Denominación o nombre completo, sin abreviaturas, de la vialidad en la que se ubique el domicilio para oír o recibir notificaciones, así como el número exterior o interior que corresponde a dicho domicilio. | No aplica |
| Colonia | Denominación o nombre completo, sin abreviaturas, de la localidad o asentamiento humano que corresponda al domicilio para oír o recibir notificaciones. | No aplica |
| Municipio o Demarcación Territorial | Nombre completo, sin abreviaturas, del municipio o demarcación territorial que corresponda al domicilio para oír o recibir notificaciones. | No aplica |
| Entidad Federativa | Entidad federativa en donde se encuentra el domicilio del representante legal. | No aplica |
| Código Postal | Número completo del código postal que corresponda al domicilio para oír o recibir notificaciones. | No aplica |
| Correo electrónico | Dirección de una cuenta de correo electrónico, mediante la cual se puede enviar y recibir mensajes de datos y documentos electrónicos relacionados, a través de los dispositivos tecnológicos que permiten efectuar la transmisión y recepción de mensajes de datos y documentos electrónicos. | |
| Teléfono fijo | Número(s) telefónico(s) fijo a 10 dígitos del Representante Legal. | No aplica |
| Teléfono móvil | Número(s) telefónico(s) móvil a 10 dígitos del Representante Legal. | No aplica |
| Autorizados | ||
| Nombre(s) completo(s) de la(s) persona(s) autorizada(s) para oír y recibir notificaciones | El interesado o su representante legal podrán autorizar a la(s) persona(s) que estime(n) pertinente(s) para oír y recibir notificaciones, realizar trámites, gestiones y comparecencias que fueren necesarias para la tramitación de tal procedimiento, incluyendo la interposición de recursos administrativos. Comprende los siguientes campos por cada autorizado: 1) Nombre(s). Nombre completo, sin abreviaturas, del autorizado. 2) Primer apellido. Primer apellido, sin abreviaturas, del autorizado. 3) Segundo apellido. En caso de tenerlo, señalar el segundo apellido, sin abreviaturas, del autorizado. Se deberá llenar una línea por cada autorizado que se designe. | No aplica |
| Sección 3. Datos del trámite | ||
| Periodo que se reporta | Indicar para que periodo se reporta la información presentada (1er semestre o 2do semestre) | No aplica |
| Medio de presentación de la información | Indicar el número de dispositivos electrónicos que entrega. Los Mapas de Cobertura del Servicio Fijo deberán ser remitidos en medio electrónico de almacenamiento con formato de mapa con archivo Arcview (.shp) o Mapinfo (.tab). | No aplica |
| Sección 4. Notificaciones electrónicas | ||
| Manifestación de aceptación para recibir notificaciones de forma electrónica | Deberá indicar si el regulado acepta o no que le sean realizadas notificaciones de forma electrónica de información relativos al presente trámite | No aplica |
| Sección 4. Documentación que deberá adjuntarse al presente formato | ||
| Documentación adjunta | Seleccione con una "X", e indique la referencia de la documentación que adjunta al formato y el número del instrumento y número de hojas. 1. Se deberá adjuntar al formato entregado, si le resulta aplicable, copia certificada de la escritura pública correspondiente con la que se acredite la identidad y alcances del representante legal del Concesionario o, en su caso, indicar sí este Instituto ya cuenta con un instrumento en el que se acredite la personalidad del promovente, así como la referencia del mismo. Indicar el número del instrumento público y número de hojas del mismo. * 2. Se deberá adjuntar al formato entregado, una memoria USB o un disco magnético que contenga los archivos electrónicos en formato Arcview (.shp) o Mapinfo (.tab), relativos a los Mapas de Cobertura del Servicio Fijo. Indicar el número de archivos o mapas contenidos en la memoria USB o un disco magnético.* | No aplica |
| | | |
| PLAZOS A LOS QUE ESTARÁ SUJETO EL TRÁMITE | ||
| El cumplimiento de la obligación es una actualización de información que no requiere respuesta por parte del Instituto Federal de Telecomunicaciones. El plazo con que cuenta el IFT para efectuar a los interesados la prevención ante la falta de información o requisitos del trámite es de 10 días hábiles. En caso de prevención, el plazo con que cuenta el interesado para subsanar la información o documentación faltante o errónea será de no menor a 5 días hábiles. Transcurrido dicho plazo sin que el interesado haya desahogado la prevención, el IFT desechará el trámite. | ||
| FUNDAMENTO JURÍDICO DEL TRÁMITE | ||
| - Artículo 292, tercer párrafo de la Ley Federal de Telecomunicaciones y Radiodifusión. - Lineamiento Décimo Séptimo de los "Lineamientos que fijan los índices y parámetros de calidad a que deberán sujetarse los prestadores del servicio fijo". | ||
| INFORMACIÓN ADICIONAL QUE PUEDA SER DE UTILIDAD A LOS INTERESADOS | ||
| Los Mapas de Cobertura del Servicio Fijo deberán ser remitidos en medio electrónico de almacenamiento con formato de mapa con archivo Arcview (.shp) o Mapinfo (.tab). En caso de requerir el acuse de recibo correspondiente, deberá presentar una copia del escrito mediante el cual realice la presentación de su solicitud |
| ANEXO IV REPORTE DE CALIDAD DEL SERVICIO DE TELEFONÍA FIJA Y EN LA ATENCIÓN DE FALLAS | ![]() |
| Consideraciones Generales para el llenado del presente formato. 1. Completar la información requerida en cada uno de sus rubros, conforme a la modalidad que corresponda. 2. Los campos de información y documentos que contengan un asterisco (*) son de llenado obligatorio. No obstante lo anterior, se recomienda el llenado de todos los campos contenidos en este formato, a efecto de que el Instituto Federal de Telecomunicaciones (IFT) pueda otorgar una respuesta más expedita. 3. Podrá llenar el presente con letra molde legible, preferentemente en tinta azul, o con máquina de escribir o computadora. Una vez completado el formato, y de ser el caso, deberá imprimirlo para su suscripción y posterior presentación ante la Oficialía de Partes Común del IFT. 4. Consultar el instructivo del presente formato para cualquier duda respecto a la información que habrá que proporcionar en cada uno de los rubros. 5. El formato no será válido si presenta tachaduras o enmendaduras en la información. 6. Ampliar los recuadros en caso de requerirse. | |
| INSTITUTO FEDERAL DE TELECOMUNICACIONES (IFT) Unidad de Cumplimiento Av. Insurgentes Sur No. 1143, Col. Nochebuena, Demarcación Territorial Benito Juárez, C.P. 03720, Ciudad de México, México Tel. 55-5015-4000 www.ift.org.mx
| ||||||||
| SECCIÓN 1. TIPO DE PROCEDIMIENTO | ||
| Procedimiento* (Sólo debe seleccionar una opción) | ||
| Inicio de trámite | Desahogo de prevención Oficio IFT: _________________________ Fecha oficio IFT: _________________________ DD/MM/AAAA | Alcance Folio de Acuse: _________________________ Fecha de Acuse: ________________________ DD/MM/AAAA |
| SECCIÓN 2. DATOS GENERALES DEL REGULADO | ||||||||
| Datos generales del Regulado | ||||||||
| Nombre o razón social del Regulado*: | _________________ ___________________ ___________________ Nombre (s) Primer apellido Segundo apellido | |||||||
| Folio FET*: | | Servicios que presta*: | | Cobertura*: | | |||
| Representante legal | ||||||||
| Nombre del Representante Legal*: | _______________ ___________________ ___________________ Nombre (s) Primer apellido Segundo apellido | |||||||
| Domicilio para oír y recibir notificaciones | ||||||||
| Calle y No. exterior e interior*: | | Colonia*: | | |||||
| Municipio o Demarcación Territorial*: | | Entidad Federativa*: | | |||||
| Código Postal*: | | Correo electrónico*: | | |||||
| Teléfono oficina*: | | Teléfono móvil: | | |||||
| Autorizados (Agregar las filas que considere necesarias) | ||||||||
| Nombre(s) completo(s) de la(s) persona(s)autorizada(s) para oír y recibir notificaciones: | _________________ ____________________ ________________ Nombre (s) Primer apellido Segundo apellido | |||||||
| _________________ ____________________ ________________ Nombre (s) Primer apellido Segundo apellido | ||||||||
| SECCIÓN 3. DATOS DEL REPORTE (Insertar el número de filas necesarias) | |||||
| Información del Reporte de Calidad del Servicio de Telefonía Fija y de la Atención de Fallas* | |||||
| Año* | Mes* | Nombre o razón social del Regulado* | Categoría* | Parámetro* | Valor* |
| AAAA | MM | | Tel_Fija | Proporción de intentos exitosos de Llamadas locales | |
| | | | Tel_Fija | Proporción de intentos exitosos de Llamadas locales | |
| | | | Tel_Fija | Proporción de intentos exitosos de Llamadas locales | |
| | | | Tel_Fija | Tiempo promedio de establecimiento de Llamada Local | |
| | | | Tel_Fija | Tiempo promedio de establecimiento de Llamada Local | |
| | | | Tel_Fija | Tiempo promedio de establecimiento de Llamada Local | |
| | | | Fallas | Proporción de Reportes de Fallas | |
| | | | Fallas | Proporción de Reportes de Fallas | |
| | | | Fallas | Proporción de Reportes de Fallas | |
| | | | Fallas | Proporción de reparación de Fallas en un día | |
| | | | Fallas | Proporción de reparación de Fallas en un día | |
| | | | Fallas | Proporción de reparación de Fallas en un día | |
| | | | Fallas | Proporción de reparación de Fallas en tres días | |
| | | | Fallas | Proporción de reparación de Fallas en tres días | |
| | | | Fallas | Proporción de reparación de Fallas en tres días | |
| | | | Fallas | Tiempo promedio de reparación del Servicio Fijo | |
| | | | Fallas | Tiempo promedio de reparación del Servicio Fijo | |
| | | | Fallas | Tiempo promedio de reparación del Servicio Fijo | |
| | | | Fallas | Proporción de Teléfonos públicos fuera de servicio | |
| | | | Fallas | Proporción de Teléfonos públicos fuera de servicio | |
| | | | Fallas | Proporción de Teléfonos públicos fuera de servicio | |
| SECCIÓN 4. DOCUMENTACIÓN QUE DEBERÁ ADJUNTARSE AL PRESENTE FORMATO | |||||||||||||||||||||
| |||||||||||||||||||||
| |
| |
| |
| |
| |||||||||
| Asimismo, declaro bajo protesta de decir verdad, que la información contenida en el presente formato es correcta y concuerda con los documentos que se anexan al mismo, quedando apercibido de las penas en que incurren las personas que declaran con falsedad ante una autoridad distinta de la judicial, en los términos de lo dispuesto por el artículo 247, fracción I, del Código Penal Federal. Asimismo, quedo enterado de los términos, condiciones y plazos de este procedimiento por lo que no tengo duda alguna y estoy conforme con ello. AVISO DE PRIVACIDAD SIMPLIFICADO |
| Responsable del tratamiento El Instituto Federal de Telecomunicaciones (IFT), a través de la Dirección de Supervisión de Telecomunicaciones. Datos recabados: · Nombres de personas físicas y denominación o razón social de personas morales · Teléfono (celular y/o particular) · Correo electrónico · Nacionalidad · Registro Federal de Contribuyentes · Clave Única de Registro de Población · Domicilio para oír y recibir notificaciones · Información técnica y económica. · Documentación que acredita personalidad: - Para persona física: INE, Cédula profesional, Pasaporte, acta de nacimiento, certificado de nacionalidad mexicana, carta de naturalización, pasaporte vigente, cédula de identidad ciudadana, matricula consular o cartilla liberada del servicio militar nacional. - Para persona moral: testimonio o copia certificada de la escritura pública en la que conste el acta constitutiva y compulsa de los estatutos sociales vigentes. · Comprobante de domicilio. · Escritura pública con los poderes suficientes para representar al interesado. Las finalidades del tratamiento para las cuales se obtienen los datos personales · Notificar y contactar a los Interesados en su caso, respecto del correspondiente trámite. Transferencias de datos personales El IFT, a través de la Dirección de Supervisión de Telecomunicaciones, no llevará a cabo tratamiento de datos personales para finalidades distintas a las expresamente señaladas en este aviso de privacidad, ni realizará transferencias de datos personales a otros responsables, de carácter público o privado, salvo aquéllas que sean estrictamente necesarias para atender requerimientos de información de una autoridad competente, que estén debidamente fundados y motivados. Estas transferencias no requerirán el consentimiento del titular, de conformidad con lo dispuesto por el artículo 22, fracciones I, II y III, de la LGPDPPSO. Ejercicio de los derechos ARCO Para ejercer sus derechos (ARCO) de Acceso, Rectificación, Cancelación y Oposición al tratamiento de los datos personales establecidos en la LGPDPPSO; deberá hacerlos a través de la Unidad de Transparencia del Instituto Federal de Telecomunicaciones ubicada en la Planta Baja, del Edificio Sede con domicilio en Insurgentes Sur #1143, Col. Nochebuena, Demarcación Territorial Benito Juárez, Ciudad de México, C.P. 03720, a los teléfonos 5015 4598 y 5015 2200, o al correo electrónico unidad.transparencia@ift.org.mx Aviso de privacidad Integral El Aviso de Privacidad integral se encuentra disponible físicamente en las oficinas de la Dirección de Supervisión de Telecomunicaciones del IFT y electrónicamente en el micrositio "Avisos de privacidad": http://www.ift.org.mx/avisos-de-privacidad, medios a través de los cuales el IFT comunicará a los titulares de los datos los cambios al aviso de privacidad. |
| Firma: __________________________________________________________ Nombre: ________________________________________________________ (Nombre y firma del interesado o de su representante legal) |
| INSTRUCTIVO DE LLENADO | ||
| Nombre del campo | Descripción del campo | Unidad de medida |
| Sección 1. Tipo de procedimiento | ||
| Lugar y Fecha | Deberá indicar el lugar y la fecha de presentación de la solicitud. | No aplica |
| Procedimiento | Aquí se debe especificar seleccionando con un "X" si se trata de: 1) Entrega de información (la primera vez que se realiza la entrega de información para el periodo requerido). 2) Alcance. Entrega de información (datos o documentos) adicional a la entregada previamente. Deberá indicar el folio y la fecha señalados por la Oficialía de Partes Común del Instituto, en su Acuse de recibido del documento que pretende complementar. 3) Desahogo de prevención (escrito de atención a la prevención realizada por el IFT, posterior a una notificación de requerimiento o a la omisión de algún requisito dentro de la información presentada). Indicar el número del oficio contenido en la prevención que se atiende. Indicar la fecha en que le fue notificada la prevención. | No aplica |
| Sección 2. Datos generales del regulado | ||
| Datos Generales del Regulado | ||
| Nombre o razón social del Regulado | Indique el nombre completo de la persona física o moral a quien se otorgó el Instrumento habilitante (título de concesión, Concesión única, Autorización o permiso). | No aplica |
| Folio FET | Indique el folio que corresponde al instrumento (s) habilitante (s) tal como aparece en la página electrónica del Registro Público de Concesiones. | No aplica |
| Servicios que presta | Indique el(los) servicio(s) que se encuentra prestando. | No aplica |
| Cobertura | Indique el área de cobertura en la cual se encuentra prestando servicio(s). | No aplica |
| Representante legal |
| Nombre del Representante Legal | Los interesados podrán actuar por sí o por medio de representante legal. La representación permite formular solicitudes, participar en el procedimiento administrativo, interponer recursos, desistirse y renunciar a derechos, para lo cual deberá acreditarse mediante instrumento público, y en el caso de personas físicas, también mediante carta poder firmada ante dos testigos y ratificadas las firmas del otorgante y testigos ante las propias autoridades o fedatario público, o declaración en comparecencia personal del interesado. Comprende los siguientes campos: 1) Nombre(s). Nombre completo, sin abreviaturas, del representante legal o apoderado. 2) Primer apellido. Primer apellido, sin abreviaturas, del representante legal o apoderado. Segundo apellido. En caso de tenerlo, señalar el segundo apellido, sin abreviaturas, del representante legal o apoderado. | No aplica |
| Domicilio para oír y recibir notificaciones | ||
| Calle y No. exterior e interior | Nombre completo, sin abreviaturas, del tipo de vialidad que corresponda al domicilio para oír o recibir notificaciones, así como el número exterior o interior que corresponde a dicho domicilio. | No aplica |
| Colonia | Nombre completo sin abreviaturas de la colonia o asentamiento humano que corresponda al domicilio para oír o recibir notificaciones. | No aplica |
| Municipio o Demarcación Territorial | Nombre completo, sin abreviaturas, del municipio o de la demarcación territorial que corresponda al domicilio para oír o recibir notificaciones. | No aplica |
| Entidad Federativa | Entidad federativa en donde se encuentra el domicilio del representante legal. Por ejemplo: Ciudad de México, Baja California, Estado de México. | No aplica |
| Código Postal | Número completo del código postal que corresponda al domicilio para oír o recibir notificaciones. | No aplica |
| Correo electrónico | Indique una dirección de correo electrónico personal o corporativo. | |
| Teléfono fijo | Número(s) telefónico(s) fijo a 10 dígitos del Representante Legal, ejemplo: Teléfono local: 55 57 31 49 52. | No aplica |
| Teléfono móvil | Número(s) telefónico(s) móvil a 10 dígitos del Representante Legal, ejemplo: Teléfono celular: 55 13 13 12 20. | No aplica |
| Autorizados | ||
| Nombre(s) completo(s) de la(s) persona(s) autorizada(s) para oír y recibir notificaciones | El interesado o su representante legal podrán autorizar a la persona o personas que estime pertinente para oír y recibir notificaciones, realizar trámites, gestiones y comparecencias que fueren necesarias para la tramitación de tal procedimiento, incluyendo la interposición de recursos administrativos. Comprende los siguientes campos por cada autorizado: 4) Nombre(s). Nombre completo, sin abreviaturas, del autorizado. 5) Primer apellido. Primer apellido, sin abreviaturas, del autorizado. 6) Segundo apellido. En caso de tenerlo, señalar el segundo apellido, sin abreviaturas, del autorizado. Se deberá agregar y llenar una línea por cada autorizado que se designe. | No aplica |
| Sección 3. Datos del Reporte | ||
| Información del Reporte de Calidad del Servicio de Telefonía Fija y de la Atención de Fallas | ||
| Año | Deberá indicar el año, en número, correspondiente a los datos reportados (aaaa) del trimestre correspondiente. | No aplica |
| Mes | Deberá indicar el mes, en número, correspondiente a los datos reportados (mm) del trimestre correspondiente. | No aplica |
| Nombre o razón social del Regulado | Indique el nombre completo de la persona física o moral a quien se otorgó el Instrumento habilitante (título de concesión, Concesión única, Autorización o permiso). Debe ser el mismo nombre solicitado en la Sección 2 y sin utilizar signos de puntuación. | No aplica |
| Categoría | Indicar si se trata de un parámetro de Telefonía Fija o un parámetro de las Fallas utilizando únicamente los textos "Tel_Fija" y "Fallas", respectivamente. | No aplica |
| Parámetro | Indicar el nombre de todos los parámetros establecidos para Telefonía Fija y De las Fallas, para cada mes reportado del trimestre correspondiente. Utilizar los mismos nombres establecidos en los presentes Lineamientos que se especifican a continuación: · Para EL SERVICIO DE TELEFONÍA FIJA Proporción de intentos exitosos de Llamadas locales Tiempo promedio de establecimiento de Llamada Local · Para LAS FALLAS Proporción de Reportes de Fallas Proporción de reparación de Fallas en un día Proporción de reparación de Fallas en tres días Tiempo promedio de reparación del Servicio Fijo Proporción de Teléfonos públicos fuera de servicio | No aplica |
| Valor | Indicar los valores obtenidos para cada uno de los parámetros establecidos para Telefonía Fija y De las Fallas por mes reportado. Utilizar valores decimales, con 5 decimales, para los parámetros correspondientes a proporciones, por ejemplo, 0.86755, 0.96198, y valores enteros, con 3 decimales, para los parámetros correspondientes a los tiempos, por ejemplo, 10.385, 15,977. | Numérico |
| | | |
| PLAZOS A LOS QUE ESTARÁ SUJETO EL TRÁMITE | ||
| El plazo con que cuenta el IFT para efectuar a los interesados la prevención ante la falta de información o requisitos del trámite es de 10 días hábiles. En caso de prevención, el plazo con que cuenta el interesado para subsanar la información o documentación faltante o errónea será de no menor a 5 días hábiles. Transcurrido dicho plazo sin que el interesado haya desahogado la prevención, el IFT desechará el trámite. | ||
| FUNDAMENTO JURÍDICO DEL TRÁMITE | ||
| - Lineamiento Cuarto, Quinto, Octavo, Noveno y Vigésimo de los Lineamientos que fijan los índices y parámetros de calidad a que deberán sujetarse los prestadores del servicio fijo. - Artículo 35, fracción II de la Ley Federal de Procedimiento Administrativo. | ||
| INFORMACIÓN ADICIONAL QUE PUEDA SER DE UTILIDAD A LOS INTERESADOS | ||
| En caso de dudas sobre cualquiera de los elementos contenidos en este formato por favor contactar al siguiente correo electrónico: fallas.calidad.fijo@ift.org.mx utilizando el formato del trámite denominado | ||
| ANEXO V ENTREGA DE INFORMACIÓN A TRAVÉS DE LA VENTANILLA ELECTRÓNICA DEL INSTITUTO. | ![]() |
| Consideraciones generales para el llenado del presente formato. 1. Completar la información requerida en cada uno de los rubros, conforme al tipo de procedimiento que corresponda. 2. Los campos de información y documentos que contengan un asterisco (*) como identificador son de carácter obligatorio. No obstante lo anterior, se recomienda el llenado de todos los campos contenidos en este formato para una mejor evaluación de su solicitud. 3. Podrá llenar el presente con letra molde legible, preferentemente en tinta azul, máquina de escribir o a computadora. Una vez completado el formato, y de ser el caso, deberá imprimirlo para su suscripción y posterior presentación ante la Oficialía de Partes Común del Instituto Federal de Telecomunicaciones. 4. Para cualquier duda respecto a la información que habrá que proporcionar en cada uno de los rubros, consultar el instructivo del presente formato. 5. El formato no será válido si presenta tachaduras o enmendaduras en su información. | |
| INSTITUTO FEDERAL DE TELECOMUNICACIONES (IFT) Unidad de Cumplimiento Av. Insurgentes Sur No. 1143, Col. Nochebuena, Demarcación Territorial Benito Juárez, C.P. 03720, Ciudad de México, México Tel. 55-5015-4000 www.ift.org.mx |
| ||||||||
| SECCIÓN 1. TIPO DE PROCEDIMIENTO | ||||||||
| Procedimiento* (Sólo debe seleccionar una opción) | ||||||||
| Inicio de trámite | Desahogo de prevención Oficio IFT: _________________________ Fecha oficio IFT: _________________________ DD/MM/AAAA | Alcance Folio de Acuse: _________________________ Fecha de Acuse: ________________________ DD/MM/AAAA | ||||||
| SECCIÓN 2. DATOS GENERALES DEL SOLICITANTE | |||
| Datos generales del Concesionario | |||
| Nombre o razón social del Prestador del Servicio Fijo *: | __________________ ___________________ ___________________ Nombre (s) Primer apellido Segundo apellido | ||
| Representante legal | |||
| Nombre del Representante Legal*: | __________________ ___________________ ___________________ Nombre (s) Primer apellido Segundo apellido | ||
| Domicilio para oír y recibir notificaciones | |||
| Calle y No. exterior e interior*: | | Colonia*: | |
| Municipio o Demarcación Territorial*: | | Entidad Federativa*: | |
| Código Postal*: | | Correo electrónico*: | |
| Teléfono oficina*: | | Teléfono móvil: | |
| Autorizados (Agregar las filas que considere necesarias) | |||
| Nombre(s) completo(s) de la(s) persona(s)autorizada(s) para oír y recibir notificaciones: | __________________ ___________________ ___________________ Nombre (s) Primer apellido Segundo apellido | ||
| __________________ ___________________ ___________________ Nombre (s) Primer apellido Segundo apellido | |||
| SECCIÓN 3. DOCUMENTACIÓN QUE DEBERÁ ADJUNTARSE AL PRESENTE FORMATO (Sólo los documentos que contengan un asterisco (*) deberán presentarse de manera obligatoria para la resolución del presente trámite) | ||||||
| ||||||
| ||||||||||||||||||||||||||||||
| Asimismo, declaro bajo protesta de decir verdad, que la información contenida en el presente formato es correcta y concuerda con los documentos que se anexan al mismo, quedando apercibido de las penas en que incurren las personas que declaran con falsedad ante una autoridad distinta de la judicial, en los términos de lo dispuesto por el artículo 247, fracción I, del Código Penal Federal. Asimismo, quedo enterado de los términos, condiciones y plazos de este procedimiento por lo que no tengo duda alguna y estoy conforme con ello. AVISO DE PRIVACIDAD SIMPLIFICADO | ||||||||||||||||||||||||||||||
| Responsable del tratamiento El Instituto Federal de Telecomunicaciones (IFT), a través de la Dirección de Supervisión de Telecomunicaciones. Datos recabados: · Nombres de personas físicas y denominación o razón social de personas morales · Teléfono (celular y/o particular) · Correo electrónico · Nacionalidad · Registro Federal de Contribuyentes · Clave Única de Registro de Población · Domicilio para oír y recibir notificaciones · Información técnica y económica. · Documentación que acredita personalidad: - Para persona física: INE, Cédula profesional, Pasaporte, acta de nacimiento, certificado de nacionalidad mexicana, carta de naturalización, pasaporte vigente, cédula de identidad ciudadana, matricula consular o cartilla liberada del servicio militar nacional. - Para persona moral: testimonio o copia certificada de la escritura pública en la que conste el acta constitutiva y compulsa de los estatutos sociales vigentes. · Comprobante de domicilio. · Escritura pública con los poderes suficientes para representar al interesado. Las finalidades del tratamiento para las cuales se obtienen los datos personales · Notificar y contactar a los Interesados en su caso, respecto del correspondiente trámite. Transferencias de datos personales El IFT, a través de la Dirección de Supervisión de Telecomunicaciones, no llevará a cabo tratamiento de datos personales para finalidades distintas a las expresamente señaladas en este aviso de privacidad, ni realizará transferencias de datos personales a otros responsables, de carácter público o privado, salvo aquéllas que sean estrictamente necesarias para atender requerimientos de información de una autoridad competente, que estén debidamente fundados y motivados. Estas transferencias no requerirán el consentimiento del titular, de conformidad con lo dispuesto por el artículo 22, fracciones I, II y III, de la LGPDPPSO. Ejercicio de los derechos ARCO Para ejercer sus derechos (ARCO) de Acceso, Rectificación, Cancelación y Oposición al tratamiento de los datos personales establecidos en la LGPDPPSO; deberá hacerlos a través de la Unidad de Transparencia del Instituto Federal de Telecomunicaciones ubicada en la Planta Baja, del Edificio Sede con domicilio en Insurgentes Sur #1143, Col. Nochebuena, Demarcación Territorial Benito Juárez, Ciudad de México, C.P. 03720, a los teléfonos 5015 4598 y 5015 2200, o al correo electrónico unidad.transparencia@ift.org.mx Aviso de privacidad Integral El Aviso de Privacidad integral se encuentra disponible físicamente en las oficinas de la Dirección de Supervisión de Telecomunicaciones del IFT y electrónicamente en el micrositio "Avisos de privacidad": http://www.ift.org.mx/avisos-de-privacidad, medios a través de los cuales el IFT comunicará a los titulares de los datos los cambios al aviso de privacidad. |
| Firma: __________________________________________________________ Nombre: ________________________________________________________ (Nombre y firma del interesado o de su representante legal) |
| INSTRUCTIVO DE LLENADO | ||
| Nombre del campo | Descripción del campo | Unidad de medida |
| Sección 1. Tipo de procedimiento | ||
| Lugar y Fecha | Deberá indicar el lugar y la fecha de presentación de la solicitud. | No aplica |
| Procedimiento | Seleccione una opción y marque con una "X" únicamente el tipo de procedimiento que iniciará: 1) Inicio de trámite o servicio. La primera vez que se realiza la entrega de información. 2) Desahogo de prevención. La atención que realiza el interesado ante la prevención efectuada por el Instituto por falta de información (datos o documentos) solicitada en el presente formato. Deberá indicar el número y la fecha del oficio mediante el cual el Instituto emitió la prevención de información. En este caso, deberá señalar exclusivamente los campos solicitados en el oficio de prevención que le notificó el Instituto. 3) Alcance. Entrega de información (datos o documentos) adicional a la entregada previamente. Deberá indicar el folio y la fecha señalados por la Oficialía de Partes Común del Instituto, en su Acuse de recibo del documento mediante el cual inició el trámite. | No aplica |
| Sección 2. Datos generales del regulado | ||
| Datos Generales del Regulado | ||
| Nombre o razón social del Prestador del Servicio Fijo | Indique el nombre completo del Prestador del Servicio Fijo. | No aplica |
| Representante legal | ||
| Nombre del Representante Legal | Los interesados podrán actuar por sí o por medio de representante legal. La representación permite formular solicitudes, participar en el procedimiento administrativo, desistirse y renunciar a derechos, para lo cual deberá acreditarse mediante instrumento público, y en el caso de personas físicas, también mediante carta poder firmada ante dos testigos y ratificadas las firmas del otorgante y testigos ante las propias autoridades o fedatario público, o declaración en comparecencia personal del interesado. Comprende los siguientes campos: 1) Nombre(s). Nombre completo, sin abreviaturas, del representante legal o apoderado. 2) Primer apellido. Primer apellido, sin abreviaturas, del representante legal o apoderado. 3) Segundo apellido. En caso de tenerlo, señalar el segundo apellido, sin abreviaturas, del representante legal o apoderado. | No aplica |
| Domicilio para oír y recibir notificaciones | ||
| Calle y No. exterior e interior | Denominación o nombre completo, sin abreviaturas, de la vialidad en la que se ubique el domicilio para oír o recibir notificaciones, así como el número exterior o interior que corresponde a dicho domicilio. | No aplica |
| Colonia | Denominación o nombre completo, sin abreviaturas, de la localidad o asentamiento humano que corresponda al domicilio para oír o recibir notificaciones. | No aplica |
| Municipio o Demarcación Territorial | Nombre completo, sin abreviaturas, del municipio o demarcación territorial que corresponda al domicilio para oír o recibir notificaciones. | No aplica |
| Entidad Federativa | Entidad federativa donde se encuentra el domicilio del representante legal. | No aplica |
| Código Postal | Número completo del código postal que corresponda al domicilio para oír o recibir notificaciones. | No aplica |
| Correo electrónico | Dirección de una cuenta de correo electrónico, mediante la cual se puede enviar y recibir mensajes de datos y documentos electrónicos relacionados, a través de los dispositivos tecnológicos que permiten efectuar la transmisión y recepción de mensajes de datos y documentos electrónicos. | No aplica |
| Teléfono fijo | Número(s) telefónico(s) fijo a 10 dígitos del Representante Legal. | No aplica |
| Teléfono móvil | Número(s) telefónico(s) móvil a 10 dígitos del Representante Legal. | No aplica |
| Autorizados | ||
| Nombre(s) completo(s) de la(s) persona(s) autorizada(s) para oír y recibir notificaciones | El interesado o su representante legal podrán autorizar a la(s) persona(s) que estime(n) pertinente(s) para oír y recibir notificaciones, realizar trámites, gestiones y comparecencias que fueran necesarias para la tramitación de tal procedimiento. Comprende los siguientes campos por cada autorizado: 1) Nombre(s). Nombre completo, sin abreviaturas, del autorizado. 2) Primer apellido. Primer apellido, sin abreviaturas, del autorizado. 3) Segundo apellido. En caso de tenerlo, señalar el segundo apellido, sin abreviaturas, del autorizado. Se deberá llenar una línea por cada autorizado que se designe. | No aplica |
| Sección 3. Documentación que deberá adjuntarse al presente formato | ||
| Documentación adjunta | Seleccione con una "X" e indique la referencia de la documentación que adjunta al formato. | |
| Reporte de fallas en parte o en la totalidad de la red que hagan imposible la prestación del servicio ofrecido | Reporte de acuerdo al formato establecido en el Anexo II utilizado para reportar las fallas de red. | No aplica |
| Reporte de mantenimientos preventivos o reparación que impliquen la ausencia del servicio fijo | Reporte de acuerdo al formato establecido en el Anexo II utilizado para reportar los mantenimientos. | No aplica |
| Reporte de calidad del servicio de telefonía fija y en la atención de fallas | Reporte de acuerdo al formato establecido en el Anexo III utilizado para reportar los valores de los parámetros de telefonía fija y de las fallas. | No aplica |
| Entrega de mapas de cobertura del servicio fijo | Reporte de acuerdo al formato establecido en el Anexo IV utilizado para la entrega de los mapas de cobertura del servicio fijo de los prestadores del servicio. | No aplica |
| Otros | En caso de requerir se deberá señalar la documentación adicional así como si se trata de una copia simple o, certificada. | No aplica |
| | | |
| PLAZOS A LOS QUE ESTARÁ SUJETO EL TRÁMITE | ||
| A razón de que el presente trámite corresponde a un aviso, mediante el cual se da cumplimiento a una obligación de presentación documental ante el Instituto Federal de Telecomunicaciones, no se emitirá una respuesta específica por parte de este último. La prevención de información faltante deberá hacerse dentro de los 10 días hábiles siguientes a la presentación del escrito correspondiente, en caso de que el regulado no cumpla con la totalidad de los requisitos solicitados. En caso de prevención, el plazo con que cuenta el interesado para subsanar la información o documentación faltante o errónea será de 10 días hábiles. Transcurrido dicho plazo sin que el interesado haya desahogado la prevención el IFT desechará el trámite. | ||
| FUNDAMENTO JURÍDICO DEL TRÁMITE | ||
| - Lineamiento Cuarto, Quinto, Octavo, Noveno, Décimo, Décimo Segundo y Vigésimo, Anexo II, Anexo III y Anexo IV de los Lineamientos que fijan los índices y parámetros de calidad a que deberán sujetarse los prestadores del servicio fijo. | ||