REGLAS de Operación del Fideicomiso Fondo Metropolitano.

Al margen un sello con el Escudo Nacional, que dice: Estados Unidos Mexicanos.- HACIENDA.- Secretaría de Hacienda y Crédito Público.

El Comité Técnico del Fideicomiso Fondo Metropolitano con fundamento en el artículo 11, quinto párrafo, del Decreto de Presupuesto de Egresos de la Federación para el Ejercicio Fiscal 2020 y en la cláusula Octava, inciso b), del contrato del Fideicomiso de administración y pago denominado Fondo Metropolitano, en su segunda sesión extraordinaria de fecha 29 de enero de 2020, mediante acuerdo número SE.II.02/2020 aprobó por unanimidad de los miembros presentes las siguientes:
REGLAS DE OPERACIÓN DEL FIDEICOMISO "FONDO METROPOLITANO"
Capítulo I.
Disposiciones Generales
1.     Las presentes Reglas de Operación tienen por objeto establecer los criterios, los requisitos, los procedimientos, la hoja de criterios de dictaminación que se adjunta como Anexo III, y demás disposiciones para la aplicación, control, erogación, seguimiento, transparencia y rendición de cuentas de los recursos otorgados con cargo al patrimonio del Fideicomiso Fondo Metropolitano, así como para la recepción, análisis y autorización de las solicitudes de apoyos económicos que se presenten conforme a estas Reglas de Operación.
       El Fideicomiso Fondo Metropolitano, está constituido por el Gobierno Federal, a través de la Secretaría de Hacienda y Crédito Público, en su carácter de fideicomitente única de la Administración Pública Federal Centralizada, en el cual el Banco Nacional del Ejército, Fuerza Aérea y Armada, Sociedad Nacional de Crédito, Institución de Banca de Desarrollo, tiene el carácter de Institución fiduciaria.
2.     El Fondo Metropolitano tiene por objeto otorgar recursos a programas y proyectos de infraestructura, que demuestren ser viables y sustentables, orientados a promover la adecuada planeación del desarrollo regional, urbano, el transporte público y la movilidad no motorizada y del ordenamiento del territorio para impulsar la competitividad económica, la sustentabilidad y las capacidades productivas de las zonas metropolitanas, coadyuvar a su viabilidad y a mitigar su vulnerabilidad o riesgos por fenómenos naturales, ambientales y los propiciados por la dinámica demográfica y económica, así como a la consolidación urbana y al aprovechamiento óptimo de las ventajas competitivas de funcionamiento regional, urbano y económico del espacio territorial de las zonas metropolitanas.
3.     Los recursos del Fondo Metropolitano se destinarán a las zonas metropolitanas definidas por el grupo interinstitucional conformado por la Secretaría de Desarrollo Agrario, Territorial y Urbano, el Instituto Nacional de Estadística y Geografía y el Consejo Nacional de Población.
4.     Los programas y proyectos a los que se destinen los recursos del Fondo Metropolitano deberán guardar congruencia con los programas en materia de infraestructura, desarrollo regional y urbano correspondientes; así como, con el Plan Nacional de Desarrollo, y estar alineados a los planes estatales y municipales de desarrollo urbano.
5.     La operación y el cumplimiento de los fines del Fideicomiso Fondo Metropolitano se regirán por lo dispuesto en su contrato constitutivo, los Lineamientos de Operación del Fondo Metropolitano, las presentes Reglas de Operación, y las demás disposiciones jurídicas aplicables.
6.     A falta de disposición expresa en estas Reglas de Operación se aplicarán las estipulaciones contenidas en el contrato del Fideicomiso Fondo Metropolitano, así como lo señalado en el numeral 3 de los Lineamientos de Operación del Fondo Metropolitano.
Capítulo II.
Definiciones
7.     Las definiciones previstas en el numeral 2 de los Lineamientos de Operación del Fondo Metropolitano serán aplicables en las presentes Reglas de Operación. Adicionalmente, para efectos de las mismas se entenderá por:
I.        Ahorros: Diferencia entre el monto autorizado y el monto contratado, derivada de los
procedimientos de contratación;
II.       Análisis Costo-Beneficio Simplificado: Evaluación socioeconómica del proyecto a nivel perfil, que consiste en determinar la conveniencia de un proyecto, mediante la valoración, en términos monetarios, de los costos y beneficios asociados directa e indirectamente a la ejecución y operación de dicho proyecto;
III.      Análisis Costo-Eficiencia Simplificado: Evaluación socioeconómica del proyecto a nivel perfil, que consiste en determinar la conveniencia de un proyecto, mediante la comparación de dos alternativas de solución, a través de la valoración, en términos monetarios, de todos los costos asociados directa e indirectamente a las mismas, bajo el supuesto de que generan los mismos beneficios. Esta evaluación se realiza cuando los beneficios no son cuantificables o son de difícil cuantificación;
IV.      Apoyos Económicos: Recursos del patrimonio del Fideicomiso Fondo Metropolitano que son otorgados a las entidades federativas;
V.       Costos paramétricos: Precio promedio por metro cúbico, cuadrado, lineal o en piezas, para cada tipo de infraestructura, que comunique la Secretaría de Hacienda y Crédito Público;
VI.      Cuenta: Cuenta bancaria productiva, específica y exclusiva, abierta en la Institución de crédito elegida y contratada por la Entidad federativa para cada Zona Metropolitana, para la recepción y administración de los apoyos económicos aprobados por el Comité y los rendimientos financieros que se generen;
VII.     Demarcaciones territoriales: Demarcaciones territoriales de la Ciudad de México;
VIII.    Desarrollo metropolitano: Proceso de planeación, regulación, gestión, financiamiento y ejecución de obras y servicios para el crecimiento social y económico en Zonas Metropolitanas, que por su población, extensión y complejidad, deberán participar en forma coordinada los tres órdenes de gobierno de acuerdo a sus atribuciones;
IX.      Desarrollo regional: Proceso de crecimiento económico en dos o más centros de población determinados, garantizando el mejoramiento de la calidad de vida de la población, la preservación del ambiente, así como la conservación y reproducción de los recursos naturales;
X.       Desarrollo urbano: Proceso de planeación y regulación de la fundación, conservación, mejoramiento y crecimiento de los centros de población;
XI.      Entidades federativas: Estados integrantes de la Federación y la Ciudad de México;
XII.     Estudios: Estudios a que se refiere el numeral 6 de los Lineamientos, que incluyen las evaluaciones costo y beneficio en sus modalidades de análisis costo-beneficio y costo-eficiencia; así como a los estudios de preinversión necesarios para determinar la conveniencia de llevar a cabo un programa o proyecto de infraestructura con impacto metropolitano;
XIII.    Evaluación socioeconómica a nivel perfil: Evaluación de un proyecto utilizando la información estadística con la que cuenta la Entidad federativa, así como la disponible en otros medios especializados;
XIV.    Fideicomitente: El Gobierno Federal, por conducto de la Secretaría de Hacienda y Crédito Público, en su carácter de Fideicomitente Única de la Administración Pública Federal Centralizada;
XV.     Fiduciario: El Banco Nacional del Ejército, Fuerza Aérea y Armada, Sociedad Nacional de Crédito, Institución de Banca de Desarrollo, en su carácter de Institución fiduciaria;
XVI.    FIFONMETRO: Fideicomiso Fondo Metropolitano constituido por la Secretaría de Hacienda y Crédito Público, en su carácter de Fideicomitente Única de la Administración Pública Federal Centralizada; con el propósito de servir como mecanismo para la instrumentación del Fondo Metropolitano;
XVII.   Folio: Número otorgado por la Unidad de Inversiones de la Secretaría de Hacienda y Crédito Público a los programas y proyectos de infraestructura cuyo monto sea mayor a $50,000,000.00 M.N. (Cincuenta millones de pesos 00/100 Moneda Nacional) que, previa
revisión por parte de dicha unidad administrativa, cumplan los criterios de rentabilidad socioeconómica;
XVIII.  Gastos indirectos: Gastos necesarios para la supervisión, control, inspección y vigilancia de las obras financiadas con recursos del FIFONMETRO;
XIX.    Grupo Interinstitucional: Equipo conformado por la Secretaría de Desarrollo Agrario, Territorial y Urbano (SEDATU), el Instituto Nacional de Estadística y Geografía (INEGI) y el Consejo Nacional de Población (CONAPO) que define las Zonas Metropolitanas del país;
XX.     Instancia ejecutora: Entidades federativas, municipios u otros organismos públicos encargados de llevar a cabo los programas y proyectos;
XXI.    Ley: Ley Federal de Presupuesto y Responsabilidad Hacendaria;
XXII.   Ley de Disciplina Financiera: Ley de Disciplina Financiera de las Entidades Federativas y los Municipios;
XXIII.  Municipio: Organización político-administrativa que sirve de base a la división territorial y organización política de los Estados miembros de la Federación;
XXIV.  Nota Técnica: Documento que contiene la descripción general del programa y/o proyecto de infraestructura que establece, de manera detallada, la problemática a resolver, actividades a realizar, beneficios del proyecto, marco de referencia, costos, condiciones operativas y administrativas, tiempos de ejecución y especificaciones técnicas, entre otros;
XXV.   Reglas de Operación: Las presentes Reglas de Operación del FIFONMETRO;
XXVI.  Términos de Referencia: Documento que deberán precisar el objeto y alcance de los servicios, las especificaciones, las características técnicas, actividades, procedimiento y metodología, así como los productos o resultados esperados a entregar por el prestador de un servicio en la elaboración de Estudios, planes y programas metropolitanos.
Capítulo III.
Programas y proyectos apoyados
8.     Para el cumplimiento del fin del FIFONMETRO, las Entidades federativas de las Zonas Metropolitanas podrán destinar recursos a los siguientes rubros:
a)       Proyectos de infraestructura pública y su Equipamiento en materia de servicios básicos, infraestructura vial, movilidad urbana, espacios públicos, entre otros rubros prioritarios de interés metropolitano, que contribuyan al ordenamiento territorial;
b)       Elaboración de evaluaciones costo y beneficio o estudios de preinversión, para determinar la conveniencia de llevar a cabo un programa o proyecto de infraestructura en el ámbito regional y urbano;
c)       Elaboración de programas de ordenamiento metropolitano, planes de desarrollo metropolitano y otros instrumentos de planeación establecidos en la Ley General de Asentamientos Humanos, Ordenamiento Territorial y Desarrollo Urbano, y
d)       Apoyo por única ocasión, para la creación y equipamiento de institutos de planeación metropolitana u organismos equivalentes, y no podrá incluir gastos de operación.
9.     Las Entidades federativas podrán destinar recursos del FIFONMETRO como contraparte o coparticipación estatal con otros fondos o programas federales, siempre que sean afines al fin del FIFONMETRO y sus lineamientos o reglas de operación lo permitan, sin contravenir las demás disposiciones aplicables.
10.   Se podrán solicitar recursos para la ejecución de fases específicas de proyectos de infraestructura con alto beneficio social para las entidades federativas y que, por su magnitud, su realización comprende varios ejercicios fiscales, lo anterior, sujeto a la disponibilidad de recursos del Fondo Metropolitano y al periodo de ejecución de las fases del proyecto.
11.   Los Consejos propondrán, por conducto de las secretarías de finanzas o equivalentes de los gobiernos de las entidades federativas, los programas y proyectos a la UPCP.
       Para los Programas y proyectos de infraestructura, la propiedad en la que se pretende ejecutar el
proyecto deberá ser pública, de cualquier orden de gobierno, cuya situación jurídica deberá encontrarse perfectamente regularizada en términos de las disposiciones jurídicas correspondientes. La Instancia ejecutora será la única responsable de acreditarlo ante los órganos fiscalizadores.
       En el caso de los apoyos para la creación y equipamiento de los institutos de planeación metropolitana u organismos equivalentes, las entidades federativas deberán adjuntar al expediente técnico el convenio de colaboración a que se refiere el artículo 11, décimo primer párrafo, del Presupuesto de Egresos de la Federación para el Ejercicio Fiscal 2020.
       En el supuesto de que los programas y proyectos se vayan a ejecutar entre dos o más Entidades federativas, estas deberán solicitar de manera conjunta, en términos del numeral 15 de los Lineamientos, los recursos con los cuales se financiará el programa o proyecto; en dicha solicitud se deberá señalar de manera expresa el monto de los recursos que se ejercerá en cada entidad federativa. En caso de que se financie el programa o proyecto solicitado, cada Entidad federativa deberá comunicar el número de Cuenta en donde se ministrarán los recursos que conforme a la solicitud presentada le corresponda ejercer a cada una.
       Las Entidades federativas serán las responsables en todo momento del control, ejercicio, seguimiento, rendición de cuentas y transparencia de los recursos otorgados a cada una de ellas, y podrán utilizar los mecanismos de coordinación que estimen convenientes entre las mismas para la ejecución del programa o proyecto conjunto.
12.   Las Entidades federativas deberán contar con todos los permisos federales, estatales y municipales vigentes necesarios para la ejecución de los Programas y proyectos de infraestructura, y serán las únicas responsables de acreditarlo ante los órganos fiscalizadores. Asimismo, los Programas y proyectos de infraestructura deberán observar los Costos paramétricos, cuando corresponda, de conformidad con las disposiciones que emita la SHCP. Las Entidades federativas, Municipios y demarcaciones territoriales serán responsables ante los órganos fiscalizadores de justificar las variaciones que, en su caso, excedan de dichos costos.
       Para el caso de los programas y proyectos en materia de manejo de residuos sólidos deberán contar con las autorizaciones ambientales correspondientes.
13.   Los Programas y proyectos de infraestructura que presenten las Entidades federativas deberán ser iguales o mayores a $10,000,000.00 M.N. (Diez millones de pesos 00/100 Moneda Nacional).
Capítulo IV.
De las solicitudes y autorización de apoyos económicos con cargo al patrimonio del FIFONMETRO
14.   Las Entidades federativas podrán participar en la obtención de recursos del FIFONMETRO, siempre que cumplan con lo siguiente:
a)       Solicitar a la UPCP los recursos del FIFONMETRO en hoja membretada, formato libre y debidamente firmada por el o los servidores públicos facultados para tal efecto, acompañada de la propuesta de Cartera, y copia del Acta de Consejo en la que se aprobó, y un informe de las obras inconclusas financiadas por dicho Fondo, el cual deberá ser actualizado de manera semestral;
b)       Cada entidad federativa podrá solicitar como máximo hasta el equivalente a un 10 por ciento del monto de los recursos que se aportan al Fondo Metropolitano, para los programas y proyectos a que se refiere el numeral 6, inciso a), de los Lineamientos que sean menores a $50,000,000.00 M.N. (Cincuenta millones de pesos 00/100 Moneda Nacional) incluyendo estudios de preinversión, y
c)       Una vez enviada la información del inciso a), deberá registrar el Expediente técnico según corresponda en los formatos que para tal efecto establezca la UPCP o a través del Sistema electrónico disponible en la página de Internet https://www.mst.hacienda.gob.mx.
         Los Expedientes técnicos que deberán presentar, según corresponda, son:
i)     Estudios: Para los rubros considerados en el numeral 8, inciso b), c) y d), que deberán acompañarse de los Términos de Referencia correspondientes;
ii)     Nota Técnica: Para programas y proyectos de infraestructura cuyo monto solicitado sea
igual o mayor a $10,000,000.00 M.N. (Diez millones de pesos 00/100 Moneda Nacional) y menor a $30,000,000.00 M.N. (Treinta millones de pesos 00/100 Moneda Nacional);
iii)    Nota Técnica con Costo Anual Equivalente: Para Programas y proyectos de infraestructura cuyo monto solicitado sea igual o mayor a $30,000,000.00 M.N. (Treinta millones de pesos 00/100 Moneda Nacional) e igual o menor a $50,000,000.00 M.N. (Cincuenta millones de pesos 00/100 Moneda Nacional), y
iv)    Análisis Costo-Beneficio Simplificado o Análisis Costo-Eficiencia Simplificado: Para Programas y proyectos de infraestructura cuyo monto solicitado sea mayor a $50,000,000.00 M.N. (Cincuenta millones de pesos 00/100 Moneda Nacional). Para este tipo de Expediente técnico, la Entidad federativa deberá presentarlo por el costo total del proyecto integral identificando el monto solicitado al Fondo Metropolitano. Los apartados que deben contener se encuentran en los Anexos I y II de las Reglas de Operación.
       Para los Expedientes técnicos de los rubros establecidos en los incisos a) y b) del numeral 8 de las Reglas de Operación, la entidad federativa será la responsable de contar y presentar el dictamen metropolitano a que se refiere el artículo 11, noveno párrafo, del Presupuesto de Egresos de la Federación para el Ejercicio Fiscal 2020.
15.   La UPCP revisará los Expedientes técnicos a que se refiere el numeral 14, inciso c), subincisos i), ii), iii) y iv), de las presentes Reglas de Operación. En su caso, la UPCP remitirá observaciones respectivas; solicitará aclaraciones o información adicional que corresponda a través del Sistema electrónico, con la finalidad de que los Expedientes técnicos cumplan con los Lineamientos, las Reglas de Operación y normativa aplicable. Lo anterior con el propósito de que sean solventadas en un plazo no mayor a veinte días hábiles contados a partir del día siguiente al de su recepción. Si la Entidad federativa no cumple con el plazo antes señalado, se entenderá que se desiste de la solicitud para el programa o proyecto respectivo, el cual se cancelará a través del Sistema electrónico, sin necesidad de que la UPCP emita notificación alguna al respecto.
16.   La UI revisará los Expedientes técnicos a que se refiere el numeral 14, inciso c), subinciso iv), conforme a lo siguiente:
a)       La UPCP remitirá a la UI el Análisis Costo-Beneficio Simplificado o Análisis Costo-Eficiencia Simplificado, según corresponda, del programa o proyecto de infraestructura que se trate;
b)       La UI analizará la información remitida por la UPCP en un plazo máximo de veinte días hábiles contado a partir de su recepción para efecto de otorgar el Folio del programa o proyecto de infraestructura o, en su caso, formular las observaciones respectivas; solicitar aclaraciones o información adicional que corresponda;
c)       En caso de que la UI emita observaciones, solicite aclaraciones o información adicional al Análisis Costo-Beneficio Simplificado o al Análisis Costo-Eficiencia Simplificado, según corresponda, las hará llegar a la UPCP, para que esta última las haga del conocimiento de la respectiva Entidad federativa, con el propósito de que sean solventadas en un plazo no mayor a veinte días hábiles contados a partir del día siguiente al de su recepción. La atención a estas observaciones, aclaraciones o información adicional serán remitidas nuevamente a la UI para su valoración, en los plazos y términos del inciso b) anterior. Si la Entidad federativa no cumple con el plazo antes señalado, se entenderá que se desiste de la solicitud para el programa o proyecto de infraestructura respectivo, el cual se cancelará a través del Sistema electrónico, sin necesidad de que la UPCP emita notificación alguna al respecto.
       El envío y recepción de información y documentación deberá llevarse a cabo a través del Sistema electrónico. La UPCP es la única instancia federal facultada para recibir y solicitar información y documentación de las entidades federativas respecto de los programas y proyectos que se pretenda ejecutar con recursos del Fondo Metropolitano.
17.   Los Expedientes técnicos que se presenten a la UPCP deberán explicar con claridad su naturaleza y alcance, así como contar con información relevante de los Programas y proyectos en el desarrollo de la Zona Metropolitana específica. La UPCP podrá solicitar, en todo momento, cualquier documento adicional que contribuya a la identificación y revisión de los Programas y proyectos a financiarse con
recursos del FIFONMETRO. Para el caso de modificaciones en la Cartera presentada, se deberá contar con la autorización por parte del Consejo, entregando a la UPCP el Acta correspondiente. No serán procedentes cambios a Programas y proyectos aprobados.
18.   Las Entidades federativas, de conformidad con la normativa aplicable, podrán destinar recursos de otras fuentes de financiamiento para la realización de los Programas y proyectos, siempre y cuando se especifiquen en el Expediente técnico los componentes que se llevarán a cabo con los recursos del FIFONMETRO.
19.   Los Programas y proyectos que cumplan con los Lineamientos y las Reglas de Operación, y que apruebe el Comité, se apoyarán con cargo al patrimonio del FIFONMETRO.
20.   Las Entidades federativas deberán contratar la Cuenta; debiendo informar el número de la misma a la UPCP, quien deberá remitirla al Fiduciario para que éste pueda realizar la entrega de los recursos del FIFONMETRO. A través de dicha Cuenta se realizarán las transferencias relacionadas con la ejecución de los Programas y proyectos. Para estar en condiciones de realizar las ministraciones correspondientes, será responsabilidad de las Entidades federativas informar de manera oportuna la Cuenta.
21.   Los Apoyos Económicos sólo podrán destinarse a los fines autorizados por el Comité.
Capítulo V.
Del Comité Técnico de FIFONMETRO
22.   El funcionamiento y facultades del Comité se sujetarán a lo previsto en el Contrato, los Lineamientos de Operación, así como en las presentes Reglas de Operación.
23.   El Comité deberá sesionar conforme al calendario que el mismo determine en términos de las disposiciones aplicables.
       Cuando se requiera modificar las fechas de las sesiones ordinarias del Comité, el Secretario de Actas, previa autorización del Presidente, deberá informarlo por escrito o por correo electrónico a sus integrantes, indicando la nueva fecha en que se llevará a cabo ésta y cumplir con todos los requisitos de validez de las notificaciones previstas en la normativa vigente.
       En caso de situaciones supervenientes que no permitan el desarrollo de las sesiones previamente convocadas, el Secretario de Actas informará a los miembros del Comité y levantará una constancia de hechos.
24.   El Comité contará con un Secretario de Actas con un nivel mínimo de Director General, adscrito a la Subsecretaría de Egresos de la SHCP, quien tendrá las facultades siguientes:
a)       Convocar, previo acuerdo con el Presidente y con la antelación establecida en el Contrato, a los integrantes del Comité y a los invitados que así se requiera a las sesiones a celebrarse;
b)       Cuando aplique, enviará a los miembros del Comité, dentro del orden del día, la Valoración y la Prelación de los Programas y proyectos presentados al Titular de la UPCP, conforme a los Lineamientos de Operación vigentes, que será sometida para su aprobación;
c)       Llevar la lista de asistencia y declarar el quórum de cada sesión, y
d)       Las demás que se establezcan en el Contrato, los Lineamentos, las Reglas de Operación y las que le encomiende el Comité.
25.   El Secretario de Actas será auxiliado en sus facultades por el Prosecretario, con nivel jerárquico equivalente mínimo al de Director de Área, quien será designado por el primero y tendrá las atribuciones siguientes:
a)       Elaborar el proyecto de Acta de cada sesión del Comité;
b)       Llevar el control del seguimiento de acuerdos;
c)       Elaborar las comunicaciones que deban realizarse al Fiduciario, para aprobación superior;
d)       Suplir al Secretario de Actas en sus ausencias, en este caso, tendrá las mismas facultades que aquél;
 
e)       Custodiar las carpetas y los documentos de los asuntos sometidos a consideración del Comité, así como las Actas de las sesiones, y
f)        Las demás que le encomiende el Secretario de Actas o el Comité.
26.   El Comité aprobará los Programas y proyectos que se realizarán con cargo al patrimonio del FIFONMETRO, considerando la Prelación efectuada por el Grupo de Trabajo, misma que será remitida por el Titular de la UPCP a la Secretaría de Actas previamente, en apego a los Lineamientos, y las Reglas de Operación.
       El Comité podrá determinar una valoración mínima a partir de la cual los Programas y proyectos podrán ser aprobados.
27.   Es facultad del Comité resolver sobre cualquier situación no prevista en las Reglas de Operación, pudiendo aplicar los "Lineamientos para la elaboración y presentación de los análisis costo y beneficio de los programas y proyectos de inversión" vigentes, en lo que no se opongan al Contrato de Fideicomiso y demás disposiciones aplicables.
Capítulo VI.
De la disposición de apoyos económicos
28.   El Secretario de Actas del Comité notificará al Fiduciario y a la UPCP los Programas y proyectos aprobados por el Comité, en un plazo no mayor a diez días naturales contados a partir del día natural siguiente a su aprobación.
       Para efectos de lo establecido en el artículo 11, sexto párrafo, del Presupuesto de Egresos de la Federación para el Ejercicio Fiscal 2020, el Secretario de Actas informará a la UPCP las resoluciones del Comité respecto de los programas y proyectos en un plazo de no mayor a cinco días naturales contados a partir del día natural siguiente a la sesión que corresponda, para que se comuniquen a las entidades federativas a través del Sistema Electrónico en un término de diez días posteriores a la celebración de la sesión del mismo.
       La UPCP notificará a la Entidad federativa correspondiente los Programas y proyectos aprobados.
       La Entidad federativa deberá informar sobre la aprobación de recursos y su seguimiento al Consejo u órgano estatal equivalente.
29.   El Fiduciario dispondrá de un plazo de hasta cinco días hábiles contados a partir del día hábil siguiente a la recepción de la instrucción del Comité, por conducto del Secretario de Actas y la notificación formal de la Cuenta por conducto de la UPCP, para efectuar la ministración de los recursos autorizados en la Cuenta contratada por la Entidad federativa, conforme al calendario que le sea notificado.
30.   Las Entidades federativas tendrán un plazo de diez días hábiles contados a partir del día hábil siguiente a la recepción de las ministraciones realizadas por el Fiduciario, para entregar a la UPCP el documento oficial que acredite la entrega - recepción de las mismas por programa o proyecto aprobado.
31.   Los recursos de los Programas y proyectos aprobados deberán ser aplicados conforme al Calendario de ejecución.
32.   Los recursos de los Programas y proyectos aprobados con cargo al patrimonio del FIFONMETRO deberán estar vinculados a compromisos y obligaciones formales de pago, a más tardar el 31 de diciembre del ejercicio fiscal en el que se ministren.
       Los recursos no comprometidos, devengados y erogados en los plazos establecidos en el artículo 17 de la Ley de Disciplina Financiera, así como los rendimientos financieros generados, deberán concentrarse a la Tesorería de la Federación en términos de lo establecido en ese precepto legal y conforme al mecanismo presupuestario que establezca la SHCP.
33.   Para la ejecución de los Programas y proyectos, los compromisos y obligaciones formales de pago se establecerán mediante:
 
a)       La contratación de proveedores o contratistas, o
b)       Los contratos o documentos que justifiquen y comprueben la asignación y aplicación de los recursos públicos federales.
34.   La Entidad federativa correspondiente podrá aplicar los recursos mediante convenios que suscriba con organismos públicos y Municipios, para lo cual deberá cumplir con lo establecido en los Lineamientos, las presentes Reglas de Operación y las disposiciones jurídicas aplicables.
35.   Los rendimientos financieros, los ahorros derivados de procedimientos de contratación y aquellos recursos no ejercidos, deberán concentrarse a la Tesorería de la Federación en términos de lo establecido en ese precepto legal y conforme al mecanismo presupuestario que establezca la SHCP, de acuerdo a los plazos dispuestos en el artículo 17 de la Ley de Disciplina Financiera.
       Una vez que la Entidad federativa haya realizado la concentración de recursos a la Tesorería de la Federación, se deberá informar mediante oficio dirigido al Titular de la UPCP, en un plazo no mayor a diez días hábiles contados a partir del día hábil siguiente de la fecha de depósito del mismo, sobre los recursos reintegrados, especificando los montos correspondientes a los recursos no ejercidos, que incluye los rendimientos financieros y Ahorros derivados de procedimientos de contratación, para lo cual se adjuntará copia del documento que lo acredite, así como el listado de Programas y proyectos relacionados con el reintegro, de acuerdo al Reporte de Recursos autorizados (Anexo IV).
Capítulo VII.
Del informe del ejercicio de los apoyos económicos
36.   Las Entidades federativas deberán informar trimestralmente a la SHCP sobre el ejercicio, destino y los resultados obtenidos de los recursos transferidos en los términos del artículo 85 de la Ley, conforme a lo establecido en los "Lineamientos para informar sobre los recursos federales transferidos a las entidades federativas, municipios y demarcaciones territoriales del Distrito Federal, y de operación de los recursos del Ramo General 33", publicados en el Diario Oficial de la Federación el 25 de abril de 2013 o los que, en su caso, se emitan para el ejercicio fiscal vigente y subsecuentes.
       Asimismo, deberán reportar, a través del sistema a que se refiere el artículo citado en el párrafo anterior, la información del contrato bajo el cual se realicen dichos Programas y proyectos de infraestructura, su ubicación geográfica, informes sobre sus avances y, en su caso, evidencias de conclusión.
       Las Entidades federativas serán responsables de la veracidad de la información reportada en los términos de lo previsto por el presente numeral.
37.   En caso de situaciones supervenientes, contingentes o excepcionales, que motiven o justifiquen la ampliación del plazo establecido en el Calendario de ejecución convenido; la Entidad federativa deberá solicitar por escrito a la UPCP la autorización respectiva, la cual se podrá otorgar sólo en una ocasión, siempre y cuando la solicitud se presente dentro de la vigencia del Calendario de Ejecución aprobado para la aplicación de los recursos.
Capítulo VIII.
Del control, transparencia y rendición de cuentas
38.   Los recursos transferidos deberán aplicarse únicamente a la ejecución de los Programas y proyectos aprobados por el Comité, en los términos que fue solicitado, por lo anterior, no es procedente la ampliación de metas. En ningún caso se podrán destinar a gasto corriente, salvo que se trate de los Gastos indirectos mencionados en el numeral siguiente.
39.   Para Gastos indirectos se podrá destinar hasta el dos por ciento del costo total de la obra financiada por el FIFONMETRO antes del Impuesto al Valor Agregado.
40.   Para el caso de las obras ejecutadas por administración directa, se deberá destinar el uno al millar de los recursos del FIFONMETRO destinados a cada obra ejecutada por dicha modalidad, a favor de la Contraloría del Ejecutivo Estatal o su equivalente, para que realice la vigilancia, inspección, control y evaluación de los Programas y proyectos que se ejecuten con los recursos del FIFONMETRO, de conformidad con la normativa aplicable.
 
41.   En el caso de las obras ejecutadas mediante contrato, se estará a lo dispuesto por el artículo 191 de la Ley Federal de Derechos, el cual establece que las oficinas pagadoras deberán retener, al momento del pago, un monto equivalente al cinco al millar sobre el importe de cada una de las estimaciones de trabajo.
42.   Las Entidades federativas serán responsables de la integración y veracidad de la información que presenten a la SHCP para la solicitud de los recursos, así como de la aplicación, seguimiento, control, rendición de cuentas y transparencia de dichos recursos en términos de las disposiciones jurídicas aplicables, sin perjuicio de las atribuciones que tengan conferidas las autoridades federales en materia de fiscalización.
43.   Las Entidades federativas e instancias ejecutoras deberán realizar, de manera detallada y completa, el registro y control en materia jurídica, documental, contable, financiera, administrativa, presupuestaria y de cualquier otro tipo que corresponda, en los términos de las disposiciones jurídicas aplicables, que permitan acreditar y demostrar ante la autoridad federal o local competente, que el origen, destino, aplicación, erogación, registro, documentación comprobatoria, integración de libros blancos y rendición de cuentas, corresponde a los recursos otorgados.
44.   Las Entidades federativas e instancias ejecutoras asumirán, plenamente y por sí mismas, los compromisos y responsabilidades vinculadas con las obligaciones jurídicas, financieras y de cualquier otro tipo relacionadas con los Programas y proyectos.
45.   Los recursos que se otorguen a las Entidades federativas no perderán en ningún caso su carácter federal, por lo que los servidores públicos así como los particulares que incurran en responsabilidades administrativas, civiles y penales, derivadas de las afectaciones a la hacienda pública federal, serán sancionados en los términos de la legislación federal.
46.   Para efectos de transparencia y rendición de cuentas, las Entidades federativas deberán incluir, en su Cuenta Pública y en los informes sobre el ejercicio del gasto público que presenten al Poder Legislativo respectivo, la información relativa a la aplicación de los recursos otorgados para los Programas y proyectos.
47.   Las Entidades federativas que conforman cada Zona Metropolitana deberán publicar trimestralmente, en su página de Internet y en otros medios accesibles al ciudadano, la información actualizada respecto de la autorización de recursos, así como la relativa a la descripción de las obras, montos, metas, proveedores, y avances físicos y financieros, así como las demás obligaciones que derivan del cumplimiento de la legislación en materia de transparencia y acceso a la información pública.
48.   En la aplicación, erogación y publicidad de los recursos que se otorguen a las Entidades federativas para los Programas y proyectos, se deberán observar las disposiciones federales aplicables en materia electoral. En la publicidad, documentación e información relativa a los Programas y proyectos deberá incluir la leyenda que se especifique en la materia electoral en el Presupuesto de Egresos de la Federación del ejercicio fiscal que corresponda al año de inicio de ejecución de los mismos.
49.   Los Programas y proyectos que se realicen con cargo al patrimonio del FIFONMETRO, deberán incluir la leyenda que se especifique en el Presupuesto de Egresos de la Federación.
50.   Para efectos de las Reglas de Operación, todos los trámites con la SHCP deben gestionarse por conducto de la UPCP y directamente por los servidores públicos facultados de los gobiernos de las Entidades federativas, sin intermediación de terceros.
51.   Al finalizar los calendarios de los Programas y proyectos aprobados en el ejercicio 2020, las entidades federativas deberán entregar un reporte final con la información que se encuentra en el Anexo IV.
Aprobadas en la Ciudad de México, a los 29 de enero de 2020, por los miembros del Comité Técnico del Fideicomiso Fondo Metropolitano.- Propietario: el Titular de la Unidad de Política y Control Presupuestario de la Secretaría de Hacienda y Crédito Público, ctor Manuel Mojica Vilchis.- Rúbrica.- Suplentes: el Director General de Coordinación Metropolitana de la Secretaría de Desarrollo Agrario, Territorial y Urbano, Daniel Octavio Fajardo Ortiz.- Rúbrica.- La Directora General Adjunta de Seguimiento e Información del Desempeño Presupuestario de la Unidad de Evaluación del Desempeño de la Secretaría de Hacienda y Crédito Público, Alejandra Huerta Pineda.- Rúbrica.- El Director General Adjunto de Proyectos de Inversión B de la Unidad de Inversiones de la Secretaría de Hacienda y Crédito Público, Héctor López Leal.- Rúbrica.
Anexo I. Evaluaciones socioeconómicas a nivel perfil
A.    Análisis Costo-Beneficio Simplificado
1.     El Análisis Costo-Beneficio Simplificado consistirá en una evaluación socioeconómica a nivel perfil. La información utilizada para la evaluación deberá ser verificada e incluir las fuentes de información de las mismas en la sección de bibliografía.
2.     El Análisis Costo-Beneficio Simplificado deberá contener lo siguiente:
I.     Resumen Ejecutivo
·   Contendrá el nombre del proyecto de inversión; explicará en forma concisa para la entidad federativa o municipio, la problemática identificada que se busca atender a través del proyecto, las principales características del proyecto y su objetivo orientado a impulsar el desarrollo metropolitano, la zona metropolitana a la que pertenece el proyecto considerando las definiciones del Grupo Interinstitucional, su horizonte de evaluación, la identificación y descripción de los principales costos y beneficios, sus indicadores de rentabilidad, los principales riesgos asociados a la ejecución y operación, e incluirá una conclusión referente a la rentabilidad del proyecto de inversión.
II.     Situación actual
       En esta sección deberán describirse y analizarse los principales aspectos relacionados a la problemática identificada. Se deberán incluir los siguientes elementos:
a)    Diagnóstico de la situación actual que motiva la realización del proyecto, resaltando la problemática, oportunidad o condición negativa que se pretende resolver en la entidad federativa o municipio;
b)    Análisis de la oferta actual. En esta sección se deberán describir los problemas que presenta la infraestructura actual con la que la entidad federativa o municipio atiende a la problemática descrita en el inciso a);
c)     Análisis de la demanda actual. En esta sección se deberán describir las características de la población objetivo, la cual se define como los usuarios afectados en la entidad federativa o municipio directamente por la situación negativa y por lo tanto corresponden a los beneficiarios del proyecto. La demanda se deberá expresar en una unidad de medida que cuantifique las necesidades de consumo o requerimientos del bien o servicio y presentar su evolución durante el horizonte de evaluación en caso de que no se lleve a cabo el proyecto de inversión;
d)    Diagnóstico de la Interacción de la oferta-demanda actual. En esta sección se deberá identificar la problemática que se pretende solucionar en la entidad federativa o municipio, mediante la interacción de la oferta-demanda actual y la explicación de los principales supuestos, metodología y las herramientas utilizadas en la estimación.
III.    Situación sin el Programa o Proyecto de Inversión.
       En esta sección deberá incluirse la situación esperada en ausencia del programa o proyecto de inversión, los principales supuestos técnicos y económicos utilizados para el análisis y el horizonte de evaluación. Asimismo, este punto deberá incluir los siguientes elementos:
a)    Optimizaciones: Consiste en la descripción de medidas administrativas, técnicas, operativas, así como inversiones de bajo costo (menos del 10% del monto total de inversión), entre otras, que serían realizadas en caso de no llevar a cabo el programa o proyecto de inversión. Las optimizaciones contempladas deberán ser incorporadas
en el análisis de la oferta y la demanda siguientes;
b)    Análisis de la Oferta en caso de que el programa o proyecto de inversión no se lleve a cabo;
c)     Análisis de la Demanda en caso de que el programa o proyecto de inversión no se lleve a cabo;
d)    Diagnóstico de la interacción de la oferta-demanda con optimizaciones a lo largo del horizonte de evaluación: Consiste en realizar el análisis comparativo para cuantificar la diferencia entre la oferta y la demanda con las optimizaciones consideradas. El análisis deberá incluir la estimación de la oferta y de la demanda total del mercado y la explicación de los principales supuestos, metodología y las herramientas utilizadas en la estimación, y
e)    Alternativas de solución: Se deberán describir las alternativas adicionales de solución que pudieran resolver la problemática señalada en la entidad federativa o municipio, incluyendo una comparación con el programa o proyecto de inversión, así como la cuantificación de sus costos y la descripción de los criterios técnicos y económicos de selección, utilizados para determinar la alternativa más conveniente.
IV.   Situación con el proyecto
       En esta sección deberá incluirse la situación esperada en caso de que se realice el proyecto de inversión y deberá contener los siguientes elementos:
a)    Descripción general: Deberá detallar el proyecto de inversión, incluyendo las características físicas del mismo y los componentes que resultarían de su realización incluyendo cantidad, tipo y principales características y cómo se ejecutará el mismo;
b)    Alineación estratégica: Especificar los objetivos, estrategias y líneas de acción que atiende el proyecto de inversión, conforme al Plan Nacional de Desarrollo correspondiente, los programas estatales y municipales;
c)     Localización geográfica: Deberá especificar la zona metropolitana que el proyecto beneficiará, describir la ubicación geográfica con coordenadas georreferenciadas donde se desarrollará el proyectos de inversión; la entidad federativa, municipio o municipios donde se ubicarán los activos derivados de los programas y/o proyectos de inversión y su zona de influencia;
d)    Calendario de actividades: Deberá incluir la programación de las principales actividades e hitos que serían necesarios para la realización del proyecto de inversión;
e)    Monto total de inversión: Deberá incluirse el calendario de inversión anual y la distribución del monto total entre sus principales componentes o rubros. Asimismo, se deberá identificar el impuesto al valor agregado, los demás impuestos o retenciones que apliquen;
f)     Financiamiento: Deberán indicarse las fuentes de financiamiento del proyecto de inversión: recursos fiscales, federales, estatales, municipales, privados, de fideicomisos, entre otros;
g)    Capacidad instalada que se tendría y su evolución en el horizonte de evaluación del proyecto de inversión;
h)    Vida útil: Deberá considerarse como el tiempo de operación del proyecto de inversión expresado en años;
i)     Descripción de los aspectos más relevantes para determinar la viabilidad del proyecto de inversión: En esta sección se deberá especificar la situación legal de la propiedad en la que se pretende llevar a cabo el proyecto, especificar si es un bien público, que cuenta con todos los permisos liberados, vigentes y necesarios para su correcta ejecución;
j)     Análisis de la oferta con proyecto: En esta sección se deberán describir los bienes y servicios que generará la infraestructura en la entidad federativa o municipio una vez ejecutado el proyecto durante el horizonte de evaluación;
k)     Análisis de la demanda con proyecto: La demanda se deberá expresar en una unidad de medida que cuantifique las necesidades de consumo o requerimientos del
bien o servicio y presentar su evolución durante el horizonte de evaluación en caso de que se lleve a cabo el proyecto de inversión, y
l)     Diagnóstico de la Interacción de la oferta-demanda con proyecto: En esta sección se deberán describir los efectos derivados de la implementación del proyecto en la entidad federativa o municipio, en donde se muestre cómo la problemática identificada se ve disminuida por la ejecución del mismo y cómo el proyecto de inversión impacta en la Zona Metropolitana.
V.    Evaluación del Proyecto de Inversión
       Deberá incluirse la evaluación del proyecto de inversión, en la cual debe compararse la situación sin proyecto optimizada con la situación con proyecto, considerando los siguientes elementos:
a)    Identificación, cuantificación y valoración de los costos del proyecto de inversión: Se deberá considerar el flujo anual de costos del proyecto de inversión, tanto en su etapa de ejecución como la de operación. Para términos de la evaluación no se deberán considerar el Impuesto al Valor Agregado, los demás impuestos o retenciones que apliquen. Adicionalmente, se deberá explicar de forma detallada cómo se identificaron, cuantificaron y valoraron los costos, incluyendo los supuestos y fuentes empleada para su cálculo. En esta sección se espera un desglose de aquellos insumos o recursos que son necesarios para llevar a cabo la ejecución y operación del proyecto. Al comparar los costos en la situación con proyecto y sin proyecto se identifican los costos de inversión, de operación, de mantenimiento o de reinversión;
b)    Identificación, cuantificación y valoración de los beneficios del proyecto de inversión: Deberán considerar el flujo anual de los beneficios del proyecto de inversión, tanto en su etapa de ejecución como de operación. Adicionalmente, se deberá explicar de forma detallada cómo se identificaron, cuantificaron y valoraron los beneficios, incluyendo los supuestos y fuentes empleadas para su cálculo. En esta sección se deben identificar los beneficios del proyecto al comparar la situación sin proyecto y la situación con proyecto. Se pueden identificar beneficios por mayor consumo, por ahorro de recursos o beneficios indirectos;
c)     Cálculo de los indicadores de rentabilidad: Deberán calcularse a partir de los flujos netos a lo largo del horizonte de evaluación, con el fin de determinar el beneficio neto y la conveniencia de realizar el proyecto de inversión. Para términos de la evaluación no se considerará el Impuesto al Valor Agregado, los demás impuestos o retenciones que apliquen. El cálculo de los indicadores de rentabilidad incluye: Valor Presente Neto (VPN), Tasa Interna de Retorno (TIR) y Tasa de Rendimiento Inmediata(TRI);
       Para el cálculo de los indicadores de rentabilidad deberán considerarse las fórmulas contenidas en el Anexo II, y
d)    Análisis de riesgos: Deberán identificarse los principales riesgos asociados al proyecto de inversión en sus etapas de ejecución y operación, dichos riesgos deberán clasificarse con base en la factibilidad de su ocurrencia y se deberán analizar sus impactos sobre la ejecución y la operación del proyecto de inversión en cuestión, así como las acciones necesarias para su mitigación.
VI.   Conclusiones y Recomendaciones
       Exponer de forma clara y precisa los argumentos por los cuales el proyecto o programa de inversión debe realizarse.
VII.   Anexos
       Documentos y hojas de cálculo, que soportan la información y estimaciones contenidas en la evaluación socioeconómica. Las hojas de cálculo deberán incluir todos los cálculos realizados, fórmulas y demás información utilizada.
VIII.  Bibliografía
       Lista de fuentes de información y referencias consultadas para la evaluación socioeconómica.
B.    Análisis Costo-Eficiencia Simplificado
1.     El Análisis Costo-Eficiencia Simplificado consistirá en una evaluación socioeconómica a nivel de
perfil y deberá contener los mismos elementos y apartados descritos en el Anexo I, apartado A, numeral 2, con excepción de la información contenida en la fracción V incisos b) y c). A efecto de atender la excepción anterior se deberá considerar lo siguiente:
a)    Identificación de los beneficios del proyecto de inversión: En el caso de que los beneficios sean no cuantificables o de difícil cuantificación, se deberán describir de forma detallada los beneficios del proyecto de inversión y una explicación del por qué son de difícil cuantificación y valoración, incluyendo los supuestos y fuentes empleadas para su descripción.
b)    Cálculo de los indicadores de rentabilidad: En el caso de que los beneficios sean no cuantificables o de difícil cuantificación, para cada una de las alternativas de solución que generen exactamente los mismos beneficios se deberá calcular el Costo Anual Equivalente (CAE) a partir del valor anualizado de los costos relevantes menos el valor presente del valor de rescate del proyecto de inversión, considerando el horizonte de evaluación de cada una de las alternativas. Para términos de la evaluación no se considerará el Impuesto al Valor Agregado, los demás impuestos o retenciones que apliquen.
       Para el cálculo de los indicadores de rentabilidad deberán considerarse las fórmulas contenidas en el Anexo II de las Reglas de Operación.
       La información utilizada para la evaluación deberá ser verificable e incluir las fuentes de información de las mismas en la sección de bibliografía.
Anexo II. Indicadores de rentabilidad
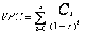
a)    Valor Presente Neto (VPN)
       El VPN es la suma de los flujos netos anuales, descontados por la tasa social. Para el cálculo del VPN, tanto los costos como los beneficios futuros del proyecto de inversión son descontados, utilizando la tasa social para su comparación en un punto en el tiempo o en el "presente". Si el resultado del VPN es positivo, significa que los beneficios derivados del proyecto de inversión son mayores a sus costos. Alternativamente, si el resultado del VPN es negativo, significa que los costos del proyecto de inversión son mayores a sus beneficios.
       La fórmula del VPN es:

Donde:
Bt: son los beneficios totales en el año t
Ct: son los costos totales en el año t
Bt-Ct: flujo neto en el año t
n: número de años del horizonte de evaluación
r: es la tasa social de descuento
t: año calendario, en donde el año 0 será el inicio de las erogaciones
b)    Tasa Interna de Retorno (TIR)
       La TIR se define como la tasa de descuento que hace que el VPN de un proyecto de inversión sea igual a cero. Esto es económicamente equivalente a encontrar el punto de equilibrio de un proyecto de inversión, es decir, el valor presente de los beneficios netos del proyecto de inversión es igual a cero y se debe comparar contra una tasa de retorno deseada.
       La TIR se calcula de acuerdo con la siguiente fórmula:

 
Donde:
Bt: son los beneficios totales en el año t
Ct: son los costos totales en el año t
Bt-Ct: flujo neto en el año t
n: número de años del horizonte de evaluación
TIR: Tasa Interna de Retorno
t: año calendario, en donde el año 0 será el inicio de las erogaciones
       Es importante resaltar que no se debe utilizar la TIR por sí sola para comparar alternativas de un proyecto de inversión, ya que puede existir un problema de tasas internas de rendimiento múltiple. Las tasas internas de rendimiento múltiple ocurren cuando existe la posibilidad de que más de una tasa de descuento haga que el VPN sea igual a cero.
c)     Tasa de Rendimiento Inmediata (TRI)
       La TRI es un indicador de rentabilidad que permite determinar el momento óptimo para la entrada en operación de un proyecto de inversión con beneficios crecientes en el tiempo. A pesar de que el VPN sea positivo para el proyecto de inversión, en algunos casos puede ser preferible postergar su ejecución.
       La TRI se calcula de acuerdo con la siguiente fórmula:

Donde:
Bt+1: es el beneficio total en el año t+1
Ct+1: es el costo total en el año t+1
Bt+1-Ct+1: flujo neto en el año t+1
It: monto total de inversión valuado al año t (inversión acumulada hasta el periodo t)
t: año anterior al primer año de operación
t+1: primer año de operación
El momento óptimo para la entrada en operación de un proyecto de inversión, cuyos beneficios son crecientes en el tiempo, es el primer año en que la TRI es igual o mayor que la tasa social de descuento.
d)     Costo Anual Equivalente (CAE)
       El CAE es utilizado frecuentemente para evaluar alternativas del proyecto de inversión que brindan los mismos beneficios; pero que poseen distintos costos y/o distinta vida útil. El CAE es la anualidad del valor presente de los costos relevantes menos el valor presente del valor de rescate de un proyecto de inversión, considerando el horizonte de evaluación de cada una de las alternativas.
       El CAE puede ser calculado de la siguiente manera:

Donde:
VPC: Valor presente del costo total del proyecto de inversión (debe incluir la deducción del valor de rescate del proyecto de inversión)
r: indica la tasa social de descuento
m: indica el número de años de vida útil del activo
       El VPC debe calcularse mediante la siguiente fórmula:
 

Donde:
Ct: costos totales en el año t
r: es la tasa social de descuento
t: año calendario, en donde el año 0 será el inicio de las erogaciones
n: número de años del horizonte de evaluación
La alternativa más conveniente será aquélla con el menor CAE. Si la vida útil de los activos bajo las alternativas analizadas es la misma, la comparación entre éstas se realizará únicamente a través del valor presente de los costos de las alternativas.
Anexo III. Criterios de Dictaminación
Tipo 1: Hoja de Criterios de Dictaminación
Para valorar los programas y proyectos considerados en el rubro correspondiente al numeral 6 de los Lineamientos, se empleará los rubros básicos y complementarios siguientes:
No.
Rubros
Básicos
Descripción
Respuesta
Calificación
1
Tipos de
Proyectos de
Infraestructura
Pública 1/
Movilidad urbana sustentable.
Tipo A
200
Gestión integral del agua.
Manejo integral de residuos sólidos urbanos y de manejo especial.
Espacio público.
Infraestructura estratégica y de seguridad pública.
Tipo B
100
Infraestructura mixta.
Infraestructura vial tradicional.
Tipo C
50
Otros rubros de carácter metropolitano.
2
Cobertura
del Proyecto
El proyecto se va a ejecutar en más de 1 municipio y/o demarcaciones territoriales de la Zona Metropolitana.
Si
200
El proyecto se va ejecutar en municipios y demarcaciones territoriales con un Índice de Rezago Social mayor al promedio de los municipios y demarcaciones territoriales de las Zonas Metropolitanas2/.
Si
200
El proyecto se va ejecutar en municipios y demarcaciones territoriales con un Índice de Rezago Social menor al promedio de los municipios y demarcaciones territoriales de las Zonas Metropolitanas2/.
Si
100
3
Programación de
la obra
El proyecto se presenta como una conclusión de obra que genera infraestructura final y funcional, o bien, consiste en un proyecto integral que se ejecuta en una etapa.
Si
200
En la etapa solicitada, se contemplan fuentes de financiamiento complementarias que representan hasta el 20% del monto total de inversión3/.
Si
100
En la etapa solicitada, se contemplan fuentes de financiamiento complementarias que representan más del 20% del monto total de inversión3/.
Si
200
Nota:
 
 
 
1,000
1/ En el rubro 1, los proyectos se identifican con un único tipo, por lo que para el proceso de calificación solo se sumará una respuesta. La Infraestructura Mixta se refiere a proyectos que tienen características que atienden dos problemáticas de manera simultánea y cada una pertenece a una tipo diferente.
2/ El cálculo del promedio fue realizado con los datos del Índice de Rezago Social 2015 publicados por el Consejo Nacional de Evaluación de Política Social (CONEVAL) disponible en el vínculo https://www.coneval.org.mx/Medicion/IRS/Paginas/Indice_Rezago_Social_2015.aspx, considerando la información de los 417 municipios y demarcaciones territoriales de las Zonas Metropolitanas definidas por el Grupo Interinstitucional.
3/ Los conceptos son excluyentes para la calificación solo sumará uno de los rubros.
 
 
No.
Rubros
complementarios
Descripción
Respuesta
Calificación
4
Gobernanza e
Impacto
metropolitanos a/
Las instancias de gobernanza metropolitana se encuentran instaladas y en funcionamiento para la zona metropolitana correspondiente
Si
50
No
0
El proyecto solicitado cuenta con el respaldo de la Comisión de Ordenamiento Metropolitano o de Conurbación.
Si
50
No
0
El proyecto cuenta con el Dictamen de impacto
metropolitano emitido por la SEDATU
Si
50
No
0
5
Impacto
Ambiental b/
El proyecto solicitado presenta el documento emitido por la autoridad ambiental correspondiente de acuerdo a la normatividad aplicable.
Si
50
No
0
 
 
 
 
200
Nota:
a/ La entidad federativa deberá documentar la instalación y operación de las instancias mencionadas en el artículo 36 de la Ley General de Asentamientos Humanos, Ordenamiento Territorial y Desarrollo Urbano.
b/ La entidad federativa deberá anexar el documento correspondiente de acuerdo con la Ley General del Equilibrio Ecológico y Protección al Ambiente, o la normativa aplicable.
Tipo 2: Hoja de Criterios de Dictaminación
Para valorar los estudios establecidos en el numeral 6, inciso b) se ocuparán los siguientes aspectos:
No.
Rubros Básicos
Descripción
Respuesta
Calificación
1
El Estudio brinda
información para
realizar proyectos de
Infraestructura Pública
1/
Movilidad urbana sustentable.
Tipo A
200
Gestión integral del agua.
Manejo integral de residuos sólidos urbanos y de manejo especial.
Espacio público.
Infraestructura estratégica y de seguridad pública.
Tipo B
100
Infraestructura mixta.
Infraestructura vial tradicional.
Tipo C
50
Otros rubros de carácter metropolitano.
2
Cobertura del estudio
La infraestructura que se derivará del estudio se va a ejecutar más de un 1 municipio y/o demarcación territorial de la Zona Metropolitana.
Si
200
La infraestructura que se derivará del estudio se va a ejecutar en municipios y demarcaciones territoriales con un Índice de Rezago Social mayor al promedio de los municipios y demarcaciones territoriales de las Zonas Metropolitanas 2/.
Si
200
La infraestructura que se derivará del estudio se va a ejecutar en municipios y demarcaciones territoriales con un Índice de Rezago Social menor al promedio de los municipios y demarcaciones territoriales de las Zonas Metropolitanas 2/.
Si
100
3
Programación del
estudio
Cuenta con términos de referencia.
Si
200
No
0
 
 
 
 
800
Nota:
1/ En el concepto 1, los estudios se identificarán con un tipo, para la calificación solo se sumará una respuesta. La Infraestructura Mixta se refiere a proyectos que tienen características que atienden dos problemáticas de manera simultánea y cada una pertenece a una tipo diferente.
2/ El cálculo del promedio fue realizado con los datos del Índice de Rezago Social 2015 publicados por el Consejo Nacional de Evaluación de Política Social (CONEVAL) disponible en el vínculo https://www.coneval.org.mx/Medicion/IRS/Paginas/Indice_Rezago_Social_2015.aspx, considerando la información de los 417 municipios y demarcaciones territoriales de las Zonas Metropolitanas definidas por el Grupo Interinstitucional. Los conceptos son excluyentes para la calificación solo sumará uno de los rubros.
 
No.
Rubros complementarios
Aspectos
Respuesta
Calificación
4
Gobernanza e Impacto
metropolitanos
El estudio es presentado en una zona donde las instancias de gobernanza metropolitana se encuentran instaladas y en funcionamiento.
Si
50
No
0
El proyecto cuenta con el Dictamen Metropolitano emitido por la SEDATU.
Si
50
No
0
 
 
 
 
100
Nota: La entidad federativa deberá documentar la instalación y operación de las instancias mencionadas en el Artículo 36 de la Ley General de Asentamientos Humanos, Ordenamiento Territorial y Desarrollo Humano.
Tipología de Proyectos de Infraestructura Pública
Material complementario a la Hoja de Criterios de Dictaminación que se encuentra en los Lineamientos de Operación del Fondo Metropolitano.
Tipo
Proyecto de
infraestructura
pública
Ejemplos de Obras
A
Movilidad Urbana
Sustentable
1. Infraestructura para los sistemas de transporte público masivo (BRT, Metro, corredores, estaciones multimodales, entre otros).
2. Infraestructura ciclista (Ciclovías, ciclo carriles, estacionamientos para bicicletas, proyectos de pacificación de tránsito, módulos de transferencia).
3. Infraestructura peatonal (intervenciones integrales en entornos estratégicos, andadores peatonales, pasos y cruces viales seguros).
4. Calles completas.
Gestión Integral
del Agua
1. Construcción de pozos profundos
2. Construcción de canal de desfogue de arroyo pluvial
3. Construcción, desazolve, mantenimiento y/o conservación de lagunas de regulación, mantenimiento de presas reguladoras de escorrentías, etc.
4. Proyectos de captación de agua (pozos de absorción, bocas de tormenta, represa y cisternas de aprovechamiento).
5. Saneamiento integral de aguas residuales incluyendo la conducción, tratamiento, alejamiento y descarga de las aguas residuales y tratadas (plantas de tratamiento de aguas residuales, sistemas de estabilización de lodos, incineradores, lechos de secado, biodigestores, cárcamo de bombeo, estaciones de bombeo).
6. Colectores de aguas negras
7. Obras para la supresión de fugas y rehabilitación de tuberías
9. Construcción de colector pluvial
Manejo integral de
residuos sólidos
urbanos y de
manejo especial
1. Recolección y manejo de residuos sólidos
2. Construcción, ampliación, rehabilitación, mantenimiento y/o clausura de rellenos sanitarios o de confinamientos de residuos peligrosos y de manejo especial
Espacio Público
1. Construcción de parques e infraestructura verde y/o azul
2. Construcción y rescate de espacios públicos urbanos
 
B
Infraestructura
Estratégica y de
Seguridad Pública
1. Alumbrado Público.
2. Infraestructura de Seguridad Pública (Centros de monitoreo (C4), estaciones de vigilancia y/o seguridad).
3. Infraestructura pública para la prevención, mitigación y resiliencia ante los riesgos y efectos del cambio climático.
4. Servicios básicos para mejorar la habitabilidad y la resiliencia social.
Infraestructura
Mixta
Corresponde a planteamientos en donde se combinan características de infraestructura tipo A, B o C, sin identificar una problemática específica por atender. Se privilegia la atención de más de una de manera simultánea.
C
Infraestructura
Vial Tradicional
1. Construcción de Túneles Vehiculares
2. Circuitos viales
3. Puentes vehiculares
4. Nodos viales y Distribuidores
5. Libramientos
6. Pasos superiores e inferiores vehiculares
Otros Rubros de
carácter
Metropolitano
1. Infraestructura Regional para Salud
2. Infraestructura Regional para Educación
3. Infraestructura Regional Cultural y Recreativa
4. Equipamiento vial complementario (Paraderos, Semáforos, Señalamientos, así como pasos y cruces viales de manera aislada)
Nota: La tipología se construyó considerando las áreas potenciales y de oportunidad identificadas en los siguientes documentos: Índice de prosperidad urbana en la República Mexicana. Reporte Nacional de Tendencias de la Prosperidad Urbana de México (2016) ONU-HABITAT. Iracheta A., Iracheta J. A. (2016) Evaluación de los Fondos Metropolitano y Regional del Gobierno Federal Mexicano, México, CIDE, SHCP, BID, Colegio Mexiquense y Centro Eure. Esta versión incluye aportaciones realizadas por los representantes del Comité Técnico de 2019.
Glosario de Términos Técnicos Relevantes
Conceptos
Descripción
Calle Completa
Se trata de la redistribución del espacio de la vialidad para permitir el acceso seguro para todas las personas usuarias: peatones, ciclistas, personas usuarias de transporte público y automovilistas de todas edades y habilidades. Las intervenciones de calles completas dan prioridad a peatones y ciclistas, así como las condiciones movilidad y conectividad.
Desarrollo
Sustentable
El proceso evaluable mediante criterios e indicadores del carácter ambiental, económico y social que tiende a mejorar la calidad de vida y la productividad de las personas, que se funda en medidas apropiadas de preservación del equilibrio ecológico, protección del ambiente y aprovechamiento de recursos naturales, de manera que no se comprometa la satisfacción de las necesidades de las generaciones futuras.
Energías
Renovables
Aquellas energías cuya fuente reside en fenómenos de la naturaleza, procesos o materiales susceptibles de ser transformados en energía aprovechable por el ser humano, que se regeneran naturalmente, por lo que se encuentran disponibles de forma continua o periódica, y que al ser generadas no liberan emisiones contaminantes. Incluye al viento, la radiación solar, el movimiento del agua en cauces naturales o artificiales, energía oceánica, calor de yacimientos geotérmicos, bioenergéticas.
Espacio Público
Áreas, espacios abiertos o predios de los asentamientos humanos destinados al uso, disfrute o aprovechamiento colectivo, de acceso generalizado y libre tránsito.
Gestión integral del
agua
Infraestructura pública identificada dentro de los siguientes rubros: 1) en materia de control y manejo del agua y las cuencas hidrológicas, incluyendo los acuíferos, por ende su distribución y administración; 2) la regulación de la explotación, uso o aprovechamiento del agua, y 3) la preservación y sustentabilidad de los recursos hídricos en cantidad y calidad, considerando los riesgos ante la ocurrencia de fenómenos hidrometeorológicos extraordinarios y daños a ecosistemas vitales y al medio ambiente.
 
Impacto Ambiental
Modificación del ambiente ocasionada por la acción del hombre o de la naturaleza.
Índice de rezago
Social
Medida ponderada que resume cuatro indicadores de carencias sociales (educación, salud, servicios básicos y espacios en la vivienda) en un solo índice que tiene como finalidad ordenar a las unidades de observación según sus carencias sociales. Esta tiene como fuente de información la base de datos "Principales Resultados por Localidad, 2005" del II Conteo de Población y Vivienda (ITER 2005) y fue elaborada bajo la técnica estadística de componentes principales por el CONEVAL.
Infraestructura para
la prevención,
mitigación y
resiliencia ante los
riesgos y efectos
del cambio
climático.
Infraestructura pública que contribuya a reducir las emisiones, o mejorar los sumideros de gases y compuestos de efecto invernadero; que no alteren la capacidad de los sistemas naturales o sociales para recuperarse o soportar los efectos derivados del cambio climático, así como medidas anticipadas que permitan evitar el deterioro del ambiente.
Infraestructura
Verde y Azul
Infraestructura polifuncional que utiliza sistemas naturales (o sistemas producto de ingeniería que imitan procesos naturales) para mejorar la calidad ambiental general y proveer servicios ambientales, sociales, económicos y culturales. La I.V. puede ser usada como componente de un sistema de manejo de agua pluvial cuando el suelo y la vegetación son usados para infiltrar, evapotranspirar, o aprovechar escorrentías. Incluyen: jardín microcuenca, jardín de lluvia, zanja-bordo-drenaje francés, presa filtrante, pozo de infiltración, pavimento permeable, techo verde, muro verde, cisternas. Otras acciones a nivel urbano son: arborizar, peatonalizar, permeabilizar suelos, desvehiculizar, reconectar, promover la eco-movilidad. En una ciudad pueden ser diseños constructivos que utilizan sistemas vivos o naturales, que limpian e infiltran el agua, crean hábitats y ecosistemas naturales, enfrían y crean más sombra en las calles, entre otros beneficios. La infraestructura azul se refiere a la vinculada con el ciclo del agua. De tal forma, que la integración de infraestructura verde-azul se refiere a redes interconectadas planificadas de áreas naturales y seminaturales, los cuales incluyen cuerpos de agua, espacios abiertos verdes, que provisionan de diferentes servicios ecosistémicos.
Infraestructura vial
tradicional
Se refiere a la red de caminos en el espacio urbano que permite a la mayor parte de los medios de transporte realizar sus desplazamientos.
Instancias de
Gobernanza
Metropolitana
Se refiere a las instancias señaladas en el artículo 36 de la Ley General de Asentamientos Humanos, Ordenamiento Territorial y Desarrollo Urbano, particularmente, se refiere a la Comisión de Ordenamiento Metropolitano y al Consejo Consultivo de Desarrollo Metropolitano.
Manifestación de
Impacto Ambiental
El documento mediante el cual se da a conocer, con base en estudios, el impacto ambiental, significativo y potencial que generaría una obra o actividad, así como la forma de evitarlo o atenuarlo en caso de que sea negativo, de acuerdo a la Ley General del Equilibrio Ecológico y Protección al Ambiente.
Manejo Integral de
Residuos.
Las actividades de reducción en la fuente, separación, reutilización, reciclaje, co-procesamiento, tratamiento biológico, químico, físico o térmico, acopio, almacenamiento, transporte y disposición final de residuos, individualmente realizadas o combinadas de manera apropiada, para adaptarse a las condiciones y necesidades de cada lugar.
 
Movilidad Activa
Se refiere a los desplazamientos de los habitantes de un lugar a otro donde no se usan vehículos motorizados. Incluye en primer lugar a los peatones y en segundo a los ciclistas (en cualquier variedad de llantas o pedales sin motor).
Movilidad Urbana
Sustentable
Se refiere a aquellos desplazamientos multimodales, seguros y eficientes que propician la reducción del uso de vehículos particulares motorizados y se realizan en condiciones de equidad, tanto en las vialidades como en el espacio público de un área urbana consolidada. Los proyectos para la movilidad urbana sustentable deben facilitar el acceso de las personas a los bienes, servicios y equipamientos urbanos; y mejorar su calidad de vida al elevar la productividad de la ciudad, reducir las emisiones de gases efecto invernadero en favor del medio ambiente y facilitar la adaptación de sus habitantes ante el cambio climático.
Ordenamiento
Territorial de los
Asentamientos
Humanos
El ordenamiento territorial es una política pública que tiene como objeto la ocupación y utilización racional del territorio como base espacial de las estrategias de desarrollo socioeconómico y la preservación ambiental.
Programa
Metropolitano
Documento generado por la Comisión de Ordenamiento de las zonas metropolitanas en las materias de interés y contenido señaladas en los artículos 34 y 37 de la Ley General de Asentamientos Humanos, Ordenamiento Territorial y Desarrollo Urbano.
Planes y
Programas de
Desarrollo Urbano
Son instrumentos que contienen las disposiciones jurídicas para planear y regular el ordenamiento de los asentamientos humanos. Tienen como objeto, establecer las políticas, estrategias y objetivos para el desarrollo urbano del territorio, mediante la determinación de la zonificación, los destinos y las normas de uso y aprovechamiento del suelo, así como las acciones de conservación, mejoramiento y crecimiento en los centros de población. El contenido está establecido en el artículo 28 de la Ley General de Asentamientos Humanos, Ordenamiento Territorial y Desarrollo Urbano.
Programa de
Ordenamiento
Territorial
Instrumento de planeación que define estrategias, guía y orienta la inversión productiva acorde a la aptitud territorial. Es una herramienta para corregir los desequilibrios territoriales, resultado de modelos de desarrollo. Programas compartidos de desarrollo económico y un instrumento de planificación y gestión del territorio que sirve para garantizar un uso racional de recursos naturales; reducir la vulnerabilidad de la población y la infraestructura; aprovechamiento de la vocación territorial generadora de riqueza; y brindar viabilidad y seguridad de la infraestructura.
 
Seguridad Pública
Es una función a cargo de la Federación, las entidades federativas y municipios, que tiene como fines salvaguardar la integridad y derechos de las personas, así como preservar las libertades, el orden y la paz públicos y comprende la prevención especial y general de los delitos, la sanción de las infracciones administrativas, así como la investigación y la persecución de los delitos y la reinserción social del sentenciado, en términos de la Ley General del Sistema Nacional de Seguridad Pública, en las respectivas competencias establecidas en la Constitución Política de los Estados Unidos Mexicanos.
Servicios Básicos
Se refiere a todos aquellos servicios necesarios para disponer de una vivienda digna como obras de infraestructura hidráulica, energía eléctrica y alumbrado con un enfoque de hábitat inclusivo, integral y sostenible.
Transporte Masivo
Provisión de servicios de transporte público de pasajeros en los corredores troncales del transporte urbano y suburbano, mediante sistemas integrados de transporte de alta capacidad, rápidos en vías de circulación con carriles confinados o exclusivos, para Autobuses Rápidos Troncales, Tranvías, Trenes Ligeros, Metro o Trenes Suburbanos.
Términos de
Referencia
Se describen de manera detallada las características que se pretende tenga el servicio prestado, a través del señalamiento minucioso de las actividades que lo configurarán, las características técnicas de dichas actividades y los procedimientos que se espera utilice el prestador del servicio, así como el resultado final esperado de cada actividad. El documento de que se trata suele ser dividido, para facilitar la descripción del servicio, en diversos apartados, que a veces por su volumen son separados en anexos. Dichos apartados se refieren principalmente a los siguientes aspectos: a) descripción del servicio, b) metodología o forma en que se prestará el servicio; c) actividades a realizar por el prestador del servicio; d) productos o resultados esperados; e) informes a entregar por el prestador del servicio.
 
 
Anexo IV. Reporte de Recursos Autorizados
 
ENTIDAD FEDERATIVA:
ZONA METROPOLITANA:
FECHA DE REPORTE: DD/MM/AAAA
 
 
 
 
 
 
 
 
 
 
 
 
 
 
MINISTRACIÓN: DD/MM/AAAA
 
 
 
 
 
 
 
 
 
 
 
 
 
 

FOLIO
SEFIR
MUNICIPIO(S)
PROYECTO
MONTO
AUTORIZADO Y
TRANSFERIDO
DATOS DEL CONTRATO
FECHA DE CONTRATO
MONTO DEL CONTRATO
GASTOS INDIRECTOS
OTRAS RETENCIONES
MONTO COMPROMETIDO
MONTO NO COMPROMETIDO
(AHORROS)
REINTEGRO (CAPITAL)
REINTEGRO
(RENDIMIENTOS)
FECHA DE OPERACIÓN
TESOFE
FECHA DE CONCLUSIÓN OBRA
OBSERVACIONES
 
 
 
 
 
T
 
 
A
B
C
D=
A+B+C
T-D
 
 
 
 
 
 
 
 
 
 
 
 
 
 
 
 
 
 
 
 
 
 
 
 
 
 
 
 
 
 
 
 
 
 
 
 
 
 
 
 
 
 
 
 
 
 
 
 
 
 
 
 
 
 
 
 
 
 
 
 
 
 
 
 
 
 
 
 
 
 
 
 
 
 
 
 
 
 
 
 
 
 
 
 
 
 
 
 
 
 
 
 
 
 
 
 
 
 
 
 
 
 
 
 
 
RENDIMIENTOS
 
 
 
 
 
 
 
 
 
 
 
 
 
 
 
 
 
 
TOTAL
 
 
 
 
 
 
0.00
 
0.00
 
 
 
 
 
 
 
Los presentes anexos forman parte de las Reglas de Operación del Fondo Metropolitano aprobadas el 29 de enero de 2020 por el Comité Técnico.
 
____________________________________