SENTENCIA pronunciada en el expediente 572/2017 relativo a la solicitud de reconocimiento de régimen comunal, promovido por campesinos de la comunidad de Santiago Acutzilapan, Municipio de Atlacomulco, Edo. de Méx.

Al margen un sello con el Escudo Nacional, que dice: Estados Unidos Mexicanos.- Tribunal Unitario Agrario.- Secretaría de Acuerdos.- Distrito 24, Toluca, México.

VISTOS para resolver los autos del expediente 572/2017, mediante el cual ALFONSO FUENTES VALDÉS, ROGELIO SÁNCHEZ SIERRA Y ALEJANDRO PÉREZ ALCÁNTARA, en carácter de representantes de un grupo de campesinos, solicitan el Reconocimiento de Régimen Comunal de SANTIAGO ACUTZILAPAN, municipio de ATLACOMULCO, ESTADO DE MÉXICO; y,
RESULTANDO
1. Por escrito presentado ante este Tribunal Agrario el treinta y uno de mayo de dos mil diecisiete, PEDRO SANTIAGO RAMÍREZ, RICARDA SÁNCHEZ SANTIAGO, VERÓNICA PÉREZ ALCÁNTARA, JUAN SANTIAGO RAMÍREZ, MARÍA GUADALUPE CASTRO CASTAÑEDA, MARCELINA PÉREZ CASTRO, MARÍA ELENA CASTRO LOVERA, CARMEN APOLONIO SÁNCHEZ, MA. DEL REFUGIO GARCÍA MONROY, ALEJANDRO PÉREZ ALCÁNTARA, SEVERIANO CARRILLO ESTEFANA, MIGUEL DE JESÚS MATEO, MARGARITA HERNÁNDEZ MAURICIO, FELIPE MIGUEL TIBURCIO, GREGORIO MARTÍNEZ SÁNCHEZ, MA. GUADALUPE DIANA CASTRO LOVERA, FERNANDO PÉREZ ALCÁNTARA, JACINTA SÁNCHEZ SIERRA, ROGELIO SÁNCHEZ SIERRA, ANGELINA SÁNCHEZ MIRANDA, JUAN DOMINGO SÁNCHEZ, SILVIA SÁNCHEZ SIERRA, MARÍA PÉREZ ALCÁNTARA, FELIPA DOMINGO SÁNCHEZ, LUIS MATEO MEDINA, ALFONSO FUENTES VALDÉS, LORENZO NICOLÁS MATEO, JULIO JOSÉ MATEO JACINTO, FELIPE MATEO JACINTO, ROGELIO MATEO JACINTO, ROSA MARÍA HERNÁNDEZ SANTIAGO, MA. DE LOURDES MATEO LEOCADIO, TERESA HERNÁNDEZ ILDEFONSO, MARÍA ESTHER MATEOS LEOCADIO, TERESA MATEO VALDÉZ, MA. GUADALUPE AGUSTÍN CEDILLO, ALEJANDRA SÁNCHEZ AGUSTÍN, PORFIRIO ESTEBAN ALBINO, MA. GUADALUPE SÁNCHEZ GABRIEL, ALEJANDRO JOSÉ ÁLVAREZ, JOSÉ LUIS NICOLÁS ISIDORO, SILVANO HERNÁNDEZ RAMÍREZ, ROSA FELICIANO RAMÍREZ, FRANCISCO CARREOLA SÁNCHEZ, MARCOS MENDOZA QUIRINO, MARÍA RAMÍREZ DOMÍNGUEZ, HILARIO HERNÁNDEZ SÁNCHEZ, ALICIA MENDOZA APOLONIO, GERMÁN SÁNCHEZ RAMÍREZ, HERCULANO BENITO SÁNCHEZ, MARÍA JUANA SÁNCHEZ DOMINGO, FRANCISCO SANTIAGO RAMÍREZ, ANTONIA SÁNCHEZ DOMINGO, ROSA MARÍA APOLONIO JOSÉ, MA. GUADALUPE MARCOS ALEJANDRO, MARTHA DE JESÚS SANTIAGO, JOSÉ GABRIEL CEDILLO, ELVIRA SÁNCHEZ DOMINGO, MARCELINA ISIDORO BENITO, JERÓNIMO RAMÍREZ DOMINGO, JOSÉ SÁNCHEZ AGUSTÍN, FRANCISCO HERNÁNDEZ ANTONIO, ESTEBAN GÓMEZ SÁNCHEZ, ELODIA SÁNCHEZ VENEGAS, TERESA RAMÍREZ AGAPITO, PAULA ANASTACIO AGUSTÍN, MARGARITA SÁNCHEZ ILDEFONSO, CANDELARIA MATEO SÁNCHEZ, JOSÉ SEVERIANO HERNÁNDEZ VÁSQUEZ, MIGUEL LIBRADO DOMINGO; originarios y vecinos de la comunidad agraria de SANTIAGO ACUTZILAPAN, municipio de ATLACOMULCO, ESTADO DE MÉXICO; nombrando como sus representantes comunes a ALFONSO FUENTES VALDÉS, ROGELIO SÁNCHEZ SIERRA Y ALEJANDRO PÉREZ ALCÁNTARA; y solicitaron de este Tribunal Agrario, las siguientes prestaciones:
"A) El reconocimiento legal del régimen comunal de la comunidad agraria de Santiago Acutzilapan, municipio de Atlacomulco, Estado de México, respecto de una superficie de 967-17-31.00 hectáreas que desde tiempos inmemoriales dicha comunidad ha guardado de hecho y por derecho el estado comunal, superficie que esta comunidad tiene en posesión de manera pública, pacifica, continua y de buena fe, sin afectar derechos o intereses de terceros, cuyas colindancias se encuentran reflejadas en el plano que anexamos al presente escrito, por las razones y motivos que más adelante se señalan.
B).- El reconocimiento como comuneros de la comunidad agraria de Santiago Acutzilapan, municipio de Atlacomulco, Estado de México, respecto de todas y cada una de las personas que suscribimos el presente escrito.
C) Como consecuencia de lo anterior, se proceda a la elaboración del plano que comprenda la superficie que como bienes comunales corresponde a la comunidad de Santiago Acutzilapan, municipio de Atlacomulco, Estado de México.
D).- Asimismo solicitamos se ordene tanto al Registro Agrario Nacional, como al Registro Público de la Propiedad y del Comercio del Gobierno del Estado de México, inscriban en sus asientos registrales, la sentencia que reconozca legalmente a la comunidad agraria de Santiago Acutzilapan, municipio de Atlacomulco, Estado de México, respecto de la superficie de 967-17-31.00 hectáreas que tiene en posesión de manera pública, pacifica,
continua y de buena fe, sin afectar derechos o intereses de terceros, así como de los comuneros que con la misma sean reconocidos, procediendo de la misma forma a inscribir el plano resultante de dicho reconocimiento.
E).- Se ordene a la Delegación de la Procuraduría Agraria en el Estado de México, realice la elección de los órganos de representación y vigilancia de la comunidad agraria de Santiago Acutzilapan, municipio de Atlacomulco, con base al padrón de comuneros que al efecto determine este órgano jurisdiccional." (Sic).
2. Por auto de veintinueve de junio de dos mil diecisiete, se admitió a trámite la solicitud de ALFONSO FUENTES VALDÉS, ROGELIO SÁNCHEZ SIERRA Y ALEJANDRO PÉREZ ALCÁNTARA, en su carácter de representantes de los solicitantes de reconocimiento de la comunidad de SANTIAGO ACUTZILAPAN, en la vía de Jurisdicción Voluntaria; se fijó fecha para la celebración de la audiencia y se citó a los colindantes de la superficie solicitada a efecto de comparecer a deducir sus derechos.
3. En audiencia del dieciséis de octubre de dos mil diecisiete, ALFONSO FUENTES VALDÉS, ROGELIO SÁNCHEZ SIERRA Y ALEJANDRO PÉREZ ALCÁNTARA, en su carácter de representantes comunes de los solicitantes de reconocimiento de la comunidad de SANTIAGO ACUTZILAPAN, ratificaron su escrito de solicitud de reconocimiento de comunidad respecto de la superficie de 967-17-31.00 hectáreas, así como de las pruebas que se mencionan en su escrito; por su parte, la asamblea ejidal de SANTIAGO ACUTZILAPAN, por conducto de JERÓNIMO RAMÍREZ DOMINGO, ISMAEL MATEO PASCUAL y SILVANO HERNÁNDEZ RAMÍREZ, en su carácter de Presidente, Secretario y Tesorero, respectivamente, manifestaron:
"Que haciendo uso de la voz por parte del comisariado ejidal de SANTIAGO ACUTZILAPAN, municipio de ATLACOMULCO, ESTADO DE MÉXICO, manifiesto que en concordancia a la asamblea ejidal celebrada el pasado catorce de octubre de dos mil diecisiete, nos allanamos lisa y llanamente a las prestaciones de la comunidad promovente, estando de acuerdo en los límites fijados en el libelo que obra en autos, y solicito el término de diez días para presentar el acta de conformidad con las pretensiones del grupo solicitante y de linderos, señalando como domicilio para oír y recibir notificaciones los estrados de este Tribunal." (Sic).
Por su parte, la asamblea comunal del poblado PUEBLO NUEVO, municipio de ATLACOMULCO, ESTADO DE MÉXICO, por conducto de AMADOR MATEO NAZARIO, GABRIEL MANUEL ESQUIVEL y CALIXTO FLORES MANUEL, en su carácter de presidente, secretario y tesorero, respectivamente, del comisariado de bienes comunales, manifestaron:
"Que manifestamos nuestro encargo como integrantes del comisariado ejidal venció el 23 de septiembre de 2017, sin que hasta la fecha se haya celebrado la asamblea de órganos de representación de la comunidad, por lo que, solicitamos de ser el caso, se llame en su oportunidad a quienes conformarán el nuevo comisariado de bienes comunales, nombramos desde este momento para asistirnos en juicio al Licenciado GILBERTO VÁZQUEZ GALINDO y señalamos como domicilio para oír y recibir notificaciones los estrados de este Tribunal." (Sic).
Por su parte, la asamblea comunal del poblado SAN FRANCISCO CHALCHIHUAPAN Y SUS ANEXOS SAN PEDRO DEL ROSAL Y SAN ANTONIO ENCHISI, municipio de ATLACOMULCO, ESTADO DE MÉXICO, representado por JOHN GUZMÁN BLAS Y PABLO ORTEGA MARTÍNEZ MANUEL, en su carácter de presidente y tesorero, respectivamente, del comisariado de bienes comunales, manifestaron:
"Que con fundamento en lo dispuesto por el artículo 98 fracción II de la Ley Agraria, nuestra representada no manifiesta oposición alguna en relación a la solicitud de reconocimiento de comunidad de los solicitantes, ello en atención a la resolución emitida en el expediente 633/2010 de índice de este Tribunal y en base a la carpeta básica del poblado que se representa, solicitando que se nos permita exhibir el acta de asamblea de comuneros de nuestra poderdante que avale lo manifestado con antelación y de ser posible que la misma se presente hasta la próxima audiencia que se señale, señalando como domicilio para oír y recibir notificaciones el ubicado en CALLE VALLE DE BRAVO NÚMERO 505, COLONIA SECTOR POPULAR, TOLUCA, ESTADO DE MÉXICO y nombramos como nuestro asesor jurídico al licenciado que nos acompaña en esta diligencia." (Sic).
Por su parte, GREGORIO MERCADO FLORES, en su carácter de propietario del "RANCHO SAN
VICENTE", por medio de su apoderada legal MA. GUADALUPE MERCADO MERCADO, manifestó:
"Que en este acto en nombre del propietario GREGORIO MERCADO FLORES propietario del RANCHO SAN VICENTE por medio de su apoderada legal MA. GUADALUPE MERCADO MERCADO, que es citado en las presentes diligencias como colindante, las manifestaciones que tuviese que realizar las hago a través del escrito que en este acto exhibo el cual lo ratifico en todas y cada una de sus partes, y por lo que hace al plano de que se hace mérito, solicito se me conceda un plazo de tres días para exhibirlo y surta sus efectos legales correspondientes a través del original y copia y una vez realizada sea el cotejo del mismo, se ordena la devolución del original, como domicilio para oir y recibir notificaciones aquel que se señala en el escrito exhibido y por autorizados para recibir notificaciones a los profesionales que estoy mencionando." (Sic).
Por su parte, CESAR AGUSTÍN OSORNIO NARVÁEZ, en su carácter de propietario del "RANCHO SAN ISIDRO", manifestó:
"Que en este acto como propietario del RANCHO SAN ISIDRO, he sido citado en las presentes diligencias como colindante, las manifestaciones que tuviese que realizar las hago a través del escrito que en este acto exhibo, el cual lo ratifico en todas y cada una de sus partes, y señalo como domicilio para oír y recibir notificaciones aquel que se señala en el escrito exhibido y por autorizados para recibir notificaciones a los profesionistas que estoy mencionando." (Sic).
En la misma audiencia, se requirió al grupo solicitante exhibir las Actas de conformidad de linderos celebradas con los núcleos de población ejidal y comunal SANTIAGO ACUTZILAPAN, municipio de ATLACOMULCO, ESTADO DE MÉXICO, PUEBLO NUEVO, municipio de ATLACOMULCO, ESTADO DE MEXICO y SAN FRANCISCO CHALCHIHUAPAN Y SUS ANEXOS, SAN PEDRO DEL ROSAL y SAN ANTONIO ENCHISI, municipio de ATLACOMULCO, ESTADO DE MÉXICO; se fijó la materia del asunto; y se proveyó sobre la admisión y desahogo de pruebas, ordenándose al Actuario de la adscripción se traslade y constituya en los terrenos de los cuales los promoventes pretenden su reconocimiento como comunidad, a efecto de levantar el censo y elabore el padrón de comuneros.
4. En continuación de la audiencia del veintinueve de enero de dos mil dieciocho, la asamblea comunal de SAN FRANCISCO CHALCHIHUAPAN Y SUS ANEXOS SAN PEDRO DEL ROSAL y SAN ANTONIO ENCHISI, municipio de ATLACOMULCO, ESTADO DE MÉXICO, representada por JOHN GUZMÁN BLAS, ANATALIO JUSTO GARCÍA y PABLO ORTEGA MARTÍNEZ MANUEL, en su carácter de Presidente, Secretario y Tesorero, respectivamente, del comisariado comunal, manifestaron:
" Que nuestra representada se reserva el derecho a convocar la asamblea que avale o no la oposición o no al presente procedimiento, ello en virtud de que la promovente interviene en el expediente 586/2015 del índice de este Tribunal manifestando que es necesario que se verifique y ubique la superficie de las tierras que colindan con el núcleo de población de SANTIAGO ACUTZILAPAN, mismo que se actuará a través de la inspección judicial de veinte de febrero de dos mil dieciocho, y en cuanto a la carpeta básica y las documentales que conforman el expediente de PROCECOM, se hace mención que la misma obra en los autos del expediente 633/2010 del índice de este Tribunal, mismo que solicito que se tenga a la vista para los efectos legales conducentes." (Sic).
En esta misma audiencia se instruyó al perito de la adscripción, realizar los trabajos técnicos topográficos a efecto de identificar la superficie solicitada en reconocimiento de comunidad; quien rindió su dictamen el siete de mayo de dos mil dieciocho.
5. Por auto del trece de diciembre de dos mil dieciocho, se ordenó girar oficio al Instituto de la Función Registral en el Estado de México y a la Delegación del Registro Agrario Nacional en el Estado de México, a efecto de que informaran la situación jurídica actual que guarda la superficie 967-12-52.22 hectáreas, solicitada en reconocimiento de comunidad y si existe inscripción de propiedad o titularidad de esta.
6. Por auto del once de junio de dos mil diecinueve, en virtud de no existir prueba pendiente por desahogar, se ordenó turnar los autos para la emisión de la sentencia que en derecho corresponda, y
CONSIDERANDO
I. Este Tribunal Unitario Agrario, Distrito 24, es legalmente competente para conocer y resolver las presentes diligencias de jurisdicción voluntaria, con fundamento en lo dispuesto por el artículo 27, fracción XIX, de la Constitución Política de los Estados Unidos Mexicanos; 1°, 98 fracción II, 165, 180, 186, 187, 188 y 189; y Tercero Transitorio de la Ley Agraria; y 18, fracción III, de la Ley Orgánica de los Tribunales Agrarios y el Acuerdo del Pleno del Tribunal Superior Agrario del cinco de septiembre del dos mil seis, publicado en el Diario Oficial de la Federación el trece del mismo mes y año, que determinó su competencia territorial.
 
II. En el presente asunto fueron observados los lineamientos establecidos por los artículos 163 y 167 de la Ley Agraria, habiéndose respetado los derechos de audiencia y seguridad jurídica, consagradas por los artículos 14 y 16 de la Constitución Política de los Estados Unidos Mexicanos, cumpliéndose con las formalidades esenciales del procedimiento; así como el artículo de la Constitución Federal, reformado mediante decreto publicado el diez de junio de dos mil once, respetando y protegiendo los derechos humanos de conformidad con los principios de universalidad, indivisibilidad, interdependencia y progresividad.
III. En la presente vía de jurisdicción voluntaria (artículo 98, fracción II, de la Ley Agraria), se constriñe a determinar si es procedente o no el reconocimiento de régimen comunal previsto en los artículos 18 fracciones II y X de la Ley Orgánica de los Tribunales Agrarios, a favor de los solicitantes, respecto de una superficie de 967-17-31.00 hectáreas, ubicadas dentro de las inmediaciones del poblado denominado SANTIAGO ACUTZILAPAN, municipio de ATLACOMULCO, ESTADO DE MÉXICO.
IV. Los promoventes por conducto de sus representantes ALFONSO FUENTES VALDÉS, ROGELIO SÁNCHEZ SIERRA Y ALEJANDRO PÉREZ ALCÁNTARA, basaron sustancialmente sus pretensiones en los siguientes hechos:
"1.- Manifestamos a este H. Tribunal Agrario, que los suscritos somos originarios y vecinos de la comunidad agraria de Santiago Acutzilapan, municipio de Atlacomulco, Estado de México, lo cual acreditamos de manera fehaciente con las copias certificadas de las actas de nacimiento que nos fueron expedidas por el C. Oficial del Registro Civil del municipio de Referencia, así como, con las credenciales de elector, expedidas por el Instituto Electoral y con las constancias respectivas, expedidas por los Delegados Municipales de dicha comunidad, documentales públicas que se anexan al presente escrito como anexo uno, para los efectos legales a que haya lugar.
2.- Manifestamos a este Órgano Jurisdiccional, que la comunidad agraria de Santiago Acutzilapan, municipio de Atlacomulco, Estado de México, ha guardado de hecho y por derecho el estado comunal sobre tierras libres de conflicto que nuestros ancestros, los suscritos y nuestros descendientes poseemos de tiempo inmemorial, tal y como se acredita con la copia certificada del expediente paleográfico y diligencias para el Reconocimiento y titulación de Bienes comunales de San Felipe de las Papas, (hoy Pueblo Nuevo), documental que en copia certificada agregamos a la presente como anexo dos, mediante la cual se advierte la colindancia con terrenos comunales de Santiago Acutzilapan tal y como se acredita con la documental que se anexa al presente escrito para debida constancia, para los efectos legales a que haya lugar.
3.- Que del contenido del expediente referido, se desprende inclusive un conflicto de tierras entre nuestra comunidad y los Bienes Comunales de San Felipe de las Papas; sin embargo, la superficie que solicitamos se reconozca por esta vía, es superficie libre de conflicto, no obstante, es necesario que esa situación sea manifestada por los propios colindantes.
4.- Señalamos a este H. Tribunal Agrario, que la superficie sobre la cual se solicita la Acción de Reconocimiento del Régimen Comunal Sobre Tierras Libres de Conflicto, es respecto de una superficie aproximada de 967-17-31.00 hectáreas, las cuales poseemos de manera pública, pacífica y de buena fe, tal cual se acreditará con actuaciones del juicio agrario que concluyó inclusive en favor de la comunidad de Santiago Acuzilapan, pero que por un amparo de un núcleo agrario colindante quedó sin efectos, dejando nuestros derechos a salvo para solicitar de nueva cuenta nuestro reconocimiento, lo cual hacemos por esta vía.
5.- Bajo protesta de decir verdad, manifestamos a este Órgano Jurisdiccional que hasta la fecha la comunidad agraria de Santiago Acutzilapan, municipio de Atlacomulco, Estado de México, no cuenta con un reconocimiento formal o definitivo, y mucho menos con un padrón de comuneros legalmente reconocidos, no obstante el procedimiento mencionado en el párrafo inmediato anterior, y que se han generado diversos documentos que crean presunción de la existencia de la comunidad que de hecho tenemos, verbigracia, es el plano de confirmación de terrenos comunales de fecha 01 de julio de 1960, que en copia certificada agregamos a la presente como anexo tres.
Así mismo, se agrega el acta de posesión y deslinde de San Felipe Pueblo Nuevo de fecha 25 de septiembre de 1992, y el plano proyecto de su Reconocimiento y Titulación de Bienes Comunales, donde se observa la colindancia con nuestra comunidad, y que hace presunción de la posesión y existencia que de hecho tenemos, documental que en copia certificada agregamos a la presente como anexo cuatro.
Del mismo modo, agregamos a la presente el expediente en copia certificada que contiene el dictamen positivo de San Felipe Pueblo Nuevo, dentro del cual se hace referencia la superficie de terrenos comunales que forman parte de la comunidad de Santiago Acutzilapan, y que se encuentran libres de conflicto, documental que se agrega a la presente como anexo cinco, así como la publicación del citado expediente en el diario oficial de la federación de fecha 24 de diciembre de 1991, el cual se agrega a la presente como anexo seis.
 
6.- El motivo por el cual hasta ahora promovemos el reconocimiento de la comunidad agraria de Santiago Acutzilapan, municipio de Atlacomulco, Estado de México, se debe a que existía conflicto por una pequeña superficie que se encuentra en conflicto; por esa razón se nos ha impedido participar en los diferentes programas gubernamentales de apoyo al campo, que al efecto otorgan los tres niveles de gobierno, razón por la cual nos vemos en la imperiosa necesidad de acudir ante este H. Tribunal Agrario y así tener seguridad y certeza jurídica en la tenencia de la tierra libre de conflicto.
7.- Manifestamos a éste H. Tribunal Agrario que los que promovemos y suscribimos la presente demanda estamos totalmente de acuerdo en la Acción de Reconocimiento de Régimen Comunal Sobre la Superficie de Tierras libres de conflicto, que poseemos desde tiempo inmemorial y se nos reconozca legalmente como comuneros de la comunidad agraria de Santiago Acutzilapan, municipio de Atlacomulco, Estado de México; por lo que compareceremos ante éste Órgano Jurisdiccional el día y hora que se señale para la celebración de la audiencia de Ley a ratificar el presente escrito de demanda, reiterando una vez más que la comunidad a la que pertenecemos siempre ha guardado de hecho y por derecho el Estado Comunal, ya que la posesión que se detenta al interior de la misma siempre ha sido de manera pública, pacífica, continua, ininterrumpida y de buena fe, sin afectar los derechos o intereses de terceros.
RECONOCIMIENTO Y TITULACION DE BIENES COMUNALES, BASTA PROBAR LA COLINDANCIA Y LA POSESION PARA SER LLAMADO AL PROCEDIMIENTO DE. (se transcribe)
8.- Finalmente, es importante reiterar, que la comunidad de Santiago Acutzilapan ya había sido reconocida como tal; sin embargo, la comunidad de San Felipe Pueblo Nuevo se apersonó al procedimiento, por lo que la Suprema Corte de Justicia de la Nación, mediante sentencia, determina revocar la resolución dictada en fecha nueve de junio de mil novecientos cincuenta y nueve, que resolvía procedente la confirmación y titulación de terrenos comunales promovido por vecinos de Santiago Acutzilapan, derivado del conflicto con la comunidad de San Felipe Pueblo Nuevo, es por ello que al instar el presente juicio, solamente sobre tierras libres de conflicto, dejando pendiente la superficie en conflicto, para que en un procedimiento posterior, se resuelva el conflicto de tierras conforme a los lineamientos establecidos en la sentencia referida, la cual se agrega a la presente como anexo siete." (sic)
A efecto de acreditar sus pretensiones, los promoventes aportaron como medios de convicción los siguientes:
1.- Actas de nacimiento, constancias de origen y avecindad, expedidas y signadas por el Delegado Municipal de SANTIAGO ACUTZILAPAN, municipio de ATLACOMULCO, ESTADO DE MÉXICO; así como de las credenciales para votar de los solicitantes, (f. 12 a 222).
2.- Plano Topográfico de la superficie solicitada en comunidad por SANTIAGO ACUTZILAPAN, (F. 223).
3.- Copia de la resolución de nueve de diciembre de mil novecientos setenta y cuatro, dictada dentro del Juicio de Inconformidad 1/959, promovido por el poblado de SAN FELIPE DE LAS PAPAS O PUEBLO NUEVO, municipio de ATLACOMULCO, ESTADO DE MÉXICO, (f. 224 a 248).
4.- Acta de posesión y deslinde relativa al reconocimiento y titulación de bienes comunales para el poblado de SAN FELIPE PUEBLO NUEVO, municipio de ATLACOMULCO, ESTADO DE MÉXICO, (f. 250 a 255).
5.- Plano proyecto relativo al reconocimiento y titulación de bienes comunales de SAN FELIPE DE LAS PAPAS PUEBLO NUEVO, municipio de ATLACOMULCO, ESTADO DE MÉXICO, (f. 256).
6.- Plano definitivo relativo al reconocimiento y titulación de bienes comunales de SAN FELIPE DE LAS PAPAS O PUEBLO NUEVO, municipio de ATLACOMULCO, ESTADO DE MÉXICO, (f. 257).
7.- Dictamen del Cuerpo Consultivo Agrario relativo al reconocimiento y titulación de bienes comunales del poblado SAN FELIPE PUEBLO NUEVO, municipio de ATLACOMULCO, ESTADO DE MÉXICO, (f. 259 a 301).
8.- Plano topográfico de la superficie solicitada en comunidad por SANTIAGO ACUTZILAPAN, (F. 303).
9.- Copia del Diario Oficial de la Federación, de veinticuatro de diciembre de mil novecientos noventa y uno, en que se publicó la resolución de reconocimiento y titulación de bienes comunales del poblado SAN FELIPE PUEBLO NUEVO, municipio de ATLACOMULCO, ESTADO DE MÉXICO, (f. 304 a 312).
10.- Plano informativo del reconocimiento y titulación de bienes comunales del poblado SAN FELIPE DE LAS PAPAS O PUEBLO NUEVO, municipio de ATLACOMULCO, ESTADO DE MÉXICO, (f. 313).
 
11.- Plano de confirmación de terrenos comunales titulados poblado de SANTIAGO ACUTZILAPAN, municipio de ATLACOMULCO, ESTADO DE MÉXICO, (f. 315).
12.- Dictamen paleográfico de las diligencias correspondientes al pueblo de SAN FELIPE DE LAS PAPAS (HOY PUEBLO NUEVO), municipio de ATLACOMULCO, ESTADO DE MÉXICO, (f. 317 a 320).
13.- Informe de revisión técnica de los trabajos técnicos informativos relativos en el núcleo de población SAN FELIPE DE LAS PAPAS HOY PUEBLO NUEVO, municipio de ATLACOMULCO, ESTADO DE MÉXICO, (f. 321 a 375).
V. En el presente asunto, ALFONSO FUENTES VALDÉS, ROGELIO SÁNCHEZ SIERRA Y ALEJANDRO PÉREZ ALCÁNTARA, representantes de: PEDRO SANTIAGO RAMÍREZ, RICARDA SÁNCHEZ SANTIAGO, VERÓNICA PÉREZ ALCÁNTARA, JUAN SANTIAGO RAMÍREZ, MARÍA GUADALUPE CASTRO CASTAÑEDA, MARCELINA PÉREZ CASTRO, MARÍA ELENA CASTRO LOVERA, CARMEN APOLONIO SÁNCHEZ, MA. DEL REFUGIO GARCÍA MONROY, ALEJANDRO PÉREZ ALCÁNTARA, SEVERIANO CARRILLO ESTEFANA, MIGUEL DE JESÚS MATEO, MARGARITA HERNÁNDEZ MAURICIO, FELIPE MIGUEL TIBURCIO, GREGORIO MARTÍNEZ SÁNCHEZ, MA. GUADALUPE DIANA CASTRO LOVERA, FERNANDO PÉREZ ALCÁNTARA, JACINTA SÁNCHEZ SIERRA, ROGELIO SÁNCHEZ SIERRA, ANGELINA SÁNCHEZ MIRANDA, JUAN DOMINGO SÁNCHEZ, SILVIA SÁNCHEZ SIERRA, MARÍA PÉREZ ALCÁNTARA, FELIPA DOMINGO SÁNCHEZ, LUIS MATEO MEDINA, ALFONSO FUENTES VALDÉS, LORENZO NICOLÁS MATEO, JULIO JOSÉ MATEO JACINTO, FELIPE MATEO JACINTO, ROGELIO MATEO JACINTO, ROSA MARÍA HERNÁNDEZ SANTIAGO, MA. DE LOURDES MATEO LEOCADIO, TERESA HERNÁNDEZ ILDEFONSO, MARÍA ESTHER MATEOS LEOCADIO, TERESA MATEOS VALDÉZ, MA. GUADALUPE AGUSTÍN CEDILLO, ALEJANDRA SÁNCHEZ AGUSTÍN, PORFIRIO ESTEBAN ALBINO, MA. GUADALUPE SÁNCHEZ GABRIEL, ALEJANDRO JOSÉ ÁLVAREZ, JOSÉ LUIS NICOLÁS ISIDORO, SILVANO HERNÁNDEZ RAMÍREZ, ROSA FELICIANO RAMÍREZ, FRANCISCO CARREOLA SÁNCHEZ, MARCOS MENDOZA QUIRINO, MARÍA RAMÍREZ DOMÍNGUEZ, HILARIO HERNÁNDEZ SÁNCHEZ, ALICIA MENDOZA APOLONIO, GERMÁN SÁNCHEZ RAMÍREZ, HERCULANO BENITO SÁNCHEZ, MARÍA JUANA SÁNCHEZ DOMINGO, FRANCISCO SANTIAGO RAMÍREZ, ANTONIA SÁNCHEZ DOMINGO, ROSA MARÍA APOLONIO JOSÉ, MA. GUADALUPE MARCOS ALEJANDRO, MARTHA DE JESÚS SANTIAGO, JOSÉ GABRIEL CEDILLO, ELVIRA SÁNCHEZ DOMINGO, MARCELINA ISIDORO BENITO, JERÓNIMO RAMÍREZ DOMINGO, JOSÉ SÁNCHEZ AGUSTÍN, FRANCISCO HERNÁNDEZ ANTONIO, ESTEBAN GÓMEZ SÁNCHEZ, ELODIA SÁNCHEZ VENEGAS, TERESA RAMÍREZ AGAPITO, PAULA ANASTACIO AGUSTÍN, MARGARITA SÁNCHEZ ILDEFONSO, CANDELARIA MATEO SÁNCHEZ, JOSÉ SEVERIANO HERNÁNDEZ VÁSQUEZ, MIGUEL LIBRADO DOMINGO; solicitaron de este tribunal agrario en la vía de jurisdicción voluntaria, el reconocimiento del régimen comunal de la comunidad de SANTIAGO ACUTZILAPAN, municipio de ATLACOMULCO, ESTADO DE MÉXICO.
En este sentido, resulta relevante abordar el análisis de la vía de Jurisdicción voluntaria, prevista en los artículos 165 y 167 de la Ley Agraria, los cuales a la letra señalan:
"Artículo 165. Los tribunales agrarios, además, conocerán en la vía de jurisdicción voluntaria de los asuntos no litigiosos que les sean planteados, que requieran la intervención judicial, y proveerán lo necesario para proteger los intereses de los solicitantes."
"Artículo 167. El Código Federal de Procedimientos Civiles es de aplicación supletoria, cuando no exista disposición expresa en esta ley, en lo que fuere indispensable para completar las disposiciones de este título y que no se opongan directa o indirectamente."
De lo anterior puede advertirse, que a las normas agrarias le son aplicables supletoriamente aquellas que contempla el Código Federal de Procedimientos Civiles, de aplicación supletoria en materia agraria, cuando no exista disposición expresa en la Ley Agraria, para todo aquello que fuere necesario y completar sus disposiciones, siempre que no se oponga a ésta directa o indirectamente.
Asimismo, el primer artículo transcrito dispone que los Tribunales Agrarios conocerán en vía de jurisdicción voluntaria de los asuntos no litigiosos que les sean planteados y que se requieran la intervención judicial.
Por tanto, a fin de resolver el presente asunto, se acude supletoriamente a lo que prevé el Código Federal de Procedimientos Civiles en torno a los procedimientos de Jurisdicción Voluntaria, ya que éstos están contemplados en la Ley Agraria, pero a su vez, ésta no contiene la normatividad necesaria para su desahogo procesal.
 
Así, los artículos 530 y 533 del Código Federal de Procedimientos Civiles, establecen:
"Artículo 530. La jurisdicción voluntaria comprende todos los actos en que, por disposición de la ley o por solicitud de los interesados, se requiere la intervención del Juez, sin que esté promovida ni se promueva cuestión alguna entre partes determinadas.
"Artículo 533. Si, a la solicitud promovida, se opusiere parte legítima, se seguirá el negocio conforme a los trámites establecidos para el juicio.
Si la oposición se hiciere por quien no tenga personalidad ni interés para ello, el Juez la desechará de plano, igualmente desechará las oposiciones presentadas después de efectuado el acto de jurisdicción voluntaria, reservando su derecho al opositor."
De lo antes mencionado, se sigue que la jurisdicción voluntaria comprende los actos que requieren, sea por disposición de la Ley o por solicitud de interesados, de la intervención del Juez, siempre que no esté promovida o se promueva cuestión alguna entre partes determinadas y, si a la solicitud presentada se opusiera parte legítima, se seguirá el negocio conforme a los trámites establecidos para el juicio; al caso resulta ilustrativo, la siguiente tesis:
"JURISDICCION VOLUNTARIA. EN QUE CONSISTE. (LEGISLACION DEL ESTADO DE PUEBLA). De acuerdo con lo dispuesto por el artículo 1472 del Código de Procedimientos Civiles del Estado de Puebla, la jurisdicción voluntaria comprende todos los actos en que, por disposición de la ley o por solicitud de los interesados, se requiere la intervención de la autoridad judicial, sin que esté promovida ni se promueva cuestión alguna entre partes determinadas. Por tanto, la jurisdicción voluntaria es un procedimiento de mera constatación o demostración de hechos o circunstancias en el que no es legalmente posible ejercitar acciones respecto de las cuales proceda oponer excepciones, puesto que ese procedimiento sólo es procedente cuando no se plantea o suscita controversia alguna o conflicto entre partes determinadas, ya que de darse, habrá de tocarse en jurisdicción contenciosa, terminándose así la voluntaria."(1)
Con lo anterior puede advertirse con claridad, que la Jurisdicción Voluntaria es un procedimiento que si bien, se tramita ante el órgano jurisdiccional, también lo es, que dicho procedimiento es un acto paraprocesal, no contencioso y sin litigio, en el cual interviene el Juez sin que exista cuestión alguna entre las partes conocidas ni determinadas por disposición expresa de la Ley, de ahí que la característica propia de la Jurisdicción Voluntaria es la inexistencia o ausencia de una contradicción entre partes, es decir, la no existencia de un conflicto, ya que como lo señala con exactitud el artículo 530 del Código Federal de Procedimientos Civiles, de aplicación supletoria en materia agraria, el objeto de todo trámite en vía de Jurisdicción Voluntaria es que el Juez intervenga para dar certeza jurídica a cierto acto solicitado, sin que exista previamente o se promueva para dilucidar un punto o materia dudoso o discutible, pues una de las características esenciales de esta figura es la ausencia de controversia, litigio, conflicto u oposición de intereses entre las partes; en lo conducente, resulta aplicable al caso la siguiente tesis:
"JURISDICCIÓN VOLUNTARIA. OBJETO DE LAS DILIGENCIAS. El supuesto de procedencia de la jurisdicción voluntaria establecido en el artículo 530 del Código Federal de Procedimientos Civiles, implica la solicitud de la parte interesada, con el objeto de que el Juez intervenga para dar certeza jurídica a cierto acto solicitado, sin que deba existir previamente o se promueva para dilucidar un punto o materia dudoso o discutible, pues una de las características esenciales de esta figura es la ausencia de controversia, litigio, conflicto u oposición de intereses entre las partes. Por tanto, el escrito de jurisdicción voluntaria no constituye una propuesta de demanda para la decisión de si tiene o no derecho al cumplimiento de ciertas obligaciones o si es indebida la causa por la cual se incumplieron, pero son aspectos que pueden ser narrados por el solicitante como causa de pedir la intervención judicial para que se haga saber a la contraparte su interés en que cumpla, lo cual no desborda el supuesto de procedencia de la jurisdicción voluntaria."(2)
Ahora bien, el reconocimiento como comunidad a los núcleos de población o reconocimiento y titulación de bienes comunales, tiene como propósito el confirmar sin limitaciones el derecho sobre una superficie de terreno, como lo dispone el artículo 27 de la Constitución Política de los Estados Unidos Mexicanos, puesto que las comunidades de hecho, son aquellas a las cuales se les reconoce la posesión aun cuando no tuvieran título; es decir, el reconocimiento y titulación de bienes comunales como su nombre lo indica reconoce o confirma los bienes que el poblado solicitante ha venido poseyendo en tal carácter, mientras que las comunidades de derecho, son aquellas que si bien, solicitan su reconocimiento en tal carácter, también lo es que estas últimas cuentan con documentos o títulos que en su momento les hubieren amparado la superficie de la cual solicitan su reconocimiento; al caso resulta aplicable el criterio jurisprudencial siguiente:
"AGRARIO. COMUNIDADES DE HECHO Y DE DERECHO. PERSONALIDAD. En relación con la distinción entre comunidades de hecho y de derecho, y comunidades, verdaderas copropiedades sujetas al derecho civil, cabe efectuar las siguientes
consideraciones: la propiedad de los indios sufrió muchos ataques a partir de la conquista española, pero, al decir de algunos historiadores, la propiedad más respetada fue la que pertenecía a los barrios (calpulli), propiedad comunal de los pueblos. Sin embargo, cuando se empezó a legislar sobre la propiedad, se ordenó respetar la de los indios, y, por medio de varias disposiciones, se procuró organizarla sobre las mismas bases generales que la sustentaban antes de la conquista, a saber, en la forma de propiedad comunal. La mayor parte de la propiedad de los pueblos indígenas quedó, por tanto, como en la época precolonial. Algunos de esos pueblos vieron confirmada su posesión inmemorial, anterior a la colonia, por los reyes de España, durante el virreinato; otros recibieron tierras por orden de dichos monarcas, durante el gran proceso de concentración de los indios dispersos, en pueblos, que se efectuó en cumplimiento, entre otras, de las cédulas de 21 de marzo de 1551 y 19 de febrero de 1560. En la Ley de 6 de enero de 1915, promulgada por Venustiano Carranza, uno de los considerandos decía: "Que según se desprende de los litigios existentes, siempre han quedado burlados los derechos de los pueblos y comunidades, debido a que, careciendo ellos, conforme al artículo 27 de la Constitución Federal, de capacidad para adquirir y poseer bienes raíces, se les hacía carecer también de personalidad jurídica para defender sus derechos". En la 61a. sesión ordinaria del Congreso Constituyente de Querétaro, celebrada la tarde del jueves 25 de enero de 1917, se presentó una iniciativa, suscrita por varios diputados, referente a la propiedad en la República. Entre los párrafos importantes de la exposición de motivos de la iniciativa, se encuentran los que a continuación se transcriben: "Los derechos de dominio concedidos a los indios, eran alguna vez individuales y semejantes a los de los españoles, pero generalmente eran dados a comunidades y revestían la forma de una propiedad privada restringida. Aparte de los derechos expresamente concedidos a los españoles y a los indígenas, los reyes, por el espíritu de una piadosa jurisprudencia, respetaban las diversas formas de posesión de hecho que mantenían muchos indios, incapaces, todavía, por falta de desarrollo evolutivo, de solicitar y de obtener concesiones expresas de derechos determinados. Por virtud de la Independencia se produjo en el país una reacción contra todo lo tradicional y por virtud de ella se adoptó una legislación civil incompleta, porque no se refería más que a la propiedad plena y perfecta, tal cual se encuentra en algunos pueblos de Europa. Esa legislación favorecía a las clases altas, descendientes de los españoles coloniales, pero dejaba sin amparo y sin protección a los indígenas. Aunque desconocidas por las leyes desde la Independencia, la propiedad reconocida y la posesión respetada de los indígenas, seguían, si no de derecho, de hecho, regidas por las leyes coloniales; pero los despojos sufridos eran tantos, que no pudiendo ser remediados por los medios de la justicia, daban lugar a depredaciones compensativas y represiones sangrientas. Ese mal se agravó de la Reforma en adelante, porque los fraccionamientos obligados de los terrenos comunales de los indígenas, favorecieron la formación de la escasa propiedad pequeña que tenemos, privó a los indígenas de nuevas tierras, puesto que a expensas de las que antes tenían, se formó la referida pequeña propiedad. Precisamente el conocimiento exacto de los hechos sucedidos, nos ha servido para comprender las necesidades indeclinables de reparar errores cometidos. Es absolutamente necesario que en lo sucesivo nuestras leyes no pasen por alto los hechos que palpitan en la realidad, como hasta ahora ha sucedido, y es más necesario aún que la ley constitucional, fuente y origen de todas las demás que habían de dictarse, no eluda, como lo hizo la de 1857, las cuestiones de propiedad, por miedo a las consecuencias. Así, pues, la nación ha vivido durante cien años con los trastornos producidos por el error de haber adoptado una legislación extraña e incompleta en materia de propiedad, preciso será reparar ese error para que aquellos trastornos tengan fin. Volviendo a la legislación civil, como ya dijimos, no conoce más que la propiedad privada perfecta; en los códigos civiles de la República apenas hay una que otra disposición para las corporaciones de plena propiedad privada permitidas por las leyes constitucionales: en ninguna hay una sola disposición que pueda regir ni la existencia, ni el funcionamiento, ni el desarrollo de todo ese mundo de comunidades que se agita en el fondo de nuestra Constitución social: las leyes ignoran que hay condueñazgos, rancherías, pueblos, congregaciones, tribus, etcétera; y es verdaderamente vergonzoso que, cuando se trata de algún asunto referente a las comunidades mencionadas, se tienen que buscar las leyes aplicables en las compilaciones de la época colonial, que no hay cinco abogados en toda la República que conozcan bien. En lo sucesivo, las cosas cambiarán. El proyecto que nosotros formulamos reconoce tres clases de derechos territoriales que real y verdaderamente existen en el país; la de la propiedad privada plena, que puede tener sus dos ramas, o sea la individual y la colectiva; la de la propiedad privada restringida de las corporaciones o comunidades de población y dueñas de tierras y aguas poseídas en
comunidad; y la de posesiones de hecho, cualquiera que sea el motivo y condición. A establecer la primera clase van dirigidas las disposiciones de las fracciones I, II, III, V, VI y VII de la proposición que presentamos; a restablecer la segunda van dirigidas las disposiciones de las fracciones IV y VIII; a incorporar la tercera con las otras dos van encaminadas las disposiciones de la fracción XIII. La iniciativa anteriormente citada, previo dictamen y discusión, se aprobó con modificaciones y pasó a ser el artículo 27 de la nueva Constitución. La fracción IV de la iniciativa pasó a ser la fracción VI del texto, que fue aprobado en los siguientes términos: "VI. Los condueñazgos, rancherías, pueblos, congregaciones, tribus y demás corporaciones de población, que de hecho o por derecho guarden el estado comunal, tendrán capacidad para disfrutar en común las tierras, bosques y aguas que les pertenezcan o que se les hayan restituido o restituyeren, conforme a la ley de 6 de enero de 1915, entre tanto la ley determina la manera de hacer el repartimiento únicamente de las tierras". Mediante reforma publicada en el Diario Oficial del 10 de enero de 1934, la fracción VI paso a ser fracción VII con la siguiente redacción: "VII. Los núcleos de población que de hecho o por derecho guarden el estado comunal, tendrán capacidad para disfrutar en común las tierras que les pertenezcan o que se les hayan restituido o restituyeren". En el dictamen emitido por las Comisiones Unidas, 1a. Agraria, 2a. De Puntos Constitucionales y 1a. de Gobernación y presidente de la Gran Comisión de la Cámara de Diputados, únicamente se dice que ya es tiempo de buscar una redacción definitiva del artículo 27 constitucional y que "el punto de categoría política, por ejemplo, ha quedado totalmente eliminado, y en el texto que hoy se propone se habla genéricamente de núcleos de población, en lugar de hacer la enumeración, posiblemente restrictiva, de pueblos, rancherías, etcétera". En la reforma publicada en el Diario Oficial del 6 de diciembre de 1937, la fracción VII del artículo 27 constitucional se adicionó y desde esa fecha ha tenido la misma redacción. Los breves datos históricos y jurídicos aquí expuestos, en punto a las comunidades indígenas, permite concluir que por comunidad de derecho el Constituyente quiso referirse a aquellos grupos de indígenas que vieron confirmada su posesión por los reyes de España durante la época colonial, o que recibieron tierras durante el proceso de concentración de los indios dispersos, en pueblos, durante dicha época, o que por cualquier otro título tuvieran reconocido su derecho a determinadas tierras, bosques y aguas; y atribuyó existencia jurídica a las comunidades de hecho, al reconocerles existencia jurídica constitucional a las posesiones respetadas por los monarcas españoles, aun cuando no tuvieran título, o a aquellas posesiones que a partir de la conquista adquirieron algunos pueblos. Y por último, el aceptar la tesis de una tercera categoría de comunidades, sin personalidad para comparecer ante una autoridad judicial, es regresar al estado que guardaban las comunidades en el periodo comprendido entre la consumación de la Independencia y la Constitución de 1917 y que se agravó por la ley de 25 de junio de 1856. Finalmente, el artículo 27, fracción VII, constitucional, reconoce personalidad jurídica a los núcleos de población que de hecho o por derecho guarden el estado comunal, sin hacer distinción entre los que tengan títulos coloniales o de la época independiente y los que no tengan título, y si la norma fundamental no distingue, el intérprete tampoco puede hacer distinción."
En ese tenor, una vez establecido de manera somera la diferencia entre una comunidad de hecho y de Derecho, en virtud de la vía por la cual los solicitantes en el presente asunto realizaron su petición, este órgano jurisdiccional estima necesario, traer a colación lo establecido por el artículo 98, fracción II, de la Ley Agraria la cual señala:
"Artículo 98.- El reconocimiento como comunidad a los núcleos agrarios deriva de los siguientes procedimientos:
I.    Una acción agraria de restitución para las comunidades despojadas de su propiedad;
II.   Un acto de jurisdicción voluntaria promovido por quienes guardan el estado comunal cuando no exista litigio en materia de posesión y propiedad comunal;
III.   La resolución de un juicio promovido por quienes conserven el estado comunal cuando exista litigio u oposición de parte interesada respecto a la solicitud del núcleo; o
IV.  El procedimiento de conversión de ejido a comunidad.
De estos procedimientos se derivará el registro correspondiente en los registros públicos de la Propiedad y Agrario Nacional."
Por ello, los promoventes al solicitar el reconocimiento de Régimen Comunal previsto en los artículos 18 fracciones II y X de la Ley Orgánica de los Tribunales Agrarios, respecto de una superficie de 967-17-31.00 hectáreas, ubicada dentro de las inmediaciones del poblado denominado SANTIAGO ACUTZILAPAN, municipio de ATLACOMULCO, ESTADO DE MÉXICO; tienen que acreditar los siguientes elementos:
1) Tener la posesión del inmueble a solicitar; y
2) No contar con conflicto de la posesión, de la superficie de la cual se solicita su reconocimiento.
En esa tesitura, PEDRO SANTIAGO RAMÍREZ, RICARDA SÁNCHEZ SANTIAGO, VERÓNICA PÉREZ ALCÁNTARA, JUAN SANTIAGO RAMÍREZ, MARÍA GUADALUPE CASTRO CASTAÑEDA, MARCELINA PÉREZ CASTRO, MARÍA ELENA CASTRO LOVERA, CARMEN APOLONIO SÁNCHEZ, MA. DEL REFUGIO GARCÍA MONROY, ALEJANDRO PÉREZ ALCÁNTARA, SEVERIANO CARRILLO ESTEFANA, MIGUEL DE JESÚS MATEO, MARGARITA HERNÁNDEZ MAURICIO, FELIPE MIGUEL TIBURCIO, GREGORIO MARTÍNEZ SÁNCHEZ, MA. GUADALUPE DIANA CASTRO LOVERA, FERNANDO PÉREZ ALCÁNTARA, JACINTA SÁNCHEZ SIERRA, ROGELIO SÁNCHEZ SIERRA, ANGELINA SÁNCHEZ MIRANDA, JUAN DOMINGO SÁNCHEZ, SILVIA SÁNCHEZ SIERRA, MARÍA PÉREZ ALCÁNTARA, FELIPA DOMINGO SÁNCHEZ, LUIS MATEO MEDINA, ALFONSO FUENTES VALDÉS, LORENZO NICOLÁS MATEO, JULIO JOSÉ MATEO JACINTO, FELIPE MATEO JACINTO, ROGELIO MATEO JACINTO, ROSA MARÍA HERNÁNDEZ SANTIAGO, MA. DE LOURDES MATEO LEOCADIO, TERESA HERNÁNDEZ ILDEFONSO, MARÍA ESTHER MATEOS LEOCADIO, TERESA MATEO VALDÉZ, MA. GUADALUPE AGUSTÍN CEDILLO, ALEJANDRA SÁNCHEZ AGUSTÍN, PORFIRIO ESTEBAN ALBINO, MA. GUADALUPE SÁNCHEZ GABRIEL, ALEJANDRO JOSÉ ÁLVAREZ, JOSÉ LUIS NICOLÁS ISIDORO, SILVANO HERNÁNDEZ RAMÍREZ, ROSA FELICIANO RAMÍREZ, FRANCISCO CARREOLA SÁNCHEZ, MARCOS MENDOZA QUIRINO, MARÍA RAMÍREZ DOMÍNGUEZ, HILARIO HERNÁNDEZ SÁNCHEZ, ALICIA MENDOZA APOLONIO, GERMÁN SÁNCHEZ RAMÍREZ, HERCULANO BENITO SÁNCHEZ, MARÍA JUANA SÁNCHEZ DOMINGO, FRANCISCO SANTIAGO RAMÍREZ, ANTONIA SÁNCHEZ DOMINGO, ROSA MARÍA APOLONIO JOSÉ, MA. GUADALUPE MARCOS ALEJANDRO, MARTHA DE JESÚS SANTIAGO, JOSÉ GABRIEL CEDILLO, ELVIRA SÁNCHEZ DOMINGO, MARCELINA ISIDORO BENITO, JERÓNIMO RAMÍREZ DOMINGO, JOSÉ SÁNCHEZ AGUSTÍN, FRANCISCO HERNÁNDEZ ANTONIO, ESTEBAN GÓMEZ SÁNCHEZ, ELODIA SÁNCHEZ VENEGAS, TERESA RAMÍREZ AGAPITO, PAULA ANASTACIO AGUSTÍN, MARGARITA SÁNCHEZ ILDEFONSO, CANDELARIA MATEO SÁNCHEZ, JOSÉ SEVERIANO HERNÁNDEZ VÁSQUEZ, MIGUEL LIBRADO DOMINGO; representados por ALFONSO FUENTES VALDÉS, ROGELIO SÁNCHEZ SIERRA Y ALEJANDRO PÉREZ ALCÁNTARA, solicitaron en la vía de jurisdicción voluntaria el reconocimiento y titulación de 967-17-31.00 hectáreas que poseen de hecho, ubicadas dentro de las inmediaciones del poblado del mismo nombre, aduciendo toralmente que han guardado de hecho y por derecho el estado comunal, libre de conflicto; precisaron que la comunidad de Santiago Acutzilapan ya había sido reconocida como tal mediante Resolución Presidencial en la que les reconocieron 1,640-42-00 hectáreas, pero que debido a la inconformidad de la comunidad de SAN FELIPE PUEBLO NUEVO, quien se apersonó al procedimiento ante la Suprema Corte de Justicia de la Nación, se determinó revocar la resolución dictada; por lo que ahora, instan el presente juicio, solamente sobre tierras libres de conflicto, dejando pendiente la superficie en conflicto con SAN FELIPE PUEBLO NUEVO, para un procedimiento posterior.
A efecto de sustentar los hechos en que fundan su pretensión de reconocimiento de comunidad, los solicitantes exhibieron, entre otras probanzas, las constancias de origen y vecindad de los promoventes expedidas y signadas por el Delegado Municipal en SANTIAGO ACUTZILAPAN, municipio de ATLACOMULCO, ESTADO DE MÉXICO; la resolución dictada el nueve de diciembre de mil novecientos setenta y cuatro por la Suprema Corte de Justicia de la Nación, dentro del expediente 1/959, relativo al Juicio de Inconformidad promovido por el poblado de SAN FELIPE DE LAS PAPAS O PUEBLO NUEVO, municipio de ATLACOMULCO, ESTADO DE MÉXICO, en contra de la Resolución Presidencial publicada en el Diario Oficial de veinticinco de agosto de mil novecientos cincuenta y nueve que confirmó al poblado SANTIAGO ACUTZILAPAN una superficie de 1,640-42-00 hectáreas; (f. 224 a 248) La mencionada resolución en sus puntos resolutivos estableció:
"PRIMERO.- Se revoca la resolución presidencial, dictada el nueve de junio de mil novecientos cincuenta y nueve en el expediente sobre Confirmación y Titulación de Terrenos Comunales promovido por vecinos del poblado ACUTZILAPAN, para el efecto de que el Departamento de Asuntos Agrarios y Colonización, de acuerdo con el artículo 318 del Código Agrario, formule un nuevo proyecto de resolución definitiva en el que tomará en consideración los elementos de prueba a que se refiere el párrafo final del último Considerando del presente fallo, a fin de resolver el conflicto existente entre ambas comunidades, en cuanto a la superficie en litigio...". (Sic).
Como se advierte, al resolverse el Juicio de Inconformidad 1/959, se revocó la Resolución Presidencial de nueve de junio de mil novecientos cincuenta y nueve, que había confirmado y titulado 1,640-42-00 hectáreas, a favor de la comunidad de SANTIAGO ACUTZILAPAN, municipio de ATLACOMULCO, ESTADO DE MÉXICO debido a la inconformidad de la comunidad de SAN FELIPE PUEBLO NUEVO; y por esta razón, en el presente procedimiento los promoventes solicitan ahora, en la vía de jurisdicción voluntaria, el reconocimiento de régimen comunal de SANTIAGO ACUTZILAPAN, respecto de una superficie de 967-17-31.00 hectáreas que aducen tener en posesión libre de conflicto de manera pública, pacífica, continua y de buena fe, sin afectar derechos o intereses de terceros, conforme al plano que agregaron a su escrito inicial de demanda, (f. 223).
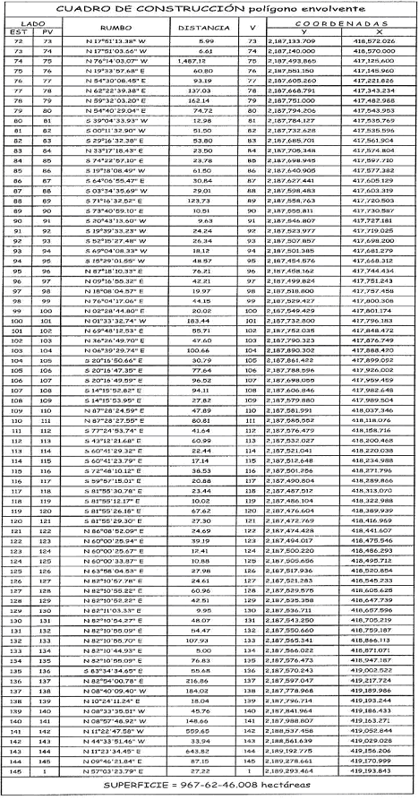
Así las cosas, en virtud de la acción de reconocimiento y titulación de bienes comunales, presentada por el poblado de SANTIAGO ACUTZILAPAN, en la audiencia del veintinueve de enero de dos mil dieciocho, se instruyó al perito de la adscripción, realizar los trabajos técnicos topográficos a efecto de identificar la superficie solicitada en reconocimiento de comunidad; el profesionista de mérito rindió su dictamen el siete de mayo de dos mil dieciocho, en el que detalló la superficie solicitada en reconocimiento por los actores, descrita en el plano informativo y su aclaración engrosados al expediente que nos ocupa (fojas 3222 y 3243) es de 967-12-52.220 hectáreas, la cual corresponde satisfactoriamente a lo verificado en campo, y no presenta conflicto alguno con sus respectivas propiedades colindantes que sus trabajos realizados contienen las coordenadas, rumbos y distancias que se anotan en el cuadro de construcción siguiente:

 

A los trabajos técnicos anteriores se le otorga valor probatorio en términos de lo dispuesto por el artículo 211(3) del Código Federal de Procedimientos Civiles de aplicación supletoria a la materia agraria, encontrando sustento también en lo razonado en la siguiente Jurisprudencia, aplicada por analogía:
"PERITOS. VALOR DE SUS DICTAMENES. El juzgador disfruta de las más amplias facultades para valorar los dictámenes, incluso de los de carácter científico, y si bien es verdad que las partes tienen derecho a designar el suyo, cuando no lo hacen y no objetan durante el proceso el dictamen del perito oficial, tácitamente se han conformado con él."(4)
Así, con los trabajos técnicos y su aclaración se acredita que la superficie real solicitada por los promoventes de reconocimiento de régimen comunal es de 967-12-52.220 hectáreas, la cual fue localizada por el perito topógrafo de la adscripción, quien la plasmó en el plano que al efecto agregó a su dictamen, (f. 3222); en el que se advierten los siguientes colindantes:
1.     Ejido de SANTIAGO ACUTZILAPAN, municipio de ATLACOMULCO, ESTADO DE MÉXICO.
2.     Comunidad de SAN FELIPE PUEBLO NUEVO, municipio de ATLACOMULCO, ESTADO DE MÉXICO.
3.     Comunidad de SAN FRANCISCO CHALCHIHUAPAN Y SUS ANEXOS, SAN PEDRO DEL ROSAL y SAN ANTONIO ENCHISI, municipio de ATLACOMULCO, ESTADO DE MÉXICO.
4.     Pequeña propiedad del RANCHO SAN ISIDRO; Y
5.     Pequeña propiedad del RANCHO SAN VICENTE.
Ahora bien, en relación a la colindancia con el ejido SANTIAGO ACUTZILAPAN, municipio de ATLACOMULCO, ESTADO DE MÉXICO; en la audiencia de dieciséis de octubre de dos mil diecisiete, JERÓNIMO RAMÍREZ DOMINGO, ISMAEL MATEO PASCUAL y SILVANO HERNÁNDEZ RAMÍREZ, en su carácter de presidente, secretario y tesorero, respectivamente, del comisariado ejidal, en representación de la asamblea de ejidatarios, manifestaron su conformidad con las prestaciones de los solicitantes expresando su conformidad con los límites fijados en el libelo que obra en autos; por otra parte, mediante proveído del dieciséis de mayo de dos mil dieciocho se puso a la vista de las partes los trabajos técnicos en materia de topografía realizados por el perito de la adscripción; sin embargo, el ejido SANTIAGO ACUTZILAPAN, municipio de ATLACOMULCO, fue omiso en realizar manifestación alguna; por lo que se le tiene por conforme en cuanto a los linderos que comparte con la posesión de los solicitantes de reconocimiento de comunidad de poblado del mismo nombre.
En cuanto a la colindancia de la superficie solicitada de reconocimiento de régimen comunal con la comunidad de SAN FELIPE PUEBLO NUEVO, municipio de ATLACOMULCO, ESTADO DE MÉXICO, en la audiencia del cinco de septiembre de dos mil dieciocho, JULIÁN BLAS CHIMAL, JESÚS MANUEL ESQUIVEL y ANTONIO DIMAS MARTÍNEZ, en su carácter de presidente, secretario y tesorero, respectivamente, del comisariado de bienes comunales, al desahogar la vista que se otorgó en relación con los trabajos técnicos en materia de topografía referidos, manifestaron:
"Que en este acto con fundamento en lo dispuesto por los artículos 32, 33, 98, 99 y 107 de la Ley Agraria, en este acto se desahoga la vista dada mediante acuerdo de dieciséis de mayo de dos mil dieciocho, con el carácter de colindante de los terrenos que pretende la comunidad de hecho denominada Santiago Acutzilapan, municipio de Atlacomulco, Estado de México, precisando que se ha celebrado asamblea general de comuneros en la comunidad que representamos donde medularmente se solicitó la identificación del punto límite de los terrenos que corresponderán a la comunidad solicitante y los terrenos que se identifican como polígono 4 del área en conflicto entre Santiago Acutzilapan, municipio de Atlacomulco, Estado de México y San Felipe Pueblo Nuevo, y toda vez que se dio cumplimiento al acuerdo vertido en la audiencia próxima pasada de cuatro de julio del dos mil dieciocho, en la que acudió el ocho de agosto del año que corre el perito adscrito a este honorable Tribunal y por cuestiones de tiempo no se logró la conclusión de los trabajos que se iniciaron, sin embargo las partes San Felipe Pueblo Nuevo y Santiago Acutzilapan, acordaron comparecer el pasado treinta de agosto de dos mil dieciocho a realizar la identificación del mencionado punto y toda vez que se logró dicha identificación y manifestaron su conformidad tanto la comunidad solicitante con el órgano de representación de San Felipe Pueblo Nuevo, y visto que están formados los requerimientos realizados por la asamblea general de comuneros que representamos, se expresa que no existe inconveniente alguno las tierras que solicita le sea reconocidas SANTIAGO ACUTZILAPAN, MUNICIPIO DE ATLACOMULCO, ESTADO DE MÉXICO, en cuanto hace a la colindancia común entre ambos planos, solicitado muy atentamente a su
señoría se nos conceda el término de tres días, para el exhibir el acta de asamblea correspondiente; por otra parte, se solicita a este honorable Tribunal que en ejecución de sentencia y con apoyo en la brigada de ejecución se plante las mojoneras que resulten necesarias para identificación de los límites entre la comunidad solicitante y la comunidad de San Felipe Pueblo Nuevo." (Sic).
Asimismo, en la asamblea general de comuneros de la comunidad de SAN FELIPE PUEBLO NUEVO, municipio de ATLACOMULCO, ESTADO DE MÉXICO, celebrada el veintinueve de junio de dos mil dieciocho, (f. 3311 a 3328); se advierte el acuerdo aprobado en el punto siete de su orden del día, en los siguientes términos:
"...EL COMISARIADO DE BIENES COMUNALES, EXPONE, QUE DE NO EXISTIR OPOSICIÓN ALGUNA, A LO QUE SOLICITA LA COMUNIDAD DE SAN FELIPE PUEBLO NUEVO, NO EXISTIRÁ INCONVENIENTE ALGUNO, PARA QUE SE RECONOZCA AL POBLADO DE SANTIAGO ACUTZILAPAN, LA SUPERFICIE QUE COMO COMUNIDAD SOLICITA, YA QUE QUIEN ESTA RECONOCIENDO EL LÍMITE ENTRE LA COMUNIDAD DE SAN FRANCISCO CHALCHIHUAPAN Y SUS ANEXOS SAN PEDRO DEL ROSAL Y SAN ANTONIO ENCHISI, ES LA PROPIA COMUNIDAD SOLICITANTE, Y SI SE RESPETA EL LÍMITE DEL POLIGONO IV DE LAS TIERRAS EN CONFLICTO, EN CUANTO HACE A LA COLINDANCIA COMÚN, NO EXISTE PROBLEMA ALGUNO, Y DE IGUAL FORMA, SI EL TRIBUNAL PROVEE SOBRE LA DEBIDA IDENTIFICACIÓN EN CAMPO DEL LLAMADO PUNTO "A" DEL PLANO QUE PRESENTA LA COMUNIDAD DE SANTIAGO ACUTZILAPAN, DE IGUAL FORMA, NO EXISTIRÁ INCONVENIENTE ALGUNO EN QUE EL TRIBUNAL RESUELVA EL ASUNTO, QUE LE FUE PLANTEADO, POR LO QUE SE SOMETE A CONSIDERACIÓN DE LA ASAMBLEA LO ANTERIOR, OBTENIÉNDOSE OCHENTA Y NUEVE (89) VOTOS A FAVOR, CERO VOTOS EN CONTRA Y CERO ABSTENCIONES, LO QUE REPRESENTA EL CIEN POR CIENTO DE LOS ASAMBLEISTAS, POR LO QUE QUEDA APROBADO, QUE UNA VEZ REALIZADAS LAS PRECISIONES QUE SE INDICAN Y EL TRIBUNAL PROVEA AL RESPECTO LO QUE CORRESPONDA, RESPECTO DE LA SOLICITUD DE UBICAR EN CAMPO ADECUADAMENTE EL PUNTO LLAMADO "A", ACUDIENDO A DICHA DILIGENCIA EL PERITO ADSCRITO A ESE H. TRIBUNAL Y EL C. ACTUARIO, A FIN DE QUE DE FE DE DICHO ACTO, LA ASAMBLEA GENERAL DE COMUNEROS DE SAN FELIPE PUEBLO NUEVO, MUNICIPIO DE ATLACOMULCO, Y LAS PARTES SANTIAGO ACUTZILAPAN Y SAN FRANCISCO CHALCHIHUAPAN Y SUS ANEXOS SAN PEDRO DEL ROSAL Y SAN ANTONIO ENCHISI, SE MANIFIESTEN RESPECTO AL PUNTO CONOCIDO COMO TRINO, CHIVATI, ESTARA A LA RESOLUCIÓN QUE DICTE SU SEÑORÍA." (Sic).
Cabe precisar que el perito designado por este Tribunal, realizó trabajos topográficos complementarios, con los que detalló:
"En atención a la solicitud realizada por el comisariado de Bienes Comunales de San Felipe Pueblo Nuevo, en Audiencia de fecha 4 de julio de 2018, el Tribunal instruye al perito oficial ubicar en campo el vértice número 71 correspondiente al Plano Informativo de los terrenos solicitados en reconocimiento por el poblado de Santiago Acutzilapan, municipio de Atlacomulco, Estado de México.
Con la finalidad de atender la instrucción recibida, el que suscribe se constituyó en los terrenos solicitados en reconocimiento para realizar los trabajos topográficos de identificación del referido vértice número 71.
En virtud de lo accidentado del terreno, la diligencia de identificación requirió el empleo de dos días de trabajo de campo; los días 8 y 14 de agosto de 2018. Al segundo día de trabajo, en campo el comisariado de Bienes Comunales de San Felipe Pueblo Nuevo perfecciona su solicitud y a nombre de la comunidad que representa; señala su inquietud de que el referido vértice número 71 se encuentre en el lindero que define los dos puntos conocidos por ellos como "Tandaro" y "Chivati"; que caso contrario, la comunidad de San Felipe Pueblo Nuevo no estaría de acuerdo con los linderos solicitados por Santiago Acutzilapan; en particular con el lindero definido por los puntos 70 y 71 correspondientes al Plano Informativo aportado por Santiago Acutzilapan en el que se señalan gráficamente los terrenos solicitados en reconocimiento.
En el siguiente diagrama, se muestran los terrenos solicitados en reconocimiento por Santiago Acutzilapan y los vértices números 70 y 71 mencionados.
 

En ese orden de ideas, con el objetivo de atender la nueva solicitud del comisariado de Bienes Comunales de San Felipe Pueblo Nuevo, se realizaron las mediciones de la línea que une los puntos referidos como "Tandaro" y "Chivati"; y con ello estar en posibilidad de definir los terrenos solicitados por Santiago Acutzilapan respetan el lindero identificado en campo por los comuneros de San Felipe Pueblo Nuevo.
Lo anterior, se muestra gráficamente en el siguiente diagrama.

 
En el que mediante la letra B se Representa al referido punto denominado "Tandaro" y con la Letra C al citado punto "Chivati".
Con los trabajos de campo llevados a cabo el día 14 de agosto de 2018 se lograron verificar dos cuestiones:
La distancia entre los denominados Puntos "Tandaro" y "Chivati" la cual es de 1647 metros; Que la línea que une los puntos denominados "Tandaro" y "Chivati" es coincidente con la línea que une los vértices números 70 y 71.
Es decir, los terrenos solicitados por Santiago Acutzilapan y señalados en su Plano Informativo, no invaden los terrenos que la comunidad de San Felipe Pueblo Nuevo reconoce como suyos; en particular entre los vértices números 70 y 71.
Con los trabajos de campo de los días 8 y 14 de agosto de 2018, se logró marcar en campo el lindero que va del punto número 70 al 71, hasta una distancia de 300 metros.
No se concluyó con la ubicación del vértice número 71, debido a la solicitud del comisariado de Bienes Comunales de San Felipe Pueblo Nuevo; quien manifestó que la principal inquietud de sus representados es vigilar que se respete el lindero que ellos reconocen y el cual es la línea que une los puntos denominados "Tandaro" y "Chivati".
En resumen, con los trabajos de campo llevados a cabo los días 8 y 14 de agosto de 2018 se logró obtener la información técnica necesaria y suficiente para afirmar que:
I. Los terrenos solicitados en reconocimiento por Santiago Acutzilapan no invaden los terrenos que la comunidad de San Felipe Pueblo Nuevo señala como suyos.
II. El lindero que une a los puntos números 70 y 71; es coincidente con el lindero entre los puntos denominados "Tandaro" y "Chivati" señalados en campo por los comuneros de San Felipe Pueblo Nuevo." (sic)
Como se advierte de los trabajos complementarios rendidos por el perito de la adscripción, los terrenos solicitados por la comunidad de SANTIAGO ACUTZILAPAN, no invaden los terrenos reconocidos por la comunidad de SAN FELIPE PUEBLO NUEVO; en particular entre los vértices números 70 y 71, el cual es coincidente con el lindero entre los puntos denominados "Tandaro" y "Chivati" señalados en campo por los comuneros de San Felipe Pueblo Nuevo.
Por otra parte, este tribunal advierte que el Diario Oficial de la Federación del veinticuatro de diciembre de mil novecientos noventa y uno, relativa al reconocimiento y titulación de bienes comunales del poblado SAN FELIPE PUEBLO NUEVO, municipio de ATLACOMULCO, ESTADO DE MÉXICO, (F. 304 a 312); determinó que el poblado antes citado, comprobó debidamente estar en posesión de sus terrenos comunales de buena fe, de forma pacífica, pública y continua desde tiempo inmemorial; y que dicho poblado no tiene conflictos por límites con los colindantes, por lo que procedió a reconocer y titular correctamente a favor del poblado SAN FELIPE PUEBLO NUEVO, ubicado en municipio de ATLACOMULCO, ESTADO DE MÉXICO, una superficie total de 356-95-79.73 hectáreas; asimismo, obra a foja 362 de autos, el acta de conformidad de linderos entre las comunidades de SANTIAGO ACUTZILAPAN y SAN FELIPE DE LAS PAPAS (hoy PUEBLO NUEVO), en relación a la ubicación del punto trino denominado "Tandaro".
En las relatadas circunstancias, la condición expresada en la asamblea de comuneros de SAN FELIPE PUEBLO NUEVO del veintinueve de junio de dos mil dieciocho, en relación a que "...si el Tribunal provee sobre la debida identificación en campo del llamado punto "A" del plano que presenta la comunidad de SANTIAGO ACUTZILAPAN, de igual forma no existirá inconveniente alguno en que el tribunal resuelva el asunto..." (Sic); queda cumplida con los trabajos topográficos realizados por el Ingeniero JUAN GONZÁLEZ ROMERO, quien determinó que los terrenos solicitados por SANTIAGO ACUTZILAPAN no invaden los terrenos que la comunidad de SAN FELIPE PUEBLO NUEVO.
En cuanto a la colindancia con la comunidad de SAN FRANCISCO CHALCHIHUAPAN, municipio de ATLACOMULCO, ESTADO DE MÉXICO; JHON GUZMÁN BLAS, ANATALIO JUSTO GARCÍA y PABLO ORTEGA MARTÍNEZ, en su carácter de integrantes de comisariado de bienes comunales, mediante escrito presentado el siete de agosto de dos mil dieciocho, exhibieron el acta de asamblea general de comuneros en la cual se oponen sobre la pretensión de reconocimiento de comunidad de SANTIAGO ACUTZILAPAN, municipio de ATLACOMULCO, ESTADO DE MÉXICO, en los siguientes términos, (f. 3291 a 3297):
 
"En cuanto al punto 3.- El pronunciamiento a favor o en contra sobre la pretensión de reconocimiento de comunidad de San José Atotonilco y Santiago Acutzilapan, ambos del municipio de Atlacomulco, México: Los comuneros se oponen al reconocimiento de Santiago Acutzilapan como comunidad, manifestando que primero desocupen los vecinos de Santiago Acutzilapan las tierras que tienen invadido en el paraje "Portezuelo"..." (Sic).
Sin embargo, este tribunal advierte que no existe conflicto de linderos entre los solicitantes de reconocimiento comunal de SANTIAGO ACUTZILAPAN y la comunidad de SAN FRANCISCO CHALCHIHUAPAN; en virtud de que dentro del expediente 633/2010, del índice de este tribunal, los integrantes del Comisariado de Bienes Comunales de SAN FRANCISCO CHALCHIHUAPAN Y SUS ANEXOS, reclamaron al ejido y a la comunidad de SANTIAGO ACUTZILAPAN, la restitución de aproximadamente 130 hectáreas pertenecientes a su comunidad y al resolverse el juicio mencionado, el uno de febrero de dos mil trece, mediante la exhibición del convenio conciliatorio que celebraron ambas comunidades a fin de dar por terminada la controversia, se calificó de legal, toda vez que lo acordado entre las comunidades concertantes se encontró ajustado a derecho, habida cuenta que el objeto fundamental de dicho acto jurídico lo constituyó el respeto y el reconocimiento irrestricto a los linderos que delimitan a la comunidad de SAN FRANCISCO CHALCHIHUAPAN y los bienes comunales de SANTIAGO ACUTZILAPAN, ambos del municipio de ATLACOMULCO, ESTADO DE MÉXICO; que las comunidades concertantes se obligaron a observar en todo momento la superficie, medidas y colindancias plasmadas tanto en su respectiva resolución presidencial, como en sus actas de posesión y planos definitivos, correspondientes; encontrando soportado el convenio de marras, con los acuerdos de asambleas de las respectivas comunidades de SAN FRANCISCO CHALCHIHUAPAN y SANTIAGO ACUTZILAPAN.
En esa tesitura, si bien, la comunidad de SAN FRANCISCO CHALCHIHUAPAN, se opuso a la pretensión de reconocimiento de comunidad de SANTIAGO ACUTZILAPAN en el presente procedimiento; no menos cierto es que al resolverse el expediente 633/2010, del índice de este tribunal, el cual se tuvo a la vista en el dictado de la presente resolución; ambas comunidades convinieron en resolver sus diferendos de colindancias mediante la celebración de un convenio, en el que en su CLAUSULA SEGUNDA se advierte:
"SEGUNDA.- LAS PARTES MANIFIESTAN QUE SE COMPROMETEN A RESPETAR LA SUPERFICIE MEDIDAS Y COLINDANCIAS CON QUE FUERON DOTADOS CADA UNO DE LOS NUCLEOS AGRARIOS CONTENDIENTES EN SUS RESPECTIVAS RESOLUCIONES PRESIDENCIALES, ACTAS DE POSESIÓN DEFINITIVA Y PLANOS DEFINITIVOS; HACIENDOSE LA PRECISIÓN AQUÍ QUE DE ACUERDO A LAS RESOLUCIONES PRESIDENCIALES DE AMBAS COMUNIDADES, SE ESTABLECIÓ EN ELLAS QUE SE RESPETARÍAN LAS PEQUEÑAS PROPIEDADES QUE SE ENCUENTRAN DENTRO DEL PERÍMETRO DE LA RESPECTIVA SUPERFICIE RECONOCIDA COMO COMUNIDAD, ELLO CONFORME A LAS PUBLICACIONES QUE SE HICIERON EN EL DIARIO OFICIAL, EN FECHAS 23 DE NOVIEMBRE DE 1946 PARA EL CASO DE LA COMUNIDAD DE SAN FRANCISCO CHALCHIHUAPAN Y SUS ANEXOS, Y 29 DE ABRIL DE 1947 (APARTADO DE DICHA RESOLUCIÓN PRESIDENCIAL), PARA EL CASO DE LA COMUNIDAD DE SANTIAGO ACUTZILAPAN, AMBAS DEL MUNICIPIO DE ATLACOMULCO, ESTADO DE MÉXICO." (Sic).
Como se advierte, el convenio de mérito tomó en consideración las carpetas básicas de cada núcleo de población, conforme a las publicaciones que se hicieron en el Diario Oficial, en fechas veintitrés de noviembre de mil novecientos cuarenta y seis, para el caso de la comunidad de SAN FRANCISCO CHALCHIHUAPAN Y SUS ANEXOS, y veintinueve de abril de mil novecientos cuarenta y siete, para el caso de la comunidad de SANTIAGO ACUTZILAPAN; por lo que, si el convenio fue calificado de legal condenándose a las partes a estar y pasar por lo concertado entre ellas y se elevó a categoría de sentencia y ejecutado el doce de junio de dos mil trece y el veintinueve de abril de dos mil catorce por los integrantes de la brigada adscrita a este Tribunal; se desprende que no existe conflicto por la posesión en la colindancia entre la comunidad solicitante de SANTIAGO ACUTZILAPAN y la comunidad de SAN FRANCISCO CHALCHIHUAPAN, ambas del municipio de ATLACOMULCO, ESTADO DE MÉXICO; sirve de apoyo a la determinación anterior, el siguiente criterio:
 
"CONVENIO PARA DAR POR TERMINADA UNA CONTROVERSIA AGRARIA. SE PERFECCIONA Y OBLIGA A LAS PARTES QUE LO FORMARON, DESDE EL MOMENTO MISMO EN QUE LO SUSCRIBEN. Conforme al artículo 185, fracción VI, de la Ley Agraria, es permitida legalmente la terminación de los juicios agrarios a virtud de convenio celebrado entre las partes, y se produce ese efecto jurídico, por el hecho mismo de la suscripción del convenio respectivo, pues a diferencia de lo que ocurre en otros procedimientos, la Ley Agraria no exige para su perfeccionamiento y validez, que el Tribunal ante quien se celebra pronuncie resolución revistiéndolo de formalidad, tal como la de elevarlo a la categoría de cosa juzgada y condenar a las partes a estar y pasar por él. Pero además, porque por disposición de lo establecido en el artículo 405 del Código Federal de Procedimientos Civiles, de aplicación supletoria en los procedimientos agrarios, según el artículo 167 de la ley de la materia, las transacciones o convenios judiciales o extrajudiciales ratificados judicialmente, se equiparan a una sentencia; por consiguiente, si las partes en el juicio agrario, ante el Tribunal que conoce de la controversia, celebran un convenio de esa naturaleza, y además en el propio acto manifiestan que lo ratifican en todas y cada una de sus partes, entonces dicho convenio, por mismo, hace las veces de una sentencia. Finalmente, también es de considerar que, atento a lo dispuesto en los artículos 1792 y 1796 del Código Civil para el Distrito Federal en Materia Común y para toda la República en Materia Federal, convenio es el acuerdo de dos o más personas para crear, transferir, modificar o extinguir obligaciones, y que el mismo se perfecciona por el mero consentimiento de quienes lo suscriben, salvo cuando debe revestir una forma establecida por la ley; en tales condiciones, si las partes en el juicio agrario, manifiestan su consentimiento para obligarse en los términos del convenio, y así lo hace constar en el acta relativa, el personal del Tribunal Agrario ante quien se celebra, y además las partes autorizan el instrumento en el cual se asentó el convenio de mérito, estampando su huella digital, por razón de no saber leer ni escribir e igual lo autoriza con su firma el profesional del derecho designado por cada una de las partes como su asesor jurídico, precisamente para que las asistiera en la audiencia donde tuvo verificativo el acuerdo de voluntades, entonces, desde ese instante quedó perfeccionado el convenio de que se trata, y obliga a los convencionistas al cumplimiento de lo expresamente pactado, así como también, a las consecuencias que, según su naturaleza, son conforme a la buena fe, al uso o a la ley."(5)
Lo anterior es así, pues la resolución dictada dentro del expediente 633/2010, constituye un hecho notorio al que se le otorga valor probatorio pleno de conformidad con lo razonado en la siguiente jurisprudencia:
"HECHO NOTORIO. PARA QUE SE INVOQUE COMO TAL LA EJECUTORIA DICTADA CON ANTERIORIDAD POR EL PROPIO ÓRGANO JURISDICCIONAL, NO ES NECESARIO QUE LAS CONSTANCIAS RELATIVAS DEBAN CERTIFICARSE. Conforme al artículo 88 del Código Federal de Procedimientos Civiles, de aplicación supletoria a la Ley de Amparo, los órganos jurisdiccionales pueden invocar hechos notorios aun cuando no hayan sido alegados ni demostrados por las partes. Así, los titulares de los órganos jurisdiccionales pueden válidamente invocar como hechos notorios las resoluciones que hayan emitido, sin que resulte necesaria la certificación de las mismas, pues basta con que al momento de dictar la determinación correspondiente la tengan a la vista."(6)
En cuanto a la colindancia con la pequeña propiedad del RANCHO SAN ISIDRO, cuyo propietario es CESAR AGUSTÍN OSORNIO NARVÁEZ; así como la colindancia con la pequeña propiedad del RANCHO SAN VICENTE, cuyo propietario es GREGORIO MERCADO FLORES; al comparecer a la audiencia de dieciséis de octubre de dos mil dieciocho, ambos colindantes manifestaron su oposición a las diligencias de mérito pues señalaron que al realizarse el levantamiento topográfico que dio origen al plano que presentan los solicitantes, no se les informó del deslinde a efecto de suscribir el acta correspondiente de conformidad de linderos; por otra parte, CESAR AGUSTÍN OSORNIO NARVÁEZ y GUADALUPE MERCADO MERCADO, ésta última en su carácter de causahabiente de GREGORIO MERCADO FLORES; al contestar la vista que se les dio con los trabajos técnicos en materia de topografía elaborados por perito de este tribunal; pidieron que se aclarara y perfeccionara el plano que agregó a su dictamen, por lo que el profesionista de mérito, complementó su dictamen técnico en materia de Topografía y exhibió el plano dos que contiene los cuadros de datos con las dimensiones de todos y cada uno de los lados que constituyen el lindero del poblado SANTIAGO ACUTZILAPAN.
Así, por auto de once de junio de dos mil dieciocho, quedaron a la vista del grupo solicitante y de cada uno de los colindantes el complemento de los trabajos topográficos referidos, sin que CESAR AGUSTÍN OSORNIO NARVÁEZ, en su carácter de propietario del RANCHO SAN ISIDRO; ni GUADALUPE MERCADO MERCADO, en su carácter de causahabiente de GREGORIO MERCADO FLORES, propietario del RANCHO SAN VICENTE; hicieran manifestación alguna al respecto, no obstante que fueron debidamente notificados para tal efecto, tal como consta con la Cédula de Notificación Personal que obra a foja 3247 de autos; por lo que se les tuvo por conformes con el plano que exhibió el perito de este tribunal, quien en su dictamen determinó que la superficie real solicitada en reconocimiento de comunidad por el poblado SANTIAGO ACUTZILAPAN es de 967-12-52.220 hectáreas y no presenta conflicto alguno con las propiedades colindantes.
Cabe advertir que existen tres polígonos al interior de la poligonal envolvente que se reconoce en esta resolución, los que el perito oficial advirtió y señaló en su aclaración de trabajos técnicos y son los que tienen los cuadros de construcción siguientes:


 

Por todo lo anterior y atento a que los solicitantes de reconocimiento de régimen comunal de SANTIAGO ACUTZILAPAN demostraron poseer una superficie de 967-12-52.220 hectáreas libres de conflicto, de conformidad con los trabajos técnicos topográficos realizados por el perito de la adscripción; que el ejido SANTIAGO ACUTZILAPAN, manifestó su conformidad con los linderos que comparte con la posesión de los solicitantes; que la comunidad de SAN FELIPE PUEBLO NUEVO, manifestó que no existe inconveniente alguno con las tierras que solicita le sea reconocidas SANTIAGO ACUTZILAPAN, en cuanto su colindancia común; que si bien la comunidad de SAN FRANCISCO CHALCHIHUAPAN, se opuso a la pretensión de reconocimiento de comunidad de SANTIAGO ACUTZILAPAN; se demostró que dentro el expediente 633/2010 del índice de este tribunal, se calificó de legal el convenio conciliatorio para resolver sus diferendos de colindancias entre dichos poblados, el cual fue conforme a sus carpetas básicas y no conforme a los trabajos del "Programa de Certificación de Derechos Ejidales" (PROCEDE) determinándose que no existe conflicto por la posesión en la colindancia entre la comunidad solicitante de SANTIAGO ACUTZILAPAN y la comunidad de SAN FRANCISCO CHALCHIHUAPAN; y que los colindantes: CESAR AGUSTÍN OSORNIO NARVÁEZ propietario del RANCHO SAN ISIDRO; y GREGORIO MERCADO FLORES propietario del RANCHO SAN VICENTE, no manifestaron oposición alguna, teniéndoseles por conformes con la colindancia común de dichas propiedades con la superficie solicitada en reconocimiento de comunidad por el poblado SANTIAGO ACUTZILAPAN; circunstancias que fueron corroboradas con los trabajos técnicos topográficos presentados por el perito topógrafo de la adscripción, agregados al sumario a fojas 3218 a 3222, 3242 a 3243, y 3289 a 3290; se concluye que la superficie de 967-12-52.220 hectáreas, solicitada en reconocimiento como comunidad de SANTIAGO ACUTZILAPAN, SE ENCUENTRA LIBRE DE CONFLICTO.
 
En consecuencia, este tribunal estima que al no existir oposición de parte legítima alguna al reconocimiento y titulación de bienes comunales que, en vía de jurisdicción voluntaria se promovió en este expediente agrario, se reconoce y titula como bienes comunales el poblado de nombre SANTIAGO ACUTZILAPAN, municipio de ATLACOMULCO, ESTADO DE MÉXICO respecto de una superficie de 967-12-52.220 hectáreas, que tienen en posesión sin conflictos los promoventes.
Por otra parte, cabe advertir que se ordenó a la Actuaria de la adscripción constituirse en el poblado de SANTIAGO ACUTZILAPAN, municipio de ATLACOMULCO, ESTADO DE MÉXICO, y levantar el "censo de población comunal"; el cual obra a fojas 1041 a 1075 de autos; en la que se obtuvo que la diligenciaria de este tribunal, en compañía de los representantes comunales, después de entrevistarse y obtener documentos con personas del poblado obtuvieron un total de doscientos sesenta y dos capacitados; sin embargo, de la revisión a estos trabajos se concluyó que una persona quedó relacionada en los arábigos 85 y 133 con lo que se comprobó que los censados fueron realmente doscientos sesenta y uno.
Al respecto, los artículos 200 y 267 de la Ley Federal de la Reforma Agraria abrogada(7), aplicable por virtud del artículo tercero transitorio de la Ley Agraria, señalan:
"ARTÍCULO 200.- Tendrá capacidad para obtener unidad de dotación por los diversos medios que esta Ley establece, el campesino que reúna los siguientes requisitos:
I.- Ser mexicano por nacimiento, hombre o mujer, mayor de dieciséis años, o de cualquier edad si tiene familia a su cargo;
II.- Residir en el poblado solicitante por lo menos desde seis meses antes de la fecha de la presentación de la solicitud o del acuerdo que inicie el procedimiento de oficio, excepto cuando se trate de la creación de un nuevo centro de población o del acomodo en tierras ejidales excedentes;
III.- Trabajar personalmente la tierra, como ocupación habitual;
IV.- No poseer a nombre propio y a título de dominio tierras en extensión igual o mayor al mínimo establecido para la unidad de dotación;
V.- No poseer un capital individual en la industria, el comercio o la agricultura, mayor del equivalente a cinco veces el salario mínimo mensual fijado para el ramo correspondiente.
VI.- No haber sido condenado por sembrar, cultivar o cosechar mariguana, amapola o cualquier otro estupefaciente; y
VII.- Que no haya sido reconocido como ejidatario en ninguna otra resolución dotatoria de tierras."
"Artículo 267.- Los núcleos de población que de hecho o por derecho guarden el estado comunal, tendrán capacidad para disfrutar en común de las tierras, bosques y aguas que les pertenezcan o que se les hayan restituido o restituyeren.
Sólo los miembros de la comunidad tendrán derecho a las tierras de repartimiento que les correspondan y a disfrutar de los bienes de uso común. Se considerará como integrante de una comunidad al campesino que reuniendo los requisitos establecidos en el Artículo 200 de esta Ley, sea, además, originario o vecino de ella, con residencia mínima de cinco años conforme al censo que deberán levantar las autoridades agrarias." (Sic).
Acorde con lo anterior, cuando se solicitó por primera vez, el reconocimiento de comunidad del poblado SANTIAGO ACUTZILAPAN, se encontraba vigente la Ley Federal de la Reforma Agraria; por lo que el presente procedimiento se analiza a la luz de ese ordenamiento, acorde con el siguiente criterio:
"LEY AGRARIA. IRRETROACTIVIDAD DE LA. Si en los juicios agrarios, se analizan por la responsable actos realizados, durante la vigencia de la Ley Federal de la Reforma Agraria, tendrán que analizarse, a la luz de ese ordenamiento legal, por ser el que regía cuando se llevaron a cabo, a efecto de establecer si se cumplieron o no los requisitos legales que en aquella época exigía la ley vigente, pues no es lógico ni jurídico declarar válido un acto con apoyo en una ley posterior a la fecha de la celebración del mismo y que conforme a la ley vigente en ese entonces, era ilegal, toda vez que ello equivale a darle efectos retroactivos en perjuicio de una de las partes en contravención del artículo 14 constitucional."(8)
Por lo anterior y con relación a la capacidad legal de los integrantes del poblado promovente, este tribunal estima que quedó acreditada, ya que, con las diligencias censales y su revisión, se desprende que los doscientos ochenta y dos campesinos reúnen los requisitos de capacidad para ser comuneros, previstos en los artículos 200 y 267 de la ley Federal de la Reforma Agraria.
Asimismo, por lo que respecta a los integrantes de la comunidad que se reconoce y titula, al obrar en el expediente censo general de la población comunera levantado por la Actuaria adscrita a este tribunal en presencia de los representantes comunales de los solicitantes, efectuada el veintitrés de marzo de dos mil dieciocho y los solicitantes de este procedimiento de jurisdicción voluntaria se llega al conocimiento que en la comunidad de SANTIAGO ACUTZILPAN, municipio de ATLACOMULCO, ESTADO DE MÉXICO, existen doscientas ochenta y dos personas beneficiadas que reúnen los requisitos establecidos en los artículos 15 y 107 de la Ley Agraria.(9)
En efecto, se concluye ese número de sujetos con capacidad legal para ser comuneros, ya que se tomó en consideración a los setenta solicitantes de reconocimiento de comunidad y firmantes del escrito inicial de diligencias de jurisdicción voluntaria así como a doscientas doce de las doscientas sesenta y un personas que después de la revisión del censo en mención, se advirtió que se incluían también a cuarenta y nueve de los solicitantes ya contabilizados; por tanto, se les reconoce la calidad de COMUNEROS del poblado de SANTIAGO ACUTZILPAN a las personas que aparecen en las siguientes relaciones:
Lista de los setenta (setenta) solicitantes:
              NOMBRE
1.         PEDRO SANTIAGO RAMÍREZ
2.         RICARDA SÁNCHEZ SANTIAGO
3.         VERÓNICA PÉREZ ALCÁNTARA
4.         JUAN SANTIAGO RAMÍREZ
5.         MARÍA GUADALUPE CASTRO CASTAÑEDA
6.         MARCELINA PÉREZ CASTRO
7.         MARÍA ELENA CASTRO LOVERA
8.         CARMEN APOLONIO SÁNCHEZ
9.         MA. DEL REFUGIO GARCÍA MONROY
10.        ALEJANDRO PÉREZ ALCÁNTARA
11.        SEVERIANO CARRILLO ESTEFANA
12.        MIGUEL DE JESÚS MATEO
13.        MARGARITA HERNÁNDEZ MAURICIO
14.        FELIPE MIGUEL TIBURCIO
15.        GREGORIO MARTÍNEZ SÁNCHEZ
16.        MA. GUADALUPE DIANA CASTRO LOVERA
17.        FERNANDO PÉREZ ALCÁNTARA
18.        JACINTA SÁNCHEZ SIERRA
19.        ROGELIO SÁNCHEZ SIERRA
20.        ANGELINA SÁNCHEZ MIRANDA
21.        JUAN DOMINGO SÁNCHEZ
22.        SILVIA SÁNCHEZ SIERRA
23.        MARÍA PÉREZ ALCÁNTARA
24.        FELIPA DOMINGO SÁNCHEZ
25.        LUIS MATEO MEDINA
26.        ALFONSO FUENTES VALDÉS
27.        LORENZO NICOLÁS MATEO
 
28.        JULIO JOSÉ MATEO JACINTO
29.        FELIPE MATEO JACINTO
30.        ROGELIO MATEO JACINTO
31.        ROSA MARÍA HERNÁNDEZ SANTIAGO
32.        MA. DE LOURDES MATEO LEOCADIO
33.        TERESA HERNÁNDEZ ILDEFONSO
34.        MARÍA ESTHER MATEOS LEOCADIO
35.        TERESA MATEO VALDÉZ
36.        MA. GUADALUPE AGUSTÍN CEDILLO
37.        ALEJANDRA SÁNCHEZ AGUSTÍN
38.        PORFIRIO ESTEBAN ALBINO
39.        MA. GUADALUPE SÁNCHEZ GABRIEL
40.        ALEJANDRO JOSÉ ÁLVAREZ
41.        JOSÉ LUIS NICOLÁS ISIDORO
42.        SILVANO HERNÁNDEZ RAMÍREZ
43.        ROSA FELICIANO RAMÍREZ
44.        FRANCISCO CARREOLA SÁNCHEZ
45.        MARCOS MENDOZA QUIRINO
46.        MARÍA RAMÍREZ DOMÍNGUEZ
47.        HILARIO HERNÁNDEZ SÁNCHEZ
48.        ALICIA MENDOZA APOLONIO
49.        GERMÁN SÁNCHEZ RAMÍREZ
50.        HERCULANO BENITO SÁNCHEZ
51.        MARÍA JUANA SÁNCHEZ DOMINGO
52.        FRANCISCO SANTIAGO RAMÍREZ
53.        ANTONIA SÁNCHEZ DOMINGO
54.        ROSA MARÍA APOLONIO JOSÉ
55.        MA. GUADALUPE MARCOS ALEJANDRO
56.        MARTHA DE JESÚS SANTIAGO
57.        JOSÉ GABRIEL CEDILLO
58.        ELVIRA SÁNCHEZ DOMINGO
59.        MARCELINA ISIDORO BENITO
60.        JERÓNIMO RAMÍREZ DOMINGO
61.        JOSÉ SÁNCHEZ AGUSTÍN
62.        FRANCISCO HERNÁNDEZ ANTONIO
63.        ESTEBAN GÓMEZ SÁNCHEZ
64.        ELODIA SÁNCHEZ VENEGAS
65.        TERESA RAMÍREZ AGAPITO
66.        PAULA ANASTACIO AGUSTÍN
67.        MARGARITA SÁNCHEZ ILDEFONSO
68.        CANDELARIA MATEO SÁNCHEZ
69.        JOSÉ SEVERIANO HERNÁNDEZ VÁSQUEZ
70.        MIGUEL LIBRADO DOMINGO
Lista de las doscientas doce personas que, sin repetir a las señaladas en la relación anterior, aparecen en el censo de población comunal:
              NOMBRE
1.         SANTIAGO MATEO MEDINA
2.         MARCELINO DOMINGO SANTIAGO
3.         ISIDRO MARTÍNEZ CEDILLO
4.         SUSANA JOSÉ DE JESÚS
5.         CARLOS ALCÁNTARA SÁNCHEZ
6.         JUAN SÁNCHEZ CASTRO
7.         TOMÁS DE LA CRUZ ÁLVAREZ
8.         PATRICIA PASCUAL TRINIDAD
9.         ROSALIA PASCUAL TRINIDAD
10.        SANDRA PASCUAL TRINIDAD
11.        MARÍA DEL CARMEN PASCUAL TRINIDAD
12.        EMILIANO DE LA CRUZ SANTIAGO
13.        AUSENCIO BACILIO SÁNCHEZ
14.        JOSÉ DE JESÚS SÁNCHEZ
15.        JESÚS HERNÁNDEZ AGUSTÍN
16.        SERGIO DE JESÚS IGNACIO
17.        CESAR CASTILLO MONROY
18.        JOSÉ LUIS DOMINGO RAMÍREZ
19.        JESÚS ALBERTO PASCUAL TRINIDAD
20.        JOSÉ CARRILLO IDELFONSO
21.        MARIO ALBERTO NICOLÁS SÁNCHEZ
22.        ADELA SÁNCHEZ SIERRA
23.        JUAN MANUEL NICOLÁS SÁNCHEZ
24.        PATRICIA SIERRA MATEO
25.        JAVIER NICOLÁS SÁNCHEZ
26.        JUAN MANUEL NAZARIO
27.        LUCÍA APOLONIO SÁNCHEZ
28.        JUAN CARLOS ANTONIO BACILIO
29.        MA. GUADALUPE NICOLÁS MATEO
30.        TOMASA BASILIO CASIMIRO
31.        CELIA CIRIACO RAMÍREZ
32.        ANASTACIA DE JESÚS SANTIAGO
33.        ANTONIO SÁNCHEZ AGUSTÍN
34.        DANIEL SÁNCHEZ AGUSTÍN
35.        MARIO SÁNCHEZ DE JESÚS
36.        MARÍA YOLANDA ANATALIA LOVERA GONZÁLEZ
37.        RAYMUNDO ISIDORO SÁNCHEZ
38.        GILBERTO BACILIO SÁNCHEZ
39.        CESAR DE JESÚS MATEO
40.        PASCUALA SÁNCHEZ MATIAS
41.        SILVIA DE JESÚS MATEO
 
42.        ROSAURA PÉREZ CUAUTLE
43.        MA. LEONOR PÉREZ ALCÁNTARA
44.        FLORIBERTO PÉREZ ALCÁNTARA
45.        MA. ISABEL PÉREZ ALCÁNTARA
46.        DAVID RAMÍREZ NICOLÁS
47.        LUIS SANTIAGO HERNÁNDEZ
48.        FAUSTINA BASILIA SÁNCHEZ
49.        ROSA MARÍA APOLONIO JOSÉ
50.        ALEJANDRA SÁNCHEZ AGUSTÍN
51.        URIEL MEDINA VALDÉZ
52.        JAIME MEDINA DE JESÚS
53.        LUIS DOMINGO DE JESÚS
54.        ANDRÉS JOSÉ APOLONIO
55.        MARÍA GUADALUPE LIBRADO RAMÍREZ
56.        MIGUEL LIBRADO DOMINGO
57.        ULISES MATEO ALCÁNTARA
58.        ELVIA SIERRA MATEOS
59.        YOLANDA JOSÉ APOLONIO
60.        FRANCISCO GERARDO CARRIOLA GARCÍA
61.        BEATRIZ PASCUAL TRINIDAD
62.        MA. CONCEPCION MARTÍNEZ APOLONIO
63.        VICENTE MARTÍNEZ DEL ÁNGEL
64.        MELITÓN ALEJANDRO SIERRA MATEO
65.        MA. LUCÍA CASTRO LOVERA
66.        INOCENCIO PASCUAL TRINIDAD
67.        ELISEO PASCUAL TRINIDAD
68.        ÓSCAR SANTIAGO MATEO
69.        JUANA MATEO MARTÍNEZ
70.        DIANA PÉREZ CASTRO
71.        EUSEBIO PÉREZ CASTRO
72.        LETICIA MEDINA DE JESÚS
73.        MARÍA GUADALUPE LOVERA VELASCO
74.        PEDRO DOMINGO SANTIAGO
75.        LUISA BACILIO SÁNCHEZ
76.        J. GUADALUPE ANTONIO SÁNCHEZ
77.        ARACELI RAMÍREZ SÁNCHEZ
78.        VICENTA RAMÍREZ SANTIAGO
79.        MA. TRINIDAD SÁNCHEZ DOMINGO
80.        ANAYELI MONROY APOLONIO
81.        CARLOS MANUEL FERNANDO
82.        JOSÉ MANUEL FERNANDO
83.        LETICIA TRANQUILINO AGUSTÍN
84.        LUCIANO SANTIAGO CEDILLO
85.        PEDRO MARTÍNEZ VALDÉZ
 
86.        YARELI MARTÍNEZ MATEOS
87.        PEDRO MARTÍNEZ MATEOS
88.        JOSÉ LUIS HERNÁNDEZ MANUEL
89.        ANTONIA ORTIZ AGUSTÍN
90.        CRESCENCIO CRUZ SANTIAGO
91.        JOSÉ MANUEL DE LA CRUZ BASILIO
92.        AURELIA MATEO EDUARDO
93.        JAIME SANTIAGO ALEJANDRO
94.        HORTENCIA SANTIAGO ALEJANDRO
95.        SALVADOR ÁLVAREZ GARCÍA
96.        MARÍA ÁNGELA BARTOLO MATEO
97.        ISRAEL ÁLVAREZ BARTOLO
98.        MARCELO SÁNCHEZ GABRIEL
99.        IVÁN GÓMEZ NICOLÁS
100.      ADELA SÁNCHEZ SIERRA
101.      ALEJANDRA SANTIAGO CEDILLO
102.      MARÍA ELENA SANTIAGO CEDILLO
103.      PEDRO PASCUAL TRINIDAD
104.      PEDRO PASCUAL ISIDORO
105.      MARÍA ESTELA GABRIEL CORTES
106.      SARAHI DE JESÚS MATEO
107.      JOSÉFA RAMÍREZ DOMINGO
108.      JUANA MARÍA GABRIEL ANTONIO
109.      JUANA TORIBIA GABRIEL MARCELINO
110.      BERENICE CONTRERAS CASTRO
111.      TEODORA APOLONIO ALBINO
112.      MAYRA MENDOZA APOLONIO
113.      SUSANA MENDOZA APOLONIO
114.      CECILIO RAMÍREZ MANCERA
115.      GUILLERMO RAMÍREZ SÁNCHEZ
116.      EDUARDO MANUEL SIERRA
117.      ELVIRA RAMÍREZ SÁNCHEZ
118.      JOSÉ LUIS GABRIEL ANTONIO
119.      GUILLERMINA SIERRA BACILIO
120.      VICENTE MATEO NICOLÁS
121.      LUCÍA MATEO NICOLÁS
122.      PETRA RAMÍREZ DOMÍNGUEZ
123.      JAVIER APOLONIO SIERRA
124.      JAURI ADAN CARRILLO DOMÍNGUEZ
125.      EMILIANA JUANA NICOLÁS ESTEBAN
126.      MARÍA MERCEDES DE LA CRUZ BASILIO
127.      JOSÉ RAMÍREZ ANTONIO
128.      MARGARITA HERNÁNDEZ ALEJANDRO
129.      JULIÁN FELICIANO APOLONIO
 
130.      JULIA GABRIEL ANTONIO
131.      NORMA SÁNCHEZ RODRIGUEZ
132.      MARÍA DEL CARMEN DOMINGO FELICIANO
133.      ANGELICA DOMINGO FELICIANO
134.      OTILIA SÁNCHEZ RAMÍREZ
135.      LETICIA SÁNCHEZ RAMÍREZ
136.      MARÍA ELENA SÁNCHEZ RAMÍREZ
137.      JUAN SÁNCHEZ MARTÍNEZ
138.      DIANA DOMINGO RAMÍREZ
139.      ROBERTO SANTIAGO HERNÁNDEZ
140.      JORGE BACILIO MIRANDA
141.      J. FÉLIX MARTÍNEZ PIÑA
142.      ÁNGEL DOMINGO FELICIANO
143.      MA. CRISTINA GABRIEL ESTEBAN
144.      JAIME DOMINGO FELICIANO
145.      ARACELI SIERRA MATEO
146.      GERARDO SÁNCHEZ SÁNCHEZ
147.      JUAN RAMÍREZ SÁNCHEZ
148.      LUCÍA RAMÍREZ SÁNCHEZ
149.      RAFAELA MATEO SÁNCHEZ
150.      NAZARIO RAMÍREZ SÁNCHEZ
151.      AARÓN MANUEL GARCÍA
152.      EDITH HERNÁNDEZ SIERRA
153.      ANDREA HERNÁNDEZ SIERRA
154.      ARTURO SIERRA MATEOS
155.      MARÍA DE LOS DOLORES SÁNCHEZ HERNÁNDEZ
156.      ALEJANDRO SÁNCHEZ RODRÍGUEZ
157.      IGNACIO MONROY LEOCADIO
158.      PORFIRIO SÁNCHEZ SIERRA
159.      BENITO JIMÉNEZ DE JESÚS
160.      MARÍA ELENA JIMÉNEZ DE JESÚS
161.      MARICELA JIMÉNEZ DE JESÚS
162.      MARTHA JIMÉNEZ DE JESÚS
163.      ARACELI RAMÍREZ LUCIANO
164.      ESTEBAN RAMÍREZ SÁNCHEZ
165.      MA. GUADALUPE RAMÍREZ LUCIANO
166.      ROSA MARÍA RAMÍREZ LUCIANO
167.      ANGÉLICA SÁNCHEZ SIERRA
168.      ATILANO SÁNCHEZ GABRIEL
169.      TOMÁS NICOLÁS SIERRA
170.      CECILIA RAMÍREZ SÁNCHEZ
171.      ALDO AARÓN SÁNCHEZ SÁNCHEZ
172.      ELIZABETH SIERRA LIBRADO
173.      AMALIA CARRIOLA CASTRO
 
174.      ISAC RAMÍREZ SÁNCHEZ
175.      ANDRÉS FERMÍN MATEO
176.      FÉLIX FERMÍN MATEO
177.      ESTELA FERMÍN MATEO
178.      JUAN HERNÁNDEZ MANUEL
179.      FRANCISCO RAMÍREZ SÁNCHEZ
180.      SOFÍA SÁNCHEZ MARTÍNEZ
181.      MARÍA GUADALUPE AGUSTÍN
182.      MARICRUZ PÉREZ ALCÁNTARA
183.      PÁNFILO GARCÍA MATEO
184.      MARÍA DEL REFUGIO GARCÍA MONROY
185.      JOSÉ SÁNCHEZ AGUSTÍN
186.      J. SOCORRO MONROY
187.      FRANCISCO BASILIO ISIDORO
188.      JOSÉ MAURICIO APOLONIO
189.      ALEJANDRA SÁNCHEZ AGUSTÍN
190.      FRANCISCA BASILIO APOLONIO
191.      EDUARDO AGUSTÍN SÁNCHEZ
192.      ALBERTO ABUNDIO MENDOZA
193.      GUADALUPE SÁNCHEZ DOMINGO
194.      JAVIER SIERRA BASILIO
195.      ANA LORENA SIERRA SÁNCHEZ
196.      ELSA SIERRA MATEO
197.      JACINTO BASILIO SÁNCHEZ
198.      ARTURO ALCÁNTARA ALBINO
199.      ÁNGEL FERMÍN SANTIAGO
200.      ALEJANDRO BASILIO SÁNCHEZ
201.      ALFONSO FUENTES VALDÉS
202.      MARÍA DE LOS ÁNGELES SÁNCHEZ SÁNCHEZ
203.      MARÍA SÁNCHEZ MENDOZA
204.      MANUEL SIERRA MARTÍNEZ
205.      LETICIA SÁNCHEZ MENDOZA
206.      HERANDI MAYRA CASTILLO MONROY
207.      ALFREDO SÁNCHEZ DOMINGO
208.      ADRIANA BASILIO APOLONIO
209.      MARÍA JULIANA MARTÍNEZ GONZÁLEZ
210.      ROGELIO SÁNCHEZ SÁNCHEZ
211.      MA. GUADALUPE SIERRA BASILIO
212.      GUILLERMINA SIERRA BACILIO
No obstante lo anterior, resulta necesario señalar que de conformidad con los artículos 23, fracción II, y 107 de la Ley Agraria, la asamblea de comuneros tiene en todo momento, la facultad exclusiva para aceptar y separar a sus miembros; por lo que quedan a salvo los derechos de las personas que no hayan sido incluidas en el censo de población comunal, para que hagan valer su derecho ante la asamblea de comuneros de SANTIAGO ACUTZILAPAN, en la vía y forma que estimen pertinente.
Por otra parte, en virtud de ser una jurisdicción voluntaria la que se ha resuelto en el presente asunto en los términos señalados con antelación, deberá respetarse la posesión de cualquier persona, física o moral, que se ostente como propietario respecto a la superficie que ha sido reconocida a los solicitantes, personas que a su vez podrán solicitar en la vía y forma que consideren pertinente la exclusión de la superficie que origine su inconformidad, por lo que se dejan a salvo sus derechos.
Luego entonces, en virtud del reconocimiento de comunidad al poblado SANTIAGO ACUTZILAPAN, municipio de ATLACOMULCO, ESTADO DE MÉXICO, respecto de una superficie de 967-12-52.220 hectáreas, notifíquese la presente resolución a los colindantes: ejido de SANTIAGO ACUTZILAPAN, municipio de ATLACOMULCO; comunidad de SAN FELIPE PUEBLO NUEVO; comunidad de SAN FRANCISCO CHALCHIHUAPAN; así como a los propietarios del RANCHO SAN ISIDRO y del RANCHO SAN VICENTE; por conducto de CESAR AGUSTÍN OSORNIO NARVÁEZ y GUADALUPE MERCADO MERCADO, en su carácter de causahabiente de GREGORIO MERCADO FLORES.
Ahora bien, atendiendo que el perito de la adscripción, elaboró el plano correspondiente, conforme a las normas técnicas emitidas por el Registro Agrario Nacional y con base en los trabajos técnicos que obran en el sumario; conforme a lo establecido en lo dispuesto por los artículos 98, fracción IV y 152, fracción I de la Ley Agraria; se debe inscribir esta resolución y el referido producto cartográfico a efecto de integrar debidamente la carpeta básica de la comunidad de SANTIAGO ACUTZILAPAN, municipio de ATLACOMULCO, ESTADO DE MÉXICO, que se reconoce en la presente resolución; asimismo, a efectos de publicitad y conforme al tercero transitorio de la Ley Agraria, en relación al artículo 51-A de la ley Federal de la Reforma Agraria, esta resolución de debe publicar en el Diario Oficial de la Federación y la Gaceta de Gobierno del Estado de México, para los efectos de ley.
En cuanto hace a la pretensión relativa a que se ordene a la Delegación de la Procuraduría Agraria en la entidad realice la elección de órganos de representación y vigilancia de la comunidad agraria SANTIAGO ACUTZILAPAN, municipio de ATLACOMULCO, ESTADO DE MÉXICO, con base en el padrón de comuneros, debido a que es facultad exclusiva de la asamblea tales actos democráticos, de conformidad en los artículos 23, fracción, III y 107 de la Ley Agraria; no obstante lo anterior, se le dejan a salvo sus derechos para el caso que dicha institución de servicio social se niegue a convocar, previa solicitud que para el caso efectúen los comuneros.
Por lo antes expuesto y fundado, con apoyo en el artículo 189 de la Ley Agraria, que establece: "Las sentencias de los tribunales agrarios se dictarán a verdad sabida sin necesidad de sujetarse a reglas sobre estimación de las pruebas, sino apreciando los hechos y documentos según los tribunales lo estimaren debido en conciencia, fundando y motivando sus resoluciones.", así como la fracción XIX, del artículo 27 de la Constitución Política de los Estados Unidos Mexicanos, 10, 18, fracción III, y fracción I, del artículo cuarto transitorio de la ley Orgánica de los Tribunales Agrarios, es de resolverse y se:
RESUELVE
PRIMERO. Ha sido procedente el reconocimiento de comunidad que en vía de jurisdicción voluntaria solicitaron vecinos del poblado SANTIAGO ACUTZILAPAN, municipio de ATLACOMULCO, ESTADO DE MÉXICO; en consecuencia, se reconoce y titula en calidad de bienes comunales la superficie de 967-12-52.220 hectáreas al citado núcleo de población, de conformidad con los trabajos realizados por el perito de este tribunal, en dictamen y aclaración que contiene el cuadro de construcción del polígono envolvente y exclusión de propiedades visibles a fojas 3218 a 3222 y 3241 a 3242 del sumario; como se resolvió en la parte considerativa de esta resolución.
SEGUNDO. Este Unitario reconoce como miembros de la comunidad agraria de SANTIAGO ACUTZILAPAN, municipio de ATLACOMULCO, ESTADO DE MÉXICO a 1. PEDRO SANTIAGO RAMÍREZ, 2. RICARDA SÁNCHEZ SANTIAGO, 3. VERÓNICA PÉREZ ALCÁNTARA, 4. JUAN SANTIAGO RAMÍREZ, 5. MARÍA GUADALUPE CASTRO CASTAÑEDA, 6. MARCELINA PÉREZ CASTRO, 7. MARÍA ELENA CASTRO LOVERA, 8. CARMEN APOLONIO SÁNCHEZ, 9. MA. DEL REFUGIO GARCÍA MONROY, 10. ALEJANDRO PÉREZ ALCÁNTARA, 11. SEVERIANO CARRILLO ESTEFANA, 12. MIGUEL DE JESÚS MATEO, 13. MARGARITA HERNÁNDEZ MAURICIO, 14. FELIPE MIGUEL TIBURCIO, 15. GREGORIO MARTÍNEZ SÁNCHEZ, 16. MA. GUADALUPE DIANA CASTRO LOVERA, 17. FERNANDO PÉREZ ALCÁNTARA, 18. JACINTA SÁNCHEZ SIERRA, 19. ROGELIO SÁNCHEZ SIERRA, 20. ANGELINA SÁNCHEZ MIRANDA, 21. JUAN DOMINGO SÁNCHEZ, 22. SILVIA SÁNCHEZ SIERRA, 23. MARÍA PÉREZ ALCÁNTARA, 24. FELIPA DOMINGO SÁNCHEZ, 25. LUIS MATEO MEDINA, 26. ALFONSO FUENTES VALDÉS, 27. LORENZO NICOLÁS MATEO, 28. JULIO JOSÉ MATEO JACINTO, 29. FELIPE MATEO JACINTO, 30. ROGELIO MATEO JACINTO, 31. ROSA MARÍA HERNÁNDEZ SANTIAGO, 32. MA. DE LOURDES MATEO LEOCADIO, 33. TERESA HERNÁNDEZ ILDEFONSO, 34. MARÍA ESTHER MATEOS LEOCADIO, 35. TERESA MATEO VALDÉZ, 36. MA. GUADALUPE AGUSTÍN CEDILLO, 37. ALEJANDRA SÁNCHEZ AGUSTÍN, 38. PORFIRIO ESTEBAN ALBINO, 39. MA. GUADALUPE SÁNCHEZ GABRIEL, 40. ALEJANDRO JOSÉ ÁLVAREZ, 41. JOSÉ LUIS NICOLÁS ISIDORO, 42. SILVANO HERNÁNDEZ RAMÍREZ, 43. ROSA FELICIANO RAMÍREZ, 44. FRANCISCO CARREOLA SÁNCHEZ, 45. MARCOS MENDOZA QUIRINO, 46. MARÍA RAMÍREZ DOMÍNGUEZ, 47. HILARIO HERNÁNDEZ SÁNCHEZ, 48. ALICIA MENDOZA APOLONIO, 49. GERMÁN SÁNCHEZ RAMÍREZ, 50. HERCULANO BENITO SÁNCHEZ, 51. MARÍA JUANA SÁNCHEZ DOMINGO, 52. FRANCISCO SANTIAGO RAMÍREZ, 53. ANTONIA SÁNCHEZ DOMINGO, 54. ROSA MARÍA APOLONIO JOSÉ, 55. MA. GUADALUPE MARCOS ALEJANDRO, 56. MARTHA DE JESÚS SANTIAGO, 57. JOSÉ GABRIEL CEDILLO, 58. ELVIRA SÁNCHEZ DOMINGO, 59. MARCELINA ISIDORO BENITO, 60. JERÓNIMO RAMÍREZ DOMINGO, 61. JOSÉ SÁNCHEZ AGUSTÍN, 62. FRANCISCO HERNÁNDEZ ANTONIO, 63. ESTEBAN GÓMEZ SÁNCHEZ, 64. ELODIA SÁNCHEZ VENEGAS, 65. TERESA RAMÍREZ AGAPITO, 66. PAULA ANASTACIO AGUSTÍN, 67. MARGARITA SÁNCHEZ ILDEFONSO, 68. CANDELARIA MATEO SÁNCHEZ, 69. JOSÉ SEVERIANO HERNÁNDEZ VÁSQUEZ, 70. MIGUEL LIBRADO DOMINGO, 71. SANTIAGO MATEO MEDINA, 72. MARCELINO DOMINGO SANTIAGO, 73. ISIDRO MARTÍNEZ CEDILLO, 74. SUSANA JOSÉ DE JESÚS, 75. CARLOS ALCÁNTARA SÁNCHEZ, 76. JUAN SÁNCHEZ CASTRO, 77. TOMÁS DE LA CRUZ ÁLVAREZ, 78. PATRICIA PASCUAL TRINIDAD, 79. ROSALIA PASCUAL TRINIDAD, 80. SANDRA PASCUAL TRINIDAD, 81. MARÍA DEL CARMEN PASCUAL TRINIDAD, 82. EMILIANO DE LA CRUZ SANTIAGO, 83. AUSENCIO BACILIO SÁNCHEZ, 84. JOSÉ DE JESÚS SÁNCHEZ, 85. JESÚS HERNÁNDEZ AGUSTÍN, 86. SERGIO DE JESÚS IGNACIO, 87. CESAR CASTILLO MONROY, 88. JOSÉ LUIS DOMINGO RAMÍREZ, 89. JESÚS ALBERTO PASCUAL TRINIDAD, 90. JOSÉ CARRILLO IDELFONSO, 91. MARIO ALBERTO NICOLÁS SÁNCHEZ, 92. ADELA SÁNCHEZ SIERRA, 93. JUAN MANUEL NICOLÁS SÁNCHEZ, 94. PATRICIA SIERRA MATEO, 95. JAVIER NICOLÁS SÁNCHEZ, 96. JUAN MANUEL NAZARIO, 97. LUCÍA APOLONIO SÁNCHEZ, 98. JUAN CARLOS ANTONIO BACILIO, 99. MA. GUADALUPE NICOLÁS MATEO, 100. TOMASA BASILIO CASIMIRO, 101. CELIA CIRIACO RAMÍREZ, 102. ANASTACIA DE JESÚS SANTIAGO, 103. ANTONIO SÁNCHEZ AGUSTÍN, 104. DANIEL SÁNCHEZ AGUSTÍN, 105. MARIO SÁNCHEZ DE JESÚS, 106. MARÍA YOLANDA ANATALIA LOVERA GONZÁLEZ, 107. RAYMUNDO ISIDORO SÁNCHEZ, 108. GILBERTO BACILIO SÁNCHEZ, 109. CESAR DE JESÚS MATEO, 110. PASCUALA SÁNCHEZ MATIAS, 111. SILVIA DE JESÚS MATEO, 112. ROSAURA PÉREZ CUAUTLE, 113. MA. LEONOR PÉREZ ALCÁNTARA, 114. FLORIBERTO PÉREZ ALCÁNTARA, 115. MA. ISABEL PÉREZ ALCÁNTARA, 116. DAVID RAMÍREZ NICOLÁS, 117. LUIS SANTIAGO HERNÁNDEZ, 118. FAUSTINA BASILIA SÁNCHEZ, 119. ROSAMARÍA APOLONIO JOSÉ, 120. ALEJANDRA SÁNCHEZ AGUSTÍN, 121. URIEL MEDINA VALDÉZ, 122. JAIME MEDINA DE JESÚS, 123. LUIS DOMINGO DE JESÚS, 124. ANDRÉS JOSÉ APOLONIO, 125. MARÍA GUADALUPE LIBRADO RAMÍREZ, 126. MIGUEL LIBRADO DOMINGO, 127. ULISES MATEO ALCÁNTARA, 128. ELVIA SIERRA MATEOS, 129. YOLANDA JOSÉ APOLONIO, 130. FRANCISCO GERARDO CARRIOLA GARCÍA, 131. BEATRIZ PASCUAL TRINIDAD, 132. MA. CONCEPCION MARTÍNEZ APOLONIO, 133. VICENTE MARTÍNEZ DEL ÁNGEL, 134. MELITÓN ALEJANDRO SIERRA MATEO, 135. MA. LUCÍA CASTRO LOVERA, 136. INOCENCIO PASCUAL TRINIDAD, 137. ELISEO PASCUAL TRINIDAD, 138. ÓSCAR SANTIAGO MATEO, 139. JUANA MATEO MARTÍNEZ, 140. DIANA PÉREZ CASTRO, 141. EUSEBIO PÉREZ CASTRO, 142. LETICIA MEDINA DE JESÚS, 143. MARÍA GUADALUPE LOVERA VELASCO, 144. PEDRO DOMINGO SANTIAGO, 145. LUISA BACILIO SÁNCHEZ, 146. J. GUADALUPE ANTONIO SÁNCHEZ, 147. ARACELI RAMÍREZ SÁNCHEZ, 148. VICENTA RAMÍREZ SANTIAGO, 149. MA. TRINIDAD SÁNCHEZ DOMINGO, 150. ANAYELI MONROY APOLONIO, 151. CARLOS MANUEL FERNANDO, 152. JOSÉ MANUEL FERNANDO, 153. LETICIA TRANQUILINO AGUSTÍN, 154. LUCIANO SANTIAGO CEDILLO, 155. PEDRO MARTÍNEZ VALDÉZ, 156. YARELI MARTÍNEZ MATEOS, 157. PEDRO MARTÍNEZ MATEOS, 158. JOSÉ LUIS HERNÁNDEZ MANUEL, 159. ANTONIA ORTIZ AGUSTÍN, 160. CRESCENCIO CRUZ SANTIAGO, 161. JOSÉ MANUEL DE LA CRUZ BASILIO, 162. AURELIA MATEO EDUARDO, 163. JAIME SANTIAGO ALEJANDRO, 164. HORTENCIA SANTIAGO ALEJANDRO, 165. SALVADOR ÁLVAREZ GARCÍA, 166. MARÍA ÁNGELA BARTOLO MATEO, 167. ISRAEL ÁLVAREZ BARTOLO, 168. MARCELO SÁNCHEZ GABRIEL, 169. IVÁN GÓMEZ NICOLÁS, 170. ADELA SÁNCHEZ SIERRA, 171. ALEJANDRA SANTIAGO CEDILLO, 172. MARÍA ELENA SANTIAGO CEDILLO, 173. PEDRO PASCUAL TRINIDAD, 174. PEDRO PASCUAL ISIDORO, 175. MARÍA ESTELA GABRIEL CORTES, 176. SARAHI DE JESÚS MATEO, 177. JOSÉFA RAMÍREZ DOMINGO, 178. JUANA MARÍA GABRIEL ANTONIO, 179. JUANA TORIBIA GABRIEL MARCELINO, 180. BERENICE CONTRERAS CASTRO, 181. TEODORA APOLONIO ALBINO, 182. MAYRA MENDOZA APOLONIO, 183. SUSANA MENDOZA APOLONIO, 184. CECILIO RAMÍREZ MANCERA, 185. GUILLERMO RAMÍREZ SÁNCHEZ, 186. EDUARDO MANUEL SIERRA, 187. ELVIRA RAMÍREZ SÁNCHEZ, 188. JOSÉ LUIS GABRIEL ANTONIO, 189. GUILLERMINA SIERRA BACILIO, 190. VICENTE MATEO NICOLÁS, 191. LUCÍA MATEO NICOLÁS, 192. PETRA RAMÍREZ DOMÍNGUEZ, 193. JAVIER APOLONIO SIERRA, 194. JAURI ADAN CARRILLO DOMÍNGUEZ, 195. EMILIANA JUANA NICOLÁS ESTEBAN, 196. MARÍA MERCEDES DE LA CRUZ BASILIO, 197. JOSÉ RAMÍREZ ANTONIO, 198. MARGARITA HERNÁNDEZ ALEJANDRO, 199. JULIÁN FELICIANO APOLONIO, 200. JULIA GABRIEL ANTONIO, 201. NORMA SÁNCHEZ RODRIGUEZ, 202. MARÍA DEL CARMEN DOMINGO FELICIANO, 203. ANGÉLICA DOMINGO FELICIANO, 204. OTILIA SÁNCHEZ RAMÍREZ, 205. LETICIA SÁNCHEZ RAMÍREZ, 206. MARÍA ELENA SÁNCHEZ RAMÍREZ, 207. JUAN SÁNCHEZ MARTÍNEZ, 208. DIANA DOMINGO RAMÍREZ, 209. ROBERTO SANTIAGO HERNÁNDEZ, 210. JORGE BACILIO MIRANDA, 211. J. FÉLIX MARTÍNEZ PIÑA, 212. ÁNGEL DOMINGO FELICIANO, 213. MA. CRISTINA GABRIEL ESTEBAN, 214. JAIME DOMINGO FELICIANO, 215. ARACELI SIERRA MATEO, 216. GERARDO SÁNCHEZ SÁNCHEZ, 217. JUAN RAMÍREZ SÁNCHEZ, 218. LUCÍA RAMÍREZ SÁNCHEZ, 219. RAFAELA MATEO SÁNCHEZ, 220. NAZARIO RAMÍREZ SÁNCHEZ, 221. AARÓN MANUEL GARCÍA, 222. EDITH HERNÁNDEZ SIERRA, 223. ANDREA HERNÁNDEZ SIERRA, 224. ARTURO SIERRA MATEOS, 225. MARÍA DE LOS DOLORES SÁNCHEZ HERNÁNDEZ, 226. ALEJANDRO SÁNCHEZ RODRÍGUEZ, 227. IGNACIO MONROY LEOCADIO, 228. PORFIRIO SÁNCHEZ SIERRA, 229. BENITO JIMÉNEZ DE JESÚS, 230. MARÍA ELENA JIMÉNEZ DE JESÚS, 231. MARICELA JIMÉNEZ DE JESÚS, 232. MARTHA JIMÉNEZ DE JESÚS, 233. ARACELI RAMÍREZ LUCIANO, 234. ESTEBAN RAMÍREZ SÁNCHEZ, 235. MA. GUADALUPE RAMÍREZ LUCIANO, 236. ROSA MARÍA RAMÍREZ LUCIANO, 237. ANGÉLICA SÁNCHEZ SIERRA, 238. ATILANO SÁNCHEZ GABRIEL, 239. TOMÁS NICOLÁS SIERRA, 240. CECILIA RAMÍREZ SÁNCHEZ, 241. ALDO AARÓN SÁNCHEZ SÁNCHEZ, 242. ELIZABETH SIERRA LIBRADO, 243. AMALIA CARRIOLA CASTRO, 244. ISAC RAMÍREZ SÁNCHEZ, 245. ANDRÉS FERMÍN MATEO, 246. FÉLIX FERMÍN MATEO, 247. ESTELA FERMÍN MATEO, 248. JUAN HERNÁNDEZ MANUEL, 249. FRANCISCO RAMÍREZ SÁNCHEZ, 250. SOFÍA SÁNCHEZ MARTÍNEZ, 251. MARÍA GUADALUPE AGUSTÍN, 252. MARICRUZ PÉREZ ALCÁNTARA, 253. PÁNFILO GARCÍA MATEO, 254. MARÍA DEL REFUGIO GARCÍA MONROY, 255. JOSÉ SÁNCHEZ AGUSTÍN, 256. J. SOCORRO MONROY, 257. FRANCISCO BASILIO ISIDORO, 258. JOSÉ MAURICIO APOLONIO, 259. ALEJANDRA SÁNCHEZ AGUSTÍN, 260. FRANCISCA BASILIO APOLONIO, 261. EDUARDO AGUSTÍN SÁNCHEZ, 262. ALBERTO ABUNDIO MENDOZA, 263. GUADALUPE SÁNCHEZ DOMINGO, 264. JAVIER SIERRA BASILIO, 265. ANA LORENA SIERRA SÁNCHEZ, 266. ELSA SIERRA MATEO, 267. JACINTO BASILIO SÁNCHEZ, 268. ARTURO ALCÁNTARA ALBINO, 269. ÁNGEL FERMÍN SANTIAGO, 270. ALEJANDRO BASILIO SÁNCHEZ, 271. ALFONSO FUENTES VALDÉS, 272. MARÍA DE LOS ÁNGELES SÁNCHEZ SÁNCHEZ, 273. MARÍA SÁNCHEZ MENDOZA, 274. MANUEL SIERRA MARTÍNEZ, 275. LETICIA SÁNCHEZ MENDOZA, 276. HERANDI MAYRA CASTILLO MONROY, 277. ALFREDO SÁNCHEZ DOMINGO, 278. ADRIANA BASILIO APOLONIO, 279. MARÍA JULIANA MARTÍNEZ GONZÁLEZ, 280. ROGELIO SÁNCHEZ SÁNCHEZ, 281. MA. GUADALUPE SIERRA BASILIO y 282. GUILLERMINA SIERRA BACILIO; por tener la capacidad legal para adquirir la calidad de comuneros, como lo disponen los artículos 15 y 107 de la Ley Agraria, al comprobar que son mexicanos por nacimiento, mayores de edad y vecinos del núcleo agrario posesionario.
TERCERO. Remítase a la Delegación del Registro Agrario Nacional y al Instituto de la Función Registral en el Estado de México, copias certificadas de la presente resolución; así como el plano elaborado por el perito oficial de la adscripción, conforme a las normas técnicas del Registro Agrario Nacional y con base en los trabajos técnicos y su complemento efectuados en el sumario; para su inscripción y anotaciones de ley que refieren los artículos 98, 148, 150 y 152, fracción I, de la Ley Agraria.
CUARTO. Notifíquese personalmente a los promoventes, por conducto de sus representantes; al ejido de SANTIAGO ACUTZILAPAN, municipio de ATLACOMULCO; a la comunidad de SAN FELIPE PUEBLO NUEVO; a la comunidad de SAN FRANCISCO CHALCHIHUAPAN, municipio de ATLACOMULCO; así como a los propietarios del RANCHO SAN ISIDRO y del RANCHO SAN VICENTE; por conducto de CESAR AGUSTÍN OSORNIO NARVÁEZ y GUADALUPE MERCADO MERCADO, en su carácter de causahabiente de GREGORIO MERCADO FLORES, respectivamente.
QUINTO. Publíquese esta resolución en el Diario Oficial de la Federación y en la Gaceta del Gobierno del Estado de México; así como los puntos resolutivos de esta en el Boletín Judicial Agrario y en los estrados de este Tribunal; háganse las anotaciones de estilo en el libro de gobierno y, archívese el expediente 572/2017 como asunto totalmente concluido. Cúmplase.
Toluca, Estado de México, nueve de septiembre de dos mil diecinueve.- Así lo resolvió y firma la Maestra ROSALBA HERNÁNDEZ CORNEJO, Magistrada adscrita al Tribunal Unitario Agrario, Distrito 24, a partir del uno de marzo de dos mil dieciocho, por determinación del H. Pleno del Tribunal Superior Agrario con base en el artículo 8o., fracción VI, de la Ley Orgánica de los Tribunales Agrarios y comunicado por oficio S.G.A./234/2018, ante el Licenciado DAVID OLVERA VERA, Secretario de Estudio y Cuenta, habilitado como Secretario de Acuerdos "B", de conformidad con el oficio S.G.A./2018/2019, con quien actúa y da fe.- Rúbricas.
 
1     Octava Época. Registro: 221405. Materia(s): Civil Tesis: Página: 232
2     Novena Época. Registro: 164011. Tesis: I.3o.C.826 C
3     Artículo 211.- El valor de la prueba pericial quedará a la prudente apreciación del tribunal
4     Novena Época. Materia(s): Común. Tesis: VI.2o. J/3
5     Octava Época. Registro: 209256. Tesis: XXI.2o.28 A
6     Novena Época. Registro: 172215. Materia(s): Común. Tesis: 2a./J. 103/2007
 
7     ARTÍCULO TERCERO TRANSITORIO.- La Ley Federal de Reforma Agraria que se deroga se seguirá aplicando respecto de los asuntos que actualmente se encuentren en trámite en materia de ampliación o dotación de tierras, bosques y aguas, creación de nuevos centros de población y restitución, reconocimiento y titulación de bienes comunales.
Por lo que hace a los asuntos relativos a las materias mencionadas en el párrafo anterior, cuyo trámite haya terminado por haberse dictado acuerdo de archivo del expediente como asunto concluido o dictamen negativo, así como los asuntos relativos a dichas materias en los que en lo futuro se dicten, se estará a lo dispuesto en el artículo tercero transitorio del Decreto que reformó el artículo 27 de la Constitución Política de los Estados Unidos Mexicanos, publicado en el Diario Oficial de la Federación el 6 de enero de 1992.
8     Novena Época. Registro: 203246. Tesis: XXII.11 A
9     Artículo 15.- Para poder adquirir la calidad de ejidatario se requiere:
I. Ser mexicano mayor de edad o de cualquier edad si tiene familia a su cargo o se trate de heredero de ejidatario; y
II. Ser avecindado del ejido correspondiente, excepto cuando se trate de un heredero, o cumplir con los requisitos que establezca cada ejido en su reglamento interno.
Artículo 107.- Son aplicables a las comunidades todas las disposiciones que para los ejidos prevé esta ley, en lo que no contravengan lo dispuesto en este Capítulo.