CIRCULAR Modificatoria 1/19 de la Única de Seguros y Fianzas.
Al margen un sello con el Escudo Nacional, que dice: Estados Unidos Mexicanos.- SHCP.- Secretaría de Hacienda y Crédito Público.- Comisión Nacional de Seguros y Fianzas.
CIRCULAR MODIFICATORIA 1/19 DE LA ÚNICA DE SEGUROS Y FIANZAS
(Disposiciones 6.5.5., 6.5.6., 6.5.7., 6.5.8., 6.5.9., 6.5.10., 6.5.11., 6.5.12., 6.5.13., 6.5.14., 6.5.15., 6.5.16., 6.5.17., 6.5.18.,
6.5.19., 6.5.20., 6.5.21., 6.5.22. y 6.5.23.; Anexos 6.5.12-a, 6.5.12-b y 6.5.13)
La Comisión Nacional de Seguros y Fianzas, con fundamento en lo dispuesto en los artículos 366, fracción II, 369, fracción I, 372, fracciones V, VI y XLII, 373 y 381 de la Ley de Instituciones de Seguros y de Fianzas, y
CONSIDERANDO
Que en términos de lo establecido en los artículos 232, 233 y 234 de la Ley de Instituciones de Seguros y de Fianzas, las Instituciones deben calcular mensualmente un requerimiento de capital de solvencia, y en particular, para los seguros a los que se refiere la fracción II del artículo 27 de la citada Ley, el cálculo de dicho requerimiento, únicamente se efectuará de conformidad con la fórmula general que al efecto determine la Comisión Nacional de Seguros y Fianzas.
Que el artículo 235, fracción VI, inciso b), de la Ley de Instituciones de Seguros y de Fianzas, establece que el requerimiento de capital de solvencia cubrirá el riesgo de descalce entre activos y pasivos, el cual reflejará la pérdida potencial derivada de la falta de correspondencia estructural entre los activos y los pasivos, por el hecho de que una posición no pueda ser cubierta mediante el establecimiento de una posición contraria equivalente, y considerará, cuando menos, la duración, moneda, tasa de interés, tipos de cambio, índices de precios, entre otros.
Que el requerimiento de capital de descalce entre activos y pasivos (
) aplicable a las Instituciones de Seguros de Pensiones, se determina como el valor presente de las diferencias positivas entre los pasivos (reservas técnicas) y activos (instrumentos afectos a la base de inversión), ambos proyectados durante el número de años para el cual exista algún activo disponible en el mercado que ofrezca un rendimiento garantizado superior o igual a la inflación, en correspondencia a la naturaleza de las obligaciones asumidas en las pólizas de seguro correspondientes. Que en virtud de lo anterior, resulta necesario modificar el contenido de diversas Disposiciones de la Circular Única de Seguros vigente, a fin de ajustar el modelo actual para el cálculo del requerimiento de capital de descalce entre activos y pasivos, a efecto de incentivar una adecuada gestión de dicho riesgo, en términos de flujos de activos y pasivos, mediante un método más preciso para la medición del riesgo de reinversión.
Que a efecto de dar cumplimiento al Artículo Quinto del "Acuerdo que fija los lineamientos que deberán ser observados por las dependencias y organismos descentralizados de la Administración Pública Federal, en cuanto a la emisión de los actos administrativos de carácter general a los que les resulta aplicable el artículo 69-H de la Ley Federal de Procedimiento Administrativo", publicado en el Diario Oficial de la Federación de 8 de marzo de 2017, la Comisión Nacional de Seguros y Fianzas simplificará administrativamente el trámite CNSF-16-002 denominado "Informe detallado del Contralor Médico sobre alguna situación irregular observada", sustituyendo su entrega física en las oficinas de dicha Comisión, por una remisión vía remota en formato digital; asimismo, facilitará administrativamente el trámite CNSF-16-004 denominado "Notificación del nombramiento o destitución del Contralor Médico", para igualmente sustituir su entrega física ante la Comisión Nacional de Seguros y Fianzas, por una remisión vía remota en formato digital, lo cual quedará previsto en la Circular Única de Seguros y Fianzas, particularmente a través de las modificaciones que se efectúen a las Disposiciones 15.3.2. y 15.3.7., respectivamente; lo anterior, en un plazo de seis meses contados a partir de la publicación de la presente Modificatoria en el Diario Oficial de la Federación.
Por lo anteriormente expuesto, la Comisión Nacional de Seguros y Fianzas ha resuelto expedir la siguiente modificación a la Circular Modificatoria a la Única de Seguros y Fianzas, en los términos que enseguida se señalan:
CIRCULAR MODIFICATORIA 1/19 DE LA ÚNICA DE SEGUROS Y FIANZAS
(Disposiciones 6.5.5., 6.5.6., 6.5.7., 6.5.8., 6.5.9., 6.5.10., 6.5.11., 6.5.12., 6.5.13., 6.5.14., 6.5.15., 6.5.16., 6.5.17., 6.5.18.,
6.5.19., 6.5.20., 6.5.21., 6.5.22. y 6.5.23.; Anexos 6.5.12-a, 6.5.12-b y 6.5.13)
PRIMERA.- Se modifican las Disposiciones 6.5.5., 6.5.6., 6.5.7., 6.5.8., 6.5.9., 6.5.10., 6.5.11., 6.5.12., 6.5.13., 6.5.14., 6.5.15., 6.5.16., 6.5.17., 6.5.18. y 6.5.19 de la Circular Única de Seguros y Fianzas, para quedar como sigue:
6.5.5. El RCb será igual a la diferencia positiva entre la reserva de riesgos en curso de Beneficios Básicos de Pensión a retención (RMSp), más la reserva de riesgos en curso de Beneficios
Adicionales a retención (RRCSp) para cada póliza p, ambas obtenidas con la tasa de interés técnico y las bases biométricas señaladas en la Disposición 14.2.6, y la suma de la reserva de riesgos en curso de Beneficios Básicos de Pensión a retención (RMp) y la correspondiente a reserva de riesgos en curso de Beneficios Adicionales a retención (RRCp):
Para los efectos de la presente Disposición, se deberá incluir en el saldo de la reserva de riesgos en curso de Beneficios Básicos de Pensión y de riesgos en curso de Beneficios Adicionales, las obligaciones derivadas de las disposiciones legales y administrativas relativas a los institutos o entidades de seguridad social.
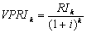
6.5.6. El
se determinará como la suma del valor presente del requerimiento por descalce entre activos y pasivos correspondiente a cada tramo de medición k (
), considerando dicha suma hasta el tramo correspondiente al número de años para el cual exista algún activo disponible en el mercado que ofrezca un rendimiento garantizado superior o igual a la inflación, mediante el cual las Instituciones de Seguros puedan calzar sus pasivos: donde:
k es el tramo de medición anual,
es el valor presente del requerimiento por descalce entre activos y pasivos correspondiente al tramo de medición k,
corresponde al número de años para el cual exista algún activo disponible en el mercado que ofrezca un rendimiento garantizado superior o igual a la inflación,
, i es la tasa de interés técnica definida conforme a la Disposición 6.5.8,
es el requerimiento por descalce entre activos y pasivos correspondiente al tramo de medición k, determinado conforme a la Disposición 6.5.9, y N es el número total de intervalos anuales de medición durante los cuales la Institución de Seguros sigue manteniendo obligaciones con su cartera, conforme a la proyección de los pasivos.
6.5.7. Para efectos de lo señalado en la Disposición 6.5.6, el tramo de medición hasta el cual exista un activo disponible en el mercado que ofrezca un rendimiento garantizado superior o igual a la inflación, mediante el cual la Institución de Seguros pueda calzar sus pasivos, será el señalado en el Anexo 6.5.7.
6.5.8. Las Instituciones de Seguros deberán utilizar la tasa de descuento señalada en el Anexo 6.5.8 para la determinación del valor presente del requerimiento por descalce entre activos y pasivos correspondiente a cada tramo de medición k (
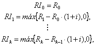
). 6.5.9. El requerimiento por descalce entre activos y pasivos del tramo de medición anual k (
) a que se refiere la Disposición 6.5.6, será obtenido mediante el siguiente procedimiento:
donde:
i es la tasa de interés técnica definida conforme a la Disposición 6.5.8, y
es la pérdida por descalce entre activos y pasivos al final de cada tramo de medición k, determinada conforme a la Disposición 6.5.10. 6.5.10. Las Instituciones de Seguros calcularán la pérdida por descalce entre activos y pasivos al final de cada tramo de medición k (Rk), como la diferencia entre sus pasivos (Pk) y los activos netos de siniestros (
). Si la diferencia entre el valor de los pasivos y los activos es positiva, se entenderá que existe pérdida por descalce. En caso contrario se tomará como cero:
6.5.11. Los pasivos a proyectar estarán conformados por las siguientes reservas técnicas, correspondientes a las obligaciones derivadas de las disposiciones legales y administrativas relativas a los institutos o entidades de seguridad social:
a) Reserva de riesgos en curso de Beneficios Básicos de Pensión;
b) Reserva de riesgos en curso de Beneficios Adicionales;
c) Reserva matemática especial;
d) Reserva de contingencia;
e) Reserva para fluctuación de inversiones, y
f) Reserva para obligaciones pendientes de cumplir.
La proyección de los pasivos de las Instituciones de Seguros (Pk) deberá determinarse para el total de tramos anuales de medición durante los cuales la Institución de Seguros sigue teniendo obligaciones sobre su cartera. El valor del pasivo correspondiente al inicio del primer tramo de medición anual será el equivalente al saldo al cierre del mes de que se trate.
Para la determinación de la proyección de las reservas técnicas a que se refiere la presente Disposición, deberán aplicarse las bases biométricas y la tasa de interés técnico con los cuales se valúe la reserva de riesgos en curso de Beneficios Básicos de Pensión y la reserva de riesgos en curso de Beneficios Adicionales respectivas.
La proyección del pasivo se calculará empleando el método de valuación póliza por póliza de acuerdo al Estatus del Grupo Familiar vigente, la cual deberá ser elaborada y firmada por un actuario que cuente con la certificación en valuación de reservas técnicas de los Seguros de Pensiones otorgada por el colegio profesional de la especialidad, o que cuente con la acreditación de conocimientos respectiva ante la Comisión, en términos de lo señalado en el Capítulo 31.1.
6.5.12. Los activos a proyectar serán las inversiones en valores con los que la Institución de Seguros cubra su Base de Inversión, atendiendo lo establecido en el Título 8 de estas Disposiciones.
Para tal efecto, en caso de activos con duración remanente mayor o igual a un año, únicamente se podrán utilizar inversiones en valores que por sí mismos ofrezcan un rendimiento garantizado superior o igual a la inflación o, en su caso, inversiones en valores que ofrezcan rendimientos nominales, siempre y cuando los flujos monetarios futuros que componen a dichos instrumentos, se encuentren cubiertos en su totalidad mediante la adquisición de productos derivados sobre el Índice Nacional de Precios al Consumidor o sobre la UDI, a fin de garantizar un rendimiento superior o igual a la inflación.
De conformidad con lo anterior, las Instituciones de Seguros deberán asignar al pasivo correspondiente al inicio del primer tramo de medición anual (P0), un portafolio conformado por n0 activos, de manera que la suma de valores de los activos que sean asignados en el momento de valuación, sea igual al monto de la porción del pasivo que se pretende calzar.
En el caso de que el monto de los activos sea menor al monto del pasivo que se pretende calzar, se considerará que dicha pérdida por descalce estará cubierta por un activo virtual al cual le corresponderá la tasa de rendimiento rf señalada en el Anexo 6.5.12-a.
En el caso de que el monto del pasivo sea menor al monto de los n0 activos, estos deberán reducirse proporcionalmente a efecto de que ambos montos sean equivalentes.
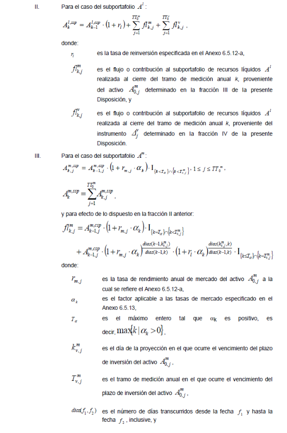
6.5.13. Para efecto de la proyección de los activos, se considerarán los siguientes cuatro subportafolios:
I. Subportafolio de activo virtual
, el cual corresponde a la pérdida por descalce a que se refiere el penúltimo párrafo de la Disposición 6.5.12 el cual se proyectará con la tasa de rendimiento rf, señalada en el Anexo 6.5.12-a, conforme al procedimiento señalado en la Disposición 6.5.16. II. Subportafolio de recursos líquidos
, que se compone de los valores que integran al subportafolio
a partir de su fecha de redención o del plazo máximo para su proyección establecido en la Disposición 6.5.16, así como de los flujos (pago de intereses, amortizaciones de capital y vencimiento del principal) provenientes de los valores que integran al subportafolio
. El subportafolio
se proyectará con la tasa de rendimiento rl, señalada en el Anexo 6.5.12-a, conforme al procedimiento señalado en la Disposición 6.5.16. III. Subportafolio
conformado por los Títulos de Deuda que no corresponden a la categoría para conservar a vencimiento, los cuales se proyectarán considerando las tasas de rendimiento de mercado rm,j, a que se refiere el Anexo 6.5.12-a. IV. Subportafolio
conformado por los Títulos de Deuda que corresponden a la categoría para conservar a vencimiento, los cuales se proyectarán mediante la valuación con base en las tasas de rendimiento pactadas rv,j a que se refiere el Anexo 6.5.12-a. 6.5.14. A fin de considerar el efecto del pago de siniestros que se deducen del activo, se definen los siguientes conceptos:
es el importe alcanzado por el subportafolio
al término del tramo de medición k, previo a la afectación por el pago de los siniestros de dicho periodo,
es el importe alcanzado por el subportafolio
al término del tramo de medición k, una vez descontados los siniestros de dicho periodo,
es el tipo del subportafolio, donde t
conforme a lo definido en la Disposición 6.5.13 anterior,
es el monto de la siniestralidad proyectada actuarialmente pagadera durante el tramo de medición anual k, donde
para 1 k N
es el valor de la siniestralidad proyectada actuarialmente pagadera durante el tramo de medición anual k por la póliza p, calculado tomando en cuenta las diferentes combinaciones de la pensión a pagar de acuerdo al Estatus del Grupo Familiar, vigente, el cual considerará la probabilidad de permanencia de dicho estatus,
es el total de pólizas en vigor al cierre del mes de que se trate,
es la tasa de descuento señalada en el Anexo 6.5.8.
6.5.22. El cálculo del RCA a que se refiere la Disposición 6.5.2, se efectuará empleando modelos que tomarán en cuenta los siguientes aspectos:
I. Se desarrollarán bajo metodologías basadas en la generación de escenarios estocásticos que reflejen la variabilidad de los riesgos ante situaciones extremas;
II. El RCA reflejará, para aquellos activos que no se consideren para efecto de la proyección del activo a que se refiere la Disposición 6.5.12, la variación del valor de dichos activos en un horizonte de tiempo de un año, a partir de la fecha en que se realice el cálculo del RCS, considerando los riesgos enunciados en las fracciones II y III de la Disposición 6.5.1;
III. El RCA reflejará, para aquellos activos que se consideren para efecto de la proyección del activo a que se refiere la Disposición 6.5.12, la variación del valor de dichos activos en un horizonte de tiempo de un año, a partir de la fecha en que se realice el cálculo del RCS, considerando únicamente los riesgos enunciados en la fracciones II, inciso b), y III de la Disposición 6.5.1;
IV. El valor total de los activos (A) se determinará de la siguiente manera:
donde:
t es la variable de tiempo tal que t = 0 corresponde a la fecha de cálculo del RCS y t =1 corresponde a la fecha de proyección, un año después de la fecha de cálculo del RCS;
A(t) es el valor presente del valor total de los activos expresados en pesos sujetos a riesgo al tiempo t;
Ac(t) es el valor presente del valor de los activos, que se consideran para efecto de la proyección del activo a que se refiere la Disposición 6.5.12, expresados en pesos sujetos a riesgo al tiempo t, y
Anc(t) es el valor presente del valor de mercado de los activos, que no se consideran para efecto de la proyección del activo a que se refiere la Disposición 6.5.12, expresados en pesos sujetos a riesgo al tiempo t;
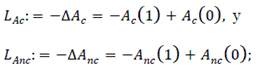
V. El cambio o variación del valor total de los activos (A) se calculará como:
A partir del A, la pérdida en el valor de los activos se denotará como LA y quedará definida como:
VI. El RCA se calculará como el máximo entre cero y el valor en riesgo a un nivel de confianza del 99.5% (VaR99.5%) de la variable de pérdida en el valor total de los activos, LA. Es decir:
VII. La variable de pérdida LA se calculará como:
donde:
VIII. La variable LAc estará formada por las pérdidas en el valor de los activos que se consideran para efecto de la proyección del activo a que se refiere la Disposición 6.5.12, los cuales están sujetos al riesgo de crédito y de concentración.
La variable de pérdida LAc está dada por:
donde:
CA es el conjunto de activos formado por los instrumentos enunciados en la fracción VIII de la Disposición 6.3.2;
IX. Las variables de pérdida LAC,j correspondientes a las inversiones en los instrumentos a que se refiere la fracción VIII de la Disposición 6.3.2 se calcularán de acuerdo a la siguiente fórmula:
donde:
j se refiere al tipo de instrumento correspondiente al conjunto de activos CA descrito en la fracción VIII de la Disposición 6.3.2;
nj se refiere al número total de instrumentos para el tipo de instrumento j, y
LAC,j,i es la variable de pérdida del instrumento i correspondiente a inversiones en instrumentos del tipo j.
La pérdida LAC,j,i se calculará de acuerdo a la siguiente fórmula:
donde:
es el valor al tiempo de proyección,
, del i-ésimo instrumento traído a valor presente para el tipo de instrumento j, considerando el riesgo de crédito, que se determinará según el modelo y las bases técnicas señaladas en el Anexo 6.3.18, y
es el valor del i-ésimo instrumento al tiempo de cálculo del RCS,
, para el tipo de instrumento j; X. La variable
estará formada por las pérdidas en el valor de los activos que no se consideran para efecto de la proyección del activo a que se refiere la Disposición 6.5.12, los cuales están sujetos al riesgo de mercado, el cual incluye: el riesgo de tasa de interés, el riesgo accionario, el riesgo de spread, y el riesgo de tipo de cambio, así como por las pérdidas en el valor de los activos sujetos al riesgo de concentración y de crédito.
La pérdida
está dada por: donde:
CA es el conjunto de activos formado por los instrumentos enunciados en la fracción VIII de la Disposición 6.3.2, y
XI. Las variables de pérdida
correspondientes a las inversiones en los instrumentos a que se refiere la fracción VIII de la Disposición 6.3.2, se calcularán conforme a lo establecido en las Disposiciones 6.3.3, 6.3.4, 6.3.5 y 6.3.6. 6.5.23. El cálculo del
a que se refiere la fracción III de la Disposición 6.2.1, correspondiente al Reaseguro tomado, será igual a: TERCERA.- Se modifican los Anexos 6.5.12-a, 6.5.12-b y 6.5.13 de la Circular Única de Seguros y Fianzas.
CUARTA.- Se modifica la "RELACIÓN DE ANEXOS DE LA CIRCULAR ÚNICA DE SEGUROS Y FIANZAS" para hacer referencia a la nueva denominación de los Anexos 6.5.12-a, 6.5.12-b y 6.5.13 de la Circular Única de Seguros y Fianzas, para quedar de la siguiente manera:
"RELACIÓN DE ANEXOS DE LA CIRCULAR ÚNICA DE SEGUROS Y FIANZAS
"...
"Anexo 6.5.12-a Tasas de interés o rendimiento para efectos de la proyección de activos empleada en el cálculo del 
"Anexo 6.5.12-b Consideraciones para la proyección de activos empleados en el cálculo del 
"Anexo 6.5.13 Plazos y valores para el factor
aplicables a la tasa de mercado de las inversiones clasificadas con fines de negociación y disponibles para su venta "..."
TRANSITORIAS
PRIMERA.- La presente Circular Modificatoria entrará en vigor el día de su publicación en el Diario Oficial de la Federación.
SEGUNDA.- Lo establecido en la presente Circular Modificatoria será aplicable a partir de la entrega de información del Reporte Regulatorio sobre Requerimientos de Capital (RR-4), correspondiente al segundo trimestre de 2019.
TERCERA.- Las Instituciones que por motivo de la entrada en vigor de esta Circular Modificatoria, requieran realizar adecuaciones a sus métodos actuariales para la proyección del pasivo y de la siniestralidad esperada, a fin de apegarse a lo establecido en las Disposiciones 6.5.11. y 6.5.14. de la Circular Única de Seguros y Fianzas, contarán con un plazo que no podrá excederse del día 1° de junio de 2019, para que registren las metodologías a que se refiere la Disposición 6.5.21. de la citada Circular Única.
Lo anterior se hace de su conocimiento, con fundamento en los artículos 366, fracción II, 369, fracción I, 372, fracciones V, VI y XLII, 373 y 381 de la Ley de Instituciones de Seguros y de Fianzas.
Atentamente
Ciudad de México, 7 de mayo de 2019.- El Presidente de la Comisión Nacional de Seguros y Fianzas, Ricardo Ernesto Ochoa Rodríguez.- Rúbrica.
ANEXO 6.5.12-a.
TASAS DE INTERÉS O RENDIMIENTO PARA EFECTOS DE LA PROYECCIÓN DE ACTIVOS EMPLEADA EN EL CÁLCULO DEL
1) Las tasas de rendimiento rf y rl a las que hacen referencia las Disposiciones 6.5.12, penúltimo párrafo, 6.5.13 y 6.5.16, serán las siguientes expresadas en términos reales:
| Tasa de rendimiento real | Supuesto de proyección del activo en el que aplica |
=0.0% | En caso del faltante en el activo a que se refiere el penúltimo párrafo de la Disposición 6.5.12. |
=0.0% | Aplicable para la proyección del subportafolio de recursos líquidos a la cual se refieren las Disposiciones 6.5.12, penúltimo párrafo, 6.5.13 y 6.5.16. |
2) Para determinar el valor proyectado de las inversiones con las cuales la Institución de Seguros cubran su Base de Inversión, se tomarán en cuenta los siguientes instrumentos y tasas:
I. Los activos a ser proyectados mediante la tasa de rendimiento anual de mercado (rm) propia del instrumento, serán aquellos cuya clasificación no corresponda a la categoría para ser conservados hasta el vencimiento. En este caso, la tasa rm será la proporcionada por el proveedor de precios para cada instrumento, al cierre del mes de que se trate.
II. Los activos a ser valuados mediante la tasa pactada de rendimiento implícita en la adquisición del instrumento rv y que se van conservar hasta el vencimiento, corresponden a los Títulos de Deuda que se valúan a su Costo Amortizado conforme al Anexo 22.1.2 de las presentes Disposiciones.
Las tasas utilizadas para la proyección de tales activos serán tasas reales, o su equivalente en términos reales.
ANEXO 6.5.12-b.
CONSIDERACIONES PARA LA PROYECCIÓN DE ACTIVOS EMPLEADOS EN EL CÁLCULO DEL
La metodología para la determinación del Precio Sucio de las inversiones en activos los cuales se valúen a vencimiento que se indica en las Disposiciones 6.5.15, 6.5.16 y 6.5.18, será la siguiente:
1) Para el caso de instrumentos que no tengan comprometida la amortización anticipada del principal:
ANEXO 6.5.13.
PLAZOS Y VALORES PARA EL FACTOR
APLICABLES A LA TASA DE MERCADO DE LAS INVERSIONES CLASIFICADAS CON FINES DE NEGOCIACIÓN Y DISPONIBLES PARA SU VENTA | Tramo k | Factor |
| Con Fines de Negociación | Disponibles para su Venta |
| k=1 | 1.00 | 1.00 |
| k=2 | 0.00 | 0.75 |
| k=3 | 0.00 | 0.00 |
______________________________