CRITERIOS técnicos y de procedimiento para el análisis de los instrumentos de evaluación, el proceso de calificación y la definición de las listas de prelación de los Concursos de oposición para las promociones a cargos con funciones de dirección y supervisión en Educación Básica y Educación Media Superior y a las funciones de asesoría técnica pedagógica en Educación Básica para el ciclo escolar 2019-2020.
Al margen un logotipo, que dice: Instituto Nacional para la Evaluación de la Educación.- México.
CRITERIOS TÉCNICOS Y DE PROCEDIMIENTO PARA EL ANÁLISIS DE LOS INSTRUMENTOS DE EVALUACIÓN, EL PROCESO DE CALIFICACIÓN Y LA DEFINICIÓN DE LAS LISTAS DE PRELACIÓN DE LOS CONCURSOS DE OPOSICIÓN PARA LAS PROMOCIONES A CARGOS CON FUNCIONES DE DIRECCIÓN Y SUPERVISIÓN EN EDUCACIÓN BÁSICA Y EDUCACIÓN MEDIA SUPERIOR Y A LAS FUNCIONES DE ASESORÍA TÉCNICA PEDAGÓGICA EN EDUCACIÓN BÁSICA PARA EL CICLO ESCOLAR 2019-2020
Con fundamento en los Lineamientos para llevar a cabo la evaluación para la promoción de docentes a cargos con funciones de Dirección, Supervisión y Asesoría Técnica Pedagógica en Educación Básica y para la promoción de docentes a cargos con funciones de Dirección y Supervisión en Educación Media Superior para el ciclo escolar 2019-2020. LINEE-02-2019; la Junta de Gobierno aprueba emitir los siguientes Criterios técnicos y de procedimiento para el análisis de los instrumentos de evaluación, el proceso de calificación y la definición de las listas de prelación de los Concursos de oposición para las promociones a cargos con funciones de dirección y supervisión en Educación Básica y Educación Media Superior y a las funciones de asesoría técnica pedagógica en Educación Básica para el ciclo escolar 2019-2020.
Estos criterios técnicos se deben adoptar en los siguientes concursos de oposición.
Educación Básica:
· Concursos para la promoción a cargos con funciones de dirección: Director, Subdirector y Coordinador de actividades.
· Concursos para la promoción a cargos con funciones de supervisión: Jefe de sector, Jefe de enseñanza y Supervisor.
· Concursos para la promoción a funciones de Asesoría Técnica Pedagógica (ATP): ATP en Lenguaje oral y escrito, ATP en Pensamiento matemático, ATP en Educación especial y ATP en Educación física.
Educación Media Superior:
· Concursos para la promoción a cargos con funciones de dirección: Director, Subdirector académico, Subdirector administrativo, Jefe de departamento académico y Jefe de departamento administrativo.
· Concursos para la promoción a cargos con funciones de supervisión.
Los presentes Criterios técnicos y de procedimiento consideran el uso de los datos recabados una vez que se ha llevado a cabo la aplicación de los instrumentos que forman parte de la evaluación y tienen como finalidad establecer los referentes necesarios para garantizar la validez, confiabilidad y equidad de los resultados de los procesos de evaluación implicados en estos concursos. Su contenido se organiza en cinco apartados: 1) Criterios técnicos para el análisis e integración de los instrumentos de evaluación; 2) Procedimiento para el establecimiento de puntos de corte y estándares de desempeño; 3) Calificación de los resultados obtenidos por los sustentantes en los distintos instrumentos del proceso de evaluación; 4) Resultado del proceso de evaluación: conformación de los grupos de desempeño y 5) Integración de las listas de prelación.
En la parte final, se integra un Anexo técnico con información detallada de los aspectos técnicos que se consideran en los distintos apartados del documento.
Definición de términos
Para los efectos del presente documento, se emplean las siguientes definiciones:
I. Alto impacto: Se entiende que una evaluación es de alto impacto cuando sus resultados tienen consecuencias importantes para las personas o las instituciones; por ejemplo, los procesos de admisión o certificación.
II. Calificación: Proceso de asignación de una puntuación o nivel de desempeño logrado a partir de los resultados de una medición.
III. Confiabilidad: Cualidad de las mediciones obtenidas con un instrumento, que se caracterizan por ser consistentes y estables cuando este se aplica en distintas ocasiones.
IV. Constructo: Elaboración teórica formulada para explicar un proceso social, psicológico o educativo.
V. Correlación punto biserial: Medida de consistencia que se utiliza en el análisis de reactivos, indica si hay una correlación entre el resultado de un reactivo con el resultado global del examen.
VI. Criterio de evaluación: Indicador de un valor aceptable sobre el cual se puede establecer o fundamentar un juicio de valor sobre el desempeño de una persona.
VII. Desempeño: Resultado obtenido por el sustentante en un proceso de evaluación o en un instrumento de evaluación educativa.
VIII. Dificultad de un reactivo: Indica la proporción de personas que responden correctamente el reactivo de un examen.
IX. Distractores: Opciones de respuesta incorrectas del reactivo de opción múltiple, que probablemente serán elegidas por los sujetos con menor dominio en lo que se evalúa.
X. Dominio: Conjunto de conocimientos, habilidades, destrezas, actitudes u otros atributos que tienen las siguientes propiedades: límites, extensión y definición. También se puede aplicar a contenidos, procedimientos u objetos.
XI. Educación básica: Tipo de educación que comprende los niveles de preescolar, primaria y secundaria en todas sus modalidades, incluyendo la educación indígena, la especial y la que se imparte en los centros de educación básica para adultos.
XII. Educación media superior: Tipo de educación que comprende el nivel de bachillerato, los demás niveles equivalentes a éste, así como la educación profesional que no requiere bachillerato o sus equivalentes.
XIII. Equiparación: Método estadístico que se utiliza para ajustar las puntuaciones de las formas o versiones de un mismo instrumento, de manera tal que al sustentante le sea indistinto, en términos de la puntuación que se le asigne, responder una forma u otra.
XIV. Error estándar de medida: Es la estimación de mediciones repetidas de un atributo evaluado sobre una misma persona a partir de un mismo instrumento y que tienden a distribuirse alrededor de un puntaje verdadero, el cual siempre es desconocido porque ninguna medida lo representa a la perfección.
XV. Escala: Conjunto de números, puntuaciones o medidas que pueden ser asignados a objetos o sucesos con propiedades específicas a partir de reglas definidas.
XVI. Escalamiento: Proceso a través del cual se construye una escala que facilita la interpretación de los resultados que se obtienen en uno o varios instrumentos de evaluación, colocando las puntuaciones de los distintos instrumentos o formas a una escala común.
XVII. Especificaciones de tareas evaluativas o de reactivos: Descripción detallada de las tareas específicas susceptibles de medición, que deben realizar las personas que contestan el instrumento de evaluación. Deben estar alineadas al constructo definido en el marco conceptual.
XVIII. Estándar: Principio de valor o calidad en la conducción y uso de los procedimientos de evaluación. Constituyen el referente para emitir un juicio de valor sobre el mérito del objeto evaluado.
XIX. Estructura: Está compuesta por los contenidos o aspectos disciplinares que mide un instrumento, así como el número y porcentaje relativo de reactivos o tareas evaluativas con que se integra el instrumento y su distribución.
XX. Evaluación: Proceso sistemático mediante el cual se recopila y analiza información, cuantitativa o cualitativa, sobre un objeto, sujeto o evento, con el fin de emitir juicios de valor al comparar los resultados con un referente previamente establecido. La información resultante puede ser empleada como insumo para orientar la toma de decisiones.
XXI. Examen: Instrumento de evaluación que se emplea para identificar el nivel de dominio de los sustentantes sobre un constructo específico.
XXII. Formas de un instrumento: Dos o más versiones de un instrumento que se consideran equivalentes, pues se construyen con los mismos contenidos y especificaciones estadísticas.
XXIII. Instrumento de evaluación: Herramienta de recolección de datos que suele tener distintos formatos, atendiendo a la naturaleza de la evaluación, por ejemplo, instrumentos de selección de respuesta, instrumentos de respuesta construida, cuestionarios, observaciones, portafolios, entre otros.
XXIV. Instrumento de evaluación referido a un criterio: Instrumento que permite comparar el desempeño de las personas evaluadas, con un estándar preestablecido.
XXV. Jueceo: Método en el cual se utiliza la opinión de expertos (denominados jueces) para valorar y calificar distintos aspectos, tales como las respuestas y ejecuciones de las personas que
participan en una evaluación o la calidad de los reactivos, las tareas evaluativas y estándares de un instrumento.
XXVI. Lista de prelación: Orden descendente en que se enlistan los sustentantes con base en los resultados obtenidos en el proceso de evaluación.
XXVII. Medición: Proceso de asignación de valores numéricos a atributos de las personas, características de objetos o eventos de acuerdo con reglas específicas que permitan que sus propiedades puedan ser representadas cuantitativamente.
XXVIII. Muestra: Subconjunto de la población de interés que refleja las variables medidas en una distribución semejante a la de la población.
XXIX. Multi-reactivo: Conjunto de reactivos de opción múltiple que están vinculados a un planteamiento general, por lo que este último es indispensable para poder resolverlos.
XXX. Nivel de desempeño: Criterio conceptual que delimita el marco interpretativo de las puntuaciones obtenidas en una prueba y que refiere a lo que el sustentante es capaz de hacer en términos de conocimientos, destrezas o habilidades en el contexto del instrumento.
XXXI. Objeto de medida: Conjunto de características o atributos que se miden en el instrumento de evaluación.
XXXII. Parámetro estadístico: Número que resume un conjunto de datos que se derivan del análisis de una cualidad o característica del objeto de estudio.
XXXIII. Perfil: Conjunto de características, requisitos, cualidades o aptitudes que deberá tener el sustentante a desempeñar un puesto o función descrito específicamente.
XXXIV. Porcentaje de acuerdos inter-jueces: Medida del grado en que dos jueces coinciden en la puntuación asignada a un producto o proyecto definido para evaluar, a través de una rúbrica, el desempeño de una persona.
XXXV. Porcentaje de acuerdos intra-jueces: Medida del grado en que el mismo juez, a través de dos o más mediciones repetidas a los mismos productos o proyectos evaluados con la misma rúbrica, coincide en las puntuaciones que les asignó.
XXXVI. Protocolo: Conjunto de reglas o normas que establecen cómo se deben realizar ciertas actividades o pasos, además de incorporar de manera detallada los procedimientos y los estándares que se deben cumplir. Para su realización es fundamental considerar las características especiales de cada evaluación.
XXXVII. Punto de corte: En instrumentos de evaluación con referencia a un estándar de desempeño, es la puntuación mínima o el criterio a alcanzar o a superar para considerar que el nivel de desempeño de una persona cumple con lo esperado y distinguirlo de otro que no.
XXXVIII. Puntuación: Valor numérico obtenido durante el proceso de medición.
XXXIX. Reactivo: Unidad básica de medida de un instrumento de evaluación que consiste en una pregunta o instrucción que requiere una respuesta del sujeto.
XL. Rúbrica: Herramienta que integra los criterios de ejecución a partir de los cuales se califica una tarea evaluativa.
XLI. Sesgo: Error en la medición de un atributo debido a una variable no controlada, como las diferencias culturales o lingüísticas de las personas evaluadas.
XLII. Tarea evaluativa: Unidad básica de medida de un instrumento de evaluación que consiste en la respuesta que construye una persona o en la ejecución de una actividad, que es susceptible de ser observada y graduada en su nivel de cumplimiento.
XLIII. Teoría Clásica de los Tests (TCT): Teoría psicométrica que parte del supuesto de que el puntaje observado de una persona que responde un instrumento es la suma de su puntaje verdadero y un error aleatorio independiente del puntaje.
XLIV. Validez: Juicio valorativo integrador sobre el grado en que los fundamentos teóricos y las evidencias empíricas apoyan la interpretación de las puntuaciones de los instrumentos de evaluación.
1. Criterios técnicos para el análisis e integración de los instrumentos de evaluación
Uno de los aspectos fundamentales que debe llevarse a cabo antes de emitir cualquier resultado de un proceso de evaluación es el análisis psicométrico de los instrumentos que integran la evaluación, con el objetivo de verificar que cuentan con la calidad técnica necesaria para proporcionar resultados confiables, acordes con el objetivo de la evaluación.
Las técnicas empleadas para el análisis de un instrumento dependen de su naturaleza, de los objetivos específicos para los cuales fue diseñado, así como del tamaño de la población evaluada. Sin embargo, en
todos los casos, debe aportarse información sobre la dificultad y discriminación de sus reactivos o tareas evaluativas, así como la precisión del instrumento, los indicadores de consistencia interna o estabilidad del instrumento, los cuales, además de los elementos asociados a la conceptualización del objeto de medida, forman parte de las evidencias que servirán para valorar la validez de la interpretación de sus resultados. Estos elementos, deberán reportarse en el informe o manual técnico del instrumento.
Con base en los resultados de estos procesos de análisis deben identificarse las tareas evaluativas o los reactivos que cumplen con los criterios psicométricos especificados en este documento para integrar el instrumento, para calificar el desempeño de las personas evaluadas, con la mayor precisión posible.
Para llevar a cabo el análisis de los instrumentos de medición utilizados en el proceso de evaluación, es necesario que los distintos grupos de sustentantes de las entidades federativas queden equitativamente representados, dado que la cantidad de sustentantes por tipo de evaluación en cada entidad federativa es notoriamente diferente. Para ello, se definirá una muestra de sustentantes por cada instrumento de evaluación que servirá para analizar el comportamiento estadístico de los instrumentos y orientar los procedimientos descritos más adelante, y que son previos para la calificación. Para conformar dicha muestra, cada entidad federativa contribuirá con 500 sustentantes como máximo, y deberán ser elegidos aleatoriamente. Si hay menos de 500 sustentantes, todos se incluirán en la muestra (OECD; 2002, 2005, 2009, 2014). Si no se realizara este procedimiento, las decisiones sobre los instrumentos de evaluación, la identificación de los puntos de corte y los estándares de desempeño, se verían fuertemente influenciados, indebidamente, por el desempeño mostrado por aquellas entidades que se caracterizan por tener un mayor número de sustentantes.
Sobre la conformación de los instrumentos de evaluación
Con la finalidad de obtener puntuaciones de los aspirantes con el nivel de precisión requerido para los propósitos de los Concursos, los instrumentos de evaluación deberán tener las siguientes características:
Exámenes con reactivos de opción múltiple:
Los instrumentos de evaluación deberán tener, al menos, 80 reactivos efectivos para calificación y deberán estar organizados jerárquicamente en tres niveles de desagregación: áreas, subáreas y temas, en donde:
Las áreas deberán contar con al menos dos subáreas y, cada una de ellas, deberá tener al menos 20 reactivos efectivos para calificar.
Las subáreas deberán considerar al menos dos temas, y cada uno de ellos deberá tener, al menos, 10 reactivos efectivos para calificar.
Los temas deberán contemplar al menos dos contenidos específicos, los cuales estarán definidos en términos de especificaciones de reactivos. Cada especificación deberá ser evaluada al menos por un reactivo.
Exámenes de respuesta construida:
· Deberán estar organizados en, al menos, dos niveles de desagregación (áreas y subáreas; si fuera el caso, temas); el primero deberá contar, al menos, con dos conjuntos de contenidos específicos a evaluar.
· A partir del segundo nivel (o tercer nivel, si fuera el caso) de desagregación, se deberá contar con las especificaciones de las tareas evaluativas. Cada especificación deberá tener su definición operacional.
· En las rúbricas o guías de calificación los distintos niveles o categorías de ejecución que se consignen, deberán ser claramente distinguibles entre sí y con un diseño ordinal ascendente (de menor a mayor valor).
Criterios y parámetros estadísticos
Los instrumentos empleados para los Concursos de oposición para la Promoción en Educación Básica y en Educación Media Superior para el ciclo escolar 2019-2020, deberán atender los siguientes criterios (Cook y Beckman 2006; Downing, 2004; Stemler y Tsai, 2008) con, al menos, los valores de los parámetros estadísticos indicados a continuación:
En el caso de los instrumentos de evaluación basados en reactivos de opción múltiple:
· La respuesta correcta deberá tener una dificultad clásica de 10% a 90% y una correlación punto biserial corregida igual o mayor que 0.15.
· Los distractores deberán tener correlaciones punto biserial negativas.
· La confiabilidad del instrumento deberá ser igual o mayor que 0.80.
Para los instrumentos con menos de 100 sustentantes, la selección de los reactivos con los cuales se va a calificar, se debe llevar a cabo con base en el siguiente procedimiento: cada reactivo tiene que ser revisado por, al menos, tres jueces: dos expertos en contenido y un revisor técnico, considerando los siguientes aspectos: calidad del contenido del reactivo, adecuada construcción técnica, correcta redacción y atractiva
presentación de lo que se evalúa.
En todos los casos en los que sea factible estimar los parámetros estadísticos de los reactivos, esta información debe proporcionarse a los jueces con el objetivo de que les permita fundamentar sus decisiones y ejercer su mejor juicio profesional.
En el caso de los instrumentos basados en tareas evaluativas o en reactivos de respuesta construida, y que serán calificados con rúbrica:
· La correlación corregida entre cada aspecto evaluado con la puntuación global deberá ser igual o mayor que 0.20.
· La confiabilidad del instrumento deberá ser igual o mayor que 0.80.
Considerando las decisiones de los jueces que calificaron los instrumentos de respuesta construida a través de rúbrica, se debe atender lo siguiente:
· El porcentaje de acuerdos inter-jueces deberá ser igual o mayor que 60%.
· El porcentaje de acuerdos intra-jueces deberá ser igual o mayor que 60% considerando, al menos, cinco medidas repetidas seleccionadas al azar, es decir, para cada juez se deben seleccionar al azar cinco sustentantes, a quienes el juez debe calificar en dos ocasiones a través de la estrategia "doble ciego", a fin de que, en su segunda calificación, el juez no identifique el producto del sustentante. Estas mediciones deberán aportarse antes de emitir la calificación definitiva de los sustentantes, a fin de salvaguardar la confiabilidad de la decisión.
Si se diera el caso de que en algún instrumento no se cumpliera con los criterios y parámetros estadísticos antes indicados, la Junta de Gobierno del INEE determinará lo que procede, buscando salvaguardar el constructo del instrumento que fue aprobado por el Consejo Técnico y atendiendo al marco jurídico aplicable.
2. Procedimiento para el establecimiento de puntos de corte y estándares de desempeño
Un paso crucial en el desarrollo y uso de los instrumentos de evaluación de naturaleza criterial, como es el caso de los que se utilizan para evaluar a los sustentantes de los Concursos de oposición para la Promoción en Educación Básica y Educación Media Superior, es el establecimiento de los puntos de corte que dividen el rango de calificaciones para diferenciar entre niveles de desempeño.
En los instrumentos de evaluación de tipo criterial, la calificación obtenida por cada sustentante se contrasta con un estándar de desempeño establecido por un grupo de expertos que describe el nivel de competencia requerido para algún propósito determinado, es decir, los conocimientos y habilidades que, para cada instrumento de evaluación, se consideran indispensables para un desempeño adecuado en la función. En este sentido el estándar de desempeño delimita el marco interpretativo de las puntuaciones obtenidas en un instrumento por los sustentantes.
El procedimiento para el establecimiento de puntos de corte y estándares de desempeño incluye tres fases, las cuales se describen a continuación:
Primera fase
Con el fin de contar con un marco de referencia común para los distintos instrumentos de evaluación, se deberán establecer descriptores genéricos de los niveles de desempeño que se utilizarán y cuya única función es orientar a los comités académicos en el trabajo del desarrollo de los descriptores específicos de cada instrumento, tales que les permita a los docentes tener claros elementos de retroalimentación para conocer sus fortalezas y áreas de oportunidad identificadas a partir de los resultados de cada instrumento sustentado.
Para todos los instrumentos se utilizarán tres niveles de desempeño posibles: Nivel I (NI), Nivel II (NII) y Nivel III (NIII). Los descriptores genéricos para cada uno de ellos se indican en la Tabla 1.
Tabla 1. Descriptores genéricos de los niveles de desempeño
| Nivel de desempeño | Descriptor |
| Nivel I (NI) | Dominio insuficiente de los conocimientos y habilidades, contemplados en el instrumento, que se juzgan indispensables para un adecuado desempeño en la función. |
| Nivel II (NII) | Dominio suficiente y organizado de los conocimientos y habilidades, contemplados en el instrumento, que se juzgan indispensables para un adecuado desempeño en la función. |
| Nivel III (NIII) | Dominio suficiente y organizado de los conocimientos y habilidades, contemplados en el instrumento, que se juzgan indispensables para un adecuado desempeño en la función, con amplia capacidad para utilizarlos en diversas situaciones propias de la función. |
Segunda fase
En esta fase se establecerán los puntos de corte y deberán participar los comités académicos específicos para el instrumento de evaluación que se esté trabajando. Dichos comités se deberán conformar, en su conjunto, con especialistas que han participado en el diseño de los instrumentos y cuya pluralidad sea representativa de la diversidad cultural en que se desenvuelve la acción educativa del país. En todos los casos, sus miembros deberán ser capacitados específicamente para ejercer su mejor juicio profesional a fin de identificar cuál es la puntuación requerida para que el sustentante alcance un determinado nivel o estándar de desempeño.
Los insumos que tendrán como referentes para el desarrollo de esta actividad serán, la documentación que describe la estructura de los instrumentos, las especificaciones, los ejemplos de tareas evaluativas o de reactivos incluidos en las mismas y las rúbricas utilizadas para la calificación. En todos los casos, los puntos de corte se referirán a la ejecución típica o esperable de un sustentante hipotético, con un desempeño mínimamente aceptable, para cada uno de los niveles. Para ello, se deberá determinar, para cada tarea evaluativa o reactivo considerado en el instrumento, cuál es la probabilidad de que dicho sustentante hipotético lo responda correctamente y, con base en la suma de estas probabilidades, establecer la calificación mínima requerida o punto de corte, para cada nivel de desempeño (Angoff, 1971).
Una vez establecidos los puntos de corte que dividen el rango de calificaciones para diferenciar los niveles de desempeño en cada instrumento, se deberán describir los conocimientos y las habilidades específicos que están implicados en cada nivel de desempeño, es decir, lo que dicho sustentante conoce y es capaz de hacer.
Tercera fase
En la tercera fase se llevará a cabo un ejercicio de retroalimentación a los miembros de los comités académicos con el fin de contrastar sus expectativas sobre el desempeño de la población evaluada, con la distribución de sustentantes que se obtiene en cada nivel de desempeño al utilizar los puntos de corte definidos en la segunda fase, a fin de determinar si es necesario realizar algún ajuste en la decisión tomada con anterioridad y, de ser el caso, llevar a cabo el ajuste correspondiente.
Los jueces deberán estimar la tasa de sustentantes que se esperaría en cada nivel de desempeño y comparar esta expectativa con los datos reales de los sustentantes, una vez aplicados los instrumentos. Si las expectativas y los resultados difieren a juicio de los expertos, deberá definirse un punto de concordancia para la determinación definitiva del punto de corte asociado a cada nivel de desempeño en cada uno de los instrumentos, siguiendo el método propuesto por Beuk (1984).
Esta tercera fase se llevará a cabo solamente para aquellos instrumentos de evaluación en los que el tamaño de la población evaluada sea igual o mayor a 100 sustentantes. Si la población es menor a 100 sustentantes, los puntos de corte serán definidos de acuerdo con lo descrito en la segunda fase.
Si se diera el caso de que algún instrumento no cumpliera con el criterio de confiabilidad indicado en el apartado previo, la Junta de Gobierno del INEE determinará el procedimiento a seguir para el establecimiento de los puntos de corte correspondientes, atendiendo al marco jurídico aplicable.
3. Calificación de los resultados obtenidos por los sustentantes en los distintos instrumentos del proceso de evaluación
Todos los sustentantes que participen en los Concursos de oposición para la Promoción en Educación Básica y en Educación Media Superior para el ciclo escolar 2019-2020 deberán sustentar dos exámenes. Cada sustentante recibirá los resultados de cada uno de los exámenes que haya presentado, así como el resultado integrado de todo el proceso de evaluación.
Una vez que se han establecido los puntos de corte en cada examen, el resultado del sustentante será ubicado en uno de los tres niveles de desempeño en función de la puntuación alcanzada. Esto implica que su resultado será comparado contra el estándar previamente establecido, con independencia de los resultados obtenidos por el conjunto de sustentantes que presentaron el examen.
3.1 Proceso para la equiparación de instrumentos de evaluación
Cuando el proceso de evaluación implica la aplicación de un instrumento en diversas ocasiones en un determinado periodo, en especial si sus resultados tienen un alto impacto, es indispensable el desarrollo y uso de formas o versiones del instrumento que sean equivalentes a fin de garantizar que, independientemente del momento en que un aspirante participe en el proceso de evaluación, no tenga ventajas o desventajas de la forma o versión que responda. Por esta razón, es necesario un procedimiento que permita hacer equivalentes los resultados obtenidos en diferentes formas o versiones de un mismo instrumento.
Para que dos formas de un instrumento de evaluación puedan ser equiparadas, se deben cubrir los
siguientes requerimientos:
· Compartir las mismas características técnicas: estructura, especificaciones de reactivos, número de reactivos (longitud del instrumento) y un subconjunto de reactivos comunes (reactivos ancla), que en cantidad no deberá ser menor al 30% ni mayor al 50% de la totalidad de reactivos efectivos para calificar.
· Contar con una confiabilidad semejante.
· Los reactivos que constituyen el ancla deberán ubicarse en la misma posición relativa dentro de cada forma, y deberán quedar distribuidos a lo largo de todo el instrumento.
· La modalidad en la que se administren las formas deberá ser la misma para todos los aspirantes (por ejemplo, en lápiz y papel o en computadora).
Si el número de sustentantes es de al menos 100 en las distintas formas en que se llevará a cabo la equiparación, se utilizará el método de equiparación lineal para puntajes observados. Si el número de sustentantes es menor de 100 en alguna de las formas, se utilizará el método de equiparación de identidad (ver anexo técnico).
3.2 Escala utilizada para reportar los resultados
En cada plan de evaluación es indispensable definir la escala en la que se reportarán los resultados de los sustentantes. Existen muchos tipos de escalas de calificación; en las escalas referidas a norma, las calificaciones indican la posición relativa del sustentante en una determinada población. En las escalas referidas a criterio cada calificación en la escala representa un nivel particular de desempeño referido a un estándar previamente definido en un campo de conocimiento o habilidad específicos.
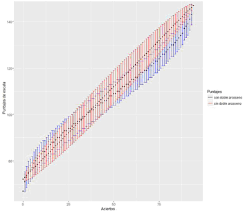
El escalamiento que se llevará a cabo en este proceso de evaluación, permitirá construir una métrica común para todos los instrumentos que se administrarán. Consta de dos transformaciones, la primera denominada doble arcoseno, que permite estabilizar la magnitud de la precisión de las puntuaciones a lo largo de la escala; la segunda transformación es lineal y ubica el punto de corte del nivel de desempeño II en un mismo valor para todos los exámenes: puntuación de 100 en esta escala (cuyo rango va de 60 a 170 puntos(1)).
Al utilizar esta escala, diferente a las escalas que se utilizan para reportar resultados de aprendizaje en el aula (de 5 a 10 o de 0% a 100%, donde el 6 o 60% de aciertos es aprobatorio), se evita que se realicen interpretaciones equivocadas de los resultados obtenidos en los exámenes, en virtud de que en los exámenes del spd cada calificación representa un nivel particular de desempeño respecto a un estándar previamente definido, el cual puede implicar un número de aciertos diferente en cada caso.
En la siguiente gráfica puede observarse el número de aciertos obtenidos en dos instrumentos de longitudes diferentes y con puntos de corte distintos que, a partir del escalamiento, es posible graficar en una misma escala, trasladando el primer punto de corte a 100 puntos, aun cuando en cada examen el punto de corte refiera a número de aciertos diferente. En este ejemplo la distribución de las puntuaciones va de 65 a 125 puntos.
4. Resultado del proceso de evaluación: conformación de los grupos de desempeño
Dado que en cada instrumento se miden dominios diferentes y se atiende una lógica propia de diseño, construcción e incluso calificación, en ningún caso podrán sumarse el número de aciertos de cada examen para generar una puntuación global de todo el proceso de evaluación. Por esta razón, para determinar la
idoneidad del resultado de cada aspirante se deberán integrar los resultados de todos los instrumentos sustentados, bajo el criterio de que:
El sustentante con un resultado Idóneo en el proceso de evaluación será aquel que obtenga, al menos, el nivel de desempeño II (NII) en todos y cada uno de los instrumentos de evaluación que lo constituyen, según se define en los lineamientos del Concurso.
Cada sustentante conocerá su resultado integrado de todo el proceso de evaluación, así como sus resultados en cada uno de los exámenes que haya presentado.
Conformación de los grupos de desempeño
Con el conjunto de sustentantes que obtengan un resultado Idóneo en el proceso de evaluación, se conformarán grupos de desempeño en función de la combinación de resultados alcanzados del nivel de desempeño II o III (NII o NIII) en los instrumentos considerados en dicho proceso de evaluación. Los grupos de desempeño son el primer criterio de ordenamiento para la integración de las listas de prelación con los resultados idóneos que publica la CNSPD a través de su página web.
Todos los aspirantes sustentarán dos instrumentos de evaluación, por lo que los grupos de desempeño se conformarán de la manera siguiente:
El primer grupo de desempeño (A), se conformará con aquellos aspirantes que alcancen el nivel de desempeño III (NIII) en los dos exámenes involucrados en su proceso de evaluación.
El segundo grupo de desempeño (B), se conformará por los aspirantes que alcancen el nivel de desempeño II (NII) en uno de los exámenes y el nivel de desempeño III (NIII) en el otro examen.
El tercer grupo de desempeño (C), se conformará por los aspirantes que alcancen el nivel de desempeño II (NII) en los dos exámenes.
5. Integración de las listas de prelación
Las listas de prelación que son publicadas por la CNSPD se integrarán únicamente con los sustentantes que obtengan un resultado Idóneo en su proceso de evaluación y se ordenarán, en primer término, considerando los grupos de desempeño, iniciando con el grupo A, después el B y posteriormente el C, como se muestra en la siguiente tabla:
Tabla 2. Grupos de desempeño para los Concursos de oposición para la Promoción en Educación Básica y en Educación Media Superior
Después, al interior de cada grupo de desempeño, se ordenará a los sustentantes considerando, primero, la puntuación obtenida en el examen de mayor relevancia o jerarquía de los dos instrumentos implicados en el proceso de evaluación y después la calificación obtenida en el otro instrumento. En todos los casos el ordenamiento de las listas de prelación será de mayor a menor puntuación.
El último criterio de ordenación está dado por las puntuaciones obtenidas por los sustentantes en contenidos de segundo nivel (por ejemplo, las áreas) de mayor importancia del examen de mayor jerarquía, después el puntaje obtenido en el área que le sigue de importancia, y así sucesivamente.
De manera excepcional, si después de llevar a cabo el proceso anterior para generar las listas de prelación se observan empates entre los resultados de algunos sustentantes, se recurrirá a la misma lógica de ordenamiento, tomando como referente el siguiente nivel de desagregación de los contenidos específicos que cuenten con la mayor cantidad de reactivos y que formen parte del examen que ha sido considerado como el de mayor relevancia. La jerarquía estará dada por el orden de la estructura del instrumento.
A continuación, se describe el orden de relevancia de los instrumentos y los contenidos al interior de cada uno de ellos, para Educación Básica y Educación Media Superior, que se utilizan en cada uno de los Concursos referidos en los párrafos anteriores, siendo de mayor relevancia el 1°, posteriormente el 2° y así
sucesivamente.
Criterios específicos de ordenamiento para Educación Básica
En Educación Básica se consideran los Concursos de oposición para la promoción a cargos con funciones de dirección (Director, Subdirector y Coordinador de actividades), a cargos con funciones de supervisión (Jefe de sector, Jefe de enseñanza y Supervisor) y a las funciones de Asesoría Técnica Pedagógica (en Lenguaje oral y escrito, en Pensamiento matemático, en Educación especial y en Educación física).
A continuación, se indican las jerarquías de los instrumentos de evaluación para cada concurso, así como las relevancias de los contenidos específicos para ordenar los resultados e integrar las listas de prelación que son publicadas por la CNSPD.
· Jerarquía de los instrumentos de evaluación para cargos con funciones de dirección: Director, Subdirector y Coordinador de actividades
1º Examen de conocimientos y habilidades para la práctica profesional
2º Examen de habilidades intelectuales y responsabilidades ético profesionales
La jerarquía que se establece entre los dos exámenes se determina considerando que el primero de ellos expresa los conocimientos y las habilidades que debe poseer un directivo de Educación Básica, y que se consideran prioritarios e indispensables para el desempeño eficaz de la función, en este caso, el trabajo en el aula y las formas de organización y funcionamiento de la escuela para lograr que todos los alumnos aprendan.
El instrumento con el segundo nivel en la jerarquía evalúa conocimientos y habilidades que favorecen la mejora profesional, la comprensión de los principios filosóficos de la educación pública y el conocimiento del contexto social y cultural de la escuela, aspectos que complementan y fortalecen el ejercicio de la función.
La relevancia de los contenidos específicos de los dos instrumentos de evaluación se indica a continuación:
En la función de Director es prioritaria la gestión escolar, entendida en sentido amplio, ya que no sólo se centra en la administración y uso de recursos, sino también en priorizar el aprendizaje de los alumnos y garantizar el funcionamiento eficaz de la escuela. Para el subdirector y el coordinador de actividades, su principal tarea radica en apoyar el desarrollo del currículo, el proceso de aprendizaje de los alumnos, así como el trabajo docente.
· Jerarquía de los instrumentos de evaluación para cargos con funciones de supervisión: Jefe de sector, Jefe de enseñanza y Supervisor
1º Examen de conocimientos y habilidades para la práctica profesional
2º Examen de habilidades intelectuales y responsabilidades ético profesionales
La jerarquía que se establece entre los dos exámenes se determina considerando que el primero de ellos expresa los conocimientos y las habilidades que debe poseer un supervisor escolar de Educación Básica, y que se consideran prioritarios e indispensables para el desempeño eficaz del cargo, en este caso, las funciones, la práctica profesional del personal, la asesoría pedagógica, la autonomía de gestión escolar y el vínculo con las autoridades educativas.
El instrumento con el segundo nivel en la jerarquía evalúa conocimientos y habilidades que favorecen la mejora profesional, la comprensión de los principios filosóficos de la educación pública y el conocimiento del contexto social y cultural de las escuelas y la forma de establecer relaciones de colaboración con las familias, las comunidades y otras instancias, aspectos que complementan y fortalecen el ejercicio de la función.
La relevancia de los contenidos específicos de los dos instrumentos de evaluación se indica a
continuación:
En el caso del Jefe de sector y del Supervisor la prioridad radica en promover la autonomía de gestión escolar, garantizar el funcionamiento eficaz de las escuelas y zonas escolares a su cargo; mientras que para el jefe de enseñanza es prioritaria la asesoría académica, el desarrollo profesional de los docentes, la planeación didáctica, el seguimiento y la evaluación del aprendizaje.
· Jerarquía de los instrumentos de evaluación para funciones de Asesoría Técnica Pedagógica (ATP)
1º Examen de conocimientos y habilidades para la práctica profesional
2º Examen de habilidades intelectuales y responsabilidades ético profesionales
La jerarquía que se establece entre los dos exámenes se determina considerando que el primero de ellos expresa los conocimientos y las habilidades que debe poseer un Asesor Técnico Pedagógico de Educación Básica, y que se consideran prioritarios e indispensables para el desempeño eficaz de la función, en este caso, el aprendizaje infantil, la atención a la inclusión y la diversidad, las prácticas docentes, el currículo y la asesoría técnica pedagógica.
El instrumento con el segundo nivel en la jerarquía evalúa conocimientos y habilidades que favorecen la mejora profesional, la comprensión de los principios filosóficos de la educación pública y la capacidad para vincularse con la comunidad en que se ubica la escuela, con diferentes agentes educativos y con los integrantes de la zona escolar.
La relevancia de los contenidos específicos de los dos instrumentos de evaluación se indica a continuación:
En el caso de los Asesores técnicos pedagógicos son prioritarios el dominio del Plan y programas de estudio: enfoques de enseñanza, estrategias didácticas, uso de materiales educativos, planeación y evaluación de la enseñanza y el aprendizaje.
Criterios específicos de ordenamiento para Educación Media Superior
Para Educación Media Superior se consideran los Concursos de oposición para la promoción a cargos con funciones de dirección (Director, Jefe de departamento académico, Jefe de departamento administrativo, Subdirector académico y Subdirector administrativo) y a cargos con funciones de supervisión (Supervisor). A continuación, se indican las jerarquías de los instrumentos de evaluación para cada concurso, así como las relevancias de los contenidos específicos para ordenar los resultados e integrar las listas de prelación que son publicadas por la CNSPD.
Concursos de oposición para cargos con funciones de dirección
· Jerarquía de los instrumentos de evaluación para Director
1º Plan de mejora de la función
2º Examen de conocimientos
Para el Examen de conocimientos se considerará el orden de relevancia que se indica a continuación:
| Contenidos específicos | Relevancia | Argumentos |
| Normativa de la función directiva | 1° | La correcta aplicación de la normativa de la función directiva es fundamental para la operación del plantel, por lo que se subraya la importancia de que los directivos cuenten con determinadas competencias para el cumplimiento de su función. |
| Gestión institucional | 2° | La gestión eficiente de un plantel requiere de cualidades, habilidades y actitudes necesarias para generar el liderazgo que promueva la óptima operatividad del plantel, en apego a los marcos normativos que regulan el funcionamiento del mismo. |
El instrumento de evaluación Plan de mejora de la función no ingresa al último criterio de ordenamiento debido a que se evalúa a través de una rúbrica y no se contemplan niveles de desagregación de sus contenidos específicos, organizados a través de tareas evaluativas.
· Jerarquía de los instrumentos de evaluación para Subdirector académico
1º Plan de mejora de la función
2º Examen de conocimientos
Para el Examen de conocimientos se considerará el orden de relevancia que se indica a continuación:
| Contenidos específicos | Relevancia | Argumentos |
| Conocimientos de la función | 1° | El conocimiento de los lineamientos de operación del plantel y de los procesos de gestión académica son fundamentales en la implementación del trabajo colaborativo y colegiado para alcanzar el perfil de egreso de la EMS. |
| Responsabilidades y ética del subdirector | 2° | El conocimiento de los principios que rigen su función da sustento a las acciones de intervención que realiza, de acuerdo con la normatividad aplicable. |
El instrumento Plan de mejora de la función no ingresa al último criterio de ordenamiento debido a que se evalúa a través de una rúbrica y no se contemplan niveles de desagregación de sus contenidos específicos, organizados a través de tareas evaluativas.
· Jerarquía de los instrumentos de evaluación para Subdirector administrativo
1º Plan de mejora de la función
2º Examen de conocimientos
Para el Examen de conocimientos se considerará el orden de relevancia que se indica a continuación:
| Contenidos específicos | Relevancia | Argumentos |
| Gestión Administrativa | 1° | La gestión de los recursos humanos, financieros y materiales, en apego al marco normativo, es la función primordial del Subdirector administrativo, para la operación y buen funcionamiento de un plantel. |
| Planeación estratégica | 2° | La organización y desarrollo de las estrategias de administración para el cumplimiento de metas y objetivos bajo criterios de transparencia y rendición de cuentas, permite elevar la calidad del servicio en el plantel. |
El instrumento Plan de mejora de la función no ingresa al último criterio de ordenamiento debido a que se evalúa a través de una rúbrica y no se contemplan niveles de desagregación de sus contenidos específicos, organizados a través de tareas evaluativas.
· Jerarquía de los instrumentos de evaluación para Jefe de departamento académico
1º Plan de mejora de la función
2º Examen de conocimientos
Para el Examen de conocimientos se considerará el orden de relevancia que se indica a continuación:
| Contenidos específicos | Relevancia | Argumentos |
| Funcionamiento del departamento académico | 1° | El conocimiento de las funciones que realiza el Jefe de departamento académico es fundamental para implementar acciones eficaces que permitan elevar los indicadores académicos del plantel. |
| Mejora de la función del Jefe de departamento académico | 2° | El conocimiento de los lineamientos normativos y éticos que regulan la función contribuye a orientar la mejora de los procesos académicos del plantel. |
El instrumento Plan de mejora de la función no ingresa al último criterio de ordenamiento debido a que se evalúa a través de una rúbrica y no se contemplan niveles de desagregación de sus contenidos específicos, organizados a través de tareas evaluativas.
· Jerarquía de los instrumentos de evaluación para Jefe de departamento administrativo
1º Plan de mejora de la función
2º Examen de conocimientos
Para el Examen de conocimientos se considerará el orden de relevancia que se indica a continuación:
| Contenidos específicos | Relevancia | Argumentos |
| Marco normativo para el funcionamiento del plantel | 1° | El conocimiento de la normativa que regula la función del jefe de departamento administrativo es fundamental para el funcionamiento del plantel; sin embargo, para su correcta aplicación se requiere además de contar con determinados conocimientos para la operación administrativa. |
| Función administrativa para la operación del plantel | 2° | La organización de las actividades asociadas a la función del Jefe de departamento administrativo es necesaria para la optimización de los recursos humanos, financieros y materiales con el fin de alcanzar los propósitos educativos del plantel. |
| Desarrollo de la función administrativa | 3° | El desarrollo de la función requiere del conocimiento de las responsabilidades éticas y de rendición de cuentas para la asignación adecuada de los recursos del plantel. |
El instrumento Plan de mejora de la función no ingresa al último criterio de ordenamiento debido a que se evalúa a través de una rúbrica y no se contemplan niveles de desagregación de sus contenidos específicos, organizados a través de tareas evaluativas.
Concursos de oposición para cargos con funciones de supervisión
· Jerarquía de los instrumentos de evaluación para Supervisor
1º Plan de mejora de la función
2º Examen de conocimientos
Para el Examen de conocimientos se considerará el orden de relevancia que se indica a continuación:
| Contenidos específicos | Relevancia | Argumentos |
| Desarrollo profesional | 1° | El conocimiento de las acciones y mecanismos que debe implementar un Supervisor es fundamental para fortalecer el proceso educativo de los planteles de acuerdo con su contexto. |
| Ética y normatividad de las funciones del Supervisor | 2° | El conocimiento del marco ético y normativo que regula y orienta la función de Supervisor contribuye a garantizar la calidad de la Educación Media Superior. |
El instrumento Plan de mejora de la función no ingresa al último criterio de ordenamiento debido a que se evalúa a través de una rúbrica y no se contemplan niveles de desagregación de sus contenidos específicos, organizados a través de tareas evaluativas.
Finalmente, cualquier situación no prevista en los presentes criterios técnicos será analizada por la Junta de Gobierno del INEE para emitir una determinación, según corresponda con el marco normativo vigente.
Sobre la integralidad de la evaluación para emitir la calificación
Dado que los presentes criterios técnicos se han definido con el objetivo de aportar evidencia para la validez de las inferencias que se desean obtener a partir de los datos recopilados, es fundamental señalar que, en ningún caso, se puede considerar solamente un instrumento para integrar el resultado de los sustentantes conforme al diseño de la evaluación. Lo anterior debido a que la evidencia empírica que resulte del análisis psicométrico de los instrumentos debe mostrar que, una vez que éstos fueron aplicados,
cumplen con la calidad técnica indispensable para emitir un resultado toda vez que la integración de los resultados de la evaluación debe permitir establecer inferencias válidas sobre el desempeño y competencias de los sustentantes evaluados.
Anexo técnico
El propósito de este anexo es detallar los aspectos técnicos específicos de los distintos procedimientos que se han enunciado en el cuerpo del documento, así como de brindar mayores elementos para su entendimiento y fundamento metodológico.
Protocolo de calificación por jueces para las rúbricas
A continuación, se presenta un protocolo que recupera propuestas sistemáticas de la literatura especializada (Jonsson y Svingby, 2007; Rezaei y Lovorn, 2010; Stemler y Tsai, 2008; Stellmack, et. al, 2009).
1. Se reciben las evidencias de evaluación de los sustentantes, mismas que deben cumplir con las características solicitadas por la autoridad educativa.
2. Se da a conocer a los jueces la rúbrica de calificación y se les capacita para su uso.
3. Las evidencias de los sustentantes son asignadas de manera aleatoria a los jueces, por ejemplo se pueden considerar redes no dirigidas; intuitivamente, una red no dirigida puede pensarse como aquella en la que las conexiones entre los nodos siempre son simétricas (si A está conectado con B, entonces B está conectado con A y sucesivamente con los n número de jueces conectados entre sí), este tipo de asignación al azar permite contar con indicadores iniciales de cuando un juez está siendo reiteradamente "estricto" o reiteradamente "laxo" en la calificación, lo cual ayudará a saber si es necesario volver a capacitar a alguno de los jueces y permitirá obtener datos de consistencia inter-juez.
4. Cada juez califica de manera individual las evidencias sin conocer la identidad de los sustentantes o cualquier otro dato que pudiera alterar la imparcialidad de la decisión del juez.
5. Los jueces emiten la calificación de cada sustentante, seleccionando la categoría de ejecución que consideren debe recibir el sustentante para cada uno de los aspectos a evaluar que constituyen la rúbrica, esto en una escala ordinal (por ejemplo: de 0 a 3, de 0 a 4, de 1 a 6, etc.), lo pueden hacer en un formato impreso o electrónico a fin de conservar dichas evidencias.
6. Si existen discrepancias entre los dos jueces en cuanto a la asignación de categorías en algunos aspectos a evaluar se deben tomar decisiones al respecto. A continuación, se muestran orientaciones para esta toma de decisiones:
a) Cuando la discrepancia corresponde a categorías de ejecución contiguas (por ejemplo: 1-2) se asigna la categoría superior. Esto permite favorecer al sustentante ante dicho desacuerdo entre los jueces.
b) Cuando son categorías no contiguas de la rúbrica:
- Si existe solamente una categoría en medio de las decisiones de los jueces (por ejemplo: 1-3), se asigna al sustentante la categoría intermedia. No se deben promediar los valores asignados a las categorías.
- Si existe más de una categoría en medio de las decisiones de los jueces (por ejemplo: 1-4), se debe solicitar a los jueces que verifiquen si no hubo un error al momento de plasmar su decisión. En caso de no haber ajustes por este motivo, se requiere la intervención de un tercer juez, quien debe asignar la categoría de ejecución para cada uno de los aspectos a evaluar; la categoría definitiva que se asigna al sustentante en cada aspecto a evaluar debe considerar las decisiones de los dos jueces que den mayor puntaje total al sustentante, si existe discrepancia en algún aspecto a evaluar se asigna la categoría superior, a fin de favorecer al sustentante ante dicho desacuerdo entre los jueces.
7. Los jueces firman la evidencia con las asignaciones de categorías definitivas en cada aspecto a evaluar.
8. La calificación global del sustentante se determina de la siguiente forma:
a. Se identifica la categoría asignada al sustentante en cada aspecto a evaluar.
b. Se identifica el valor asignado a cada categoría de la rúbrica.
c. La suma de los valores es el resultado de la calificación.
9. Las asignaciones de categorías en cada aspecto a evaluar para emitir la calificación global definitiva del sustentante son plasmadas en algún formato impreso o electrónico, con la debida firma, autógrafa o electrónica de los jueces, a fin de que queden resguardadas como evidencia del acuerdo de la calificación definitiva del proceso de jueceo.
Métodos para establecer puntos de corte y niveles de desempeño
Método de Angoff
El método de Angoff está basado en los juicios de los expertos sobre los reactivos y contenidos que se evalúan a través de exámenes. De manera general, el método considera que el punto de corte se define a partir de la ejecución promedio de un sustentante hipotético que cuenta con los conocimientos, habilidades o destrezas que se consideran indispensables para la realización de una tarea en particular; los jueces estiman, para cada pregunta, cuál es la probabilidad de que dicho sustentante acierte o responda correctamente.
Procedimiento
Primero se juzgan algunas preguntas, con tiempo suficiente para explicar las razones de las respuestas al grupo de expertos y que les permite homologar criterios y familiarizarse con la metodología.
Posteriormente, se le solicita a cada juez que estime la probabilidad mínima de que un sustentante conteste correctamente un reactivo, el que le sigue y así hasta concluir con la totalidad de los reactivos, posteriormente se calcula el puntaje esperado (raw score: la suma de estas probabilidades multiplicadas por uno para el caso de reactivos -toda vez que cada reactivo vale un punto-; o bien, la suma de estas probabilidades multiplicadas por el valor máximo posible de las categorías de la rúbrica). Las decisiones de los jueces se promedian obteniendo el punto de corte. La decisión del conjunto de jueces pasa por una primera ronda para valorar sus puntos de vista en plenaria y puede modificarse la decisión hasta llegar a un acuerdo en común.
Método de Beuk
En 1981, Cess H. Beuk propuso un método para establecer estándares de desempeño, el cual busca equilibrar los juicios de expertos basados solamente en las características de los instrumentos de evaluación, lo que mide y su nivel de complejidad, con los juicios que surgen del análisis de resultados de los sustentantes una vez que un instrumento de evaluación es administrado.
Procedimiento
En el cuerpo del documento se señalaron tres fases para el establecimiento de los puntos de corte. Para completar la tercera fase, es necesario recolectar con antelación las respuestas a dos preguntas dirigidas a los integrantes de los distintos comités académicos especializados involucrados en el diseño de las evaluaciones y en otras fases del desarrollo del instrumento. Las dos preguntas son:
a) ¿Cuál es el mínimo nivel de conocimientos o habilidades que un sustentante debe tener para aprobar el instrumento de evaluación? (expresado como porcentaje de aciertos de todo el instrumento, k).
b) ¿Cuál es la tasa de aprobación de sustentantes que los jueces estiman que aprueben el instrumento? (expresado como porcentaje, v).
Para que los resultados de la metodología a implementar sean estables e integren diferentes enfoques que contribuyan a la diversidad cultural, se deberán recolectar las respuestas de, al menos, 30 especialistas integrantes de los diferentes comités académicos que hayan participado en el diseño y desarrollo de los instrumentos.
Adicionalmente, se debe contar con la distribución de los sustentantes para cada posible punto de corte, con la finalidad de hacer converger el juicio de los expertos con la evidencia empírica.
Los pasos a seguir son los siguientes:
Escalamiento de las puntuaciones
El escalamiento (Wilson, 2005) se llevará a cabo a partir de las puntuaciones crudas de los sustentantes, y se obtendrá una métrica común para los instrumentos de evaluación, que va de 60 a 170 puntos, aproximadamente, ubicando el primer punto de corte (nivel de desempeño NII) para los instrumentos en los 100 puntos. El escalamiento consta de dos transformaciones:
a) Transformación doble arcoseno que estabiliza la magnitud de la precisión que se tiene para cada punto de la escala.
b) Transformación lineal que ubica el primer punto de corte en 100 unidades y define el número de distintos puntos en la escala (el rango de las puntuaciones) con base en la confiabilidad del instrumento, por lo que, a mayor confiabilidad, habrá más puntos en la escala (Shun-Wen Chang, 2006).
Para cuantificar el nivel de precisión de las puntuaciones del instrumento, se utilizará el Método delta (Kendall y Stuart, 1977), que calcula los errores estándar de medición condicionales, que se describe ulteriormente en este anexo.
Finalmente, es importante destacar que para que se lleve a cabo el escalamiento, el sustentante debió alcanzar, al menos, un acierto en el instrumento de evaluación en cuestión. De no ser así, se reportará como cero y el resultado será NI.
Procedimiento para la transformación doble arcoseno
En los casos de los exámenes de opción múltiple, deberá calcularse el número de respuestas correctas que haya obtenido cada sustentante en el instrumento de evaluación. Los reactivos se calificarán como correctos o incorrectos de acuerdo con la clave de respuesta correspondiente. Si un sustentante no contesta un reactivo o si selecciona más de una alternativa de respuesta para un mismo reactivo, se calificará como incorrecto. Cuando los instrumentos de evaluación sean calificados con rúbricas, deberá utilizarse el mismo procedimiento para asignar puntuaciones a los sustentantes considerando que K sea la máxima puntuación que se pueda obtener en el instrumento de evaluación.
Cuando se aplica la transformación doble arcoseno sobre el número de aciertos obtenido en el instrumento de evaluación, el error estándar condicional de medición de las puntuaciones obtenidas se estabiliza, es decir, es muy similar, pero no igual, a lo largo de la distribución de dichas puntuaciones, con excepción de los valores extremos, a diferencia de si se aplica una transformación lineal, tal y como se observa en la siguiente gráfica (Won-Chan, Brennan y Kolen, 2000).



El dato obtenido del error estándar condicional deberá reportarse en la misma escala en que se comunican las calificaciones de los sustentantes e incorporarse en el informe o manual técnico del instrumento (estándar 2.13 de los Estándares para las Pruebas Educativas y Psicológicas de la American Educational Research Association et. al., 2014). Asimismo, esto permite atender al estándar 2.14 de los Estándares para las Pruebas Educativas y Psicológicas de la American Educational Research Association et. al., 2014, el cual establece que cuando se especifican puntos de corte para selección o clasificación, los errores estándar deben ser reportados en la vecindad de cada punto de corte en dicho informe o manual técnico.
Proceso para la equiparación de instrumentos de evaluación
El procedimiento que permite hacer equivalentes los resultados obtenidos en diferentes formas o versiones de un mismo instrumento es una equiparación. La que aquí se plantea considera dos estrategias: a) si el número de sustentantes es de al menos 100 en ambas formas, se utilizará el método de equiparación lineal de Levine para puntajes observados; o bien, b) si el número de sustentantes es menor de 100 en alguna de las formas, se utilizará el método de equiparación de identidad (identity equating). A continuación, se detallan los procedimientos.
Método de equiparación lineal de Levine
La equiparación de las formas de un instrumento deberá realizarse utilizando el método de equiparación lineal de Levine (Kolen y Brennan, 2014), para puntajes observados bajo un diseño de grupos no equivalentes con reactivos comunes. Dicho diseño es uno de los más utilizados en la práctica. En cada muestra de sujetos se administra solamente una forma de la prueba, con la peculiaridad de que en ambas muestras se administra un conjunto de reactivos en común llamado ancla, que permite establecer la equivalencia entre las formas a equiparar.
Cualquiera de los métodos de equiparación de puntajes que se construya involucra dos poblaciones diferentes.
Sin embargo, una función de equiparación de puntajes se define sobre una población única. Por lo tanto, las poblaciones 1 y 2 que corresponden a las poblaciones donde se aplicó la forma nueva y antigua, deben ser combinadas para obtener una población única a fin de definir una relación de equiparación.
Método de equiparación de identidad (identity equating)
La equiparación de identidad es la más simple, toda vez que no hace ningún ajuste a la puntuación "x" en la escala de la forma X al momento de convertirla en la puntuación equiparada "y" en la escala de la forma Y.
Es decir, dichas puntuaciones son consideradas equiparadas cuando tienen el mismo valor, por lo que las coordenadas de la línea de equiparación de identidad están definidas simplemente como x=y (Holland y Strawderman, 2011).
Referencias
American College Testing. (2013). ACT Plan Assessments Technical Manual, Iowa City, IA: Author.
American College Testing. (2014a) ACT Assessments Technical Manual, Iowa City, IA: Author.
American College Testing. (2014b) ACT QualityCore Assessments Technical Manual, Iowa City, IA: Author.
AERA, APA y NCM. (2014). Standards for educational and psychological testing. Washington, D.C.: American Educational Research Association.
Angoff, W. (1971). Scales, norms, and equivalent scores. En R. Thorndike (Ed.), Educational Measurement (2° ed.). Washington, DC: American Council on Education.
Beuk, C. H. (1984). A Method for Reaching a Compromise between Absolute and Relative Standards in Examinations. Journal of Educational Measurement, 21 (2) pp. 147-152.
Brennan, R. L. (2012). Scaling PARCC Assessments: Some considerations and a synthetic data example.
Cook, D. y Beckman, T. (2006). Current Concepts in Validity and Reliability for Psychometric Instruments: Theory and Application. The American Journal of Medicine 119, 166.e7-166.e16
Downing, S. (2004). Reliability: On the reproducibility of assessment data. Med Educ 38(9) pp.1006-1012.
Holland, P. y Strawderman, W. (2011). How to average equating functions, if you must. En Von Davier, A. (Ed.). Statistical models for test equating, scaling, and linking (pp. 89107). Nueva York, NY: Springer.
Jonsson, A. y Svingby, G. (2007). The use of scoring rubrics: Reliability, validity and educational consequences. Educational Research Review 2 pp.130-144.
Kendall, M. y Stuart, A. (1977). The advanced theory of statistics, Vol. 1: Distribution theory. 4ª Ed. New York, NY: MacMillan.
Kolen, M. y Brennan, R. (2014). Test equating, scaling, and linking: Methods and practices. 3ª Ed. New York, NY: Springer-Verlag.
Masters, G. (1982). A Rasch model for Partial Credit Scoring. Psychometrika. 47(2) pp 149-174.
Muñiz, J. (2003). Teoría clásica de los test. Madrid, España: Ediciones pirámide.
Muraki, E. (1999). Stepwise Analysis of Differential Item Functioning Based on Multiple-Group Partial Credit Model. Journal of Educational Measurement.
OECD (2002). PISA 2000 Technical Report. Paris, Francia: OECD Publishing.
OECD (2005). PISA 2003 Technical Report. Paris, Francia: OECD Publishing.
OECD (2009). PISA 2006 Technical Report. Paris, Francia: OECD Publishing.
OECD (2014). PISA 2012 Technical Report. Paris, Francia: OECD Publishing.
Rezaei, A. y Lovorn, M. (2010). Reliability and validity of rubrics for assessment through writing. Assessing Writing 15 (1) 18-39.
Chang, S. (2006). Methods in Scaling the Basic Competence Test, Educational and Psychological Measurement, 907-927
Stellmack, M., Konheim-Kalkstein, Y., Manor, J., Massey, A. y Schmitz, J. (2009). An assessment of reliability and validity of a rubric for APA-style introductions, Teaching of Psychology, 36 pp. 102-107.
Stemler, E. y Tsai, J. (2008). 3 Best Practices in Interrater Reliability Three Common Approaches. En Best practices in quantitative methods. pp. 29-49. California, E.U.A.: SAGE Publications, Inc.
Thompson, B. (ed.). (2003). Score reliability. Contemporary thinking on reliability issues. California, E.U.A.: SAGE Publications, Inc.
Wilson, M. (2005). Constructing measures. An ítem response modeling approach. Mahwah, Nueva Jersey: Lawrence Erlbaum Associates, Publishers.
Won-Chan, L., Brennan, R. y Kolen, M. (2000). Estimators of Conditional Scale-Score Standard Errors of Measurement: A Simulation Study. Journal of Educational Measurement, 37 (1) pp. 1-20.
Wu, M. y Adams, R. (2007). Applying the Rasch Model to Psycho-social measurement. A practical approach. Melbourne, Australia: Educational measurement solutions.
TRANSITORIOS
Primero. Los presentes Criterios entrarán en vigor al día siguiente de su publicación en el Diario Oficial de la Federación.
Segundo. Los presentes Criterios, de conformidad con los artículos 40 y 48 de la Ley del Instituto Nacional para la Evaluación de la Educación, deberán hacerse del conocimiento público a través de la página de Internet del Instituto www.inee.edu.mx
Tercero. Se instruye a la Dirección General de Asuntos Jurídicos para que realice las gestiones necesarias a efecto de que los presentes Criterios se publiquen en el Diario Oficial de la Federación.
Ciudad de México, a trece de marzo de dos mil diecinueve. - Así lo aprobó la Junta de Gobierno del Instituto Nacional para la Evaluación de la Educación en la Cuarta Sesión Extraordinaria de dos mil diecinueve, celebrada el trece de marzo de dos mil diecinueve. - Acuerdo número SEJG/04-19/04,R. La Consejera Presidenta, Teresa Bracho González.- Los Consejeros: Bernardo Hugo Naranjo Piñera, Sylvia Irene Schmelkes del Valle y Patricia Gabriela Vázquez del Mercado Herrera.
El Director General de Asuntos Jurídicos, Agustín E. Carrillo Suárez.- Rúbrica.
(R.- 480012)
1 Pueden encontrarse ligeras variaciones en este rango debido a que la escala es aplicable a múltiples instrumentos con características diversas, tales como la longitud, el tipo de instrumento y su nivel de precisión, diferencias entre los puntos de corte que atienden a las particularidades de los contenidos que se evalúan, entre otras. Por otra parte, para realizar el escalamiento, el sustentante debe, al menos, alcanzar un acierto en el examen; en caso contrario, se reportará como cero puntos y obtendrá NI.
En el caso de que el sustentante no presente alguno de los instrumentos de la evaluación, su resultado en ese instrumento será NP: no presentó y únicamente tendrá la devolución en aquellos instrumentos en los que haya participado y de los que se cuente con información, su resultado en el proceso de evaluación será No idóneo y no formará parte de los grupos de desempeño ni de las listas de prelación que publica la CNSPD a través de su página web.
Cuando el sustentante no presente ninguno de los instrumentos de la evaluación, su resultado en cada instrumento será NP: no presentó, su resultado en el proceso de evaluación será No se presentó a la evaluación y no formará parte de los grupos de desempeño ni de las listas de prelación que publica la CNSPD a través de su página web.
Para mayores detalles sobre los procesos que se llevan a cabo para el escalamiento de las puntuaciones, consultar el anexo técnico.