ACUERDO por el que la Comisión Reguladora de Energía ordena la publicación del Proyecto de Norma Oficial Mexicana PROY-NOM-017-CRE-2018, Métodos de medición de variables para el cálculo del porcentaje de energía libre de combustible y procedimiento para la evaluación de la conformidad.
Al margen un sello con el Escudo Nacional, que dice: Estados Unidos Mexicanos.- Comisión Reguladora de Energía.
ACUERDO Núm. A/051/2018
ACUERDO POR EL QUE LA COMISIÓN REGULADORA DE ENERGÍA ORDENA LA PUBLICACIÓN EN EL DIARIO OFICIAL DE LA FEDERACIÓN DEL PROYECTO DE NORMA OFICIAL MEXICANA PROY-NOM-017-CRE-2018, MÉTODOS DE MEDICIÓN DE VARIABLES PARA EL CÁLCULO DEL PORCENTAJE DE ENERGÍA LIBRE DE COMBUSTIBLE Y PROCEDIMIENTO PARA LA EVALUACIÓN DE LA CONFORMIDAD
El Órgano de Gobierno de la Comisión Reguladora de Energía, con fundamento en los artículos 28, párrafo octavo de la Constitución Política de los Estados Unidos Mexicanos; 1, 2, fracción III y 43 Ter de la Ley Orgánica de la Administración Pública Federal; 1, 2, fracción II, 3, 4, párrafo primero, 5, 22, fracciones I, II, III, XXIV, XXVI, inciso a) y XXVII, 27, 41, fracción III, y 42 de la Ley de los Órganos Reguladores Coordinados en Materia Energética; 1, 2, 3, 12, fracciones I, III, XX, XXXIX, XLVII y LII, 126, fracciones III y V, 127, 132 y 134 de la Ley de la Industria Eléctrica; 1, 2, 4 y 16, fracciones VII, IX y 69-H de la Ley Federal de Procedimiento Administrativo; 38, fracciones II, V, VI, y IX, 40, fracción IV, 41, 43, 48, 52, 68, 70 y 74 de la Ley Federal sobre Metrología y Normalización; 28, 33 y 80 del Reglamento de la Ley Federal sobre Metrología y Normalización; 1 y 17 del Reglamento de la Ley de la Industria Eléctrica; y 1, 2, 4, 7, fracción I, 12, 16 y 18, fracciones I, XV y XLIV del Reglamento Interno de la Comisión Reguladora de Energía, y
CONSIDERANDO
PRIMERO. Que con motivo del Decreto por el que se reforman y adicionan diversas disposiciones de la Constitución Política de los Estados Unidos Mexicanos en Materia de Energía, publicado en el Diario Oficial de la Federación (DOF) el 20 de diciembre de 2013, el Congreso de la Unión expidió la Ley de la Industria Eléctrica (LIE) y la Ley de los Órganos Reguladores Coordinados en Materia Energética (LORCME), ambas publicadas el 11 de agosto de 2014 en el mismo medio de difusión, así como la Ley de Transición Energética (LTE) publicada el 24 de diciembre de 2015, abrogando la Ley del Servicio Público de Energía Eléctrica (LSPEE), la Ley de la Comisión Reguladora de Energía y la Ley para el Aprovechamiento de Energías Renovables y el Financiamiento de la Transición Energética y la Ley para el Aprovechamiento Sustentable de la Energía, derogando las demás disposiciones que se opongan a los mismos.
SEGUNDO. Que de conformidad con los artículos 28, párrafo octavo de la Constitución Política de los Estados Unidos Mexicanos; 1, 2, fracción III y 43 Ter de la Ley Orgánica de la Administración Pública Federal, y 2, fracción II y 3 de la LORCME, la Comisión Reguladora de Energía (Comisión) es una dependencia de la administración pública centralizada con autonomía técnica, operativa y de gestión, con carácter de órgano regulador coordinado en materia energética.
TERCERO. Que en términos de los artículos 4, 41, fracción III y 42 de la LORCME, corresponde a la Comisión regular y promover el desarrollo eficiente de las actividades de generación de electricidad, los servicios públicos de transmisión y distribución eléctrica, la transmisión y distribución eléctrica que no forma parte del servicio público y la comercialización de electricidad, así como fomentar el desarrollo eficiente de la industria, promover la competencia en el sector, proteger los intereses de los usuarios, propiciar una adecuada cobertura nacional y atender a la confiabilidad, estabilidad y seguridad en el suministro y la prestación de los servicios.
CUARTO. Que de acuerdo con el artículo 22, fracciones II y III de la LORCME, es facultad de la Comisión emitir acuerdos y demás actos administrativos necesarios para el cumplimiento de sus funciones, entre ellas vigilar y supervisar el cumplimiento de la regulación aplicable a quienes realicen actividades reguladas en el ámbito de su competencia.
QUINTO. Que de conformidad con lo dispuesto en el artículo 15, fracción V de la LTE, corresponde a la Comisión expedir las Normas Oficiales Mexicanas en materia de Energías Limpias y de Cogeneración Eficiente.
SEXTO. Que de acuerdo con lo previsto en el artículo 38, fracciones II y V, de la Ley Federal sobre Metrología y Normalización (LFMN), corresponde a las dependencias expedir normas oficiales mexicanas en las materias relacionadas con sus atribuciones, según su competencia, y verificar que los procesos, instalaciones o actividades cumplan con dichas normas.
SÉPTIMO. Que el artículo 40, fracción IV de la LFMN, establece que las normas oficiales mexicanas tendrán como finalidad establecer las características y/o especificaciones relacionadas con los instrumentos para medir, los patrones de medida y sus métodos de medición, verificación, calibración y trazabilidad.
OCTAVO. Que, de conformidad con el artículo 73 de la LFMN, las dependencias competentes establecerán, tratándose de normas oficiales mexicanas, los procedimientos para la evaluación de la conformidad, cuando para fines oficiales requieran comprobar el cumplimiento con las mismas. Dichos procedimientos se publicarán para consulta pública en el DOF antes de su publicación definitiva, salvo que los mismos estén contenidos en la norma oficial mexicana correspondiente.
NOVENO. Que en términos de lo previsto en el artículo 3, fracción XXII de la LIE, las Energías Limpias son aquellas fuentes de energía y procesos de generación de electricidad cuyas emisiones o residuos, cuando los haya, no rebasen los umbrales establecidos en las disposiciones reglamentarias que para tal efecto se expidan. Entre las Energías Limpias se considera a la energía generada por centrales de cogeneración eficiente en términos de los criterios de eficiencia emitidos por la Comisión y de emisiones establecidos por la Secretaría de Medio Ambiente y Recursos Naturales.
DÉCIMO. Que, conforme al artículo 12, fracción XX de la LIE, corresponde a la Comisión expedir las normas, directivas, metodologías y demás disposiciones de carácter administrativo que regulen y promuevan la generación de energía eléctrica a partir de Energías Limpias, atendiendo la política energética establecida por la Secretaría de Energía.
UNDÉCIMO. Que el 31 de octubre de 2014 se publicaron en el DOF los Lineamientos que establecen los criterios para el otorgamiento de CEL y los requisitos para su adquisición, mismos que en su numeral 6 señalan que cuando se utilicen combustibles fósiles, los Generadores Limpios tendrán derecho a recibir un CEL por cada Megawatt-hora generado en las Centrales Eléctricas Limpias que representen, multiplicado por el porcentaje de energía libre de combustible.
DUODÉCIMO. Que el 30 de marzo de 2016, se publicaron en el DOF las Disposiciones Administrativas de Carácter General para el funcionamiento del Sistema de Gestión de Certificados y Cumplimiento de Obligaciones de Energías Limpias (Disposiciones del Sistema CEL).
DECIMOTERCERO. Que las Disposiciones del Sistema CEL establecen que los Generadores Limpios y los Suministradores que representen Generación Limpia Distribuida sólo podrán recibir Certificados de Energía Limpia (CEL) por la generación producida a partir del día siguiente a aquél en que sean inscritos en el Sistema de Gestión de Certificados y Cumplimiento de Obligaciones de Energías Limpias o del 1 de enero de 2018, lo que ocurra después.
DECIMOCUARTO. Que el 22 de diciembre de 2016, se publicaron en el DOF las Disposiciones administrativas de carácter general que contienen los criterios de eficiencia y establecen la metodología de cálculo para determinar el porcentaje de energía libre de combustible en fuentes de energía y procesos de generación de energía eléctrica (Disposiciones de Eficiencia y ELC), mismas que en su numeral 1.2 establecen cinco casos en los que se deberá calcular el Porcentaje de Energía Libre de Combustible a partir de ciertos valores de energía eléctrica, energía térmica y de los combustibles utilizados, entre otros, como se describe a continuación:
Caso I. Centrales Eléctricas de cogeneración eficiente;
Caso II. Centrales Eléctricas Limpias que utilizan combustibles fósiles;
Caso III. Tecnología de bajas emisiones y centrales térmicas con procesos de captura y almacenamiento geológico y biosecuestro de carbono;
Caso IV. Aprovechamiento de hidrógeno, y
Caso V. Metodología de cálculo de densidad de potencia de centrales hidroeléctricas.
| No. | Caso | Aspectos a considerar |
| I | Centrales Eléctricas con procesos de cogeneración | Energía eléctrica neta generada | E |
| Energía de los combustibles empleados | F |
| Energía térmica neta o calor útil generado en la central eléctrica | H |
| II | Centrales Eléctricas Limpias que utilizan combustibles fósiles | Energía eléctrica neta generada | E |
| Energía de los combustibles fósiles empleados | F |
| Energía de los combustibles no fósiles empleados | FEL |
| III | Tecnologías de bajas emisiones y centrales térmicas con procesos de captura y almacenamiento geológico o biosecuestro de bióxido de carbono | Energía eléctrica neta generada | E |
| Factor de emisiones de bióxido de carbono por energía eléctrica generada | FactormC |
| IV | Aprovechamiento del hidrógeno | Producción de hidrógeno | ProdH2 |
| Poder calorífico del hidrógeno | PCH2 |
| Energía de los combustibles fósiles empleados en el proceso de producción de hidrógeno | F |
| Energía aprovechable del hidrógeno producido | EH2 |
| V | Metodología de cálculo de densidad de potencia de centrales hidroeléctricas | Energía eléctrica neta generada | E |
| Capacidad de generación de la central eléctrica | P |
| Superficie de embalse | Supe |
Al respecto, la medición para los cinco casos antes citados es necesaria para la obtención de los CEL, en tanto se establece la metodología para calcular el porcentaje de energía libre de combustible.
DECIMOQUINTO. Que el 23 de enero de 2018, se publicó en el DOF el Acuerdo por el que se modifican y adicionan las Disposiciones Administrativas de Carácter General para el funcionamiento del Sistema de Gestión de Certificados y Cumplimiento de Obligaciones de Energías Limpias, estableciéndose en el segundo párrafo de su artículo Segundo Transitorio que en tanto se expidan las disposiciones correspondientes, para los casos en los que aplique la Metodología, la medición de variables para el cálculo de la energía libre de combustible para poder recibir CEL, será confirmada mediante el Dictamen Técnico que emita la Unidad Acreditada, así como que cumplan con las Disposiciones Administrativas para la medición de variables que apliquen a dicha Metodología.
DECIMOSEXTO. Que el 24 de enero de 2018, se publicaron en el DOF los Términos para acreditar a las unidades que certificarán a las Centrales Eléctricas Limpias y que certificarán la medición de variables requeridas para determinar el porcentaje de energía libre de combustible (Términos), mismos que establecen en sus Transitorios Cuarto, Quinto y Sexto lo siguiente:
DECIMOSÉPTIMO. Que el artículo Cuarto Transitorio de los Términos establece que, para el caso de los sistemas de cogeneración que fueron acreditados como cogeneración eficiente al amparo de la LSPEE, se tomarán en cuenta los valores establecidos en la resolución de la Comisión que le otorga el carácter de Cogeneración Eficiente, siempre y cuando cuenten con su permiso único de Generador al amparo de la LIE y siga vigente su acreditación como Cogeneración Eficiente, siempre y cuando se mantengan las mismas condiciones bajo las cuales se acreditó, incluyendo el contar con la misma capacidad que se amparó en dicha acreditación. Lo anterior, será aplicable en tanto la Comisión expida las Disposiciones Administrativas para la medición de variables que deban aplicar para dicha Metodología.
DECIMOCTAVO. Que el artículo Quinto Transitorio de los Términos dispone que para el caso de las centrales hidroeléctricas a las cuales aplique la Metodología, la medición de variables para el cálculo de la Energía Libre de Combustible se hará conforme a los valores de referencia amparados en el correspondiente título de concesión de agua, en tanto la Comisión expida las Disposiciones Administrativas para la medición de variables que deban aplicar para dicha Metodología, o en su caso, las normas oficiales mexicanas correspondientes.
DECIMONOVENO. Que el artículo Sexto Transitorio de los Términos indica que para el caso de una tecnología que utilice dos o más combustibles a la cual le aplique la Metodología, la medición de variables para el cálculo de la Energía Libre de Combustible, se hará con base en la facturación de los datos relativos a los combustibles utilizados para la generación de energía eléctrica y la Unidad Acreditada comprobará que los valores amparados por dichas facturas sean correctos en tanto la Comisión expida las Disposiciones Administrativas para la medición de variables que deban aplicar para dicha Metodología, o en su caso, las normas oficiales mexicanas correspondientes.
VIGÉSIMO. Que el 29 de noviembre de 2018, el Comité Consultivo Nacional de Normalización Eléctrico aprobó el PROY-NOM-017-CRE-2018, Métodos de medición de variables para el cálculo del porcentaje de energía libre de combustible y procedimiento para la evaluación de la conformidad, para ser publicado en el DOF a efecto de que dentro de los siguientes 60 días naturales los interesados presenten sus comentarios al Comité Consultivo Nacional de Normalización Eléctrico, de conformidad con el artículo 47, fracción I de la LFMN y 33 del Reglamento de la Ley Federal sobre Metrología y Normalización.
VIGÉSIMO PRIMERO. Que el Proyecto de Norma Oficial Mexicana PROY-NOM-017-CRE-2018, contiene los requerimientos metrológicos necesarios para la medición de las variables necesarias para la determinación de la Energía Libre de Combustible de los procesos de generación de energía eléctrica que se definen en las Disposiciones de eficiencia y ELC, mismos que se describen en el Considerando Decimocuarto del presente Acuerdo.
Que en razón de lo anterior, esta Comisión estima necesario emitir el siguiente:
ACUERDO
PRIMERO. Se ordena la publicación en el Diario Oficial de la Federación del Proyecto de Norma Oficial Mexicana PROY-NOM-017-CRE-2018, Métodos de medición de variables para el cálculo del porcentaje de Energía Libre de Combustible y procedimiento para la evaluación de la conformidad, a efecto de que dentro de los 60 días naturales siguientes a su publicación, los interesados presenten sus comentarios al Comité Consultivo Nacional de Normalización Eléctrico. El Proyecto de Norma Oficial Mexicana se anexa al presente Acuerdo y forma parte integrante del mismo como si a la letra se insertare.
SEGUNDO. Con fundamento en el artículo 33 del Reglamento de la Ley Federal sobre Metrología y Normalización, los interesados deberán entregar sus comentarios al Proyecto de Norma Oficial Mexicana PROY-NOM-017-CRE-2018, Métodos de medición de variables para el cálculo del porcentaje de Energía Libre de Combustible y procedimiento para la evaluación de la conformidad al Comité Consultivo Nacional de Normalización Eléctrico de esta Comisión, en sus oficinas ubicadas en Boulevard Adolfo López Mateos 172, Colonia Merced Gómez, Alcaldía de Benito Juárez, Código postal 03930, Ciudad de México, o a los correos electrónicos gcabrera@cre.gob.mx y ccorrea@cre.gob.mx, en idioma español y dentro del plazo de 60 días naturales señalado en el Acuerdo Primero anterior.
TERCERO. Inscríbase el presente Acuerdo con el número A/051/2018, en el Registro al que se refieren los artículos 22, fracción XXVI, inciso a) y 25, fracción X de la Ley de los Órganos Reguladores Coordinados en Materia Energética, y 4 y 16 del Reglamento Interno de la Comisión Reguladora de Energía.
Ciudad de México, a 13 de diciembre de 2018.- El Presidente, Guillermo Ignacio García Alcocer.- Rúbrica.- El Comisionado, Marcelino Madrigal Martínez.- Rúbrica.- La Comisionada, Neus Peniche Sala.- Ausente.- El Comisionado, Luis Guillermo Pineda Bernal.- Rúbrica.- La Comisionada, Cecilia Montserrat Ramiro Ximénez.- Rúbrica.- El Comisionado, Jesús Serrano Landeros.- Rúbrica.- El Comisionado, Guillermo Zúñiga Martínez.- Rúbrica.
PROYECTO DE NORMA OFICIAL MEXICANA PROY-NOM-017-CRE-2018, MÉTODOS DE MEDICIÓN DE
VARIABLES PARA EL CÁLCULO DEL PORCENTAJE DE ENERGÍA LIBRE DE COMBUSTIBLE Y
PROCEDIMIENTO PARA LA EVALUACIÓN DE LA CONFORMIDAD
PREFACIO
Este Proyecto de Norma Oficial Mexicana PROY-NOM-017-CRE-2018, Métodos de medición variables para el cálculo del porcentaje de Energía Libre de Combustible y procedimiento para la evaluación de la conformidad, fue aprobado por el Comité Consultivo Nacional de Normalización Eléctrico de la Comisión Reguladora de Energía.
ÍNDICE
| TÍTULO PRIMERO | |
| Introducción | Capítulo 0 |
| Objetivo y campo de aplicación | Capítulo 1 |
| Referencias normativas | Capítulo 2 |
| Términos y definiciones | Capítulo 3 |
| Términos abreviados | Capítulo 4 |
| Generalidades | Capítulo 5 |
| | |
| TÍTULO SEGUNDO | |
| Sistema de medición | |
| Requerimientos metrológicos | Capítulo 6 |
| Requerimientos de información | Capítulo 7 |
| | |
| TÍTULO TERCERO | |
| Caso I - Centrales Eléctricas con proceso de cogeneración eficiente | |
| Clasificación y delimitación de los procesos de cogeneración | Capítulo 8 |
| Requerimientos metrológicos: incertidumbre | Capítulo 9 |
| Métodos de medición | Capítulo 10 |
| | |
| TÍTULO CUARTO | |
| Caso II - Centrales Eléctricas Limpias que utilizan combustibles fósiles |
| Requerimientos metrológicos: incertidumbre | Capítulo 11 |
| Métodos de medición | Capítulo 12 |
| | |
| TÍTULO QUINTO | |
| Caso III - Tecnologías de bajas emisiones y centrales térmicas con procesos de captura y almacenamiento geológico o biosecuestro de bióxido de carbono | |
| Requerimientos metrológicos: incertidumbre | Capítulo 13 |
| Métodos de medición | Capítulo 14 |
| | |
| TÍTULO SEXTO | |
| Caso IV - Aprovechamiento del hidrógeno | |
| Requerimientos metrológicos: incertidumbre | Capítulo 15 |
| Métodos de medición | Capítulo 16 |
| | |
| TÍTULO SÉPTIMO | |
| Caso V - Metodología de cálculo de densidad de potencia de centrales hidroeléctricas | |
| Requerimientos metrológicos: incertidumbre | Capítulo 17 |
| Métodos de medición | Capítulo 18 |
| | |
| TÍTULO OCTAVO | |
| Registro de información | |
| Del registro y almacenamiento de la información | Capítulo 19 |
| De la disponibilidad de la información | Capítulo 20 |
| | |
| TÍTULO NOVENO | |
| Procedimiento para la evaluación de la conformidad | |
| | |
| TÍTULO DECIMO | |
| Vigilancia | |
| | |
| TÍTULO UNDÉCIMO | |
| Concordancia con normas internacionales | |
| | |
| TÍTULO DUODÉCIMO | |
| Bibliografía | |
| | |
| TÍTULO DECIMOTERCERO | |
| Apéndices normativos | |
| | |
| APÉNDICE A | |
| Sistemas de medición de flujo | |
| | |
| APÉNDICE B | |
| Sistemas de medición de masa | |
| | |
| APÉNDICE C | |
| Requisitos para la medición de presión y temperatura de fluidos | |
| | |
| APÉNDICE D | |
| Requisitos detallados para la medición de poder calorífico de sólidos, líquidos y gases | |
| | |
| APÉNDICE E | |
| Procedimiento general de la operación de un calorímetro para la determinación del poder calorífico superior | |
| | |
| APÉNDICE F | |
| Cálculo de poder calorífico inferior a presión constante usando los valores de base seca | |
| | |
| APÉNDICE G | |
| Valores del factor A para el cálculo del poder calorífico superior Qg (25° C) | |
| | |
| APÉNDICE H | |
| Métodos de medición de la emisión de gases CO2 | |
| | |
| TRANSITORIOS | |
0. Introducción
El presente Proyecto de Norma Oficial Mexicana, PROY-NOM-017-CRE-2018 (PROY-NOM) está estructurado conforme a la Norma Mexicana NMX-Z-013-SCFI-2015, Guía para la estructuración y redacción de normas; asimismo, se divide en títulos que facilitan la lectura, comprensión y aplicación de las disposiciones establecidas en éste.
Este PROY-NOM-017-CRE-2018 se divide en los siguientes títulos:
TÍTULO PRIMERO. Introducción, Objetivo y campo de aplicación, Referencias normativas, Términos y definiciones, Términos abreviados y Generalidades;
TÍTULO SEGUNDO. Sistema de medición, Requerimientos metrológicos, Requerimientos de información;
TÍTULO TERCERO. Caso I - Centrales Eléctricas con proceso de cogeneración eficiente;
TÍTULO CUARTO. Caso II - Centrales Eléctricas Limpias que utilizan combustibles fósiles;
TÍTULO QUINTO. Caso III - Tecnologías de bajas emisiones y centrales térmicas con procesos de captura y almacenamiento geológico o biosecuestro de bióxido de carbono;
TÍTULO SEXTO. Caso IV - Aprovechamiento del hidrógeno;
TÍTULO SÉPTIMO. Caso V - Metodología de cálculo de densidad de potencia de centrales hidroeléctricas;
TÍTULO OCTAVO. Registro de información;
TÍTULO NOVENO. Procedimiento para la evaluación de la conformidad;
TÍTULO DÉCIMO. Vigilancia;
TÍTULO UNDÉCIMO. Concordancia con normas internacionales;
TÍTULO DUODÉCIMO. Bibliografía;
TÍTULO DECIMOTERCERO. Apéndices normativos
TÍTULO PRIMERO
DISPOSICIONES GENERALES
1. Objetivo y Campo de Aplicación
1.1 Objetivo
El presente Proyecto de Norma Oficial Mexicana tiene como objeto establecer lo siguiente:
a) Los requerimientos metrológicos y metodologías de medición necesarios que deben emplearse en Centrales Eléctricas que requieren obtener los valores de las variables a utilizar en la determinación de la ELC.
b) El Procedimiento para la Evaluación de la Conformidad.
1.2 Campo de aplicación
El presente Proyecto de Norma Oficial Mexicana es aplicable a las Centrales Eléctricas que requieran obtener los valores de las variables para la determinación de la ELC en términos de las Disposiciones de Eficiencia y ELC cuando utilicen cualquiera de los procesos de generación que se enuncian a continuación:
a) Centrales Eléctricas con procesos de cogeneración eficiente
b) Centrales Eléctricas Limpias que utilizan combustibles fósiles
c) Tecnologías de bajas emisiones y centrales térmicas con procesos de captura y almacenamiento geológico o biosecuestro de bióxido de carbono
d) Centrales Eléctricas con aprovechamiento del hidrógeno
e) Centrales hidroeléctricas
1.3 Exclusiones
El presente Proyecto de Norma Oficial Mexicana no será aplicable a todas aquellas Centrales Eléctricas que cuenten con un permiso de Cogeneración y se encuentren acreditadas como cogeneración eficiente en términos de la Ley del Servicio Público de Energía Eléctrica, siempre y cuando su Contrato de Interconexión Legado se mantenga vigente.
2. Referencias Normativas
Para los fines de este Proyecto de Norma Oficial Mexicana, es indispensable aplicar las Normas Oficiales Mexicanas, Normas Mexicanas, Normas Internacionales y métodos de prueba que se indican a continuación, o las que las sustituyan:
| NOM-008-SCFI-2002 | Sistema General de Unidades de Medida. |
| NOM-013-SCFI-2004 | Instrumentos de medición- Manómetros con elemento elástico-Especificaciones y métodos de prueba. |
| NOM-086-SEMARNAT-SENER- SCFI-2005 | Especificaciones de los combustibles fósiles para la protección ambiental. |
| NOM-016-CRE-2016 | Especificaciones de calidad de los petrolíferos. |
| NOM-001-SECRE-2010 | Especificaciones del gas natural (cancela y sustituye a la NOM-001-SECRE-2003, Calidad del gas natural y la NOM-EM-002-SECRE-2009, Calidad del gas natural durante el periodo de emergencia severa). |
| NMX-AA-174-SCFI-2015 | Que establece especificaciones y requisitos para la certificación de sustentabilidad ambiental en la producción de bioenergéticos líquidos de origen vegetal. |
| NMX-EC-17025-IMNC-2006 | Requisitos generales para la competencia de los laboratorios de ensayo y de calibración (cancela a la NMX-EC-17025-IMNC-2000). |
| NMX-AA-033-1985 | Protección al Ambiente-Contaminación del Suelo- Residuos Sólidos Municipales-Determinación del Poder Calorífico Superior. |
| NMX-B-030-1984 | Industria Siderúrgica, Carbón y Coque. |
| NMX-CH-003-1993 | Instrumentos de medición manómetros de presión, vacuómetros y manovacuómetros indicadores y registradores con elementos sensores elásticos (instrumentos ordinarios). |
| IEC 60751:2008 | Industrial platinum resistance thermometers and platinum temperature sensors. |
| ISO 6976:2016 | Gas Natural Cálculo del poder calorífico, densidad, densidad de Wobbe a partir de la composición |
| ISO 2186:2007 | Fluid flow in closed conduits -- Connections for pressure signal transmissions between primary and secondary elements. |
| ISO 5167-1:2003 | Measurement of fluid flow by means of pressure differential devices inserted in circular cross-section conduits running full -- Part 1: General principles and requirements |
| ISO 5167-2:2003 | Measurement of fluid flow by means of pressure differential devices inserted in circular cross-section conduits running full -- Part 2: Orifice plates |
| ISO 5167-3:2003 | Measurement of fluid flow by means of pressure differential devices inserted in circular cross-section conduits running full -- Part 3: Nozzles and Venturi nozzles. |
| ISO 5167-4:2003 | Measurement of fluid flow by means of pressure differential devices inserted in circular cross-section conduits running full -- Part 4: Venturi tubes. |
| ISO 5167-5:2016 | Measurement of fluid flow by means of pressure differential devices inserted in circular cross-section conduits running full -- Part 5: Cone meters. |
| ISO/TR 9464:2008 | Guidelines for the use of ISO 5167:2003. |
| ISO 6974-1:2012 | Gas Natural -- Determinación de composición e incertidumbre asociada por cromatografía -- Parte 1: Lineamientos Generales y cálculo de composición. |
| ISO 6974-2:2012 | Gas Natural -- Determinación de composición e incertidumbre asociada por cromatografía Parte 2: Cálculo de Incertidumbre. |
| ISO 6974-3:2018 | Gas Natural -- Determinación de composición e incertidumbre asociada por cromatografía -- Parte 3: Precisión y tendencia. |
| ISO 6974-4:2000 | Determinación de Nitrógeno, Dióxido de carbono, e hidrocarburos C1 a C5 y C6+ para laboratorio y sistema de medición en línea utilizando dos columnas. |
| ISO 6974-5:2014 | Determinación de Nitrógeno, Dióxido de carbono e hidrocarburos C1 a C5 y C6+ para aplicación en laboratorio y proceso en línea utilizando tres columnas. |
| ISO 15970:2008 | Natural gas -- Measurement of properties -- Volumetric properties: density, pressure, temperature and compression factor. |
| ISO 17090:2015 (Apéndice A) | Health informatics -- Public key infrastructure -- Part 1: Overview of digital certificate services. |
| ISO 9951:2007 | Presentation/representation of entries in dictionaries -- Requirements, recommendations and information. |
| ISO 2715:2017 | Liquid hydrocarbons -- Volumetric measurement by turbine flowmeter |
| ISO 5725-3:1994 | Accuracy (trueness and precision) of measurement methods and results -- Part 3: Intermediate measures of the precision of a standard measurement method |
| ASME MFC-3M-2017 | Measurement of Fluid Flow in Pipes Using Orifice, Nozzle, and Venturi. |
| ASME PTC 19.5-2013 | Flow Measurement Performance Test Codes. |
| API MPMS 7 | Manual of petroleum measurement standards Chapter 7 - Temperature determination |
| API MPMS 14.3.2 | Orifice Metering of Natural Gas and Other Related Hydrocarbon Fluids-Concentric, Square-edged Orifice Meters. |
| API MPMS 5.3-2005 | Manual of Petroleum Measurement Standards Chapter 5-Metering Section 3-Measurement of Liquid Hydrocarbons by Turbine Meters |
| API MPMS 5.2-2005 | Manual of Petroleum Measurement Standards Chapter 5-Metering Section 2-Measurement of Liquid Hydrocarbons by Displacement Meters. |
| EC 60751:2008 | Industrial platinum resistance thermometers and platinum temperature sensors. |
Nota: Para efectos del cumplimiento de este Proyecto de Norma Oficial Mexicana, las normas, códigos y estándares a utilizar son aquéllos listados en el presente Capítulo, además de todas aquéllas de aplicabilidad similar provenientes de organismos de reconocimiento internacional, de acuerdo con el listado de organismos internacionales de normalización publicado por la Secretaría de Economía.
3. Términos y definiciones
Para los propósitos de este Proyecto de Norma Oficial Mexicana se aplican, adicionalmente a los términos y definiciones establecidos en la Ley de la Industria Eléctrica, en su Reglamento y las disposiciones que de ella emanen, así como en las Bases del Mercado Eléctrico, los siguientes:
3.1 Dictamen de verificación: Documento emitido por una UVAA, mediante el cual se hace constar el resultado del análisis realizado respecto a los requerimientos metrológicos de una Central Eléctrica para evaluar su conformidad con el presente PROY-NOM, mismo que puede ser inicial o periódico.
3.2 E: La energía eléctrica neta generada en la Central Eléctrica, dada en MWh.
3.3 Error (de indicación): Indicación menos el valor de referencia de la magnitud, que se conoce también como el valor verdadero (convencional) de una magnitud.
3.4 Error máximo permitido (EMP): valor extremo del error de medida, con respecto a un valor de referencia conocido, permitido por especificaciones o reglamentaciones, para una medición, instrumento o sistema de medida dado.
3.5 F: La energía de los combustibles empleados en la Central Eléctrica, medida sobre el poder calorífico inferior y dada en MWh.
3.6 H: La energía térmica neta o el calor útil generado en una Central de Cogeneración y empleado en un proceso productivo, dado en MWh.
3.7 HNO: El calor no cogenerado, es decir, aquella energía térmica que no se emplea para la producción de energía eléctrica, dado en MWh.
3.8 Magnitud: Atributo de un fenómeno, cuerpo o sustancia que puede ser distinguido cualitativamente y determinado cuantitativamente.
3.9 Periodo p: Periodo en el cual se deben realizar las mediciones de las variables referidas en cada caso de este PROY-NOM, cuya estampa de tiempo está definida de conformidad con los requerimientos de frecuencia de registro.
3.10 Unidad de Verificación Acreditada y Aprobada (UVAA): Persona física o moral debidamente acreditada por una entidad de acreditación en términos de la LFMN, y aprobada por la Comisión para llevar a cabo la verificación del cumplimiento del presente PROY-NOM.
3.11 Usos propios: Se refiere a la energía consumida por los equipos auxiliares de las centrales, que pueden ser los utilizados para preparación de combustibles, ventilación o iluminación, entre otros en MWh.
3.12 Verificación: La constatación ocular y documental realizada para evaluar la conformidad de los requerimientos metrológicos establecidos en el presente PROY-NOM.
4. Términos abreviados
| PROY-NOM | Proyecto de Norma Oficial Mexicana. |
| ARM | Acuerdo de Reconocimiento Mutuo. |
| CENAM | Centro Nacional de Metrología |
| CIPM | Comité Internacional de Pesas y Medidas. |
| Comisión | Comisión Reguladora de Energía. |
| Disposiciones de eficiencia y ELC | Disposiciones administrativas de carácter general que contienen los criterios de eficiencia y establecen la metodología de cálculo para determinar el porcentaje de energía libre de combustible en fuentes de energía y procesos de generación de energía eléctrica. |
| ELC | Energía Libre de Combustible. |
| EMP | Error Máximo Permitido. |
| IBC | Instrumento Bajo Calibración |
| LIE | Ley de la Industria Eléctrica. |
| LTE | Ley de Transición Energética. |
| LFMN | Ley Federal sobre Metrología y Normalización. |
| NMX | Norma Mexicana. |
| NOM | Norma Oficial Mexicana. |
| OS | Sistema Operativo |
| PEC | Procedimiento para la Evaluación de la Conformidad. |
| PROFEPA | Procuraduría Federal de Protección al Ambiente |
| SCI | Sistema Concentrador de Información |
| SEMARNAT | Secretaría de Medio Ambiente y Recursos Naturales. |
5. Generalidades
En la Tabla 1 se muestran las Energías Limpias, de acuerdo con la clasificación establecida en la LIE, a las cuales aplicará el presente PROY-NOM de acuerdo con las Disposiciones de eficiencia y ELC establecidas por la Comisión.
Tabla 1 - Porcentaje de energía libre de combustible y metodología aplicable a las energías limpias en
términos del uso de combustible fósil (1 de 3).
| Inciso | Energías limpias | Uso de combustible | El porcentaje de ELC con respecto a la producción de energía eléctrica de la central | Criterios de eficiencia y metodología aplicables |
| Sí/No | Parcial/Tota l |
| a) | El viento; | No | No aplica | 100 % | No aplica |
| b) | La radiación solar, en todas sus formas; | No | No aplica | 100 % | No aplica |
| Sí | Parcial | En términos de las Disposiciones de eficiencia y ELC | Caso II |
| c) | La energía oceánica en sus distintas formas: maremotriz, maremotérmica, de las olas, de las corrientes marinas y del gradiente de concentración de sal; | No | No aplica | 100 % | No aplica |
| d) | El calor de los yacimientos geotérmicos; | No | No aplica | 100 % | No aplica |
| e) | Los bioenergéticos que determine la Ley de Promoción y Desarrollo de los Bioenergéticos; | No | No aplica | 100 % | No aplica |
| Sí | Parcial | En términos de las Disposiciones de eficiencia y ELC | Caso II |
| f) | La energía generada por el aprovechamiento del poder calorífico del metano y otros gases asociados en los sitios de disposición de residuos, granjas pecuarias y en las plantas de tratamiento de aguas residuales, entre otros; | No | No aplica | 100 % | No aplica |
| Sí | Parcial | En términos de las Disposiciones de eficiencia y ELC | Caso II |
| g) | La energía generada por el aprovechamiento del hidrógeno mediante su combustión o su uso en celdas de combustible, siempre y cuando se cumpla con la eficiencia mínima que establezca la Comisión y los criterios de emisiones establecidos por la SEMARNAT en su ciclo de vida; | Sí | No aplica | En términos de las Disposiciones de eficiencia y ELC | Caso IV |
| h) | La energía proveniente de centrales hidroeléctricas; | No | No aplica | En términos de las Disposiciones de eficiencia y ELC | Caso V |
Tabla 1 - Porcentaje de energía libre de combustible y metodología aplicable a las energías limpias en
términos del uso de combustible fósil (2 de 3).
| inciso | Energías limpias | Uso de combustible | El porcentaje de ELC con respecto a la producción de energía eléctrica de la central | Criterios de eficiencia y metodología aplicables |
| Sí/No | Parcial/Tota l |
| i) | La energía nucleoeléctrica; | No | No aplica | 100 % | No aplica |
| j) | La energía generada con los productos del procesamiento de esquilmos agrícolas o residuos sólidos urbanos (como gasificación o plasma molecular), cuando dicho procesamiento no genere dioxinas y furanos u otras emisiones que puedan afectar a la salud o al medio ambiente y cumpla con las normas oficiales mexicanas que al efecto emita la SEMARNAT; | No | No aplica | 100 % | No aplica |
| Sí | Parcial | En términos de las Disposiciones de eficiencia y ELC | Caso II |
| k) | La energía generada por centrales de cogeneración eficiente en términos de los criterios de eficiencia emitidos por la Comisión y de emisiones establecidos por la SEMARNAT; | Sí | Total | En términos de las Disposiciones de eficiencia y ELC | Caso I |
| l) | La energía generada por ingenios azucareros que cumplan con los criterios de eficiencia que establezca la Comisión y de emisiones establecidos por la SEMARNAT; | No | No aplica | 100 % | No aplica |
| Sí | Parcial | En términos de las Disposiciones de eficiencia y ELC | Caso II |
| m) | La energía generada por centrales térmicas con procesos de captura y almacenamiento geológico o biosecuestro de bióxido de carbono que tengan una eficiencia igual o superior en términos de kWh-generado por tonelada de bióxido de carbono equivalente emitida a la atmósfera, respecto de la eficiencia mínima que establezca la Comisión y los criterios de emisiones establecidos por la SEMARNAT; | Sí | Total | En términos de las Disposiciones de eficiencia y ELC | Caso III |
Tabla 1 - Porcentaje de energía libre de combustible y metodología aplicable a las energías limpias en
términos del uso de combustible fósil (3 de 3).
| inciso | Energías limpias | Uso de combustible | El porcentaje de ELC con respecto a la producción de energía eléctrica de la central | Criterios de eficiencia y metodología aplicables |
| Sí/No | Parcial/Total |
| n) | Tecnologías consideradas de bajas emisiones de carbono conforme a estándares internacionales, y | Sí | Total | En términos de las Disposiciones de eficiencia y ELC | Caso III |
| o) | Otras tecnologíasa que determinen la Secretaría y la SEMARNAT, con base en parámetros y normas de eficiencia energética e hídrica, emisiones a la atmósfera y generación de residuos, de manera directa, indirecta o en ciclo de vida; | No | No aplica | 100 % | No aplica |
| Sí | Parcial o Total | En términos de las Disposiciones de eficiencia y ELC | Según sea el caso |
| a Para la definición de otras tecnologías se analizará cada caso de manera particular, considerando el documento definitorio que, para tal efecto, emitan la Secretaría de Energía y la SEMARNAT, y se tomará como referencia la información presentada en el procedimiento correspondiente que se establezca, a fin de evaluar los criterios y metodología aplicables para determinar el porcentaje de energía libre de combustible. |
Todas las Centrales Eléctricas que se encuentren dentro del campo de aplicación del presente PROY-NOM deben cumplir con los requerimientos metrológicos que en éste se establecen, conforme a las siguientes consideraciones:
a) Las Centrales Eléctricas cuya energía limpia corresponda al inciso o), deben cumplir con equipo adecuado para la medición de energía eléctrica de conformidad con lo establecido en el presente PROY-NOM, previa determinación de la Secretaría de Energía y la SEMARNAT. Adicionalmente la Comisión podrá determinar si la Central Eléctrica requiere de la medición de otros parámetros.
b) Cuando se trate de la medición del poder calorífico del(los) combustible(s) utilizado(s), las centrales con capacidad instalada menor o igual a 10 MW no estarán obligadas a dicho cumplimiento, para lo cual podrán optar por una de las siguientes opciones:
1) Solicitar a una UVAA autorizada en términos del presente PROY-NOM, la determinación del valor de la variable que no cuente con medición permanente.
2) Utilizar valores de referencia señalados en la normatividad aplicable, así como en las tablas o listas de combustibles de conformidad con lo establecido en cada uno de los capítulos del presente PROY-NOM, en los que se hace referencia a la obtención de la energía del combustible (F).
TÍTULO SEGUNDO
SISTEMAS DE MEDICIÓN
6. Requerimientos metrológicos
Los métodos de medición aplicables para el cumplimiento del presente PROY-NOM podrán ser los determinados en las normas, estándares o códigos provenientes de organismos de reconocimiento internacional de acuerdo con el listado de organismos internacionales de normalización publicado por la Secretaría de Economía o aquéllos de aplicación en la industria nacional de uso común.
6.1 Calibración
La incertidumbre en la medición debe considerar a los integradores y transmisores. Se debe tener en cuenta las especificaciones del fabricante y las condiciones de operación, así como la ubicación física de los equipos de medición conforme a lo establecido en el presente PROY-NOM.
Para efectos de este PROY-NOM, la calibración de los instrumentos de medición no es equivalente al ajuste de un sistema de medida o la verificación de la calibración.
6.2 Energía eléctrica neta
6.2.1 Consideraciones generales
El medidor de energía eléctrica debe contar con la aprobación del modelo o prototipo correspondiente de conformidad con la normatividad o regulación aplicable en materia de sistemas de medición que para tal efecto emita la Comisión, así como con la calibración vigente con la finalidad de asegurar la trazabilidad a patrones nacionales. La incertidumbre máxima de medición de la energía eléctrica neta en la Central Eléctrica, debe ser de:
donde:
La incertidumbre de medición de la energía eléctrica neta (inc(E)), incluye los componentes de incertidumbre de medición del watthorímetro y de los transformadores de tensión y de corriente para medición.
Los sistemas de medición de energía eléctrica deben cumplir con los requerimientos metrológicos de la medición de energía eléctrica neta de acuerdo con lo establecido en la especificación técnica, en la normatividad o regulación aplicable en materia de medición que para tal efecto emita la Comisión, de acuerdo con el tipo y a la aplicación de la Central Eléctrica que se trate.
6.2.2 Métodos de medición de la energía eléctrica neta
Para determinar el total de la energía eléctrica neta (E) que se produce en el sistema de generación de energía eléctrica durante el periodo "p", es necesario sustraer de la energía generada la energía empleada para los usos propios de la Central Eléctrica, expresada en MWh.
6.3 Energía del combustible
6.3.1 Consideraciones generales
La incertidumbre máxima de medición de la energía de los combustibles empleados en el sistema de generación de energía eléctrica será:
donde:
Se debe medir el total del combustible que ingresa al sistema, cuya finalidad sea la generación de energía eléctrica y/o la obtención de energía térmica o calor útil.
Para determinar la energía del combustible F que se utiliza en el sistema de generación, se debe medir la cantidad del mismo durante el periodo "p" multiplicado por su poder calorífico inferior medido conforme a los requerimientos establecidos en el presente Capítulo. Las Centrales Eléctricas con capacidad menor o igual a 10 MW no estarán obligadas a la instalación permanente de equipo de medición del poder calorífico y, en su caso, podrán determinar dicho valor a partir de las opciones establecidas en b) del Capítulo 5 del presente PROY-NOM. En este sentido, el valor del poder calorífico determinado debe mantenerse hasta la próxima verificación de la Central Eléctrica.
Todos los combustibles adicionales que ingresan a la central deben ser medidos, aun cuando no sea incluido en la suma total de la energía del combustible utilizado en el proceso de generación de energía eléctrica. Por ejemplo, el combustible usado en postcombustión o en calderas auxiliares.
6.3.2 Combustibles sólidos
La incertidumbre de medición de la energía de los combustibles sólidos empleados no debe sobrepasar el valor establecido de inc(F) ± 3 %, para ello se debe seguir con lo dispuesto en el Apéndice B sobre las especificaciones técnicas de los diferentes sistemas de medición de cantidad de combustible sólido (masa).
a) La masa de los combustibles suministrados debe medirse y registrarse en su totalidad empleando instrumentos de medición que garanticen la certidumbre de medición de conformidad con lo establecido en el Apéndice B del presente PROY-NOM, siendo aplicable en cualquiera de las siguientes configuraciones de alimentación:
1) Alimentación continua, por medio de bandas transportadoras.
2) Alimentación dosificada, por medio de tolvas.
b) El poder calorífico inferior debe medirse por lote de combustible consumido o de forma periódica, esto de acuerdo con lo dispuesto en el Apéndice D sobre los requisitos detallados para la medición de poder calorífico de sólidos, líquidos y gases. Los métodos para calcular el poder calorífico se muestran en la Tabla 2.
Tabla 2 - Método y frecuencia de medición para la determinación del poder calorífico inferior del
combustible sólido.
| Materiales solidos | Método de prueba | Principio | Incertidumbre Máxima | Frecuencia de medición |
| Fósiles y No Fósiles | ASTM D5865-13 Método Estándar para el poder calorífico de Carbón y Coque. ISO 1928:2009 Combustibles minerales sólidos. Determinación del poder calorífico superior y cálculo del poder calorífico inferior DIN 51900-1:2000 Determinación del poder calorífico superior de sólidos y líquidos usando una bomba calorimétrica y cálculo del poder calórico inferior. | Bomba Calorimétrica | < 5 % | 3 veces al día |
Cuando se requiera la aplicación de valores definidos de poder calorífico de los combustibles sólidos, se deben utilizar los valores referidos en la "Lista de combustibles que se considerarán para identificar a los usuarios de patrón de alto consumo, así como los factores para determinar las equivalencias en términos de barriles equivalentes de petróleo" publicada en el Diario Oficial de la Federación el 24 de noviembre de 2016, o aquella que la sustituya.
6.3.3 Combustibles líquidos
La medición y el registro del caudal o flujo de los combustibles empleados en la Central Eléctrica debe realizarse con instrumentos que garanticen el grado de exactitud requerido, esto de conformidad con lo establecido en el Apéndice A del presente PROY-NOM, sobre los sistemas de medición de flujo.
a) Cantidad de combustible
Los combustibles líquidos deben ser contabilizados en litros o en kilogramos, por lo que el combustible empleado se debe medir y registrar con un medidor de caudal o flujo con un grado de incertidumbre menor o igual al 2 %. En caso de que la medición de caudal se realice a una temperatura y presión distintas a las que fue calibrado el equipo o instrumento de medición, será necesario aplicar los factores de corrección correspondientes, de conformidad con lo establecido en el Apéndice C del presente PROY-NOM. La Tabla 3 muestra las especificaciones técnicas del sistema de medición.
Tabla 3 - Especificaciones metrológicas para los sistemas de medición de flujo de combustible líquido.
| | Principios de medición aplicables | Resolución | Repetibilidad | Incertidumbre U, k = 2 |
| Dispositivo primario | § Coriolis § Rotativo DP § Ultrasónico § Turbina | | 0.1 % | £ 0.5 % |
| Medidor de temperatura | § Pt-100 y transmisor § Termopar y transmisor | £ 0.5 °C | £ 0.1 % | £ 0.25 % |
| Medición de la densidad | § Hidrómetro de inmersión § Densímetro por resonancia | | | £ 0.25 % |
| Fluctuaciones | | | | £ 0.5 % |
| Incertidumbre de medición del flujo de líquido | £ 1 % |
b) Poder calorífico inferior
El poder calorífico inferior se determina considerando la cantidad de energía por unidad de masa, por lo que la conversión entre la masa y el volumen debe realizarse de conformidad con lo establecido en el Apéndice D. El valor del poder calorífico se determina conforme a los métodos de prueba descritos en el estándar ASTM-D4809. En la Tabla 4 se muestran las especificaciones del método de prueba.
Tabla 4 - Especificaciones del método de medición del poder calorífico de combustibles líquidos.
| Método de Prueba | Equipo | Fuentes de Incertidumbre de medición | Incertidumbre expandida de medición del Poder Calorífico |
| ASTM-D4809 Poder Calorífico Superior e Inferior | Bomba Calorimétrica, también llamado Calorímetro Isoperbólico | Repetitividad, Reproducibilidad, Calibración, Error Sistemático | 2.1 % |
Cuando se requiera la aplicación de valores definidos de poder calorífico de los combustibles líquidos, se deben utilizar los valores referidos en la Norma Mexicana NMX-AA-174-SCFI-2015, así como los establecidos en la "Lista de combustibles que se considerarán para identificar a los usuarios de patrón de alto consumo, así como los factores para determinar las equivalencias en términos de barriles equivalentes de petróleo".
6.3.4 Combustibles gaseosos
La medición y registro del volumen del gas empleado en la Central Eléctrica, debe realizarse con equipos o instrumentos cuya incertidumbre de medición no sobrepase el valor establecido, de acuerdo con lo dispuesto en el Apéndice A del presente PROY-NOM, sobre los sistemas de medición de flujo.
a) Cantidad de combustible
En caso que la medición del volumen del combustible gaseoso empleado se realice a una temperatura y presión distintas a la que el sistema de medición fue calibrado, se podrá realizar la corrección (condiciones normales) de acuerdo con el Apéndice C.
b) Incertidumbre
La incertidumbre de medición de los equipos o instrumentos encargados de cuantificar la energía del combustible gaseoso, debe ser menor al 2 %. La Tabla 5 muestra especificaciones metrológicas de los sistemas de medición de flujo de gas.
Tabla 5 - Especificaciones metrológicas para los sistemas de medición de flujo de combustible
gaseoso.
| | Principios de medición aplicables | Resolución | Repetibilidad | Incertidumbre U, k = 2 |
| Dispositivo primario | § Placa de orificio § Turbina § Ultrasónicos § Rotativos DP § Coriolis | | 0.1 % | £ 0.5 % |
| Medidor de temperatura | § Pt-100 y transmisor § Termopar y transmisor | £ 0.5 °C | £ 0.1 % | £ 0.25 % |
| Medidor de presión | § Capacitivo y transmisor § Resonante y transmisor § otros | £ 1 hPa | £ 0.2 % | £ 0.25 % |
| Medición de la presión diferencial | § Capacitivo y transmisor § Resonante y transmisor § otros | 1 hPa | £ 0.2 % | £ 0.25 % |
| Medición de la densidad | § picnometría § resonancia y transmisor § cromatografía y AGA8 | | | £ 0.25 % |
| Fluctuaciones | | | | £ 0.25 % |
| Incertidumbre de medición del flujo de combustible gaseoso | £ 1 % |
c) Poder calorífico inferior.
Para obtener el poder calorífico inferior de los combustibles gaseosos de forma continua, debe utilizarse un cromatógrafo de gas bajo la norma ISO 6976:2016 o ISO 6974-1:2012. La incertidumbre del cálculo debe ser menor al 2 %. Para complementar el proceso de obtención del poder calorífico por cromatografía, se puede consultar la norma ASTM D1945. En la Tabla 6 se muestran las especificaciones del método de prueba:
Tabla 6 - Especificaciones de sistemas de medición del poder calorífico de combustibles gaseosos.
| Método de Prueba | Sistemas de medición | Fuentes de Incertidumbre | Incertidumbre expandida de medición del Poder Calorífico |
| ISO-6974-1:2012 Determinación de composición e incertidumbre asociada por cromatografía ISO-6976:2016 Cálculo del poder calorífico, densidad, densidad de Wobbe a partir de la composición | Cromatógrafo de Gases Determinación de hidrógeno, helio, oxígeno, nitrógeno, dióxido de carbono e hidrocarburos hasta C8 | Repetitividad Reproducibilidad Calibración Error Sistemático | 2 % |
Cuando se requiera la aplicación de valores definidos de poder calorífico de los combustibles gaseosos, se deben utilizar los valores referidos en la Norma Oficial Mexicana NOM-001-SECRE-2010, así como los establecidos en referencias nacionales o internacionales dependiendo del combustible empleado en la Central Eléctrica.
6.4 Energía térmica o calor útil (H)
La energía térmica o calor útil es la energía térmica producida en la central de cogeneración, que es transferida y aprovechada en un proceso productivo (zona de consumo). Este término es el que se emplea para evaluar las centrales de cogeneración.
6.4.1 Consideraciones generales
Los medidores del calor útil deben situarse en la frontera de la delimitación del sistema de generación y a la entrada del proceso que utilizará dicho calor. En este caso los sistemas de medición para la determinación de la energía térmica o calor útil consisten en medidores de flujo o caudal, sensores de temperatura y sensores de presión.
La energía térmica procedente de un sistema de generación puede entregarse, de manera enunciativa mas no limitativa, en alguna de las formas siguientes:
a) Agua líquida.
b) Fluido térmico.
c) Vapor de agua.
d) Gases calientes.
Se debe calcular o medir sólo el calor que se trasfiere y aprovecha en la zona de consumo.
En el cálculo del calor útil no se debe considerar la energía térmica generada en procesos no vinculados al del proceso de cogeneración evaluado. Ejemplos: el calor generado en calderas auxiliares que no pertenecen al proceso de cogeneración; las extracciones de vapor que se utiliza en el calentamiento del agua de alimentación al recuperador de calor, el calor generado en calderas auxiliares que no pertenecen al proceso de cogeneración; el calor expulsado a la atmósfera sin aprovecharse; los envíos de gases de combustión por la chimenea; el calor dispersado por equipos de condensación; el calentamiento del agua de alimentación a las calderas del sistema como recuperadoras de calor, entre otros.
El cálculo correcto del calor útil considera únicamente el calor trasferido neto. Para el caso en que el calor útil se aporta como vapor, los retornos de condensados no deben considerarse como aportes de energía al sistema.
6.4.2 Medición del calor útil y calor no cogenerado
El cálculo o estimación del calor útil tiene por objetivo la determinación del combustible evitado (considerado como energía primaria) en la producción de dicho calor. El calor útil debe entregarse de manera simultánea al proceso del consumidor en alguna de las formas descritas en 6.4.2.1, 6.4.2.2, 6.4.2.3 y 6.4.2.4.
Para todos los casos, el calor útil se calcula a partir de la ecuación 2.
donde:
Por otro lado, el calor que se produce fuera de un proceso de cogeneración, es decir, que no se emplea para la producción de energía eléctrica, se denominará como calor no cogenerado, Hno. Este calor se debe medir o estimar a partir del combustible empleado para su producción. Por ejemplo:
a) El calor producido por una caldera convencional o un quemador auxiliar. El combustible que se utiliza se debe medir, de forma que permita evaluar el calor no cogenerado.
b) Calor de postcombustión: definido como el proceso de combustión complementaria aplicable a unidades de cogeneración (turbinas de gas o motores) cuyos gases de escape contienen proporciones elevadas de oxígeno por lo que se pueden utilizar como comburente con combustible adicional.
c) Vapor de extracción de una caldera alimentada con combustible, antes de su uso en una turbina de vapor.
d) Vapor sobrante, no recuperable y que suele condensarse produciendo energía eléctrica y/o mecánica en una turbina de condensación.
e) Vapor o calor empleado en la propia central de cogeneración para precalentamientos de agua de alimentación, desgasificación térmica, etc.
En estos casos, la cuantificación de Hno se debe realizar por medio de una medición directa (caso del vapor de extracción) o por medio de una medida del combustible que se utiliza en postcombustión o en calderas auxiliares. El calor que se obtiene de estos procesos no se considerará de cogeneración salvo que se emplee para la producción de energía eléctrica y/o mecánica con equipos como las turbinas de contrapresión.
a) Agua líquida y fluidos térmicos
La entrega de energía térmica a través de agua líquida y fluidos térmicos se determina como el valor neto de la salida y el retorno de los fluidos de trabajo que transportan la energía térmica (agua o aceite), los cuales circulan en un circuito cerrado y permiten la transferencia de calor para los usos del proceso que demanda energía térmica, por lo que en cada circuito de flujo debe existir un medidor de flujo instantáneo y un medidor para la diferencia de temperaturas. Su producto instantáneo con el valor del calor específico se integra sobre el periodo "p" bajo evaluación y el resultado es el valor del calor útil.
Los instrumentos y equipos deben ser instalados y calibrados de acuerdo con lo establecido en el
Apéndice C, dicha calibración debe tener una incertidumbre no mayor al 3 %. Para los casos en que el fluido retorna por el circuito sin más alteraciones que un cambio de temperatura T2 < T1, el calor útil se refiere al calor extraído, el cual se calcula según las ecuaciones 3 y 4.
donde:
h1 y h2 son las entalpías de salida y retorno de agua líquida o fluido térmico (aceite) respectivamente, y Cp es el calor específico promedio del fluido (agua o aceite) si se puede considerar constante en el intervalo de operación.
b) Vapor de agua
Los medidores deben ubicarse lo más próximo a la frontera de la delimitación del proceso de cogeneración y a la entrada del proceso, cuidando que no se contabilice el vapor enviado al desgasificador. La medición de H se contabiliza de forma constante como el producto del caudal por la entalpía del vapor, siendo éste el producto que debe integrarse durante el periodo de evaluación. En el caso que exista retorno de condensadores se debe medir el caudal y su temperatura.
Los medidores de caudal deben tener una exactitud de acuerdo con el Apéndice A del presente PROY-NOM, y de acuerdo con el mismo Apéndice, se deben aplicar correcciones por presión y temperatura cuando sea necesario. Los diagramas, toberas y tubos de Venturi se deben instalar de acuerdo con las especificaciones del fabricante, y el caudal debe calcularse con base en las dimensiones reales y no nominales.
La existencia de la corriente de retorno de condensados en una central de cogeneración que aporta vapor de agua supone una medida de eficiencia energética, ya que el calor contenido en dicha corriente es captado por el proceso de cogeneración en los equipos de generación de vapor, necesitándose de este modo menos combustible para el mismo aporte calórico al proceso.
El cálculo del calor útil en cogeneraciones que aporten vapor de agua al proceso se realizará con base en la metodología indicada a continuación. Cogeneraciones en las cuales el vapor de agua se incorpora al producto elaborado en el proceso.
Cuando el vapor se incorpora al producto elaborado en el proceso, no es posible canalizar una corriente de retorno de condensados hasta la cogeneración, con lo que el calor útil únicamente consiste en el calor entregado a proceso, el cálculo del calor útil se realiza de acuerdo con la ecuación 5.
donde:
=es el caudal de los gases,
=es la entalpía del gas de entrada, y
=es la entalpía de salida del gas. En los casos donde no sea posible medir el caudal, se debe justificar la no posibilidad de medir, así como determinar el flujo de gases mediante estequiometria o por balance de energía y no se debe considerar el dato de diseño, ya que dicha consideración incrementa el valor de incertidumbre.
Para procesos de secado, el calor útil se calcula sumando al calor latente del agua evaporada, el incremento del calor sensible del agua total más el incremento de calor sensible del producto secado, ambos incrementos desde la temperatura del producto húmedo a la entrada del proceso de secado hasta la temperatura final del producto seco. La ecuación anterior se puede expresar utilizando el calor específico de un gas mezclado con aire en función de la temperatura por la correlación, de acuerdo con la ecuación 9.
donde:
La ecuación es válida en el intervalo de 0 a 1500 °C, donde T se expresa en °C y el calor específico en kJ/(kg·°C), si se utiliza para calcular el calor útil se tiene la ecuación 10.
donde:
T1 y T2 = son las temperaturas de entrada y salida de los gases al secador.
6.4.3 Consideraciones del proceso demandante de energía térmica en el cálculo del calor útil
Un proceso de cogeneración está estrechamente ligado al proceso al cual se suministra energía hasta el punto que no es posible obtener y validar el calor útil que la cogeneración aporta sin realizar un análisis del proceso demandante de calor.
De forma adicional a la obtención del valor de calor útil de acuerdo con lo descrito, es necesaria la realización de un análisis sobre el destino de dicho calor útil (análisis de proceso). La entidad que realice la certificación de calor útil, electricidad de cogeneración e índices de eficiencia debe de realizar un análisis del proceso con base en los siguientes puntos:
a) Justificación del calor entregado. En ningún caso se considerará útil, aquella energía térmica que se destine a usos que no se realizarían mediante equipos de suministro de calor diferentes a la cogeneración. Podrá requerirse al representante de la Central Eléctricas un estudio económico sobre la rentabilidad y/o necesidad de aportar dicho calor sin cogeneración.
b) Sumideros de calor. El calor entregado a proceso que no hagan uso del mismo, vertiéndolo, por ejemplo, directamente a la atmósfera nunca tendrá la consideración de útil, siendo obligatorio restarlo al calor útil que se calculó por la cogeneración.
7. Requerimientos de información
Las Centrales Eléctricas deben establecer y mantener un Sistema Concentrador de Información que permita recibir las lecturas de mediciones de los dispositivos de medición asociados con su proceso de generación de energía eléctrica, para poder registrar y almacenar los valores de las variables requeridas en cada proceso para el cálculo del porcentaje de ELC.
El Título Octavo del presente PROY-NOM, presenta los requerimientos particulares del registro de información de las mediciones que la Central Eléctrica debe mantener.
TÍTULO TERCERO
CASO I CENTRALES ELÉCTRICAS CON PROCESO DE COGENERACIÓN EFICIENTE
8. Clasificación y delimitación de los procesos de cogeneración
8.1 Clasificación de los procesos de cogeneración.
Los procesos de cogeneración se clasifican según la parte del proceso en la que se genere la energía eléctrica, considerando principalmente la fuente del combustible a utilizar para dicho uso.
Cabe destacar que las Centrales Eléctricas con tecnología de ciclo combinado no podrán ser consideradas como cogeneración eficiente.
8.1.1 Procesos de cogeneración tipo A.
Los procesos de cogeneración tipo A se refieren a los procesos de cogeneración con producción de energía eléctrica conjuntamente con vapor, con otro tipo de energía térmica secundaria, o ambos. Consiste en obtener energía eléctrica de la primera etapa del proceso de cogeneración, en la cual el energético primario ingresa directamente al sistema.
En la segunda etapa del proceso, la energía térmica remanente se recupera como calor útil para ser empleado en los procesos productivos asociados al proceso de cogeneración. En la Figura 1 se presenta el diagrama esquemático del proceso de cogeneración tipo A, mientras que en la Figura 2 se muestran, de manera enunciativa mas no limitativa, tres configuraciones de procesos de cogeneración tipo A.
Figura 2 - Configuraciones de un proceso de Cogeneración tipo A
8.1.2 Procesos de cogeneración tipo B
Los procesos de cogeneración tipo B se refieren a aquellos procesos de cogeneración con producción directa o indirecta de energía eléctrica a partir de la energía térmica no aprovechada en los procesos. La energía eléctrica generada en este tipo de proceso de cogeneración debe de obtenerse de una segunda etapa del proceso, en donde el energético de entrada al proceso de cogeneración consiste en calor útil para el proceso, en forma de vapor o gases calientes procedentes del proceso industrial. Dicho calor útil, subproducto del proceso industrial, puede provenir de:
a) La energía térmica no aprovechada en el proceso productivo, tal como las turbinas que transforman la energía térmica del vapor no aprovechado en energía mecánica y en energía eléctrica por medio de un alternador.
b) Un generador de vapor por recuperación de calor, en el cual se aprovecha la energía térmica de los gases provenientes de un proceso industrial. Se debe asegurar que este vapor sea aquel que alimenta la turbina de generación eléctrica.
En la Figura 3 se presenta el diagrama esquemático de los procesos de cogeneración tipo B, mientras que en la Figura 4 se muestran, de manera enunciativa mas no limitativa, dos configuraciones de procesos de cogeneración tipo B.
8.1.3 Procesos de cogeneración tipo C
Los procesos de cogeneración tipo C se refieren a los procesos de cogeneración con producción directa o indirecta de energía eléctrica, utilizando los combustibles producidos en los procesos. Consiste en la energía eléctrica que se genera directa o indirectamente a partir de combustibles producidos, ya sean residuales o subproductos en los procesos de que se trate; con éstos se prevé el reaprovechamiento del combustible para la generación de energía eléctrica.
De manera enunciativa y no limitativa, los energéticos que se consideran en esta clasificación de cogeneración son:
a) Los gases residuales derivados de la producción de diferentes productos industriales que pueden ser usados como combustibles.
b) Los combustibles que son quemados directamente en los primomotores y pueden ser aprovechados para generar electricidad, como gases o aceites sobrantes de los procesos de refinación, entre otros.
En la Figura 5 se presenta el diagrama esquemático para los procesos de cogeneración tipo C, mientras que en la Figura 6 se muestran, de manera enunciativa mas no limitativa, tres configuraciones de procesos de cogeneración de este tipo.
Figura 5 - Proceso de Cogeneración tipo C
Figura 6 - Configuraciones de un proceso de Cogeneración tipo C
8.2 Delimitación de los procesos de cogeneración
Para la evaluación del proceso de cogeneración, se delimita el sistema para cada una de las clasificaciones posibles. A partir de los límites de un proceso de cogeneración, las Centrales Eléctricas deben:
a) Identificar las corrientes portadoras de energía térmica; y
b) Diferenciar la zona de cogeneración de la zona de consumo, en la cual se utiliza la producción energética de la unidad de cogeneración.
Las unidades que no operan dentro del proceso de cogeneración no deben ser incluidas dentro de los límites del sistema a ser evaluado, tales como calderas empleadas con fines exclusivamente térmicos, calderas de recuperación de calores residuales con combustión auxiliar o suplementaria que no estén acopladas a turbinas para exclusiva generación térmica, generadores auxiliares que buscan reducir demanda de potencia y energía eléctrica en horario punta o de respaldo ante emergencias derivadas de interrupciones en el servicio público de energía eléctrica.
Para demostrar los límites del proceso de cogeneración las Centrales Eléctricas deben cumplir con los incisos a) y b) anteriores, conforme al tipo de proceso de cogeneración establecido en 6.1 de la presente PROY-NOM, de acuerdo con lo siguiente:
8.2.1 Delimitación para procesos de cogeneración tipo A
Para centrales de cogeneración de tipo A, la Central Eléctrica debe demostrar que los límites de su proceso de cogeneración no incluyen equipos que sean exclusivos de generación térmica o generación eléctrica, según se muestra en la Figura 7.
Figura 7 - Límites del proceso de Cogeneración tipo A
8.2.2 Delimitación para procesos de cogeneración tipo B
Para centrales de cogeneración tipo B, la Central Eléctrica debe demostrar que su proceso de cogeneración solamente incluye el equipo secundario que integra el proceso de cogeneración, según se muestra en la Figura 8. El calor aportado por los equipos principales del proceso productivo se considera como aprovechamiento de calor residual que se suministra al sistema como si fuera un combustible para la producción de energía eléctrica, por lo cual, dichos equipos principales no están dentro de los límites de la cogeneración.
Figura 8 - Límites del proceso de Cogeneración tipo B
8.2.3 Delimitación para procesos tipo C
Para centrales de cogeneración tipo C, la Central Eléctrica debe demostrar que su proceso de cogeneración solamente incluye el equipo secundario que integra el proceso de cogeneración, según se muestra en la Figura 9. El combustible residual se considera como un aprovechamiento de energía primaria que se suministra al proceso de cogeneración, por lo cual queda fuera de los límites de la zona de cogeneración.
Figura 9 - Límites del proceso de Cogeneración tipo C
8.3 Flujos dentro del proceso de cogeneración.
Los esquemas de cogeneración eficiente de energía requieren de la instalación de medidores de flujo para determinar, entre otras magnitudes: a) el consumo de combustibles; b) la cantidad de agua introducida en las calderas; c) el vapor producido, y d) el caudal de los gases de combustión liberados hacia la atmósfera (ver Figura 10).
Figura 10 - Diagrama esquemático de un esquema de cogeneración.
9. Requerimientos metrológicos: incertidumbre
El valor máximo permisible de incertidumbre en el conjunto de mediciones de las variables E, F y H para la obtención de la ELC de las centrales de cogeneración es de:
donde:
Para asegurar que la incertidumbre de medición no sobrepase el valor establecido, el proceso de cogeneración debe cumplir con lo dispuesto en la Tabla 7, valores que son considerados en la ecuación 11.
donde:
Tabla 7 - Valor de incertidumbre máxima de medición de las variables de energía de un proceso de
cogeneración para la determinación de la ELC.
| Variable de energía del proceso de cogeneración | Incertidumbre máxima de medición (%) | Incertidumbre máxima de medición de la ELC (%) |
| E | 2 | |
| F | 3 |
| H | 3 |
La medición de las variables que intervienen en el proceso de cogeneración, las cuales corresponden a energía eléctrica, combustible y energía térmica o calor útil, se realiza en un periodo de tiempo "p". Los equipos de medición a utilizar deben de contar con sus respectivos certificados de calibración vigentes, de conformidad con los Apéndices A, B y C del presente PROY-NOM.
10. Métodos de medición
Para asegurar la incertidumbre de medición de la ELC incMAX (ELC) 6.2 %, de conformidad con lo establecido en la Tabla 7; los requerimientos metrológicos de los métodos de medición incluyen los aspectos técnicos que se encuentran definidos en la Tabla 8.
Tabla 8 - Requerimientos metrológicos y referencias en la NOM.
| Requerimientos metrológicos | Referencia en la NOM |
| El valor máximo de la incertidumbre de medición y los métodos de medición de energías E, F y H | |
| La calibración de los instrumentos de medición de E, F y FEL | Título Segundo Apéndices A, B, C |
| Registro de Información | Título Octavo |
La Tabla 9 establece los requerimientos metrológicos de los métodos de medición que se deben emplear en la medición de las variables de energía E, F y H.
Tabla 9 - Requerimientos metrológicos: métodos de medición de energías E, F y H.
| Magnitudes de medida de energías | Incertidumbre máxima de medición (k=2) | Métodos de medición en la NOM | Magnitudes de medida relacionadas con energía | Métodos de medición en la NOM |
| E | Energía eléctrica neta [MWh] | 2 % | Capítulo 6 | | Energía eléctrica [MWh] | Capítulo 6 |
| F | Energía del combustible fósil o no-fósil [MWh] | 3 % | Capítulo 6 a) Gas b) Sólido c) Líquido | PC | Poder calorífico inferior del combustible fósil o no-fósil [kJ/kg; kJ/m3; kJ/lt] | Capítulo 6 Apéndice A Apéndice D Apéndice E |
| 3% | a) Sólido b) Líquido c) Gas | | Flujo másico del sólido, líquido o gas del combustible fósil o no-fósil [kg/s; m3/s; lt/s] | Apéndice A |
| H | Energía térmica o calor útil [MWh] | 3 % | Capítulo 6 | | Calor útil [MWh] | Capítulo 6 Apéndice D Apéndice E |
10.1 Ubicación de los equipos de medición
Los sistemas de medición deben ubicarse físicamente en las fronteras de la delimitación del proceso de cogeneración tal como se representa esquemáticamente en las Figuras 11, 12 y 13.
Para procesos de cogeneración tipo A, debe realizarse la medición de las variables E, F y H, mientras que para los procesos de cogeneración de tipo B y C, únicamente se requiere la medición de la energía eléctrica neta, al considerarse 100 % eficientes.
TÍTULO CUARTO
CASO II CENTRALES ELÉCTRICAS LIMPIAS QUE UTILIZAN COMBUSTIBLES FÓSILES
Se establece la metodología para determinar el porcentaje de ELC de los siguientes procesos de generación de energía eléctrica, en los cuales se haga uso parcial de combustible fósil:
a) La radiación solar, en todas sus formas;
b) Los bioenergéticos que determine la Ley de Promoción y Desarrollo de los Bioenergéticos;
c) La energía generada por el aprovechamiento del poder calorífico del metano y otros gases asociados en los sitios de disposición de residuos, granjas pecuarias y en las plantas de tratamiento de aguas residuales, entre otros;
d) La energía generada con los productos del procesamiento de esquilmos agrícolas o residuos sólidos urbanos (como gasificación o plasma molecular), cuando dicho procesamiento no genere dioxinas y furanos u otras emisiones que puedan afectar a la salud o al medio ambiente y cumpla con las normas oficiales mexicanas que al efecto emita la SEMARNAT;
e) La energía generada por ingenios azucareros que cumplan con los criterios de eficiencia que establezca la Comisión y de emisiones establecidos por la SEMARNAT.
A partir de la ecuación para el cálculo del porcentaje de ELC establecida en las Disposiciones de Eficiencia y ELC, se estimará la incertidumbre de medición de la ELC de acuerdo con la ecuación 12.
Tabla 10 - Valor de incertidumbre máxima de medición de las variables de energía para la estimación de la ELC de una Central Eléctrica que utiliza combustibles fósiles y no fósiles.
| Variable de energía | Incertidumbre máxima de medición de las variables de energía (k=2) | Incertidumbre máxima de medición de la ELC (k=2) |
| E: energía eléctrica neta (MWh) | 2 % | incMAX (ELC)a 4.7 % |
| F: energía del combustible fósil empleado en la Central Eléctrica durante el periodo "p" (MWh) | 3 % |
| FEL: energía del combustible no fósil empleado en la Central Eléctrica durante el periodo "p" (MWh) | 3 % |
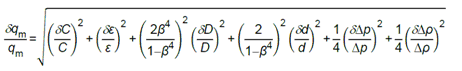
| a Recurriendo a la Tabla 10, la incertidumbre máxima de medición de la ELC se estima tomando en cuenta la ecuación 12. De lo anterior incmax (ELC) 4.7 % |
12. Métodos de medición
Para asegurar la incertidumbre de medición de la ELC incMAX (ELC) 4.7 %, de acuerdo con lo establecido en la Tabla 10, los requerimientos metrológicos de los métodos de medición incluyen los aspectos técnicos definidos en la Tabla 11.
Tabla 11 - Requerimientos metrológicos y referencias en la NOM
| Requerimientos metrológicos | Referencia en la NOM |
| El valor máximo de la incertidumbre de medición y los métodos de medición de energías E, F y FEL | Tabla 10 |
| La ubicación física de los sistemas de medición de E, F y FEL | Título 6 Apéndices A, B, C, D |
| La calibración de los instrumentos de medición de E, F y FEL |
| Registro de Información | Título Octavo |
La Tabla 12 presenta los requerimientos metrológicos de los métodos de medición que se deben emplear
en la medición de las variables de energía E, F y FEL.
Tabla 12 - Requerimientos metrológicos: métodos de medición de energías E, F y FEL
| Magnitudes de medida de energías | Incertidumbre máxima de medición (k=2) | Métodos de medición en la NOM | Magnitudes de medida relacionadas con energía | Métodos de medición en la NOM |
| E | Energía eléctrica neta [MWh] | 2 % | Capítulo 6 | | Energía eléctrica [MWh] | Capítulo 6 |
| F y FEL | Energía del combustible fósil y no fósil [MWh] | 3 % | Capítulo 6 a) Gas b) Sólido c) Líquido | PC | Poder calorífico inferior del combustible fósil o no-fósil [kJ/kg; kJ/m3; kJ/lt] | Apéndice A Apéndice D Apéndice E |
| | Flujo másico líquido o gas del combustible fósil o no-fósil [kg/s] | Apéndice A |
| | Flujo másico sólido del combustible fósil o no- fósil [kg/s] | Apéndice B |
TÍTULO QUINTO
CASO III TECNOLOGÍAS DE BAJAS EMISIONES Y CENTRALES TÉRMICAS CON PROCESOS DE
CAPTURA Y ALMACENAMIENTO GEOLÓGICO O BIOSECUESTRO DE BIÓXIDO DE CARBONO
13. Requerimientos metrológicos: incertidumbre
El criterio de eficiencia FactormC FactormRef establecido en las Disposiciones de Eficiencia y ELC, tiene un margen de confiabilidad que depende de la incertidumbre de medición de la energía eléctrica neta generada y las emisiones de CO2 de la Central Eléctrica. En este sentido, una vez satisfecho el criterio de eficiencia, la ELC es igual a la energía eléctrica neta, ELC = E. Por lo tanto, es necesario determinar la incertidumbre de medición de la energía eléctrica neta E.
Los requerimientos metrológicos respecto de la incertidumbre de medición de emisiones de CO2 y de la energía eléctrica neta E, se presentan en la Tabla 13.
Tabla 13 - Valor de incertidumbre máxima de medición de energía eléctrica y de emisiones de CO2 para
la estimación de la ELC de una Central Eléctrica con tecnologías de bajas emisiones y
almacenamiento geológico o bio secuestro de CO2
| Variables de energía y de emisión de CO2 | Incertidumbre máxima de medición (k=2) |
| E: energía eléctrica neta (MWh) | 2 % |
| Emisiones de CO2 generadas en la Central Eléctrica (tCO2/MWh). | 8 % |
14. Método de medición
Para asegurar la incertidumbre de medición de la ELC incMAX (ELC) = inc(E) 2 % de acuerdo con la Tabla 13, los requerimientos metrológicos de los métodos de medición incluyen los aspectos técnicos mencionados en la Tabla 14.
Tabla 14 - Requerimientos metrológicos y referencias en el Proyecto de NOM.
| Requerimientos metrológicos | Referencia en la NOM |
| El valor máximo de la incertidumbre de medición y los métodos de medición de energías E y Emisiones de CO2 | Tabla 13 |
| La ubicación física de los sistemas de medición de E y Emisiones de CO2 | Capítulo 6 Apéndice H |
| La calibración de los instrumentos de medición de E y Emisiones de CO2 |
| Registro de Información | Título Octavo |
La Tabla 15 presenta los requerimientos metrológicos de los métodos de medición que se deben cumplir en la medición de las variables de energía E y emisiones de CO2.
Tabla 15 - Requerimientos metrológicos: métodos de medición de energías E y emisiones de CO2.
| Magnitudes de medida de energías y de emisión de CO2 | Incertidumbre máxima de medición (k=2) | Métodos de medición en la NOM | Magnitudes de medida relacionadas con energía y CO2 | Métodos de medición en la NOM |
| E | Energía eléctrica neta [MWh] | 2 % | Capítulo 6 | | Energía eléctrica [MWh] | Capítulo 6 |
| Emisión de CO2 [kg] | 8 % | Apéndice H | | Flujo de emisiones de gases [kg/s] | Apéndice A |
TÍTULO SEXTO
CASO IV APROVECHAMIENTO DEL HIDRÓGENO
15. Requerimiento metrológico: incertidumbre
El criterio de eficiencia H2 tiene un margen de confiabilidad que depende de la incertidumbre de medición de la energía del combustible empleado y de la energía aprovechable del hidrógeno. La incertidumbre de medición de la eficiencia energética, debe de estimarse a partir de la eficiencia de producción de hidrógeno de acuerdo con la ecuación 13.
donde:
Los requerimientos metrológicos respecto de la incertidumbre de medición de E, EH2 y F, se presentan en la Tabla 16.
Tabla 16 - Valor de incertidumbre máxima de medición de E, EH y F para la estimación de la ELC de una
Central Eléctrica con aprovechamiento de hidrógeno.
| Variables de energía | Incertidumbre máxima de medición (k=2) |
| E: energía eléctrica neta (MWh) | 2 % |
| EH2: energía aprovechable del hidrógeno producido durante el periodo "p" (MJ) | 3 % |
| F: energía del combustible fósil empleado en la producción de hidrógeno en el periodo "p", medido sobre el poder calorífico inferior (MJ) | 3 % |
16. Método de medición
Para asegurar que la incertidumbre de medición de E, EH2 y F es igual o menor a lo establecido en la Tabla 16, se deben cumplir los requerimientos metrológicos de la Tabla 17.
16.1 Medición de la energía aprovechable del hidrógeno EH2
Para determinar la masa del hidrógeno, se utiliza un medidor de flujo de gas de acuerdo con la metodología mostrada en la Tabla 5. Para determinar la energía del hidrógeno aprovechable producido durante el periodo "p", se utiliza un cromatógrafo de gas que determina la cantidad de hidrógeno producido en el periodo "p", y se utiliza el valor de referencia para el poder calorífico inferior del hidrógeno, igual a 119,932 kJ/kg calculado de la norma ISO 6976:2016.
Tabla 17 Requerimientos metrológicos y referencias en la NOM.
| Requerimientos metrológicos | Referencia en la NOM |
| La incertidumbre máxima y los métodos de medición de energías E, EH2 y F | Tabla 16 |
| La ubicación física de los sistemas de medición de E, EH2 y F | Capítulo 6 |
| La calibración de los instrumentos de medición de E, EH2 y F |
| Registro de Información | Título Octavo |
La Tabla 18 presenta los requerimientos metrológicos de los métodos de medición que se deben emplear en la medición de las variables de energía E, EH2 y F.
Tabla 18 - Requerimientos metrológicos: métodos de medición de energías E, EH2 y F
| Magnitudes de medida de energías y de emisión de CO2 | Incertidumbre máxima de medición (k=2) | Métodos de medición en la NOM |
| E | Energía eléctrica neta [MWh] | 2 % | Capítulo 6 |
| F | Energía del combustible fósil [MJ] | 3 % | Apéndice A |
| EH2 | Energía aprovechable del hidrógeno [MJ] | 3 % | Capítulo 16 |
TÍTULO SÉPTIMO
CASO V METODOLOGÍA DE CÁLCULO DE DENSIDAD DE POTENCIA DE CENTRALES
HIDROELÉCTRICAS
17. Métodos de medición
17.1 Capacidad de generación de energía eléctrica de la Central Hidroeléctrica.
La capacidad de generación de energía eléctrica (P) de la central se debe obtener como la suma de la potencia nominal de todos los generadores eléctricos de la central hidroeléctrica cuya potencia mecánica (sobre el rotor), se obtenga del flujo del agua proveniente del volumen útil de la presa.
De acuerdo con la Figura 14 y la Tabla 19, el volumen útil de la presa corresponde a la capacidad de almacenamiento de agua que está comprendida entre el Nivel de Aguas Máximo Operativo (NAMO) y el Nivel de Aguas Mínimo Operativo (NAMINO).
La capacidad de generación de energía eléctrica de la central P no incluye la potencia eléctrica de la central hidroeléctrica que sea proporcionada por algún generador eléctrico cuya potencia mecánica no se obtenga del flujo del agua proveniente del volumen útil de la presa.
17.2 Superficie del embalse.
En la determinación de la energía libre de combustible de una hidroeléctrica, es necesario determinar la superficie del embalse al nivel NAMO, el cual determina la capacidad útil de almacenamiento de la presa. Un embalse está constituido por cuatro niveles principales, como se muestra en la Tabla 19, así como en la Figura 14.
Tabla 19 Niveles principales del embalse en una central hidroeléctrica
| NAME | Nivel de Aguas Máximas Extraordinarias: nivel máximo que puede resistir la cortina de la presa. Define el nivel de regulación de la capacidad útil de la presa. |
| NAMO | Nivel de Aguas Máximas Ordinarias: nivel máximo de operación de la presa. Define la capacidad útil de la presa. |
| NAMINO | Nivel de Aguas Mínimo de Operación: nivel mínimo para el funcionamiento de la obra de toma |
| NAMIN | Nivel de Aguas Mínimo: recepción de azolves durante la vida útil de la presa |
Figura 14 - Niveles de agua en una presa.
Adicionalmente se debe considerar lo siguiente:
a) El Bordo Libre, que es la elevación extraordinaria del nivel del agua, que incluye el oleaje y avenidas extraordinarias del agua en la presa; y
b) La Corona, que es la altura máxima de la cortina e igual a la elevación del NAME más el bordo libre.
La superficie del embalse (Supe) corresponde al área del vaso contenedor de agua al nivel del NAMO. De acuerdo con la Ley de Aguas Nacionales, la central hidroeléctrica debe presentar información hidrológica de la capacidad útil (NAMO) de la presa a la Comisión Nacional de Aguas para obtener su autorización para operar como central hidroeléctrica. En la información presentada a la Comisión Nacional de Aguas, la central hidroeléctrica debe presentar el valor de NAMO y la superficie del embalse a nivel de NAMO.
TÍTULO OCTAVO
REGISTRO DE INFORMACIÓN
18. Del registro y almacenamiento de la información.
Las Centrales Eléctricas deben establecer y mantener un SCI que permita recibir las lecturas de los dispositivos de medición que están directamente asociados con su proceso de generación de energía eléctrica (E), suministro de combustible (F), y aprovechamiento de energía térmica (H) para poder obtener y registrar de manera clara y concisa los valores de las variables requeridas para el cálculo del porcentaje de energía libre de combustible en cada proceso.
Para la implementación del SCI se debe elaborar un diagrama esquemático en el cual se identifiquen los dispositivos de medición que participan en el proceso de generación, y que son requeridos para el cálculo de la ELC.
El SCI debe, entre otras:
a) Resguardar la información, garantizando que no se corrompan los datos bajo condiciones normales de operación y condiciones de falla.
b) Disponer de la capacidad de almacenamiento para alojar las variables y los algoritmos de medición requeridos, de acuerdo con el proceso de generación de energía eléctrica.
c) Cumplir con la frecuencia de reportes y con el tiempo de disponibilidad de la información de acuerdo con los valores de la Tabla 20.
d) Registrar la estampa de tiempo en el formato básico fecha [YYYYMMDD] y hora [hhmmss] de acuerdo con el huso horario (con referencia al tiempo universal coordinado UTC, por sus siglas en inglés) en que se ubica la central eléctrica(1).
Cuando el valor de las variables de cada proceso deriva de un cálculo, todos los datos que son necesarios para el cálculo deben ser almacenados automáticamente junto con el valor final. Los datos de medición deben ser almacenados automáticamente cuando la medición está concluida, esto es, cuando el valor final ha sido generado.
19. De la disponibilidad de la información
La Central Eléctrica debe cumplir con la frecuencia de registros que se detalla en la Tabla 20, así como mantener disponible la información registrada durante los dos años posteriores a la fecha en que ésta fue registrada.
Tabla 20 - Requerimientos de registro y disponibilidad de la información
| Información de registro | Frecuencia de registros de medición (el registro de los valores se debe acompañar con la estampa de tiempo) | Disponibilidad de la información en la Central Eléctrica |
| Valor de las variables requeridas para el cálculo del porcentaje de energía libre de combustible: energía eléctrica, energía de los combustibles, energía térmica, emisiones, etc. | 15 minutos | 2 años |
| Resultados de la medición en dispositivos de nivel primario y secundario: flujo, poder calorífico, peso, temperatura, presión, volumen, etc. | 15 minutos | 2 años |
La Estampa de Tiempo referida en 18, inciso d), correspondiente a los valores de las variables, debe ser trazable al patrón nacional de Escalas de Tiempo (Hora Oficial) establecido en el Centro Nacional de Metrología, de acuerdo con el huso horario oficial en el que se ubica la Central Eléctrica.
19.1 Configuración del SCI
La configuración operativa del SCI debe incluir, al menos, los siguientes elementos:
a) La Unidad Central de Procesamiento (CPU).
Debido a que en ella se procesa la información recibida de los instrumentos de medición, la CPU debe contar con elementos de seguridad y protección necesarios para garantizar la integridad y la autenticidad de:
1) Los datos obtenidos de los instrumentos de medición.
2) El algoritmo de medición.
b) El Software, el cual comprende lo siguiente:
1) El Sistema Operativo.
2) El Software en el que se incluyan los algoritmos.
3) Seguridad.
4) Los datos almacenados.
c) La Referencia de Tiempo.
d) Puertos que permitan la comunicación del SCI con:
1) Los instrumentos de medición.
2) La referencia de tiempo
3) Una pantalla para visualizar los datos relevantes del proceso de generación.
19.2 Especificaciones del Software del SCI
19.2.1 Protección contra fraude del Software
El Software del SCI debe ser implementado de manera que las posibilidades de uso intencional, no intencional o accidental sean mínimas, asimismo, debe estar asegurado contra modificaciones, carga o cambios no autorizados.
Para ello, se requiere contar con medios de aseguramiento que tengan la opción de cargar parámetros de software. La protección comprende sellos apropiados por medios mecánicos, electrónicos y/o criptográficos, minimizando la posibilidad de intervenciones no autorizadas.
Únicamente se permite que las funciones claramente identificadas, sean activadas por la interfaz del usuario. La activación debe ser efectuada en forma que no facilite un uso fraudulento.
Ejemplos:
a) El software del SCI es diseñado e implementado de forma tal que sea imposible modificar los parámetros y la configuración sino a través de un menú protegido por switch. Este switch es sellado mecánicamente cuando no está activo, haciendo imposible la modificación de los parámetros y de las configuraciones. Para modificarlos, el sello del switch tendría que ser violentado.
b) El software del SCI es diseñado e implementado de forma tal que no hay acceso a los parámetros y a las configuraciones sino por personas autorizadas. Si una persona quiere entrar a algún parámetro del menú tendría que insertar alguna tarjeta de identificación con una clave de acceso (PIN o Password). El software del SCI debe ser capaz de verificar la autenticidad de la clave y permitir el cambio a algún parámetro del menú. Dicho acceso deber ser registrado para verificaciones posteriores, incluyendo la identificación de la persona o de su clave.
19.2.2 Protección de parámetros
Los parámetros que fijan las características del SCI deben estar asegurados contra modificaciones no autorizadas. Para propósitos de verificación, la configuración de parámetros actuales debe ser capaz de desplegarse.
Los parámetros que son específicos de un dispositivo, pueden ser ajustados o seleccionados sólo en un modo operacional especial del SCI. Estos parámetros se clasifican como aquellos que deben ser asegurados (parámetros inalterables) y aquellos que pueden ser accesibles (parámetros estables) dentro de la central eléctrica.
19.2.3 Separación de dispositivos electrónicos y sub-ensambles
Las partes metrológicamente críticas del SCI, tales como los dispositivos de medición de nivel primario y secundario, tanto software como hardware, no deben ser influenciados por otras partes del SCI ni por otros dispositivos. Asimismo, los dispositivos electrónicos o sub-ensambles de los medidores deben estar claramente definidos, identificados y documentados.
19.2.4 Separación de las partes del software
Si alguna parte del software se comunica con otras partes del mismo, entonces se debe definir una interfaz mediante la cual se realicen todas las comunicaciones entre dichas partes. El software, la interfaz y el dominio de datos que la conforman, deben estar claramente definidos y documentados. En este sentido, todas las funciones y dominios de datos del software deben estar descritos para permitir que en una verificación se determine que se realice una separación correcta del software.
Asimismo, debe existir una asignación unívoca de cada comando a todas las funciones iniciadas o cambios de datos, por lo que los comandos que operan a través de la interfaz del software también deben ser declarados y documentados. Solamente los comandos documentados pueden ser activados a través de la interfaz del software. La central eléctrica debe declarar sobre la cabalidad de la documentación de los comandos.
19.2.5 Almacenamiento de datos y trasmisión mediante sistemas de comunicación
Si los valores de medición se utilizan en otro lugar que no sea el lugar de la medición, o en un tiempo posterior que no sea el de medición, y si se requiere su transmisión a otros instrumentos o dispositivos con un ambiente no seguro antes de usarse con propósitos legales, se aplican los siguientes requerimientos:
a) El valor de medición almacenado o transmitido debe ser acompañado de toda la información relevante necesaria, como su estampa de tiempo y los algoritmos utilizados, en su caso.
b) Los datos deben ser protegidos por medio de software para garantizar la autenticidad e integridad de la información relativa al tiempo de la medición. El software que despliega o realiza un post-procesamiento de los valores de medición y datos acompañantes, debe confirmar al momento de la medición, la autenticidad e integridad de los datos después de haberlos leído desde un almacenamiento inseguro o después de haberlos recibido de un canal de transmisión no seguro.
c) Las claves de seguridad que se emplean para protección de datos deben ser secretas y asegurarse en el SCI. Se deben proveer mecanismos para hacer que las claves sólo sean de entrada o lectura si se violenta algún switch.
19.2.6 Almacenamiento automático
Los datos de medición deben ser almacenados automáticamente cuando la medición está concluida, esto es, cuando el valor final ha sido generado. Cuando el valor final procede de un cálculo, todos los datos que son necesarios para el cálculo deben ser almacenados automáticamente junto con el valor final.
El dispositivo de almacenamiento debe asegurar la permanencia de la información, garantizando que no se corrompan los datos bajo condiciones normales de operación. Debe disponer de suficiente memoria de almacenamiento para cualquier aplicación.
Después de concluido el plazo requerido para disponibilidad de la información, se permite eliminar datos de la memoria siempre y cuando se cumplan las siguientes condiciones:
a) Los datos se eliminan en el mismo orden en que fueron registrados, es decir, "primero en entrar, primero en salir".
b) La eliminación se realiza ya sea automáticamente o después de una operación manual específica que pueda requerir algún derecho de acceso específico.
19.2.7 Transmisión de datos
La estampa de tiempo debe ser provista con el reloj del SCI, aplicando en todo momento los medios apropiados de protección tal como se establece en 19.2.2 Protección de Parámetros.
19.2.8 Mantenimiento y re-configuración
Cuando el software del SCI sea actualizado, dicha actualización será considerada como una modificación o una reparación de algún dispositivo relevante en el SCI, cuando se cumplan los siguientes supuestos:
a) Modificación: cuando se intercambia el software con alguna versión distinta a la instalada originalmente, y
b) Reparación: cuando se re-instala la misma versión.
Cuando algún elemento relevante del SCI ha sido modificado o reparado mientras está en servicio, se requiere una verificación inicial o subsecuente.
El software que no es necesario para el funcionamiento correcto del SCI no requiere verificación después de ser actualizado.
19.2.9 Actualización verificada
El software a ser actualizado puede ser cargado localmente, directamente en el dispositivo de medición o remotamente mediante una red informática. La carga e instalación pueden ser dos pasos diferentes o combinados en uno solo, dependiendo de las necesidades técnicas. Sin embargo, para confirmar la efectividad de la misma, es necesario que personal de la central eléctrica se encuentre presente al momento de realizarla. Después de la actualización del software del SCI o de alguno de sus elementos (se intercambie por otra versión o se re-instale), el SCI no debe ser utilizado antes de una verificación del mismo y de los instrumentos de medición involucrados, por parte de una UVAA.
19.2.10 Visualización del SCI
El SCI debe tener uno o más dispositivos indicadores (pantalla) que sean capaces de presentar o desplegar el valor numérico de cada dispositivo de medición. El dispositivo de indicación debe ser fácil de leer y los caracteres de los resultados de medición deben ser 4 mm de tamaño como mínimo. Cualquier fracción decimal debe ser claramente indicada.
El dispositivo de indicación no debe ser afectado significativamente por exposición a condiciones normales de operación durante el tiempo de vida útil del SCI o de sus instrumentos de medición.
El dispositivo de indicación debe ser capaz de desplegar todos los datos relevantes para propósitos del cálculo de las variables requeridas en la determinación del porcentaje de energía libre de combustible.
Los registros electrónicos deben ser del tipo no volátil para que retengan valores almacenados durante pérdida de potencia eléctrica. Los valores almacenados no deben ser sobre escritos y deben ser capaces de ser retirados/leídos cuando se restaura la potencia eléctrica.
19.3 El algoritmo de medición
El algoritmo de medición debe determinar el valor de las variables requeridas para el cálculo del porcentaje de ELC en los procesos de generación de energía eléctrica descritos en el presente PROY-NOM.
Como parte del software, el algoritmo de medición se diseña para recibir los datos obtenidos de los instrumentos de medición involucrados directamente con la medición de las variables de energía y magnitudes de medición relacionadas dentro del proceso de generación, y para procesarlos para obtener los valores de las magnitudes de medición de importancia, como son las variables de energía E, F, H, etc.
En la sección de salida del algoritmo de medición, el software presenta los resultados de medición que procesó el algoritmo para:
a) Su envío a la Comisión.
b) Su visualización o procesamiento posterior para los sistemas de control operativo de la central eléctrica.
c) Su documentación en la Bitácora.
19.4 Registros escritos o bitácora.
La Central Eléctrica debe mantener un registro o bitácora de todos los eventos que ocurran en la medición, específicamente, de manera enunciativa y no limitativa, de lo siguiente:
a) Monitoreo de la presencia activa de los dispositivos de medición.
b) Ajustes de fecha y hora del SCI.
c) Ajustes o modificación de parámetros.
d) Actualizaciones del software del SCI.
e) Registro de movimientos de entrada o salida de operación de los dispositivos de medición (conexión o desconexión con el SCI), indicando si la salida es por mantenimiento, calibración, falla operativa, u otros.
f) Afectación a las constantes de medición en los algoritmos de medición por calibración de los dispositivos de medición.
Respecto de las mediciones de emisiones de CO2, en el proceso que corresponda, la bitácora de eventos debe registrar lo siguiente:
a) Operaciones de arranque de los equipos de combustión.
b) Operaciones de soplado que requieren ciertos equipos, de acuerdo con las especificaciones del fabricante.
c) Desajuste o malfuncionamiento de los quemadores.
d) Paro, malfuncionamiento o mantenimiento de equipo de control de emisiones, en su caso.
e) Auditorías ambientales, programadas internamente por el Sistema de Gestión de Mediciones de la central eléctrica, o por cumplimiento normativo con PROFEPA u otra autoridad.
La bitácora debe estar disponible para su revisión por las autoridades correspondientes, en el ámbito de su competencia, o por las Unidades de Verificación autorizadas por la Comisión.
Asimismo, se debe contar con un registro en donde se anotará, cuando se realice un cambio en las condiciones de operación, con respecto al proceso de generación de energía eléctrica de que se trate: fecha, turno, consumo y tipo de combustible, porcentaje de la capacidad de diseño al que operó el equipo, temperatura promedio de los gases de chimenea y cualquier otro dato que el operador considere necesario en un apartado de observaciones.
19.5 Comunicación del SCI con los dispositivos de medición dentro del proceso de generación
a) Se debe identificar a los instrumentos de medición y detectar que permanecen conectados con el SCI al menos cada minuto.
b) Se debe garantizar la conexión funcional y simultánea con todos los instrumentos de medición necesarios en cada caso de generación de energía eléctrica.
c) Ante la pérdida de comunicación entre el SCI y cualquier instrumento o dispositivo de medición en el proceso, el SCI debe emitir una alarma en pantalla y registrarlo en la bitácora de eventos del SCI.
d) Si la central eléctrica debe cambiar o sustituir cualquier instrumento o dispositivo de medición que haya sido declarado que forma parte del proceso de generación, el SCI debe emitir una alarma en la pantalla y registrarlo en la bitácora de eventos.
e) El SCI debe cumplir con lo dispuesto en la Tabla 20
f) El envío de datos debe estar acompañado de la estampa de tiempo en que fueron adquiridos, calculados y transmitidos.
g) Debe permitir a la autoridad competente la obtención de los datos almacenados y la bitácora de eventos, cuando así lo requiera.
19.6 Seguridad del SCI
Se debe validar de forma automática la integridad de:
a) El algoritmo de cálculo o medición.
b) La parte vacía o en blanco del área de la memoria programable.
c) El manejador de actualizaciones de software del SCI.
El software debe incluir niveles de acceso para su configuración o revisión de parámetros, con registro y autenticación de usuarios.
19.7 Sistema Operativo del SCI
El Sistema Operativo (OS) es la parte que administra los recursos de hardware y software del SCI, debe contar con elementos de seguridad y protección necesarios para garantizar la integridad y la autenticidad de:
a) Los datos obtenidos de los instrumentos de medición.
b) El algoritmo de medición.
c) El envío de datos hacia la CRE para su posterior uso y análisis.
d) La Referencia de Tiempo.
e) Las Funciones Auxiliares.
19.7.1 Especificaciones del OS del SCI
El OS del SCI debe contar como mínimo con las siguientes especificaciones:
a) El algoritmo de medición debe iniciar automáticamente.
b) El usuario no debe tener acceso al OS.
c) El OS no debe permitir cargar, modificar o ejecutar programas distintos de los necesarios para el cálculo, almacenamiento y transmisión de la información.
El OS puede contener características adicionales que ayuden al cumplimiento de las especificaciones referidas, sin embargo, éstas deben estar claramente definidas y documentadas.
19.8 Referencia de tiempo del SCI
El SCI debe disponer de una funcionalidad de referencia de tiempo, mediante la cual se registre el tiempo (fecha, hora, cambio de horario estacional) en que ocurren los distintos eventos de medición del proceso de generación de la central eléctrica, o se registren eventos en la bitácora del SCI.
Los requisitos de la referencia de tiempo del SCI son:
a) El SCI debe contar con un reloj de red sincronizado mediante un Sistema Global de Navegación por Satélite (GNSS) que marque una estampa de tiempo a las mediciones que recibe de los dispositivos de medición del proceso de generación.
b) Independientemente del método de sincronía, la referencia de tiempo del SCI debe poseer la capacidad de sincronizarse a un Patrón de Referencia de Tiempo Internacional, por ejemplo, una sincronización por NTP con el servidor de CENAM: cronos.cenam.mx
El SCI puede contener características adicionales para la referencia de tiempo que ayuden al cumplimiento de las especificaciones requeridas, sin embargo, éstas deben estar claramente definidas y documentadas en la bitácora.
19.9 Comunicación del SCI
El SCI debe de tener la capacidad de recibir y enviar información a través de sus puertos de comunicación, particularmente con los siguientes elementos:
a) Instrumentos o dispositivos de medición en el proceso de generación.
b) Conexión con HMI (pantalla).
La comunicación del SCI es crucial y debe contar con elementos de seguridad en todas sus interfaces de manera que se garantice la integridad y autenticidad de los datos, tanto de los que se reciben como de los que se envían.
Independientemente del protocolo de comunicación utilizado entre los instrumentos de medición y el SCI, el protocolo debe tener la capacidad de detectar la desconexión del instrumento de medición.
19.10 Características modulares de operación de un SCI
El SCI es un sistema informático que debe concentrar en tiempo real la información proveniente de los instrumentos que miden las variables implicadas en cada uno de los procesos de generación de energía. La Tabla 20 muestra la información que debe procesar un SCI en un proceso de generación.
La figura 15 muestra de manera esquemática un SCI dentro de un proceso de generación
Figura 15 Representación gráfica de un SCI
19.11 Elementos auditables
a) La forma en que se mantiene actualizada la bitácora de eventos y la toma de acciones preventivas y correctivas respecto de los eventos registrados en la Bitácora.
b) La información de la calibración de los dispositivos de medición de acuerdo con el proceso de generación de energía eléctrica.
c) Los registros de todas las variables de medición correspondientes al proceso de generación de energía eléctrica de que se trate, así como el tipo de combustible o combustibles utilizados.
20. De la información presentada a la Comisión.
La Central Eléctrica Limpia debe entregar a la Comisión, de manera mensual, una base de datos, en formato .csv, la cual debe contener el registro de la información a que se refiere la Tabla 20 del presente PROY-NOM, a saber, el valor de las variables requeridas para el cálculo del porcentaje de energía libre de combustible: energía eléctrica, energía de los combustibles, energía térmica, emisiones, entre otras, así como los resultados de la medición en dispositivos de nivel primario y secundario: flujo, poder calorífico, peso, temperatura, presión, volumen, entre otras.
La base de datos mencionada debe ser presentada a la Comisión, a través del Sistema CEL, en términos de lo establecido en las Disposiciones administrativas de carácter general para el funcionamiento del Sistema de Gestión de Certificados y Cumplimiento de Obligaciones de Energías Limpias y demás disposiciones que de ellas emanen, o aquellas que las sustituyan.
TÍTULO NOVENO
PROCEDIMIENTO PARA LA EVALUACIÓN DE LA CONFORMIDAD
21. Introducción
El presente PEC establece las directrices que deben observar los interesados que pretendan demostrar el cumplimiento con este PROY-NOM, de los métodos de medición requeridos en una Central Eléctrica que requiera calcular su porcentaje de ELC a fin de ser considerada como energía limpia.
22. Objetivo y campo de aplicación
Este PEC, tiene por objeto definir las directrices que deben observar las Centrales Eléctricas con fuentes de energía y procesos de generación de energía eléctrica que pueden ser considerados como energía limpia, para demostrar con fines oficiales, el cumplimiento con el presente PROY-NOM. Asimismo, establece las directrices que deben observar las Unidades de Verificación que intervienen en la evaluación de la conformidad.
23. Disposiciones generales
23.1 De la verificación inicial
Como parte de la verificación inicial, las Centrales Eléctricas con fuentes de energía y procesos de generación de energía eléctrica que deseen ser evaluados por el presente PROY-NOM deben declarar el caso o proceso bajo el cual opera la Central Eléctrica, de conformidad con la Tabla 21 y presentar los requisitos documentales a través del Reporte técnico de la Central de generación eléctrica.
Tabla 21 - Clasificación de los procesos de generación de energía eléctrica.
| Caso | Proceso de generación | Capítulo de la norma |
| I | Centrales Eléctricas de cogeneración eficiente. | Título Tercero |
| II | Centrales Eléctricas Limpias que utilizan combustibles fósiles. | Título Cuarto |
| III | Tecnologías de bajas emisiones y Centrales Eléctricas con procesos de captura y almacenamiento geológico o biosecuestro de carbono. | Título Quinto |
| IV | Aprovechamiento del hidrógeno. | Título Sexto |
| V | Centrales hidroeléctricas. | Título Séptimo |
23.1.1 Reporte técnico de la Central de generación eléctrica
Los requisitos documentales que deben incluirse en el Reporte técnico de la central de generación eléctrica, son los siguientes:
a) Datos e información de contacto del representante legal y la(s) persona(s) técnicas(s) responsable(s) de la Central Eléctrica.
b) Descripción de la Central Eléctrica: nombre, ubicación, capacidad, tecnología de generación y fuentes alternas de generación, en su caso, utilizadas de manera complementaria al proceso de que se trate. Cuando se trate de Centrales Eléctricas de cogeneración, además de lo descrito, se debe incluir:
1) Clasificación del proceso de cogeneración de acuerdo con lo establecido en 7.1.
2) Delimitación del proceso de cogeneración de acuerdo con lo establecido en 7.2.
3) Diagrama(s) de todo el proceso de cogeneración que incluya los puntos de medición para las variables energéticas E, F y H, así como el balance térmico.
c) Tipo de combustible(s) empleado(s).
d) Aquella información técnica que respalde el cabal cumplimiento de los requerimientos metrológicos, según sea el caso, establecidos en los Títulos Segundo a Séptimo, tomando en consideración lo indicado en los apéndices aplicables.
e) Diagramas de todo el proceso de la central de generación de energía eléctrica limpia, en los cuales se incluyan los puntos de medición de todas las variables relevantes del proceso.
f) La información técnica que respalde el cabal cumplimiento de los requerimientos de registro de información establecidos en el Título Octavo del presente PROY-NOM.
g) Los certificados de calibración vigentes de los equipos de medición instalados en la central, emitidos por un laboratorio debidamente acreditado para tal efecto.
h) Las hojas de especificaciones técnicas que comprueben, en su caso, la exactitud de los equipos de medición instalados en la central.
i) Las Centrales Eléctricas con capacidad instalada menor o igual a 10 MW que opten por alguna de las opciones señaladas en el Capítulo 5 del presente PROY-NOM, deben indicar cuál de ellas eligieron, en el entendido de que dicha elección se mantendrá a lo largo del periodo hasta la próxima verificación.
j) Para los casos en que aplique, el Reporte técnico de la central de generación eléctrica debe presentar el cumplimiento de las Normas Oficiales Mexicanas o disposiciones aplicables en materia de emisiones.
La UVAA, debe analizar toda la información documental mencionada como parte de los requisitos documentales y debe indicar si la información está completa y es útil. Una vez que toda la información esté completa se programará junto con el representante legal y la(s) persona(s) técnica(s) responsable(s) de la Central Eléctrica una fecha para llevar a cabo una verificación inicial en el lugar donde esté localizada la central.
La UVAA llevará a cabo la verificación inicial en compañía de la(s) persona(s) técnica(s) responsable(s) de la Central Eléctrica. El propósito de la verificación inicial es confirmar que la central cumple con todos los requerimientos que exige el presente PROY-NOM. Para tal propósito, la UVAA se debe apoyar de la documentación, previamente analizada, según se estableció en 23.1 de este PEC y ejecutar los pasos siguientes:
23.1.2 Ejecución de la verificación inicial
La UVAA debe revisar que las instalaciones cuenten con la instrumentación correcta, conforme a lo establecido en el presente PROY-NOM, para realizar de manera enunciativa más no limitativa las mediciones de flujo, temperatura, presión, entre otras, además de que éstas cumplan con las tolerancias y calibración adecuada y vigente. Para ello, debe llevar a cabo lo siguiente:
a) Solicitar y anexar a su Dictamen de verificación, copia simple de los certificados de calibración vigentes y de las hojas de especificaciones técnicas, cuando aplique, de los equipos de medición instalados en la Central Eléctrica, en términos de lo establecido en el presente PROY-NOM.
b) Elaborar un diagrama esquemático en el que se identifiquen los dispositivos de medición en el proceso de generación y verificar que la ubicación de dichos equipos sea en los lugares que se indican dentro del diagrama del proceso que ha sido incluido en el Reporte técnico de la central de generación eléctrica.
Las centrales con capacidad instalada menor a 10 MW no están obligadas a la instalación
permanente de equipo de medición del poder calorífico y, en su caso, pueden determinar dicho valor conforme a las opciones señaladas en el Capítulo 5 del presente PROY-NOM, mismas que se enuncian a continuación:
1) Contar con un certificado, emitido por un laboratorio acreditado y cuya fecha de emisión no exceda un año, en el cual se indique el valor de la variable que no cuente con medición permanente.
2) Utilizar valores de referencia señalados en la normatividad aplicable, así como en las tablas o listas de combustibles de conformidad con lo establecido en cada uno de los capítulos del presente PROY-NOM, en los que se hace referencia a la obtención de la energía del combustible (F).
Para el cumplimiento del inciso B), la UVAA debe validar que el valor del poder calorífico determinado por la Central Eléctrica, corresponde a las tablas a las que se hace referencia en el presente PROY-NOM.
c) Constatar que todos los certificados de calibración, presentados por la Central Eléctrica hayan sido emitidos por un laboratorio acreditado para tal efecto y que correspondan con las características de los equipos de medición a que se refieren, lo anterior, en términos del artículo 23 del Reglamento de la LFMN.
d) Comprobar que el SCI cuente con capacidad suficiente de almacenamiento para el resguardo de información, cumplir con la frecuencia de reporte y tiempo de disponibilidad de información, formato de estampa de tiempo, entre otros, esto de forma enunciativa mas no limitativa. En este sentido debe cumplir con lo establecido en la tabla 20 sobre requerimientos de registro y disponibilidad de la información del Título Octavo del Registro de Información.
e) Corroborar que el SCI cuente con la configuración de conformidad con lo indicado en 19.1.
f) Verificar que el SCI satisfaga las Especificaciones del software, tal cual se indica en 19.2, de forma enunciativa mas no limitativa, en lo que se describe a continuación:
1) Protección contra fraude.
2) Protección de parámetros.
3) Separación de dispositivos electrónicos y sub-ensamble.
Durante la verificación, se debe demostrar que las funciones relevantes y los datos de los sub-ensambles y dispositivos electrónicos no pueden ser influenciados inadmisiblemente por comandos recibidos a través de la interface. Esto implica que hay una asignación específica de cada comando a todas las funciones iniciadas o a los cambios de datos en el sub-ensamble o dispositivo electrónico.
4) Separación de las partes del software.
5) Almacenamiento de datos y transmisión mediante sistemas de comunicación
6) Almacenamiento automático.
7) Transmisión de datos.
8) Mantenimiento y re-configuración.
9) Actualización verificada. Al ser actualizado, el SCI no debe ser utilizado antes de una verificación del mismo y de los instrumentos de medición involucrados, por parte de una UVAA.
10) Visualización del SCI.
23.1.3 Dictamen de verificación
Durante la verificación inicial, la UVAA debe documentar los hallazgos realizados, con el propósito de definir que la Central Eléctrica cumple con los requerimientos establecidos en el presente PROY-NOM. Al final de la verificación inicial la documentación de los hallazgos debe ser firmada tanto por la UVAA como por la(s) persona(s) técnica(s) responsable(s) de la Central Eléctrica.
La UVAA debe elaborar un Dictamen de verificación periódico, tomando en consideración toda la información disponible, tanto de la documentación inicial presentada, como de la verificación inicial, donde se definirá si los esquemas de medición de la Central Eléctrica cumplen con los requerimientos establecidos en el presente PROY-NOM. El resultado final debe estar basado en información objetiva, sin ambigüedades y fundamentada técnicamente.
El Dictamen de verificación inicial que elabore la UVAA, debe incluir, entre otra, la información siguiente:
a) Breve descripción y características generales y técnicas de la central;
b) Información técnica que respalde el cumplimiento de los requerimientos metrológicos establecidos en el presente PROY-NOM;
c) En su caso, el informe de los valores medidos y determinados por la UVAA en Centrales Eléctricas con capacidad menor a 10 MW, cuando éstas no cuenten con los equipos de medición permanentes para obtener los valores de las variables del proceso de generación de energía eléctrica;
d) Informe de la constatación documental de la calibración de equipos anexando copia de cada uno de los certificados de calibración vigentes emitidos por una entidad acreditada, así como de las hojas de especificaciones técnicas, cuando sea el caso;
e) Los diagramas de proceso en los que se incluya la delimitación del mismo, incluyendo el diagrama esquemático donde se identifiquen los dispositivos de medición utilizados, así como su ubicación dentro del proceso de generación.
23.2 De la verificación periódica
La verificación periódica debe realizarse cada año, contado a partir de la fecha en que fue realizada la verificación anterior, ya sea inicial o periódica, la cual debe considerar lo siguiente:
a) Con al menos 30 días naturales de anticipación a la conclusión de la última verificación realizada. El representante legal de la Central Eléctrica, debe solicitar a una UVAA aprobada por la Comisión, para que lleve a cabo una verificación periódica en compañía de la(s) persona(s) técnica(s) responsable(s) de la Central Eléctrica con el propósito de verificar que la Central Eléctrica continúa cumpliendo con todos los requerimientos que exige el presente PROY-NOM.
b) Previo a la visita, la UVAA, debe analizar la información que la Central de Generación le proporcione previamente, misma que debe contener, entre otros, el Dictamen de verificación inicial o periódico correspondiente a la verificación anterior.
c) Cuando la Central Eléctrica que solicite la verificación periódica, tenga una capacidad de generación menor o igual a 10 MW y cuyo valor del poder calorífico haya sido determinado conforme al inciso A) referido en 23.1.2, inciso b, es necesario que la Central Eléctrica presente un nuevo Certificado que corresponda a la obtención de dicho valor, el cual no debe exceder de un año contado a partir de la fecha en que fue emitido.
Durante la verificación periódica, la UVAA debe asegurase que los equipos de medición de la Central Eléctrica continúan operando conforme a los requerimientos de incertidumbre (a través de los certificados de calibración correspondientes) y ubicación contenidos en el presente PROY-NOM. Asimismo, la UVAA debe verificar que en la Bitácora estén registradas las calibraciones, reparaciones y salidas de operación de los equipos de medición, con la finalidad de identificar registros que pudieran haber afectado su correcto funcionamiento.
Para efectos del párrafo anterior, para asegurar que los equipos de medición de la Central Eléctrica continúan operando conforme a los requerimientos de incertidumbre establecidos en el presente PROY-NOM, la UVAA debe realizar una verificación en sitio siguiendo lo establecido en 23.2 y contrastando con los resultados obtenidos de la verificación anterior.
Cuando se trate de Centrales Eléctricas con capacidad menor o igual a 10 MW, que mantengan su elección de determinar el valor del poder calorífico a partir de lo establecido en el inciso A) del Capítulo 5, la UVAA debe determinar el valor del poder calorífico del combustible empleado en la Central Eléctrica utilizando instrumentos metrológicos temporales. En caso contrario, si la Central Eléctrica mantiene su elección por determinar el valor del poder calorífico mediante tablas, la UVAA debe validar que el valor del poder calorífico determinado por la Central Eléctrica corresponde a las tablas a las que se hace referencia en el presente PROY-NOM.
Durante la verificación periódica la UVAA, debe documentar los hallazgos encontrados, con el propósito de confirmar que la Central Eléctrica continúa operando en las condiciones establecidas. Al final de la verificación periódica la documentación de los hallazgos debe ser firmada tanto como por la UVAA como por la(s) persona(s) técnica(s) responsable(s) de la central de generación.
La UVAA debe elaborar un Dictamen de verificación periódico que contenga toda la información establecida en 23.1 del presente Capítulo, así como la información recabada durante la verificación periódica, con la finalidad de definir si la Central Eléctrica continúa operando bajo los requerimientos de medición que se establecen en el presente PROY-NOM. El resultado final debe estar basado en información objetiva, sin ambigüedades y fundamentado técnicamente. Asimismo, este Dictamen de verificación periódico debe incluir, en su caso, la información sobre el cambio en la forma de obtener el valor del poder calorífico en centrales de capacidad menor o igual a 10 MW.
Esta verificación periódica debe realizarse cada año a partir de la fecha en que se llevó a cabo la verificación inicial descrita en 23.1.
23.3 De la verificación extraordinaria.
La Comisión podrá solicitar, en cualquier momento de manera fundada y motivada, la información histórica de los resultados de la medición de las variables de la Central Eléctrica, así como ordenar visitas de verificación extraordinarias con la finalidad de supervisar y vigilar el cumplimiento de los requerimientos establecidos en el presente PROY-NOM.
En cualquier momento, la Comisión podrá requerir a la Central Eléctrica llevar a cabo una verificación extraordinaria, a través de una UVAA, con el propósito de cerciorarse que los métodos y equipos de medición instalados en la Central Eléctrica no hayan sido alterados, de tal manera que la alejen del cumplimiento de los requerimientos establecidos por el presente PROY-NOM.
De la misma forma que en una verificación periódica, la UVAA debe asegurarse de que los equipos de medición de la Central Eléctrica continúan operando conforme a los requerimientos de incertidumbre y ubicación contenidos en el presente PROY-NOM, sin menoscabo que se requiera que la UVAA realice mediciones con equipo propio para la constatación de dichos requerimientos. Asimismo, la UVAA verificará que en la bitácora estén registradas las calibraciones, reparaciones y salidas de operación de los equipos de medición, con la finalidad de identificar registros que pudieran haber afectado su correcto funcionamiento.
En caso de que las Centrales Eléctricas requieran llevar a cabo proyectos de modernización o actualización tecnológica de los procesos de generación de energía eléctrica, que modifiquen de alguna manera los parámetros asociados a la cantidad de energía libre de combustible, será necesario llevar a cabo el proceso de verificación tal y como si se estuviera en etapas iniciales, por lo que el propietario o representante legal de la Central Eléctrica debe solicitar a una UVAA autorizada por la Comisión, que lleve a cabo las acciones necesarias que correspondan a una verificación inicial. Para ello la Central Eléctrica debe proporcionar el Reporte técnico de la Central de generación eléctrica mediante el cual se notifique el cambio realizado, mismo que debe ser analizado por la UVAA y apegarse al procedimiento establecido en 23.1 del presente PROY-NOM.
Para los casos en que el propietario o representante legal de la Central Eléctrica identifique posibles anomalías en el reconocimiento, por parte de la Comisión, de los valores de las variables requeridas en el cálculo del porcentaje de energía libre de combustible, podrá solicitar a una UVAA que lleve a cabo una verificación extraordinaria con la finalidad de asegurar el cumplimiento de los requerimientos establecidos en el presente PROY-NOM.
La UVAA debe elaborar un Dictamen de verificación de la verificación extraordinaria realizada, dirigido a la Comisión, mismo que debe contener los hallazgos de dicha verificación, basados en información objetiva, así como las conclusiones a las que se puedan llegar derivadas de los hallazgos encontrados.
En el caso de confirmarse alguna alteración, por parte de la Central Eléctrica, a las condiciones de operación de los sistemas o métodos de medición, será causal de la pérdida de vigencia de la certificación como Central Eléctrica Limpia.
23.4 De la aprobación de las Unidades de Verificación
Las personas físicas o morales interesadas en obtener la autorización como Unidades de Verificación para realizar el procedimiento de evaluación de la conformidad descrito anteriormente, deben presentar a la Comisión la información y documentación siguiente:
a) El formato de solicitud de aprobación, que expida la Comisión, debidamente requisitado;
b) El original o copia certificada del instrumento jurídico que acredite la legal existencia del solicitante y el desarrollo de actividades vinculadas con sistemas relacionados con el sector energético; en el caso de personas morales, lo anterior se debe establecer en el objeto social de dicha persona;
c) El original o copia certificada del instrumento jurídico donde se acrediten la personalidad y las facultades del representante legal del solicitante;
d) La relación de personal que especifique los nombres, perfil profesional, funciones y experiencia en sistemas de medición de variables involucradas en sistemas relacionados con el sector energético, acompañando los documentos que acrediten que dicho personal cumple con los requisitos siguientes:
1) La formación profesional apegada a cualquiera de las siguientes carreras: Ingeniería Química, Ingeniería Mecánica, Ingeniería Eléctrica, Ingeniería en Procesos Industriales o ramas afines, a través del título y la cédula profesional expedida por la autoridad competente.
2) La experiencia en la aplicación técnica de los requerimientos del presente PROY-NOM, avalados por una institución competente.
3) El dominio en conocimientos metrológicos y sistemas de medición utilizados en Centrales Eléctricas, principalmente en los procesos a los que se refiere el presente PROY-NOM, avalados por una institución competente.
4) El dominio en la estimación de incertidumbres en Centrales Eléctricas, principalmente en los procesos a los que se refiere el presente PROY-NOM, avalados por una institución competente.
La Comisión analizará y resolverá la solicitud de aprobación de las Unidades de Verificación, en el plazo de treinta días hábiles contados a partir del día siguiente a la integración del expediente correspondiente. La vigencia de la autorización correspondiente será de tres años.
Serán causales de cancelación de la aprobación las siguientes:
a) Incumplir con cualesquiera de las condiciones y obligaciones que la Comisión establezca en la aprobación otorgada;
b) No observar los procedimientos de medición de variables para la evaluación de los procesos de generación de energía eléctrica a los que se refiere el presente PROY-NOM;
c) Hacer constar información o datos erróneos o falsos en los dictámenes técnicos;
d) Ejecutar las actividades de verificación por personal distinto al relacionado en la solicitud de aprobación;
e) Haber entregado información errónea o falsa con la solicitud de aprobación, si ello se comprueba con posterioridad al otorgamiento;
f) No entregar a la Comisión, en forma oportuna y completa, la información que sea requerida respecto al desempeño de la actividad aprobada;
g) Impedir u obstaculizar las funciones de verificación y vigilancia de la Comisión tendientes a constatar la veracidad de la información proporcionada por la UVAA;
h) Negar de manera injustificada el servicio que soliciten las centrales de generación de energía eléctrica, y
i) Utilizar la aprobación de la Comisión en forma indebida, con fines distintos a aquéllos para la cual fue otorgada.
La Comisión publicará en el portal electrónico http://www.gob.mx/cre el listado de las Unidades de Verificación autorizadas conforme a lo establecido en el presente Capítulo y lo mantendrá permanentemente actualizado.
TÍTULO DÉCIMO
VIGILANCIA
La vigilancia de este PROY-NOM está a cargo de la Comisión, de conformidad con sus atribuciones.
La Comisión, en cualquier momento, podrá requerir a la Central Eléctrica los resultados de la medición de los dispositivos de nivel primario y nivel secundario que correspondan, así como ordenar visitas de verificación extraordinarias con la finalidad de supervisar y vigilar el cumplimiento de los requerimientos establecidos en el presente PROY-NOM.
TÍTULO UNDÉCIMO
CONCORDANCIA CON NORMAS INTERNACIONALES
Este PROY-NOM no es equivalente (NEQ) con ninguna norma internacional, al no existir esta última al momento de la elaboración del mismo.
TÍTULO DUODÉCIMO
BIBLIOGRAFÍA
Acuerdo por el que la Secretaría de Energía emite las Bases del Mercado Eléctrico, Diario Oficial de la Federación, septiembre 2015, Ciudad de México.
ANSI B109.3-2008 Rotary-Type Gas Displacement Meters
ASTM D1193-06:2011, Standard Specification for Reagent Water, ASTM International, West Conshohocken, PA, 2011, www.astm.org.
ASTM D1298-12b(2017), Standard Test Method for Density, Relative Density, or API Gravity of Crude Petroleum and Liquid Petroleum Products by Hydrometer Method, ASTM International, West Conshohocken, PA, 2017, www.astm.org.
ASTM D2234 / D2234M-17, Standard Practice for Collection of a Gross Sample of Coal, ASTM International, West Conshohocken, PA, 2017, www.astm.org.
ASTM D2622-16, Standard Test Method for Sulfur in Petroleum Products by Wavelength Dispersive X-ray Fluorescence Spectrometry, ASTM International, West Conshohocken, PA, 2016, www.astm.org.
ASTM D4052-16, Standard Test Method for Density, Relative Density, and API Gravity of Liquids by Digital Density Meter, ASTM International, West Conshohocken, PA, 2016, www.astm.org.
ASTM D4057-12, Standard Practice for Manual Sampling of Petroleum and Petroleum Products, ASTM International, West Conshohocken, PA, 2012, www.astm.org.
ASTM D4177-16e1, Standard Practice for Automatic Sampling of Petroleum and Petroleum Products, ASTM International, West Conshohocken, PA, 2016, www.astm.org.
ASTM D4294-16e1, Standard Test Method for Sulfur in Petroleum and Petroleum Products by Energy Dispersive X-ray Fluorescence Spectrometry, ASTM International, West Conshohocken, PA, 2016, www.astm.org.
ASTM D482-13, Standard Test Method for Ash from Petroleum Products, ASTM International, West Conshohocken, PA, 2013, www.astm.org.
ASTM D4868-17, Standard Test Method for Estimation of Net and Gross Heat of Combustion of Hydrocarbon Burner and Diesel Fuels, ASTM International, West Conshohocken, PA, 2017, www.astm.org.
ASTM D5453-16e1, Standard Test Method for Determination of Total Sulfur in Light Hydrocarbons, Spark Ignition Engine Fuel, Diesel Engine Fuel, and Engine Oil by Ultraviolet Fluorescence, ASTM International, West Conshohocken, PA, 2016, www.astm.org.
ASTM D5865-13, Standard Test Method for Gross Calorific Value of Coal and Coke, ASTM International, West Conshohocken, PA, 2013, www.astm.org.
ASTM D7039-15a, Standard Test Method for Sulfur in Gasoline, Diesel Fuel, Jet Fuel, Kerosene, Biodiesel, Biodiesel Blends, and Gasoline-Ethanol Blends by Monochromatic Wavelength Dispersive X-ray Fluorescence Spectrometry, ASTM International, West Conshohocken, PA, 2015, www.astm.org.
ASTM D1945, Natural Gas Analysis
ASTM D2013 / D2013M-12, Standard Practice for Preparing Coal Samples for Analysis, ASTM International, West Conshohocken, PA, 2012, www.astm.org.
ASTM D3173 / D3173M-17a, Standard Test Method for Moisture in the Analysis Sample of Coal and Coke, ASTM International, West Conshohocken, PA, 2017, www.astm.org.
ASTM D3174-12, Standard Test Methods for Ash in the Analysis Sample of Coal and Coke from Coal. ASTM International, West Conshohocken, PA, 2012, www.astm.org.
ASTM D3180-15, Standard Practice for Calculating Coal and Coke Analyses from As-Determined to Different Bases, ASTM International, West Conshohocken, PA, 2015, www.astm.org.
ASTM D3302/D3302M-17, Standard Test Method for Total Moisture in Coal, ASTM International, West Conshohocken, PA, 2017, www.astm.org.
ASTM D4239-17, Standard Test Method for Sulfur in the Analysis Sample of Coal and Coke Using High-Temperature Tube Furnace Combustion, ASTM International, West Conshohocken, PA, 2017, www.astm.org
ASTM D4809-18, Standard Test Method for Heat of Combustion of Liquid Hydrocarbon Fuels by Bomb Calorimeter (Precision Method), ASTM International, West Conshohocken, PA, 2018, www.astm.org.
ASTM D5373-16, Standard Test Method for determination of Carbon, Hydrogen and Nitrogen in Analysis Samples of Coal and Carbon in Analysis Samples of Coal and Coke, ASTM International, West Conshohocken, PA, 2016, www.astm.org.
ASTM D7171-16, Standard Test Method for Hydrogen Content of Middle Distillate Petroleum Products by Low-Resolution Pulsed Nuclear Magnetic Resonance Spectroscopy, ASTM International, West Conshohocken, PA, 2016, www.astm.org.
ASTM D7582-15, Standard Test Methods for Proximate Analysis of Coal and Coke by Macro Thermogravimetric Analysis, ASTM International, West Conshohocken, PA, 2015, www.astm.org.
ASTM D3176-15, Standard Practice for Ultimate Analysis of Coal and Coke, ASTM International, West Conshohocken, PA, 2015, www.astm.org.
ASTM D1018-11(2016), Standard Test Method for Hydrogen In Petroleum Fractions, ASTM International, West Conshohocken, PA, 2016, www.astm.org.
ASTM D7430-18, Standard Practice for Mechanical Sampling of Coal, West Conshohocken, PA, 2018, www.astm.org
Cálculo de calor útil. Dr Leonel Lira. CENAM. 2017
Combined Heat and Power. Evaluating the benefits of greater global investment. International Energy Agency. OECD/IEA 2008
Decreto por el que se expide la Ley de Transición Energética, diciembre 2015.
DIN 51900-1:2000. Determining the gross calorific value of solid and liquid fuels using the bomb calorimeter, and calculation of net calorific value.
DIN 51900-2:2003. Determining the gross calorific value of solid and liquid fuels using the isoperibol or static-jacket calorimeter and calculation of net calorific value.
IEA Energy Technology Essentials. Hydrogen production & Distribution. April 2017
ISO 1928:2009. Solid mineral fuels. Determination of gross calorific value by the bomb calorimetric method and calculation of net calorific value.
Ley de la Industria Eléctrica, agosto 2014.
Ley Federal sobre Metrología y Normalización, abril 2009.
Ley Nacional de Aguas y su Reglamento. CONAGUA. Edición 2017
Mario Molina, et al., "Cálculo de las emisiones de contaminación atmosférica por uso de combustibles fósiles en el Sector Eléctrico Mexicano", Comisión para la cooperación ambiental de América del Norte, 2004.
Medición batimétrica para determinar el volumen de material sedimentado acumulado durante el tiempo de servicio del embalse pueblo viejo, de la central hidroeléctrica Chixoy. Saulo Ariel Jom Morán. Universidad de San Carlos de Guatemala. Facultada de Ingeniería Civil. Guatemala, noviembre 2010.
NMX-AA-174-SCFI-2015. Especificaciones y requisitos para la certificación de sustentabilidad ambiental en la producción de bioenergéticos líquidos de origen vegetal.
NMX-CH-003-1993. Instrumentos de medición manómetros de presión, vacuómetros y manovacuómetros indicadores y registradores con elementos sensores elásticos (instrumentos ordinarios).
NOM-008-SCFI-2002, Sistema general de unidades de medida.
NOM-013-SCFI-2004, Instrumentos de medición- Manómetros con elemento elástico-Especificaciones y métodos de prueba
NOM-016-CRE-2016, Especificaciones de calidad de los petrolíferos.
NOM-086-SEMARNAT-SENER-SCFI-2005, Especificaciones de los combustibles fósiles para la protección ambiental.
OIML D10. Guidelines for the determination of calibration intervals of measuring instruments. 2010
OIML D11. General requirements for measuring instruments - Environmental conditions. 2013.
OIML D16. Principles of assurance of metrological control. 2011
OIML D20. Initial and subsequent verification of measuring instruments and processes. 1988
OIML D31 General requirements for software controlled measuring instruments, 2008
OIML R6 General provisions for gas volume meters
OIML R32 Rotary piston gas meters and turbine gas meters, 1989
OIML R 46-1 Active electrical energy meters. Part 1: metrological and technical requirements. 2012
OIML R 46-2. Active electrical energy meters. Part 2: metrological controls and performance tests. 2012
OIML R 50-1 Continuous totalizing automatic weighing instruments (belt weighers). Part 1: Metrological and technical requirements. Edición 2014.
OIML R 50-2 Continuous totalizing automatic weighing instruments (belt weighers). Part 2: Test procedures. Edición 2014.
OIML R 84. Platinum, copper, and nickel resistance thermometers (for industrial and commercial use). 2003.
OIML-R-101-1991 Indicating and recording pressure gauges, and pressure vacuum gauges with elastic sensing elements (ordinary instruments) de la Organización Internacional de Metrología Legal.
OIML R 111 International Recommendation. Weights of clases E1, E2, F1, F2, M1, M2, M3.
Programa de Obras e inversiones del Sector Eléctrico 2007-2016. Subdirección de Programación. Gerencia de Programación de Sistemas eléctricos. Comisión Federal de Electricidad.
Pumped storage and potential hydropower from conduits. US Department of Energy. Report to Congress, Washington, Estados Unidos. Feb. 2015.
Reglamento de la Ley Federal sobre Metrología y Normalización, noviembre 2012.
Renewable energy market analysis Latin America. IRENA 2016
Resolución Núm. RES/1838/2016. Resolución de la Comisión Reguladora de Energía por la que se expiden las Disposiciones Administrativas de Carácter General que contienen los criterios de eficiencia y establecen la metodología de cálculo para determinar el porcentaje de Energía Libre de Combustible en fuentes de energía y procesos de generación de energía eléctrica. DOF 22/12/2016.
Resolución por la que la Comisión Reguladora de Energía expide las Disposiciones Administrativas de carácter general que contienen los criterios de eficiencia, calidad, confiabilidad, continuidad, seguridad y sustentabilidad del Sistema Eléctrico Nacional: Código de Red, conforme dispone el artículo 12, fracción XXXVII de la Ley de la Industria Eléctrica. Abril 2016.
Schmidt PF. Fuels Oil Manual. Industrial Press. 2005. Google Books.
Selección y dimensionamiento de turbinas hidráulicas para centrales hidroeléctricas. Héctor García Gutiérrez, Arturo Nava Mastache. División de Ing. Civil y Geomática. Dep. Ingeniería Hidráulica, UNAM. Abril 2014.
Termodinámica. Y. Cengel, M. Boles, 7ª. Ed. Mc Graw Hill. 2012
Virmond E., Rocha JD, Moreira RFP, José HJ. Valorization of agro-industrial solid residues and residues from biofuel production chains by thermochemical conversion: A review, citing Brazil as a case study. Brazil Journal of Chemical Engineering. Vol. 30, 2 197-229. (2013).
Vocabulario Internacional de Metrología. Conceptos fundamentales y generales, y términos asociados (VIM).JCGM 200. 2008 http://www.tlv.com/global/LA/calculator/steam-table-pressure.html
Xavier Elías Castells. Tratamiento y Valorización Energética de Residuos. Capítulo Los residuos como combustibles. Ediciones Díaz.
TÍTULO DECIMOTERCERO
APÉNDICES NORMATIVOS
Apéndice A
(Normativo)
Sistemas de medición de flujo.
A.1 Sobre la medición del flujo de combustible para determinar la energía del mismo
Se debe medir el total del combustible que ingresa al sistema, cuya finalidad sea la generación de energía eléctrica y/o la obtención de energía térmica o calor útil. En el caso de que existan otros consumos de combustible en la central, adicionales a los del sistema de generación eléctrica, éstos se deben identificar y descontar del total que ingresó a la central.
El aporte energético y el volumen del combustible suministrado a la central es registrado y facturado por la empresa encargada de prestar dicho servicio, en este sentido, debe mantenerse un registro del destino del combustible y confirmar si su uso es para cogeneración o para la producción de calor.
El vapor de agua producido en el esquema de cogeneración eficiente debe ser medido usando medidores de caudal másico o volumétrico. El caudal másico debe ser medido mediante medidores tipo Coriolis, mientras que el caudal volumétrico debe ser medido usando medidores del tipo de presión diferencial (placas de orificio, toberas o tubos Venturi, Annubar), tipo Vortex, ultrasónicos o turbinas de álabes rectos. El grado de exactitud de los instrumentos dependerá en gran medida del diseño, construcción, instalación y operación.
A.2 Valores máximos de incertidumbre en la medición del flujo de fluidos
En los esquemas de cogeneración se deben considerar los valores de incertidumbre de medición de la Tabla A-1 como los valores de incertidumbre máxima permisibles para las diversas aplicaciones de medición de los fluidos de los combustibles. Dichas incertidumbres corresponden a valores de flujo, expresados a condiciones base, y tomando en consideración la contribución de la incertidumbre de medición por factores como: tecnología de medición, la incertidumbre de las magnitudes de medida de influencia, la trazabilidad de las mediciones, las condiciones de instalación, la instrumentación secundaria y reproducibilidad de largo plazo.
La incertidumbre máxima de medición de flujo está estimada para un factor de cobertura k = 2, el cual asegura un intervalo de confianza del 95%.
Tabla A. 1 - Incertidumbre de medición de flujo de fluidos máxima permisible de acuerdo con las
tecnologías de medición aplicables.
| Fluidos en el proceso de cogeneración | Tecnologías de medición de flujo aplicables | Magnitudes de influencia en la medición de flujo | Incertidumbre máxima de medición de flujo ( k = 2) |
| Combustible | Gas (gas natural) | ultrasónico, turbina, placa de orificio, Coriolis | presión, temperatura, densidada | 2 % |
| Líquido (diésel) | desplazamiento positivo, turbina, Coriolis, tanques de almacenamiento calibrados | presión, temperatura, densidadb | 2 % |
| Agua de alimentación a calderas | electromagnéticos, turbinas, Coriolis, ultrasónicos | temperatura, densidadc | 2 % |
| Vapor producido | vórtice, Annubar, Venturi, placa de orificio, ultrasónico | presión, temperatura, densidadd | 3 % |
| a La densidad del fluido se puede obtener a partir de un análisis cromatográfico de la composición del gas natural. b La densidad del fluido se puede obtener usando hidrómetros de inmersión calibrados. c La densidad del fluido se puede obtener mediante mediciones de temperatura junto con la aplicación de modelos matemáticos como los publicados: IAPWS, Tanaka, Bettin, Kell, Patterson & Morris. d La densidad del fluido se puede obtener a partir de las Tablas de vapor publicadas por ASME o IAPWS. |
En condiciones de saturación, la calidad del vapor (que relaciona la masa de vapor respecto de la masa total) producido puede afectar negativamente el desempeño de los medidores de caudal de vapor, cualquiera que sea el principio de medición de flujo. La aplicación de factores de corrección es necesaria para limitar los errores de medición, así como seguir las recomendaciones de los fabricantes para minimizar los errores de medición de gasto, y de su incertidumbre.
A.3 Condiciones base de medición de flujo de fluidos
La medición de flujo debe realizarse en unidades de volumen o de masa; cuando las magnitudes de medición se expresan en volumen. Las condiciones base para el cálculo del volumen a dichas condiciones son las siguientes:
Temperatura base, Tb = 293.15 K (20 °C)
Presión base, pb = 101.325 kPa.
A.4 Especificaciones metrológicas de los sistemas de medición de flujo
A4.1 Incertidumbre de medición
La estimación de la incertidumbre de medición de flujo másico o volumétrico, cantidades de masa o volumen, se debe realizar de acuerdo con la metodología propuesta por el Comité Conjunto de Guías en Metrología (JCGM) del Comité Internacional de Pesas y Medidas (CIPM) en sus documentos JCGM 100: 2008 y/o JCGM 101:2008.
En la estimación de la incertidumbre de medición deben considerarse, al menos, la contribución de las siguientes fuentes de incertidumbre de medida:
a) La trazabilidad (calibración) del dispositivo primario
b) Las condiciones de instalación
c) La instrumentación secundaria (presión, temperatura)
d) La calibración, resolución, deriva, variabilidad
e) Las relativas a las propiedades termodinámicas del fluido: la densidad y el poder calorífico
f) Las relativas a la deriva de los instrumentos de medición (por ejemplo, cuando el medidor no fuera re-calibrado dentro de los plazos máximos establecidos en el presente Apéndice).
A4.2 Especificaciones metrológicas de los sistemas de medición de flujo de combustible
Las especificaciones metrológicas de los sistemas de medición de flujo se muestran en las Tablas 3, 5 del título segundo, así como en las Tablas A-2 y A-3 del presente Apéndice. En dichas Tablas, la repetitividad está expresada como una desviación estándar para k = 1. La incertidumbre de medición de flujo en condiciones base, debe incluir la contribución de los efectos de instalación y dimensiones del dispositivo primario.
Tabla A. 2 - Especificaciones metrológicas para los sistemas de medición de flujo de vapor en una sola
fase.
| | Principios de medición aplicables | Resolución | Repetitividad | Incertidumbre U, k = 2 |
| Dispositivo primario | § Placa de orificio § Venturi § Toberas § Vortex § Annubar § ultrasónico | | 0.2 % | £ 2 % 2 |
| Medición de la presión diferencial | § Capacitivo y transmisor § Resonante y transmisor § Otros | 1 hPa | £ 0.2 % | £ 1.0 % |
| Medidor de temperatura del fluido | § Pt-100 y transmisor § Termopar y transmisor | £ 0.5 °C | £ 0.2 % | £ 1.0 % |
| Medidor de la presión del fluido | § Capacitivo + transmisor § Resonante + transmisor § Otros | £ 1 kPa | £ 0.2 % | £ 1.0 % |
| Medición de la densidad del fluido | § p, T y Steam Tables § p, T y IAPWS | | | £ 1.0 % |
| Fluctuaciones | | | | £ 1.0 % |
| Incertidumbre de medición de flujo de vapor en una sola fase | £ 3 % |
Tabla A. 3 - Especificaciones metrológicas para los sistemas de medición de flujo de agua de
alimentación a calderas.
| | Principios de medición aplicables | Resolución | Repetitividad | Incertidumbre U, k = 2 |
| Dispositivo primario | Coriolis Ultrasónico Turbina Electromagnético Vortex | | 0.1 % | £ 1 % |
| Medidor de temperatura | Pt-100 y transmisor Termopar y transmisor | £ 0.5 °C | £ 0.1 % | £ 1.0 % |
| Medición de la densidad | Por modelo matemático IAPWS Tanaka, Kell, Patterson, Bettin, etc. | | | £ 0.5 % |
| Fluctuaciones | | | | £ 0.5 % |
| Incertidumbre de medición del flujo de agua de alimentación | £ 2 % |
A.5 Requisitos generales sobre los sistemas de medición
La selección, instalación, operación y mantenimiento de los sistemas de medición deben planificarse de conformidad con la regulación y normas vigentes reconocidas en la industria e incorporar, entre otros, los rubros siguientes:
a) Poseer la capacidad adecuada para operar en los intervalos de medida de las magnitudes especificadas para los fluidos sujetos a medición, así como cumplir con las Especificaciones metrológicas a que se hace referencia en diversos puntos de este PROY-NOM, que incluyen la repetitividad, linealidad e incertidumbres de medida requerida, así como la trazabilidad metrológica apropiada.
b) Diseñar y construir la estación de medición de forma tal que la instalación y desinstalación de los instrumentos de medición (primarios y secundarios) sea expedita; con la finalidad de que cuando sea necesario realizar operaciones de mantenimiento un equipo de reemplazo pueda ser instalado fácilmente.
c) Estar dotados de sistemas inalámbricos cuando se demuestre, en su caso, que su funcionamiento es igual o superior a los sistemas cableados, desde el punto de vista de su integridad en la transmisión de la señal.
d) Ofrecer la posibilidad de instalar acondicionadores de flujo en caso de ser requeridos.
e) Estar instalados de acuerdo con lo establecido en el presente PROY-NOM y siguiendo las recomendaciones del fabricante, de modo que los componentes sujetos a mantenimiento, inspección o calibración, incluyendo válvulas, que sean accesibles y garanticen las condiciones apropiadas y seguras para la operación, mantenimiento, inspección y calibración de los sistemas de medición.
A5.1 Calibración
Los dispositivos primarios, secundarios y terciarios de medición deben ser calibrados antes de iniciar las operaciones de la Central Eléctrica. La calibración debe ser ejecutada por un laboratorio acreditado cuyos patrones de referencia sean trazables a patrones nacionales de medida en términos de la LFMN.
Nota: Esta obligación no aplica para los dispositivos primarios que están sujetos a verificación de conformidad (medidores de caudal tipo presión diferencial).
La calibración de todos los patrones y los instrumentos de medida debe llevarse a cabo de manera sistemática y periódica, con el fin de que sus resultados sean metrológicamente trazables a los patrones nacionales correspondientes. Estas calibraciones deben ser realizadas por laboratorios acreditados y aprobados en términos de la LFMN y lo dispuesto en este PROY-NOM.
Durante las calibraciones de los patrones e instrumentos de medición realizada por los laboratorios de calibración acreditados, deben considerar que el desempeño del instrumento bajo calibración se encuentre dentro de las especificaciones indicadas en los Apéndices de este PROY-NOM, sin perjuicio de lo indicado en el párrafo inmediato anterior. La calibración de los dispositivos primarios, secundarios y terciarios debe realizarse en un laboratorio de calibración acreditado, o bien, directamente en el sitio donde se encuentran instalados.
Si la calibración del medidor de flujo se realiza en un laboratorio de calibración acreditado, entonces deben tomarse las medidas para asegurar que, durante el proceso de calibración, el perfil de velocidades del fluido en el punto donde se encuentre el medidor bajo calibración, sea representativo del perfil de velocidades que tendrá el fluido en el medidor durante su operación en las instalaciones de la Central Eléctrica. Es recomendable, que cuando el medidor de flujo deba ser calibrado en un laboratorio, los tramos de tubería adyacente también sean enviados. Este punto es aplicable a los sistemas de medición de caudal que son sensibles al perfil de velocidades, por ejemplo: turbinas, ultrasónicos, electromagnéticos, placa de orificio, etc.
La calibración de los instrumentos de medición de fluido, debe realizarse con un fluido de viscosidad y densidad similares al fluido que va a medirse. Cuando esto no es viable, se recomienda determinar la respuesta del medidor en términos del número adimensional de Reynolds y con un fluido en el mismo estado (líquido o gaseoso), con el cual va a operar, de acuerdo con la ecuación A.1.
Cuando el sistema de medición se retire del sitio en el que se encuentra la instalación para su calibración, ésta se tiene que ejecutar con una configuración similar en la instalación, en la cual estará operando. La configuración utilizada durante la calibración debe ser documentada. Todo sistema de medición debe ser calibrado (dispositivos primarios y secundarios de medición) y los errores de medición manifestados en los certificados de calibración deben ser corregidos mediante métodos que puedan ser auditados y rastreados.
Durante la calibración del sistema de medición de caudal se deben utilizar los valores que se encuentran en la configuración del elemento terciario (computador de flujo) y estos valores utilizados deben ser enunciados en el certificado de calibración, así como la configuración del procesador del elemento primario (este punto es aplicable en los medidores tipo ultrasónicos y tipo Coriolis, y de manera parcial para los medidores tipo turbina, tipo presión diferencial y tipo desplazamiento positivo).
El medidor de flujo debe calibrarse dentro del intervalo de medición del flujo previsto, con el que operará normalmente. El medidor debe calibrarse al menos en cuatro flujos distintos, espaciados uniformemente dentro del intervalo prestablecido (por ejemplo: al 100 %, 70 %, 40 % y 10 % del valor de flujo máximo). Se permite la interpolación para estimar los factores de corrección aplicables en aquellos caudales no cubiertos durante la calibración.
A5.2 Variaciones en las magnitudes de medición de influencia.
La incertidumbre de medición de caudal o de la cantidad total de masa o volumen del fluido, debe considerar el impacto que produce la variación de las condiciones de operación cuando en el sistema se usan valores fijos para el cálculo de algunas magnitudes de medición. Por ejemplo, si la densidad del fluido se estima a partir de valores fijos de presión y temperatura, se debe cuantificar la contribución a la incertidumbre de medición del fluido debido a las variaciones que se observan en estas magnitudes de medición.
Una forma de incluir las variaciones mencionadas en el párrafo anterior, es mediante la medición temporal de las variaciones de presión y temperatura del fluido; de los valores medidos se estiman las variaciones de densidad y de poder calorífico para determinar la cantidad de energía del combustible.
A5.3 Instalación del medidor primario.
Los sistemas primarios de medición deben ser instalados siguiendo las recomendaciones del fabricante.
A5.4 Medidores de flujo sensibles al perfil de velocidades.
Los sistemas de medición deben diseñarse y construirse de forma que, aun con la posible presencia de válvulas, codos, y otros accesorios, aguas arriba y aguas abajo del elemento primario de medición, se cumpla con los requisitos de longitud de tubería recta indicados por el fabricante.
Las secciones de tubería recta, aguas arriba y aguas abajo del medidor, deben fabricarse e instalarse de forma que proporcionen un perfil de velocidad homogéneo que tenga un impacto mínimo en la incertidumbre del medidor. Para ello debe consultarse al fabricante del medidor sobre la longitud de tubería recta que requiere dicho medidor.
A5.5 Medidores de flujo no sensibles al perfil de velocidades.
Los sistemas de medición que no muestran un cambio significativo con perfiles de velocidades distorsionados, como los medidores tipo Coriolis, de desplazamiento positivo, etc., no resulta necesario utilizar acondicionadores de flujo. Sin embargo, los que son sensibles a la instalación (por ejemplo: placas de orificio, ultrasónicos, electromagnéticos, turbinas o tipo Vortex) y se encuentran sujetos a esfuerzos mecánicos, instalados en posición vertical, deben seguir siempre las recomendaciones proporcionadas por el fabricante.
La repetitividad está expresada como una desviación estándar de k = 1. La incertidumbre de medición de flujo debe incluir las contribuciones por efectos de instalación y dimensiones del elemento primario.
A5.6 Acondicionadores de flujo.
Cuando se utilicen acondicionadores de flujo en el sistema de medición, tanto el tipo, la ubicación y diseño de estos accesorios deben prever la instalación de puertos de inspección instalados en las bridas que dan soporte al acondicionador de flujo; esta práctica debe formar parte del programa preventivo de mantenimiento
que se realice en el sitio.
El modelo del acondicionador de flujo debe contar con lo indicado en la norma de referencia empleada, por ejemplo: el anexo de la norma ISO 5167-1:2003, el Apéndice 2-D de la norma API MPMS 14.3.2, etc. y debe atender la ubicación en la instalación indicada por el fabricante del dispositivo.
En la Figura A. 1 se muestra un esquema típico de instalación de un sistema de medición de gasto, de acuerdo con las recomendaciones típicas establecidas en el Manual de Mediciones de Petróleo del American Petroleum Institute (API MPMS). El sistema incluye: 1. Válvula de seccionamiento; 2. Filtro y eliminador; 3. Acondicionador de flujo; 4. Turbina; 5. Sensor de temperatura; 6. Válvula de control de flujo; 7. Válvula de no retorno; y 8. Unidad de control (no incluida en la Figura A. 1).
Figura A. 1 - Diagrama esquemático de la instalación de medición usando una turbina como
dispositivo primario de medición.
A5.7 Pruebas pre-operativas.
Una vez instalado el sistema de medición, se debe verificar, registrar y evidenciar que los sistemas de medición del esquema de generación cumplen con lo establecido en el presente PROY-NOM.
A.6 Contribución a la incertidumbre de medición de flujo asociada con el incumplimiento de los programas de calibración.
A6.1 Dispositivos primarios.
Los dispositivos primarios (placa de orificio, tubo Venturi, tobera, medidor ultrasónico, etc.) están sujetos a variaciones en su desempeño por diversas circunstancias; por ejemplo: el desgaste, la acumulación de suciedad, etc. La deriva de las propiedades metrológicas, entre otras circunstancias, de los instrumentos, hace necesaria su re-calibración. Si la Central Eléctrica no cumple con los requisitos de re-calibración de los dispositivos primarios entonces la incertidumbre adicional que debe atribuírsele es la que se registra en la Tabla A. 4 y Tabla A. 5.
Tabla A. 4 - Incertidumbre adicional por incumplimiento en los programas de calibración de los
dispositivos primarios
| Tiempo transcurrido después de la última calibración, t | Valor de incertidumbre adicional, UI % |
| t/años £ 3 | 0 |
| (3 £ t/años £ 5) | 3.0 |
| (5 £ t/años £ 7) | 7.0 |
| t/años > 7 | 10.0 |
A6.2 Dispositivos secundarios.
Los sensores de medición están sujetos a variaciones en su desempeño como el tiempo. La deriva de las propiedades metrológicas de los instrumentos hace necesaria su re-calibración. Si la Central Eléctrica no cumple con los requisitos de re-calibración de los dispositivos secundarios (temperatura y presión) entonces la incertidumbre adicional que debe atribuírsele es la que se presenta en la Tabla A. 4. Esta componente adicional de incertidumbre debe ser considerada como una fuente de incertidumbre adicional en los cálculos de incertidumbre de medición de flujo.
Tabla A. 5 - Incertidumbre de medición adicional por incumplimiento en los programas de calibración
de dispositivos secundarios.
| Tiempo transcurrido después de la última calibración, t | Valor de incertidumbre adicional, UI % |
| t/años £ 2 | 0 |
| (2 £ t/años £ 3) | 2.0 |
| (3 £ t/años £ 5) | 4.0 |
| t/años > 5 | 10.0 |
A.7 Tecnologías de medición: Sistemas de medición de caudal tipo presión diferencial
A7.1 Consideraciones generales
El diseño, instalación y operación de los sistemas de medición de caudal tipo presión diferencial deben apegarse a lo establecido en las normas ISO 5167, API MPMS 14.3.2, ASME PTC 19.5 y ASME MFC-3M-2017. Son considerados sistemas de medición de caudal tipo presión diferencial, aquellos medidores cuyo principio de medición sea originado por una diferencia de presión generada por la geometría del elemento primario del sistema; ejemplos de este tipo son: placa de orificio, tobera subsónica, tubo Venturi y medidor tipo cono.
La trazabilidad de los resultados puede ser obtenida por dos medios: el primero se obtiene por calibración utilizando un patrón de referencia y el segundo a través de una certificación de conformidad respecto del cumplimiento del presente PROY-NOM. En el caso particular del medidor tipo cono (V-cone), la incertidumbre asociada al coeficiente de descarga declarada en la norma ISO 5167-5:2016 es 5 % (cuando se tiene el mejor cumplimiento de todas las especificaciones indicadas en la norma). Así, para los propósitos de este PROY-NOM, el medidor tipo cono debe ser calibrado contra un patrón de referencia de medición de gasto, con el propósito de obtener un valor de incertidumbre en las mediciones de gasto, masa o volumen del orden del 1%. Los medidores no incluidos en la norma ISO 5167-5:2016, deben asegurar su trazabilidad por medio de su calibración utilizando como referencia un sistema de medición de gasto.
La trazabilidad del resultado de medición de caudal o cantidad de fluido se concretará cuando los elementos primario, secundario y terciario se encuentre en condiciones metrológicas adecuadas.
La instalación de los sensores de presión deben apegarse a las recomendaciones de la norma ISO 2186 y a las recomendaciones indicadas por el fabricante para garantizar un buen desempeño del sistema de medición; este aspecto es particularmente importante para el caso de la medición de vapor, aplicación para la cual es necesario seguir las recomendaciones antes señaladas para el diseño y localización de las tomas de presión y de la tubería de conexión hacia los transmisores de presión y presión diferencial.
Para la selección e instalación del sensor de temperatura, se debe considerar lo indicado en la norma ISO 9464; además de las recomendaciones proporcionadas por el fabricante.
A7.2 Diagnóstico y control con las presiones a través del elemento primario
La medición de presión adicional en algún punto aguas abajo del sistema de medición donde se haya recuperado la presión permite al operador del sistema de medición detectar desviaciones de las condiciones normales de operación y puede adoptarse como una medida de alerta y mantenimiento preventivo del sistema de medición. Se debe tener la instalación de un puerto adicional para medir esta presión en la fase de diseño, ya que resulta práctico y significa ventajas relevantes en las etapas operativas y de mantenimiento futuras del sistema de medición.
A7.3 Pruebas pre-operativas
En estas pruebas deben aplicar la inspección de la calidad superficial de elemento primario de medición, así como las especificaciones geométricas y dimensionales; esta información será utilizada para conocer el deterioro que pueda sufrir el sistema de medición con el tiempo y que afectarán la incertidumbre de medición del elemento primario.
A7.4 Inspección del elemento primario
Como medida preventiva durante el proceso de arranque, si se considera que hay riesgo latente por la presencia de materiales extraños, partículas o residuos metálicos, derivados del proceso de fabricación; el proceso de arranque debe ser de tal forma que se evite cualquier daño al acabado y dimensiones precisas del elemento primario de medición.
Debe prepararse un programa de inspección del sistema de medición con el detalle de las actividades que se prevean realizar para mantenerlo en óptimas condiciones. Se debe implementar una estrategia y programa de mantenimiento basado en el control del estado que guarda la operación del sistema de medición.
Debe tenerse presente que aun cuando se implemente un programa de mantenimiento, como el mencionado en el párrafo que precede, la central debe tener presente que, para aislar el elemento primario de medición para los casos en que se requiera removerlo, inspeccionarlo y repararlo en caso que el sistema de diagnóstico, indique que hay daño o contaminación.
Al inicio de la puesta en operación de un sistema de medición se debe implementar un programa de inspección como sigue:
a) Para sistemas de medición que cuenten con un dispositivo mecánico que permita extraer e introducir parte del elemento primario (por ejemplo, placa de orificio), sin detener el paso del fluido por el sistema de medición, dicho equipo debe cubrir el siguiente esquema de inspección:
1) Dos inspecciones de la placa a intervalos trimestrales.
2) Una inspección anual.
b) Si el sistema de medición no cuenta con dispositivos para remover el elemento primario sin interrumpir el flujo a través del tren de medición, entonces el esquema de inspección a seguir debe ser atendido como sigue:
1) Dos inspecciones del elemento primario a intervalos de seis meses.
2) Una inspección anual.
Los resultados de las mediciones dimensionales se deben comparar con los resultados iniciales o con las especificaciones del equipo (según como se obtenga la trazabilidad de los resultados de medición; si ésta es obtenida por alguna de las formas permitidas en las generalidades, considerando la capacidad de la central eléctrica, los parámetros deben atender a lo establecido en el presente PROY-NOM) valorando el deterioro y proponiendo periodos de calibración o verificación de la conformidad.
Cuando se encuentre que el elemento primario está contaminado o dañado, se deben corregir los daños o reemplazarlo, en caso de que así lo requiera. En el último caso, se debe realizar lo indicado en el numeral anterior el cual hace mención al inicio de la puesta de operación. Si hay historial previo de contaminación o daño, se debe implementar una inspección minuciosa del sistema de medición.
Los aspectos relevantes de la inspección en campo incluyen:
a) La orientación correcta del sistema de medición.
b) La calidad superficial del elemento primario.
c) Cuando los resultados del sistema de medición cuentan con trazabilidad por Verificación de la conformidad, entonces el sistema de medición debe cumplir con las especificaciones establecidas en el presente PROY-NOM. Cuando la trazabilidad es obtenida por calibración, se compararán las desviaciones de los parámetros dimensionales con su historial para evaluar su deterioro y posible recalibración.
d) Se debe Inspeccionar que el sistema de medición esté libre de depósitos, grasas o cualquier sustancia que esté contaminando la calidad superficial del elemento primario de medición.
A7.5 Placa de orificio.
Cuando existe daño al filo del borde del orificio en la cara aguas arriba y presenta una incertidumbre mayor a la establecida, el equipo debe maquinarse y calibrarse antes de volver a usarse o debe reemplazarse la placa de orificio por otra que permita alcanzar la certidumbre establecida en el presente PROY-NOM.
Cuando los depósitos, contaminación o daño a la placa de orificio son frecuentes en el tubo de medición, se debe revisar al interior de dicho tubo de medición cuando menos dos diámetros aguas arriba de la placa de orificio, así como al estado que presenten las tomas de presión diferencial, al igual que revisar que no se encuentre obstruidas las tomas y la tubería por donde se conduce la señal de presión hasta el sensor de presión.
El modelo matemático empleado para la estimación de la cantidad de fluido considera que el proceso de medición es isotérmico, si el fluido se encuentra cerca del punto de rocío o se requiere una medición con mejor exactitud, es necesario estimar el decremento de la temperatura como resultado de la expansión del fluido cuando pasa por la placa de orificio o por otro dispositivo primario del tipo de presión diferencial. Para realizar la corrección se recomienda el uso del Coeficiente de Joule Thomson; para su estimación y el cálculo de su incertidumbre asociada se recomienda adoptar el modelo matemático de la norma ISO 5167-1:2003 y/o la norma ISO/TR 9464:2008.
La incertidumbre de medición de gasto cuando se usa una placa de orificio debe estimarse de forma práctica usando la expresión recomendada en ISO 5167-1:2003, mostrada en la ecuación A. 2:
Los valores de incertidumbre relativa relacionados con el coeficiente de descarga C/C, y del coeficiente de expansibilidad /, se obtienen del contenido en la norma ISO 5167-2:2003. En ocasiones, dependiendo de las condiciones de instalación del sistema de medición, es necesario sumar aritméticamente los valores de incertidumbre de medición debidas a condiciones de instalación insuficientes; típicamente, estas contribuciones adicionales pueden ser de 0.5 %.
Los valores de incertidumbre relativa correspondientes a los diámetros d y D deben obtenerse del certificado de evaluación de conformidad de la placa de orificio y de las tuberías adyacentes. La incertidumbre relativa correspondiente a la densidad del fluido debe obtenerse a partir de mediciones de densidad, o bien, a partir de la aplicación de la ecuación de estado de acuerdo con el reporte AGA R8 para gas.
A.8 Tecnologías de medición: medidores tipo presión diferencial.
A8.1 Tubos Venturi.
Los tubos Venturi empleados para la medición del vapor producido o del vapor de entrada proveniente de alguna fuente externa, deben cumplir con diseño, construcción, instalación y operación en tres modalidades definidas en la norma ISO 5167-4:2005. Asimismo, la misma norma establece valores constantes para el coeficiente de descarga de un tubo Venturi, en sus tres variantes de diseño (de fundición, de sección convergente maquinada y tubo Venturi soldado).
Respecto de la trazabilidad de la medición de flujo, el tubo Venturi debe emplearse si ha sido objeto de una calibración contra un patrón de medición de flujo, o bien, si ha sido certificada su conformidad respecto de la norma de referencia ISO 5167-4:2003.
A8.2 Toberas Venturi.
Las toberas tipo Venturi, ISA 1932 y las toberas de radio largo deben ser empleados para la medición del vapor producido o del vapor de entrada proveniente de alguna fuente externa. El diseño, construcción, instalación y operación de las toberas (en sus tres modalidades) se define en la norma ISO 5167-3:2005. La norma ISO 5167-3 recomienda las expresiones para calcular el coeficiente de descarga de una tobera, en sus tres variantes de diseño (ISA 1932, radio largo y tobera Venturi).
Respecto de la trazabilidad de la medición de flujo, las toberas Venturi deben emplearse si ha sido objeto de una calibración contra un patrón de medición de gasto, o bien si ha sido certificada su conformidad respecto de la norma de referencia ISO 5167-3:2003.
A8.3 Medidor tipo V-cone.
Una deflexión de la línea de centros del cono por debajo de 1° es suficiente para encontrar incertidumbre en la lectura superiores al 0.4 % y un cambio de 2° causa en el sistema de medición una incertidumbre de lectura superior al 1.2 %. Durante la revisión periódica del elemento tipo cono, debe verificarse que no existan desviaciones en la excentricidad del elemento tipo cono, si existe evidencia de una desviación igual o mayor a 1°, entonces el sistema de medición debe ser re-calibrado.
El elemento cónico debe de permanecer firme, sin mostrar movimiento cuando se encuentra posicionado en el interior de la tubería. Las secciones rectas de tubería aguas arriba y abajo del medidor deben cumplir con lo establecido en el presente PROY-NOM y seguir las recomendaciones emitidas por el fabricante para garantizar el menor impacto posible en el funcionamiento y/o en la incertidumbre global del sistema. La norma ISO 5167-5:2016 contiene la información relacionada con el diseño, instalación y operación del medidor tipo V-cone;
A.9 Sistema de medición de caudal tipo ultrasónico
A9.1 Generalidades.
Los medidores tipo ultrasónicos deben emplearse para la medición de fluidos en una sola fase; estén en estado líquido o gaseoso. Pueden ser de montaje interno o de montaje externo (clamp-on). Los medidores por el principio de ultrasonido deben ser empleados para resolver problemas de medición; mientras que los esquemas de cogeneración deben emplearse para medir consumo de combustibles (usando por ejemplo medidores de varias trayectorias), consumo de agua de alimentación a calderas (usando sensores ultrasónicos de montaje externo), producción de vapor, o gasto de gases de combustión.
En cualquiera de las aplicaciones citadas en los párrafos anteriores, los medidores ultrasónicos deben calibrarse contra un patrón de referencia de gasto, cuyos resultados de calibración sean trazables a patrones nacionales, según lo dispuesto en la LFMN. Los medidores ultrasónicos de montaje externo (tipo clamp-on) deben ser calibrados usando la sección de tubería sobre la cual estarán instalados; esta forma de calibración limitará el crecimiento de la incertidumbre de medición; en comparación con aquellos casos en los cuales los sensores se monten sobre tuberías de cualquier material y tamaño.
Los medidores ultrasónicos de múltiples trayectorias poseen la cualidad de integrar las mediciones de velocidad de las diversas trayectorias de la señal ultrasónica para lograr una mejor estimación de la velocidad promedio del fluido a través del medidor; sin embargo, el mal funcionamiento de alguno de los transductores puede implicar pérdidas de información y subsecuentemente un incremento en la incertidumbre de las mediciones. Por esta razón, es indispensable que en la Central Eléctrica se mantenga siempre disponible al menos un transductor en reserva para posibles reemplazos.
La velocidad del sonido del gas medido en cada una de las trayectorias de sonido del medidor ultrasónico puede compararse con el valor obtenido mediante el cálculo teórico de la velocidad del sonido, a partir de las mediciones de la composición del gas (con un cromatógrafo en línea), la temperatura y presión del gas. La experiencia en la industria muestra que una diferencia mayor que 0.21 % entre el valor medido de la velocidad del sonido del gas y el obtenido mediante el cálculo teórico puede ser indicativo de errores en la medición de la temperatura y/o presión, en la operación del cromatógrafo o en la operación del medidor ultrasónico de flujo. Cuando la diferencia entre estos dos valores de la velocidad del sonido es menor que 0.21 %, se asumirá que los elementos del sistema de medición producen mediciones consistentes de velocidad del sonido, sin embargo, debe verificarse el cumplimiento del presente PROY-NOM.
La incertidumbre de medición de la calibración de un medidor ultrasónico puede variar desde 0.2 % hasta valores cercanos a 1 %, dependiendo del diseño y cantidad de trayectorias de sonido. Si la incertidumbre propia de la calibración del medidor ultrasónico es menor o igual que 1 %, entonces es factible que las mediciones en campo de gasto másico o volumétrico, a condiciones de referencia, puedan alcanzar valores de incertidumbre expandida menores o iguales que 2 %.
A9.2 Cuidados durante la instalación.
El sistema de medición debe disponer de válvulas para aislar el medidor adecuadamente, de tal forma que pueda removerse sin necesidad de parar el flujo del fluido hacia los sistemas de generación. Debe también considerarse la situación en la que el medidor requiera ser removido si alguno de sus componentes falla o requiere ser recalibrarlo.
La estación de medición no debe ubicarse en un sitio sujeto a vibraciones externas o a niveles de ruido que puedan interferir con su funcionamiento. Las secciones rectas de tubería aguas arriba y abajo del medidor deben seleccionarse, fabricarse e instalarse para garantizar el menor impacto posible en el funcionamiento o en la incertidumbre global del sistema. En caso de utilizar acondicionadores de flujo, tanto el diseño como la ubicación en el sistema de medición deben ser consultados con el fabricante del medidor.
A9.3 Perfil del flujo.
Debe asegurarse que el perfil del flujo, durante el proceso de calibración del medidor concuerde, lo más posible, con el perfil del flujo observado en el sistema donde va a operar. Si se decide instalar un acondicionador de flujo con el medidor, éste debe calibrarse con el mismo diseño de acondicionador y la misma configuración.
A9.4 Calibración del medidor.
El medidor ultrasónico debe calibrarse antes de ser instalado, lo cual debe realizarse en una instalación o laboratorio acreditado para llevar a cabo el proceso completo. Los resultados de medida de los patrones usados durante la calibración deben ser trazables a patrones nacionales o internacionales que gocen de reconocimiento internacional, de acuerdo con el marco del ARM del CIPM.
Se evitará la limpieza inicial de los medidores ultrasónicos durante los primeros seis meses de su operación permitiendo que el medidor se adapte a las condiciones de operación y propiedades del fluido. Por lo anterior, los medidores deben calibrarse a partir del estado en que se encuentran, de tal forma que cualquier desviación registrada, con relación a la calibración previa, esté documentada. Cualquier alteración en las condiciones superficiales de la pared interna del medidor puede ocasionar errores de medición significativos.
En cada proceso de calibración se debe registrar la información siguiente:
a) Los números de serie y declaración de trazabilidad de los resultados de medida del(los) medidor(es) de referencia usado(s) en la calibración.
b) Esquemas y detalle de la configuración de la tubería y válvulas utilizadas entre el medidor de referencia y el medidor que se esté calibrando, así como tipo y ubicación de los cambios de dirección y de diámetros en la tubería, entre otros.
c) La ubicación y tipo de los acondicionadores de flujo en la línea de prueba.
d) Las propiedades termodinámicas del fluido usado durante la calibración.
e) Las condiciones de presión y temperatura a que se sometió el medidor durante la calibración.
f) La incertidumbre expandida, correspondiente al factor K o al factor de corrección FM.
g) Cómo se encuentra la configuración del medidor antes de la calibración (as found) y cómo se entrega después de la calibración (as left).
h) Además de cubrir con todos los puntos indicados en la norma NMX-EC-17025-IMNC-2006.
Esta información debe conservarse, cuando menos, por dos años y estar disponible de conformidad con lo establecido en el título octavo del presente PROY-NOM.
A9.5 Cambio del transductor
El cambio de los transductores y detectores o, en general, de los componentes electrónicos del sistema de medición implica la re-calibración del medidor, a menos que el efecto de los dispositivos electrónicos haya sido cuantificado específicamente y no se hayan tenido afectaciones. La Central Eléctrica debe mantener disponibles todos los registros que evidencien que el medidor no ha sufrido afectaciones con los cambios de cualquier componente del medidor de flujo, en su caso, cuando haya tomado la decisión de no recalibrar el medidor.
Los detectores y transductores ultrasónicos requieren una presión mínima para lograr un adecuado acoplamiento acústico, por lo que la Central Eléctrica debe asegurarse de consultar y acatar las recomendaciones del fabricante. Se debe la implementar un programa de mantenimiento y análisis del sistema de medición con base en la detección de sesgos de medida, relación señal a ruido y análisis de la velocidad del sonido.
A9.6 Estrategia en la implementación del programa de mantenimiento.
La Central Eléctrica debe elaborar un plan de mantenimiento que considere la metodología y frecuencia con la que deben ejecutarse las pruebas de diagnóstico, así como la definición de las medidas que se implementarán en caso que los parámetros de diagnóstico salgan frecuentemente fuera de los rangos prestablecidos. Del análisis de esta información, debe poder establecerse las necesidades de re-calibración.
A.10 Tecnologías de medición: sistema de medición de caudal tipo másico (Coriolis).
A10.1 Consideraciones generales.
Los medidores másicos que funcionan según el principio de Coriolis deben ser empleados para la medición de flujo másico de líquidos, y de gases a alta presión; también deben ser empleados para medir flujo volumétrico o bien cantidades de masa y/o volumen; debido a que los medidores Coriolis miden en forma directa el flujo másico, entonces no es necesario realizar correcciones por presión o por temperatura para conocer la cantidad en masa que ha fluido a través del medidor. Las correcciones que se realizan en los medidores Coriolis están relacionadas con las variaciones que pueda sufrir el módulo de elasticidad del medidor, estas correcciones son ejecutadas en el transmisor del medidor.
Los medidores Coriolis deben ser calibrados antes de su instalación, en un laboratorio acreditado, que cuente con patrones de referencia cuyos resultados de medición sean trazables a los patrones nacionales en todo el intervalo de medición del medidor Coriolis. Cuando dichos medidores son utilizados para medir flujo másico o cantidad de masa, entonces deben ser calibrados con agua y ser usados en forma posterior para medir otros fluidos.
Un medidor Coriolis calibrado en modo de medición de masa puede ser usado para estimar el volumen, siempre y cuando el equipo haya sido también calibrado en modo de densidad, en un intervalo amplio de valores de densidad. A partir de las mediciones de masa y densidad, el volumen puede ser calculado (por ejemplo, en un computador de flujo), usando los valores corregidos de masa y densidad enviados por el transmisor del medidor Coriolis.
La incertidumbre de medición de gasto másico de fluidos líquidos usando un medidor de flujo másico tipo Coriolis puede alcanzar niveles tan bajos como 0.05 %, usando los medidores de mejor clase de exactitud; sin embargo, existen opciones en el mercado que pueden medir gasto másico con incertidumbre mejores o iguales que 1 % (valor expresado con probabilidad de cobertura del orden de 95 %).
A10.2 Instalación del medidor.
El comportamiento de un medidor Coriolis no es afectado por el perfil del flujo en el medidor, de tal forma que la configuración de la tubería aguas arriba y aguas abajo del medidor es menos relevante que con otro tipo de medidores. De cualquier forma, se debe evitar cualquier perturbación del flujo con objeto de realizar mediciones con el nivel de incertidumbre adecuado, razón por lo cual, se deben atender las recomendaciones de instalación del fabricante y lo establecido en el presente PROY-NOM.
La caída de presión a través de un medidor Coriolis es relativamente elevada. Con objeto de minimizar la evaporación súbita de los hidrocarburos ligeros y la subsecuente degradación en el comportamiento del medidor presentes en el producto, debe ponerse especial atención en el diseño del sistema de medición con objeto de que a su paso por el medidor el líquido se mantenga arriba de la presión del vapor. Las válvulas de control de flujo instaladas en serie con el medidor deben colocarse aguas abajo de éste.
Adicionalmente, el medidor no debe estar sujeto a esfuerzos mecánicos y debe anclarse firmemente para evitar que las vibraciones de la instalación induzcan errores adicionales en la medición. Debe consultarse a los fabricantes del equipo para obtener información puntual sobre una instalación o condiciones operativas específicas.
A10.3 Ajuste inicial del medidor
De inicio, debe realizarse un ajuste de reconocimiento de flujo cero. Para ejecutarse deben seguirse minuciosamente las recomendaciones del fabricante. Todo el sistema debe llenarse con el fluido de trabajo y llevarlo a las condiciones normales de operación en presión y temperatura; una vez alcanzadas estas condiciones, es necesario cerrar herméticamente la válvula de seccionamiento instalada aguas abajo del medidor, con la finalidad de establecer una condición de flujo nulo a través del sistema. El medidor debe estar sujeto a un programa de reconocimiento de flujo cero de acuerdo con las recomendaciones del fabricante. La Central Eléctrica debe contar con registro de los resultados de este procedimiento.
A10.4 Requisitos de calibración y verificación
El programa de calibración y verificación tiene un papel relevante y debe considerarse en la fase de diseño del sistema de medición y ser retroalimentado con los datos obtenidos durante el mantenimiento, calibración y/o verificación.
Hay tres formas de implementar un programa de verificaciones para los medidores Coriolis:
a) Mediante un patrón de referencia en sitio
b) Retiro y re-calibración periódicos.
Nota: todo instrumento utilizado como referencia debe estar calibrado y cumplir con lo establecido en el presente PROY-NOM.
c) El uso de un patrón de referencia para verificar en forma periódica el comportamiento de un medidor.
Para implementar el procedimiento correcto tratándose de medidores Coriolis se debe consultar el ISO 17090:2015 y/o AGA Report No. 6: 2013. El instrumento de referencia debe calibrarse antes de ser usado para la verificación de otros medidores. La calibración debe ser ejecutada por un laboratorio acreditado. Los resultados de la calibración deber ser trazables a las unidades base del Sistema Internacional de Unidades, en los términos de la LFMN.
Para evitar posibles errores sistemáticos, será necesario re-calibrar el medidor Coriolis. Cuando la instalación cuente con los arreglos de calibración para el medidor de referencia, la calibración podrá realizarse en sitio (condición deseable).
Cuando se prefiera el retiro y la re-calibración del medidor en forma periódica, el intervalo entre calibraciones sucesivas debe apegarse a lo establecido en este PROY-NOM. También puede recurrirse al uso de diagnósticos de desempeño del medidor para determinar el intervalo entre calibraciones. La ejecución de dichos diagnósticos puede servir para identificar la ocurrencia de errores sistemáticos, que pongan de manifiesto la necesidad de recalibrar al medidor.
Algunos medidores pueden requerir de una interpolación lineal de los resultados de medición, principalmente cuando operen a bajos caudales, cerca del límite inferior del intervalo de medición previsto. Dicha interpolación debe realizarse mediante el computador de flujo.
A10.5 Sistemas de medición de caudal tipo turbina.
Los medidores tipo turbina pueden ser empleados en los esquemas de consumo de combustibles. Existen diseños específicos para medición de fluidos en estado gaseoso, y también los hay para medición de combustibles líquidos. Cualquiera que sea la aplicación de medición con una turbina, estos equipos deben ser calibrados contra un patrón de referencia de medición de flujo; de preferencia, usando un fluido de características parecidas a aquél que se usará en el proceso de generación eléctrica.
La incertidumbre de medición de flujo (a condiciones de operación) que puede lograrse con turbinas puede ser tan bajo como 0.06 % cuando se calibra contra algún sistema de referencia de tipo primario; y cuando sus cualidades de repetitividad sean del orden de 0.02 %, especificaciones típicas para los procesos de transferencia de custodia. Sin embargo, existen en el mercado equipos que pueden medir el flujo con incertidumbres menores o iguales que 1 % del valor medido.
El sistema de medición tipo turbina debe apegarse al desempeño indicado en las normas AGA Report No. 7, ISO 9951:2007, ISO 2715:2017, API MPMS 5.3-2005 y OIML R32, según aplique por el estado de agregación del fluido.
Los sistemas de medición tipo turbina son sensibles al perfil de velocidades del fluido. Desde el diseño de la Central de Eléctrica debe apegarse a las recomendaciones dadas por el fabricante para su instalación.
Es indispensable que el fluido que será medido sea homogéneo y se encuentre en una sola fase. La Central Eléctrica debe contar con un programa de mantenimiento al filtro ubicado a la entrada del sistema de medición y contar con el registro de las condiciones del filtro en cada mantenimiento. Información que puede ser utilizada para adecuar los tiempos del mantenimiento.
A10.6 Determinación del factor k.
El factor k debe determinarse mediante la calibración del medidor bajo ciertas condiciones de gasto, temperatura, presión, densidad y viscosidad similares a aquellas que estarán presentes durante la operación.
A10.7 Programa de verificación y calibración.
El presente Apéndice incluye los intervalos máximos establecidos para la ejecución de tareas de re-calibración y verificación periódicas. La Central Eléctrica debe establecer periodos más cortos, según se derive de sus programas de mantenimiento.
A10.8 Sistemas de medición de caudal tipo desplazamiento positivo (rotativos)
Los medidores tipo paletas deslizantes, engranes ovalados y lóbulos, pueden emplearse para medir combustibles, principalmente en los generadores de vapor. Existen diseños para aplicarse en medición de fluidos gaseosos y los hay también para medición de combustibles líquidos.
Los medidores, de tipo volumétrico, no son sensibles al perfil de velocidades del fluido. Sin embargo, se deben atender las recomendaciones proporcionadas por el fabricante y cumplir con las normas API MPMS 5.2-2005, ANSI B109.3-2008, OIML R32 y OIML R6, según aplique en cada caso en particular.
El medidor tipo paletas deslizantes es sensible a la viscosidad del fluido, razón por la cual se debe calibrar con el fluido y bajo las condiciones normales de operación.
Cuando un medidor de desplazamiento positivo tipo lóbulos o engranes ovalados, sea utilizado con un fluido en estado gaseoso, se podrá ejecutar la calibración con un fluido diferente en el mismo estado; es decir, en caso de que el instrumento se utilice para medir gas natural, serán aceptadas las calibraciones con aire, pero es imprescindible realizar las correcciones descritas por el fabricante.
A.11 Tecnologías de medición: Sistemas de medición tipo Vortex.
A11.1 Generalidades.
Los medidores tipo Vortex se emplean principalmente para medir el gasto de vapor producido en los generadores de vapor. Son medidores susceptibles a las condiciones de instalación; por lo que las recomendaciones del fabricante deben ser respetadas.
Cuando los medidores tipo Vortex se emplean cerca de los límites inferiores de su intervalo de medición, entonces existe riesgo de sub-estimar el gasto volumétrico o la cantidad de fluido que ha circulado a través del medidor; por esta razón, estos medidores no deben ser empleados a valores de gasto inferiores 0.1 Qmax.
Los medidores tipo Vortex deben ser calibrados contra un patrón de medición de gasto, usando un gas como fluido de trabajo. Cuando menos, 4 valores de gasto deben ser considerados durante la calibración del medidor Vortex, igualmente espaciados (por ejemplo: Qmax, 0.7 Qmax, 0.4 Qmax y 0.1 Qmax). Para valorar la repetitividad del medidor Vortex, al menos 5 mediciones deben ser replicadas en cada valor de gasto. Los resultados de calibración del medidor Vortex deben ser expresados en función del número de Reynolds. Los medidores de gasto tipo Vortex otorgan una incertidumbre inferior a 1 % al medir flujo de vapor.
A11.2 Uso de otras tecnologías de medición de flujo
En el presente Apéndice se exponen los criterios a cumplir de algunos principios de medición. No obstante, la Central Eléctrica podrá utilizar cualquier otro principio de medición, teniendo que cumplir los puntos que se enuncian a continuación:
a) La Central Eléctrica debe contar con la evidencia de que el principio de medición utilizado cuenta con características de desempeño metrológicas similares o mejores que las mencionadas en el Apéndice E, considerando las variaciones propias del proceso, las condiciones ambientales y cualquier otra condición que pueda afectar en la medición (vibración en la instalación, cercanías a una fuente magnética y/o térmica, ruido, etc.).
b) Los sistemas de medición tienen que ser calibrados con un fluido similar (viscosidad, densidad y condiciones de operación).
c) La Central Eléctrica debe documentar que los cambios en las características del fluido por las variaciones de las condiciones de operación, no ocasionen que el sistema de medición incumpla con las especificaciones metrológicas.
d) Documentar de manera periódica el desempeño del sistema de medición (la información de un medidor que funcione como testigo en las mediciones puede ser utilizada, la calibración del sistema de medición o cualquier medio que demuestre el desempeño del sistema de medición). Inicialmente se debe hacer cada tres meses, los tiempos se ampliarán dependiendo el resultado del desempeño del sistema de medición los cuales serán evaluados utilizando herramientas estadísticas similares o criterios más estrictos a los indicadas en las normas API MPMS.
e) El consumo de combustibles líquidos debe determinarse a partir de mediciones de volumen de tanques al inicio y fin de periodo (diario, semanal o mensual); considerando que los suministros a los tanques se miden con un medidor de flujo que ha sido objeto de la aprobación por la Comisión y que satisface los requerimientos establecidos en los Apéndices de este PROY-NOM; y que las variaciones de inventario se miden a partir de las Tablas de calibración de los tanques de almacenamiento. El tanque vertical debe ser calibrado por un laboratorio acreditado, en los términos de la LFMN.
A11.3 Elementos secundarios de medición.
Cuando se deba medir alguna o varias propiedades del fluido, así como variables del proceso, por mencionar algunas: los componentes que conforman alguna mezcla gaseosa, temperatura, densidad, presión, etc. estas mediciones deben cumplir con lo establecido en el presente PROY-NOM.
Cuando la variable a medir no se encuentra enunciada en este PROY-NOM, se debe atender las recomendaciones metrológicas enunciadas por el fabricante. Los puntos de medición de la presión y temperatura deben seleccionarse para asegurarse que estas magnitudes sean representativas de las condiciones que prevalecen en el medidor de flujo. Por lo tanto, deben ubicarse lo más cercano posible a este, sin que interfiera en su operación.
Los termo pozos deben estar situados junto a los puntos de medición de la temperatura, de tal forma que pueda verificarse mediante la comparación con termómetros calibrados, cuyos resultados de medida sean trazables a patrones nacionales. Cuando la medición por un medidor de caudal se realice a una temperatura y presión distintas a las que fue calibrado, pueden producirse errores de medición significativos, por lo que es necesario aplicar los factores de corrección indicados por el fabricante; o re-calibrar el medidor de flujo cuando existan diferencias significativas entre las condiciones de calibración y de operación.
Cuando se apliquen rutinas numéricas o se modifiquen para realizar ajustes al elemento primario por presión y temperatura, deben registrarse y estar disponibles para su revisión durante una visita de verificación o cuando la Comisión lo requiera, de conformidad con lo establecido en el título octavo.
A11.4 Correcciones por presión y temperatura.
Se deben usar factores de corrección reconocidos en la industria para tratar diferencias entre la temperatura de calibración y la de operación. Los factores de corrección aplicados a la presión y temperatura deben estar respaldados mediante métodos que puedan ser auditados y rastreados de forma adecuada. Antes de iniciar el proceso de arranque del sistema de medición es indispensable verificar los siguientes puntos:
a) Verificar que cada elemento secundario de medición cuente con un certificado de calibración con el cual se demuestre trazabilidad a los patrones nacionales o internacionales que gocen de reconocimiento internacional, de preferencia en el marco del ARM del CIPM).
b) Constatar que la instalación de cada elemento secundario del sistema de medición esté en apego a las recomendaciones metrológicas emitidas por los fabricantes.
c) Atender las recomendaciones de las siguientes normatividades IEC 60751:2008, API MPMS 7 para fluidos líquidos e ISO 15970:2008, IEC 60751:2008 para fluidos en estado gaseoso.
Existen circunstancias de instalación de los sensores para las cuales es necesario aplicar correcciones para obtener un valor adecuado en la medición de presión, como la corrección por columna hidrostática (piernas hidrostáticas). La calibración del elemento secundario debe realizarse bajo las condiciones de operación (a lazo cerrado), de esta forma se considera la desviación del instrumento originada por cualquier variable en la instalación durante la calibración, evitando aplicar correcciones adicionales a la desviación encontrada o declarada en el certificado de calibración. El laboratorio debe manifestar en el certificado o informe de medición la forma en cómo se llevó a cabo la calibración.
Una vez en operación, el sistema de medición debe contar con un esquema de verificación de la trazabilidad de los resultados de los elementos secundarios de medición, los tiempos de estas verificaciones deben obedecer al tipo de instrumento a verificar. Cualquier duda que se tenga en la trazabilidad en los resultados de medición de cualquier elemento secundario de medición debe dar lugar a una verificación o calibración.
Se debe contar con un programa de mantenimiento para limpiar las líneas de presión, verificando y garantizando que la transmisión de la señal llega al elemento terciario de medición sin deterioro. En el Apéndice C se especifican los requisitos para la medición de la presión y temperatura dentro de los sistemas de generación.
A11.5 Densidad de los fluidos.
El valor de la densidad del fluido es necesario para determinar el gasto másico o volumétrico cuando se usan dispositivos del tipo de presión diferencial; en estos casos, el gasto másico es proporcional a la raíz cuadrada de la densidad del fluido. En las mediciones de gasto de combustibles líquidos se requiere el valor de la densidad del fluido para "extrapolar" los resultados de medición, desde las condiciones de operación hasta las condiciones base (tb = 20 °C, pb = 101.325 kPa).
La densidad del vapor de agua puede ser estimada, a partir de las ecuaciones de estado adecuadas, en función de la presión y temperatura a que se halle sometido el fluido. Para lo cual se requiere de herramientas informáticas de cálculo para este propósito.
La Central Eléctrica debe demostrar que los computadores de flujo (dispositivos terciarios) cumplen con las normas correspondientes aplicables a éstos.
Apéndice B
(Normativo)
Sistemas de medición de masa
B.1 Términos y definiciones
B1.1 Definiciones generales
B.1.1.1 Biomasa: Se define como biomasa a toda la materia orgánica de origen vegetal, animal o industrial (residuos) que puede ser transformada en energía.
B.1.1.2 Instrumento para pesar: Instrumento de medición que sirve para determinar la masa de un cuerpo utilizando la acción de la gravedad sobre este cuerpo. Este instrumento también puede utilizarse para determinar otras magnitudes, cantidades, parámetros o características relacionadas con la masa. Según el método de operación, un instrumento para pesar está clasificado como instrumento para pesar de funcionamiento automático o instrumento para pesar de funcionamiento no automático.
B.1.1.3 Indicaciones proporcionadas por un instrumento para pesar: Valor de una magnitud proporcionada por un instrumento de medición.
B.1.1.4 Celda de carga: Transductor de esfuerzo que, después de tener en cuenta los efectos de la aceleración de la gravedad y el empuje del aire en el lugar de uso, mide la masa convirtiendo la magnitud medida (masa) en otra magnitud medida (salida). Son considerados celdas de carga digitales, aquellas celdas equipadas con electrónica que incluya amplificador, convertidor analógico digital (ADC), y dispositivo de procesamiento de datos (opcional).
B.1.1.5 Terminal: Dispositivo digital que tiene un teclado (o un ratón, una pantalla táctil, etc.) para operar el instrumento para pesar, y un indicador para proporcionar los resultados de pesada transmitidos mediante la interfaz digital de un módulo de pesada o un dispositivo de procesamiento de datos analógico.
B.1.1.6 Indicador: Dispositivo electrónico de un instrumento que puede realizar la conversión analógica a digital de la señal de salida de la celda de carga, procesa los datos y muestra de forma visual el resultado de pesaje en unidades de masa.
B.1.1.7 Instrumento para pesar automático: Un instrumento que realiza el proceso de pesaje sin la intervención de un operador y sigue un programa predeterminado de procesos automáticos característico del instrumento.
B.1.1.8 Instrumento para pesar automático de totalización continua (instrumento para pesar en banda): Instrumento para pesar automático para pesaje continuo de un producto a granel, por ejemplo, sobre una cinta o banda transportadora, sin interrumpir el movimiento de la cinta o banda transportadora.
B.1.1.9 Instrumento para pesar en banda de una sola velocidad: Instrumento para pesar en banda que se instala con una banda transportadora diseñada para funcionar a una sola velocidad.
B.1.1.10 Instrumento para pesar en banda de velocidad variable o de múltiples velocidades: Instrumento para pesar en banda que se instala con una banda transportadora diseñada para funcionar a una velocidad variable (dentro de un intervalo) o a más de una velocidad establecida.
B.1.1.11 Método de control: Método utilizado para determinar la masa del producto usado como carga de prueba durante las pruebas con producto. En general, esto implica el uso de un instrumento para pesar, denominado instrumento de control.
B.1.1.12 Instrumento de control: Instrumento para pesar utilizado para determinar el valor verdadero de la masa de las cargas de prueba durante las pruebas con producto.
B.1.1.13 Receptor de carga: Parte del instrumento destinado a detectar la carga sobre la banda.
B.1.1.14 Banda transportadora: Equipo para transportar el producto por medio de una banda (por ejemplo, apoyándose sobre rodillos o rodillos que giran sobre su eje, o por otros dispositivos).
B.1.1.15 Rodillos portadores: Arreglo (comúnmente rodillos) mediante el cual la cinta transportadora está soportada cuando se aproxima y sale del receptor de carga.
B.1.1.16 Rodillos de pesaje: Arreglo (comúnmente rodillos) mediante el cual la cinta transportadora está soportada sobre el módulo de pesaje.
Nota: Un instrumento para pesar en banda tipo "transportador incluido" normalmente tiene rodillos de pesaje o rodillos de fricción.
B.1.1.17 Dispositivo de totalización: Dispositivo que utiliza la información suministrada por el módulo de pesaje y/o el transductor de desplazamiento para:
a) Agregar cargas parciales, o
b) Integrar el producto de la carga por unidad de longitud y la velocidad de la banda.
B.1.1.18 Dispositivo regulador de caudal: Dispositivo destinado a garantizar un caudal programado.
B.1.1.19 Transductor de desplazamiento: Dispositivo en el transportador que proporciona información, ya sea correspondiente al desplazamiento de una longitud definida de la correa o proporcional a la velocidad de la correa.
B1.2 Definiciones en relación a los instrumentos para pesar automáticos de totalización continua (instrumentos para pesar en banda)
B.1.2.1 Intervalo de la escala de totalización (d): Diferencia entre dos valores indicados consecutivos, expresados en unidades de masa, con el instrumento en su modo de pesaje normal
B.1.2.2 Intervalo de la escala de totalización para pruebas (e): Diferencia entre dos valores indicados consecutivos, expresados en unidades de masa, con el instrumento en modo especial para fines de prueba. Este intervalo de la escala para prueba, e, es igual al intervalo de la escala de totalización, d, si el modo especial no está disponible.
B.1.2.3 Longitud de pesaje (WL): Distancia entre las dos líneas imaginarias a la mitad de la distancia entre los ejes de los rodillos de pesaje finales y los ejes del rodillo portador más próximo. Cuando sólo hay un rodillo de pesaje, la longitud de pesaje es igual a la mitad de la distancia entre los ejes de los rodillos portadores más próximos a cada lado del rodillo de pesaje.
Nota: La longitud de pesaje no es aplicable a las básculas de banda, incluyendo el transportador.
B.1.2.4 Vuelta completa de la banda (longitud de la banda): Longitud total (para una circulación) de la banda transportadora.
B.1.2.5 Capacidad máxima (Max): Carga neta máxima (carga aplicada por el producto a granel, sin incluir la carga aplicada por la banda) que el módulo de pesaje está destinado a pesar sobre la porción de la banda transportadora que representa la longitud de pesaje.
B.1.2.6 Capacidad mínima (Min): Carga neta mínima (carga aplicada por el producto a granel, sin incluir la carga aplicada por la banda) que el módulo de pesaje está destinado a pesar sobre la porción de la banda transportadora que representa la longitud de pesaje.
B.1.2.7 Caudal máximo (Qmax): Caudal obtenido de la capacidad máxima del módulo de pesaje y la velocidad máxima de la banda.
B.1.2.8 Caudal mínimo (Qmin): Caudal sobre el cual los resultados de pesaje cumplen los requisitos de la recomendación OIML R 50-1:2014.
B.1.2.9 Caudal de alimentación: Caudal del producto de un dispositivo previo sobre el transportador durante los procedimientos de prueba con producto.
B.1.2.10 Carga totalizada mínima (min): Cantidad totalizada, en unidades de masa, por debajo de la cual una totalización puede estar sujeta a errores relativos excesivos.
B.1.2.11 Carga máxima por unidad de longitud de la banda: Cociente de la capacidad máxima del módulo de pesaje y la longitud de pesaje.
B.1.2.12 Precisión de medida (Precisión): Proximidad entre las indicaciones o los valores medidos obtenidos en mediciones repetidas de un mismo objeto, o de objetos similares, bajo condiciones específicas, como son las condiciones de repetitividad, condiciones de precisión intermedia, o condiciones de reproducibilidad (véase la norma ISO 5725-3:1994).
B.1.2.13 Condición de repetitividad de una medición (Condición de repetitividad): Condición de una medición, que incluye el mismo procedimiento de medida, los mismos operadores, el mismo sistema de medida, las mismas condiciones de operación y el mismo lugar, así como mediciones repetidas del mismo objeto o de un objeto similar en un periodo corto de tiempo. La condición de medición es una condición de repetitividad únicamente respecto a un conjunto dado de condiciones de repetitividad.
B.1.2.14 Repetitividad de medida (Repetitividad): Precisión de medida bajo un conjunto de condiciones de repetitividad.
B.1.2.15 Dispositivo indicador de carga instantáneo: Dispositivo que indica el porcentaje de la capacidad máxima, o la masa de la carga que actúa sobre el módulo de pesaje en un momento dado.
B.1.2.16 Dispositivo indicador de caudal: Dispositivo que indica el caudal instantáneo; ya sea como la masa del producto transportado en unidad de tiempo o como un porcentaje del caudal máximo.
B.1.2.17 Magnitud de influencia: Magnitud que, en una medición directa, no afecta a la magnitud que realmente se está midiendo, pero sí afecta a la relación entre la indicación y el resultado de medida.
B1.3 Definiciones respecto a las pruebas.
B.1.3.1 Prueba con producto: Prueba realizada en un instrumento completo utilizando el tipo de producto que está destinado a pesar.
B.2 Abreviaturas y símbolos
| Símbolo | Significado |
| I | Indicación del instrumento de medida |
| In | Enésima indicación |
| L | Carga |
| min | Carga totalizada mínima |
| Q | Caudal |
| Qmax | Caudal máximo |
| Qmin | Caudal mínimo |
| L | Carga adicional para el siguiente punto de cambio |
| P | I + 1/2 e - L = Indicación antes del redondeo (indicación digital) |
| E% | 100 × (P - L) / L = error porcentual |
| D | Intervalo de la escala de totalización |
| E | Intervalo de la escala de totalización utilizado para las pruebas |
| WL | Longitud de pesaje |
| EMP | Error máximo permitido |
| Max | Capacidad máxima del instrumento de pesaje |
| Min | Capacidad mínima del instrumento de pesaje |
| v | Velocidad de funcionamiento |
| vmin | Velocidad de funcionamiento mínima |
| vmax | Velocidad de funcionamiento máxima |
B.3 Medición de la masa de combustibles sólidos.
La energía proveniente de los combustibles consumidos por las calderas para la generación de energía eléctrica se obtiene con base en la energía del combustible. La energía del combustible es medida a partir de la medición de la masa del combustible sólido (carbón o biomasa residual como madera, hojas de maíz, bagazo de caña de azúcar, etc.), así como del poder calorífico asociado al combustible como se muestra en la ecuación B. 1:
donde:
Dependiendo del tipo de material, la forma de alimentación al proceso, la exactitud requerida, entre otras características, se deben elegir los instrumentos apropiados para la medición de la masa del combustible. Debe considerarse también en la selección del equipo, la posibilidad de comunicarlo con otros sistemas para el control de la Central Eléctrica.
Debido a que es necesario medir la masa del combustible por periodos específicos, el instrumento utilizado debe ser capaz de medir la masa de los combustibles a granel, totalizando los valores de la carga (masa) de manera automática y continua, totalizando los valores de la masa del combustible en un determinado periodo de tiempo.
La carga totalizada estará compuesta de la masa del combustible afectada por las impurezas que el combustible pudiera tener (por ejemplo, humedad), la cual afecta al valor de la carga medida y debe ser corregida para evitar cometer errores en los cálculos correspondientes.
B3.1 Incertidumbre requerida en la medición de la masa del combustible sólido.
La tolerancia definida para el cálculo de la eficiencia en la generación de energía es del 10 % (ver Figura B.1) respecto al valor medio (asumiendo simetría en el intervalo de tolerancia), de conformidad con la ecuación B. 2.
La incertidumbre de la medición de la masa del combustible debe ser consistente con el valor de la incertidumbre requerida en la medición de la eficiencia de la energía, y por consiguiente la selección de las características metrológicas del instrumento de medición de la masa debe realizarse teniendo en consideración estos valores (por ejemplo, capacidad, resolución, repetitividad, clase de exactitud, error máximo permitido, entre otras).
B.4 Equipo de medición a utilizar.
El funcionamiento de una caldera debe ser continuo para asegurar condiciones similares de eficiencia y generación de energía, para lo que debe de asegurarse una alimentación controlada del combustible. En los procesos industriales pueden encontrarse equipos dispensadores posteriores a la banda transportadora, como se muestra a continuación:
| Figura B. 2 - Fragmento de un modelo de cogeneración con biomasa sólida que muestra la alimentación de la caldera (10) con una banda transportadora que cuenta al final con un dispensador (7) que controla el paso del combustible a la caldera. | Figura B. 3 - Fragmento de una central termoeléctrica que muestra la alimentación de carbón a una caldera (4) mediante banda transportadora, seguida de un dispensador (2) para controlar el carbón que ingresa a la caldera. |
Con base en lo anterior y tomando en cuenta el funcionamiento de una caldera y la necesidad de medir en masa ya sea del combustible fósil (carbón) o la biomasa sólida introducida a la misma con una incertidumbre relativa de medición menor a 0.83 %, se determinó que el instrumento que cubre todos estos requerimientos es un instrumento para pesar automático de totalización continua o instrumento para pesar en banda. Utilizando esta tecnología se tendrán las dos funciones, la banda transportadora llevara el combustible a la caldera y el instrumento para pesar determinara el valor totalizado de masa del combustible, mientras éste está siendo transportado con una incertidumbre relativa dentro de los límites permitidos. El pesaje en banda tiene la ventaja de realizarse de manera dinámica, es decir, que no se necesita detener el proceso para realizar la medición. De forma resumida el esquema de medición se vería de la siguiente forma:
Figura B. 4 - Pesaje en banda de combustibles sólidos; ej. biomasa o carbón.
Este esquema básico puede llevar otros elementos adicionales según el tipo de material transportado, la ubicación, características de la caldera, etc. Los instrumentos para pesar en banda tienen una clasificación dada por la recomendación internacional OIML R 50-12014, y cada clase de exactitud tiene asociado un error máximo permitido (EMP) asociado a la medición de la carga (masa) del instrumento. En la Tabla B.1 se muestran las clases de exactitud y los errores máximos permitidos correspondientes, teniéndose la posibilidad de elegir entre los instrumentos clase 0.2 o 0.5, los cuales tendrían un EMP (0.2 % y 0.5 % respectivamente) compatible con la incertidumbre requerida para la estimación de la energía del combustible (inc(F) ± 3 %).
Tabla B. 1 - Errores máximos permisibles para pesaje automático.
| Clase | Porcentaje de la masa de la carga totalizada |
| Verificación inicial | En-servicio |
| 0.2 | 0.10 | 0.20 |
| 0.5 | 0.25 | 0.50 |
| 1 | 0.50 | 1 |
| 2 | 1.0 | 2.0 |
B.5 Resumen de características del instrumento para pesar propuesto.
B5.1 Definiciones
Instrumento: Instrumentos para pesar de funcionamiento automático de banda.
Clase de exactitud: 0.2 y 0.5.
Error máximo permitido: 0.2 % y 0.5 %
Características de diseño: En función de la cantidad y tipo de material a transportar, además de las características físicas del lugar en donde se propone instalar el instrumento, se debe proporcionar la siguiente información:
a) Espaciamiento del soporte de rodillos,
b) Tipo de rodillos,
c) Ancho de la banda,
d) Carga a transportar (t/hora),
e) Velocidad de la banda,
f) Tipo de revestimiento de la banda: Y o X depende del combustible transportado,
g) Largo de la banda que depende del lugar del suministro de carbón o biocombustible y de la ubicación de la caldera,
h) Recomendaciones adicionales sobre la instalación del instrumento
B5.2 Consideraciones.
Las especificaciones técnicas y las características de los equipos recomendados para el proceso de medición en banda deben tener como requisito que el instrumento utilizado para el pesaje tenga aprobación de modelo de acuerdo con la legislación nacional o en su defecto, si todavía no se contara con norma nacional, la aprobación de modelo de su país de origen comprobable acorde a la recomendación internacional OIML R 50-1:2014.
Este requisito garantiza que los valores medidos estarán dentro de los requisitos metrológicos estipulados en la OIML R 50-1:2014 para la clase de exactitud del instrumento y que se requieren para las mediciones de masa propuestas. En la mayoría de los instrumentos para pesar existe una relación costo-exactitud: entre más exacto es el instrumento mayor es su costo de adquisición y de mantenimiento. Para instrumentos de mayor exactitud, las condiciones de operación son más estrictas por lo que se debe realizar un proceso de confirmación metrológica para saber si el instrumento es el idóneo para el proceso de medición que se desea llevar a cabo. Otro de los detalles a tomar en cuenta para el trasporte sobre la banda es que la banda no permita la pérdida de material ya sea por la forma de la banda o por el tipo de material o construcción.
Figura B. 5 - Pesaje en banda de bagazo de caña de azúcar.
La banda de pesado en la Figura B. 5 cumple con los requisitos ya mencionados: la forma y el material de la banda evitan la pérdida de material y la caída por los bordes de la banda durante el transporte hacia la caldera. Se debe evitar el uso de bandas de maya o de alambre trenzado las cuales, debido a su construcción, tienen orificios que propiciarían la pérdida de material.
B5.3 Conectividad.
Los instrumentos para pesar automáticos de banda (o de totalización continua), debido a su uso en minas, fábricas, etc., cuentan con diversas opciones de comunicación. La Figura B.6 muestra un esquema de conectividad entre el sistema de medición y el sistema de almacenamiento de datos:
Figura B. 6 - Esquema de conectividad entre el sistema de medición de pesado y el sistema de
almacenamiento de datos.
Otro tipo de esquema más complejo es aquél donde la empresa tiene procesos programados en la operación del instrumento para pesar en banda un esquema de este tipo podría ser como el siguiente:
Figura B. 7 - Esquema alternativo de conectividad entre el sistema de medición de pesado y el sistema
de almacenamiento de datos
Los esquemas mostrados en las Figuras B.6 y B.7 no excluyen el diseño de otros esquemas de registro y almacenamiento de datos.
B5.4 Relaciones básicas
· Carga por desplazamiento de la banda = Q / v
Ejemplo:
donde:
Q = Caudal; v = Velocidad de funcionamiento;
· Carga por longitud de pesaje (la carga reconocida por el módulo de pesaje) = WL × Q / v
Ejemplo:
WL = 3 m carga por longitud de pesaje = 3 × 200 = 600 kg
donde:
Q = Caudal; v = Velocidad de funcionamiento; WL = longitud de pesaje
Por lo tanto, la carga reconocida por el módulo de pesaje en:
Qmax = es WL × Qmax / vmax,
y por lo tanto
Max = WL × Qmax / vmax
B5.5 Control metrológico
Las recomendaciones que se realizan a continuación de los periodos de calibración del equipo o los equipos se basan en el uso y en las condiciones de operación. Por lo regular los instrumentos para pesar automáticos de banda son de uso intenso y operan bajo condiciones ambientales extremas (calor intenso, frío, corrientes de aire), vibraciones, etc. Estos factores afectan sus características metrológicas por lo que se
deben tomar en cuenta para establecer los periodos de calibración.
Controles metrológicos a realizar:
a) Aprobación de modelo (Deseable): de acuerdo con la legislación nacional o en su defecto del país de origen comprobable acorde a la recomendación internacional OIML R 50-1:2014.
b) Verificación inicial (Requisito): se debe realizar recién instalado el equipo y probado su adecuado funcionamiento el resultado de la verificación debe ser satisfactorio para tener la certeza de que el instrumento está bajo control y dentro de parámetros de medición.
c) Calibración inicial (Requisito): si el instrumento ya tiene tiempo en uso (un año o más) seria demasiada exigencia una verificación inicial. En su lugar se realizaría una calibración cuyo informe o certificado incluya un anexo donde se dictamine si el error de indicación del instrumento se encuentra dentro del intervalo de aceptación (para la medición de la carga totalizada) de acuerdo con la clase de exactitud del instrumento de medición, 0.1 % y 0.25 % respectivamente para instrumentos clase 0.2 y 0.5 (mitad del EMP para el instrumento en uso).
d) Calibración periódica (Requisito): la primera calibración periódica (después de la verificación inicial o calibración inicial) debe realizarse a los seis meses de operación del equipo. Las subsecuentes calibraciones se deben determinar con base en una gráfica de control u otro método estadístico que ayude a determinar los periodos de calibración. En caso de que el instrumento se repare, se reemplace un componente, se dé mantenimiento por falla o por recomendaciones del fabricante, se debe volver a calibrar. El informe o certificado debe incluir un anexo donde se dictamine si el error de indicación del instrumento se encuentra dentro del intervalo de aceptación para la medición en masa (0.2 % y 0.5 % de error de la carga totalizada para instrumentos clase 0.2 y 0.5 respectivamente, el doble del EMP para el instrumento en verificación inicial).
B.5.5.1 Pruebas metrológicas.
Los ensayos se realizarán en sitio, con el instrumento para pesar de banda completamente ensamblado y fijado en la posición en la cual está destinado a ser usado. La instalación del instrumento para pesar de banda se diseñará de modo que la operación de pesaje automático sea prácticamente la misma para las pruebas que para la operación normal y las pruebas se puedan llevar a cabo de manera fiable y sencilla sin interrumpir la operación de pesaje.
B.5.5.2 Prueba con producto en sitio.
Antes de realizar las pruebas, el transportador debe operar (preferiblemente cargado) durante al menos 30 minutos a velocidad nominal. Un instrumento de control que cumpla los requisitos del OIML R 50-2:2014 debe estar disponible en todo momento en las proximidades del/los instrumento(s) para pesar de banda sometido(s) a prueba. El almacenamiento y el transporte deben estar dispuestos de manera que se evite la pérdida del producto. La verificación de la masa del producto utilizado puede realizarse antes o después de su paso sobre el instrumento para pesar de banda.
B.5.5.3 Métodos de prueba.
Las pruebas en sitio con producto se realizarán de la siguiente manera:
a) De acuerdo con las marcas descriptivas del instrumento;
b) Bajo las condiciones de uso para las cuales el instrumento para pesar de banda es destinado;
c) Con cargas de prueba representativas de los valores comúnmente medidos de la biomasa sólida o combustible fósil (carbón) en el instrumento para pesar de banda;
d) Con una cantidad de producto no inferior a la carga totalizada mínima (min), para la verificación inicial y la calibración;
e) Que el caudal se encuentre entre el valor mínimo y el máximo;
f) Realizar las pruebas en cada velocidad utilizada en el proceso de pesaje para instrumentos de banda con más de una velocidad o en el intervalo de velocidades para transportadores de velocidad variable.
B.5.5.4 Instrumentos de control y pesas patrón.
Para determinar el valor convencional de la masa de cada carga de prueba se debe disponer de un instrumento de control y de pesas patrón. El instrumento de control utilizado para la prueba con producto debe permitir determinar el valor convencional de la masa de cada carga de prueba con una exactitud de al menos un tercio del EMP de la clase de exactitud del instrumento para pesar.
Si fuera necesario, el instrumento de control debe ser verificado inmediatamente después del pesaje para comprobar que su rendimiento se mantenga. Las pesas patrón que son utilizadas como referencia para las pruebas de un instrumento deben cumplir con los requisitos metrológicos de la recomendación internacional OIML R 111.
B.5.5.5 Valor convencional de la masa de la carga de prueba.
Con el método de control para las pruebas en sitio, la carga de prueba debe ser pesada en un instrumento de control y la indicación del instrumento de control (después de la aplicación de las correcciones que sean necesarias) se considerará como el valor convencional de la masa de la carga de prueba.
B.5.5.6 Cálculo de errores relativos.
El error relativo, Er, se da como se muestra en las ecuaciones B. 5 y B. 6:
Para las pruebas en sitio método de control
donde:
Ib = Indicación del instrumento para pesar en banda
Ic = Indicación del instrumento de control (después de la aplicación de las correcciones que sean necesarias)
B.5.5.7 Pruebas a realizar y a reportar dependiendo del tipo de instrumento para pesar de funcionamiento automático de totalización continua.
Además de los datos que comúnmente debe contener el certificado (datos del cliente, instrumento, etc.), se deben reportar los resultados de las pruebas de repetitividad y error de indicación de la carga totalizada. Las pruebas se realizarán según el tipo de instrumento para pesar en banda:
a) Instrumento para pesar de funcionamiento automático de banda de una sola velocidad. Realizar la prueba de repetitividad y error de indicación de la carga totalizada en el:
1) caudal de alimentación máximo,
2) caudal de alimentación mínimo, y
3) en el caudal de alimentación intermedio.
b) Instrumento para pesar de funcionamiento automático de banda con múltiples velocidades (multi-velocidad): para cada velocidad del instrumento utilizada para la alimentación de la caldera se deben realizar las pruebas especificadas en el inciso A.
c) Instrumento para pesar de funcionamiento automático de banda con velocidad variable: realizar las pruebas especificadas en el inciso A para la velocidad mínima, media y máxima y realizar una prueba adicional del error de indicación de la carga totalizada en cada uno de los caudales de alimentación de acuerdo con el inciso A, variando la velocidad en toda su gama durante cada prueba.
B5.6 Trazabilidad de las mediciones
Para que las mediciones sean trazables, el equipo o los equipos de medición deben ser calibrados o verificados con patrones que tengan trazabilidad metrológica hacia el Patrón Nacional de Masa No. 21, el cual es conservado en el CENAM.
Mientras que el país no cuente con una norma oficial relativa a instrumentos para pesar de funcionamiento automático tipo banda, no podrán existir unidades de verificación acreditadas para estos equipos, así como laboratorios de calibración acreditados. De ser así, el único laboratorio que podría realizar las actividades de control metrológico de los instrumentos para pesar de funcionamiento automático de banda es el CENAM. Una vez que existan laboratorios de calibración y unidades de verificación acreditados para este fin, éstos podrán realizar este tipo de servicios con trazabilidad al patrón nacional de masa.
B5.7 Medición dentro de la delimitación de los procesos de cogeneración.
Una central de cogeneración suele estar constituida por turbinas de vapor, turbinas de gas o motores de combustión interna, que transforman la energía contenida en el combustible en energía mecánica y calor residual o de escape. La energía mecánica suele transformarse en energía eléctrica a través de un alternador (éste es el caso más usual), y el calor residual puede recuperarse en forma de vapor de agua, agua caliente, aceites térmicos y gases calientes, como fluidos de trabajo para las aplicaciones térmicas.
El combustible lo utilizan principalmente los equipos principales (motores) para una transformación en energía eléctrica y/o mecánica y térmica, además de equipos para generación térmica o calor, que pueden en el caso de los procesos de cogeneración, apoyar o sustituir el calor entregado por estos. Los equipos más usuales de este tipo son los siguientes:
a) Generadores o calderas convencionales para ajustar la producción de calor a la demanda en cada instante; o para su utilización de reserva en caso de fallo de los equipos principales.
b) Sistema de postcombustión, que tienen el mismo objetivo descrito, o sistemas de aire fresco que permitan incrementar o asegurar el suministro en el caso de fallo del motor principal.
c) Sistemas que permiten el uso de los motores como sistemas de emergencia (sin recuperación de calor).
El uso del combustible en estos equipos no aporta calor de cogeneración (definido como calor útil), aunque son estrictamente necesarios para asegurar el suministro y pueden estar relacionados con la central de cogeneración, o formar parte de otro conjunto de instalaciones. Es por esto que aquellas centrales de cogeneración que cuenten con este tipo de equipos deben disponer de sistemas de medida diferenciados para los equipos principales y los usos auxiliares. Para más información sobre la delimitación de los procesos de cogeneración revisar el Título Tercero del presente PROY-NOM.
B5.8 Normas, documentos o instrumentos nacionales e internacionales, que sustentan los procedimientos de medición propuestos en el presente Apéndice.
B.5.8.1 OIML R 50-1 Continuous totalizing automatic weighing instruments (belt weighers). Part 1: Metrological and technical requirements. Edición 2014.
B.5.8.2 OIML R 50-2 Continuous totalizing automatic weighing instruments (belt weighers). Part 2: Test procedures. Edición 2014
Apéndice C
(Normativo)
Requisitos para la medición de presión y temperatura de fluidos.
C.1 Introducción.
Las Centrales Eléctricas requieren, para el control de su proceso, medir presión y temperatura en diversas etapas, desde la recepción de combustible, su transporte, producción de vapor para producir energía térmica y energía eléctrica, hasta la liberación de los desechos del proceso. El nivel de incertidumbre de los instrumentos utilizados para medir temperatura y presión deben estar acordes con el nivel de incertidumbre esperado en la producción de energía eléctrica y/o térmica.
Los instrumentos comúnmente utilizados para medir presión y temperatura son del tipo transmisores, esto es debido a su capacidad de comunicación y convertir señales de presión y temperatura en señales eléctricas, señales que son enviadas a una computadora en donde se procesan para estimar flujo y energía.
El flujo de vapor de agua puede ser medido con transmisores de presión diferencial en diversos tipos de medidores de flujo y la temperatura del vapor con transmisores de temperatura con sensor de resistencia de platino o tipo termopar. Debido a que las centrales de generación eléctrica tienen sus instalaciones al aire libre, los transmisores de presión y temperatura que se utilicen deben de contar con compensación térmica que permita mantener identificadas las condiciones reales de trabajo.
Las condiciones de trabajo deben ser tomadas en cuenta al momento de elegir la ubicación de los instrumentos de medición, desde el diseño, construcción y puesta en marcha de la central. Dentro de la instrumentación permanente de la central se encuentra la utilizada para las mediciones del proceso, conexiones, condensadores, columnas de agua, mediciones redundantes, cambios en localización, aplicabilidad, correcciones ambientales, inspección de columnas de agua.
C.2 Instrumentación.
La instrumentación se clasifica en primaria y secundaria. La instrumentación primaria se refiere a aquélla que mide los valores necesarios para los cálculos, mientras que la secundaria se refiere a aquellas variables que se utilizan para comprobar que se cumplan con las condiciones especificadas para un correcto uso de la instrumentación primaria. La calidad de los transmisores de presión y temperatura primarios deben de ser de alta clase de exactitud, mientras que la instrumentación secundaria puede ser de baja clase de exactitud; la instrumentación secundaria puede ser instalada de manera permanente en la central. Toda la instrumentación, primaria o secundaria, requiere verificación y calibración antes de realizar las pruebas.
Las centrales de generación eléctrica pueden trabajar con combustibles líquidos o gases por lo que, para evitar accidentes, los transmisores de presión y temperatura deben ser a prueba de explosión.
Tabla C. 1 - Sistemas de medición de presión y temperatura.
| INSTRUMENTO | CANTIDAD | APLICACIÓN | Características del transmisor |
| Transmisor De Presión | 2/LÍNEA | Medición de presión a la entrada de combustible | con display integrado, compensación de temperatura, comunicación Hart, escalable, a prueba de explosión |
| Transmisor De Temperatura Con Sensor | 2/LÍNEA | Medición de temperatura a la entrada de combustible | con display integrado, compensación de temperatura, comunicación Hart, escalable, sensores PT100 4 hilos y termopar |
| Transmisor De Presión Diferencial | 2/LÍNEA | Medición de presión a la entrada de combustible | con display integrado, compensación de temperatura, comunicación Hart, escalable |
| Transmisor De Presión | 2/LÍNEA | Medición de presión a la entrada de agua | con display integrado, compensación de temperatura, comunicación Hart, escalable |
| Transmisor De Temperatura Con Sensor | 2/LÍNEA | Medición de temperatura a la entrada de agua | Clase de exactitud 0.02%, con display integrado, compensación de temperatura, comunicación Hart, escalable, sensores PT100 4 hilos y termopar |
| Transmisor De Presión | 2/LÍNEA | Medición de presión a la salida del vapor | con display integrado, compensación de temperatura, comunicación Hart, escalable |
| Transmisor De Temperatura Con Sensor | 2/LÍNEA | Medición de presión a la salida del vapor | Clase de exactitud 0.02%, con display integrado, compensación de temperatura, comunicación Hart, escalable, sensores PT100 4 hilos y termopar |
| Transmisor De Presión Diferencial | 2/LÍNEA | Medición de presión a la salida del vapor | con display integrado, compensación de temperatura, comunicación Hart, escalable |
C.3 Calibración
Durante la calibración de transmisores de presión y temperatura, éstos se conectan en paralelo con el patrón de referencia, se comparan las indicaciones de los transmisores con las indicaciones de los patrones, entonces, la salida de los transmisores puede ser ajustada a la lectura de los patrones de referencia correspondientes. Este método de ajuste es forzoso para los transmisores de temperatura que utilizan termopares o resistencias de platino. Los certificados de calibración de los transmisores de presión deben indicar el nivel de referencia, para las posibles correcciones de presión de columna.
Los transmisores de presión y temperatura se deben de calibrar junto con el acondicionador de señal y por otro lado el acondicionador de señal se debe calibrar separadamente aplicando una señal conocida utilizando un generador de señal con exactitud adecuada.
Los transmisores de presión diferencial se deben calibrar a la presión estática del proceso, a menos que haya evidencia que la presión estática no afecta la exactitud. La calibración se puede realizar con:
a) una balanza de presión diferencial de exactitud adecuada, o
b) con dos balanzas de presión, o
c) con una balanza de presión y un manómetro diferencial patrón.
C3.1 Periodos de calibración de transmisores de presión y temperatura.
A menos que otra cosa sea especificada, se recomienda establecer el periodo de calibración de los transmisores. Si el transmisor es nuevo, se recomienda calibrarlo anualmente, a medida que se va calibrando y se cuenta con un historial de su comportamiento se puede recomendar el disminuir, mantener o ampliar el intervalo de re calibración.
C3.2 Revisiones intermedias de los transmisores de presión y temperatura.
Dentro del periodo de calibración se deben de realizar revisiones intermedias para comprobar que las posibles desviaciones o derivas del transmisor se mantengan dentro de los límites permitidos para garantizar la incertidumbre requerida. Estas revisiones intermedias también deben realizarse periódicamente y su periodicidad dependerá de la estabilidad del Instrumento Bajo Calibración (IBC). Inicialmente, si el periodo de calibración es de un año, se recomienda revisarlo cada medio año. La revisión intermedia se puede realizar con un manómetro de mejor clase de exactitud o con uno de la misma clase, siempre y cuando cuenten con calibración vigente y se apliquen las correcciones pertinentes.
En el caso de transmisor de temperatura con termopares, debido a la degradación de los termopares a altas temperaturas, el periodo de revisión intermedia debe tener una frecuencia mínima de tres meses. En caso de que un transmisor sea removido de la línea de proceso, antes de volverlo a instalar se debe de hacer una revisión intermedia en al menos un punto de calibración para confirmar que se mantiene bajo las especificaciones requeridas.
Las revisiones intermedias referidas, así como las acciones derivadas de dichas revisiones deben ser registradas en la bitácora de eventos de la Central Eléctrica a la que se refiere en 19.4 del presente PROY-NOM.
C3.3 Instrumentación redundante.
Para las mediciones que intervienen en el cálculo de la energía se debe utilizar instrumentación redundante con al menos dos instrumentos de las mismas características metrológicas que midan la misma variable al mismo tiempo. En este caso se debe de tener un estudio del comportamiento de cada Transmisor, evaluando la deriva de cada uno y así considerar al de mejor comportamiento para propósitos de cálculo.
C3.4 Conexión a tierra.
Todos los cables que lleven señales de los sensores de presión y temperatura deben estar aterrizados para evitar distorsiones de la señal de los sensores.
C3.5 Programa de aseguramiento de la calidad.
El programa de aseguramiento de la calidad permite documentar los procedimientos de calibración, entrenamiento del personal, registro de los patrones de calibración y de los instrumentos calibrados, programas de recalibración y el historial de los instrumentos. El programa de aseguramiento de la calidad debe ser diseñado para asegurar que los transmisores serán calibrados cuando les corresponde, de acuerdo con la fecha programada. El programa de aseguramiento de calidad debe ser auditado periódicamente.
C3.6 Patrones de referencia.
El patrón debe tener trazabilidad al Sistema Internacional de Unidades a través del laboratorio nacional que tenga reconocida su capacidad de medición en la Oficina Internacional de Pesas y Medidas o a través de laboratorios acreditados reconocidos por ILAC. El Patrón debe tener un intervalo calibrado que cubra el intervalo a calibrar del IBC. En el caso de los transmisores de presión, el patrón para calibrarlos debe tener una incertidumbre tres veces mejor que la tolerancia del transmisor especificada por el fabricante.
En el caso de los transmisores de temperatura, el patrón para calibrarlos debe tener una incertidumbre dos veces mejor que la tolerancia del transmisor especificada por el fabricante. La incertidumbre del patrón debe incluir la contribución a la incertidumbre debida al error declarado en su calibración y su error debe ser corregido antes de comparar su indicación con la del transmisor a calibrar.
C3.7 Condiciones ambientales.
Es recomendable calibrar los transmisores a las condiciones ambientales de trabajo normal, pero debido a que normalmente no se encuentran en instalaciones con temperatura controlada se recomienda calibrarlos a temperatura de 20 °C ± 3 °C, aplicando las correcciones necesarias y que los transmisores tengan compensación térmica para mantener su exactitud en un intervalo de temperatura. Si se excede este intervalo se deben hacer las correcciones pertinentes de acuerdo con el manual del fabricante.
C3.8 Puntos de calibración.
Los puntos de calibración se definen por la clase de exactitud del instrumento a calibrar. Por su clase de exactitud, los transmisores de presión deben medirse al menos en 8 puntos de su intervalo de medición. Es requisito que los transmisores de temperatura se calibren en al menos 5 puntos cubriendo desde 15 °C debajo de la temperatura mínima de trabajo hasta un 50 °C arriba de la temperatura máxima de trabajo, si la capacidad del sensor lo permite.
C3.9 Determinación de histéresis.
Los transmisores de presión se deben calibrar, en todos los puntos, en al menos un ciclo y medio de series ascendentes y descendentes para determinar histéresis. Los transmisores de temperatura se deben calibrar, en todos los puntos, en ascenso y en descenso para determinar histéresis.
C3.10 Intervalos de medición.
Algunos instrumentos se utilizan en diferentes intervalos de toda su capacidad de medición. Cada intervalo que se utilice en el proceso debe ser calibrado.
C.4 Instalación
C4.1 Transmisores de presión.
Los Transmisores de vacío deben de instalarse en la línea con pendiente hacia arriba. Todas las líneas de detección de vapor o agua deben ser purgadas con una pequeña cantidad de aire o nitrógeno para evitar la formación de columnas de agua en la línea. Antes de iniciar la prueba se debe tomar lecturas con el sistema de purga prendido y apagado para asegurar que no haya influencia de columnas de agua en la línea.
Los transmisores de presión relativa de servicio de gas deben instalarse en la línea de detección con pendiente hacia arriba. Este método evita inexactitudes por posibles condensaciones en la línea de detección.
Los transmisores de presión en servicio de líneas de agua o vapor deben instalarse con la línea de detección con pendiente hacia abajo, esto asegura que la línea de detección siempre estará llena de agua. Para el servicio de vapor, la línea de detección debe extenderse horizontalmente al menos 60 cm desde la fuente, antes de que la pendiente hacia abajo inicie. Esto permitirá la condensación y que la pendiente hacia abajo se llene totalmente de líquido. Las columnas de líquido generan una presión de columna que debe corregirse respecto a la presión medida.
C4.2 Correcciones por presión de columna.
Para hacer el cálculo de la presión de columna se requiere conocer la aceleración de la gravedad local y la densidad del fluido. Para la estimación de la densidad del fluido manométrico, comúnmente se requiere conocer la temperatura y presión del fluido y la presión atmosférica con el objetivo de calcular la densidad en función de temperatura y presión, de acuerdo con la ecuación C. 1:
donde
= es la densidad del fluido, depende de la temperatura y presión
g = es la aceleración de la gravedad local, depende de la latitud y altitud
h = es la altura de la columna de fluido
La aceleración de la gravedad se puede calcular con base en la ecuación C. 2, la cual depende de las variables latitud y altitud, obtenidas por medio de tecnología GPS.
donde:
gl = aceleración local de la gravedad en m/s2.
Æ = latitud en grados.
H = altitud del lugar, altura sobre el nivel del mar en m.
G = 9,780 318 m/s2 aceleración de la gravedad en el ecuador.
b1 = 0,005 302 4.
b2 = 0,000 005 8.
Cada transmisor de presión debe de instalarse con una válvula de aislamiento al final de la línea de detección, aguas arriba del instrumento. Esta válvula permite ventear y eliminar sedimentos antes de instalar el transmisor.
Los transmisores de presión diferencial se utilizan para la medición de flujo de gases o líquidos. El flujo del fluido en el sensor de flujo produce una caída de presión; el transmisor de presión diferencial mide esta diferencia de presión, la cual se utiliza para el cálculo del flujo del fluido. Debe de ser instalado con una válvula de 5 vías, a fin de eliminar la posibilidad de fugas después de la válvula de ecualización. Si el transmisor de presión diferencial es usado para gas, la línea de detección debe tener pendiente hacia arriba del instrumento, a fin de eliminar la posibilidad de error por la condensación de humedad en la línea de detección.
Los transmisores de presión diferencial usados en vapor, agua u otro líquido, deben de instalarse con la línea de detección hacia abajo. Cuando un transmisor de presión diferencial se instala sobre un sensor de flujo que está localizado en una línea vertical de vapor o agua, es necesario realizar una corrección.
C4.3 Verificación de fugas.
Una vez instalados todos los transmisores de presión se debe verificar la hermeticidad de la línea. Para verificar si existen fugas, se aísla el sistema de purga y se cierra la fuente de presión; si no hay fugas, la indicación de los transmisores no cambiará.
C4.4 Transmisores de temperatura
Todos los cables de señal de temperatura deben ser aterrizados para drenar cualquier corriente inducida por equipo eléctrico cercano. Todos los cables de señal deben ser instalados lejos de cualquier motor, generador, conductores eléctricos y paneles de servicio eléctrico.
C4.5 Incertidumbre requerida
Los transmisores de temperatura requieren tener una incertidumbre menor o igual a 0.3 °C para temperaturas menores a 93 °C, y no más de 0.6 °C para temperaturas mayores a 93 °C.
C4.6 Sensores de termopar
Los termopares son sensores diferenciales cuya respuesta se incrementa con la diferencia de temperatura respecto a la temperatura de referencia; la sensibilidad varía dependiendo del tipo de termopar. Los termopares tipo E presentan mejor sensibilidad y se pueden usar hasta temperaturas de 760 °C. Los termopares son susceptibles a derivar debido a cambios bruscos de temperatura por lo que se debe evitar los choques térmicos.
C4.7 Sensores de resistencia de platino
Los sensores de resistencia de platino con arreglo de 4 hilos pueden ser utilizados en las mediciones de las Centrales Eléctricas, pudiendo medir hasta 650 °C. El cálculo de temperatura para los sensores de temperatura resistiva (RTD por sus siglas en inglés) se debe realizar de acuerdo con la Escala Internacional de temperatura EIT-90.
C4.8 Calibración de los transmisores de temperatura
La calibración de los transmisores de temperatura se debe hacer insertando el sensor del transmisor en un baño termostático junto al sensor del termómetro patrón. La temperatura se ajusta con el control del baño termostático y se deja estabilizar hasta que las variaciones sean menores que la incertidumbre del termómetro patrón.
C.5 Instalación de sensores de temperatura.
C5.1 Medición de temperatura en un tubo o recipiente.
La medición de temperatura de un fluido en un tubo o recipiente es acompañada de la instalación de un termopozo, con profundidad y diámetro adecuados para cada caso. Además, el fondo del termopozo debe ser de la misma forma que la punta del sensor de temperatura para hacer eficiente el contacto térmico. El termopozo debe ser colocado en un área donde el fluido está bien mezclado y libre de gradientes, si se localiza cerca de la descarga de un calentador, turbina o condensador el termopozo debe estar aguas abajo de un codo en el tubo. Si se instala más de un termopozo, éste debe instalarse en el lado opuesto del tubo y no directamente aguas abajo del otro termopozo.
Cuando se instala el sensor de temperatura en el termopozo se debe presionar con resortes para forzar el contacto de la punta del sensor con el fondo del termopozo. Para mediciones de alta exactitud se recomienda que se aísle la parte saliente del termopozo para reducir las fugas térmicas.
Para medir la temperatura de vapor sobrecalentado, la localización del termopozo respecto a la inyección de rocío sobrecalentado debe ser cuidadosamente seleccionada. El termopozo debe ser localizado donde el agua sobrecalentada esta vigorosamente mezclada con el vapor, esto puede ser complementado colocando el termopozo aguas debajo de 2 codos en la línea de vapor después del punto de inyección.
C5.2 Medición de temperatura en fluido a baja presión en un tubo o recipiente
Si se mide la temperatura de un fluido a baja presión el sensor de temperatura puede ser colocado directamente sobre el tubo o recipiente.
C5.3 Medición de temperatura de productos de combustión en un ducto
La medición de temperatura de un fluido en un ducto requiere de varios puntos de medición para minimizar el efecto de los gradientes térmicos. Generalmente la presión en los ductos es baja o negativa de tal manera que los termopozos no se requieren. El número de puntos recomendado son uno cada 2.7 m, mínimo 4 puntos, máximo 36 puntos.
Apéndice D
(Normativo)
Requisitos detallados para la medición de poder calorífico de sólidos, líquidos y gases
D.1 Introducción.
El poder calorífico se debe expresar en unidades de MJ/kg. El poder calorífico superior se representa como Qg. y el poder calorífico inferior se representa como Qn (ASTM D4809-18).
D.2 Combustibles líquidos.
Las Normas Oficiales Mexicanas utilizadas como referencia para la determinación del poder calorífico en combustibles líquidos son las siguientes:
a) Norma Oficial Mexicana de Emergencia NOM-016-CRE-2016, Especificaciones de calidad de los petrolíferos.
b) Norma Oficial Mexicana NOM-086-SEMARNAT-SENER-SCFI-2005, Especificaciones de los combustibles fósiles para la protección ambiental.
c) Norma Mexicana NMX-AA-174-SCFI-2015. Especificaciones y requisitos para la certificación de sustentabilidad ambiental en la producción de bioenergéticos líquidos de origen vegetal.
Para el caso de interés, de los combustibles líquidos fósiles utilizados en la generación de energía eléctrica la Norma Oficial Mexicana NOM-016-CRE-2016, establece las especificaciones y métodos de prueba para los combustibles líquidos, especialmente los métodos de prueba para la determinación del poder calorífico. En este sentido, la NOM-016-CRE-2016 establece los métodos de prueba ASTM D4868-17 y ASTM D4809-18, para la estimación de calor inferior y superior de combustión, de combustibles industriales fósiles líquidos y para quemadores. Particularmente el combustible industrial de mayor interés en la generación de energía eléctrica es el combustóleo, y en menor grado, el diésel.
D2.1 Determinación del poder calorífico superior e inferior de combustibles fósiles líquidos. Método Instrumentado. Bomba Calorimétrica.
La determinación del poder calorífico por métodos instrumentados, no empíricos, implican la utilización de una bomba calorimétrica para determinar el poder calorífico superior y posteriormente determinar el poder calorífico inferior o neto. Esto en función del contenido de hidrógeno en la muestra, el cual es previamente determinado por el método de la lámpara o por resonancia magnética nuclear.
La determinación del calor de combustión por bomba calorimétrica debe realizarse de acuerdo con el método de prueba ASTM D4809-18. Este método de prueba es directamente aplicable, a combustibles como gasolinas, querosenos, combustóleo No. 1 y No. 2, diésel 1-D y 2-D, 0-GT, y gas turbina 0-GT, 1-GT y 2-GT.
D.2.1.1 Equipo mayor, reactivos y materiales requeridos.
a) Calorímetro. Para la determinación del poder calorífico superior, de acuerdo con las condiciones de operación se recomienda el uso de calorímetros isoperibólicos, tales como el modelo 6200 Parr o el IKA C 6000 Isoperibol.
b) Acido benzoico, en forma de pellets, material de referencia certificado en el poder calorífico superior.
c) Alambre de encendido: Tres opciones: alambre de platino de 0.127 mm (No. 36), alambre de hierro No. 34 B & S, o alambre de cromel C. Cortados en segmentos de 100 mm de longitud.
d) Indicador rojo de metilo.
e) Oxígeno comercial.
f) Cinta sensible a la presión, de celofán de 38 mm de ancho, libre de cloro y azufre, para adicionar el combustible al porta muestras (copa).
g) Solución para titulación: de hidróxido de sodio 0.0866 N.
h) Trimetilpentano (isooctano), para combustibles volátiles.
i) Agua tipo IV y tipo II (ASTM D1193-06).
j) Para calcular el poder calorífico inferior, es necesario determinar el contenido de hidrógeno en la muestra de combustible, por medio de los métodos de prueba ASTM D1018-11 o ASTM D7171-16, para lo cual se requiere el uso del arreglo lámpara-quemador de cristalería de laboratorio (ASTM D1018-11) o la utilización de un espectroscopio de resonancia magnética nuclear de baja resolución (ASTM D7171-16), como el modelo Minispec Bruker o el SpinPulse CX-20 Cosa Xentaur, entre otros.
D.2.1.2 Procedimiento general de operación del calorímetro.
Las principales etapas en la determinación del poder calorífico superior mediante bomba calorimétrica implican la estandarización o calibración del equipo, la preparación y pesada de la muestra, el ajuste de la temperatura del agua del calorímetro y su pesada, la medición del incremento de la temperatura durante la ignición y el análisis de los contenidos de la bomba después de la ignición. A continuación, se describen, de forma general estas etapas. En el Apéndice E, se presenta el procedimiento detallado para realizar la prueba calorimétrica.
D.2.1.2.1 Estandarización del calorímetro.
La estandarización o calibración del calorímetro, es el primer paso para la determinación del poder calorífico superior por calorimetría, e implica la determinación de la energía equivalente del calorímetro, que corresponde a la capacidad calorífica del equipo determinada a partir de un material de referencia, en este caso, ácido benzoico. Después de haber establecido un valor de energía equivalente, se recomienda determinar este valor a intervalos frecuentes usando ácido benzoico, utilizando el promedio de las últimas seis determinaciones realizadas mientras éstas tengan un Desplazamiento Espectral de Respuesta (RSD por sus siglas en inglés) de 0.1 % o menos. En el caso del uso de combustibles volátiles en el equipo, la energía equivalente puede ser determinada utilizando 2,2,4 trimetil pentano.
D.2.1.2.2 Pesada de la muestra.
Al tratarse de combustibles líquidos, el volumen de la muestra a agregar a la copa (portamuestras), previamente pesada junto con la cinta sensible a la presión, necesario para producir un incremento de temperatura equivalente a aproximadamente 30000 J, puede ser calculado con la ecuación D. 1:
donde:
V= volumen de la muestra a utilizar, cm3.
W = energía equivalente del calorímetro, J/oC.
Q = poder calorífico aproximado de la muestra, MJ/ kg.
D = densidad de la muestra, g/cm3.
Una vez que el volumen haya sido agregado es necesario registrar el peso nuevamente.
D.2.1.2.3 Ajuste de la temperatura del agua y pesada.
Pesar el contenedor del agua, seco, y posteriormente agregar el agua tipo IV, entre 2000 g y 2100 g. Para
el caso isoperibólico, el ajuste de la temperatura debe realizarse de tal forma que se encuentre unas pocas décimas de grado debajo de la temperatura inicial deseada.
D.2.1.2.4 Medición de la temperatura durante la ignición.
En los calorímetros isoperibólicos, la medición de la temperatura está completamente instrumentada y automatizada, es decir, el usuario no realiza ningún registro manual. En un periodo intermedio de aproximadamente 12 minutos, la carga en la bomba es encendida, ocurriendo un cambio de temperatura, debido principalmente al calor liberado por la reacción de combustión en la bomba y en segundo término, con mucho menos influencia, al calor de agitación y al intercambio de calor con el medio. En un periodo final, de 9 a 11 minutos, el cambio de temperatura se debe nuevamente sólo a las filtraciones de calor y al calor de agitación.
D.2.1.2.5 Análisis de residuos y correcciones.
Una vez finalizada la prueba en el calorímetro, es necesario lavar la bomba, los electrodos y la copa, con la menor cantidad posible de agua tipo II, preferentemente menos de 300 ml. Estos lavados deben ser titulados con la solución estándar alcalina utilizando como indicador naranja de metilo para determinar la presencia de ácido nítrico. Además, será necesario realizar las correcciones por:
a) Corrección por formación con ácido nítrico (e1).
b) Corrección por ácido sulfúrico (e2).
c) Corrección por la utilización de cinta sensible a la presión (e3).
d) Corrección por alambre de ignición (e4).
D.2.1.3 Metodología de cálculo.
El calor de combustión determinado por calorimetría corresponde al calor de combustión superior a la temperatura final del experimento, Qg (t, °C). Los lineamientos de la Comisión establecen como parámetro de evaluación, el poder calorífico inferior, Qn, por lo que en la presente sección se presentan las ecuaciones D. 2 D. 3 y D. 4 para los cálculos posteriores independientes, necesarios para determinar el poder calorífico inferior Qn. Asimismo, la ecuación D. 4
a) Cálculo del poder calorífico superior a la temperatura del experimento, Qg (t °C).
b) Determinación del poder calorífico superior a 25 °C, Qg (25 °C.).
c) Determinación del poder calorífico inferior a 25 °C, Qn (25 °C).
donde:
Qn (25 °C) = poder calorífico inferior a presión constante, MJ/kg.
Qg (25 °C) = poder calorífico superior a volumen constante y a 25 °C, MJ/kg.
e1, e2, e3, e4= las correcciones indicadas en el apartado D.2.1.2.5
A = factor de corrección del calor de combustión a partir de la temperatura de combustión. Los valores de A están tabulados en el Apéndice G, en función del Qg. (MJ/kg°C)
H = Contenido de hidrógeno, % masa, determinado por medio de los métodos de prueba ASTM D1018-11 o ASTM D7171-16.
El contenido de hidrógeno en combustóleos está en un rango aproximado de 10 % a 13 %. Por lo tanto, la diferencia entre el poder calorífico superior y el poder calorífico inferior se estima entre 5.5 % y 6.5 % para este tipo de combustibles.
D.2.1.4 Determinación del contenido de hidrógeno y azufre en los combustibles líquidos industriales para la generación de energía eléctrica.
D.2.1.4.1 Contenido de Hidrógeno.
Para calcular el poder calorífico inferior es necesario determinar el contenido de hidrógeno en el combustible, empleando los métodos de prueba ASTM D1018-11 o ASTM D7171-16.
En el método ASTM D1018-11 la determinación del contenido de hidrógeno (% masa) se realiza a partir de la determinación del agua colectada en un arreglo lámpara-quemador de cristalería de laboratorio. Los cálculos requeridos para la determinación del porcentaje de masa de hidrógeno se obtienen a partir de las ecuaciones D. 5 y D. 6:
donde:
W = gramos corregidos de agua colectada.
w = gramos de agua absorbida.
t = tiempo, en segundos, para el análisis completo.
s = tiempo, en segundos, transcurrido entre la ignición del quemador y la inserción de la lámpara en la chimenea.
g = gramos de la muestra quemada.
Por otra parte, el método de prueba ASTM D7171-16 implica la utilización de un espectroscopio de resonancia magnética nuclear de baja resolución, (1 milisegundo o menos). La determinación del porcentaje en masa de hidrógeno se realiza directamente en el equipo por medio de rutinas de software basadas en la calibración, la respuesta del equipo y la masa de la muestra.
D.2.1.4.2 Repetitividad.
La diferencia entre resultados sucesivos, exceden los siguientes valores en uno de veinte casos:
Tabla D. 1 - Repetitividad.
| | Repetitividad, MJ/kg |
| Método | Superior | Inferior |
| Todos los combustibles | 0.097 | 0.096 |
| No-volátiles | 0.096 | 0.099 |
| Volátiles | 0.1 | 0.091 |
D.2.1.4.3 Reproducibilidad.
La diferencia entre dos resultados independientes excede los siguientes valores en uno de veinte casos:
Tabla D. 2 - Reproducibilidad
| | Reproducibilidad, MJ/kg |
| Método | Superior | Inferior |
| Todos los combustibles | 0.228 | 0.324 |
| No-volátiles | 0.239 | 0.234 |
| Volátiles | 0.207 | 0.450 |
D.2.1.4.4 Error sistemático.
El sesgo, MJ/kg para el calor superior es de 0.001 MJ/kg y para el calor inferior es 0.089 MJ/kg.
D.2.1.4.5 Incertidumbre.
Las principales fuentes de incertidumbre para el cálculo del poder calorífico inferior de combustibles líquidos son la repetitividad, la reproducibilidad, el error sistemático y la incertidumbre asociada a la calibración del equipo usando ácido benzoico. Por lo tanto, tomando como base para el cálculo el poder calorífico inferior promedio para el combustóleo de 43.7164 MJ/kg, el porcentaje de incertidumbre expandida es de 4.2 %.
D.2.1.5 Forma de medición.
Dadas las características para la determinación del poder calorífico inferior, la medición continua en el tiempo no es factible, por lo que se recomienda llevar a cabo esta determinación por lote de muestra o por intervalos de tiempo definidos, por ejemplo, número de veces al día. El monitoreo de los análisis químicos y caloríficos puede llevarse a cabo en línea vía Ethernet.
Tabla D. 3 - Especificaciones del método de medición del poder calorífico de combustibles líquidos.
| Método de Prueba | Equipo | Fuentes de Incertidumbre | Incertidumbre expandida del Poder Calorífico |
| ASTM D4809-18 Poder Calorífico Superior e Inferior | Bomba Calorimétrica, también llamado calorímetro isoperibólico | Repetitividad Reproducibilidad Calibración Error Sistemático | 4.2 % |
D.3 Poder calorífico de sólidos.
Para el caso de la determinación del poder calorífico de sólidos utilizados para la generación de energía eléctrica tales como los residuos agroindustriales, biomasas, o carbón las metodologías estandarizadas implican la utilización de la bomba calorimétrica.
Para los combustibles fósiles sólidos, tales como carbón y coque, se tiene la NMX-B-030-1984, Industria Siderúrgica, Carbón y Coque, valor calorífico del combustible sólido- bomba calorimétrica adiabática-método de prueba. Para combustibles no fósiles, se cuenta con la norma NMX-AA-033-1985, Protección al Ambiente-Contaminación del Suelo-Residuos Sólidos Municipales-Determinación del Poder Calorífico Superior.
A nivel internacional, la determinación del poder calorífico de combustibles sólidos fósiles está completamente estandarizada:
a) ASTM D5865-13 Método Estándar para el poder calorífico de Carbón y Coque.
b) ISO 1928:2009. Combustibles minerals sólidos. Determinación del poder calorífico por el método de bomba calorimétrica y cálculo del poder calorífico neto.
c) DIN 51900-1:2000. Determinación del poder calorífico superior de sólidos y líquidos usando una bomba calorimétrica y cálculo del poder calorífico inferior.
d) DIN 51900-2:2003. Determinación del poder calorífico de combustibles sólidos y líquidos utilizando calorímetro isoperibólico o static-jacket y cálculo del poder calorífico neto.
Para el caso de los combustibles no fósiles, tales como biomasas y residuos agroindustriales, la determinación del poder calorífico en la práctica científica está basada en la utilización de las normas aplicables a los combustibles fósiles sólidos como el carbón. Todos los métodos de prueba para combustibles sólidos, establecen el uso de bombas calorimétricas isoperibólicas o adiabáticas.
Debido a las condiciones de operación, como en el caso de los combustibles líquidos, el presente protocolo contempla solamente el uso de bombas calorimétricas isoperibólicas.
El procedimiento de operación del calorímetro para la determinación del poder calorífico de combustibles sólidos, es el mismo respecto a aquel descrito en el caso de combustibles líquidos.
D3.1 Protocolo para la determinación del poder calorífico superior e inferior de combustibles sólidos. Método Instrumentado. Bomba Calorimétrica.
D.3.1.1 Requerimientos de la muestra y equipamiento mayor.
a) La muestra sólida debe ser pulverizada para pasar el tamiz No. 60, 250 µm, preparada de acuerdo
con el método ASTM D2013. El muestreo debe llevarse a cabo de acuerdo con el método ASTM D2234-17 o ASTM D7430-18.
b) Calorímetro isoperibólico por ejemplo el modelo 6200 Parr o el IKA C 6000 Isoperibol.
c) Material de referencia de ácido benzoico, en forma de pellets, material de referencia certificado en el poder calorífico superior.
d) Indicador rojo de metilo.
e) Oxígeno comercial.
f) Solución para titulación: de hidróxido de sodio 0.0866 N.
g) Horno de espacio libre mínimo de aire y horno de secado al aire para la determinación de humedad.
h) Mufla eléctrica para la determinación de cenizas.
i) Analizador de azufre y analizador de carbón, hidrógeno y nitrógeno.
j) Agua tipo IV y tipo II (ASTM D1193-06).
D.3.1.2 Procedimiento general para muestras sólidas y correcciones.
a) Estandarización del calorímetro.
b) Pesada de la muestra.
c) Determinación del poder calorífico superior, mediante el uso de la bomba calorimétrica, de la muestra pulverizada y preparada de acuerdo con el método ASTM D2013. En el Apéndice E. se describe a detalle el procedimiento general de operación de un calorímetro.
d) Llevar a cabo la determinación de la humedad de acuerdo con las bases as-determined y as-received, esta última base corresponde a la humedad total. La humedad de la base as-determined, se determina de acuerdo con los métodos ASTM D3173/D3173M-17a o ASTM D7582-15. Por otro lado, la humedad total, es determinada de acuerdo con el método ASTM D3302/D3302M-17. La cantidad total de humedad de la muestra también puede ser evaluada usando la humedad determinada con los métodos ASTM 3173/3173M o ASTM D7582-15, conjuntamente con la evaluación de la pérdida de humedad por aire seco descrita en una de las secciones de la norma ASTMD3302. Se recomienda llevar a cabo la determinación total de la humedad, dentro de un plazo de 24 horas de la medición del poder calorífico superior.
e) Corrección por ácido nítrico.
f) La corrección por ignición
g) Análisis de azufre de la muestra de acuerdo con el método ASTM D4239-17. A partir del porcentaje peso de azufre, calcular las correcciones por azufre, ec3.
h) Corrección por combustión incompleta.
i) Cálculo del poder calorífico inferior. Este cálculo se lleva a cabo a partir del contenido de hidrógeno, nitrógeno, oxígeno y humedad, así como el poder calorífico superior y las correcciones correspondientes. La descripción general de las metodologías ASTM para la determinación de estos parámetros se presenta en la siguiente sección.
D.3.1.3 Metodología de cálculo.
El algoritmo de cálculo para determinar el poder calorífico inferior a presión constante, requerido por la CRE, de combustibles sólidos es el siguiente:
D.3.1.3.1 Poder calorífico superior a volumen constante.
El poder calorífico superior a volumen constante, corresponde al poder calorífico determinado por el equipo (bomba calorimétrica) tomando en cuenta las correcciones pertinentes. El poder calorífico superior se calcula a partir de la ecuación D. 7 y es el utilizado para los cálculos posteriores:
donde:
Qg,vad = poder calorífico superior a volumen constante de la muestra pulverizada y preparada de acuerdo con el método ASTMD 2013, J/g.
W = capacidad calorífica del calorímetro, J/oC.
t = incremento de temperatura corregido, oC.
ec1 = corrección por ácido.
ec2 = corrección por el alambre de ignición.
ec3 = corrección por contenido de azufre.
ec4 = corrección por el uso de un material auxiliar de la combustión.
D.3.1.3.2 Factor de corrección constante por el cambio de volumen a presión constante.
El factor de corrección constante por el cambio de volumen a presión constante se expresa en la ecuación D. 8
donde
(Qv-p) = es el factor de corrección constante por el cambio de volumen a presión constante
R = es la constante universal de los gases (8.314 J/mol-K)
T = es la temperatura de referencia termoquímica estándar, 298 K
Had, Oad y Nad = es el contenido, % masa, de hidrógeno, % oxígeno y % nitrógeno en la muestra, sobre la base as-determined.
El porcentaje de contribución de hidrógeno y oxígeno debido a la humedad no debe estar contenido en los términos Had y Oad. Para el caso de que únicamente se disponga del contenido de humedad sobre la base as-determined, Mad, así como del porcentaje de hidrógeno y porcentaje de oxígeno, (%Hm, %Om) incluyendo la humedad, los términos Had y Oad se pueden calcular de acuerdo con las ecuaciones D. 9 y D. 10:
D.3.1.3.3 Cálculo de las energías asociadas al calor de vaporización del agua.
La energía asociada al calor de vaporización del agua originado a partir del hidrógeno de la muestra, siendo Hvap el calor de vaporización, a presión constante del agua a 25 °C, 43985 J/mol se determina con la ecuación D. 11:
La energía asociada al contenido de humedad sobre la base as-determined, Qmad y la energía asociada al contenido de humedad sobre la base as-received, Qmar, se calculan a partir de las ecuaciones D. 12 y D. 13:
donde:
Md y Mr = son los valores del contenido de humedad, % peso, respecto a las bases as-determined y la base as-received, respectivamente.
D.3.1.3.4 Cálculo del poder calorífico inferior a presión constante, respecto al contenido total de humedad, Qn,par:
Para los efectos de este protocolo de medición, y dada la naturaleza de los combustibles sólidos posibles a utilizar (biomasas, residuos agrícolas, carbón, etc), únicamente se considera el poder calorífico inferior a presión constante sobre la base as-received, ya que ésta considera el total de humedad presente en la muestra, calculándose dicho poder calorífico inferior conforme a la ecuación D. 14:
El cálculo del poder calorífico inferior a partir de valores de base seca se presenta en el Apéndice F.
D.3.1.4 Determinación de parámetros para calcular el poder calorífico inferior.
D.3.1.4.1 Humedad.
a) ASTM D3173/D3173M-17a. Corresponde a la humedad de la base as-determined,
. En este método la humedad es determinada estableciendo la pérdida de peso de la muestra cuando es calentada en un horno de secado bajo condiciones establecidas de temperatura, tiempo y atmósfera inerte. b) ASTM D7582-15. Es un método completamente instrumental, en el que la masa de la muestra (1 g aproximadamente), en una atmósfera controlada, es registrada continuamente en función del tiempo y la temperatura.
c) ASTM D3302/D3302M-17. Este método para la determinación de humedad total, corresponde a la humedad sobre la base as-received. Este método de prueba está basado en la pérdida de peso de la muestra en una atmósfera de aire controlada rígidamente.
D.3.1.4.2 Cenizas
ASTM D3174-12. Las cenizas son determinadas mediante el peso de los residuos de la combustión de la muestra bajo condiciones controladas de temperatura y atmósfera.
D.3.1.4.3 Azufre
Norma ASTM D4239-17. En este método, la cantidad de azufre (% masa) es determinada por titulación ácido-base, titulación iodométrica o por radiación infrarroja. Actualmente existen equipos para realizar la determinación de azufre de acuerdo con este método de prueba tales como el horno de inducción CS800 de Eltra o el S832 de Leco.
D.3.1.4.4 Carbón, hidrógeno, nitrógeno y oxígeno
a) ASTM D5373-16. Este método de prueba trata de la determinación instrumental del porcentaje masa de carbón, hidrógeno y nitrógeno de forma concurrente. El método consiste en la combustión de la muestra a altas temperaturas en atmósfera de oxígeno, y el subsecuente análisis cuantitativo de los gases.
b) Oxígeno. Para el contenido de oxígeno no existe un método ASTM directo para su determinación, por lo que debe ser calculado a partir del contenido de los componentes especificados en el método ASTM D3176-15 (porcentaje peso de carbono, hidrógeno, nitrógeno, azufre y cenizas), de acuerdo con la ecuación D. 15:
D.3.1.5 Precisión.
D.3.1.9.1 Caso 1. Poder calorífico superior.
Los siguientes valores de repetitividad y reproducibilidad, corresponden al poder calorífico superior a volumen constante.
Repetitividad: El valor debajo del cual la diferencia absoluta entre dos resultados calculados, a base seca (ASTM D3180-15), de mediciones separadas y consecutivas, puede esperarse que ocurra con una probabilidad del 95 %.
Tabla D. 4 - Repetitividad para el poder calorífico superior.
| Material | Rango de poder calorífico grueso J/g | Límite de Repetitividad J/g |
| Coke | Nominal: 30340 J/g | 126 |
| Carbón Bituminoso | 26280-34190 | 149 |
| Carbón subbituminoso-lignito. | 21860-27680 | 193 |
Reproducibilidad: El valor debajo del cual la diferencia absoluta entre dos resultados calculados a base seca (ASTM D3180-15), llevados a cabo en diferentes laboratorios, puede esperarse que ocurra con una probabilidad del 95 %.
Tabla D. 5 - Reproducibilidad para el poder calorífico superior.
| Material | Rango de poder calorífico grueso J/g | Límite de Reproducibilidad J/g |
| Coque | Nominal: 30340 J/g | 258 |
| Carbón Bituminoso | 26280-34190 | 256 |
| Carbón subbituminoso-lignito. | 21860-27680 | 381 |
D.3.1.9.2 Caso II. Precisión del poder calorífico inferior.
Incertidumbre: El presente método de prueba no especifica valores para la repetitividad y reproducibilidad para el poder calorífico inferior, requerido por la Comisión. Los valores de este poder calorífico inferior seco se ven afectados por los errores de cada una de las determinaciones necesarias para su cálculo, tales como la humedad y el contenido de hidrógeno y oxígeno. Para la estimación de la incertidumbre expandida asociada a la determinación del poder calorífico inferior, las principales fuentes consideradas son: repetitividad y reproducibilidad (poder calorífico superior), incertidumbre de la calibración con ácido benzoico, y la incertidumbre asociada a la determinación del contenido de humedad, siendo este último, el factor más crítico que afecta el contenido energético de un sólido. Por lo tanto, tomando como base de cálculo un valor promedio de poder calorífico inferior para el carbón y distintos tipos de biomasa (Aniszewska et al. 2014) de 23.5676 MJ/kg, el porcentaje de incertidumbre expandida, es de 8.20 %. Es necesario aclarar que este valor, sólo puede ser contemplado para la misma especie de combustible sólido, dado la gran variedad que pudiera ser utilizado.
Forma de medición: Dado las características para la determinación del poder calorífico inferior, la medición continua en el tiempo no es factible, por lo que este tipo de medición se debe llevar a cabo por lote de muestra o por intervalos de tiempo definidos. El monitoreo de los análisis químicos y caloríficos puede llevarse a cabo en línea vía Ethernet.
Apéndice E
(Normativo)
Procedimiento general de la operación de un calorímetro para la determinación del poder calorífico
superior.
El procedimiento general de operación, de acuerdo con la norma ASTM D4809-18, implica las siguientes etapas:
a) Encender el equipo y abrir las líneas de agua.
b) Verificar que todos los componentes de la bomba estén secos.
c) Medir una pieza de 100 mm de alambre de encendido y unir el alambre a los electrodos de la bomba formando una "U".
d) Pesar la muestra. En el caso de combustibles líquidos, el volumen de la muestra a agregar a la copa, necesario para producir un incremento de temperatura equivalente a aproximadamente 30000 J, puede ser estimado por la ecuación E. 1:
donde:
V= volumen de la muestra a utilizar, cm3
W = energía equivalente del calorímetro, J/oC
Q = poder calorífico aproximado de la muestra, MJ/ kg.
D = densidad de la muestra, g/cm3.
Para combustibles sólidos pesar de 0.8 g a 1.2 g de muestra.
e) Para combustibles líquidos formar un disco de cinta sensible a la presión, como se describe en el apartado 10.5.1 de la Norma ASTM D4809-18, y agregar la muestra utilizando una jeringa hipodérmica a través de este disco de cinta. Pesar la copa nuevamente con la muestra y la cinta y colocarla en el electrodo curvo. Por último, colocar el alambre de encendido de tal forma que la parte central del circuito de alambre presione el centro del disco de cinta.
f) Ensamblar la bomba. Conectar la bomba al cilindro de oxígeno y lentamente agregue el oxígeno hasta alcanzar una presión de 3.0 MPa.
g) Ajustar la temperatura del agua del calorímetro. Para el caso isoperibólico, el ajuste de la temperatura debe realizarse de tal forma que una vez ensamblado la bomba del calorímetro en el contenedor, la temperatura se encuentre unas pocas décimas de grado debajo de la temperatura inicial deseada. Es necesario controlar esta temperatura, en un rango promedio de ± 0.5 °C, así como la temperatura final, derivada del incremento, en un rango promedio de ± 0.3 °C.
h) Pesar el contenedor (agua) del calorímetro, seco, a una precisión de 0.05 g y llenarlo con el agua tipo IV (2000 g a 2100 g) y volver a pesarlo (0.05 g de precisión). No es necesario determinar la cantidad exacta de agua, siempre y cuando ésta sea la suficiente para cubrir la bomba y sus conexiones en cada determinación. Nunca se debe tocar la bomba con los dedos, para colocarla en el equipo puede usar un gancho, cuyas puntas se insertan en los orificios de la tapa de la bomba calorimétrica.
i) Encender el motor del agitador y el controlador del calentador de la chaqueta para llevar la temperatura del agua a 28 °C. Durante la prueba, es necesario registrar el tiempo y la temperatura durante un periodo de aproximadamente 25 min. Durante este periodo de tiempo, existen tres intervalos bien definidos:
1) Un periodo inicial de estabilización, de 6 min a 9 min, el cambio de temperatura resulta únicamente del calor de agitación y de las filtraciones del calor del medio.
2) Un periodo intermedio de aproximadamente 12 min, al inicio del cual la carga en la bomba es encendida, y durante el cual el cambio de temperatura se debe principalmente al calor liberado por la reacción de combustión en la bomba y en segundo término, con mucho menos influencia, al calor de agitación y filtraciones de calor.
3) Un periodo final de 9 a 11 min durante el cual el cambio de temperatura se debe nuevamente sólo a las filtraciones de calor y al calor de agitación.
El registro de estas temperaturas, así como las subsecuentes, de las etapas 11 y 12, se realizan de forma automática en el equipo, por lo que no es necesario hacer algún registro manual por parte del operario.
j) Permitir que la temperatura del agua del calorímetro estabilizarse a la temperatura de inicio, para que registre así, las lecturas de tiempo y temperatura del periodo inicial. Durante este periodo inicial, cuando la tasa del incremento de temperatura sea constante, realizar mediciones de la temperatura en intervalos de 1 min. La temperatura de inicio debe tener el mismo valor en todas las pruebas como se determinó en la calibración.
k) Cuando se alcance la temperatura de ignición, encender la muestra presionando el botón correspondiente de la unidad de ignición y después de 15 segundos la temperatura empezará a incrementarse. Si la temperatura no se incrementa, el experimento habrá fallado y debe ser detenido. Durante el periodo intermedio (después de la combustión de la muestra), la temperatura incrementa rápidamente, y es necesario registrar las mediciones de temperatura en intervalos de 30 segundos o menos. La lectura de la temperatura debe continuar hasta que el cambio de temperatura sea constante para al menos 10 min. Las lecturas hechas después de que el cambio de temperatura es constante, corresponden al periodo final. Los periodos inicial y final son críticos en cuanto a la medición precisa de la temperatura.
l) Una vez terminada la prueba, apagar el equipo y el agitador y remover la bomba del calorímetro. Abrir la válvula y permitir que el gas salga de la bomba para reducir la presión a la atmosférica. Abrir la bomba y revisar el interior de ésta, si encuentra restos de carbón sin quemar, el experimento debe ser rechazado. Por último, es necesario lavar la bomba, los electrodos y la copa, con agua tipo II, utilizando la menor cantidad de agua, preferiblemente menos de 300 ml. Estos lavados deben ser titulados con la solución estándar alcalina utilizando como indicador naranja de metilo para
determinar la presencia de ácido nítrico.
m) Registrar el valor del poder calorífico determinado por el equipo y realizar las correcciones pertinentes.
Apéndice F
(Normativo)
Cálculo de poder calorífico a presión constante usando los valores de base seca
El cálculo del poder calorífico a presión constante usando los valores de base seca se determina conforme a las ecuaciones F. 1, F. 2, F. 3, F. 4, F. 5 y F. 6:
donde
(Qv-p)d = factor de corrección constante por el cambio del volumen a presión constante, en base seca
Hd = es el contenido de hidrógeno en base seca, expresado en porcentaje
Od = es el contenido de oxígeno en base seca, expresado en porcentaje
Nd = es el contenido de nitrógeno en base seca, expresado en porcentaje
R = es la constante universal de los gases (8.314 J/mol-K)
T = es la temperatura de referencia termoquímica estándar, 298.15 K.
F.1 Energías asociadas al contenido de humedad:
La energía asociada al calor de vaporización del agua, en base seca (Qh)d, se calcula mediante la ecuación F.2, mientras que la energía asociada al contenido de humedad sobre la base s-received (Qmar), calculada en función del valor del contenido de humedad, se obtiene mediante la ecuación F.3:
donde
(Qh)d = energía asociada al calor de vaporización del agua, en base seca
Hd = hidrógeno de la muestra
Hvap = calor de vaporización, a presión constante del agua a 25 °C, 43985 J/mol
Qmar= energía asociada al contenido de humedad sobre la base s-received
Mar = % peso respecto a la base s-received
F.2 Poder calorífico superior seco, a presión constante,
:
donde
Qg,vd = poder calorífico superior seco, a presión constante
Qg,vad = es el poder calorífico determinado en la bomba calorimétrica y modificado por las correcciones ei, = pertinentes, mostradas en el Apéndice D.
Mad = es el valor del contenido de humedad, % peso, respecto a la base s-determined.
F.3 Poder calorífico inferior a presión constante, en base húmeda de la muestra tal como se recibió, a partir de parámetros de base seca:
donde
(Qn,par)d = poder calorífico inferior, en base seca
Qg,vd = poder calorífico superior seco, a presión constante
(Qv-p)d = factor de corrección constante por el cambio del volumen a presión constante, en base seca
(Qh)d = energía asociada al calor de vaporización del agua, en base seca
Mar = % peso respecto a la base s-received
Qmar = energía asociada al contenido de humedad sobre la base s-received
Siendo el valor del poder calorífico inferior igual al poder calorífico inferior calculado en la base as-received, Q(n,par) del Apéndice D:
Los parámetros en base seca, tales como Hd, Od, y Nd, se calculan siguiendo lo establecido en la norma ASTM D3180-15, a partir del término Md, que es el valor del contenido de humedad, % peso, respecto a la base as-determined. De acuerdo con las ecuaciones F. 7 y F. 8:
Para el contenido de nitrógeno en base seca (Nd), así como para el caso en que los contenidos de hidrógeno y oxígeno en la base as-determined, Had y Oad, no contemplen el hidrógeno y oxígeno en la humedad de la muestra se debe aplicar la ecuación F. 9:
donde Pd y Pad representan genéricamente los contenidos de hidrógeno, oxígeno y nitrógeno en la base seca y en la base as-determined, respectivamente.
La determinación de los parámetros de las bases as-determined y as-received mencionados en el presente Apéndice, se describen en D 3.1.4 del Apéndice D.
Apéndice G
(Normativo)
Valores del factor A para el cálculo del poder calorífico superior Qg (25 °C)
Los valores del factor de corrección A para el cálculo del poder calorífico de combustibles líquidos, establecidos en la norma ASTM D4809-13 son los siguientes:
Tabla G. 1 - Valores del factor A para el cálculo del poder calorífico superior
| Qg(t °C) MJ/kg | A, MJ/kg | Qg(t °C) MJ/kg | A, MJ/kg |
| 43.00 | 0.00157 | 45.75 | 0.00271 |
| 43.25 | 0.00167 | 46.00 | 0.00282 |
| 43.50 | 0.00178 | 46.25 | 0.00292 |
| 43.75 | 0.00188 | 46.50 | 0.00302 |
| 44.00 | 0.00199 | 46.75 | 0.00313 |
| 44.25 | 0.00209 | 47.00 | 0.00323 |
| 44.50 | 0.00219 | 47.25 | 0.00333 |
| 44.75 | 0.00230 | 47.50 | 0.00344 |
| 45.00 | 0.00240 | 47.75 | 0.00354 |
| 45.25 | 0.00250 | 48.00 | 0.00365 |
| 45.50 | 0.00261 | | |
G.1 Determinación de la composición de gas natural, y gases derivados del petróleo, por cromatografía de gases.
La metodología descrita a continuación se basa en la norma ISO 6974-1:2012.
G1.1Principio de medición.
Los componentes de una muestra de gas combustible deben ser separados por medio de una columna cromatográfica y medidos por comparación contra los datos de la calibración del instrumento realizada bajo las mismas condiciones de medición. La cantidad relativa de cada componente se determina por comparación contra una corrida de calibración utilizando un gas de referencia con composición conocida.
G1.2Métodos de análisis.
Existen los siguientes métodos de operación:
a) Métodos de operación simple
b) Métodos de operación múltiple con puenteo
c) Métodos de operación múltiple sin puenteo
G1.3Tipo de calibración.
Tipo 1: Se realiza una calibración multipunto del calorímetro utilizando material de referencia certificado (MRC) con la calibración se determinan las funciones de respuesta para los diferentes componentes. Se analiza una muestra del gas combustible y las funciones de respuesta son utilizadas para calcular la concentración de los componentes de la muestra.
Tipo 2: Cuando no es posible realizar una calibración multipunto, se presupone una función de respuesta que es verificada rutinariamente utilizando un patrón de medición de trabajo (WMS, siglas en inglés). La concentración de los componentes se determina con dicha función de respuesta.
G.1.3.1 Medición indirecta de componentes. Factor de respuesta relativo.
La medición directa de los componentes se realiza a partir de los valores certificados de concentración de los mismos componentes en el MRC de calibración. Un componente en la muestra que no está presente en el MRC de calibración se puede cuantificar indirectamente a partir de un factor de respuesta relativo.
G1.4Procedimiento analítico
G.1.4.1 Definición de las necesidades del método analítico
Describir las necesidades del método analítico por definición de los siguientes aspectos:
a) Los componentes a ser medidos directamente y sus incertidumbres (en caso necesario) ya sea por componente individual o por intervalo de fracción mol;
b) Los componentes a ser medidos indirectamente y sus incertidumbres (en caso necesario) ya sea por componente individual o por intervalo de fracción mol;
c) Los componentes a ser medidos como grupos y sus incertidumbres (en caso necesario);
d) Los componentes no medidos, pero para los cuales se utilizarán valores constantes de sus fracciones molares;
e) En caso de métodos de operación múltiple con puenteo, cuales componentes serán utilizados como puentes;
f) Si se realizara o no retorno (backflush), y
g) Cualquier interferencia entre componentes.
G.1.4.2 Selección del equipo y condiciones de trabajo.
Remitirse a las normas ISO 6974-3:2018 y subsecuentes para la selección de equipamiento y condiciones
de trabajo. Selección del método de manejo de muestra e inyección:
a) Selección del equipo analizador;
b) El cromatógrafo debe estar configurado especialmente para el análisis de gas natural y otros gases hidrocarburos de acuerdo con su aplicación prevista y en conformidad con esta disposición administrativa.
G.1.4.3 Definición del intervalo de trabajo.
Debe especificarse el intervalo de trabajo con la definición de los valores mínimos y máximos de fracción molar de cada uno de los componentes a ser analizados y los valores estimados de fracción molar de los componentes no analizados. El intervalo de trabajo debe considerar las posibles variaciones de composición entre muestras de gas a ser analizado y debe estar basado en las necesidades de la aplicación.
G1.5Determinación de la respuesta característica (calibración primaria)
Para desarrollar un método de análisis para medición simple y directa se requiere primeramente determinar la respuesta característica del analizador. La determinación de la respuesta característica toma la forma de una calibración primaria en la cual se determinan los coeficientes, bz,i, de cada componente por medio de una serie de MRC (calibración multipunto). Debido a que la función de análisis es determinada explícitamente no surgen errores por no-linealidad. En operación de rutina, los coeficientes de la función de análisis determinados deben ser subsecuentemente verificados o corregidos mediante la calibración de rutina del analizador de conformidad con lo establecido en el presente PROY-NOM.
G.1.5.1 Frecuencia de calibración.
La calibración primaria o la evaluación de desempeño deben realizarse en las siguientes situaciones:
a) Inmediatamente después de la instalación inicial del analizador por el proveedor;
b) Inmediatamente después de la puesta en operación seguida del reemplazo de una parte mayor del sistema, por ejemplo, válvula de inyección, columna o detector;
c) Inmediatamente después de la puesta en operación seguida una falla para pasar la verificación de aseguramiento de calidad del sistema;
d) Periódicamente a intervalos de tiempo que han demostrado ser adecuados para la aplicación, no mayores a 12 meses.
G.1.5.2 Selección de los gases de referencia.
Debe seleccionarse un número apropiado de MRC con el fin de definir la función de regresión, esto depende del historial y conocimiento del sistema de CG en cuestión:
a) Cuando no se ha realizado calibración primaria o las respuestas polinomiales no has sido establecidas por un procedimiento equivalente, debe seleccionarse un mínimo de siete MRC para calcular curvas de regresión de hasta tercer orden;
b) Cuando la calibración primaria inicial (o procedimiento equivalente) ha mostrado que las curvas de regresión pueden ser modeladas por una función polinómica de primero o segundo orden entonces, debe seleccionarse "un número apropiado de MRC" para subsecuentes calibraciones primarias.
Un número apropiado de MRC puede considerase de tres en casos en que todos los componentes presentan respuestas polinomiales de primer orden y de cinco en los casos en que todos los componentes presentan respuestas polinomiales hasta de segundo orden.
Seleccionar MRC apropiados que cubran el intervalo de trabajo de cada componente. Esto es posible usando una serie de mezclas multicomponente, cada una conteniendo diferentes fracciones molares de todos los componentes medidos directamente.
Los MRC seleccionados pueden ser mezclas multicomponentes o binarias con incertidumbre adecuada y siempre se deben ajustar al propósito, en cuanto a componentes y en cuanto a la incertidumbre.
G.1.5.3 Medición de los gases de referencia.
Se deben realizar un mínimo de 10 análisis de cada gas de referencia a fin de asegurar que los datos de respuesta media y su desviación estándar son determinados con una precisión que se ajuste a su propósito.
Registrar las respuestas individuales de cada réplica correspondiente a cada componente en cada gas de referencia. Los datos pueden ser inspeccionados para identificar posibles valores atípicos mediante alguna prueba estadística adecuada. Si se encuentran valores atípicos, éstos deben ser investigados para determinar posibles causas; sólo pueden desecharse valores atípicos por razones bien fundamentadas.
G.1.5.4 Análisis de regresión.
La función de análisis (calibración primaria) está dada por la ecuación G. 1:
donde:
Los coeficientes, bz,i, de la función de análisis se determinan por medio de los cálculos de regresión pero deben ser verificados y, en su caso, actualizados con cada calibración rutinaria del analizador.
G1.6Calibración de rutina (verificación del aseguramiento de calidad).
La calibración de rutina se realiza por medio de un análisis periódico de un patrón de medición de trabajo (WMS) con el propósito de confirmar o corregir los coeficientes de la función de análisis de cada componente para una calibración de tipo 1 o bien, para determinar y actualizar los coeficientes, b1,i de las funciones de análisis de cada componente mediante calibración tipo 2.
G.1.6.1 Calibración de rutina para análisis tipo 1.
Para una operación de rutina de tipo 1, los coeficientes de la función de análisis, los cuales son determinados mediante la calibración primaria del sistema, son subsecuentemente corregidos con la aplicación de un factor de escala para cada componente, i, como se muestra en la ecuación G. 2:
donde:
G.1.6.2 Calibración de rutina para análisis tipo 2
Para establecer un método de análisis con medición simple y directa, pero sin contar con una serie de MRC para una calibración multipunto tipo 1, entonces se supone una función de análisis lineal con intercepción cero, de acuerdo con la ecuación G. 3:
donde:
La calibración de rutina permite calcular el coeficiente de la función de análisis conforme a la ecuación G. 4:
donde:
G.1.6.3 Frecuencia
La frecuencia de la calibración de rutina o aseguramiento de calidad depende principalmente de las características del sistema de medición y de las condiciones de medición, por tanto, no es posible definir un intervalo general; algunos criterios para determinar este intervalo son:
a) si el intervalo nominal de calibración de rutina/aseguramiento de calidad no ha sido establecido aún, el sistema debe primero ser calibrado; luego, sin ningún ajuste o calibración adicional el sistema debe ser probado hasta que el sistema falla para alcanzar los requisitos de desempeño preestablecidos. Así se establece un intervalo de calibración/aseguramiento de calidad de rutina el cual debe ser menor a ese intervalo de falla encontrado.
b) si ya se tiene establecido un intervalo nominal de calibración/aseguramiento de calidad, el sistema debe ser calibrado y probado sin calibración a ajuste adicional hasta que el intervalo nominal sea excedido. Si al cabo de este intervalo el sistema cumple aún con los requisitos de desempeño preestablecidos, dicho intervalo se selecciona para el uso rutinario del sistema. Si los requisitos de desempeño no fueron cumplidos entonces debe seleccionarse un intervalo más corto hasta que se cumplan los requisitos.
En la práctica, debe seguirse la recomendación del fabricante del instrumento tanto para la calibración de rutina como para la verificación de aseguramiento de calidad. Sin embargo, para demostrar el cumplimiento con esta disposición administrativa, se debe realizar diariamente una prueba de verificación de aseguramiento de calidad que incluya todos aquellos componentes representativos de la mezcla.
G1.7Métodos de operación múltiple
G.1.7.1 Método de operación múltiple sin puenteo
En operación simple u operación múltiple sin puenteo, la respuesta del analizador no requiere mayor tratamiento y es utilizada directamente para el cálculo de la fracción mol de cada componente con la G. 1 o con la G. 4, según sea el tipo de calibración utilizada para cada componente. Siempre que sea posible, se recomienda fuertemente que el análisis incluya varias sub-muestras o repeticiones de la misma muestra; en este caso se calcula el promedio de las varias respuestas individuales y se utiliza este promedio para el cálculo de la fracción molar de cada componente. Las variaciones entre diferentes sub-muestras, la cual se estima por medio de la desviación estándar, es un parámetro importante para evaluar el desempeño del método y para estimar la incertidumbre de la medición.
G.1.7.2 Operación múltiple con puenteo
Si se utiliza un método de operación múltiple con puenteo, primero se calcula la respuesta para cada componente con puenteo como sigue:
donde:
Al igual que en la operación simple, se recomienda el análisis repetido de varias sub-muestras y el cálculo del promedio de la respuesta. Luego se determina la fracción mol por medio de la G. 1 o G. 4, según sea el tipo de calibración utilizada.
G.1.7.3 Verificación de aseguramiento de calidad.
La verificación de aseguramiento de calidad se realiza con una inyección periódica programada de un WMS para determinar la estabilidad del sistema de medición contra el tiempo (cartas de control). Si como resultado de esta verificación de aseguramiento de calidad se detecta alguna falla en el sistema deben tomarse medidas para recuperar los requisitos de funcionamiento preestablecidos de acuerdo con las necesidades de medición.
G1.8 Evaluación de desempeño e incertidumbre.
Todas las metodologías descritas en este documento para la determinación de la composición de gas natural, o semejantes, están sujetas a errores sistemáticos que pueden provenir de diferentes fuentes, por ejemplo: errores de linealidad en la ecuación de la función de análisis; errores inherentes al puenteo en operación con múltiples detectores o columnas; errores asociados a los factores de respuesta relativa en medición indirecta, errores en el cálculo de normalización, posibles errores de muestreo; etc. Estos errores deben ser cuantificados con el fin de demostrar que los resultados del análisis de composición química se encuentran dentro de especificaciones.
Con el fin de demostrar que los resultados de fracción de masa determinados por cromatografía siguiendo cualquiera de las metodologías descritas en este documento, se debe realizar una evaluación de desempeño cotidiana la cual debe correrse justo después de la calibración rutinaria del equipo. La evaluación de desempeño consiste en el análisis (en repetición de cinco inyecciones) de un material de referencia de control el cual debe tener una composición conocida (determinada por un laboratorio reconocido), lo más semejante posible a la mezcla de gas combustible y no puede ser el mismo MRC utilizado para la calibración primaria del analizador, tampoco puede ser ninguno de los WMS utilizados para la calibración de rutina.
En seguida se calcula el error cuadrático medio, ECM, de cada uno de los componentes del material de referencia de control de acuerdo con la ecuación G. 6:
donde:
bi = es el sesgo de medición del componente i, diferencia entre el promedio de la fracción mol medida y la fracción de mol de referencia en el material de control;
si = es la desviación estándar de la medición repetida del componente i.
El resultado de la medición de cada componente es aceptable sólo si el error cuadrático medio relativo, ECMRi, es igual o menor al 1% con respecto al valor de referencia de fracción mol, como se muestra en la ecuación G. 7:
El ECM en una medida de la incertidumbre de medición dado que el sesgo engloba los errores sistemáticos y la desviación estándar evalúa la dispersión de los resultados que incluye los errores aleatorios, como se muestra en la ecuación G. 8:
La incertidumbre de medición de gas natural por cromatografía debe realizarse de acuerdo con el cálculo descrito en la norma ISO 6974-2:2012.
G.2 Poder calorífico de gas natural y gases combustibles derivados del petróleo.
G2.1Introducción.
La energía total de combustión es la suma de las energías de combustión de cada uno los componentes en la mezcla de gas combustible. Para determinar la cantidad relativa de cada componente en la mezcla es indispensable su análisis por cromatografía de gases.
La determinación del poder calorífico de una mezcla de gas debe pasar por la medición de la composición química del gas. Una vez conocida la composición química, el poder calorífico de la mezcla se calcula como la suma de las energías de combustión conocidas de todos los componentes de la mezcla multiplicada cada una por su composición respectiva.
G2.2Poder calorífico superior calculado a partir de la composición del gas en fracción molar
El poder calorífico superior (gross) se determina por definición a partir de la energía de combustión bajo la condición de que todos los reactivos y productos se encuentran en fase gaseosa, excepto el agua que se encuentra en fase líquida, como se muestra en la ecuación G. 9.
donde:
G2.3Poder calorífico inferior en base molar
El poder calorífico inferior se determina restando al poder calorífico superior la entalpía de vaporización del agua formada en la combustión de acuerdo con la ecuación G. 10:
donde:
G2.4Poder calorífico superior en términos de masa de gas
El poder calorífico superior se determina conforme a la ecuación G. 11:
| 19 | n-dodecano | 0.7583 | 0.7335 | 0.1006 | 8150.21 | 8147.19 | 1.13 |
| 20 | n-tridecano | 0.8026 | 0.7748 | 0.1006 | 8808.73 | 8805.48 | 1.21 |
| 21 | n-tetradecano | 0.8900 | 0.8589 | 0.1006 | 9467.63 | 9464.15 | 1.32 |
| 22 | n-pentadecano | 0.9804 | 0.9459 | 0.1006 | 10126.52 | 10122.82 | 1.44 |
| 23 | eteno (etileno) | 0.0797 | 0.0778 | 0.0010 | 1411.65 | 1411.18 | 0.21 |
| 24 | propeno | 0.1263 | 0.1232 | 0.0016 | 2058.73 | 2058.02 | 0.34 |
| 25 | 1-buteno | 0.1770 | 0.1721 | 0.0041 | 2717.76 | 2716.82 | 0.39 |
| 26 | cis-2-buteno | 0.1863 | 0.1810 | 0.0045 | 2710.97 | 2710.00 | 0.50 |
| 27 | trans-2-buteno | 0.1862 | 0.1809 | 0.0043 | 2707.33 | 2706.40 | 0.47 |
| 28 | 2-metil propeno | 0.1770 | 0.1721 | 0.0037 | 2701.13 | 2700.20 | 0.42 |
| 29 | 1-penteno | 0.2287 | 0.2208 | 0.0102 | 3376.59 | 3375.42 | 0.73 |
| 30 | propadieno | 0.1310 | 0.1282 | 0.0025 | 1943.54 | 1943.11 | 0.60 |
| 31 | 1,2-butadieno | 0.1855 | 0.1803 | 0.0110 | 2594.46 | 2593.79 | 0.40 |
| 32 | 1,3-butadieno | 0.1731 | 0.1673 | 0.0038 | 2541.44 | 2540.77 | 0.41 |
| 33 | etino (acetileno) | 0.0833 | 0.0808 | 0.0024 | 1301.21 | 1301.05 | 0.32 |
Tabla G. 2 - Factores sumatorios de los factores de compresión para correcciones de gas real, sj, y valores de poder calorífico molar superior de los componentes de gas natural en el estado de referencia,
(2 de 2). | | | | |
| 34 | ciclopentano | 0.2215 | 0.2164 | 0.0137 | 3320.89 | 3319.59 | 0.36 |
| 35 | metil ciclopentano | 0.2605 | 0.2548 | 0.0262 | 3970.95 | 3969.44 | 0.56 |
| 36 | etil ciclopentano | 0.3666 | 0.3531 | 0.1006 | 4630.20 | 4628.47 | 0.71 |
| 37 | ciclohexano | 0.2677 | 0.2610 | 0.0325 | 3954.49 | 3952.96 | 0.32 |
| 38 | metil ciclohexano | 0.3305 | 0.3213 | 0.0668 | 4602.36 | 4600.64 | 0.71 |
| 39 | etil ciclohexano | 0.4524 | 0.4345 | 0.1006 | 5264.97 | 5263.05 | 0.95 |
| 40 | benceno | 0.2520 | 0.2460 | 0.0274 | 3302.16 | 3301.43 | 0.27 |
| 41 | tolueno | 0.3347 | 0.3251 | 0.1002 | 3948.86 | 3947.89 | 0.51 |
| 42 | etil benceno | 0.3785 | 0.3694 | 0.1002 | 4608.34 | 4607.15 | 0.66 |
| 43 | o-xileno | 0.4396 | 0.4277 | 0.1004 | 4597.48 | 4596.31 | 0.76 |
| 44 | metanol | 0.4423 | 0.4117 | 0.0233 | 764.59 | 764.09 | 0.13 |
| 45 | metano tiol | 0.1693 | 0.1640 | 0.0117 | 1239.84 | 1239.39 | 0.32 |
| 46 | hidrógeno | -0.0100 | -0.0100 | 0.0250 | 285.99 | 285.83 | 0.02 |
| 47 | agua (ver nota 2) | 0.2546 | 0.2419 | 0.0150 | 44.222 | 44.013 | 0.004 |
| 48 | sulfuro de hidrógeno | 0.0920 | 0.0898 | 0.0023 | 562.19 | 562.01 | 0.23 |
| 49 | amoniaco | 0.1096 | 0.1062 | 0.0021 | 383.16 | 382.81 | 0.18 |
| 50 | cianuro de hidrógeno | 0.2751 | 0.2644 | 0.0076 | 671.58 | 671.50 | 1.26 |
| 51 | monóxido de carbono | 0.0215 | 0.0203 | 0.0010 | 282.95 | 282.98 | 0.06 |
| 52 | sulfuro de carbonilo | 0.1110 | 0.1084 | 0.0054 | 548.19 | 548.23 | 0.24 |
| 53 | disulfuro de carbono | 0.1951 | 0.1894 | 0.0098 | 1104.40 | 1104.49 | 0.43 |
| 54 | helio | -0.0100 | -0.0100 | 0.0250 | | | |
| 55 | neón | -0.0100 | -0.0100 | 0.0250 | | | |
| 56 | argón | 0.0272 | 0.0262 | 0.0010 | | | |
| 57 | nitrógeno | 0.0169 | 0.0156 | 0.0010 | | | |
| 58 | oxígeno | 0.0275 | 0.0265 | 0.0010 | | | |
| 59 | dióxido de carbono | 0.0749 | 0.0730 | 0.0020 | | | |
| 60 | dióxido de azufre | 0.1400 | 0.1356 | 0.0035 | | | |
| Nota 1: Todos los valores de la Tabla G. 2 han sido tomados de la norma ISO 6976:2016 Nota 2: El valor en la Tabla para el agua (j=42) representa su entalpía molar de vaporización (no su poder calorífico). Esta entalpía es necesaria para realizar el cálculo de poder calorífico inferior al considerar la cantidad de vapor de agua en la muestra de gas de entrada. |
Tabla G. 3 - Masas molares e índices atómicos de los componentes de gas ideal. (1 de 2)
| | | masa molar | índices atómicos (CaHbNcOdSe) |
| j | Componente | Mj, g/mol | aj | bj | cj | cj | ej |
| 1 | metano | 16.04246 | 1 | 4 | 0 | 0 | 0 |
| 2 | etano | 30.06904 | 2 | 6 | 0 | 0 | 0 |
| 3 | propano | 44.09562 | 3 | 8 | 0 | 0 | 0 |
| 4 | n-butano | 58.12220 | 4 | 10 | 0 | 0 | 0 |
| 5 | 2-metil propano | 58.12220 | 4 | 10 | 0 | 0 | 0 |
| 6 | n-pentano | 72.14878 | 5 | 12 | 0 | 0 | 0 |
| 7 | 2-metil butano | 72.14878 | 5 | 12 | 0 | 0 | 0 |
| 8 | 2,2-dimetil propano | 72.14878 | 5 | 12 | 0 | 0 | 0 |
| 9 | n-hexano | 86.17536 | 6 | 14 | 0 | 0 | 0 |
| 10 | 2-metil pentano | 86.17536 | 6 | 14 | 0 | 0 | 0 |
| 11 | 3-metil pentano | 86.17536 | 6 | 14 | 0 | 0 | 0 |
| 12 | 2,2-dimetil butano | 86.17536 | 6 | 14 | 0 | 0 | 0 |
| 13 | 2,3-dimetil butano | 86.17536 | 6 | 14 | 0 | 0 | 0 |
| 14 | n-heptano | 100.20194 | 7 | 16 | 0 | 0 | 0 |
| 15 | n-octano | 114.22852 | 8 | 18 | 0 | 0 | 0 |
| 16 | n-nonano | 128.25510 | 9 | 20 | 0 | 0 | 0 |
| 17 | n-decano | 142.28168 | 10 | 22 | 0 | 0 | 0 |
| 18 | eteno (etileno) | 28.05316 | 2 | 4 | 0 | 0 | 0 |
| 19 | propeno | 42.07974 | 3 | 6 | 0 | 0 | 0 |
| 20 | 1-buteno | 56.10632 | 4 | 8 | 0 | 0 | 0 |
| 21 | cis-2-buteno | 56.10632 | 4 | 8 | 0 | 0 | 0 |
| 22 | trans-2-buteno | 56.10632 | 4 | 8 | 0 | 0 | 0 |
| 23 | 2-metil propeno | 56.10632 | 4 | 8 | 0 | 0 | 0 |
| 24 | 1-penteno | 70.13290 | 5 | 10 | 0 | 0 | 0 |
| 25 | propadieno | 40.06386 | 3 | 4 | 0 | 0 | 0 |
| 26 | 1,2-butadieno | 54.09044 | 4 | 6 | 0 | 0 | 0 |
| 27 | 1,3-butadieno | 54.09044 | 4 | 6 | 0 | 0 | 0 |
| 28 | etino (acetileno) | 26.03728 | 2 | 2 | 0 | 0 | 0 |
| 29 | ciclopentano | 70.13290 | 5 | 10 | 0 | 0 | 0 |
| 30 | metil ciclopentano | 84.15948 | 6 | 12 | 0 | 0 | 0 |
| 31 | etil ciclopentano | 98.18606 | 7 | 14 | 0 | 0 | 0 |
| 32 | ciclohexano | 84.15948 | 6 | 12 | 0 | 0 | 0 |
| 33 | metil ciclohexano | 98.18606 | 7 | 14 | 0 | 0 | 0 |
| 34 | etil ciclohexano | 112.21264 | 8 | 16 | 0 | 0 | 0 |
Tabla G. 3 - Masas molares e índices atómicos de los componentes de gas ideal. (2 de 2)
| | | masa molar | índices atómicos (CaHbNcOdSe) |
| 35 | benceno | 78.11184 | 6 | 6 | 0 | 0 | 0 |
| 36 | tolueno | 92.13842 | 7 | 8 | 0 | 0 | 0 |
| 37 | etil benceno | 106.16500 | 8 | 10 | 0 | 0 | 0 |
| 38 | o-xileno | 106.16500 | 8 | 10 | 0 | 0 | 0 |
| 39 | metanol | 32.04186 | 1 | 4 | 0 | 1 | 0 |
| 40 | metano tiol | 48.10746 | 1 | 4 | 0 | 0 | 1 |
| 41 | hidrógeno | 2.01588 | 0 | 2 | 0 | 0 | 0 |
| 42 | agua (ver nota 3) | 18.01528 | 0 | 2 | 0 | 1 | 0 |
| 43 | sulfuro de hidrógeno | 34.08088 | 0 | 2 | 0 | 0 | 1 |
| 44 | amoniaco | 17.03052 | 0 | 3 | 1 | 0 | 0 |
| 45 | cianuro de hidrógeno | 27.02534 | 1 | 1 | 1 | 0 | 0 |
| 46 | monóxido de carbono | 28.0101 | 1 | 0 | 0 | 1 | 0 |
| 47 | sulfuro de carbonilo | 60.0751 | 1 | 0 | 0 | 1 | 1 |
| 48 | disulfuro de carbono | 76.1407 | 1 | 0 | 0 | 0 | 2 |
| 49 | helio | 4.002602 | 0 | 0 | 0 | 0 | 0 |
| 50 | neon | 20.1797 | 0 | 0 | 0 | 0 | 0 |
| 51 | argón | 39.948 | 0 | 0 | 0 | 0 | 0 |
| 52 | nitógeno | 28.0134 | 0 | 0 | 2 | 0 | 0 |
| 53 | oxígeno | 31.9988 | 0 | 0 | 0 | 2 | 0 |
| 54 | dióxido de carbono | 44.0095 | 1 | 0 | 0 | 2 | 0 |
| 55 | dióxido de azufre | 64.0638 | 0 | 0 | 0 | 2 | 1 |
| 56 | aire | 28.9655 | | | | | |
| 57 | n-undecano | 156.30826 | 11 | 24 | 0 | 0 | 0 |
| 58 | n-dodecano | 170.33484 | 12 | 26 | 0 | 0 | 0 |
| 59 | n-tridecano | 184.36142 | 13 | 28 | 0 | 0 | 0 |
| 60 | n-tetradecano | 198.38800 | 14 | 30 | 0 | 0 | 0 |
| 61 | n-pentadecano | 212.41458 | 15 | 32 | 0 | 0 | 0 |
| Nota 1: Todos los valores de la Tabla G. 3 han sido tomados de la norma ISO 6976:2016. |
Tabla G. 4 - Combustibles Hidrocarburos Gaseosos.
| Métodos de prueba estandarizados | Equipos necesarios. | Personal | Componentes de incertidumbre | Incertidumbre expandida poder calorífico inferior. |
| Gas natural determinación de composición e incertidumbre asociada por cromatografía de gases Parte 1 Lineamientos generales y cálculo de composición: ISO 6974- 1:2012 | Cromatógrafo de gases y accesorios, configurado para análisis de gas natural u otros gases combustibles derivados del petróleo. La configuración del equipo de acuerdo con su aplicación se describe en: | Químico, ingeniero químico o equivalente, con conocimiento de metrología, análisis químico por cromatografía de gases. | Repetibilidad. Reproducibilidad. Error sistemático. Estabilidad. | 2 % |
| Gas natural cálculo de poder calorífico, densidad, densidad relativa e índices de Wobbe a partir de la composición: ISO 6976:2016. | ISO 6974-3:2018: Determinación de composición e incertidumbre asociada por cromatografía. Precisión y tendencia. ISO 6974-4:2000: Determinación Nitrógeno, Dióxido de carbono, e hidrocarburos C1 a C5 y C6+ para laboratorio y sistema de medición en línea utilizando dos columnas. ISO 6974-5:2014 Determinación Nitrógeno, Dióxido de carbono e hidrocarburos C1 a C5 y C6+ para aplicación en laboratorio y proceso en línea utilizando tres columnas. | | | |
Apéndice H
(Normativo)
Métodos de Medición de la emisión de gases CO2
H.1. Especificaciones
Los equipos para la medición de emisiones deben operar de forma continua durante la operación de la central.
H.2. Métodos de medición
La medición de las emisiones de bióxido de carbono debe realizarse con un sistema de monitoreo continuo de emisiones (SMCE), calibrado y con trazabilidad a patrones nacionales por laboratorios acreditados y aprobados en los términos de la LFMN.
Los métodos de medición indicados para los contaminantes gaseosos miden directamente su concentración en los gases de combustión. En forma simultánea se debe medir o calcular el flujo de gases en la chimenea, (), así como la concentración de oxígeno (O2) para corregir los resultados a las condiciones de referencia de 25°C, 1 Atm y 5% de O2, base seca.
Durante el tiempo de operación de la central, los instrumentos deben poder realizar mediciones, calcular y almacenar promedios de lecturas en tiempos preestablecidos.
Los responsables de las fuentes fijas podrán solicitar la evaluación de la conformidad con este PROY-NOM a la PROFEPA, Autoridad Ambiental Competente (los gobiernos de los estados, municipios y alcaldías de conformidad con sus respectivas atribuciones y competencias) o a las Unidades de Verificación, debidamente acreditadas y aprobadas en los términos de la LFMN y demás disposiciones aplicables.
Para el caso de CO2 los límites se establecen como concentraciones en volumen y base seca, en condiciones de referencia de 25 °C, 101 325 Pa (1 Atm) y 5 % de O2.
Para corregir las concentraciones medidas a la referencia de 5 % O2, se utiliza la ecuación H. 4:
donde:
CR = Concentración calculada al valor de referencia del O2,
CM = Concentración medida
OM = Valor medido para el O2 (%),
OR = Nivel de referencia para el O2 (5 %)*.
Para valores medidos para el O2 entre 15.1 % y 20.9 % se utilizará un valor de OM de 15 %.
Tabla H1 - Método de medición para la verificación del cumplimiento.
| Método de prueba | Principio |
| NMX-AA-035-1976, Determinación de CO2, CO y O2 en los gases de combustión, publicada en el DOF el 10 de junio de 1976. Método 10 USEPA: ver numeral 10. NOM-098-SEMARNAT-2002, Protección ambiental-Incineración de residuos, especificaciones de operación y límites de emisión de contaminantes. -Especificaciones y procedimientos de prueba para sistemas de monitoreo continuo de emisiones (SMCE). | Infrarrojo no dispersivo o celda electro-química |
TRANSITORIOS
Primero. El presente Proyecto de Norma Oficial Mexicana una vez que sea publicado en el Diario Oficial de la Federación como norma definitiva, entrará en vigor a los 180 días naturales contados a partir del día natural inmediato siguiente al día de su publicación en dicho órgano de difusión.
Segundo. En tanto no se cuente con Unidades de Verificación autorizadas, el Procedimiento para la Evaluación de la Conformidad establecido en el presente PROY-NOM podrá ser realizado por una Unidad Acreditada de conformidad con los términos para acreditar a las unidades que certificarán las Centrales Eléctricas Limpias y que certificarán la medición de variables requeridas para determinar el porcentaje de energía libre de combustible, siempre y cuando informen a la Comisión sobre este hecho y tengan la aceptación de la misma. Lo anterior sin perjuicio de que, durante seis meses a partir de la entrada en vigor del presente PROY-NOM, efectúen los trámites correspondientes para ser considerados como Unidades de Verificación.
____________________________
1 Para mayor referencia véase la norma ISO 8601:2004