| RESPONSABLE | ACTIVIDADES | PRODUCTO |
| INICIO DEL PROCEDIMIENTO | ||
| Dirección del Centro | 1. Instruye la elaboración del programa de capacitación interna a la Unidad de Capacitación. | Correo electrónico |
| Unidad de Capacitación | 2. Toma conocimiento y turna a Capacitación Interna, para su elaboración. | Correo electrónico |
| Dirección de Capacitación Interna | 3. Recibe instrucción y elabora propuesta de programa. Envía a la Unidad de Capacitación para su revisión. | Propuesta de programa/ Correo electrónico |
| Unidad de Capacitación | 4. Revisa propuesta del programa de capacitación interna. | Propuesta de programa |
| Unidad de Capacitación | 5. ¿Hay modificación a la propuesta? Si. Continua en actividad 3 No. Continua en actividad 6 | Propuesta de programa |
| Unidad de Capacitación | 6. Envía a la Dirección del Centro el programa de capacitación interna para su aprobación. | Propuesta de programa/ Correo electrónico |
| Dirección del Centro | 7. Revisa propuesta de programa de capacitación Interna. | Propuesta de programa |
| Dirección del Centro | 8. ¿Aprueba el programa de capacitación interna? Sí. Continua en actividad 9. No. Continua en actividad 3. | Programa aprobado |
| Dirección del Centro | 9. Instruye a la Unidad de Capacitación para ejecutar el programa de capacitación interna. | Programa aprobado/ Correo electrónico |
| Unidad de Capacitación | 10. Recibe instrucción y turna a la Dirección de Capacitación Interna para iniciar la ejecución del programa. | Correo electrónico |
| Dirección de Capacitación Interna | 11. Conforme al programa, clasifica el tipo de capacitación que se ofrecerá. | Clasificación del programa |
| Dirección de Capacitación Interna | 12. ¿Se contratará a una persona física o institución académica? a. Persona física, continua en actividad 13. b. Institución académica, continúa en actividad 18. | Tipo de contratación |
| Dirección de Capacitación Interna | 13. Contacta a persona física especializada para llevar a cabo la actividad académica y envía oficio o correo electrónico de invitación. | Oficio/Correo electrónico |
| Persona Física | 14. Recibe invitación. ¿Acepta invitación? Sí. Continua en actividad 15 No. Continua en actividad 13 | Oficio/Correo electrónico |
| Persona Física | 15. Envía correo electrónico de aceptación a la Dirección de Capacitación Interna. | Correo electrónico |
| Dirección de Capacitación Interna | 16. Envía información requerida a la Dirección de Apoyo administrativo para llevar a cabo la contratación. | Oficio/Correo electrónico |
| Dirección de Apoyo Administrativo | 17. Recibe información y aplica procedimiento de contratación e informa inicio del proceso a la Dirección del Centro. Continua en actividad 21. | Correo electrónico |
| Capacitación Interna | 18. Contacta a institución académica especializada y envía oficio o correo electrónico de invitación, con la información necesaria para que emitan cotización técnica y económica. | Oficio/Correo electrónico |
| Institución Académica | 19. Recibe invitación. ¿Acepta invitación? Sí. Continua en actividad 20 y 22. No. Continua en actividad 18. | Oficio/Correo electrónico |
| Dirección de Capacitación Interna | 20. Envía información a la Secretaría Académica del Centro y/o Dirección de Apoyo Administrativo, para la elaboración del convenio o contrato respectivo. | Correo electrónico |
| Secretaría Académica del Centro y/o Dirección de Apoyo Administrativo | 21. Recibe información y aplica procedimiento de contratación e informa inicio del proceso a la Dirección del Centro. | Oficio |
| Dirección de Capacitación Interna | 22. Envía información a las áreas de Comunicación Social, Servicios Generales y Sistemas, según sea el caso para: a) Reserva de espacios para llevar a cabo la actividad académica. b) Solicitud de grabación. c) Solicitud de transmisión por internet y/o intranet. d) Solicitud de servicio de cafetería. e) Solicitud de servicio de fotografías. | Correo electrónico |
| Comunicación Social, Servicios Generales, Sistemas | 23. Reciben y atienden solicitud de la Dirección de Capacitación Interna. | Correo electrónico |
| Dirección de Capacitación Interna | 24. Elabora oficios de invitación para las Ponencias y envía a la Unidad de Capacitación para su revisión | Propuesta de oficio de invitación a Ponencias |
| Unidad de Capacitación | 25. Recibe y revisa propuesta de oficio. ¿Hay modificación a la propuesta? Si. Continua en actividad 24. No. Continua en actividad 26. | Propuesta de oficio de invitación a Ponencias |
| Unidad de Capacitación | 26. Envía a la Dirección del Centro el proyecto de oficio de invitación a Ponencias, para su aprobación. | Proyecto de oficio de invitación a Ponencias |
| Dirección del Centro | 27. Revisa proyecto de oficio. ¿Aprueba el proyecto de oficio? Sí, Continua en actividad 28. No, Continua en actividad 24. | Proyecto de oficio de invitación a Ponencias |
| Dirección del Centro | 28. Instruye a la Unidad de Capacitación para que elabore los oficios de invitación a Ponencias. | Oficio de invitación a Ponencias aprobado |
| Unidad de Capacitación | 29. Recibe instrucción y turna a la Dirección de Capacitación Interna para que elabore los oficios de invitación a Ponencias. | Correo electrónico |
| Dirección de Capacitación Interna | 30. Elabora oficios de invitación, recaba firmas y envía a ponencias | Oficio de invitación |
| Ponencias | 31. Reciben oficio y contestan a la Dirección del Centro | Oficio de respuesta |
| Dirección de Centro | 32. Recibe contestación y turna a la Unidad de Capacitación | Sistema de Control de Gestión |
| Unidad de Capacitación | 33. Recibe y turna a la Dirección de Capacitación Interna para que realice las gestiones necesarias en el Sistema de Administración Escolar. | Sistema de Control de Gestión |
| Dirección de Capacitación Interna | 34. Recibe instrucción y carga la información en el Sistema de Administración Escolar para generar listas de asistencias. | Sistema de Administración Escolar/ Controles Escolares |
| Dirección de Capacitación Interna | 35. Desahogo de los cursos o eventos académicos. | Programa definitivo |
| Dirección de Capacitación Interna | 36. Genera los informes respectivos. | Informes |
| Dirección de Capacitación Interna | 37. Imprime las constancias o documentos oficiales, recaba firmas y entrega a los asistentes y/o ponentes | Constancias |
| Dirección de Capacitación Interna | 38. Solicita a la Dirección de Apoyo Administrativo el pago a ponente o institución. | Correo electrónico |
| Dirección de Capacitación Interna | 39. Integra y clasifica el expediente correspondiente. | Expediente/Archivo |
| FIN DEL PROCEDIMIENTO | ||





| RESPONSABLE | ACTIVIDADES | PRODUCTO |
| INICIO DEL PROCEDIMIENTO | ||
| Dirección del Centro | 1. Instruye la elaboración del programa de capacitación externa a la Unidad de Capacitación, tanto para atender una solicitud como una programación. | Oficio/Correo electrónico |
| Unidad de Capacitación | 2. Toma conocimiento y turna a la Dirección de Capacitación Externa, para su elaboración. | Correo electrónico |
| Dirección de Capacitación Externa | 3. Recibe instrucción y elabora propuesta de programa. Envía a la Unidad de Capacitación para su revisión. | Propuesta de programa/ Correo electrónico |
| Unidad de Capacitación | 4. Revisa propuesta del programa de capacitación interna. ¿Hay modificación a la propuesta? Si. Continua en actividad 3. No. Continua en actividad 5. | Propuesta de programa |
| Unidad de Capacitación | 5. Envía a la Dirección del Centro el programa de capacitación externa para su aprobación. | Propuesta de programa/ Correo electrónico |
| Dirección del Centro | 6. Revisa propuesta de programa de capacitación externa. ¿Aprueba el programa de capacitación externa? Sí. Continua en actividad 7. No. Continua en actividad 2. | Propuesta de programa |
| Dirección del Centro | 7. Instruye a la Unidad de Capacitación para ejecutar el programa de capacitación externa. | Programa aprobado/ Correo electrónico |
| Unidad de Capacitación | 8. Recibe instrucción y turna a la Dirección de Capacitación Externa para iniciar la ejecución del programa. | Correo electrónico |
| Dirección de Capacitación Externa | 9. Analiza las solicitudes de las instituciones y, de ser el caso, las vincula con el programa de capacitación externa aprobado. Elabora oficios de respuesta a la institución. | Oficio/Programa |
| Institución | 10. Recibe oficio de respuesta. ¿Acepta programa? Sí. Continua en actividad 11. No. Continua en actividad 3. | Oficio/Correo electrónico |
| Institución | 11. Envía correo electrónico de aceptación a la Dirección de Capacitación Externa. | Correo electrónico |
| Dirección de Capacitación Externa | 12. Acuerda lugar y fecha de impartición del programa con la institución. | Oficio |
| Dirección de Capacitación Externa | 13. Elabora oficio de comisión al Profesor-Investigador, recaba la firma de la Dirección del Centro, y notifica el mismo. | Oficio |
| Dirección de Capacitación Externa | 14. Envía información requerida a la Dirección de Apoyo administrativo para gestionar los viáticos. | Oficio/Correo electrónico |
| Dirección de Apoyo Administrativo | 15. Recibe información y aplica procedimiento de solicitud de viáticos e informa inicio del proceso a la Secretaria Académica. | Correo electrónico |
| Dirección de Apoyo Administrativo | 16. Remite, en su caso, al profesor-investigador la autorización de viáticos y boleto de avión. | Correo electrónico/ Boletos de avión |
| Profesor-investigador (o Comisionado) | 17. Se traslada a la institución electoral, e imparte la actividad académica. | Comprobantes de viáticos |
| Profesor-investigador (o Comisionado) | 18. Recaba las listas de asistencia y evaluaciones del curso, y las entrega a la Dirección de Capacitación Externa. | Listas de asistentes y evaluaciones |
| Profesor-investigador (o Comisionado) | 19. Elabora su informe de comisión y lo presenta a la Dirección de Apoyo Administrativo. | Informe de comisión |
| Dirección de Apoyo Administrativo | 20. Recibe el informe del comisionado, valida la comprobación de viáticos y devuelve al comisionado.. | Informe validado |
| Comisionado | 21. Entrega el informe validado a la Dirección General de Recursos Financieros del Tribunal Electoral, y entrega listas de asistencia y evaluaciones a la Dirección. | Informe y comprobación de viáticos |
| Dirección de Capacitación Externa | 22. Recibe listas de asistentes y evaluación, conforme a las cuales, elabora y envía constancias de asistencia a la institución. | Constancias |
| Dirección de Capacitación Externa | 23. Depura copias, oficios, listas y evaluaciones, para completar el expediente respectivo de cada curso e integra el mismo al archivo documental de la Dirección. | Expediente |
| FIN DEL PROCEDIMIENTO | ||



| RESPONSABLE | ACTIVIDADES | PRODUCTO | ||
| INICIO DEL PROCEDIMIENTO | ||||
| Dirección del Centro | 1. Solicita a la Dirección de Divulgación un calendario de actividades, con base en el Programa Académico y Editorial. | Correo/Acuerdo | ||
| Dirección de Divulgación | 2. Propone un calendario de actividades a la Dirección del Centro. | Propuesta de calendario de actividades | ||
| Dirección del Centro | 3. Revisa y aprueba calendario de actividades y lo notifica a la Dirección de Divulgación. | Correo/Calendario de actividades | ||
| Dirección de Divulgación | 4. Elabora oficios de invitación a instituciones académicas y del Poder Judicial, así como a organismos electorales (jurisdiccionales y administrativos), para colaborar con actividades de divulgación y lo entrega para firma de la Dirección del Centro. | Propuestas de oficios de invitación | ||
| Dirección del Centro | 5. Firma oficios para formalizar la invitación a llevar a cabo actividades de divulgación y los remite a la Dirección de Divulgación. | Oficios de invitación | ||
| Dirección de Divulgación | 6. Envía los oficios firmados por la Dirección del Centro al Titular de la institución invitada | Comprobantes de envío de mensajería | ||
| Titular de la institución invitada | 7. Remite respuesta mediante oficio a la Dirección del Centro. ¿Acepta invitación? Si. Continua actividad 8. No. Continua actividad 3. | Oficio de respuesta | ||
| Dirección del Centro | 8. Recibe respuestas de instituciones invitadas y las remite a la Dirección de Divulgación. | Oficio de respuesta | ||
| Dirección de Divulgación | 9. Gestiona con los enlaces de las instituciones que aceptaron participar, la organización de las actividades. 10. Elabora programa de la actividad y propone temas y participantes, del Centro o de otras áreas del Tribunal Electoral, así como a académicos de los lugares en los que se realizará la actividad, para participar en la misma, y los presenta para aprobación de la Dirección del Centro. | Correos electrónicos, Propuesta de programa de la actividad, lista con nombres de personas propuestas | ||
| Dirección del Centro | 11. Aprueba el programa y a los funcionarios y/o académicos que participarán en la actividad y lo notifica a la Dirección de Divulgación. | Programa y nombre(s) de la(s) persona(s) aprobada(s) | ||
| Dirección de Divulgación | 12. Elabora oficio de comisión para funcionarios del Tribunal Electoral y oficio de invitación para académicos externos y los remite a firma de la Dirección del Centro. | Propuestas de oficio de comisión y/o invitación | ||
| Dirección del Centro | 13. Firma oficio de comisión y/o invitación y lo remite a la Dirección de Divulgación para su envío. | Oficio de comisión/ invitación | ||
| Dirección de Divulgación | 14. Entrega y/o envía los oficios firmados a las personas invitadas a la actividad. | Oficios de comisión | ||
| Personas invitadas a la actividad | 15. Notifica a la Dirección de Divulgación su aceptación o rechazo a participar en la actividad. | Correo electrónico | ||
| Dirección de Divulgación | 16. Recibe comunicación de la persona invitada a participar. ¿Acepta y/o puede participar? Sí. Continúa en la actividad 17. No. Continúa en la actividad 11. | Correo electrónico | ||
| Dirección de Divulgación | 17. Envía copia del oficio de comisión/invitación a la Dirección de Apoyo Administrativo para iniciar el procedimiento correspondiente. | Copia de oficio | ||
| Dirección de Apoyo Administrativo | 18. Tramita viáticos y transportación de acuerdo con el procedimiento, y remite a la persona participante en la actividad. | Viáticos y gastos de transportación | ||
| Persona participante en la actividad | 19. Recibe notificación de pasajes y viáticos y se coordina con la Dirección de Divulgación para llevar a cabo la actividad. | Pasajes e informe de viáticos | ||
| Dirección de Divulgación | 20. Indica a la persona participante en la actividad todos los detalles logísticos relacionados con la misma. | Correo electrónico | ||
| Dirección de Divulgación | 21. Solicita a la Dirección de Apoyo Técnico Editorial, el diseño de materiales institucionales para la difusión e imagen de la actividad. | Correo electrónico y formato de solicitud de materiales | ||
| Dirección de Apoyo Técnico Editorial | 22. Diseña materiales para la difusión e imagen de la actividad y remite propuesta a la Dirección de Divulgación. | Propuesta de materiales de difusión | ||
| Dirección de Divulgación | 23. Presenta propuestas de materiales de difusión a la Dirección del Centro. | Propuesta de materiales de difusión | ||
| Dirección del Centro | 24. Aprueba o solicita modificaciones de materiales de difusión y lo notifica a la Dirección de Divulgación. | Propuesta de materiales de difusión | ||
| Dirección de Divulgación | 25. Notifica aceptación o indica modificaciones de los materiales de difusión a Titular de Apoyo Técnico Editorial. ¿Se requieren modificaciones? Sí. Continúa en la actividad 21 No. Continúa en la actividad 26 | Correo electrónico con aceptación de materiales o solicitud de modificaciones | ||
| Dirección de Divulgación | 26. Elabora tarjeta para envío de publicaciones académicas, así como materiales de difusión de la actividad, a las instituciones invitadas. | Tarjeta de envío | ||
| Dirección de Divulgación | 27. Elabora propuestas de oficios a la Dirección General de Sistemas, Dirección General de Mantenimiento y Servicios Generales y Coordinación de Comunicación Social del Tribunal Electoral, en caso de requerirse su participación para llevar a cabo la actividad, y remite las propuestas para firma de la Dirección del Centro. | Propuestas de oficios | ||
| Dirección del Centro | 28. Firma oficios dirigidos a las áreas señaladas en la actividad previa, en caso de requerirse su participación. | Oficios | ||
| Dirección de Divulgación | 29. Envía los oficios de solicitud correspondientes, a las áreas señaladas en la actividad 27, en caso de requerirse su participación. | Comprobante de envío | ||
| Persona Participante en la actividad | 30. Lleva a cabo la actividad acordada. | Registro de asistentes y fotografías | ||
| Dirección de Divulgación | 31. Coordina la elaboración de informes sobre la actividad realizada y el archivo de la documentación correspondiente. | Registro y archivo de comprobantes de la actividad realizada | ||
| FIN DEL PROCEDIMIENTO | ||||




| RESPONSABLE | ACTIVIDADES | PRODUCTO |
| INICIO DEL PROCEDIMIENTO | ||
| Unidad de Investigación | 1. El Titular de la Unidad de Investigación solicita a los Profesores-Investigadores propuestas de líneas de investigación. | Correo electrónico |
| Profesores- Investigadores | 2. Los profesores-investigadores envían al Titular de la Unidad de Investigación las propuestas de líneas de investigación. | Correo electrónico/ Propuestas de líneas de investigación |
| Unidad de Investigación | 3. El Titular de la Unidad de Investigación revisa con los profesores-investigadores las propuestas de líneas de investigación. ¿Valida las propuestas? Si. Continua en la actividad 4. No. Continua en la actividad 1. | Propuestas de líneas de investigación |
| Unidad de Investigación | 4. El Titular de la Unidad de Investigación remite a la Dirección del Centro, las propuestas de líneas de investigación. ¿Aprueba las propuestas? Si. Continua en la actividad 5. No. Continua en la actividad 1. | Propuestas de líneas de investigación |
| Dirección del Centro | 5. Presenta las propuestas de líneas de investigación al Comité Académico y Editorial. ¿Autoriza las propuestas? Si. Continua en la actividad 6. No. Continua en la actividad 1. | Líneas de investigación autorizadas |
| Dirección del Centro | 6. Notifica al Titular de la Unidad de Investigación las líneas de investigación autorizadas. | Oficio/Líneas de investigación autorizadas |
| Unidad de Investigación | 7. Asigna a los profesores-investigadores temas de acuerdo a perfil, experiencia o interés, y solicita la elaboración de protocolos de investigación. | Correo electrónico/ Propuesta de protocolo de investigación |
| Profesores- Investigadores | 8. Realizan el proyecto de protocolo de Investigación, y lo remiten a la Unidad de Investigación. | Proyecto de Protocolo de investigación |
| Unidad de Investigación | 9. Recibe protocolo de investigación. ¿Valida el protocolo de investigación? Sí. Continua con la actividad 10. No. Continua en la actividad 8. | Protocolo de investigación validado |
| Unidad de Investigación | 10. Solicita a la Secretaría Académica turnar el protocolo de investigación a dictamen del Comité Académico y Editorial. | Correo electrónico/ Protocolos de investigación |
| Secretaria Académica | 11. Turna a dictamen el protocolo de investigación, al Comité Académico y Editorial. | Oficio y Punto de Acuerdo |
| Comité Académico y Editorial | 12. Evalúa el protocolo y envía dictamen a la Dirección o Secretaría Académica del Centro. | Dictamen/Correo electrónico |
| Dirección o Secretaria Académica del Centro | 13. Presenta al pleno del Comité Académico y Editorial el informe de los dictámenes emitidos, para su validación. | Acuerdo/Dictamen |
| Dirección del Centro | 14. Notifica al titular de la Unidad de Investigación el sentido de los dictámenes de los protocolos de investigación. | Oficio |
| Unidad de Investigación | 15. Notifica al profesor-investigador el sentido del dictamen. ¿El sentido del dictamen es aprobatorio? Sí. Continua en la actividad 16. No. Continúa en la actividad 8. | Correo/Dictamen |
| Profesor-Investigador | 16. Desarrolla la investigación de acuerdo al protocolo, así como los informes de avance cuatrimestral, mismos que envía al titular de la Unidad de Investigación. | Producto de investigación/ Informes de Investigación |
| Unidad de Investigación | 17. Envía los productos de investigación y los informes cuatrimestrales de los profesores-investigadores con sus observaciones a la Dirección del Centro para ser presentados al Comité Académico y Editorial. | Informes de avance Productos de investigación |
| Dirección del Centro | 18. Turna a dictamen del Comité Académico y Editorial, los productos de investigación, y/o presenta al pleno los informes de los profesores-investigadores. ¿Se aprueban los documentos? Si. Continua en la actividad 19. No. Continua en la actividad 16. | Oficio/Punto de Acuerdo |
| Dirección del Centro | 19. Notifica al Titular de la Unidad de Investigación y a los profesores-investigadores el dictamen del Comité Académico y Editorial. | Oficio |
| Unidad de Investigación | 20. Envía a la Dirección de Divulgación para su difusión, y reporta las investigaciones aprobadas en los informes que se le soliciten. | Correo electrónico/ Informes |
| Unidad de Investigación | 21. Archiva el dictamen y la investigación en el expediente correspondiente. | Expediente anual de investigaciones realizadas/ aprobadas |
| FIN DEL PROCEDIMIENTO | ||



| RESPONSABLE | ACTIVIDADES | PRODUCTO | |||
| INICIO DEL PROCEDIMIENTO | |||||
| Dirección del Centro | 1. Instruye a la Dirección de Divulgación a presentar una propuesta de autores para participar en las series editoriales y publicaciones del Tribunal Electoral, de conformidad con el Programa Académico y Editorial. | Correo electrónico | |||
| Dirección de Divulgación | 2. Propone terna de autores para participar, en orden de prelación, en las series editoriales o publicaciones del Tribunal Electoral. 3. Elabora punto de acuerdo con justificación de la propuesta para presentar al Comité Académico y la remite a la Secretaría Académica. | Punto de Acuerdo | |||
| Secretaría Académica | 4. Revisa e integra el punto de acuerdo a la carpeta y lo presenta en la sesión que corresponda, para el análisis y aprobación del Comité Académico y Editorial. | Punto de Acuerdo | |||
| Comité Académico y Editorial | 5. Revisan y aprueban la terna de autores que serán invitados a participar. ¿La propuesta fue aprobada? Sí. Continúa en el paso 6. No. Continúa en el paso 2. | Acuerdo | |||
| Secretaría Académica | 6. Toma nota y notifica el acuerdo del Comité Académico y Editorial al Titular de la Dirección de Divulgación. | Correo electrónico/ Acuerdo | |||
| Dirección de Divulgación | 7. Elabora propuestas de oficios de invitación a los autores aprobados por el Comité Académico y Editorial, y las presenta a la Dirección del Centro. | Propuesta de oficio | |||
| Dirección del Centro | 8. Firma oficios de invitación, en orden de prelación, a los autores aprobados por el Comité Académico y Editorial, y los remite a la Dirección de Divulgación. | Oficios de invitación | |||
| Dirección de Divulgación | 9. Envía los oficios firmados a los autores aprobados por el Comité Académico y Editorial. | Oficios de invitación | |||
| Autores invitados | 10. Notifican aceptación o rechazo a participar en la publicación que corresponda a la Dirección de Divulgación. | Correo electrónico | |||
| Dirección de Divulgación | 11. Recibe respuesta de los autores. ¿Acepta participar? Si. Continua actividad 12. No. Continua actividad 8. | Correo electrónico | |||
| Dirección de Divulgación | 12. Proporciona requisitos para elaboración de trabajos a los autores, mediante oficio y/o por correo electrónico | Relación de requisitos (Anexo 3) | |||
| Autores invitados | 13. Remiten al Titular de la Dirección de Divulgación la documentación solicitada. | Documentos para contratación | |||
| Dirección de Divulgación | 14. Envía documentación de los autores a la Dirección de Apoyo Administrativo, para su contratación. | Documentos para contratación/Correo electrónico | |||
| Dirección de Apoyo Administrativo | 15. Inicia procedimiento de contratación. | Contratos para autores | |||
| Autores contratados | 16. Elaboran trabajos para la serie o publicación que corresponda y los remiten al Titular de la Dirección de Divulgación. | Trabajo elaborado | |||
| Dirección de Divulgación | 17. Recibe por correo electrónico los trabajos elaborados por los autores. | Correo electrónico y trabajo elaborado | |||
| Dirección de Divulgación | 18. Elabora oficios para enviar a integrantes externos del Comité Académico y Editorial, los trabajos elaborados, para su dictamen, y los presenta a firma de la Dirección del Centro. | Propuesta de oficio | |||
| Dirección del Centro | 19. Firma oficios para enviar los trabajos a dictamen y los remite a la Dirección de Divulgación. | Oficio de envío a dictamen | |||
| Dirección de Divulgación | 20. Envía a integrantes externos del Comité Académico y Editorial, de acuerdo con el rol de dictaminadores, los trabajos elaborados, para su dictamen. | Oficio y trabajo para dictaminar | |||
| Comité Académico y Editorial | 21. Los integrantes externos del Comité Académico y Editorial, elaboran dictámenes en sentido: aprobado, aprobado con sugerencias de modificación, aprobado condicionado a modificaciones y no aprobado, y remiten formato con dictamen a la Secretaría Académica. | Formato con dictamen (Anexo 4) | |||
| Secretaría Académica | 22. Recibe los dictámenes de los integrantes externos del Comité Académico y Editorial, y los turna al Titular de la Dirección de Divulgación. | Formato con dictamen | |||
| Dirección de Divulgación | 23. Elabora proyecto de punto de acuerdo sobre el sentido de los dictámenes y la remite a la Secretaría para presentación en la sesión del Comité Académico y Editorial, que corresponda. | Proyecto de Punto de Acuerdo sobre sentido del dictamen | |||
| Secretaría Académica | 24. Revisa e integra el punto de acuerdo a la carpeta de asuntos del Comité Académico, y la presenta en la sesión correspondiente. | Punto de Acuerdo sobre sentido del dictamen | |||
| Comité Académico y Editorial | 25. Valida el sentido del dictamen y emite el acuerdo correspondiente. | Punto de acuerdo | |||
| Secretaría Académica | 26. Toma nota del acuerdo del Comité Académico y Editorial, y notifica el acuerdo al Titular de la Dirección de Divulgación. | Acuerdo/Correo electrónico | |||
| Dirección de Divulgación | 27. Elabora propuesta de oficio de notificación del sentido del dictamen y la presenta a la Dirección del Centro. | Propuesta de oficio | |||
| Dirección del Centro | 28. Firma oficio de notificación del dictamen y lo remite a la Dirección de Divulgación. ¿La obra requiere modificaciones? Si. Continúa actividad 29. No. Continúa actividad 44. | Oficio de notificación | |||
| Dirección de Divulgación | 29. Envía a los autores contratados oficio de notificación con el resultado del dictamen y las observaciones correspondientes. | Oficio de notificación | |||
| Autores contratados | 30. Realiza las modificaciones solicitadas y remite la nueva versión del trabajo al Titular de la Dirección de Divulgación. | Trabajo con modificaciones | |||
| Dirección de Divulgación | 31. Elabora propuesta de oficio para enviar el trabajo a validación de modificaciones del integrante externo del Comité Académico y Editorial, que emitió el dictamen, y la presenta al Titular del Centro. | Propuesta de oficio | |||
| Dirección del Centro | 32. Firma oficio para enviar trabajo a validación de modificaciones y lo remite a la Dirección de Divulgación. | Oficio de envío a validación | |||
| Dirección de Divulgación | 33. Envía oficio con la nueva versión del trabajo al integrante externo del Comité Académico que corresponda. | | |||
| Comité Académico y Editorial | 34. Recibe la nueva versión del trabajo, la evalúa y envía el sentido de la revisión a la Secretaría Académica. | Dictamen sobre el trabajo | |||
| Secretaría Académica | 35. Recibe el sentido de la revisión y la remite al Titular de la Dirección de Divulgación. | Correo electrónico con dictamen del trabajo | |||
| Dirección de Divulgación | 36. Elabora proyecto de punto de acuerdo sobre el sentido de la validación y la remite a la Secretaría Académica para su integración en la sesión del Comité Académico y Editorial, que corresponda. | Proyecto de Punto de Acuerdo sobre sentido del dictamen | |||
| Secretaría Académica | 37. Integra el punto de acuerdo a la carpeta de la sesión del Comité Académico. | Punto de Acuerdo sobre sentido del dictamen | |||
| Comité Académico y Editorial | 38. Emiten acuerdo sobre la validación del trabajo. | Punto de acuerdo | |||
| Secretaría Académica | 39. Toma nota y notifica el acuerdo sobre la validación del trabajo al Titular de la Dirección de Divulgación. | Oficio de notificación de Acuerdo | |||
| Dirección de Divulgación | 40. Elabora propuesta de oficio para notificar el sentido de la validación del trabajo, y lo presenta a la Dirección del Centro. | Propuesta de oficio | |||
| Dirección del Centro | 41. Firma oficio sobre el sentido de validación del trabajo y lo remite a la Dirección de Divulgación. | Oficio de notificación | |||
| Dirección de Divulgación | 42. Envía al autor la notificación sobre el sentido de validación del trabajo. ¿El trabajo se valida? Si. Continúa actividad 44. No. Solicita a la Dirección de Apoyo Administrativo, que gestione la cancelación del contrato. | Oficio de notificación | |||
| Dirección de Apoyo Administrativo | 43. Inicia procedimiento de cancelación de contrato. | Cancelación de contrato de los autores | |||
| Dirección de Divulgación | 44. Elabora propuesta de oficio para enviar el trabajo a proceso editorial y la presenta a la Dirección del Centro. | Propuesta de oficio | |||
| Dirección del Centro | 45. Firma el oficio para enviar a la Dirección de Apoyo Técnico Editorial, el trabajo, para iniciar el proceso editorial, y lo remite a la Dirección de Divulgación. | Oficio para envío a proceso editorial | |||
| Dirección de Divulgación | 46. Envía a la Dirección de Apoyo Técnico Editorial, el oficio con el trabajo, para dar inicio al proceso editorial. | Oficio y obra integrada | |||
| Dirección de Apoyo Técnico Editorial | 47. Recibe el trabajo y coordina su proceso editorial. 48. Envía al titular de la Dirección de Divulgación, cuadros de dudas y pruebas de impresión sobre la obra. | Cuadros de dudas sobre la obra enviada | |||
| Dirección de Divulgación | 49. Recibe cuadros de dudas y pruebas de impresión de la obra. 50. Coordina correcciones y modificaciones de pruebas de impresión de la obra. 51. Envía al titular de la Dirección de Apoyo Técnico Editorial, modificaciones y correcciones. | Cuadros de dudas y pruebas de impresión con correcciones | |||
| Dirección de Apoyo Técnico Editorial | 52. Remite al titular de la Dirección de Divulgación las pruebas finales de impresión. | Pruebas de impresión de la obra | |||
| Dirección de Divulgación | 53. Revisa la versión final de la obra y elabora propuesta de oficio para validar su contenido académico y publicación, y la presenta a la Dirección del Centro. | Pruebas de impresión y propuesta de oficio | |||
| Dirección del Centro | 54. Firma oficio de validación del contenido académico para publicación de la obra y lo remite a la Dirección de Divulgación. | Oficio de validación | |||
| Dirección de Divulgación | 55. Envía oficio de validación de la obra a la Dirección de Apoyo Técnico Editorial. 56. Archiva la documentación que da cuenta de la integración de la obra. | Oficio de validación y carpeta de archivo | |||
| FIN DEL PROCEDIMIENTO | |||||







| RESPONSABLE | ACTIVIDADES | PRODUCTO | ||
| INICIO DEL PROCEDIMIENTO | ||||
| Dirección del Centro | 1. Solicita en paralelo, a la Unidad de Capacitación y a la Dirección de Capacitación Interna, la propuesta de cursos de oferta académica del año siguiente, a fin de poder presentarla a la Comisión de Administración, a más tardar en la segunda semana del mes de noviembre. | Correo electrónico | ||
| Dirección de Capacitación Interna | 2. Solicita a la Dirección de Tecnologías Educativas, los cursos en línea disponibles para el siguiente año. | Correo electrónico | ||
| Dirección de Tecnologías educativas | 3. Informa a la Dirección de Capacitación Interna, los cursos disponibles, objetivos, planes de estudio y horas de estudio. | Planes de estudio de los cursos disponibles | ||
| Dirección de Capacitación Interna | 4. Revisa propuesta de cursos. 5. Elabora justificación y proyecto de oferta académica para presentar a la Unidad de Capacitación. | Proyecto de oferta académica | ||
| Unidad de Capacitación | 6. Revisa proyecto de oferta académica. ¿Valida el proyecto? Sí. Continúa en la actividad 7. No. Continúa en la actividad 4. 7. Remite para validación a la Dirección del Centro. | Proyecto de oferta académica validado | ||
| Dirección del Centro | 8. Revisa proyecto de oferta académica. ¿Aprueba el proyecto? Sí. Continúa en la actividad 9. No. Continúa en la actividad 4. 9. Solicita a la Unidad de Capacitación y a la Dirección de Capacitación Interna, elaborar el proyecto de acta para someter a aprobación del Comité de Carrera. | Proyecto de oferta académica aprobado | ||
| Dirección de Capacitación Interna | 10. Elabora proyecto de acta para someter, a aprobación del Comité de Carrera, la propuesta de cursos de oferta académica. 11. Somete a revisión y validación, de la Unidad de Capacitación, el proyecto de acta y anexa los cursos. | Proyecto de acta | ||
| Unidad de Capacitación | 12. Revisa proyecto de acta. ¿Valida el proyecto de acta? Sí. Continúa en la actividad 13. No. Continúa en la actividad 10. 13. Valida y envía a la Dirección del Centro para aprobación. | Proyecto de acta validado | ||
| Dirección del Centro | 14. Revisa proyecto de acta. ¿Aprueba el proyecto? Sí. Continúa en la actividad 15. No. Continúa en la actividad 10. 15. Solicita a la Dirección de Capacitación Interna, remitir proyecto de acta y documentos anexos a la Presidencia del Comité de Carrera, vía electrónica. | Proyecto de acta aprobado Correo electrónico | ||
| Dirección de Capacitación Interna | 16. Remite a la Presidencia del Comité de Carrera. | Correo electrónico | ||
| Presidencia del Comité de Carrera | 17. Revisa proyecto de acta y documentos anexos para su validación. ¿Valida proyecto de acta? Sí. Continúa en la actividad 18. No. Continúa en la actividad 10. 18. Solicita a la Dirección del Centro, convocar a sesión y remitir proyecto de acta y documentos anexos a los integrantes del Comité de Carrera, vía electrónica. | Correos electrónicos/Carpeta de la Sesión Ordinaria del Comité de Carrera | ||
| Dirección del Centro | 19. Solicita a la Unidad de Capacitación y a la Dirección de Capacitación Interna, elaborar oficios para convocar al Comité de Carrera. | Correo electrónico | ||
| Dirección de Capacitación Interna | 20. Elabora oficios para convocar a los integrantes del Comité de Carrera, y los remite para su revisión a la Unidad de Capacitación. | Proyecto de oficios/Correo electrónico | ||
| Unidad de Capacitación | 21. Revisa y valida oficios para convocar a los integrantes del Comité de Carrera, y los presenta para firma a la Dirección del Centro. | Oficios validados/Correo electrónico | ||
| Dirección del Centro | 22. Firma oficios y solicita a la Unidad de Capacitación enviar vía electrónica a los integrantes del Comité de Carrera. | Oficios firmados Correo electrónico | ||
| Unidad de Capacitación | 23. Revisa y valida documentación, e instruye a la Dirección de Capacitación Interna remitirla a los integrantes del Comité de Carrera. | Correo electrónico | ||
| Dirección de Capacitación Interna | 24. Envía oficios firmados por la Dirección del Centro y documentos anexos, a los integrantes del Comité de Carrera, vía electrónica. | Oficios Correos electrónicos | ||
| Magistrados(as) integrantes del Comité de Carrera | 25. Revisan el acta y propuesta de cursos de oferta académica, y emiten su votación. ¿Emiten voto positivo al acta y oferta académica? Sí. Continúa en la actividad 26. No. Continúa en la actividad 4 si modifican la oferta y 10 si modifican sólo el acta. | Correos electrónicos | ||
| Magistrados(as) integrantes del Comité de Carrera | 26. Sesionan, aprueban y en acuerdo instruyen a la Dirección del Centro presentar a la Comisión de Administración para su aprobación definitiva. | Acta aprobada | ||
| Dirección del Centro | 27. Solicita a la Unidad de Capacitación y a la Dirección de Capacitación Interna, elaborar el punto de acuerdo para someter a aprobación de la Comisión de Administración, anexando documentos, acta firmada y propuestas de cursos. | Correos electrónicos | ||
| Dirección de Capacitación Interna | 28. Elabora punto de acuerdo, y lo envía para revisión a la Unidad de Capacitación. | Proyecto de punto de acuerdo Correo electrónico | ||
| Unidad de Capacitación | 29. Revisa punto de acuerdo. ¿Valida el punto de acuerdo? Sí. Continúa en la actividad 30. No. Continúa en la actividad 28. 30. Envía punto de acuerdo a la Secretaria Académica. | Correo electrónico | ||
| Secretaria Académica | 31. Revisa punto de acuerdo y presenta para su aprobación a la Dirección del Centro. | Correo electrónico/Punto de Acuerdo | ||
| Dirección del Centro | 32. Revisa punto de acuerdo. ¿Aprueba el punto de acuerdo? Sí. Continúa actividad 33. No. Continúa actividad 31. 33. Solicita a la Secretaria Académica enviar el Punto de Acuerdo a la Comisión de Administración. | Correo electrónico | ||
| Secretaria Académica | 34. Remite a la Comisión de Administración el punto de acuerdo y anexos, para su autorización. | Oficio/Punto de Acuerdo | ||
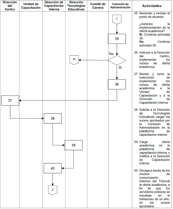
| Comisión de Administración | 35. Sesionan y revisan el punto de acuerdo. ¿Autoriza la implementación de la oferta académica? Sí. Continúa actividad 36. No. Continúa actividad 28. 36. Instruye a la Dirección del Centro, implementar los cursos de oferta académica. | Oficio Acuerdo | ||
| Dirección del Centro | 37. Recibe y turna la instrucción de implementar los cursos de oferta académica a la Unidad de Capacitación y a la Dirección de Capacitación Interna. | Correo electrónico | ||
| Dirección de Capacitación Interna | 38. Solicita a la Dirección de Tecnologías Educativas cargar los cursos aprobados por la Comisión de Administración en la plataforma de capacitación interna. | Correo electrónico | ||
| Dirección de Tecnologías Educativas | 39. Carga oferta académica en la plataforma de capacitación interna, y notifica a la Dirección de Capacitación Interna. | Plataforma con los cursos cargados Correo electrónico | ||
| Dirección de Capacitación Interna | 40. Divulga a través de los medios de comunicación internos del Tribunal la oferta académica, a fin de que los servidores públicos se inscriban, en el transcurso de un año, en los cursos aprobados. | Entérate/Correo electrónico | ||
| Servidores Públicos | 41. Se inscriben en los cursos y, realizan las actividades y evaluaciones correspondientes. ¿Aprueban los cursos? Sí. Continúa en la actividad 42. No. Continúa en la actividad 41 hasta por dos veces, un tercer recursamiento deberá ser autorizado por el Comité de Carrera. 42. Descargan constancias y las envía junto con la solicitud de habilitación a la Dirección del Centro. | Solicitud de habilitación Constancias Currículum | ||
| Dirección del Centro | 43. Recibe del servidor público la solicitud de inclusión en la lista de habilitados y turna a la Unidad de Capacitación y a la Dirección de Capacitación Interna. | Solicitud de habilitación Constancias Currículum Correo electrónico | ||
| Dirección de Capacitación Interna | 44. Verifica las constancias con la Dirección de Tecnologías Educativas y revisa documentación. ¿Valida la solicitud? Sí. Continúa en la actividad 45. No. Continúa en la actividad 41. 45. Forma archivo electrónico por cada solicitante y remite para validación a la Unidad de Capacitación. | Solicitud de habilitación Constancias Curriculum Correo electrónico | ||
| Unidad de Capacitación | 46. Revisa, aprueba y remite solicitud de habilitación a la Dirección del Centro de Capacitación. ¿Aprueba la solicitud? Sí. Continúa en la actividad 47. No. Continúa en la actividad 44. | Solicitud de habilitación Constancias Curriculum Correo electrónico | ||
| Dirección del Centro | 47. Revisa y autoriza la solicitud de habilitación. 48. Solicita a la Unidad de Capacitación y a la Dirección de Capacitación Interna, incluya al funcionario solicitante en la lista de habilitados. | Correo electrónico | ||
| Dirección de Capacitación Interna | 49. Elabora lista de habilitados incorporando el nombre del servidor público solicitante, y envía a la Unidad de Capacitación. | Lista de habilitados | ||
| Unidad de Capacitación | 50. Revisa, valida y envía la lista de habilitados a la Dirección del Centro para su aprobación y firma. | Correo electrónico y lista de habilitados | ||
| Dirección del Centro | 51. Aprueba, firma y solicita a la Dirección de Capacitación Interna publique la lista de habilitados. | Correo y lista firmada | ||
| Dirección de Capacitación Interna | 52. Solicita a la Dirección de Divulgación la publicación de la lista de habilitados. | Correo con lista de habilitados en | ||
| Dirección de Divulgación | 53. Publica lista de habilitados y notifica a la Dirección de Capacitación Interna. | Lista de habilitados publicada | ||
| Dirección de Capacitación Interna | 54. Presenta los informes correspondientes. 55. Integra expediente y archiva. | Informes/Expediente/Archivo | ||
| FIN DEL PROCEDIMIENTO | ||||










| RESPONSABLE | ACTIVIDADES | PRODUCTO |
| INICIO DEL PROCEDIMIENTO | ||
| Persona solicitante | 1. Envía solicitud dirigida a la Dirección del Centro para ser incorporado a la lista de habilitados del Tribunal Electoral por equiparación. | Solicitud y constancias |
| Dirección del Centro | 2. Turna a la Dirección de Capacitación Interna para revisión de documentación e integración de expediente y, en su caso, elaboración de proyecto de Acta al Comité de Carrera. | Correo electrónico Solicitud y constancias |
| Dirección de Capacitación Interna | 3. Revisa documentación y verifica vigencia de constancias presentadas a fin de constatar que la persona solicitante forma parte del Sistema de Carrera Judicial de la Suprema Corte de Justicia de la Nación o del Consejo de la Judicatura Federal. ¿Las constancias presentadas están vigentes? Sí. Continúa en la actividad 4. No. Continúa en la actividad 1. 4. Integra expediente físico y electrónico. 5. Elabora proyecto de Acta para someter a consideración del Comité de Carrera, y envía a la Unidad de Capacitación para su revisión. | Expediente y proyecto de Acta para para someter a consideración del Comité de Carrera |
| Unidad de Capacitación | 6. Revisa proyecto de Acta donde se somete a consideración del Comité de Carrera la solicitud de equiparación. ¿Valida el proyecto de acta? Sí. Continúa en la actividad 7. No. Continúa en la actividad 5. 7. Remite el proyecto de acta a la Dirección del Centro. | Proyecto de Acta para para someter a consideración del Comité de Carrera aprobado |
| Dirección del Centro | 8. Revisa proyecto de acta donde se somete a consideración del Comité de Carrera la solicitud de equiparación. ¿Aprueba el proyecto de acta? Sí. Continúa en la actividad 9. No. Continúa en la actividad 5. 9. Solicita a la Dirección de Capacitación Interna, remitir proyecto de acta y documentos anexos a la Presidencia del Comité de Carrera, vía electrónica. | Proyecto de Acta firmado para para someter a consideración del Comité de Carrera |
| Dirección de Capacitación Interna | 10. Remite a la Presidencia del Comité de Carrera. | Correo electrónico |
| Presidencia del Comité de Carrera | 11. Revisa proyecto de acta y documentos anexos para su validación. ¿Valida el proyecto de acta? Sí. Continúa en la actividad 12. No. Continúa en la actividad 5. 12. Solicita a la Dirección del Centro, convocar a sesión y remitir proyecto de acta y documentos anexos a los integrantes del Comité de Carrera, vía electrónica. | Correos electrónicos/ Carpeta de la Sesión Ordinaria del Comité de Carrera |
| Dirección del Centro | 13. Solicita a la Unidad de Capacitación y a la Dirección de Capacitación Interna, elaborar oficios para convocar al Comité de Carrera. | Correo electrónico |
| Dirección de Capacitación Interna | 14. Elabora oficios para convocar a los integrantes del Comité de Carrera, y los remite para su revisión a la Unidad de Capacitación. | Proyecto de oficios/ Correo electrónico |
| Unidad de Capacitación | 15. Revisa y valida oficios para convocar a los integrantes del Comité de Carrera, y los presenta para firma a la Dirección del Centro. | Oficios validados/Correo electrónico |
| Dirección del Centro | 16. Firma oficios y solicita a la Unidad de Capacitación enviar vía electrónica a los integrantes del Comité de Carrera. | Oficios firmados Correo electrónico |
| Unidad de Capacitación | 17. Revisa y valida documentación, e instruye a la Dirección de Capacitación Interna remitirla a los integrantes del Comité de Carrera. | Correo electrónico |
| Dirección de Capacitación Interna | 18. Envía oficios firmados por la Dirección del Centro y documentos anexos, a los integrantes del Comité de Carrera, vía electrónica. | Oficios Correos electrónicos |
| Magistrados(as) integrantes del Comité de Carrera | 19. Revisan el acta y propuesta de equiparación, y emiten su votación. ¿Emiten voto positivo al acta y propuesta de equiparación? Sí. Continúa en la actividad 20. No. Continúa en la actividad 3. | Correos electrónicos |
| Comité de Carrera en Pleno | 20. Sesiona, suscribe punto de acuerdo (proceda o no la equiparación) e instruye subir el punto de Acuerdo a la Comisión de Administración para su aprobación definitiva. | Acuerdo Acta |
| Dirección del Centro | 21. Solicita a la Unidad de Capacitación y a la Dirección de Capacitación Interna, elaborar el punto de acuerdo para someter a aprobación de la Comisión de Administración, anexando documentos y acuerdo firmado. | Correo electrónicos |
| Dirección de Capacitación interna | 22. Elabora punto de acuerdo para someter a aprobación de la Comisión de Administración, la determinación del Comité de Carrera. 23. Remite vía electrónica a la Unidad de Capacitación, para revisión y aprobación. | Proyecto de punto de acuerdo Correo electrónico |
| Unidad de Capacitación | 24. Revisa punto de acuerdo. ¿Valida el punto de acuerdo? Sí. Continúa en la actividad 25. No. Continúa en la actividad 22. 25. Envía punto de acuerdo a la Secretaría Académica. | Correo electrónico |
| Secretaria Académica | 26. Revisa punto de acuerdo y presenta para su aprobación a la Dirección del Centro. | Correo electrónico/Punto de Acuerdo |
| Dirección del Centro | 27. Revisa punto de acuerdo. ¿Aprueba el punto de acuerdo? Sí. Continúa en la actividad 28. No. Continúa en la actividad 22. 28. Solicita a la Secretaria Académica enviar el Punto de Acuerdo. | Correo electrónico |
| Secretaria Académica | 29. Remite a la Comisión de Administración el punto de acuerdo y anexos, para su aprobación. | Oficio/Punto de Acuerdo |
| Comisión de Administración | 30. Sesiona, suscribe punto de acuerdo con resolución definitiva y ordena a la Dirección del Centro, notificarlo al servidor público. | Punto de acuerdo y notificación |
| Dirección del Centro | 31. Recibe y solicita a la Unidad de Capacitación y a la Dirección de Capacitación Interna, realizar gestiones para notificar a la persona que solicito equiparación. | Correo electrónico |
| Dirección de Capacitación interna | 32. Elabora proyecto de oficio solicitando a la Secretaría General de Acuerdos notifique a la persona solicitante. 33. Remite a la Unidad de Capacitación para revisión y validación de oficio. | Proyecto de oficio solicitando notificación |
| Unidad de Capacitación | 34. Revisa proyecto de Oficio y remite a la Dirección de Centro. ¿Aprueba el proyecto de oficio? Sí. Continúa en la actividad 35. No. Continúa en la actividad 32. | Proyecto de oficio solicitando notificación aprobado/no aprobado |
| Dirección del Centro | 35. Revisa, firma oficio de solicitud de notificación y solicita a la Unidad de Capacitación y a la Dirección de Capacitación Interna, sea remitido a la Secretaría General de Acuerdos. | Oficio solicitando notificación firmado |
| Secretaría General de Acuerdos | 36. Notifica a la persona resultado del trámite de habilitación y remite acuse a la Dirección del Centro. ¿La notificación consigna aprobación de habilitación? Sí. Continúa en la actividad 37. No. Continúa en la actividad 45. | Notificación y acuse |
| Dirección del Centro | 37. Remite acuse de notificación a la Dirección de Capacitación Interna, para integrar acuse al expediente e incluir el nombre de la persona cuya equiparación prosperó a la lista de habilitados. | Acuse, correo electrónico |
| Dirección de Capacitación interna | 38. Elabora proyecto de lista de habilitados con la inclusión del nombre de la persona cuya equiparación prosperó. 39. Remite a la Unidad de Capacitación para su revisión y validación. | Proyecto de Lista de habilitados Correo electrónico |
| Unidad de Capacitación | 40. Revisa, aprueba y remite a la Dirección del Centro para su suscripción. | Proyecto de Lista de habilitados aprobado |
| Dirección del Centro | 41. Revisa, aprueba y firma la lista de habilitados. 42. Solicita a la Unidad de Capacitación y a la Dirección de Capacitación Interna, publicar la lista de habilitados. | Lista de habilitados aprobada Correo electrónico |
| Dirección de Capacitación interna | 43. Solicita a la Dirección de Divulgación la publicación de la lista de habilitados. | Correo con lista de habilitados en PDF |
| Dirección de Divulgación | 44. Publica lista de habilitados y notifica a la Dirección de Capacitación Interna. | Publicación de la lista de habilitados |
| Dirección de Capacitación Interna | 45. Integra expediente y archiva. | Expediente/Archivo |
| FIN DEL PROCEDIMIENTO | ||






| RESPONSABLE | ACTIVIDADES | PRODUCTO |
| INICIO DEL PROCEDIMIENTO | ||
| Dirección del Centro | 1. Solicita en paralelo a la Unidad de Capacitación y a la Dirección de Capacitación Interna, elaborar el proyecto de Convocatoria para exámenes de aptitud que someterá la aprobación del Comité de Carrera. | Correo electrónico |
| Dirección de Capacitación interna | 2. Elabora el proyecto de Convocatoria para exámenes de aptitud y remite para revisión y aprobación a la Unidad de Capacitación. | Proyecto de Convocatoria |
| Unidad de Capacitación | 3. Revisa el proyecto Convocatoria para exámenes de aptitud. ¿Aprueba? Sí. Continúa en la actividad 4. No. Continúa en la actividad 2. 4. Remite a la Dirección del Centro. | Proyecto de Convocatoria |
| Dirección del Centro | 5. Recibe el proyecto de Convocatoria para exámenes de aptitud. ¿Aprueba? Sí. Continúa en la actividad. 6. No. Continúa en la actividad 2. 6. Circula el proyecto de Convocatoria para pre-aprobación de Presidencia del Comité de Carrera, y demás integrantes. | Proyecto de Convocatoria |
| Integrantes del Comité de Carrera | 7. Valida el proyecto de Convocatoria para exámenes de aptitud. ¿Pre-aprueban? Sí. Continúa en la actividad. 8. No. Continúa en la actividad 2. | Proyecto de Convocatoria pre-aprobada |
| Dirección de Capacitación Interna | 8. Elabora los proyectos de: a) Oficios para convocar al Comité de Carrera a sesión y b) Carpeta que contiene la Convocatoria y el Acta pre-aprobada de la sesión correspondiente. Una vez autorizada la documentación por la Jefatura de Unidad y firmada por la Dirección del Centro, se envía a los destinatarios. | Proyecto de oficios Proyecto de carpeta |
| Comité de Carrera en Pleno | 9. Sesiona y suscribe Punto de Acuerdo ¿Aprueba? Sí. Continúa en la actividad. 10. No. Continúa en la actividad 8. 10. Instruye a la Dirección del Centro presentar el Punto de Acuerdo a la Comisión de Administración para la aprobación definitiva de la Convocatoria. | Acta firmada |
| Dirección de Capacitación Interna | 11. Elabora proyecto de Punto de Acuerdo para someter la Convocatoria a la consideración de la Comisión de Administración. Una vez autorizado por la Jefatura de Unidad de Capacitación, se envía a la Secretaría Académica. | Proyecto de Punto de Acuerdo |
| Secretaría Académica | 12. Remite el Punto de Acuerdo a la Dirección del Centro para su conocimiento y firma. | Punto de Acuerdo |
| Dirección del Centro | 13. Firma y solicita a la Secretaría Académica enviar el Punto de Acuerdo a la Comisión de Administración. | Punto de Acuerdo |
| Secretaría Académica | 14. Envía el Punto de Acuerdo, mediante oficio, a la Comisión de Administración. | Oficio Punto de Acuerdo |
| Comisión de Administración | 15. Sesiona y suscribe Punto de Acuerdo. ¿Aprueba definitivamente? Sí. Continúa en la actividad. 16. No. Continúa en la actividad 11. 16. Notifica a la Dirección del Centro el Punto de Acuerdo donde aprueba la Convocatoria. | Notificación del Punto de Acuerdo |
| Dirección de Capacitación Interna | 17. Elabora: a) El proyecto de oficio dirigido a la Coordinación de Comunicación Social, requiriendo la difusión de la Convocatoria en las páginas de internet e intranet del Tribunal, y b) Los proyectos de oficios dirigidos a los Magistrados de Sala Superior y Salas Regionales solicitando el nombramiento de miembros del Comité Evaluador. Una vez autorizados por la Jefatura de Unidad de Capacitación y firmados por la Dirección del Centro, se envían a los destinatarios. | Proyecto de oficios |
| Coordinación de comunicación social | 18. Publica la Convocatoria en las páginas de internet e intranet del Tribunal. | Convocatoria publicada en las páginas de internet e intranet del Tribunal Electoral |
| Ponencias de la Sala Superior | 19. Designan a los miembros del Comité Evaluador e informan a la Dirección de Capacitación Interna. | Oficios designando miembros del Comité Evaluador |
| Dirección de Capacitación Interna | 20. Integra el proyecto de Lista de miembros del Comité Evaluador. 21. Remite para revisión y aprobación a la Unidad de Capacitación. | Proyecto de Lista de miembros del Comité Evaluador |
| Unidad de Capacitación | 22. Revisa el proyecto de Lista de miembros del Comité Evaluador. ¿Aprueba? Sí. Continúa en la actividad. 23. No. Continúa en la actividad 20. 23. Contacta a las personas incluidas en la Lista de miembros del Comité Evaluador para informarles las acciones que llevarán a cabo. | Lista de miembros del Comité Evaluador |
| Dirección de Capacitación Interna | 24. Elabora los proyectos de oficios dirigidos a las Salas Regionales para informar las fechas de aplicación de los exámenes teórico y práctico y requerirles indiquen las sedes para aplicarlos. Una vez autorizados por la Jefatura de Unidad de Capacitación y firmados por la Dirección del Centro, se envían a los destinatarios. | Proyecto de oficios |
| Salas Regionales | 25. Informan a la Dirección de Capacitación Interna la ubicación de las sedes en que aplicarán los exámenes teórico y práctico. | Oficios indicando lugares en que se llevarán a cabo exámenes teórico y práctico |
| Dirección de Capacitación Interna | 26. Integra el proyecto de Lista de lugares para la aplicación de exámenes. 27. Remite para revisión y aprobación a la Unidad de Capacitación. | Proyecto de Lista de lugares para la aplicación de exámenes |
| Unidad de Capacitación | 28. Revisa el proyecto de Lista de lugares para la aplicación de exámenes y una vez autorizado, remite a la Dirección del Centro para su conocimiento. | Proyecto de Lista de lugares para la aplicación de exámenes |
| Dirección de Capacitación Interna | 29. Elabora el proyecto de oficio dirigido a la Secretaría General de Acuerdos para que remita expedientes y ejercicios actuariales necesarios para el examen teórico. Una vez autorizado por la Jefatura de Unidad de Capacitación y firmado por la Dirección del Centro, se envía al destinatario. | Proyecto de oficio |
| Secretaría General de Acuerdos | 30. Remite a la Dirección de Capacitación Interna los expedientes y ejercicios actuariales. | Expedientes Ejercicios actuariales |
| Dirección de Capacitación Interna | 31. Integra los expedientes y ejercicios actuariales remitidos por la Secretaría General de Acuerdos. | Carpeta electrónica de expedientes y ejercicios actuariales |
| Dirección del Centro | 32. Solicita a la Unidad de Investigación la elaboración del examen teórico. | Correo electrónico |
| Unidad de Investigación | 33. Solicita a los profesores investigadores la elaboración de reactivos para el examen teórico. | Correo electrónico |
| Profesores investigadores | 34. Elaboran reactivos para el examen teórico de la Convocatoria y los remiten a la Jefatura de Unidad de Investigación para su revisión y aprobación. | Reactivos para el examen teórico |
| Unidad de Investigación | 35. Revisa reactivos elaborados por los profesores investigadores para el examen teórico de la Convocatoria. ¿Aprueba? Sí. Continúa en la actividad. 36 No. Continúa en la actividad 34. 36. Remite el examen teórico a la Dirección de Tecnologías Educativas para cargarlo en la plataforma informática. | Examen teórico aprobado |
| Dirección de Tecnologías Educativas | 37. Carga el examen teórico en la plataforma y lo reporta a la Unidad de Capacitación. | Examen teórico cargado en plataforma |
| Dirección de Capacitación Interna | 38. Elabora el proyecto de oficio para requerir a la Dirección General de Sistemas que abra y cierre el formulario de registro electrónico en las fechas previstas por la Convocatoria. Una vez autorizado por la Jefatura de Unidad de Capacitación y firmado por la Dirección del Centro, se envía al destinatario. | Proyecto de oficio |
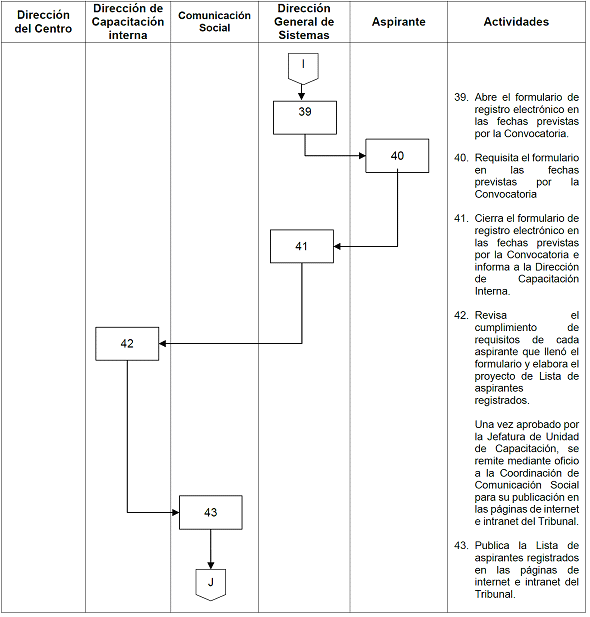
| Dirección General de Sistemas | 39. Abre el formulario de registro electrónico en las fechas previstas por la Convocatoria. | Formulario de registro electrónico |
| Aspirante | 40. Requisita el formulario en las fechas previstas por la Convocatoria | Registro |
| Dirección General de Sistemas | 41. Cierra el formulario de registro electrónico en las fechas previstas por la Convocatoria e informa a la Dirección de Capacitación Interna. | Formularios de registro electrónico requisitados |
| Dirección de Capacitación Interna | 42. Revisa el cumplimiento de requisitos de cada aspirante que llenó el formulario y elabora el proyecto de Lista de aspirantes registrados. Una vez aprobado por la Jefatura de Unidad de Capacitación, se remite mediante oficio a la Coordinación de Comunicación Social para su publicación en las páginas de internet e intranet del Tribunal. | Proyecto de Lista de aspirantes registrados |
| Coordinación de Comunicación Social | 43. Publica la Lista de aspirantes registrados en las páginas de internet e intranet del Tribunal. | Lista de aspirantes registrados publicada en las páginas de internet e intranet del Tribunal Electoral |
| Dirección de Capacitación Interna | 44. Elabora proyecto de oficio dirigido la Dirección General de Sistemas para requerir la contratación del arrendamiento de equipos de cómputo, así como la instalación, configuración y prueba de los mismos. Una vez autorizado por la Jefatura de Unidad de Capacitación y firmado por la Dirección del Centro, se envía al destinatario. | Proyecto de oficio |
| Dirección General de Sistemas | 45. Contrata el arrendamiento de equipos de cómputo, efectúa su instalación, configuración y prueba e informa a la Dirección de Capacitación Interna. | Contrato de arrendamiento de equipos de cómputo Oficio |
| Dirección del Centro | 46. Instruye paralelamente a la Unidad de Capacitación y a la Dirección de Capacitación Interna supervisar y coordinar la aplicación de los exámenes teórico y práctico. Asimismo, instruye a la Dirección de Tecnologías Educativas: a) Administrar la plataforma durante la aplicación de los exámenes, b) Integrar las calificaciones del examen teórico (obtenidas automáticamente) y c) Integrar los exámenes prácticos y remitirlos a la Dirección de Capacitación Interna. | Correo electrónico |
| Dirección de Capacitación Interna | 47. Bajo la supervisión de la Unidad de Capacitación, coordina la aplicación de exámenes teórico y práctico. | Exámenes teórico y práctico respondidos en la plataforma |
| Dirección de Tecnologías Educativas | 48. Administra la plataforma durante la aplicación de los exámenes teórico y práctico y al término de su realización: a) Integra las calificaciones de los exámenes teóricos (obtenidas automáticamente). b) Integra los exámenes prácticos, y c) Remite la Lista de calificaciones de los exámenes teóricos y la carpeta electrónica que contiene los exámenes prácticos a la Dirección de Capacitación Interna. | Lista de calificaciones de exámenes teóricos Carpeta electrónica de exámenes prácticos |
| Dirección de Capacitación Interna | 49. Recibe la Lista de calificaciones de los exámenes teóricos y la carpeta electrónica que contiene los exámenes prácticos. 50. Envía a los integrantes del Comité Evaluador los exámenes prácticos y la Cédula de evaluación e informa a la Unidad de Capacitación sobre su envío. | Lista de calificaciones de exámenes teóricos Carpeta electrónica de exámenes prácticos Cédula de evaluación |
| Comité Evaluador | 51. Recibe los exámenes prácticos y utiliza la Cédula de evaluación para obtener las calificaciones. Tras llenar las Cédulas de evaluación las envía a la Dirección de Capacitación Interna. | Cédulas de evaluación con calificaciones de los exámenes prácticos |
| Dirección de Capacitación Interna | 52. Recibe las Cédulas de evaluación con las calificaciones de los exámenes prácticos e integra el proyecto de Lista de calificaciones (suma de las calificaciones obtenidas en los exámenes teórico y práctico). Una vez autorizada por la Jefatura de Unidad y presentada a la Dirección del Centro, se envía a la Coordinación de Comunicación Social para su publicación en las páginas de internet e intranet del Tribunal. | Proyecto de Lista de calificaciones |
| Coordinación de Comunicación Social | 53. Publica la Lista de calificaciones en las páginas de internet e intranet del Tribunal | Lista de calificaciones publicada |
| Aspirante | 54. Revisa su calificación en la Lista de calificaciones ¿Aprueba? Sí. Continúa en la actividad. 65. No. Continúa en la actividad 55. 55. Presenta escrito de inconformidad. | Escrito de inconformidad |
| Dirección de Capacitación Interna | 56. Recibe e integra los escritos de inconformidad que presentan los aspirantes en una carpeta electrónica, misma que remite a la Unidad de Capacitación para su revisión. Una vez autorizada la carpeta electrónica por la Jefatura de Unidad de Capacitación, se envía a la Unidad de Investigación. | Carpeta electrónica con escritos de inconformidad |
| Unidad de Investigación | 57. Recibe la carpeta electrónica y distribuye los escritos de inconformidad entre los profesores investigadores para la elaboración de los proyectos de dictámenes. | Correos electrónicos para la distribución de escritos de inconformidad |
| Profesores investigadores | 58. Reciben los escritos de inconformidad y elaboran los proyectos de dictámenes. Una vez autorizados por la Jefatura de Unidad de Investigación y firmados por la Dirección del Centro se envían al Comité de Carrera. | Proyectos de dictámenes |
| Comité de Carrera en Pleno | 59. Sesiona y suscribe Punto de Acuerdo: ¿Aprueba? Sí. Continúa en la actividad. 60. No. Continúa en la actividad 57. 60. Suscribe el Acta donde se propone la aprobación de los dictámenes e instruye a la Dirección del Centro notificar a los aspirantes. | Dictámenes Acta |
| Dirección de Capacitación Interna | 61. Elabora: a) Las notificaciones de los dictámenes y b) El proyecto de oficio dirigido a la Secretaría General de Acuerdos para que auxilie en la entrega de las notificaciones a domicilio. Una vez autorizada la documentación por la Jefatura de Unidad y firmada por la Dirección del Centro, se envía al destinatario. | Proyecto de notificaciones Proyecto de oficio |
| Secretaría General de Acuerdos | 62. Auxilia en la notificación de los dictámenes a domicilio y reporta a la Dirección de Capacitación Interna. | Cédulas de notificaciones entregadas |
| Dirección de Capacitación Interna | 63. Elabora: a) El proyecto de Lista de horarios para las entrevistas de los aspirantes. b) Los proyectos de oficios para comunicarla al Comité Evaluador. c) El proyecto de oficio para remitirla a la Coordinación de Comunicación Social para su publicación. Una vez autorizada por la Jefatura de Unidad de Capacitación y firmada por la Dirección del Centro, se envía al destinatario. | Proyecto de Lista de horarios para entrevistas Proyecto de oficios |
| Coordinación de Comunicación Social | 64. Publica la Lista de horarios para entrevistas en las páginas de internet e intranet del Tribunal | Lista de horarios para entrevistas publicada |
| Aspirante | 65. Revisa la Lista de horarios para entrevistas publicadas y asiste a la entrevista conforme al horario indicado. | Lista de horarios para entrevistas revisada por aspirantes |
| Comité Evaluador | 66. Desahoga las entrevistas de los aspirantes, integra las Cédulas de evaluación y las Actas circunstanciadas y las remite a la Dirección de Capacitación Interna. | Cédulas de evaluación Actas circunstanciadas |
| Dirección de Capacitación Interna | 67. Elabora el proyecto de Lista de resultados de las entrevistas de los aspirantes. Una vez autorizada por la Jefatura de Unidad se envía a la Coordinación de Comunicación social para su publicación en las páginas de internet e intranet del Tribunal. | Proyecto de Lista de resultados de las entrevistas de los aspirantes |
| Coordinación de Comunicación Social | 68. Publica la Lista de resultados de las entrevistas de los aspirantes en las páginas de internet e intranet del Tribunal | Lista de resultados de las entrevistas de los aspirantes publicada |
| Aspirante | 69. Revisa su resultado en la Lista de resultados de las entrevistas de los aspirantes publicada ¿Acepta la calificación obtenida? Sí. Continúa en la actividad. 79. No. Continúa en la actividad 70. 70. Presenta solicitud de revisión. | Solicitud de revisión |
| Dirección de Capacitación Interna | 71. Recibe e integra las solitudes de revisión presentadas. Una vez revisadas por la Jefatura de Unidad de Capacitación se remiten al Comité Evaluador para su resolución. | Carpeta electrónica con solicitudes de revisión integradas Proyecto de oficio |
| Comité Evaluador | 72. Recibe las solicitudes de revisión, elabora las resoluciones correspondientes y las notifica a los aspirantes por correo electrónico, además de enviarlas a la Dirección de Capacitación Interna. | Resoluciones Correos electrónicos |
| Dirección del Centro | 73. Instruye paralelamente a la Unidad de Capacitación y a la Dirección de Capacitación Interna para que elaboren: a) Los oficios para convocar al Comité de Carrera a sesión, b) El proyecto de Lista de personas habilitadas, y c) El proyecto de Informe del proceso de carrera judicial | Correo electrónico |
| Dirección de Capacitación Interna | 74. Elabora proyectos de: a) Oficios para convocar al Comité de Carrera, b) Lista de personas habilitadas, e c) Informe del proceso de carrera judicial. Una vez autorizada la documentación por la Jefatura de Unidad de Capacitación y firmada por la Dirección del Centro, se envía al destinatario. | Proyectos de oficio Proyecto de Lista de personas habilitadas Proyecto de Informe de los procesos de carrera judicial |
| Comité de Carrera en Pleno | 75. Sesiona y suscribe puntos de acuerdo respecto a la Lista de personas habilitadas y el Informe del proceso de carrera judicial ¿Aprueba? Sí. Continúa en la actividad. 76. No. Continúa en la actividad 74. 76. Suscribe el Acta donde se propone la aprobación de la Lista de personas habilitadas y tener por recibido el Informe del proceso de carrera judicial, e instruye a la Dirección del Centro publicar la Lista de personas habilitadas y presentar el Informe del proceso de carrera judicial a la Comisión de Administración | Lista de personas habilitadas Informe de los procesos de carrera judicial |
| Dirección de Capacitación Interna | 77. Elabora proyecto de oficio para requerir a la Coordinación de Comunicación Social la publicación de la Lista de personas habilitadas en las páginas de internet e intranet del Tribunal. Una vez autorizado por la Jefatura de Unidad de Capacitación y firmado por la Dirección del Centro, se envía al destinatario. | Proyecto de oficio |
| Coordinación de Comunicación Social | 78. Publica la Lista de personas habilitadas en las páginas de internet e intranet del Tribunal. | Lista de personas habilitadas publicada en las páginas de internet e intranet del Tribunal |
| Aspirante | 79. Revisa la Lista de personas habilitadas en las páginas de internet e intranet del Tribunal. | Lista de personas habilitadas revisada |
| Dirección de Capacitación Interna | 80. Elabora proyecto de Punto de Acuerdo para presentar el Informe de los procesos de carrera judicial a la Comisión de Administración. Una vez aprobado por la Jefatura de Unidad de Capacitación remite a la Secretaría Académica. | Proyecto de Punto de Acuerdo |
| Secretaría Académica | 81. Envía el Punto de Acuerdo a la Dirección del Centro para su conocimiento y firma. Una vez firmado, se envía al destinatario. | Punto de Acuerdo |
| Comisión de Administración | 82. Sesiona y suscribe Punto de Acuerdo (aprueba o rechaza) ¿Aprueba? Sí. Continúa en la actividad. 83. No. Continúa en la actividad 80. 83. Notifica a la Dirección del Centro el Punto de Acuerdo donde tiene por presentado el Informe del proceso de carrera judicial | Notificación Punto de Acuerdo |
| Dirección de Capacitación Interna | 84. Integra el proyecto de expediente completo. Una vez autorizado por la Jefatura de Unidad de Capacitación y avalado por la Dirección del Centro, se archiva el expediente. | Proyecto de expediente completo |
| FIN DEL PROCEDIMIENTO | ||


















| RESPONSABLE | ACTIVIDADES | PRODUCTO |
| INICIO DEL PROCEDIMIENTO | ||
| Dirección del Centro. | 1. Solicita a la Unidad de Capacitación la elaboración de un proyecto para el levantamiento de la Detección de Necesidades de Capacitación Administrativa. | Correo electrónico |
| Unidad de Capacitación. | 2. Recibe la solicitud y turna a la Dirección de Capacitación Administrativa. | Correo electrónico |
| Dirección de Capacitación Administrativa. | 3. Elabora una propuesta para aplicar la Detección de Necesidades de Capacitación Administrativa, y la envía a la Unidad de Capacitación. | Guía para entrevistas y/o cuestionario/Estrategia |
| Unidad de Capacitación. | 4. Recibe y revisa la propuesta. ¿Aprueba la propuesta? Sí. Continúa en la actividad 5. No. Continúa en la actividad 3. | Propuesta validada por la Unidad de Capacitación |
| Dirección del Centro. | 5. Recibe y revisa la propuesta. ¿Aprueba la propuesta? Sí. Continúa en la actividad 6. No. Continúa en la actividad 3. | Propuesta aprobada por la Dirección del Centro |
| 6. Convoca a la Dirección General de Recursos Humanos y a la Dirección General de Planeación y Evaluación Institucional, para evaluar la propuesta de la Detección de Necesidades de Capacitación Administrativa. | Oficio/Correo electrónico | |
| Dirección del Centro/Dirección General de Recursos Humanos/Dirección General de Planeación y Evaluación Institucional. | 7. Reciben, revisan y evalúan la propuesta de la Detección de Necesidades de Capacitación Administrativa. ¿Aprueban la propuesta? Sí. Continúa en la actividad 8. No. Continúa en la actividad 3. | Propuesta aprobada de Detección de Necesidades |
| Dirección de Capacitación Administrativa. | 8. Conforme a la estrategia y cuestionario aprobados, planea la logística para realizar la Detección de Necesidades de Capacitación Administrativa, dirigida a las áreas jurisdiccionales y administrativas de la Sala Superior. ¿El cuestionario se aplicará a través de una entrevista presencial? Sí. Continúa en actividad 9. No. Continúa en la actividad 21 si es por correo electrónico y 33 si es por formulario en línea. | Plan de acción |
| Dirección de Capacitación Administrativa. | 9. Elabora oficios de invitación para los titulares de áreas jurisdiccionales y administrativas de la Sala Superior, para explicar la dinámica de la entrevista y designar al personal que atenderá la misma; y envía para su revisión a la Unidad de Capacitación. | Oficios/correos electrónicos |
| Unidad de Capacitación. | 10. Recibe y revisa los oficios de invitación. ¿Valida los oficios? Sí. Continúa en la actividad 11. No. Continúa en la actividad 9. | Oficios/Correos electrónicos validados |
| Dirección del Centro. | 11. Aprueba y envía los oficios. ¿Aprueba y envía los oficios? Sí. Continúa en la actividad 12. No. Continúa en la actividad 9. | Oficios/Correos electrónicos aprobados |
| Titulares de áreas jurisdiccionales y administrativas de la Sala Superior. | 12. Designan al personal de mandos superiores o medios que serán entrevistados, y dan respuesta a la Dirección del Centro. | Respuesta a la invitación (oficios o correos electrónicos) |
| Dirección del Centro. | 13. Recibe las designaciones y turna a la Dirección de Capacitación Administrativa. | Oficios/ Correos electrónicos |
| Dirección de Capacitación Administrativa. | 14. Archiva los acuses en el expediente de la Detección de Necesidades de Capacitación Administrativa. | Expediente |
| Dirección de Capacitación Administrativa. | 15. Establece comunicación con el personal designado para confirmar las fechas y lugares donde se realizará la entrevista. | Correo electrónico |
| 16. Asiste para aplicar la entrevista en el lugar, fechas y horarios acordados. | ||
| Titulares de áreas jurisdiccionales y administrativas de la Sala Superior. | 17. El personal designado contesta las preguntas tomando en consideración las necesidades de capacitación del área, el Programa Anual de Trabajo (PAT), así como las funciones y actividades, descritas en el Acuerdo General de Administración, los objetivos institucionales y los específicos del área. | Entrevista realizada |
| 18. El personal designado revisa y firma el cuestionario con la información resultante del procedimiento aplicado, y entrega a la Dirección de Capacitación Administrativa. |
| Dirección de Capacitación Administrativa. | 19. Concentra, registra en Excel y procesa la información resultante del procedimiento aplicado. | Base de datos |
| 20. Archiva las entrevistas impresas en el expediente de la Detección de Necesidades de Capacitación. Continua en la actividad 48. | Expediente | |
| Dirección de Capacitación Administrativa. | El cuestionario se aplicará por correo electrónico. 21. Elabora los comunicados a los titulares de áreas jurisdiccionales y administrativas de la Sala Superior; para explicar el procedimiento que se utilizará para recabar la información. | Invitaciones (oficios o correos electrónicos) |
| Unidad de Capacitación. | 22. Recibe y revisa los comunicados. ¿Valida los comunicados? Sí. Continúa en la actividad 23. No. Continúa en la actividad 21. | Oficios/Correos electrónicos validados |
| Dirección del Centro. | 23. Aprueba y envía los comunicados. ¿Aprueba y envía los comunicados? Sí. Continúa en la actividad 24. No. Continúa en la actividad 21. | Oficios/Correos electrónicos aprobados |
| Titulares de áreas jurisdiccionales y administrativas de la Sala Superior. | 24. Designan al personal de mandos superiores o medios quienes responderán el cuestionario a través del correo electrónico. Comunican su respuesta a la Dirección del Centro. | Respuesta a la invitación (oficios o correos electrónicos) |
| Dirección del Centro. | 25. Recibe las designaciones y turna la respuesta a la Dirección de Capacitación Administrativa. | Oficios/ Correos electrónicos |
| Dirección de Capacitación Administrativa. | 26. Archiva las respuestas en el expediente de la Detección de Necesidades de Capacitación Administrativa. | Expediente |
| 27. Distribuye por correo electrónico, un instructivo y el cuestionario, para que respondan la detección de necesidades. | Correos electrónicos | |
| Titulares de áreas jurisdiccionales y administrativas de la Sala Superior. | 28. El personal designado contesta el cuestionario tomando en consideración las necesidades de capacitación del área, el Programa Anual de Trabajo (PAT), así como las funciones y actividades, descritas en el Acuerdo General de Administración, los objetivos institucionales y los específicos del área. | Cuestionario resuelto/Correo electrónico/Oficio |
| 29. El titular de la unidad revisa, firma y envía el cuestionario a la Dirección del Centro, mediante oficio o correo electrónico de acuerdo con las instrucciones. | ||
| Dirección del Centro. | 30. Recibe los cuestionarios resueltos y los turna a la Dirección de Capacitación Administrativa. | Oficios/ Correos electrónicos |
| Dirección de Capacitación Administrativa. | 31. Recibe, concentra, registra en Excel y procesa la información resultante del procedimiento aplicado. | Base de datos |
| 32. Archiva los cuestionarios resueltos en el expediente de la Detección de Necesidades de Capacitación Administrativa. Continua en la actividad 48. | Expediente | |
| Dirección de Capacitación Administrativa. | El cuestionario se aplicará a través de un formulario en línea. 33. Solicita a Dirección General de Sistemas la implementación del cuestionario aprobado en la plataforma virtual del Centro. | Oficio |
| Dirección General de Sistemas. | 34. Implementa el cuestionario en la plataforma. | Formulario propuesto en línea para la Detección de Necesidades de Capacidad Administrativa |
| 35. Realiza pruebas del cuestionario para su aprobación, y notifica su cumplimiento a la Dirección de Capacitación Administrativa. | ||
| Dirección de Capacitación Administrativa. | 36. Revisa el formulario en línea y realiza pruebas. ¿Aprueba el formulario? Sí. Continúa en actividad 37. No. Continúa en actividad 35. | Formulario aprobado /Correo electrónico |
| Dirección de Capacitación Administrativa. | 37. Elabora comunicados dirigidos a los titulares de áreas jurisdiccionales y administrativas de Sala Superior, para hacer de su conocimiento el inicio del levantamiento de la detección de necesidades de capacitación a través de un formulario en línea; y los envía a la Unidad de Capacitación para su revisión. | Comunicados (oficios, correos electrónicos, Entéra...TE, entre otros) |
| Unidad de Capacitación. | 38. Recibe y revisa los comunicados. ¿Valida los comunicados? Sí. Continúa en la actividad 39. No. Continúa en la actividad 37. | Comunicados validados por la Unidad de Capacitación |
| Dirección del Centro. | 39. Revisa y aprueba los comunicados. ¿Aprueba los comunicados? Sí. Continúa en la actividad 40. No. Continúa en la actividad 37. | Comunicados validados por la Dirección del Centro. |
| Dirección de Capacitación Administrativa. | 40. Distribuye los comunicados dirigidos a los titulares de áreas jurisdiccionales y administrativas de Sala Superior. | Comunicados (oficios, correos electrónicos, Entéra...TE) |
| Titulares de áreas jurisdiccionales y administrativas de la Sala Superior. | 41. Reciben invitaciones y designan al personal de mandos superiores o medios, quienes responderán el cuestionario en línea; notificándolo a la Dirección del Centro. | Confirmación/ Respuesta a la invitación (oficios o correos electrónicos) |
| Dirección del Centro. | 42. Recibe el oficio o correo respuesta y lo turna a la Dirección de Capacitación Administrativa. | Respuesta de los Titulares |
| Dirección de Capacitación Administrativa. | 43. Archiva las respuestas en el expediente de la Detección de Necesidades de Capacitación Administrativa. | Expediente |
| Titulares de áreas jurisdiccionales y administrativas de la Sala Superior. | 44. El personal designado contesta el cuestionario tomando en consideración las necesidades de capacitación del área, el Programa Anual de Trabajo (PAT), así como las funciones y actividades, descritas en el Acuerdo General de Administración, los objetivos institucionales y los específicos del área. | Cuestionario resuelto en línea |
| Dirección General de Sistemas. | 45. Dará seguimiento a la recepción de respuestas en la plataforma del Centro, y recopilará de manera ordenada los datos, una vez que concluya el periodo del levantamiento. | Base de datos consolidada |
| 46. Enviará el archivo electrónico, con las respuestas del cuestionario, a la Dirección de Capacitación Administrativa. | ||
| Dirección de Capacitación Administrativa. | 47. Revisa y valida los datos recopilados en el archivo electrónico generado bajo la supervisión de la Dirección General de Sistemas. | Base de datos validada |
| 48. Realiza la clasificación de los cursos solicitados, dando prioridad a aquéllos que justifiquen su vinculación con los objetivos estratégicos institucionales y los específicos del área. | Propuesta del Programa de Capacitación Administrativa |
| 49. Elabora el Programa de Capacitación Administrativa y la remite a la Unidad de Capacitación para su validación. | ||
| Unidad de Capacitación. | 50. Recibe y revisa la propuesta. ¿Aprueba la propuesta? Sí. Continúa en la actividad 51. No. Continúa en la actividad 48. | Propuesta validada por la Unidad de Capacitación |
| Dirección del Centro. | 51. Recibe y revisa la propuesta. ¿Aprueba la propuesta? Sí. Continúa en la actividad 52. No. Continúa en la actividad 48. | Propuesta aprobada por la Dirección del Centro |
| 52. Remite la propuesta a la Coordinación General de Asesores de la Presidencia para que, por su conducto, se presente el Programa ante la Presidencia del Tribunal Electoral para su aprobación. | ||
| Coordinación General de Asesores de la Presidencia. | 53. Revisan y evalúan la propuesta de Programa de Capacitación Administrativa. ¿Aprueba a la propuesta? Sí. Continúa en la actividad 54. No. Continua en la actividad 48. | Propuesta aprobada por Coordinación General de Asesores de la Presidencia |
| 54. Presenta el Programa a la Presidencia del Tribunal Electoral para su aprobación. | ||
| Presidencia del Tribunal Electoral. | 55. La Presidencia del Tribunal Electoral, revisa y realiza observaciones al Programa de Capacitación Administrativa. ¿Aprueba la propuesta? Sí. Continúa en la actividad 56. No. Continúa en la actividad 48. | Propuesta aprobada por la Presidencia del Tribunal |
| 56. Envía el Programa de Capacitación Administrativa autorizado a la Coordinación General de Asesores de la Presidencia | Programa de Capacitación Administrativa autorizado por la Presidencia del Tribunal Electoral | |
| Coordinación General de Asesores de la Presidencia. | 57. Remite el Programa de Capacitación Administrativa autorizado a la Dirección del Centro para su ejecución. | Programa de Capacitación Administrativa autorizado por la Presidencia del Tribunal |
| Dirección del Centro. | 58. Recibe el Programa de Capacitación Administrativa autorizado por la presidencia del Tribunal Electoral, y lo remite a la Dirección de Capacitación Administrativa y a la Dirección de Apoyo Administrativo. | Programa de Capacitación Administrativa autorizado |
| Dirección de Apoyo Administrativo. | 59. Prepara el punto de acuerdo para solicitar autorización a la Comisión de Administración para ejercer los recursos presupuestales asignados para dicho programa, y lo envía a la Secretaría Académica. | Punto de Acuerdo |
| Secretaria Académica. | 60. Lo envía por oficio firmado por la Dirección del Centro, al Secretario de la Comisión de Administración para su presentación en la próxima sesión. | Oficio (Punto de Acuerdo) |
| Comisión de Administración. | 61. Determina, con base en las condiciones presupuestales, los ajustes en el programa de capacitación administrativa e instruye a la Dirección del Centro su adecuación. ¿Realiza ajustes? Si. Continua en la actividad 49. No. Continua en la actividad 62. | |
| 62. Recibe solicitud del Centro para ejercer el presupuesto asignado en el programa de capacitación administrativa. Analiza y determina si es procedente. ¿Autoriza el ejercicio del presupuesto? Sí. Continúa en la actividad 63. No. Continúa en la actividad 59. | Punto de acuerdo presentado | |
| 63. Autoriza el programa de capacitación administrativa, y notifica para su ejecución a la Dirección del Centro. | Acuerdo | |
| Dirección del Centro. | 64. Recibe autorización para ejecutar el Programa de Capacitación Administrativa y lo turna a la Unidad de Capacitación. | Presupuesto autorizado |
| Unidad de Capacitación. | 65. Recibe e instruye a la Dirección de Capacitación Administrativa forme el expediente | Correo electrónico |
| Dirección de Capacitación Administrativa. | 66. Incorpora al archivo institucional. | Expediente/Archivo |
| FIN DEL PROCEDIMIENTO | ||









| RESPONSABLE | ACTIVIDADES | PRODUCTO |
| INICIO DEL PROCEDIMIENTO | ||
| Dirección del Centro. | 1. Recibe autorización para ejercer el presupuesto del programa de capacitación administrativa, en los plazos programados para su ejecución. 2. Transmite la autorización al Titular de la Dirección de Capacitación Administrativa. | Autorización |
| Dirección de Capacitación Administrativa. | 3. Recibe la confirmación para ejercer el presupuesto del Programa de Capacitación Administrativa. | Ejecución |
| Dirección de Capacitación Administrativa. | 4. Recopila información relativa a los contenidos temáticos requeridos para cada una de las actividades integradas en el Programa de Capacitación Administrativa. 5. Consulta dicha información con las áreas solicitantes y con proveedores externos. | Contenidos temáticos |
| Áreas solicitantes. | 6. Proporcionan a la Dirección de Capacitación Administrativa, los temarios mínimos que debe contener el curso solicitado. | |
| Dirección de Capacitación Administrativa. | 7. Solicita a diversos proveedores externos temarios relativos al curso solicitado. | |
| Proveedores externos. | 8. Proporcionan a la Dirección de Capacitación Administrativa, propuestas de temarios para el curso solicitado. | |
| Dirección de Capacitación Administrativa. | 9. Solicita a la Titular de la Dirección de Apoyo Administrativo la contratación de las actividades académicas contempladas en el Programa de Capacitación Administrativa autorizado, con las especificaciones de cada curso. | Requerimiento |
| Dirección de Apoyo Administrativo. | 10. Recibe solicitud y realiza las gestiones correspondientes, conforme al Procedimiento de contratación de un servicio o adquisición de bienes. | Requisición y orden de servicio |
| 11. Elabora la requisición de servicios. | ||
| 12. Recibe copia de la orden de servicios y la remite al Titular de la Dirección de Capacitación Administrativa. | ||
| Dirección de Capacitación Administrativa. | 13. Recibe copia de la orden de servicio y establece comunicación con el proveedor para planear la logística. | Temario acoplado al perfil de los servidores públicos del Tribunal Electoral |
| 14. En caso de que el área solicitante lo determine, se coordina una entrevista previa con el proveedor para establecer detalles sobre los temas a impartir. |
| Dirección de Capacitación Administrativa. | 15. Envía información a las áreas de Comunicación Social, Servicios Generales y Sistemas, según sea el caso para: a) Reserva de espacios para llevar a cabo la actividad académica. b) Solicitud de grabación. c) Solicitud de transmisión por internet y/o intranet. d) Solicitud de servicio de cafetería. e) Solicitud de servicio de fotografías. | Correo electrónico |
| Comunicación Social, Servicios Generales, Sistemas | 16. Reciben y atienden solicitud de la Dirección de Capacitación Administrativa. | Correo electrónico |
| Dirección de Capacitación Administrativa. | 17. Elabora y distribuye comunicados/ convocatorias dirigidas a los titulares de las áreas que requieren los cursos, para invitar al personal adscrito a las mismas, con la información general del curso. | Invitaciones y convocatorias (oficios, correos electrónicos y Entéra...TE, entre otros) |
| Titulares de las áreas solicitantes. | 18. Reciben invitaciones y designan al personal que será inscrito y comunican su respuesta al Titular del Centro. | Acuses/correos electrónicos |
| Dirección del Centro. | 19. Recibe el oficio o correo respuesta y lo turna al Titular de la Dirección de Capacitación Administrativa. | Respuesta de los Titulares |
| Dirección de Capacitación Administrativa. | 20. Prepara los controles y documentos necesarios para el desarrollo del curso. | Listas de asistencia Acta de recepción de servicios Cuestionarios de satisfacción |
| Proveedor. | 21. Imparte actividad académica y proporciona el material didáctico. | Servicio proporcionado/ Material didáctico |
| Servidores públicos participantes. | 22. Cumplen con los requisitos de acreditación. Y contestan el cuestionario de satisfacción. | Listas de asistencia firmadas Cuestionarios de satisfacción llenados |
| Titulares de las áreas solicitantes. | 23. Solicitan la justificación de faltas para algunos participantes y avisan sobre las bajas de otros. | Oficios y correos electrónicos |
| Dirección de Capacitación Administrativa. | 24. Recibe notificaciones de cambios de grupo o de bajas; y justificantes. Los mismos los remite al proveedor para que los considere en los resultados de la actividad académica. | Registros de asistencia actualizados |
| Proveedor. | 25. Emite los resultados obtenidos por los participantes y los envía a la Dirección de Capacitación Administrativa. | Calificaciones y Reconocimientos Acta de recepción de servicios firmada Factura |
| 26. Otorga la documentación necesaria para tramitar su pago. | ||
| Dirección de Capacitación Administrativa. | 27. Recopila y envía la documentación requerida a la Titular de la Dirección de Apoyo Administrativo para que por su conducto solicite el pago del proveedor. | Correo electrónico |
| Dirección de Apoyo Administrativo. | 28. Realiza el trámite de pago: Procedimiento de contratación de un servicio o adquisición de bienes. | Oficio para solicitud de pago |
| Dirección de Capacitación Administrativa. | 29. Actualiza la base de datos del control escolar con los datos proporcionados por el proveedor. | Registros de capacitación administrativa actualizados |
| 30. Entrega los resultados y reconocimientos a los participantes. | Acuses | |
| 31. Emiten los informes correspondientes. | Informes diversos | |
| 32. Recopila la evidencia de la capacitación, y prepara los expedientes para enviarlos al archivo institucional. | Expedientes actualizados | |
| FIN DEL PROCEDIMIENTO | ||



