PROYECTO de Norma Oficial Mexicana PROY-NOM-170-SEMARNAT-2017, Contaminación atmosférica.- Límites máximos permisibles de emisión provenientes de generadores de vapor que utilizan bagazo de caña de azúcar como combustible.
Al margen un sello con el Escudo Nacional, que dice: Estados Unidos Mexicanos.- Secretaría de Medio Ambiente y Recursos Naturales.
CUAUHTEMOC OCHOA FERNANDEZ, Subsecretario de Fomento y Normatividad Ambiental de la Secretaría de Medio Ambiente y Recursos Naturales y Presidente del Comité Consultivo Nacional de Normalización de Medio Ambiente y Recursos Naturales, con fundamento en los artículos 32 Bis, fracción IV de la Ley Orgánica de la Administración Pública Federal; 5o., fracciones V, XII y XIII, 36, fracciones I, II, III, IV y V, 37 TER, 111, fracción III, 111 Bis, 113 y 171 de la Ley General del Equilibrio Ecológico y la Protección al Ambiente; 3o., fracción XXII, inciso l, y 129 de la Ley de la Industria Eléctrica; 6o., 13, fracciones I y VI de la Ley de Promoción y Desarrollo de los Bioenergéticos; 38, fracción II, 40, fracciones X y XI, 41, 43, 44, 45, 46, 47, fracción I y 73 de la Ley Federal sobre Metrología y Normalización; 28, 33 y 34 del Reglamento de la Ley Federal sobre Metrología y Normalización, 8, fracciones III, IV y V del Reglamento Interior de la Secretaría de Medio Ambiente y Recursos Naturales, y
CONSIDERANDO
Que la calidad del aire debe ser satisfactoria en todo el país para asegurar el bienestar de la población y el equilibrio ecológico, se debe controlar y reducir la emisión de gases contaminantes a la atmósfera.
Que de acuerdo a las Guías de calidad del aire de la Organización Mundial de la Salud (OMS), relativas al material particulado, el ozono, el dióxido de nitrógeno y dióxido de azufre, actualización mundial 2005, las partículas con un diámetro aerodinámico igual o menor a 2.5 micrómetros (PM2.5), de las cuales forma parte el Carbono Negro (CN), se asocian a daños a la salud, como paros e insuficiencia cardíacos, derrames sanguíneos, cáncer pulmonar, bronquitis crónica, asma, enfisema y bajo peso al nacer.
Que a diferencia de los sistemas tradicionales de alta intensidad energética y de carbono, como son los de las termoeléctricas a base de combustóleo, carbón y coque de petróleo, la biomasa genera menores emisiones de bióxido de azufre (SO2) y óxidos de nitrógeno (NOX), debido a que combustibles como el bagazo de caña de azúcar contienen cantidades traza de azufre y generan menores temperaturas de combustión respectivamente.
Que la consideración anterior, aunada a las metas establecidas por nuestro país, en la Ley General de Cambio Climático; en el Programa Especial de Cambio Climático, y en la Contribución Prevista y Determinada a Nivel Nacional (INDC, por sus siglas en inglés), plantean la necesidad de reducir gases de efecto invernadero (GEI), como factor clave para impulsar el uso de energías limpias que limiten o reduzcan la huella de carbono, entre las cuales, el aprovechamiento con fines energéticos de la biomasa puede tener una participación importante, toda vez que México cuenta con abundantes reservas de bioenergéticos.
Que en México, se obtienen aproximadamente 15 millones de toneladas de bagazo de caña de azúcar, por zafra, mismo que representa un valioso recurso, al ser aprovechado en los generadores de vapor como combustible para la generación de energía.
Que la consideración anterior, en correspondencia con la Ley de Promoción y Desarrollo de los Bioenergéticos, establece que para las actividades de producción de insumos y de bioenergéticos se debe prevenir, controlar o evitar la contaminación atmosférica.
Que la Ley de la Industria Eléctrica fomenta la generación de energía limpia proveniente del aprovechamiento del poder calorífico del bagazo de caña de azúcar que se emplea en los ingenios azucareros o en alguna otra industria, mediante el otorgamiento de Certificados de Energías Limpias, conforme a lo establecido en las disposiciones correspondientes aplicables publicadas por la Comisión Reguladora de Energía; así como los límites de emisiones establecidos por la Secretaría de Medio Ambiente y Recursos Naturales.
Que de acuerdo al Inventario Nacional de Gases y Compuestos de Efecto Invernadero 2013, publicado por el Instituto Nacional de Ecología y Cambio Climático, la quema del bagazo de caña de azúcar para fines energéticos en ingenios azucareros genera emisiones de más de 120 mil toneladas de partículas con un diámetro aerodinámico igual o menor a 10 micrómetros (PM10), de las cuales el 96% corresponde a la fracción PM2.5. Este volumen de emisiones es significativo sobre todo si se asume que aproximadamente el 30% en masa de las partículas PM2.5 es Carbono Negro (CN). La misma fuente informa que en los ingenios azucareros se originó el 34.9% del total de emisiones de CN, en el país.
Que una fracción de Partículas (PM) corresponde al CN, Contaminante Climático de Vida Corta (CCVC), el cual es un forzador climático capaz de retener la luz, transformarla en calor y provocar calentamiento atmosférico, así como alteraciones en los patrones climáticos. Además, es causante de afectaciones a la salud de las personas a partir de la combustión incompleta de biomasa y combustibles fósiles.
Que el Panel Intergubernamental de Cambio Climático consideró al CN, en su Cuarto Informe, el segundo agente de cambio climático más potente, con un potencial de calentamiento equivalente a 55% al atribuido al bióxido de carbono (CO2); y llega a contribuir en un periodo de veinte años hasta 3,200 veces más que el CO2.
Que cuando se utiliza el bagazo de caña de azúcar como combustible, la combustión incompleta de la biomasa genera emisiones de partículas sólidas que al salir por la chimenea, pueden ser arrastradas por los vientos a grandes distancias, y precipitar más tarde en los núcleos poblacionales provocando la contaminación del medio ambiente.
Que en México, generalmente los generadores de vapor que utilizan bagazo de caña de azúcar como combustible, son equipos antiguos que operan en condiciones ineficientes de combustión, por lo que el orden de magnitud de las emisiones de partículas sólidas es considerablemente alto.
Que se requiere un periodo razonable de transición para que los responsables de los generadores de vapor que utilizan bagazo de caña de azúcar como combustible puedan realizar las inversiones necesarias que permitan reducir sustancialmente sus emisiones contaminantes.
Que para garantizar la sustentabilidad de las actividades económicas, la Secretaría tiene la atribución de emitir normas oficiales mexicanas en materia ambiental y para el aprovechamiento sustentable de los recursos naturales, las cuales son de cumplimiento obligatorio en todo el territorio nacional, y tendrán, entre otros, el objeto de establecer límites permisibles que deberán observarse en regiones, zonas, cuencas o ecosistemas, en el desarrollo de dichas actividades económicas.
Que, entre los límites máximos permisibles que tiene la atribución de establecer la Secretaría en normas oficiales mexicanas, se encuentran los de emisión de contaminantes a la atmósfera.
Que, así mismo, la Secretaría tiene la facultad de estimular o inducir a los agentes económicos a reorientar sus procesos y tecnologías a la protección del ambiente y al desarrollo sustentable.
Que el Programa Sectorial de Medio Ambiente y Recursos Naturales 2013-2018 establece entre sus líneas de acción la de normar, regular y fomentar energías renovables y tecnologías limpias para consolidar al país como una economía de bajo carbono.
Que para contribuir al cumplimiento de los límites de concentración establecidos en las normas emitidas por la Secretaría de Salud, es necesario reducir las emisiones de gases contaminantes provenientes del aprovechamiento energético del bagazo de caña de azúcar, mediante alternativas tecnológicas de control y buenas prácticas operativas, lo que contribuirá al mejoramiento de la calidad del aire y a la reducción de la exposición de contaminantes a las personas y del medio ambiente.
Que la NOM-085-SEMARNAT-2011, Contaminación atmosférica-Niveles máximos permisibles de emisión de los equipos de combustión de calentamiento indirecto y su medición, publicada en el Diario Oficial de la Federación el 2 de febrero de 2012, exceptúa de su campo de aplicación a los equipos de combustión de calentamiento indirecto que utilicen biomasa, dicha condición hace necesario establecer, en otra norma, especificaciones para controlar y reducir las emisiones provenientes de dichas instalaciones.
Que el tema sobre límites máximos permisibles de emisión provenientes de generadores de vapor que utilizan bagazo de caña de azúcar como combustible, fue inscrito por primera vez en el Programa Nacional de Normalización 2016, con el objeto de establecer los límites máximos permisibles de emisión de contaminantes a la atmósfera de los equipos de combustión que utilizan bagazo de caña de azúcar para generar energía.
Que el presente Proyecto de Norma Oficial Mexicana PROY-NOM-SEMARNAT-170-2017, Contaminación atmosférica-Límites máximos permisibles de emisión provenientes de generadores de vapor que utilizan bagazo de caña de azúcar como combustible, se sometió a consideración y fue aprobado por el Comité Consultivo Nacional de Normalización de Medio Ambiente y Recursos Naturales, en la sesión celebrada el 19 de octubre del 2017, para su publicación en el Diario Oficial de la Federación, con el propósito de someterlo a consulta pública, de conformidad con el artículo 47, fracción I, de la Ley Federal sobre Metrología y Normalización, a efecto de que los interesados, dentro de los 60 días naturales, contados a partir de la fecha de su publicación en el Diario Oficial de la Federación, presenten sus comentarios ante el citado Comité, sito en Avenida Ejército Nacional No. 223, Piso 16, Colonia Anáhuac, Código Postal 11320, Delegación Miguel Hidalgo, Ciudad de México, o en los correos electrónicos galo.galeana@semarnat.gob.mx o guillermo.rafael@semarnat.gob.mx.
Que durante el plazo mencionado, la Manifestación de Impacto Regulatorio a que se refiere el artículo 45 de la Ley Federal sobre Metrología y Normalización, estuvo a disposición del público para su consulta en el domicilio del Comité antes señalado.
Por lo expuesto y fundado, tengo a bien expedir el siguiente:
PROYECTO DE NORMA OFICIAL MEXICANA PROY-NOM-170-SEMARNAT-2017, CONTAMINACIÓN
ATMOSFÉRICA.- LÍMITES MÁXIMOS PERMISIBLES DE EMISIÓN PROVENIENTES DE GENERADORES
DE VAPOR QUE UTILIZAN BAGAZO DE CAÑA DE AZÚCAR COMO COMBUSTIBLE
PREFACIO
En la elaboración del presente Proyecto de Norma Oficial Mexicana participaron especialistas de las siguientes instituciones:
· Secretaría de Agricultura, Ganadería, Desarrollo Rural, Pesca y Alimentación
- Subsecretaría de Agricultura
- Comité Nacional para el Desarrollo Sustentable de la Caña de Azúcar
· Secretaría de Energía
- Subsecretaría de Planeación y Transición Energética
· Comisión Reguladora de Energía
· Secretaría de Medio Ambiente y Recursos Naturales
- Subsecretaría de Fomento y Normatividad Ambiental
- Subsecretaría de Gestión para la Protección Ambiental
- Instituto Nacional de Ecología y Cambio Climático
- Procuraduría Federal de Protección al Ambiente
- Delegación de SEMARNAT en el Estado de Veracruz
· Secretaría de Salud
- Comisión Federal para la Protección contra Riesgos Sanitarios
· Comisión Federal de Electricidad
- Gerencia de Protección Ambiental
· Secretaría de Medio Ambiente del Estado de Veracruz
· Secretaría de Medio Ambiente y Desarrollo Territorial del Estado de Jalisco
· Secretaría de Ecología y Gestión Ambiental del Estado de San Luis Potosí
· Universidad Nacional Autónoma de México
- Instituto de Energías Renovables
· Cámara Nacional de las Industrias Azucarera y Alcoholera
· Ingenios:
- Central Motzorongo, S.A. de C.V.
- Ingenio Tala (Grupo Azucarero México)
- Ingenio La Gloria
· Laboratorios:
- Grupo Thera
- Intertek + ABC Analitic
Índice del Contenido
0. Introducción
1. Objetivo y campo de aplicación
2. Referencias normativas
3. Términos y definiciones
4. Símbolos y términos abreviados
5. Especificaciones
6. Métodos de prueba
7. Procedimiento de evaluación de la conformidad
8. Observancia de la Norma
9. Concordancia con Normas Internacionales
10. Bibliografía
Transitorios
Apéndice A (normativo) Bitácora de operación
Apéndice B (normativo) Bitácora de mantenimiento
Apéndice C (normativo) Bitácora de emisiones
Apéndice D (normativo) Métodos de medición
Apéndice E (normativo) Frecuencia y condiciones mínimas de muestreo y monitoreo
0. Introducción
En los últimos años, en los ingenios azucareros la generación de energía a partir de la combustión del bagazo de caña de azúcar ha ganado relevancia debido a que esta rama agroindustrial tiene un gran potencial como generadora de esquilmos de caña de azúcar; insumo que se obtiene mediante el procesamiento de la caña de azúcar, y que llegan a representar aproximadamente el 30% de cada 100 toneladas de caña molida.
En México, la industria azucarera está integrada por alrededor de 50 ingenios, los cuales generan su propia energía térmica y eléctrica; aproximadamente el 90% utilizan exclusivamente bagazo de caña de azúcar como combustible, y menos del 10% lo hacen en combinación con otros combustibles.
No obstante a las oportunidades que representa la generación de energía para el sector agroindustrial de la caña de azúcar, dicho proceso, de no llevarse a cabo bajo condiciones tecnológicas adecuadas, genera emisiones contaminantes que pueden incidir en la salud de las poblaciones cercanas, y contribuyen, indefectiblemente, al cambio climático.
El propósito de reducir las emisiones contaminantes que emanan del proceso de combustión con bagazo de caña de azúcar, estimuló el desarrollo de la tecnología necesaria. Actualmente, existen en el mercado equipos para limitar de manera significativa dichas emisiones; entre los más utilizados destacan los multiciclones, lavadores de gases y precipitadores electroestáticos en vía húmeda o seca.
Al mismo tiempo, la preocupación por los efectos al ambiente y a la salud que producen las emisiones de contaminantes en el uso de bagazo de caña de azúcar como combustible, ha llevado a organizaciones internacionales y gobiernos a establecer límites y regulaciones; entre éstos, a la Agencia de Protección Ambiental de los Estados Unidos de América (USEPA. AP 42), a la Unión Europea (Directiva 2008/50/CE/del Parlamento Europeo y del Consejo), y a algunos países, que han establecido límites de emisión específicos, como son: Australia, Haití, Cuba, Jamaica, Ecuador, Brasil, Sudáfrica e India.
La presente Norma Oficial Mexicana al regular de manera específica las emisiones de gases contaminantes, incentivará proyectos de mejora en la eficiencia de los sistemas de combustión, lo que logrará una importante reducción de dichos gases, reducirá costos de operación y permitirá acceder a mercados emergentes de emisiones (Certificados de Energías Limpias); además, dará certeza jurídica a los operadores sobre su cumplimiento en materia ambiental, con base en los mejores estándares aplicables a nivel mundial.
1. Objetivo y campo de aplicación
La presente Norma Oficial Mexicana tiene como objetivo establecer los límites máximos permisibles de emisión de partículas (PM), monóxido de carbono (CO), bióxido de azufre (SO2) y óxidos de nitrógeno (NOX) de los generadores de vapor que utilizan bagazo de caña de azúcar como combustible.
Es de observancia obligatoria para las personas físicas o morales responsables de los generadores de vapor, en la industria, comercio y servicios, con capacidad térmica nominal igual o mayor a 10 gigajoules por hora (GJ/h), y que la generación de energía provenga de al menos 90% de bagazo de caña de azúcar como combustible.
2. Referencias normativas
Para la correcta aplicación de esta Norma Oficial Mexicana se deben observar las siguientes Normas Oficiales Mexicanas y Normas Mexicanas o las que las sustituyan:
· Norma Oficial Mexicana NOM-098-SEMARNAT-2002, Protección ambiental-Incineración de residuos, especificaciones de operación y límites de emisión de contaminantes, publicada en el Diario Oficial de la Federación, el 1 de octubre de 2004.
· Norma Oficial Mexicana NOM-008-SCFI-2002, Sistema General de Unidades de Medida, Publicada en el Diario Oficial de la Federación, el 27 de noviembre de 2002.
· Norma Mexicana NMX-AA-009-1993-SCFI, Contaminación atmosférica-Fuentes fijas-Determinación de flujo de gases en un conducto por medio del Tubo de Pitot (Cancela a la NMX-AA-09-1973), Declaratoria de vigencia publicada en el Diario Oficial de la Federación, el 27 de diciembre de 1993.
· Norma Mexicana NMX-AA-010-SCFI-2001, Contaminación atmosférica-Fuentes fijas-Determinación de la emisión de partículas contenidas en los gases que fluyen por un conducto-Método isocinético, Declaratoria de vigencia publicada en el Diario Oficial de la Federación, el 18 de abril de 2001.
· Norma Mexicana NMX-AA-035-1976, Determinación de bióxido de carbono, monóxido de carbono y oxígeno en los gases de combustión, Declaratoria de vigencia publicada en el Diario Oficial de la Federación, el 10 de junio de 1976.
· Norma Mexicana NMX-AA-054-1978, Contaminación atmosférica-Determinación del contenido de humedad en los gases que fluyen por un conducto-Método gravimétrico, Declaratoria de vigencia publicada en el Diario Oficial de la Federación, el 2 de agosto de 1978.
· Norma Mexicana NMX-AA-055-1979, Contaminación atmosférica-Fuentes fijas-Determinación de bióxido de azufre en gases que fluyen por un conducto, Declaratoria de vigencia publicada en el Diario Oficial de la Federación, el 6 de septiembre de 1979.
· Norma Mexicana NMX-AA-056-1980, Contaminación atmosféricaFuentes fijasDeterminación de Bióxido de Azufre y Neblinas de Ácido Sulfúrico en los gases que Fluyen por un Conducto, Declaratoria de vigencia publicada en el Diario Oficial de la Federación, el 17 de junio de 1980.
3. Términos y definiciones
Para efectos de la presente Norma Oficial Mexicana se aplicarán las definiciones de la Ley General del Equilibrio Ecológico y la Protección al Ambiente, el Reglamento de la Ley General del Equilibrio Ecológico y la Protección al Ambiente en materia de Prevención y Control de la Contaminación de la Atmósfera, la Ley de Promoción y Desarrollo de los Bioenérgeticos, la Ley de Desarrollo Sustentable de la Caña de Azúcar, y la Ley Federal sobre Metrología y Normalización, así como las siguientes:
3.1 Bagazo de caña de azúcar (saccharum officinarum): Material fibroso resultante después de la extracción de jugo en la última molienda, así como otros materiales orgánicos provenientes de la cosecha de la propia caña.
3.2 Bioenergéticos: Combustibles obtenidos de la biomasa proveniente de materia orgánica de las actividades agrícola, pecuaria, silvícola, acuacultura, algacultura, residuos de pesca, doméstica, comerciales, industriales, de microorganismos y enzimas, así como sus derivados, producidos por sus procesos tecnológicos sustentables.
3.3 Bióxido de azufre (SO2): Gas incoloro, no inflamable y de olor sofocante, es el resultado de la combustión de azufre contenido en productos petrolíferos, así como de la quema de carbón en procesos industriales. Es un precursor de aerosoles cuya presencia en la atmósfera puede tener un efecto de enfriamiento climático.
3.4 Capacidad térmica nominal del generador de vapor: La generación de calor aprovechable especificada por el fabricante en los registros, o por los manuales de operación y mantenimiento, o en una placa adherida al mismo.
3.5 Carbono Negro (Black Carbon): Material particulado en aerosol, componente del PM2.5; capaz de retener la luz y transformarla en calor; se produce en la combustión incompleta e ineficiente de combustibles fósiles y biomasa.
3.6 Condiciones de referencia: 101,325 (Pa) (1 atm), 273.15 K (0°C) y 6% en volumen base seca de O2.
3.7 Datos validados: Aquellos que se han sometido a un análisis estadístico para comprobar su veracidad e integridad.
3.8 Dictamen: Es el documento mediante el cual la PROFEPA o una Unidad de Verificación, hace constar el grado de cumplimiento de esta Norma Oficial Mexicana.
3.9 Evaluación de la conformidad: La determinación del grado de cumplimiento con las normas oficiales mexicanas o la conformidad con las normas mexicanas, las normas internacionales u otras especificaciones, prescripciones o características. Comprende, entre otros, los procedimientos de muestreo, prueba, calibración, certificación y verificación.
3.10 Equipo de relevo: Equipo generador de vapor que se usa para sustituir a otro, principalmente en casos de mantenimiento o servicio y que opera en forma esporádica en una cantidad de horas equivalentes de hasta 18 días naturales en un año calendario.
3.11 Fuente fija: Instalación establecida en un solo lugar, que tenga como finalidad desarrollar operaciones o procesos industriales, comerciales, de servicios o actividades que generen o puedan generar emisiones contaminantes a la atmósfera.
3.12 Generador de vapor: Sistema formado por una caldera a presión y sus equipos complementarios, cuyo objetivo es la producción de vapor de agua mediante la transferencia de calor de los gases de combustión producidos por la quema de combustible, o el aprovechamiento del calor residual; para la aplicación de la presente Norma se trata, principalmente, de bagazo de caña de azúcar.
3.13 Generador de vapor existente: El instalado o el que cuente con un contrato de compra, firmado antes de la entrada en vigor de la presente Norma Oficial Mexicana.
3.14 Generador de vapor nuevo: El instalado por primera vez en una fuente fija, en fecha posterior a la entrada en vigor de la presente Norma Oficial Mexicana, incluidos los equipos que han sido reconstruidos o rehabilitados para mejorar su desempeño.
3.15 Ingenio: Planta industrial dedicada al procesamiento, transformación e industrialización, de la caña de azúcar.
3.16 Monóxido de carbono (CO): Gas de efecto invernadero indirecto, inodoro e incoloro, producto intermedio del proceso de combustión. Su formación está influenciada por los patrones de uso, tipo, tamaño, antigüedad, mantenimiento y modo de funcionamiento de la tecnología de combustión.
3.17 Operación de arranque del generador de vapor: Periodo de encendido de los generadores de vapor hasta alcanzar la estabilización de la presión y temperatura en las líneas de vapor.
3.18 Operación de soplado: Limpieza periódica de los tubos de un generador de vapor, con el fin de eliminar el hollín depositado en ellos.
3.19 Óxidos de Nitrógeno (NOX): Grupo de gases que contienen oxígeno y nitrógeno, como el óxido nítrico (NO) y bióxido de nitrógeno (NO2). Se forman principalmente durante la combustión de productos fósiles, carbón y biomasa. Están involucrados en la formación de ozono troposférico, aerosoles y lluvia ácida.
3.20 Partículas (PM): Pequeñas piezas de material sólido emitidas durante la quema de combustibles fósiles y de biomasa.
3.21 PM2.5: Partículas con un diámetro aerodinámico igual o menor a 2.5 micrómetros.
3.22 PM10: Partículas con un diámetro aerodinámico igual o menor a 10 micrómetros.
3.23 Sistema de control de emisiones: Equipos instalados de manera permanente en una fuente fija, que tienen por objetivo abatir la concentración de componentes contaminantes mediante distintas tecnologías.
3.24 Sistema de Monitoreo Continuo de Emisiones (SMCE): Equipo para determinar, de manera
continua, la concentración de uno o varios contaminantes, así como otros parámetros, en un flujo gaseoso. Comprende la toma, transporte, acondicionamiento y análisis de la muestra y el registro permanente de los resultados.
3.25 Unidad de Verificación (UV): La persona física o moral que realiza actos de verificación, en los términos de la Ley Federal sobre Metrología y Normalización.
3.26 Verificación: La constatación ocular o comprobación mediante muestreo, medición, pruebas de laboratorio o examen de documentos, que se realizan para evaluar la conformidad en un momento determinado.
4. Símbolos y términos abreviados
4.1 °C: Grados Celsius.
4.2 atm: atmósfera de presión.
4.3 GJ/h: Gigajoules por hora.
4.4 K: Kelvin.
4.5 LFMN: Ley Federal sobre Metrología y Normalización.
4.6 LMPE: Límites Máximos Permisibles de Emisión.
4.7 mg/m³: miligramos por metro cúbico.
4.8 O2: Oxígeno.
4.9 Pa: Pascal.
4.10 ppmV: partes por millón volumen.
4.11 PROFEPA: Procuraduría Federal de Protección al Ambiente.
4.12 Secretaría: Secretaría de Medio Ambiente y Recursos Naturales.
5 Especificaciones
5.1 Los límites máximos permisibles de emisión de partículas (PM), monóxido de carbono (CO), bióxido de azufre (SO2) y óxidos de nitrógeno (NOX) provenientes de generadores de vapor, existentes y nuevos, se establecen en la Tabla 0, Tabla 1 y Tabla 2 conforme a lo siguiente:
Tabla 0-Límites máximos permisibles de emisión de los generadores de vapor existentes que operan
con bagazo de caña de azúcar como combustible
A partir de la entrada en vigor de la Norma y hasta el 31 de diciembre de 2020
| Capacidad térmica nominal del equipo (GJ/h) | Partículas (mg/m3) | Monóxido de carbono (ppmV) | Bióxido de azufre (ppmV) | Óxidos de nitrógeno (ppmV) |
| > 10 | 3500 | 500 | 200 | 650 |
Nota:
a. Valores expresados en unidades de concentración a las condiciones de referencia que establece la presente Norma Oficial Mexicana.
Tabla 1-Límites máximos permisibles de emisión de los generadores de vapor existentes que operan
con bagazo de caña de azúcar como combustible
A partir del 1 de enero de 2021 en adelante
| Capacidad térmica nominal del equipo (GJ/h) | Partículas (mg/m3) | Monóxido de carbono (ppmV) | Bióxido de azufre (ppmV) | Óxidos de nitrógeno (ppmV) |
| >10-100 | 350 | 500 | 200 | 650 |
| >100-200 | 150 | 300 |
| >200 | 100 | 200 |
Nota:
a. Valores expresados en unidades de concentración a las condiciones de referencia que establece la presente Norma Oficial Mexicana.
Tabla 2. Límites máximos permisibles de emisión de los generadores de vapor nuevos que operan con
bagazo de caña de azúcar como combustible
A partir de la entrada en vigor de la Norma
| Capacidad térmica nominal del equipo (GJ/h) | Partículas (mg/m3) | Monóxido de carbono (ppmV) | Bióxido de azufre (ppmV) | Óxidos de nitrógeno (ppmV) |
| >10-100 | 150 | 500 | 200 | 300 |
| >100-200 | 100 | 200 |
| >200 | 50 | 150 |
Nota:
a. Valores expresados en unidades de concentración a las condiciones de referencia que establece la presente Norma Oficial Mexicana.
5.2 Los responsables de las fuentes fijas referidas en esta Norma Oficial Mexicana deben llevar una bitácora de operación, de mantenimiento, y de control de emisiones, ya sea en formato impreso o electrónico (Ver Apéndices A, B y C, respectivamente). Las bitácoras deben permanecer en el centro de trabajo por un periodo mínimo de cinco años.
5.2.1. Las bitácoras de operación, mantenimiento y control de emisiones deben estar disponibles para su verificación por la PROFEPA o por las UV, y deben registrar como mínimo la información en los formatos contenidos en los Apéndices A, B y C, respectivamente, de esta Norma Oficial Mexicana.
5.3 Es obligatorio medir las emisiones de PM, CO, SO2 y NOX, mediante muestreo puntual o un SMCE de acuerdo a lo siguiente:
5.3.1 Los generadores de vapor existentes y nuevos con capacidad térmica nominal igual o mayor a 10 GJ/h y hasta 100 GJ/h, deberán medir PM, CO, SO2 y NOX, a través de un muestreo puntual; o de manera continua, en caso de contar con un SMCE, de conformidad con lo establecido en los Apéndices D y E.
5.3.2 Los generadores de vapor existentes con capacidad térmica nominal mayor a 100 GJ/h y hasta 200 GJ/h, deberán medir PM, CO, SO2 y NOX, a través de un muestreo puntual; o de manera continua, en caso de contar con un SMCE, de conformidad con lo establecido en los Apéndices D y E.
5.3.3 Los generadores de vapor nuevos con capacidad térmica nominal mayor a 100 GJ/h y hasta 200 GJ/h, deberán medir PM, CO, SO2 y NOX, a través de un SMCE, de conformidad con lo establecido en los Apéndices D y E.
5.3.4 Los generadores de vapor existentes y nuevos con capacidad térmica nominal mayor a 200 GJ/h, deberán medir PM, CO, SO2 y NOX mediante un SMCE de conformidad con los Apéndices D y E.
5.3.5 Los responsables de los generadores de vapor existentes con capacidad térmica nominal mayor a 200 GJ/h que no cuenten con un SMCE, se sujetarán a lo establecido en el Tercero Transitorio de la presente Norma Oficial Mexicana.
5.4 En caso de que el generador de vapor que utiliza bagazo de caña de azúcar como combustible utilice SMCE, éste debe operar al menos 90% del tiempo total de operación en un año calendario.
5.5 En caso de utilizar equipos o sistemas de control de emisiones para cumplir los límites de emisión de la Tabla 1 o Tabla 2, dichos sistemas deben funcionar al menos el 90% del tiempo total de periodo de operación del generador de vapor, en un año calendario.
5.6 De forma simultánea a la medición puntual o continua de la concentración de contaminantes contenidos en la emisión, se debe medir el flujo volumétrico de los gases en chimenea y debe expresarse conforme a las condiciones de referencia (0 °C, 1 atm). Así mismo debe medirse la concentración de oxígeno, para realizar los cálculos de las concentraciones de los diversos contaminantes corregidos en las condiciones de referencia (6% en volumen base seca de O2). Con la información obtenida de flujo y las diferentes concentraciones de los contaminantes, calcular el flujo másico de cada uno de ellos.
5.7 Los SMCE para determinación de PM (mg/m3) en equipos con capacidad mayor nominal de 200 GJ/h deben poder realizar mediciones, calcular y almacenar promedios de lecturas en tiempos preestablecidos; al menos una lectura cada 5 minutos. Durante el tiempo de operación del equipo de combustión, se debe contar con al menos un 90% de datos validados.
5.8 La operación de los SMCE debe apegarse a las prácticas de calidad previstas en su manual de operación, mantenimiento y validación del sistema, o en su caso, cumplir con la normatividad nacional que regule el desempeño de estos equipos.
5.9 Los límites máximos permisibles establecidos en las Tablas 0, 1 y 2 de la presente Norma Oficial Mexicana no aplicarán en los eventos que se enuncian a continuación:
a) Operaciones de arranque de los generadores de vapor.
b) Operación de equipos de relevo.
c) Operaciones de soplado que requieren ciertos equipos, de acuerdo a especificaciones del fabricante.
d) Desajuste o malfuncionamiento de los alimentadores de bagazo de caña de azúcar o quemadores.
e) Paro, malfuncionamiento o mantenimiento de equipo de control de emisiones, en su caso.
Dichos eventos y su duración deben ser registrados en la bitácora de operación, mantenimiento y control de emisiones, según corresponda (ver Apéndices A, B y C); la duración total no podrá ser mayor a la cantidad de horas equivalentes a 18 días naturales de operación de los equipos, en un año calendario.
5.10 Cuando en una fuente fija se tengan dos o más generadores de vapor independientes que descargan sobre un mismo conducto, de ser factible, se deberán realizar mediciones individuales o en su defecto, realizar una medición de manera puntual o continua en dicho conducto, y determinar las emisiones correspondientes a cada chimenea de acuerdo a sus capacidades térmicas, ponderarlas y compararlas con los límites resultantes de la suma de capacidades.
5.11 En caso de ampliación a la capacidad de la fuente fija, todos los generadores de vapor que se adicionen tendrán que cumplir los límites máximos permisibles de emisión correspondientes a los generadores de vapor nuevos (Ver Tabla 2).
5.12 La generación de energía eléctrica producida en generadores de vapor regulados por esta Norma Oficial Mexicana, podrá clasificarse como energía limpia si cumple con lo establecido en la "Resolución de la Comisión Reguladora de Energía por la que se expiden las Disposiciones administrativas de carácter general que contienen los criterios de eficiencia y establecen la metodología de cálculo para determinar el porcentaje de energía libre de combustible, en fuentes de energía y procesos de generación de energía eléctrica", publicada en el Diario Oficial de la Federación el 22 de diciembre de 2016, y en concordancia con la Ley de la Industria Eléctrica y demás disposiciones aplicables.
6. Métodos de prueba
6.1 La medición de las emisiones de PM, CO, SO2 y NOX, se debe realizar con los métodos a que se refiere el Apéndice D y con la frecuencia que se indica en el Apéndice E de esta Norma Oficial Mexicana.
6.2 Para comprobar el cumplimiento de la norma, las mediciones de PM, CO, SO2, y NOX, deben ser realizadas por laboratorios acreditados y aprobados en los términos de la LFMN, aplicando los métodos incluidos en las normas a que se refiere el Apéndice D de esta Norma Oficial Mexicana. Los resultados y/o informes de los análisis deben estar disponibles para su revisión por parte de la PROFEPA o de la UV.
6.3 Para el caso de PM la concentración medida debe reportarse como concentraciones en volumen y base seca, en condiciones de referencia de 101,325 Pa (1 atm), 273.15 K (0 °C) y 6% en volumen base seca de O2.
6.4 Para CO, SO2 y NOX, la concentración medida debe reportarse en base seca y con 6% en volumen base seca de O2.
6.4.1 En caso de que la medición de SO2, se determine por vía húmeda, ésta debe ser corregida a las condiciones de referencia.
6.5 Para corregir las concentraciones medidas a la referencia de 6% en volumen base seca de O2, se utiliza la ecuación siguiente:
Donde:
CR= Concentración calculada al valor de referencia del O2
CM= Concentración medida (PM, CO, SO2 o NOX)
OM=Valor para el O2 medido (% en base seca)
OR= Nivel de referencia para el O2 (6% en volumen base seca de O2)
No serán válidas las lecturas de las emisiones de PM, CO, SO2 y NOX, cuando el valor de OM se encuentre en el rango de 15.1% al 20.9% por no ser representativas de las emisiones provenientes de la fuente.
6.6 Para determinar los promedios diarios de emisiones de NOX y SO2, según aplique, los generadores de vapor que dispongan de un SMCE deben contar con un sistema de procesamiento de datos automático que registre 12 lecturas al día; cada lectura deberá registrar las emisiones monitoreadas en periodos de dos horas, estas lecturas se conformarán con valores que resulten del promedio de al menos 24 lecturas cada 5 minutos. Se debe indicar la fecha e identificar el generador de vapor. El valor promedio diario resultante se corrige a las condiciones de referencia y se compara con el nivel máximo permisible de emisión correspondiente, establecido en la presente Norma Oficial Mexicana.
Ecuación:
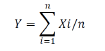
Donde:
Y: Concentración promedio diaria
Xi: Medición puntual de concentración del contaminante
n: Número de muestras realizadas durante un día
6.6.1 El Sistema de Procesamiento de Datos deberá incluir y registrar la información solicitada en las Bitácoras de Operación, Mantenimiento, y de Control de Emisiones.
7. Procedimiento de evaluación de la conformidad
7.1 Procedimiento
7.1.1 Este procedimiento es aplicable a la evaluación de la conformidad de esta Norma Oficial Mexicana, mediante la revisión de las bitácoras, de los resultados de los muestreos puntuales y/o de los registros de los SMCE.
7.1.2 Los responsables de las fuentes fijas podrán solicitar la evaluación de la conformidad de esta Norma Oficial Mexicana a la PROFEPA o las Unidades de Verificación debidamente acreditadas y aprobadas, en los términos de la LFMN y demás disposiciones aplicables.
7.2 Aspectos técnicos a verificar
La evaluación de la conformidad que lleve a cabo la PROFEPA o la Unidad de Verificación, comprenderá lo siguiente:
a) La solicitud al responsable del generador de vapor del contrato de compra firmado, para determinar si se trata de un equipo nuevo o existente, de conformidad con lo establecido en los numerales 5.1 y 5.11.
b) La revisión documental de la bitácora, de conformidad con lo establecido en los numerales 5.2, 5.2.1, 5.7 y 5.9 de la presente Norma Oficial Mexicana.
c) La revisión de los resultados y/o informes de las mediciones puntuales de PM, CO, SO2 y NOX, de
conformidad con lo establecido en los numerales 5.3, 5.3.1, 5.3.2, 5.6 y 5.10.
d) La revisión documental de los resultados del SMCE, de conformidad con lo establecido en los numerales: 5.3, 5.3.1, 5.3.2, 5.3.3, 5.3.4, 5.3.5, 5.4, 5.6, 5.7, 5.8, 5.9 y 5.10.
e) La verificación del funcionamiento correcto del SMCE, de conformidad con lo establecido en el numeral 5.8.
f) La verificación del registro en la bitácora de las calibraciones, reparaciones y salidas de operación del equipo de medición, de conformidad con los numerales 5.7, 5.8 y 5.9.
g) En caso de utilizar equipos o sistemas de control de emisiones, la revisión de la bitácora correspondiente para constatar que el equipo de control ha operado al menos el 90% del tiempo total de operación del generador de vapor, en un año calendario, de conformidad con lo establecido en los numerales 5.2, 5.2.1 y 5.5.
7.3 En caso de que exista una chimenea común para más de un generador de vapor, la PROFEPA o la UV debe verificar si realiza mediciones de conformidad con lo establecido en el numeral 5.10.
7.4 Cuando en una fuente fija existente se incorpore un generador de vapor nuevo, éste debe cumplir con lo establecido en el numeral 5.11.
7.5 La PROFEPA o la UV elaborarán un dictamen en el que se hace constar el grado de cumplimiento con la presente Norma Oficial Mexicana. Se entregará el original y una copia a quien haya solicitado la evaluación de la conformidad con la presente Norma Oficial Mexicana.
8. Observancia de la Norma
8.1 La Secretaría de Medio Ambiente y Recursos Naturales, por conducto de la Procuraduría Federal de Protección al Ambiente (PROFEPA), vigilará el cumplimiento de la presente Norma Oficial Mexicana.
8.2 Las violaciones a la presente Norma Oficial Mexicana serán sancionadas conforme a lo dispuesto por la Ley General del Equilibrio Ecológico y la Protección al Ambiente, el Reglamento de la Ley General del Equilibrio Ecológico y la Protección al Ambiente en materia de Prevención y Control de la Contaminación de la Atmósfera, y los demás ordenamientos jurídicos que resulten aplicables.
9. Concordancia con Normas Internacionales
Esta Norma Oficial Mexicana no es equivalente (NEQ) con ninguna Norma Internacional, por no existir esta última al momento de su elaboración.
10. Bibliografía
· USEPA Method 1 Sample and Velocity Traverses for Stationary Sources (Determinación de velocidad y puntos transversales para muestreo en fuentes fijas) https://www3.epa.gov/ttnemc01/promgate/m-01.pdf
· USEPA Method 1A Sample and Velocity Traverses for Stationary Sources with small Stacks or Duct (Determinación de velocidad y puntos transversales para muestreo en fuentes fijas con chimeneas o ductos pequeños) https://www.epa.gov/sites/production/files/2016-06/documents/m-01a.pdf
· USEPA Method 2 Determination of Stack Gas Velocity and Volumetric Flow Rate (Type S Pitot Tube) (Determinación de la velocidad del gas de chimenea y flujo volumétrico (Tubo Pitot tipo S)) https://www3.epa.gov/ttnemc01/promgate/m-02.pdf
· USEPA Method 2C Determination of Gas Velocity and Volumetric Flow Rate in Small Stacks or Ducts (Standard Pitot Tube) (Determinación de la velocidad del gas y flujo volumétrico en chimeneas o ductos pequeños (Tubo Pitot estándar)) https://www3.epa.gov/ttnemc01/promgate/m-02.pdf
· USEPA Method 3A-Determination of Oxygen and Carbon Dioxide Concentrationts in emissions from stationary sources (Instrumental Analyzer Procedure) (Determinación de concentraciones de oxígeno y bióxido de carbono provenientes de fuentes fijas (Procedimiento de analizador instrumental)) https://www3.epa.gov/ttnemc01/promgate/method3A.pdf
· USEPA Method 3B-Gas Analysis for the determination of emission rate correction factor or excess air. (Análisis de gases para la determinación del factor de corrección del índice de emisiones o exceso de aire) https://www3.epa.gov/ttnemc01/promgate/m-03b.pdf
· USEPA Method 4 Determination of moisture content in stack gases (Determinación del contenido de humedad en los gases de chimenea). https://www3.epa.gov/ttnemc01/promgate/m-04.pdf
· USEPA Method 5-Determination of particulate matter emissions from stationary sources (Determinación de emisiones de partículas provenientes de fuentes fijas) http://www.epa.gov/ttn/emc/promgate/m-05.pdf
· USEPA Method 6-Determination of sulfur dioxide emissions from stationary sources (Determinación de emisiones de bióxido de azufre proveniente de fuentes fijas) https://www3.epa.gov/ttnemc01/promgate/m-06.pdf
· USEPA Method 6c-Determination of sulfur dioxide emissions from stationary sources (Instrumental Analyzer Procedure) (Determinación de la emisión de bióxido de azufre proveniente de fuentes fijasMétodo instrumental) https://www.epa.gov/sites/production/files/2016-06/documents/method6c.pdf
· USEPA Method 7Determination of Nitrogen Oxide emissions from stationary sources (Determinación de Óxidos de Nitrógenos (NO, NO2: NOx) provenientes de fuentes fijas) https://www3.epa.gov/ttn/emc/promgate/m-07.pdf
· USEPA Method 7EDetermination of Nitrogen Oxide emissions from stationary sources-Instrumental Analyzer Procedures (Determinación de Óxidos de Nitrógenos (NO, NO2: NOx) provenientes de fuentes fijasMétodo Instrumental) https://www3.epa.gov/ttnemc01/promgate/method7E.pdf
· USEPA Method 8-Determination of sulfuric acid and sulfuric dioxide emissions from stationary sources (Determinación de ácido sulfúrico y emisiones de bióxido de azufre provenientes de fuentes fijas) https://www3.epa.gov/ttnemc01/promgate/m-08.pdf
· USEPA Method 10-Determination of carbón monoxide emission from stationary sources (Determinación de emisiones de monóxido de carbono proveniente de fuentes fijasMétodo instrumental) https://www.epa.gov/sites/production/files/2016-06/documents/method10r06.pdf
· USEPA Conditional Test Method 030Determination of Nitrogen Oxides, Carbon Monoxide, and Oxygen Emissions from Natural Gas-Fired Engines, Boilers and Processs Heaters Using Portable Analyzer (Determinación de emisiones de óxidos de nitrógeno, monóxido de carbono y oxígeno, provenientes de motores de gas y calentadores de proceso que utilizan analizador portable) https://www3.epa.gov/ttn/emc/ctm/ctm-030.pdf
· USEPA Conditional Test Method 34-Determination of Oxygen, Carbon Monoxide and Oxides of Nitrogen from Stationary Sources For Periodic Monitoring (Portable Electrochemical Analyzer Procedure) (Determinación de emisiones de oxígeno, monóxido de carbón y óxidos de nitrógeno provenientes de fuentes fijas (Procedimiento de analizador electroquímico portátil)) https://www3.epa.gov/ttn/emc/ctm/ctm-034.pdf
TRANSITORIOS
PRIMERO.- La presente Norma Oficial Mexicana entrará en vigor 60 días naturales después de su publicación en el Diario Oficial de la Federación.
SEGUNDO.- La Secretaría por conducto de la PROFEPA, dentro de los 30 días naturales siguientes a la entrada en vigor del presente instrumento, publicará en el Diario Oficial de la Federación, la convocatoria nacional para la aprobación de Unidades de Verificación y Laboratorios de Pruebas.
TERCERO.- Los responsables de los generadores de vapor existentes con capacidad térmica nominal mayor a 200 GJ/h, contarán con un periodo de hasta un año calendario a partir de la entrada en vigor de la presente Norma Oficial Mexicana, para instalar el SMCE. Dentro del transcurso de dicho año, mientras no se cuente con el SMCE, se deberán realizar las mediciones mediante un muestreo puntual de conformidad con lo establecido en los Apéndices D y E de la presente Norma Oficial Mexicana.
CUARTO.- A efecto de dar cumplimiento al artículo Quinto del "Acuerdo que fija los Lineamientos que deberán ser observados por las dependencias y organismos descentralizados de la Administración Pública Federal, en cuanto a la emisión de los actos administrativos de carácter general a los que resulte aplicable el artículo 69-H de la Ley Federal de Procedimiento Administrativo" publicado el 8 de marzo de 2017, se precisa que se dieron de baja dos trámites, mismos que se encuentran especificados en la Manifestación de Impacto Regulatorio correspondiente.
Ciudad de México, a los veinticinco días de octubre de 2017.- El Subsecretario de Fomento y Normatividad Ambiental de la Secretaría de Medio Ambiente y Recursos Naturales, y Presidente del Comité Consultivo Nacional de Normalización de Medio Ambiente y Recursos Naturales, Cuauhtémoc Ochoa Fernández.- Rúbrica.
Apéndice A
(Normativo)
Bitácora de operación
| BITÁCORA DE OPERACIÓN |
| Razón social: | |
| Fecha: | |
| Planta o Instalación: | | | | |
| Nombre y marca del equipo: | | | | |
| Modelo y número de serie: | | | | |
| Capacidad térmica nominal del equipo generador de vapor (GJ/h) | | | | |
| Vapor producido (ton/h) | | | | |
| Presión de vapor (kg/cm2) | | | | |
| Temperatura de vapor (°C) | | | | |
| Consumo de bagazo de caña de azúcar a través del balance entre vapor generado y bagazo consumido (ton/día) | | | | |
| % de humedad promedio en el bagazo de caña de azúcar | | | | |
| % de carga base del generador de vapor | | | | |
| Gasto volumétrico en chimenea (m3/min) | | | | |
| CO (ppmV) a), b) | | | | |
| % O2a), b) | | | | |
| NOX 2) | | | | |
| Arranques | Hora | Duración | Causa |
| | | |
| | | |
| | | |
| Combustible de origen fósil: | 1Combustóleo | 1 Diésel |
| 1Otro (Especificar): |
| Combustible fósil consumido (litros/kg/ton): | |
| Observaciones: | |
| Nombre y firma del responsable | |
| Notas: a. Una lectura representativa, obtenida con un mínimo de quince lecturas b. El analizador de gases utilizado para cumplimiento de esta Norma, deberá calibrarse por un laboratorio acreditado y aprobado en los términos de la LFMN y deberá verificarse en sitio con Gases de calibración. |
Apéndice B
(Normativo)
Bitácora de mantenimiento
| BITÁCORA DE MANTENIMIENTO |
| Fecha(s) de realización del mantenimiento: | |
| Tipo de mantenimiento | 1 Preventivo | 1 Correctivo |
| Descripción del mantenimiento | |
| Fecha de entrada de operación del equipo de generación de vapor: | |
| Observaciones: | |
| Nombre y firma del responsable | |
Apéndice C
(Normativo)
Bitácora de emisiones
| BITÁCORA DE CONTROL DE EMISIONES |
| Fecha | |
| Temperatura promedio de los gases de chimenea (°C): | |
| Base de los gases de chimenea: | - Seca - Húmeda |
| Frecuencia de medición: | - Muestreo puntual/mensual 1) - SMCE/Permanente 2) |
| No. de medición | Partículas | CO | SO2 | NOX |
| Concentración de la emisión (mg/Nm3) | Concentración de la emisión (ppmV) | Concentración en la emisión (ppmV) | Concentración en la emisión (ppmV) |
| 1 | | | | |
| 2 | | | | |
| 3 | | | | |
| 4 | | | | |
| 5 | | | | |
| 6 | | | | |
| 7 | | | | |
| 8 | | | | |
| 9 | | | | |
| 10 | | | | |
| 11 | | | | |
| 12 | | | | |
| Resultado promedio diario | | | | |
| Prácticas de calidad utilizadas en la operación del SMCE | 1 NMX 1 Manual de operación, mantenimiento y validación del sistema |
| Observaciones: | |
| Nombre y firma del responsable | |
Notas:
a. Se debe registrar el promedio representativo mensual obtenido conforme a lo establecido en el Apéndice E.
b. Se deben registrar un mínimo de doce lecturas por día para obtener el resultado promedio diario conforme a lo establecido en el Apéndice E.
Apéndice D
(Normativo)
Métodos de medición
| Parámetro | Norma o método de referencia | Métodos Alternativos |
| Partículas (PM) a) | · NMX-AA-010-SCFI-2001, Contaminación atmosférica-Fuentes fijas-Determinación de la emisión de partículas contenidas en los gases que fluyen por un conducto-Método isocinético, publicada en el DOF del 18 de abril de 2001. | · USEPA Method 5-Determination of particulate matter emissions from stationary sources (Determinación de emisiones de partículas provenientes de fuentes fijas) http://www.epa.gov/ttn/emc/promgate/m-05.pdf |
| Monóxido de Carbono (CO) | · NMX-AA-035-1976, Determinación de CO2, CO y O2 en los gases de combustión, publicada en el DOF el 10 de junio de 1976. | · USEPA Method 10-Determination of carbón monoxide emission from stationary sources (Determinación de emisiones de monóxido de carbono proveniente de fuentes fijas) https://www.epa.gov/sites/production/files/2016-06/documents/method10r06.pdf · USEPA Conditional Test Method 030Determination of Nitrogen Oxides, Carbon Monoxide, and Oxygen Emissions from Natural Gas-Fired Engines, Boilers and Processs Heaters Using Portable Analyzer (Determinación de emisiones de óxidos de nitrógeno, monóxido de carbono y oxígeno, provenientes de motores de gas y calentadores de proceso que utilizan analizador portable) https://www3.epa.gov/ttn/emc/ctm/ctm-030.pdf · USEPA Conditional Test Method 34-Determination of Oxygen, Carbon Monoxide and Oxides of Nitrogen from Stationary Sources For Periodic Monitoring (Portable Electrochemical Analyzer Procedure) (Determinación de emisiones de oxígeno, monóxido de carbón y óxidos de nitrógeno provenientes de fuentes fijas (Procedimiento de analizador electroquímico portátil)) https://www3.epa.gov/ttn/emc/ctm/ctm-034.pdf |
| Bióxido de azufre (SO2) | Métodos manuales · NMX-AA-055-1979, Contaminación atmosférica-Fuentes fijas-Determinación de bióxido de azufre en gases que fluyen por un conducto, DOF de 6 de septiembre de 1979. · NMX-AA-056-1980 "Contaminación atmosférica- fuentes fijas-Determinación de bióxido de Azufre y neblinas de ácido sulfúrico en los gases que fluyen por un conducto" publicada en el Diario Oficial de la Federación el 17 de junio de 1980. | Métodos manuales · USEPA Method 6-Determination of sulfur dioxide emissions from stationary sources (Determinación de emisiones de bióxido de azufre proveniente de fuentes fijas) https://www3.epa.gov/ttnemc01/promgate/m-06.pdf (Se permite el uso de un tren de muestreo integrado para partículas vía USEPA NSPS reference method 5) · USEPA Method 8-Determination of sulfuric acid and sulfuric dioxide emissions from stationary sources (Determinación de ácido sulfúrico y emisiones de bióxido de azufre provenientes de fuentes fijas) https://www3.epa.gov/ttnemc01/promgate/m-08.pdf Método instrumental continuo · USEPA Method 6c-Determination of sulfur dioxide emissions from stationary sources (Instrumental Analyzer Procedure) (Determinación de la emisión de bióxido de azufre proveniente de fuentes fijasMétodo instrumental) https://www.epa.gov/sites/production/files/2016-06/documents/method6c.pdf |
| Óxidos de Nitrógeno (NOX) | · NOM-098-SEMARNAT-2002 Protección ambiental-Incineración de residuos, especificaciones de operación y límites de emisión de contaminantes, Anexo 2 Determinación de emisiones de óxidos de nitrógeno en fuentes fijas (procedimiento de análisis instrumental) publicada en el DOF del 1 de octubre de 2004. | · USEPA Method 7Determination of Nitrogen Oxide emissions from stationary sources (Determinación de Óxidos de Nitrógenos (NO, NO2: NOx) provenientes de fuentes fijas) https://www3.epa.gov/ttn/emc/promgate/m-07.pdf · USEPA Method 7EDetermination of Nitrogen Oxide emissions from stationary sources-Instrumental Analyzer Procedures (Determinación de Óxidos de Nitrógenos (NO, NO2: NOx) provenientes de fuentes fijasMétodo Instrumental) https://www3.epa.gov/ttnemc01/promgate/method7E.pdf · USEPA Conditional Test Method 030Determination of Nitrogen Oxides, Carbon Monoxide, and Oxygen Emissions from Natural Gas-Fired Engines, Boilers and Processs Heaters Using Portable Analyzer (Determinación de emisiones de óxidos de nitrógeno, monóxido de carbono y oxígeno, provenientes de motores de gas y calentadores de proceso que utilizan analizador portable) https://www3.epa.gov/ttn/emc/ctm/ctm-030.pdf · USEPA Conditional Test Method 34-Determination of Oxygen, Carbon Monoxide and Oxides of Nitrogen from Stationary Sources For Periodic Monitoring (Portable Electrochemical Analyzer Procedure) (Determinación de emisiones de oxígeno, monóxido de carbón y óxidos de nitrógeno provenientes de fuentes fijas (Procedimiento de analizador electroquímico portátil)) https://www3.epa.gov/ttn/emc/ctm/ctm-034.pdf |
| Oxígeno (O2) | · NMX-AA-035-1976, Determinación de CO2, CO y O2 en los gases de combustión, publicada en el DOF el 10 de junio de 1976. | · USEPA Method 3A-Determination of Oxygen and Carbon Dioxide Concentrationts in emissions from stationary sources (Instrumental Analyzer Procedure) (Determinación de concentraciones de oxígeno y bióxido de carbono provenientes de fuentes fijas (Procedimiento de analizador instrumental)) https://www3.epa.gov/ttnemc01/promgate/method3A.pdf · USEPA Method 3B-Gas Analysis for the determination of emission rate correction factor or excess air.(Análisis de gases para la determinación del factor de corrección del índice de emisiones o exceso de aire) https://www3.epa.gov/ttnemc01/promgate/m-03b.pdf |
| Velocidad y flujo de gases en chimenea | · NMX-AA-009/1993-SCFI, Contaminación atmosférica-Fuentes fijas-Determinación de flujo de gases en un conducto por medio del Tubo de Pitot, DOF de 27 de diciembre de 1993. | · USEPA Method 1 Sample and Velocity Traverses for Stationary Sources (Determinación de velocidad y puntos transversales para muestreo en fuentes fijas) https://www3.epa.gov/ttnemc01/promgate/m-01.pdf · USEPA Method 1A Sample and Velocity Traverses for Stationary Sources with small Stacks or Duct (Determinación de velocidad y puntos transversales para muestreo en fuentes fijas con chimeneas o ductos pequeños) https://www.epa.gov/sites/production/files/2016-06/documents/m-01a.pdf · USEPA Method 2 Determination of Stack Gas Velocity and Volumetric Flow Rate (Type S Pitot Tube) (Determinación de la velocidad del gas de chimenea y flujo volumétrico (Tubo Pitot tipo S)) https://www3.epa.gov/ttnemc01/promgate/m-02.pdf · USEPA Method 2C Determination of Gas Velocity and Volumetric Flow Rate in Small Stacks or Ducts (Standard Pitot Tube) (Determinación de la velocidad del gas y flujo volumétrico en chimeneas o ductos pequeños (Tubo Pitot estándar)) https://www3.epa.gov/ttnemc01/promgate/m-02.pdf |
| Humedad de gases | · NMX-AA-010-SCFI-2001, Contaminación atmosférica-Fuentes fijas-Determinación de la emisión de partículas contenidas en los gases que fluyen por un conducto-Método isocinético, publicada en el DOF del 18 de abril de 2001. · NMX-AA-054-1978, Contaminación atmosférica-Determinación del contenido de humedad en los gases que fluyen por un conducto-Método gravimétrico. Declaratoria de vigencia publicada en el Diario Oficial de la Federación el 2 de agosto de 1978. · NMX-AA-055-1979, Contaminación atmosférica-Fuentes fijas-Determinación de bióxido de azufre en gases que fluyen por un conducto, DOF de 6 de septiembre de 1979. · NMX-AA-056-1980 "Contaminación atmosférica-fuentes fijas-Determinación de bióxido de Azufre y neblinas de ácido sulfúrico en los gases que fluyen por un conducto" publicada en el Diario Oficial de la Federación el 17 de junio de 1980. | · USEPA Method 4 Determination of moisture content in stack gases (Determinación del contenido de humedad en los gases de chimenea). https://www3.epa.gov/ttnemc01/promgate/m-04.pdf · USEPA Method 5-Determination of particulate matter emissions from stationary sources (Determinación de emisiones de partículas provenientes de fuentes fijas) http://www.epa.gov/ttn/emc/promgate/m-05.pdf · USEPA Method 6-Determination of sulfur dioxide emissions from stationary sources (Determinación de emisiones de bióxido de azufre proveniente de fuentes fijas) https://www3.epa.gov/ttnemc01/promgate/m-06.pdf (Se permite el uso de un tren de muestreo integrado para partículas vía USEPA NSPS reference method 5) · USEPA Method 8-Determination of sulfuric acid and sulfuric dioxide emissions from stationary sources (Determinación de ácido sulfúrico y emisiones de bióxido de azufre provenientes de fuentes fijas) https://www3.epa.gov/ttnemc01/promgate/m-08.pdf |
Nota:
a. Para el caso de Partículas el valor resultante de la medición de este contaminante será el promediado de al menos 2 corridas.
Apéndice E
(Normativo)
Frecuencia y condiciones mínimas de muestreo y monitoreo a) b)
| Parámetro | Muestreo puntual | SMCE |
| Partículasc) (mg/m3) | Cada 30 días 1 preliminar con 3 definitivas para obtener un promedio aritmético representativo Cada muestra definitiva deberá haber sido colectada durante al menos 60 minutos. Cada muestra definitiva deberá haber acumulado un mínimo de 0.86 m³ de gases secos expresados a condiciones de referencia | Permanente Mínimo 12 promedios al día, compuestos por lecturas de cada 5 min en periodos máximos de dos horas. |
| Monóxido de carbono (ppmV) | Cada 30 días Método instrumental continuo: Tres corridas de 60 minutos cada una con toma de lectura al menos cada minutos. Método manual: 3 muestras definitivas Cada muestra definitiva deberá haber sido colectada durante al menos 60 minutos. Cada muestra definitiva deberá haber acumulado un mínimo de 0.86 m³ de gases secos expresados a condiciones de referencia Se deberá calcular el promedio aritmético de los tres resultados |
| Bióxido de azufre, (ppmV) |
| Óxidos de nitrógeno, (ppmV) |
Notas:
a. La frecuencia de medición aplica durante el periodo de operación de los generadores de vapor.
b. Para que los resultados del muestreo o monitoreo sean datos validados, los generadores de vapor deben operar a una capacidad de carga mínima del 90%, o bien, a una capacidad equivalente al promedio de la capacidad de los últimos 30 días, sin considerar los supuestos de excepción establecidos en el numeral 5.9.
En aquellos casos en los que el generador de vapor cuente con sistemas de control de emisiones, durante las mediciones éstos deberán operarse a las condiciones promedio con las que fueron operadas en los últimos 30 días.
c. El laboratorio contratado para llevar a cabo la medición de PM podrá redondear los resultados siempre y cuando asiente en el informe de resultados los criterios bajo los cuales se realizó dicho redondeo.
______________________________