NORMA Oficial Mexicana NOM-009-STPS-2011, Condiciones de seguridad para realizar trabajos en altura.

Al margen un sello con el Escudo Nacional, que dice: Estados Unidos Mexicanos.- Secretaría del Trabajo y Previsión Social.

JAVIER LOZANO ALARCON, Secretario del Trabajo y Previsión Social, con fundamento en los artículos 16 y 40, fracciones I y XI de la Ley Orgánica de la Administración Pública Federal; 512, 523, fracción I, 524 y 527, último párrafo de la Ley Federal del Trabajo; 3o., fracción XI, 38, fracción II, 40, fracción VII, 47, fracción IV, y 51, cuarto párrafo de la Ley Federal sobre Metrología y Normalización; 28 del Reglamento de la Ley Federal sobre Metrología y Normalización; 4o., 17, fracción I, y 22 del Reglamento Federal de Seguridad, Higiene y Medio Ambiente de Trabajo, y 19 del Reglamento Interior de la Secretaría del Trabajo y Previsión Social, y
CONSIDERANDO
Que con fecha 31 de agosto de 2010, en cumplimiento de lo previsto por el artículo 46, fracción I de la Ley Federal sobre Metrología y Normalización, la Secretaría del Trabajo y Previsión Social presentó ante el Comité Consultivo Nacional de Normalización de Seguridad y Salud en el Trabajo, el Anteproyecto de Modificación de la presente Norma Oficial Mexicana, y que el citado Comité lo consideró correcto y acordó que se publicara como Proyecto en el Diario Oficial de la Federación;
Que con objeto de cumplir con lo dispuesto en los artículos 69-E y 69-H de la Ley Federal de Procedimiento Administrativo, el Anteproyecto correspondiente fue sometido a la consideración de la Comisión Federal de Mejora Regulatoria, la que dictaminó favorablemente en relación con el mismo;
Que con fecha 22 de octubre de 2010, en cumplimiento del Acuerdo por el que se establece la organización y Reglas de Operación del Comité Consultivo Nacional de Normalización de Seguridad y Salud en el Trabajo, y de lo previsto por el artículo 47, fracción I de la Ley Federal sobre Metrología y Normalización, se publicó en el Diario Oficial de la Federación el Proyecto de Modificación de la Norma Oficial Mexicana NOM-009-STPS-1999, Equipo suspendido de acceso-Instalación, operación y mantenimiento-Condiciones de seguridad, para quedar como PROY-NOM-009-STPS-2010, Condiciones de seguridad para realizar trabajos en altura, a efecto de que, dentro de los 60 días naturales siguientes a dicha publicación, los interesados presentaran sus comentarios al Comité;
Que habiendo recibido comentarios de ocho promoventes, el Comité referido procedió a su estudio y resolvió oportunamente sobre los mismos, publicando esta dependencia las respuestas respectivas en el Diario Oficial de la Federación de 24 de marzo de 2011, en cumplimiento a lo previsto por el artículo 47, fracción III, de la Ley Federal sobre Metrología y Normalización;
Que derivado de la incorporación de los comentarios presentados al Proyecto de Modificación de la Norma Oficial Mexicana NOM-009-STPS-1999, Equipo suspendido de acceso-Instalación, operación y mantenimiento-Condiciones de seguridad, para quedar como PROY-NOM-009-STPS-2010, Condiciones de seguridad para realizar trabajos en altura, así como de la revisión final del propio proyecto, se realizaron diversas modificaciones con el propósito de dar claridad, congruencia y certeza jurídica en cuanto a las disposiciones que aplican en los centros de trabajo, y
Que en atención a las anteriores consideraciones y toda vez que el Comité Consultivo Nacional de Normalización de Seguridad y Salud en el Trabajo otorgó la aprobación respectiva, se expide la siguiente:
NORMA OFICIAL MEXICANA NOM-009-STPS-2011, CONDICIONES DE SEGURIDAD PARA REALIZAR
TRABAJOS EN ALTURA
Indice
1.     Objetivo
2.     Campo de aplicación
3.     Referencias
4.     Definiciones
5.     Obligaciones del patrón
6.     Obligaciones de los trabajadores
7.     Medidas generales de seguridad para realizar trabajos en altura
8.     Sistemas personales para trabajos en altura
 
9.     Andamios tipo torre o estructura
10.   Andamios suspendidos
11.   Plataformas de elevación
12.   Escaleras de mano
13.   Redes de seguridad
14.   Seguimiento a la salud de los trabajadores
15.   Plan de atención a emergencias
16.   Capacitación, adiestramiento e información
17.   Unidades de verificación
18.   Procedimiento para la evaluación de la conformidad
19.   Vigilancia
20.   Bibliografía
21.   Concordancia con normas internacionales
       TRANSITORIOS
Guía de Referencia I Contenido mínimo de los instructivos, manuales o procedimientos para la instalación, operación y mantenimiento de los equipos suspendidos para realizar trabajos en altura
Guía de Referencia II Botiquín de primeros auxilios
1. Objetivo
Establecer los requerimientos mínimos de seguridad para la prevención de riesgos laborales por la realización de trabajos en altura.
2. Campo de aplicación
La presente Norma rige en todo el territorio nacional y aplica en aquellos lugares donde se realicen trabajos en altura.
3. Referencias
Para la correcta interpretación de esta Norma, deberán consultarse las siguientes normas oficiales mexicanas vigentes, o las que las sustituyan:
3.1 NOM-004-STPS-1999, Sistemas de protección y dispositivos de seguridad en la maquinaria y equipo que se utilice en los centros de trabajo.
3.2 NOM-017-STPS-2008, Equipo de protección personal-Selección, uso y manejo en los centros de trabajo.
3.3 NOM-026-STPS-2008, Colores y señales de seguridad e higiene e identificación de riesgos por fluidos conducidos en tuberías.
3.4 NOM-029-STPS-2005, Mantenimiento de las instalaciones eléctricas en los centros de trabajo- Condiciones de seguridad.
4. Definiciones
Para efectos de la presente Norma, se establecen las definiciones siguientes:
4.1 Absorbedor de energía; amortiguador de energía: El componente del sistema de protección personal para interrumpir caídas de altura, diseñado para disipar la energía cinética generada durante una caída, y que limita las fuerzas aplicadas en el sistema, en el dispositivo de anclaje y en el usuario.
4.2 Andamio: Cualquier plataforma, con sus elementos de estructura, soporte y anclaje, elevada en forma temporal, soportada o suspendida, que es empleada para realizar trabajos en altura. Comprende, de manera enunciativa, los tipos siguientes:
a)    De un punto: El sostenido por cables en un solo punto de anclaje;
b)    De dos puntos: El sostenido por cables en dos puntos de anclaje;
c)    De varios puntos: El sostenido por cables en tres o más puntos de anclaje, y en el que los módulos de la plataforma no están articulados entre sí;
d)    Continuo articulado: El constituido por módulos articulados sostenidos por cables en tres o más
puntos de anclaje;
e)    Suspendido temporal: El instalado temporalmente en un edificio o estructura para efectuar tareas específicas, sostenido por uno o más puntos de anclaje, que deberá ensamblarse antes de ser utilizado en el sitio de trabajo, y desmantelarse o removerse al concluir las tareas, y
f)     De varios puentes: El formado por dos o más niveles montados verticalmente.
4.3 Arnés; arnés de cuerpo completo: El equipo de protección personal que se ajusta al torso y muslos del usuario, compuesto por elementos como bandas flexibles, hebillas, mecanismos de ajuste, herrajes y anillos metálicos, y que se emplea principalmente en los sistemas de detención de caídas para soportar al usuario.
4.4 Autoridad laboral; autoridad del trabajo: Las unidades administrativas competentes de la Secretaría del Trabajo y Previsión Social que realizan funciones de inspección en materia de seguridad y salud en el trabajo y las correspondientes de las entidades federativas y del Distrito Federal, que actúen en auxilio de aquéllas.
4.5 Bloqueador de caída de tipo corredizo: El dispositivo diseñado para sujetarse a un riel vertical o línea de vida vertical, y deslizarse hacia arriba y hacia abajo, en respuesta a movimientos de ascenso, y que se bloquea automáticamente en respuesta al movimiento súbito de una caída.
4.6 Cable de seguridad (en andamios suspendidos): El cable de respaldo que está aparejado con el dispositivo de paro en caso de caída, pero que no soporta normalmente la carga suspendida.
4.7 Cable de suspensión: El cable que soporta la carga suspendida.
4.8 Carga total (en sistemas de uso colectivo para trabajos en altura): El peso total al que se someterán los soportes del sistema de suspensión, que comprende el peso de los trabajadores, equipos, herramientas y materiales de trabajo, así como de todos y cada uno de los componentes del propio sistema, como plataforma, malacates, cables, entre otros.
4.9 Conector: El dispositivo que permite la unión física de dos elementos de un sistema de protección personal para interrumpir caídas de altura.
4.10 Contrapesos: Los pesos sujetos al soporte de suspensión para contrarrestar el momento de volcamiento.
4.11 Despliegue: La acción del absorbedor de energía, de extenderse permanentemente, para disipar la energía aplicada a él durante una caída.
4.12 Dispositivos de seguridad (en los sistemas suspendidos): Los elementos que impiden el desarrollo de una fase peligrosa, como falla en malacates, cables de suspensión, soportes y otros dispositivos de suspensión. Los tipos de dispositivos que se presentan normalmente son:
a)    De descenso por falta de energía: Permite el descenso en forma manual de una plataforma motorizada;
b)    De paro durante la caída: Detiene el descenso de la plataforma al actuar directamente en el cable de seguridad;
c)    De detección de la inclinación: Indica la pendiente longitudinal de la plataforma, cuando excede un ángulo preestablecido;
d)    Secundario: Detiene el descenso de la plataforma en caso de ruptura del cable de suspensión o falla del malacate, y
e)    De freno secundario: Detiene el descenso de la plataforma al accionar directamente sobre el tambor, la polea de tracción o el extremo del eje impulsor.
4.13 Equipo suspendido de acceso (para mantenimiento de edificios): El equipo concebido o seleccionado para ser instalado permanentemente en una estructura o edificio específico. Está compuesto de una plataforma suspendida y un soporte superior. En general, es una unidad con trole y malacate, que opera sobre rieles o sobre otra superficie apropiada, como una pista de concreto o monorriel, con trole transversal u otros sistemas superiores de suspensión.
4.14 Escala móvil; escalera portátil; escalera de mano: El aparato portátil que consiste en dos piezas paralelas o ligeramente convergentes, unidas a intervalos por travesaños, y que sirve para subir o bajar a una persona de un nivel a otro.
 
4.15 Estabilizador: El elemento en forma de brazo, en plataformas de elevación, que actúa como soporte para dar mayor estabilidad a la plataforma de elevación.
4.16 Línea de vida: El segmento de material flexible que, junto con un absorbedor de energía, se utiliza como elemento de unión o conexión, en caso de caída de un trabajador.
4.17 Línea de vida horizontal: La línea flexible bajo tensión cuyos extremos se sujetan a puntos de anclaje, y sobre la cual se puede deslizar un conector de un sistema de protección personal para interrumpir caídas de altura.
4.18 Línea de vida vertical: La línea flexible instalada en forma temporal o permanente, suspendida o bajo tensión, y sobre la cual se puede conectar un bloqueador de caída de tipo corredizo.
4.19 Malacate: El dispositivo de ascenso, descenso y tracción, que eleva o desciende la plataforma, canastilla o silleta en un sistema suspendido.
4.20 Monorriel: El riel asentado en el perímetro del edificio al nivel de la azotea, para soportar y guiar el trole transversal.
4.21 Nivel de referencia: La superficie considerada como base para medir la altura del plano de trabajo.
4.22 Patrón: La persona física o moral en quien recae la responsabilidad de ejecutar los trabajos en altura, mediante los servicios de uno o varios trabajadores a su cargo.
4.23 Plataforma de trabajo; plataforma soporte: La superficie del andamio o plataforma de elevación, que soporta a los trabajadores, equipos, herramientas y materiales, y desde la cual se realizan las actividades o trabajos en altura.
4.24 Protección lateral; barandal: El resguardo dispuesto en forma perimetral en una plataforma de trabajo o en las zonas en las que existe riesgo de caída de altura.
4.25 Punto de anclaje: El elemento que posee suficiente resistencia para la fijación de malacates, cables de suspensión, cables de seguridad y otros dispositivos de suspensión, soporte o paro durante una caída, y que puede ubicarse o instalarse en los edificios, andamios suspendidos, plataformas de elevación, entre otros, en los que se realiza un trabajo en altura.
4.26 Red de seguridad: La malla de material flexible dispuesta para detener la caída de una o varias personas y cuyo diseño impide que éstas sean proyectadas fuera de la red. Las redes también pueden emplearse como protección contra la caída de objetos.
4.27 Sistema de protección personal para interrumpir caídas de altura; sistema de detención de caídas: El sistema que minimiza las fuerzas al momento de interrumpir la caída de altura; controla la distancia total recorrida durante la caída previniendo la colisión contra el piso o cualquier otro obstáculo, y permite mantener a la persona en una posición adecuada después de la caída para propósitos de rescate.
4.28 Sistema de suspensión: El conjunto de elementos de un andamio suspendido u otro sistema similar, que comprende de manera general los soportes y las cuerdas o cables de suspensión.
4.29 Sistemas personales para trabajos en altura: Aquéllos de uso personal empleados para suspender o soportar a un trabajador en actividades que impliquen riesgo de caída de altura. Incluyen también los utilizados para la prevención de caídas de altura y para la detención en el caso de que éstas lleguen a presentarse. Comprenden, entre otros, los denominados de restricción, posicionamiento, ascenso y/o descenso controlado y detención de caídas.
4.30 Sistemas restrictivos de los cables de suspensión: Los dispositivos de un equipo suspendido, localizados horizontalmente en la pared del edificio, equipados con cabo y anillo acoplados a cada uno de los cables de suspensión durante el movimiento de descenso, y desacoplados en el ascenso.
4.31 Soporte de suspensión; anclaje: La estructura fija o móvil que permite anclar los cables de suspensión y de seguridad.
4.32 Tambor: El cilindro hueco de metal liso o ranurado, cuyos extremos están flanqueados por discos y en el cual se enrolla el cable.
4.33 Trabajos en altura: Las actividades de mantenimiento, instalación, demolición, operación, reparación, limpieza, entre otras, que se realizan a alturas mayores de 1.80 m sobre el nivel de referencia. Incluye también el riesgo de caída en aberturas en las superficies de trabajo, tales como perforaciones, pozos, cubos y túneles verticales.
 
4.34 Trole transversal: El carro con ruedas que está diseñado para desplazarse con un movimiento transversal a lo largo de un monorriel del que se suspende una plataforma.
4.35 Viga de suspensión: El elemento estático para soportar el equipo suspendido de acceso, cuya estabilidad es asegurada con contrapesos.
5. Obligaciones del patrón
5.1 Contar con un análisis de las condiciones prevalecientes en las áreas en las que se llevarán a cabo los trabajos en altura, en forma previa a su realización, a fin de identificar los factores de riesgo existentes.
5.2 Disponer de los instructivos, manuales o procedimientos para la instalación, operación y mantenimiento de los sistemas o equipos utilizados en los trabajos en altura, redactados en idioma español. Dichos instructivos, manuales o procedimientos, deberán estar elaborados con base en las instrucciones del fabricante.
5.3 Proporcionar autorización por escrito a los trabajadores que realicen trabajos en altura, mediante andamios tipo torre o estructura, andamios suspendidos y plataformas de elevación, conforme se determina en el numeral 7.2 de esta Norma, la cual será otorgada una vez que se compruebe que se han aplicado las medidas de seguridad requeridas.
5.4 Cumplir con las medidas generales de seguridad y condiciones de seguridad establecidas en los capítulos del 7 al 13 de la presente Norma, para la ejecución de trabajos en altura con el uso de sistemas personales para trabajos en altura, andamios tipo torre o estructura, andamios suspendidos, plataformas de elevación, escaleras de mano y redes de seguridad.
5.5 Supervisar que se cumpla con las medidas de seguridad dispuestas en los instructivos, manuales o procedimientos para la instalación, operación y mantenimiento de los sistemas o equipos utilizados en los trabajos en altura, así como con las medidas generales de seguridad y condiciones de seguridad establecidas en esta Norma.
5.6 Evitar o interrumpir las actividades en altura cuando se detecten condiciones inseguras en los sistemas o equipos utilizados para estos trabajos, o cuando existan condiciones climáticas que pongan en riesgo a los trabajadores.
5.7 Establecer y aplicar un programa de revisión y mantenimiento a los sistemas o equipos utilizados para la realización de trabajos en altura, de acuerdo con lo señalado en el numeral 7.14 de la presente Norma, y de conformidad con las indicaciones del fabricante.
5.8 Llevar los registros de las revisiones y del mantenimiento preventivo y correctivo que se practiquen a los sistemas o equipos utilizados para la realización de trabajos en altura, mismos que deberán conservarse al menos durante un año.
5.9 Proveer a los trabajadores que desarrollen trabajos en altura, al menos de un sistema de protección personal para interrumpir caídas de altura, de conformidad con lo establecido en el numeral 8.4 de esta Norma, así como del equipo de protección personal a que se refieren los capítulos del 7 al 13 de la misma, o del que se requiera con base en los factores de riesgo identificados en el análisis de las condiciones prevalecientes del área, de acuerdo con lo dispuesto por la NOM-017-STPS-2008, o las que la sustituyan.
5.10 Practicar exámenes médicos a los trabajadores que realizarán trabajos en altura, conforme a lo señalado en el Capítulo 14 de la presente Norma.
5.11 Disponer de un plan de atención a emergencias, de acuerdo con lo previsto en el Capítulo 15 de esta Norma, derivado de la ejecución de trabajos en altura.
5.12 Contar con un botiquín de primeros auxilios que contenga el manual y los materiales de curación necesarios para atender los posibles casos de emergencia, identificados de acuerdo con los riesgos a que estén expuestos los trabajadores y las actividades que realicen.
5.13 Proporcionar capacitación, adiestramiento e información a los trabajadores que estarán involucrados en la realización de los trabajos en altura, con base en lo dispuesto en el Capítulo 16 de la presente Norma, así como en lo relativo a la aplicación del plan de atención a emergencias, a que se refiere el Capítulo 15 de la misma.
5.14 Supervisar que los contratistas cumplan con lo establecido en esta Norma, cuando el patrón convenga los servicios de terceros para realizar trabajos en altura.
 
5.15 Exhibir a la autoridad del trabajo los documentos que la presente Norma le obligue a elaborar y poseer, cuando aquélla así lo requiera.
6. Obligaciones de los trabajadores
6.1 Participar en la capacitación que proporcione el patrón para el desarrollo seguro de los trabajos en altura y para la aplicación del plan de atención a emergencias.
6.2 Conocer y cumplir las medidas de seguridad establecidas por el patrón o contratista en los instructivos, manuales o procedimientos para realizar en forma segura los trabajos en altura.
6.3 Informar al patrón o contratista sobre cualquier condición insegura y/o acto inseguro que se observe en los trabajos en altura, o cualquier desgaste, daño, deterioro, mal funcionamiento u otra anomalía que se detecte en los sistemas, equipos o sus componentes, empleados para la realización de este tipo de actividades, a efecto de que se tomen las medidas correctivas pertinentes y se constate que no existe riesgo en su uso.
6.4 Utilizar el equipo de protección personal que les sea proporcionado, con base en los riesgos a los que se encuentran expuestos.
6.5 Acudir y someterse a los exámenes médicos que indique el patrón, e informar a éste sobre cualquier afectación a la salud o acrofobia (miedo a las alturas) que comprometa su seguridad o la de terceros, durante la realización de los trabajos en altura.
7. Medidas generales de seguridad para realizar trabajos en altura
Para la realización de trabajos en altura, se deberá cumplir con lo establecido a continuación:
7.1 Colocar en bordes de azoteas, terrazas, miradores, galerías o estructuras fijas elevadas, al igual que en aberturas como perforaciones, pozos, cubos y túneles verticales: barreras fijas o protecciones laterales o perimetrales, o redes de seguridad para protección colectiva contra caídas de altura, de conformidad con lo dispuesto en el Capítulo 13 de esta Norma, entre otros elementos de prevención, o bien proveer a los trabajadores de sistemas personales para trabajos en altura, de acuerdo con lo establecido en el Capítulo 8 de la presente Norma.
7.2 Efectuar trabajos en altura sólo con personal capacitado y autorizado por el patrón. Las autorizaciones deberán contener al menos lo siguiente:
a)    El nombre del trabajador autorizado;
b)    El tipo de trabajo por desarrollar y el área o lugar donde se llevará a cabo la actividad;
c)    Las medidas de seguridad que se deberán aplicar conforme al trabajo en altura por realizar y los factores de riesgo identificados en el análisis de las condiciones prevalecientes del área donde se desarrollará éste;
d)    La fecha y hora de inicio de las actividades, y el tiempo estimado de duración, y
e)    El nombre y firma del patrón o de la persona que designe para otorgar la autorización.
7.3 Revisar el sistema o equipo antes de ser utilizado, conforme a las instrucciones del fabricante, respecto a posibles desgastes, daños, deterioros, mal funcionamiento u otras anomalías.
Los componentes defectuosos deberán ser removidos del servicio e identificados para evitar su uso, si su resistencia o funcionamiento se ven afectados. Cualquier componente que deba reemplazarse, deberá sustituirse únicamente por otro original o que esté autorizado por el fabricante en el manual de mantenimiento que éste provea con el sistema.
7.4 Supervisar que los trabajos en altura se ejecuten de acuerdo con las medidas generales de seguridad y condiciones de seguridad establecidas en los capítulos del 7 al 13 de la presente Norma.
7.5 Usar para trabajos en altura un sistema de protección personal para interrumpir caídas de altura, de acuerdo con lo establecido en el numeral 8.4 de esta Norma.
7.6 Constatar que en ningún caso se rebase la capacidad de carga nominal del sistema o equipo en uso, de acuerdo con el instructivo o manual de operación, conforme a las indicaciones del fabricante.
7.7 Considerar los riesgos adicionales generados por la presencia de fuentes de calor -como operaciones de soldadura y corte-, humedad, ácidos, aceite, grasa, polvo, ambientes corrosivos o con temperaturas extremas, entre otros; evaluar su efecto en el sistema en uso, al igual que adoptar medidas preventivas para el personal que realiza trabajos en altura en presencia de altas temperaturas ambientales, tales como hidratación, protección a la piel y/o pausas de trabajo.
 
7.8 Prohibir el uso de cables metálicos donde exista riesgo eléctrico.
7.9 Desenergizar o reubicar las líneas eléctricas que se encuentren en el lugar en donde se realizarán los trabajos en altura y que representen riesgo para los trabajadores, conforme a lo dispuesto en la NOM-029-STPS-2005, o las que la sustituyan, o, cuando esto no sea posible, mantener en todo momento las distancias de seguridad hacia dichas líneas, de conformidad con la Tabla 1 siguiente:
Tabla 1
Distancias de seguridad a líneas eléctricas energizadas
 
Voltaje (fase a fase)
(V)
Distancia mínima de seguridad
(m)
Hasta 50 000
3.10
73 000
3.33
85 000
3.45
115 000
3.75
140 000
4.00
230 000
4.90
400 000
6.60
600 000
8.60
 
7.10 Aplicar, cuando se trabaje en la proximidad de líneas energizadas, aun cuando se mantengan las distancias de seguridad referidas en el numeral 7.9 de la presente Norma, las medidas de seguridad siguientes:
a)    Tomar precauciones para evitar que se llegue a tener contacto accidental con las líneas energizadas, al manipular objetos conductivos largos, tales como varillas, tubos, cables, herramientas, entre otros;
b)    Colocar protecciones como cintas o mantas aislantes en las líneas eléctricas acordes con la tensión que en ellas se maneje, por parte de personal capacitado en el manejo de líneas eléctricas energizadas, y
c)    Utilizar equipo de protección personal, consistente al menos en casco con barbiquejo, calzado y guantes dieléctricos, conforme a la tensión eléctrica de las líneas energizadas.
7.11 Proteger las cuerdas o cables cuando pasen por bordes o aristas filosas, o por superficies ásperas, que puedan tener un efecto cortante o un desgaste excesivo por fricción, con materiales que eviten estos riesgos.
7.12 Delimitar la zona o área a nivel de piso en la que se realizará el trabajo en altura, mediante su acordonamiento y señalización, esta última con base en lo establecido en la NOM-026-STPS-2008, o las que la sustituyan, a fin de evitar que permanezcan o transiten personas por dicha zona o área.
7.13 Evitar o interrumpir las actividades en altura cuando se detecten condiciones climáticas que impliquen riesgos para los trabajadores, tales como lluvia intensa, tormentas eléctricas, nevado y vientos fuertes sostenidos, conforme a las características del sistema o equipo utilizados y las especificaciones del fabricante.
7.14 Someter el sistema o equipo utilizado a una revisión anual o con la periodicidad indicada por el fabricante, la que resulte menor, a fin de asegurarse que se encuentran en óptimas condiciones de seguridad y funcionamiento. Dicha revisión deberá ser realizada por personal capacitado y adiestrado para tal fin.
En el caso de los sistemas utilizados en ambientes con condiciones extremas o perjudiciales para éstos, las revisiones deberán programarse con mayor frecuencia.
7.15 Llevar el registro de las revisiones y mantenimiento realizados a los sistemas o equipos, en el que al menos se deberá consignar lo siguiente:
a)    Los datos generales del sistema o equipo como marca, modelo y número de serie u otra identificación individual de éste;
b)    Las fechas de las revisiones y acciones de mantenimiento;
c)    Las observaciones que resulten de las revisiones efectuadas al sistema o equipo;
d)    Las acciones preventivas y correctivas realizadas, como reparaciones, reemplazos, retiro del servicio, destrucción, entre otras;
e)    La identificación del trabajador o trabajadores responsables de la reparación, y
f)     El señalamiento de los responsables de la liberación para su uso.
8. Sistemas personales para trabajos en altura
8.1 Requisitos generales
 
8.1.1 Se deberá supervisar, en todo momento, al realizar trabajos en altura, que el sistema personal para trabajos en altura se use conforme a lo establecido en las instrucciones del fabricante.
8.1.2 Se deberá verificar que los sistemas personales y sus subsistemas y componentes, en su caso, cuentan con la contraseña oficial de un organismo de certificación, acreditado y aprobado en los términos de la Ley Federal sobre Metrología y Normalización, que certifique su cumplimiento con las normas oficiales mexicanas o, a falta de éstas, con las normas mexicanas que correspondan.
8.2 Sistemas de restricción
8.2.1 Los sistemas de restricción deberán emplearse únicamente para limitar la distancia de desplazamiento del trabajador hacia cualquier borde peligroso donde pueda ocurrir una caída. Este tipo de sistemas no deberán emplearse para detención de caídas.
8.2.2 En el uso de los sistemas de restricción, se deberá limitar la distancia de acercamiento a la zona de riesgo de caída (bordes) a no menos de 1.20 m.
Para tal efecto, deberá emplearse un arnés de cuerpo completo o cinturón de seguridad, conectado a través de una línea de vida a un punto o dispositivo fijo que limite la proximidad del trabajador a dicha zona. En la Figura 1 se ejemplifica el uso de este tipo de sistemas.
Figura 1
Uso de sistemas personales de restricción

8.3 Sistemas de posicionamiento y ascenso/descenso controlado
8.3.1 Los sistemas de posicionamiento y de ascenso/descenso controlado (Véase Figura 2) deberán cumplir, según aplique, con lo siguiente:
Figura 2
Sistemas de posicionamiento y ascenso/descenso controlado

a)    Utilizar los sistemas de posicionamiento únicamente para mantener al usuario en posición en su punto de trabajo. Este tipo de sistemas no deberá emplearse para detención de caídas;
b)    Emplear un elemento de sujeción del trabajador al dispositivo de ascenso/descenso controlado,
como una cuerda, banda o conector, para permitir realizar el trabajo en forma estable con ambas manos libres;
c)    Utilizar cinturón porta-herramientas para la sujeción segura de las herramientas y otros artículos de trabajo, y evitar de esta forma que puedan caer accidentalmente, y
d)    Usar, según aplique, bandas o cuerdas de sujeción de herramientas, las cuales suelen atarse a su vez a una muñequera o cinturón, para evitar que la herramienta llegue a caer si se soltara accidentalmente mientras es utilizada.
8.4 Sistemas de protección personal para interrumpir caídas de altura
8.4.1 El uso de sistemas de protección personal para interrumpir caídas de altura, deberá ser obligatorio cuando realicen trabajos en altura sobre:
a)    Bordes de azoteas, terrazas, miradores, galerías o estructuras fijas elevadas, al igual que en aberturas como perforaciones, pozos, cubos y túneles verticales, donde no sea posible la colocación de barreras fijas o protecciones laterales o perimetrales, o no se empleen sistemas personales de restricción;
b)    Estructuras fijas elevadas donde no sea posible la colocación de redes de seguridad;
c)    Andamios tipo torre o estructura, a más de 3.5 m;
d)    Andamios suspendidos o plataformas de elevación, y
e)    Escaleras de mano, a más de 3.5 m del nivel de referencia.
8.4.2 Los sistemas de protección personal empleados para interrumpir caídas de altura deberán estar conformados, según aplique al sistema en uso, al menos por:
a)    Arnés de cuerpo completo;
b)    Línea de vida;
c)    Conectores;
d)    Dispositivos absorbedores de energía, y
e)    Puntos o dispositivos de anclaje.
8.4.3 Al emplear sistemas personales para interrumpir caídas de altura, se deberá:
a)    Instalar y ensamblar el sistema conforme al procedimiento que para tales fines se haya elaborado, de acuerdo con las instrucciones del fabricante, y únicamente por personal capacitado y autorizado por el patrón para este fin;
b)    Limitar la distancia de caída a la mínima posible;
c)    Colocar el punto de anclaje de acuerdo con las indicaciones del fabricante, el cual no deberá ubicarse por debajo del plano de trabajo. Un punto de anclaje puede ser una columna, trabe, viga u otro elemento estructural en un edificio; un herraje que se fija a cualquiera de estos elementos, o bien, un dispositivo integrado a una canastilla, brazo o plataforma de trabajo, en un andamio suspendido o plataforma de elevación;
d)    Limitar la masa total -masa del trabajador más herramientas-, a la especificada por el fabricante del sistema en uso;
e)    Seleccionar o implantar puntos o dispositivos de anclaje, respectivamente, que soporten la fuerza de detención generada durante una caída. El punto o dispositivo de anclaje nunca deberá seleccionarse por debajo del nivel de sustentación del trabajador;
f)     Asegurar que existe un espacio libre en el trayecto de una posible caída, para evitar que el trabajador se golpeé con obstáculos;
g)    Revisar del sistema, en forma previa a su utilización y conforme a las instrucciones del fabricante, al menos los aspectos siguientes:
1)   Que no exista corrosión u otro tipo de degradación de los materiales en sus partes metálicas;
2)   Que no existan deformaciones, agrietamientos, ruptura u otros daños similares en las hebillas, anillos, ganchos, mosquetones y carabineros;
 
3)   Que la apertura, cierre y bloqueo de todos los conectores se realice en forma correcta;
4)   Que no existan en las cuerdas, bandas y cables, rupturas, deshilados, destrenzados, descosidos, desgastes, doblados, corrosiones o quemaduras, y
5)   Que las etiquetas y marcas estén legibles;
h)    Identificar y remover del servicio los componentes defectuosos del sistema o equipo cuando su resistencia o funcionamiento se vean afectados, para evitar su uso;
i)     Reemplazar cualquier subsistema o componente, únicamente por otro original o que esté autorizado por el fabricante en el manual de mantenimiento que éste provea con el sistema;
j)     Efectuar las reparaciones de conformidad con las indicaciones del fabricante, y sólo a través de personal capacitado y autorizado por el patrón;
k)    Utilizar conectores como mosquetones, ganchos, carabineros y otros elementos de sujeción, que se mantengan cerrados y bloqueados automáticamente, para prevenir que puedan abrirse o liberarse accidentalmente.
       Estos deberán desconectarse sólo mediante la ejecución de al menos dos acciones deliberadas consecutivas del trabajador (doble seguro). Los conectores no deberán conectarse a otros objetos incompatibles en forma o dimensiones, que comprometan su funcionamiento seguro;
l)     Utilizar cuerdas y bandas de fibras sintéticas o cable metálico en las líneas de vida, cables de seguridad y demás componentes sometidos a esfuerzos;
m)   Considerar en la instalación del sistema:
1)   El posible efecto de elongación de la cuerda;
2)   El efecto pendular;
3)   La presencia de líneas eléctricas energizadas, y
4)   La deflexión de una línea de vida horizontal (Véase Figura 3);
Figura 3
Líneas de vida horizontales

n)    Instalar el sistema de forma tal que la distancia máxima de caída libre, antes de que se active el absorbedor de energía, sea de hasta 1.8 m o 3.5 m, según el tipo de absorbedor de energía que incorpora dicho sistema;
o)    Evitar el ensamble de subsistemas o componentes de distintos fabricantes que sean incompatibles;
p)    Marcar o identificar al sistema que se accionó para detener una caída, y
q)    Prohibir que un sistema que se ha accionado para detener una caída, sea reutilizado, salvo que el fabricante expresamente así lo permita, ya sea de manera integral o para alguno de sus componentes o subsistemas.
8.4.4 Al emplear sistemas a base de líneas de vida horizontales, se deberá:
a)    Instalar y operar el sistema conforme a las especificaciones del fabricante;
b)    Constatar que los soportes cuenten con la resistencia requerida;
c)    Asegurar la correcta tensión del cable horizontal, y
 
d)    Controlar la distancia total de caída disponible, considerando la distancia de despliegue del dispositivo absorbedor de energía y la deflexión o catenaria (curva que se forma en una cuerda o cable cuando está sujeta por sus extremos) que formaría la línea horizontal.
8.4.5 Al emplear sistemas a base de líneas de vida verticales, se deberá:
a)    Instalar y operar el sistema de conformidad con las especificaciones del fabricante;
b)    Proveer a cada trabajador de una línea de vida vertical independiente, cuando el sistema no esté diseñado para soportar a más de un trabajador (Véase Figura 4);
Figura 4
Líneas de vida verticales

c)    Asegurar que el soporte superior y, en su caso, el inferior cumplan con la resistencia requerida, así como la correcta tensión en el cable, según aplique, y
d)    Probar, antes de cada uso, el accionamiento del bloqueador de caída de tipo corredizo, en los sistemas de detención consistentes en rieles verticales o líneas, empleados en escaleras u otras estructuras.
8.4.6 Al emplear sistemas a base de líneas de vida retráctiles, se deberá:
a)    Instalar y operar el sistema de acuerdo con las especificaciones del fabricante;
b)    Cumplir con las disposiciones establecidas en el numeral 8.4.3 de esta Norma;
c)    Evitar obstrucciones en la trayectoria de una posible caída, y que la línea de vida pueda enredarse o cruzarse con las de otros trabajadores;
d)    Considerar la velocidad de bloqueo, conforme a las instrucciones del fabricante;
e)    Evitar la realización de trabajos en sitios donde la línea de vida pueda estar en contacto o fricción con bordes afilados, calor extremo, sustancias o ambientes corrosivos, maquinaria en movimiento, entre otras, y
f)     Evitar que la línea de vida se conecte con otros componentes para alargar su longitud.
9. Andamios tipo torre o estructura
9.1 En la instalación de los andamios tipo torre o estructura, se deberá cumplir con lo siguiente:
a)    Instalar y ensamblar el andamio mediante el procedimiento que para tales fines se haya elaborado, de conformidad con las instrucciones del fabricante, y únicamente por personal capacitado y autorizado por el patrón para este fin;
b)    Probar que el andamio y sus componentes resistan al menos cuatro veces la máxima carga a que serán sometidos, considerando el peso del personal, materiales y herramientas a utilizar;
c)    Instalar el andamio sobre:
1)   Sus bases, para conferir una mayor estabilidad, o sobre ruedas que cuenten con un mecanismo de bloqueo, mismo que será liberado únicamente cuando el andamio deba moverse para su reubicación;
2)   Planos firmes, estables y de suficiente resistencia, de manera que se evite cualquier posible falla, ruptura, hundimiento o desplazamiento accidental, y
 
3)   Superficies niveladas, y cuando éstas no lo estén, emplear los medios de aplomado, estabilización y nivelación indicados por el fabricante;
d)    Disponer en el andamio de una escalera u otro medio similar de acceso seguro, mismos que deberán:
1)   Estar ubicados dentro del cuerpo del andamio o formar parte del mismo sin afectar su estabilidad;
2)   Tener un ancho mínimo de 40 cm;
3)   Estar extendidos 90 cm sobre el piso de la plataforma de trabajo y asegurados contra cualquier flexión o movimientos laterales, cuando sean móviles;
4)   Ser continuos y no utilizar dispositivos improvisados para aumentar su altura, y
5)   Contar con una plataforma de descanso ubicada a intervalos que no excedan los 6 m (Véase Figura 5);
Figura 5
Andamios tipo torre o estructura

e)    Estar provistos con barandales de al menos 90 cm de altura y baranda intermedia en los lados abiertos y en los extremos, cuando estén a 1.8 m o más sobre el piso o desde el nivel inferior;
f)     Contar con rodapié con una altura mínima de 15 cm al ras de la plataforma;
g)    Emplear plataformas soporte, que cumplan con lo siguiente:
1)   Presenten condiciones de seguridad y operación, sin grietas, fisuras, nudos, u otros defectos o daños que comprometan la seguridad en su uso;
2)   Dispongan de tablones o unidades completos, con un ancho mínimo de 45 cm, que abarquen todo el espacio del andamio. Cuando existan espacios entre los tablones o unidades, no deberán ser mayores a 2.5 cm;
3)   Tengan tablones con un espesor de al menos 5 cm, en su caso, reforzados mediante un marco metálico y travesaños de forma que se incremente su resistencia y confiabilidad, y
4)   Cuenten con medios que las inmovilicen, para evitar que puedan desplazarse o moverse accidentalmente de cualquier forma. Si el elemento de inmovilización consiste sólo en topes para evitar que el tablón se recorra, éste deberá sobresalir del andamio al menos 10 cm;
h)    Constatar que se carezca de abolladuras, grietas, deformaciones u oxidaciones en sus tubos y otros elementos metálicos;
i)     Contar con roscas de tuercas y tornillos, abrazaderas y pasadores de seguridad en condiciones de seguridad y operación, y no usar clavos, varillas o alambre como sustitutos;
j)     Revisar el andamio antes de cada uso y después de algún incidente, para comprobar las condiciones de seguridad y operación de cada uno de sus componentes, y reemplazar o reparar aquéllos que
presenten algún tipo de daño o deterioro, por personal capacitado;
k)    Prohibir que los trabajadores permanezcan sobre los andamios móviles cuando están siendo reubicados, y contar con precauciones especiales para mantener el andamio estabilizado cuando éste se mueva;
l)     Evitar la realización de actividades por encima del andamio que expongan a los trabajadores a posibles caídas de objetos, o colocar protecciones contra este riesgo y utilizar casco de protección;
m)   Evitar que los andamios sean ensamblados, utilizados o movidos de tal forma que éstos, o cualquier material conductivo en ellos, pueda tener contacto con líneas eléctricas energizadas. Cuando se requiera trabajar en la proximidad de tales líneas, se deberá observar lo establecido en el numeral 7.9 de la presente Norma;
n)    Constatar que la relación del lado menor de la base del andamio respecto a la altura máxima no sea mayor de 1:4;
o)    Sujetar el andamio a cada 4 m de altura, en los casos en que no sea posible cumplir con la relación base-altura establecida en el inciso anterior;
p)    Evitar la utilización de escaleras tipo caballete como soporte para colocar tablones que se empleen como andamios;
q)    Evitar cualquier alteración en los andamios que pueda afectar la seguridad en su uso. Toda modificación en el diseño, instalación, operación o mantenimiento deberá ser avalada por escrito por el fabricante y autorizada por el patrón;
r)     Mantener la superficie de la plataforma soporte del andamio libre de productos químicos agresivos, y de sustancias como soluciones jabonosas, aceite, grasas, pintura, barro u otras que puedan hacerla resbaladiza o generar cualquier otro tipo de riesgo a los trabajadores;
s)    Mantener una altura libre mínima de 2.5 m en vías peatonales. En los pasos vehiculares, la altura libre deberá ser de al menos 4.5 m y el andamio se deberá mantener alejado del paso vehicular al menos 80 cm;
t)     Mantener una distancia mínima de 60 cm desde el área de tránsito al andamio, y de 90 cm en lugares en donde haya depósito de materiales;
u)    Ubicar el andamio de tal manera que no interfiera con alarmas de incendios, cajas de instalaciones eléctricas o hidrantes, entre otros, en caso de que no sea posible realizar las adecuaciones necesarias al andamio para que dichos elementos continúen cumpliendo con su función, y
v)    Colocar una tarjeta (Véase Figura 6) que indique la condición del mismo, la cual deberá:
Figura 6
Ejemplos de tarjetas de información, sobre las condiciones que guardan los andamios
1)   Estar en un lugar visible de su acceso;
2)   Estar adherida de tal forma que se impida su remoción accidental, y
3)   Contar con la fecha y nombre de quien revisó el andamio.
 
10. Andamios suspendidos
10.1 Durante la instalación de los andamios suspendidos, se deberá cumplir lo siguiente:
a)    Instalar y ensamblar el andamio mediante el procedimiento que para tales fines se haya elaborado, siguiendo las instrucciones del fabricante, y únicamente por personal capacitado y autorizado por el patrón para este fin;
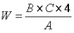
b)    Instalar los contrapesos específicos para cada caso, cuando se usen vigas de suspensión (Véase Figura 7).
       La determinación de la masa del contrapeso deberá considerar un factor de seguridad mínimo de 4, respecto a la suma de la capacidad nominal de todos los malacates del andamio suspendido, mediante la Ecuación 1:

Ecuación 1
Donde:
W   Es el contrapeso mínimo que deberá emplearse para equilibrar el sistema, con un factor de seguridad de 4;
B    Es la distancia del punto de aplicación de la carga máxima al punto de apoyo;
C    Es la capacidad de carga máxima del andamio establecida por el fabricante, y
A    Es la distancia del punto de aplicación del contrapeso (W) al punto de apoyo (fulcro).
Figura 7
Contrapesos en andamios suspendidos

c)    Utilizar contrapesos de piezas sólidas y no de materiales granulados o líquidos;
d)    Evitar que la ubicación y puntos de anclaje del andamio suspendido constituyan un factor de riesgo;
 
e)    Instalar la hamaca o plataforma del andamio suspendido a nivel del suelo o desde el sitio de suspensión (Véase Figura 8).
       En el caso de puentes y lugares en donde el nivel del suelo sea inaccesible, los soportes de suspensión deberán estar diseñados para facilitar la instalación;
Figura 8
Instalación de la hamaca o plataforma

f)     Indicar la capacidad de carga en un lugar visible del equipo, en kilogramos, si es menor a 1 000 kg, o en toneladas, si su capacidad es igual o mayor a dicho peso;
g)    Sujetar los cables de suspensión y de seguridad, a un soporte de suspensión específico para el tipo y peso del andamio suspendido, incluyendo su capacidad máxima de carga;
h)    Verificar que en su trayecto los cables de suspensión y de seguridad no queden en contacto con superficies cortantes, calientes o con cables de alta tensión;
i)     Emplear sistemas restrictivos en los cables de suspensión cada 15 m de altura;
j)     Descender los cables de suspensión y de seguridad, en forma vertical desde el soporte de suspensión hasta el malacate, sin que se doblen en cornisas, pretiles o similares, ni se apoyen en estructuras que presenten equilibrio inestable;
k)    Contar con barandales en todo el perímetro de su plataforma de, al menos, 90 cm, con malla o barandas dispuestas de tal manera que no existan claros de más de 900 cm2;
l)     Contar con rodapiés en todo el perímetro de su plataforma, de al menos 9 cm, medidos desde el piso de la plataforma hasta su borde superior. Los rodapiés no deberán tener ninguna abertura mayor a 2.5 cm, para contener la caída de cualquier material que ruede sobre el piso de la plataforma, y
m)   Constatar que los mástiles portátiles o cualquiera de sus componentes pesen menos de 36 kg. En caso de que se rebase este peso deberán contar con una carretilla de traslación o ruedas que les permitan moverse y cambiar de posición.
10.2 Durante la operación de los andamios suspendidos, se deberá cumplir lo siguiente:
a)    Usar malacates motorizados en los trabajos que impliquen desplazamientos mayores de 40 m de altura. En chimeneas y sitios con alto grado de explosividad, se permite el uso de malacates manuales, independientemente de la altura;
b)    Operar los andamios suspendidos únicamente con trabajadores capacitados y autorizados por el patrón, conforme a las instrucciones del manual y las recomendaciones del fabricante;
c)    Constatar que antes de iniciar cada turno de trabajo, el operador:
1)   Verifique que el soporte de suspensión y el andamio se encuentran en condiciones seguras de operación, que no existen obstáculos que interfieran en su desplazamiento, y que todos los tornillos y tuercas están correctamente apretados, y
 
2)   Pruebe los malacates con sus dispositivos de seguridad, tanto en el ascenso como en el descenso, a una altura inferior a los 3 m;
d)    Prohibir que se anulen, interfieran o desconecten los dispositivos de seguridad;
e)    Proporcionar a todo el personal que haga uso del andamio suspendido, al menos el equipo de protección personal siguiente:
1)   Casco con barboquejo;
2)   Calzado antiderrapante y resistente a los materiales a que estará expuesto, y
3)   Sistema de protección personal para interrumpir caídas de altura conectado a los puntos de anclaje de la plataforma diseñados para ello. En el caso de que el andamio no cuente con cables de seguridad, la línea de vida del sistema de detención deberá unirse a un punto de anclaje situado por encima e independiente del andamio suspendido;
f)     Verificar que ningún objeto sobresalga de la plataforma antes de iniciar cualquier movimiento del andamio suspendido;
g)    Colocar la herramienta, equipo o material en contenedores antes de iniciar el movimiento vertical de un andamio suspendido. Durante el movimiento del equipo no se deberá permitir que los trabajadores sostengan objetos en sus manos;
h)    Efectuar el suministro o retiro de herramientas o materiales al o del andamio suspendido, de forma tal que no se sobrecargue ninguno de los soportes de éste ni se afecte su estado de equilibrio e inmovilidad;
i)     Establecer y aplicar procedimientos de seguridad para evitar que las herramientas o materiales se balanceen durante el trayecto;
j)     Efectuar el acceso o salida en puntos seguros por un solo trabajador a la vez. Para realizar estas acciones, el andamio deberá ser inmovilizado, mediante su amarre o sujeción a una estructura fija. Se consideran puntos seguros, aquellos que se encuentren a una distancia no mayor de 50 cm del nivel del piso, del nivel de la azotea o del nivel del piso de los niveles intermedios;
k)    Levantar o bajar los andamios suspendidos de manera que su plataforma no tenga una inclinación mayor a 20% (11 grados) con la horizontal;
l)     Estabilizar los cables suspendidos que no se encuentren bajo ninguna tensión, cuando su longitud exceda los 61 m;
m)   Revisar periódicamente los rieles de traslación de los andamios suspendidos, de acuerdo con lo señalado por el fabricante para garantizar su seguridad y correcto funcionamiento;
n)    Corroborar que bajo ninguna circunstancia se permita:
1)   Ascender y descender a los trabajadores por los cables de suspensión;
2)   Sobrepasar la capacidad máxima de carga establecida por el fabricante;
3)   Exceder la velocidad de ascenso y descenso de los andamios suspendidos motorizados de 0.3 m/s, en el caso de malacates motorizados de una sola velocidad, o de 0.4 m/s, tratándose de andamios con múltiples velocidades;
4)   Desplazar los soportes de suspensión, cuando se encuentren trabajadores sobre los andamios suspendidos;
5)   Utilizar los andamios suspendidos como elevadores de carga o desplazarlos en forma horizontal, si se encuentra algún trabajador en él, salvo que el manual de operación así lo permita;
6)   Acumular herramientas o materiales en los andamios suspendidos en cantidad tal que representen un riesgo por sobrepeso, por caída o por generar dificultades para realizar la actividad;
7)   Laborar o permanecer en el andamio suspendido cuando existan tormentas eléctricas, vientos fuertes o lluvia, y
8)   Emplear andamios suspendidos con cuerdas o cables de fibra, cuando se trabaje con sustancias corrosivas o con equipos de flama abierta que generen chispas o calor excesivo;
o)    Retirar las herramientas o materiales del andamio suspendido y posicionar éste sobre el piso al concluir el turno de trabajo, a excepción de instalaciones en puentes y otras similares donde el nivel del suelo sea inaccesible;
 
p)    Poner la plataforma en la posición de "fuera de servicio", desconectar el interruptor y la fuente de energía o los medios mecánicos colocando bloqueos, para evitar el uso no autorizado, cuando el operario concluya su trabajo, y
q)    Amarrar o asegurar al edificio, estructura o instalación, el andamio suspendido cuando se encuentre fuera de operación, de tal forma que su movimiento no sea causa de riesgo.
10.3 Durante el mantenimiento de los andamios suspendidos, se deberá cumplir lo siguiente:
a)    Realizar las labores de mantenimiento a los andamios suspendidos únicamente con trabajadores capacitados y autorizados por el patrón;
b)    Establecer y aplicar un procedimiento para el bloqueo de energía, de conformidad con lo dispuesto en la NOM-004-STPS-1999, o las que la sustituyan;
c)    Condicionar cualquier alteración al andamio suspendido en su diseño original, instalación, operación o mantenimiento, que pueda afectar la seguridad en su uso, al aval por escrito del fabricante y a la autorización del patrón, en cuyo caso se deberá proporcionar a los trabajadores la información necesaria para que puedan operarlo en condiciones seguras;
d)    Revisar periódicamente el malacate y los dispositivos de seguridad, de acuerdo con las indicaciones del fabricante;
e)    Prever en el manual de mantenimiento de los malacates, las instrucciones para reemplazar el cable, cuando se presenten condiciones que lo hagan inseguro, entre otras:
1)   La existencia de doce alambres rotos de manera aleatoria en un mismo cable;
2)   El desgaste de los alambres individuales exteriores, en más de un tercio del diámetro original;
3)   La evidencia de daño por calor, desgaste, quemaduras por flama, o corrosión, y
4)   La formación de ondas o de una torsión no balanceada del cable (Véase Figura 9);
Figura 9
Ejemplos de condiciones inseguras en cables

f)     Limpiar, al término del mantenimiento, la plataforma de los andamios suspendidos, sobre todo cuando se hayan utilizado productos químicos agresivos, y dejarla libre de sustancias como soluciones jabonosas, aceite, grasas, pintura, barro u otras que puedan hacerla resbaladiza o generen cualquier otro tipo de riesgo a los trabajadores, y
g)    Verificar que el andamio suspendido esté correctamente instalado y en condiciones de
funcionamiento seguro, al concluir su mantenimiento.
11. Plataformas de elevación
11.1 Se deberá contar y tener disponibles, los manuales para la operación, revisión y mantenimiento de la plataforma, en idioma español.
11.2 Las plataformas de elevación deberán contar con los componentes que a continuación se indican:
a)    Canastilla o plataforma de trabajo, integrada al equipo, la cual deberá contener una protección lateral con una altura mínima de 90 cm. No deberán utilizarse cuerdas, cables, cadenas o cualquier otro material flexible para sustituir la canastilla;
b)    Dispositivos de seguridad para asegurar su nivelación o estabilizadores en el sitio de trabajo, de acuerdo con las especificaciones del fabricante;
c)    Panel de control de piso y en canastilla, con dispositivos que permitan a los trabajadores bajar la plataforma hasta el suelo en caso de emergencia;
d)    Sistema automático de alarma sonora, para indicar el ascenso, descenso, tracción -desplazamiento delantero o trasero-, y cualquier otro tipo de movimiento -elevación y movimiento del brazo telescópico-, de la plataforma;
e)    Dispositivo de anclaje, para conexión del sistema de protección personal para interrumpir caídas de altura -arnés, línea de vida, absorbedor de energía, entre otros-, integrado a la canastilla de la plataforma o brazo, y
f)     Limitador de velocidad de desplazamiento, con el brazo extendido.
11.3 Al inicio de cada jornada, se deberá realizar una revisión visual y prueba funcional de la plataforma de elevación, para verificar el buen funcionamiento de los siguientes elementos;
a)    Controles de operación y de emergencia;
b)    Dispositivos de seguridad de los equipos;
c)    Disponibilidad del equipo de protección individual contra caídas;
d)    Sistemas neumáticos, hidráulicos, eléctricos y de combustión, según aplique;
e)    Señales de alerta y control;
f)     Integridad y legibilidad de las calcomanías;
g)    Estado físico que guardan los estabilizadores, ejes expansibles y estructura en general, y
h)    Cualquier otro elemento especificado por el fabricante.
11.4 Al inicio de cada jornada, se deberá verificar que no existan en la plataforma de elevación:
a)    Evidencias de soldaduras deterioradas u otros defectos estructurales;
b)    Escapes de circuitos hidráulicos;
c)    Daños en cables;
d)    Mal estado de conexiones eléctricas;
e)    Condiciones anómalas en ruedas, neumáticos, frenos y baterías, y
f)     Residuos de productos químicos agresivos y de sustancias como soluciones jabonosas, aceite, grasas, pintura, barro u otras que puedan hacer resbaladiza la superficie de la plataforma o generar cualquier otro tipo de riesgo a los trabajadores.
11.5 Durante la operación de las plataformas de elevación se deberá cumplir con lo siguiente:
a)    Efectuar una revisión del lugar de trabajo en el que se utilizará la plataforma antes de cada uso;
b)    Verificar antes de emplear la plataforma, que:
1)   Los medios para mantener la estabilidad, se utilizan de acuerdo con las indicaciones del fabricante;
2)   La carga máxima no excede la capacidad nominal, determinada por el fabricante, de acuerdo con las configuraciones posibles del equipo, y
3)   Los trabajadores que laboran en la canastilla o plataforma de trabajo utilizan los sistemas de
protección personal contra caídas, anclados a los dispositivos previstos e instalados dentro de la propia plataforma, así como para otros riesgos a los que se encuentren expuestos por la naturaleza de las actividades por desarrollar, o del lugar en que éstas se realizarán;
c)    Mantener antes y durante la manipulación de la plataforma:
1)   Una visión clara del camino y área por recorrer;
2)   La distancia segura de los obstáculos, depresiones o hundimientos naturales o accidentales en un terreno o superficie, rampas y otros factores de riesgo, que deberán estar especificados en el proyecto de trabajo, y
3)   Las distancias mínimas hacia obstáculos aéreos y líneas eléctricas energizadas, especificadas en el proyecto de trabajo u orden de servicio;
d)    Limitar la velocidad de desplazamiento de la plataforma, tomando en cuenta:
1)   Las condiciones de la superficie;
2)   El tráfico;
3)   La visibilidad;
4)   La presencia de pendientes;
5)   La ubicación del personal, y
6)   Otros factores de riesgo;
e)    Evitar que se mueva la plataforma de elevación, en las rampas con especificaciones diferentes a las establecidas por el fabricante;
f)     Bajar o cerrar, siempre, el barandal o puerta de acceso a la canastilla o plataforma de trabajo, antes de operar el equipo;
g)    Mantener dentro de la canastilla o plataforma de trabajo a los trabajadores ocupantes de las plataformas elevadas durante la realización de las labores;
h)    Prohibir que los trabajadores ocupantes de las plataformas elevadas se sienten, paren o suban en los barandales de protección;
i)     Comprobar, durante el uso de la plataforma, la zona de operación de los equipos, para asegurarse que:
1)   La zona de operaciones está de acuerdo con las condiciones especificadas por el fabricante;
2)   Las condiciones meteorológicas existentes, no impliquen la necesidad de detener las actividades;
3)   Las personas que se encuentren en el lugar cuenten con la autorización correspondiente, y
4)   El plan de trabajo contenga el análisis de las condiciones de seguridad que deberán existir para realizar el trabajo, con el detalle de los factores de riesgo existentes;
j)     Evitar en la operación de las plataformas, lo siguiente:
1)   Que se coloquen sobre superficies u objetos frágiles o inestables;
2)   Que se operen en terrenos desnivelados o inestables fuera de las especificaciones del fabricante;
3)   Que se usen como grúas de carga;
4)   Que se coloquen o recarguen escaleras o andamios contra la plataforma;
5)   Que se operen cuando se encuentren en camiones, remolques, automóviles u otros vehículos;
6)   Que se utilicen tablones, escaleras de mano u otros elementos similares destinados a lograr una mayor altura o distancia en la plataforma;
7)   Que se sujeten la plataforma o los trabajadores ocupantes a estructuras fijas;
8)   Que se adicionen anuncios u otros elementos similares de gran tamaño que puedan aumentar la carga debida al viento sobre la plataforma, y
9)   Que se usen con motores de combustión interna en interiores, salvo que cuenten con ventilación
para evitar la acumulación de humos y gases tóxicos;
k)    Retirar inmediatamente del servicio y señalizar la plataforma, cuando se detecten fallas en su funcionamiento, a efecto de evitar su utilización hasta que se realice el mantenimiento requerido;
l)     Verificar antes de bajar o mover la plataforma de trabajo, que no existan personas, equipos u obstáculos en zonas adyacentes;
m)   Efectuar las maniobras de ascenso, descenso y movimiento de la plataforma siempre con la asistencia y supervisión de al menos un segundo trabajador, para advertir al operador de cualquier condición de riesgo, entre otras:
1)   La presencia de trabajadores u otras personas en la parte inferior de la plataforma;
2)   La aproximación a obstáculos o líneas energizadas, y
3)   La existencia de topes, aberturas, depresiones o hundimientos en la superficie de rodamiento de la plataforma;
n)    Estacionar la base de la plataforma elevada, apagada y protegida contra accionamiento no autorizado, cuando se encuentre fuera de servicio, y
o)    Recargar las baterías en un espacio ventilado, donde no exista riesgo de incendio o explosión.
12. Escaleras de mano
12.1 Las escaleras de mano deberán ser revisadas antes de cada uso. Aquéllas que tengan defectos que puedan afectar su uso seguro, deberán ser retiradas del servicio inmediatamente y marcarse con la leyenda "Peligrosa. No utilizar." u otra similar, para después proceder a su reparación, desecho o destrucción. Las reparaciones mayores deberán ser realizadas por personal capacitado.
12.2 Las escaleras de mano deberán:
a)    Ser almacenadas en lugares donde no estén expuestas a elementos de intemperie que puedan dañarlas, como sol y lluvia;
b)    Permanecer libres de grasa o aceite en sus peldaños;
c)    Estar pintadas con un material transparente que no pueda ocultar los defectos o daños presentes, cuando sean fabricadas de madera;
d)    Estar colocadas de manera que la distancia horizontal, desde el pie de la escalera hasta el punto de apoyo -sobre su vertical-, sea de una cuarta parte de la longitud de la escalera hasta dicho punto de apoyo (Véase Figura 10);
Figura 10
Longitud de la escalera entre su pie y el apoyo superior

 
Donde:
psa  punto superior de apoyo
pe    pie de la escalera
x      distancia horizontal
e)    Estar extendidas por lo menos 90 cm sobre el punto de apoyo en el borde de la superficie a la que se accede, cuando son utilizadas para subir a una azotea u otra superficie elevada similar, y
f)     Estar equipadas con bases antiderrapantes. Las secciones media y superior no deberán usarse como sección inferior, a menos que estén igualmente equipadas con bases antiderrapantes. El uso de estas bases no sustituye a las medidas de seguridad que se deberán tomar al colocar, atar o sujetar una escalera.
12.3 Se deberá prohibir que las escaleras de mano:
a)    Sean almacenadas cerca de radiadores, estufas, tuberías de vapor, o en otros lugares donde se sometan a calor o humedad excesivos, cuando son fabricadas de madera;
b)    Se sometan a una carga que exceda la máxima establecida por el fabricante;
c)    Sean colocadas sobre cajas, tambos u otras bases inestables para alcanzar alturas mayores, ni en superficies inclinadas, a menos que estén equipadas con algún sistema específicamente diseñado para este tipo de superficies;
d)    Se usen simultáneamente por más de una persona, a menos que estén específicamente diseñadas para ese uso;
e)    Sean utilizadas como plataformas, tarimas o para cualquier otro propósito para el que no fueron diseñadas, y
f)     Se improvisen con elementos que permitan alcanzar una altura adicional a la de ellas.
12.4 Al realizar trabajos en altura, empleando una escalera de mano, se deberá cumplir con las condiciones de seguridad siguientes:
a)    Revisar visualmente, en forma previa a su utilización, el área donde será empleada la escalera, a efecto de asegurarse que no existan condiciones de riesgo;
b)    Cerrar con llave, bloquear o vigilar permanentemente las puertas, cuando se coloque frente a ellas una escalera de mano;
c)    Ascender o descender de frente a la escalera de mano;
d)    Permanecer el operario de frente a ella mientras se realiza el trabajo, sin que el centro del trabajador sobrepase los rieles laterales de ésta. Se deberá evitar sobre-extenderse para alcanzar algún punto, zona u objeto, de forma que se ponga en riesgo la estabilidad;
e)    Prohibir al usuario pararse por arriba del antepenúltimo peldaño, mientras se trabaje en una escalera de mano;
f)     Utilizar calzado con suela antiderrapante para la realización de trabajos sobre las escaleras de mano;
g)    Sostener en todo momento la escalera de mano, desde su parte inferior con ambas manos, por parte de una segunda persona, durante el ascenso o descenso de más de 5 m de altura;
h)    Sujetar tanto la parte inferior como superior, cuando se trabaje sobre una escalera de mano. La superficie donde descanse el extremo superior de la escalera deberá ser rígida y tener suficiente resistencia para la carga aplicada, y
i)     Prohibir el uso de escaleras metálicas en lugares donde puedan entrar en contacto con líneas eléctricas energizadas.
13. Redes de seguridad
13.1 Las redes de seguridad, deberán:
a)    Estar extendidas por lo menos 2.5 m hacia afuera del borde de la superficie de trabajo y ser instaladas lo más cerca posible bajo la superficie que se requiere proteger, pero en ningún caso a más de 6 m por debajo de ésta;
b)    Complementar la red de seguridad con redes de cubierta ligera para proteger al personal que trabaje
en niveles inferiores de la caída de materiales y escombros;
c)    Estar instaladas de acuerdo con las especificaciones del fabricante;
d)    Estar provistas de una cuerda perimetral de alta resistencia y cuerdas de sujeción en orillas y extremos para el anclaje a estructuras fijas, y
e)    Estar sujetas a control y mantenimiento.
14. Seguimiento a la salud de los trabajadores
14.1 A los trabajadores que realicen trabajos en altura se les deberán practicar exámenes médicos al menos cada año, de acuerdo con lo que establezcan las normas oficiales mexicanas que al respecto emita la Secretaría de Salud.
14.2 Los exámenes médicos deberán satisfacer lo siguiente:
a)    Constar por escrito o en medios electrónicos, y
b)    Contener:
1)   El nombre del trabajador;
2)   La evaluación médica del trabajador, y
3)   El nombre del médico, su firma y número de cédula profesional.
14.3 El último examen practicado deberá conservarse mientras el trabajador se mantenga activo en la realización de trabajos en altura.
15. Plan de atención a emergencias
15.1 El plan de atención a emergencias deberá contener, al menos, lo siguiente:
a)    El responsable de implementar el plan;
b)    Los procedimientos para:
1)   El alertamiento, en caso de ocurrir una emergencia;
2)   La comunicación de la emergencia, junto con el directorio de los servicios de auxilio para la emergencia (rescate, hospitales, entre otros);
3)   La suspensión de las actividades;
4)   Los primeros auxilios en caso de accidentes;
5)   La eliminación de los riesgos durante y después de la emergencia;
6)   El uso de los sistemas y equipo de rescate, en su caso, y
7)   La reanudación de actividades;
c)    La identificación de las rutas de evacuación y de escape del edificio o área en que se efectúa la actividad en altura, en particular cuando ésta se realiza por personal ajeno a dicho edificio o área, en su caso;
d)    Las acciones por implementar, en caso de cualquier falla en el sistema o equipo en uso, entre ellas en el suministro de energía de los sistemas motorizados;
e)    Los sistemas y equipos de rescate, de protección personal u otros que se requieran para la atención de las emergencias que puedan presentarse en cada uno de los trabajos en altura que se lleven a cabo, y
f)     La capacitación y adiestramiento de los trabajadores en relación con el contenido del plan.
16. Capacitación, adiestramiento e información
16.1 A los trabajadores que realicen trabajos en altura se les deberá proporcionar capacitación, adiestramiento e información, de acuerdo con el tipo de sistema o equipo utilizado, las tareas asignadas y la atención a emergencias.
16.2 La capacitación y adiestramiento de los trabajadores que laboren con sistemas personales para trabajos en altura, deberá considerar, al menos lo siguiente:
a)    Los sistemas o equipos disponibles para la realización de trabajos en altura y para la protección contra caídas de altura;
 
b)    La composición, características y funcionamiento del sistema o equipo utilizado;
c)    Los aspectos relacionados con:
1)   La selección e instalación de los puntos y dispositivos de anclaje seguros;
2)   La forma correcta de instalar, colocar, ajustar y utilizar el sistema o equipo;
3)   Las conexiones y atados correctos;
4)   Las revisiones rutinarias que requiere el sistema o equipo, su periodicidad, así como los criterios para retirarlos del servicio, de conformidad con las instrucciones del fabricante;
5)   Las limitantes y posibles restricciones en el uso del sistema o equipo;
6)   La estimación de la distancia total de caída, incluyendo la distancia de desaceleración del absorbedor de energía, a efecto de prevenir colisión o golpe en un nivel inferior o contra algún objeto que se encuentre en la trayectoria de una posible caída;
7)   La catenaria formada en las líneas de vida horizontales, en su caso;
8)   La forma de prevenir el efecto pendular, y
9)   Los métodos de uso, revisión, limpieza y resguardo del sistema o equipo, entre otros;
d)    Las condiciones de uso que deberán evitarse para no disminuir las capacidades de resistencia o seguridad en general de los sistemas o equipos, como:
1)   Ensamble de componentes incompatibles de diferentes fabricantes;
2)   Alteraciones o adiciones no autorizadas por los fabricantes;
3)   Posibles sobreesfuerzos localizados en ciertos componentes del sistema o equipo, cuando no se ha efectuado una adecuada instalación de éste;
4)   Exposición de las cuerdas al efecto cortante de aristas u objetos puntiagudos, y
5)   Exposición del sistema o de alguna de sus partes a sustancias corrosivas u otras condiciones que puedan llegar a degradar los materiales, como calor, fuego, radiación solar, entre otras;
e)    La forma correcta de ensamblar el sistema con otros tipos de sistemas o equipos complementarios, en su caso. Por ejemplo, sistemas para interrumpir caídas con sistemas de ascenso/descenso controlado, de posicionamiento, de rescate, entre otros;
f)     Las condiciones bajo las cuales los sistemas o equipos deberán ser puestos fuera de servicio para su reparación o reemplazo, por personal capacitado y autorizado por el patrón, de acuerdo con lo establecido por el fabricante;
g)    Las medidas de seguridad establecidas en esta Norma, aplicables a las actividades por realizar;
h)    Las condiciones climáticas u otros factores desfavorables que obligarían a interrumpir los trabajos en altura;
i)     La descripción general sobre los efectos en el organismo durante la detención de una caída y la suspensión posterior a ésta, con énfasis en las condiciones que deberán evitarse para prevenir lesiones u otro tipo de daños a la salud;
j)     El contenido del plan de atención a emergencias y otras acciones que se desprendan de las situaciones de emergencia que puedan presentarse durante la realización de los trabajos en altura, y
k)    La teoría y práctica sobre técnicas y uso de equipos de rescate en altura.
16.3 La capacitación y adiestramiento de los trabajadores que laboren en andamios tipo torre o estructura, deberá comprender al menos lo siguiente:
a)    Los procedimientos de ensamblado y desensamblado del andamio utilizado, cuando los trabajadores realicen o participen en esta actividad;
b)    Los aspectos fundamentales de la seguridad y revisión del andamio;
c)    Las condiciones de estabilidad del andamio en aspectos como superficie de colocación, altura máxima, nivelación y sujeción;
d)    El contenido de las medidas de seguridad establecidas en la presente Norma;
e)    El contenido del manual o instructivo que, en su caso, se tenga del fabricante;
f)     El uso correcto del sistema de protección personal para interrumpir caídas de altura;
 
g)    El uso de equipo de protección personal de acuerdo con los riesgos de la actividad que realice;
h)    La señalización por utilizar para la delimitación del área de trabajo;
i)     Las limitaciones de uso por condiciones climáticas adversas, la proximidad de líneas eléctricas y la capacidad de carga del andamio;
j)     La forma segura de ascender y descender de la plataforma de trabajo;
k)    Los métodos seguros para subir o bajar equipos, herramientas y materiales de trabajo del andamio;
l)     Los procedimientos para mover el andamio, y
m)   El contenido y aplicación del plan de atención a emergencias.
16.4 La capacitación y adiestramiento de los trabajadores que laboren en andamios suspendidos, deberá comprender, al menos, lo siguiente:
a)    Los procedimientos de instalación que consideren la colocación de soportes y anclajes, ensamble de la hamaca, colocación de cuerdas o cables de suspensión, cálculo y colocación de contrapesos, entre otros;
b)    Los aspectos fundamentales de la seguridad y revisión del andamio suspendido;
c)    El contenido de las medidas de seguridad establecidas en esta Norma;
d)    El contenido del manual o instructivo que, en su caso, se tenga del fabricante;
e)    Los métodos de revisión de las condiciones de seguridad de los cables y cuerdas de suspensión del andamio;
f)     El uso y prueba de los dispositivos de seguridad que contiene el andamio;
g)    El uso de sistemas restrictivos en los cables de suspensión;
h)    Los procedimientos de operación general del andamio;
i)     El uso correcto del sistema de protección personal para interrumpir caídas de altura;
j)     El uso del equipo de protección personal de acuerdo con los riesgos de la actividad que realice;
k)    La señalización por utilizar para la delimitación del área de trabajo;
l)     Las limitaciones de uso por condiciones climáticas adversas, la proximidad de líneas eléctricas y la capacidad de carga;
m)   La forma segura de ascender y descender de la plataforma de trabajo;
n)    Los métodos seguros para subir o bajar equipos, herramientas y materiales de trabajo del andamio;
o)    Los procedimientos para mover el andamio, como en el caso de los sistemas que emplean monorrieles u otros elementos, y
p)    El contenido y aplicación del plan de atención a emergencias.
16.5 La capacitación y adiestramiento de los trabajadores que laboren en plataformas de elevación, deberá comprender, al menos, lo siguiente:
a)    El uso específico del modelo por utilizar, en su propio lugar de trabajo o en un lugar con condiciones similares;
b)    El contenido del programa de entrenamiento previsto por el fabricante del equipo por utilizar;
c)    Los aspectos fundamentales de la seguridad, operación, funcionamiento y revisión, en concordancia con dicho equipo y los medios de uso previstos;
d)    La evaluación teórica y práctica de los conocimientos y habilidades adquiridos por el evaluado;
e)    El uso correcto del sistema de protección personal para interrumpir caídas de altura, y
f)     El contenido y aplicación del plan de atención a emergencias.
16.6 La información que se proporcione a los trabajadores que utilicen escaleras de mano, deberá comprender, al menos, lo siguiente:
a)    La selección adecuada del tipo de escalera;
b)    Las instrucciones del fabricante, en su caso;
c)    El uso y cuidado de éstas, antes de su empleo;
 
d)    La revisión de las condiciones que guarda la escalera;
e)    Su ensamble y desensamble adecuados;
f)     La transportación, movimiento, ascenso y descenso;
g)    La comprensión absoluta de las condiciones seguras de trabajo y situaciones de riesgo que pueden llegar a presentarse, como el uso con superficies mojadas o resbaladizas o por la presencia de vientos intensos, y
h)    El uso correcto del sistema de protección personal para interrumpir caídas de altura.
17. Unidades de verificación
17.1 El patrón tendrá la opción de contratar una unidad de verificación acreditada y aprobada, en los términos de la Ley Federal sobre Metrología y Normalización y su Reglamento, para verificar el grado de cumplimiento con la presente Norma.
17.2 Las unidades de verificación que evalúen la conformidad con la presente Norma, deberán aplicar los criterios de cumplimiento establecidos en el procedimiento para la evaluación de la conformidad del Capítulo 18 de esta Norma.
17.3 Las unidades de verificación acreditadas y aprobadas que evalúen el cumplimiento de la presente Norma deberán emitir un dictamen, el cual habrá de contener:
a)    Datos del patrón:
1)   El nombre, denominación o razón social;
2)   El domicilio completo, y
3)   El nombre y firma del representante legal, y
b)    Datos de la unidad de verificación:
1)   El nombre, denominación o razón social;
2)   El número de registro otorgado por la entidad de acreditación;
3)   El número de aprobación otorgado por la Secretaría del Trabajo y Previsión Social;
4)   Las fechas en que se otorgó la acreditación y aprobación;
5)   El resultado de la verificación;
6)   El nombre y firma del responsable de emitir el dictamen;
7)   El lugar y fecha de la firma del dictamen, y
8)   La vigencia del dictamen.
17.4 La vigencia de los dictámenes emitidos por las unidades de verificación será de dos años.
18. Procedimiento para la evaluación de la conformidad
18.1 Este procedimiento para la evaluación de la conformidad aplica tanto a las visitas de inspección desarrolladas por la autoridad del trabajo, como a las visitas de verificación que realicen las unidades de verificación.
18.2 El dictamen de verificación vigente, deberá estar a disposición de la autoridad del trabajo cuando ésta lo solicite.
18.3 Los aspectos a verificar durante la evaluación de la conformidad de esta Norma se realizará, según aplique, mediante la constatación física, revisión documental, registros o entrevistas, de conformidad con lo siguiente:
 
Disposición
Tipo de
evaluación
Criterio de aceptación
Observaciones
5.1
Documental
El patrón cumple cuando presenta evidencia documental de que cuenta con un análisis de las condiciones prevalecientes en las áreas en las que se llevan a cabo los trabajos en altura, en forma previa a su realización, a fin de identificar los factores de riesgo existentes.
 
5.2
Documental
El patrón cumple cuando:
Ø   Presenta evidencia documental de que dispone de los instructivos, manuales o procedimientos para la instalación, operación y mantenimiento de los sistemas o equipos utilizados en los trabajos en altura, redactados en idioma español, y
Ø   Dichos instructivos, manuales o procedimientos, están elaborados con base en las instrucciones del fabricante.
 
5.3 y 7.2
Documental
El patrón cumple cuando:
Ø   Presenta evidencia documental de que proporciona autorización por escrito a los trabajadores que realizan trabajos en altura, mediante andamios tipo torre o estructura, andamios suspendidos y plataformas de elevación;
Ø   Demuestra que las autorizaciones por escrito proporcionadas a los trabajadores capacitados se otorgan una vez que se comprueba que se han aplicado las medidas de seguridad requeridas, y
Ø   Las autorizaciones contienen, al menos, la información siguiente:
P    El nombre del trabajador autorizado;
P    El tipo de trabajo por desarrollar y el área o lugar donde se llevará a cabo la actividad;
P    Las medidas de seguridad se aplican conforme al trabajo en altura por realizar y los factores de riesgo identificados en el análisis de las condiciones prevalecientes del área donde se desarrollará éste;
P    La fecha y hora de inicio de las actividades, y el tiempo estimado de duración, y
P    El nombre y firma del patrón o de la persona que designe para otorgar la autorización.
 
5.4, 7.1 y del 7.3 al 7.12
Física
El patrón cumple cuando:
Ø   Demuestra que cumple con las medidas generales de seguridad siguientes, para la ejecución de trabajos en altura:
P    Se colocan en bordes de azoteas, terrazas, miradores, galerías o estructuras fijas elevadas, al igual que en aberturas como perforaciones, pozos, cubos y túneles verticales: barreras fijas o protecciones laterales o perimetrales, o redes de seguridad para protección colectiva contra caídas de altura, de conformidad con lo dispuesto en el Capítulo 13 de esta Norma, entre otros elementos de prevención, o bien se provee a los trabajadores de sistemas personales para trabajos en altura, de acuerdo con lo establecido en el Capítulo 8 de la presente Norma;
P    Se revisa el sistema o equipo antes de ser utilizado, conforme a las instrucciones del fabricante, respecto a posibles desgastes, daños, deterioros, mal funcionamiento u otras anomalías. Los componentes defectuosos son removidos del servicio e identificados para evitar su uso, si su resistencia o funcionamiento se ven afectados. Cualquier componente que se reemplace, se sustituye únicamente por otro original o que esté autorizado por el fabricante en el manual de mantenimiento que éste provea con el sistema;
P    Se supervisa que los trabajos en altura se ejecutan de acuerdo con las medidas generales de seguridad y condiciones de seguridad previstas en los capítulos del 7 al 13 de esta Norma;
P    Se usa para trabajos en altura un sistema de protección personal para interrumpir caídas de altura, de acuerdo con lo establecido en el numeral 8.4 de esta Norma;
P    Se constata que en ningún caso se rebasa la capacidad de carga nominal del sistema o equipo en uso, de acuerdo con el instructivo o manual de operación, conforme a las indicaciones del fabricante;
P    Se consideran los riesgos adicionales generados por la presencia de fuentes de calor -como operaciones de soldadura y corte-, humedad, ácidos, aceite, grasa, polvo, ambientes corrosivos o con temperaturas extremas, entre otros; se evalúa su efecto en el sistema en uso, y se adoptan las medidas preventivas para el personal que realiza trabajos en altura en presencia de altas temperaturas ambientales, tales como hidratación, protección a la piel y/o pausas de trabajo;
 
P    Se consideran los riesgos adicionales generados por la presencia de fuentes de calor -como operaciones de soldadura y corte-, humedad, ácidos, aceite, grasa, polvo, ambientes corrosivos o con temperaturas extremas, entre otros; se evalúa su efecto en el sistema en uso, y se adoptan las medidas preventivas para el personal que realiza trabajos en altura en presencia de altas temperaturas ambientales, tales como hidratación, protección a la piel y/o pausas de trabajo;
P    Se prohíbe el uso de cables metálicos donde existe riesgo eléctrico;
P    Se desenergizan o reubican las líneas eléctricas que se encuentren en el lugar en donde se realizarán los trabajos en altura y que representen riesgo para los trabajadores, conforme a lo dispuesto en la NOM-029-STPS-2005, o las que la sustituyan, o, cuando esto no es posible, se mantienen en todo momento las distancias de seguridad hacia dichas líneas, de conformidad con la Tabla 1 de esta Norma;
P    Se aplican, cuando se trabaja en la proximidad de líneas energizadas, aún cuando se mantengan las distancias de seguridad referidas en el numeral 7.9 de la presente Norma, las medidas de seguridad siguientes:
o    Se toman precauciones para evitar que se llegue a tener contacto accidental con las líneas energizadas, al manipular objetos conductivos largos, tales como varillas, tubos, cables, herramientas, entre otros;
o    Se colocan protecciones como cintas o mantas aislantes en las líneas eléctricas acordes con la tensión que en ellas se maneje, por parte de personal capacitado en el manejo de líneas eléctricas energizadas, y
o    Se utiliza equipo de protección personal, consistente al menos en casco con barboquejo, calzado y guantes dieléctricos, conforme a la tensión eléctrica de las líneas energizadas;
P    Se protegen las cuerdas o cables cuando pasen por bordes o aristas filosas, o por superficies ásperas, que puedan tener un efecto cortante o un desgaste excesivo por fricción, con materiales que eviten estos riesgos, y
P    Se delimita la zona o área a nivel de piso en la que se realizará el trabajo en altura, mediante su acordonamiento y señalización, esta última con base en lo establecido en la NOM-026-STPS-2008, o las que la sustituyan, a fin de evitar que permanezcan o transiten personas
P    Se delimita la zona o área a nivel de piso en la que se realizará el trabajo en altura, mediante su acordonamiento y señalización, esta última con base en lo establecido en la NOM-026-STPS-2008, o las que la sustituyan, a fin de evitar que permanezcan o transiten personas por dicha zona o área.
5.4 y del 8.1 al 8.3
Física
El patrón cumple cuando:
Ø   Demuestra que cumple con las siguientes condiciones de seguridad para la ejecución de trabajos en altura, con el uso de sistemas personales para trabajos en altura:
P    Se supervisa, en todo momento, al realizar trabajos en altura, que el sistema personal para trabajos en altura se usa conforme a lo establecido en las instrucciones del fabricante;
P    Se verifica que los sistemas personales y sus subsistemas y componentes, en su caso, cuentan con la contraseña oficial de un organismo de certificación, acreditado y aprobado en los términos de la Ley Federal sobre Metrología y Normalización, que certifique su cumplimiento con las normas oficiales mexicanas o, a falta de éstas, con las normas mexicanas que correspondan;
P    Se utilizan únicamente los sistemas de restricción para limitar la distancia de desplazamiento del trabajador hacia cualquier borde peligroso donde pueda ocurrir una caída. Este tipo de sistemas no son utilizados para detención de caídas;
P    Se limita la distancia de acercamiento a la zona de riesgo de caída (bordes) en el uso de los sistemas de restricción, a no menos de 1.20 m. Para tal efecto, se emplea un arnés de cuerpo completo o cinturón de seguridad, conectado a través de una línea de vida a un punto o dispositivo fijo que limite la proximidad del trabajador a dicha zona, y
P    Se cumple en los sistemas de posicionamiento y de ascenso/descenso controlado, según aplique, con lo siguiente:
o    Se utilizan los sistemas de posicionamiento únicamente para mantener al usuario en posición en su punto de trabajo. Este tipo de sistemas no se emplea para detención de caídas;
o    Se emplea un elemento de sujeción del trabajador al dispositivo de ascenso/descenso controlado, como una cuerda, banda o conector, para permitir realizar el trabajo en forma estable con ambas manos libres;
o    Se utiliza cinturón porta-herramientas para la sujeción segura de las herramientas y otros artículos de trabajo, y evitar así su caída accidental, y
o    Se usan, según aplique, bandas o cuerdas de sujeción de herramientas, las cuales suelen atarse a su vez a una muñequera o cinturón, para evitar que la herramienta llegue a caer si se soltara accidentalmente mientras es utilizada.
 
5.4 y 9
Física
El patrón cumple cuando:
Ø   Demuestra que cumple con las siguientes condiciones de seguridad para la ejecución de trabajos en altura, con el uso de andamios tipo torre o estructura:
P    Se instala y ensambla el andamio mediante el procedimiento que para tales fines se haya elaborado, de conformidad con las instrucciones del fabricante, y únicamente por personal capacitado y autorizado por el patrón para este fin;
P    Se prueba que el andamio y sus componentes resisten al menos cuatro veces la máxima carga a que son sometidos, considerando el peso del personal, materiales y herramientas a utilizar;
P    Se instala el andamio sobre:
o    Sus bases, para conferir una mayor estabilidad, o sobre ruedas que cuenten con un mecanismo de bloqueo, mismo que será liberado únicamente cuando el andamio deba moverse para su reubicación;
o    Planos firmes, estables y de suficiente resistencia, de manera que se evite cualquier posible falla, ruptura, hundimiento o desplazamiento accidental, y
o    Superficies niveladas, y cuando éstas no lo están, se emplean los medios de aplomado, estabilización y nivelación indicados por el fabricante;
P    Se dispone en el andamio de una escalera u otro medio similar de acceso seguro, mismos que:
o    Están ubicados dentro del cuerpo del andamio o forman parte del mismo sin afectar su estabilidad;
o    Tienen un ancho mínimo de 40 cm;
o    Están extendidos 90 cm sobre el piso y asegurados contra cualquier flexión o movimientos laterales, cuando son móviles;
o    Son continuos y no utilizan dispositivos improvisados para aumentar su altura, y
o    Cuentan con una plataforma de descanso ubicada a intervalos que no exceden los 6 m;
P    Se proveen con barandales de al menos 90 cm de altura y baranda intermedia en los lados abiertos y en los extremos, cuando están a 1.8 m o más sobre el piso o desde el nivel inferior;
P    Se cuenta con rodapié con una altura mínima de 15 cm al ras de la plataforma;
 
P    Se cuenta con rodapié con una altura mínima de 15 cm al ras de la plataforma;
P    Se emplean plataformas soporte, que cumplen con lo siguiente:
o    Presentan condiciones de seguridad y operación, sin grietas, fisuras, nudos, u otros defectos o daños que comprometan la seguridad en su uso;
o    Disponen de tablones o unidades completos, con un ancho mínimo de 45 cm, que abarcan todo el espacio del andamio. Cuando existen espacios entre los tablones o unidades, éstos no son mayores a 2.5 cm;
o    Tienen los tablones un espesor de al menos 5 cm, en su caso, y están reforzados mediante un marco metálico y travesaños de forma que se incremente su resistencia y confiabilidad, y
o    Cuentan con medios que las inmovilicen, para evitar que puedan desplazarse o moverse accidentalmente de cualquier forma. Si el elemento de inmovilización consiste sólo en topes para evitar que el tablón se recorra, éste sobresale del andamio al menos 10 cm;
P    Se constata que carezcan de abolladuras, grietas, deformaciones u oxidaciones en sus tubos y otros elementos metálicos;
P    Se cuenta con roscas de tuercas y tornillos, abrazaderas y pasadores de seguridad en condiciones de seguridad y operación, y no usan clavos, varillas o alambre como sustitutos;
P    Se revisa el andamio antes de cada uso y después de algún incidente, para comprobar las condiciones de seguridad y operación de cada uno de sus componentes, y se reemplazan o reparan aquéllos que presenten algún tipo de daño o deterioro, por personal capacitado;
P    Se prohíbe que los trabajadores permanezcan sobre los andamios móviles cuando están siendo reubicados, y se cuenta con precauciones especiales para mantener el andamio estabilizado cuando éste se mueva;
P    Se evita la realización de actividades por encima del andamio que expongan a los trabajadores a posibles caídas de objetos, o se colocan protecciones contra este riesgo y se utiliza casco de protección;
P    Se evita que los andamios sean ensamblados, utilizados o movidos de tal forma que éstos, o cualquier material conductivo en ellos, pueda
P    Se evita que los andamios sean ensamblados, utilizados o movidos de tal forma que éstos, o cualquier material conductivo en ellos, pueda tener contacto con líneas eléctricas energizadas. Cuando se requiera trabajar en la proximidad de tales líneas, se observa lo establecido en el numeral 7.9 de la presente Norma;
P    Se constata que la relación del lado menor de la base del andamio respecto a la altura máxima no sea mayor de 1:4;
P    Se sujeta el andamio a cada 4 m de altura, en los casos en que no sea posible cumplir con la relación base-altura establecida en la viñeta anterior;
P    Se evita la utilización de escaleras tipo caballete como soporte para colocar tablones empleados como andamios;
P    Se evita cualquier alteración en los andamios que pueda afectar la seguridad en su uso. Toda modificación en el diseño, instalación, operación o mantenimiento es avalada por escrito por el fabricante y autorizada por el patrón;
P    Se mantiene la superficie de la plataforma soporte del andamio libre de productos químicos agresivos, y de sustancias como soluciones jabonosas, aceite, grasas, pintura, barro u otras que puedan hacerla resbaladiza o generar cualquier otro tipo de riesgo a los trabajadores;
P    Se mantiene una altura libre mínima de 2.5 m en vías peatonales. En los pasos vehiculares, la altura libre es de al menos 4.5 m y el andamio se mantiene alejado del paso vehicular al menos 80 cm;
P    Se mantiene una distancia mínima de 60 cm desde el área de tránsito al andamio, y de 90 cm en lugares en donde haya depósito de materiales;
P    Se ubica el andamio de tal manera que no interfiera con alarmas de incendios, cajas de instalaciones eléctricas o hidrantes, entre otros, en caso de que no sea posible realizar las adecuaciones necesarias al andamio para que dichos elementos continúen cumpliendo con su función, y
P    Se coloca una tarjeta que indica la condición del mismo, la cual:
o    Está en un lugar visible de su acceso;
o    Se adhiere de tal forma que se impide su remoción accidental, y
o    Se adhiere de tal forma que se impide su remoción accidental, y
o    Cuenta con la fecha y nombre de quien revisó el andamio.
5.4 y 10
Física
El patrón cumple cuando:
Ø   Demuestra que cumple durante la instalación de los andamios suspendidos, con las condiciones de seguridad siguientes para la ejecución de trabajos en altura:
P    Se instala y ensambla el andamio mediante el procedimiento que para tales fines se haya elaborado, siguiendo las instrucciones del fabricante, y únicamente por personal capacitado y autorizado por el patrón para este fin;
P    Se instalan los contrapesos específicos para cada caso, cuando se usan vigas de suspensión. La determinación de la masa del contrapeso considera un factor de seguridad mínimo de 4, respecto a la suma de la capacidad nominal de todos los malacates del andamio suspendido, mediante la ecuación 1 de la presente Norma;
P    Se utilizan contrapesos de piezas sólidas y no de materiales granulados o líquidos;
P    Se evita que la ubicación y puntos de anclaje del andamio suspendido constituyan un factor de riesgo;
P    Se instala la hamaca o plataforma del andamio suspendido a nivel del suelo o desde el sitio de suspensión. En el caso de puentes y lugares en donde el nivel del suelo es inaccesible, los soportes de suspensión están diseñados para facilitar la instalación;
P    Se indica la capacidad de carga en un lugar visible del equipo, en kilogramos, si es menor a 1 000 kg, o en toneladas, si su capacidad es igual o mayor a dicho peso;
P    Se sujetan los cables de suspensión y de seguridad, a un soporte de suspensión específico para el tipo y peso del andamio suspendido, incluyendo su capacidad máxima de carga;
P    Se verifica que en su trayecto los cables de suspensión y de seguridad no queden en contacto con superficies cortantes, calientes o con cables de alta tensión;
P    Se emplean sistemas restrictivos en los cables de suspensión cada 15 m de altura;
P    Se descienden los cables de suspensión y de seguridad, en forma vertical desde el soporte de suspensión hasta el malacate, sin que se doblen en cornisas, pretiles o similares, ni se apoyen en estructuras que presenten equilibrio inestable;
P    Se cuenta con barandales en todo el perímetro de su plataforma de, al menos, 90 cm, con
 
P    Se cuenta con barandales en todo el perímetro de su plataforma de, al menos, 90 cm, con malla o barandas dispuestas de tal manera que no existan claros de más de 900 cm2;
P    Se cuenta con rodapiés en todo el perímetro de su plataforma, de al menos 9 cm, medidos desde el piso de la plataforma hasta su borde superior. Los rodapiés no tienen ninguna abertura mayor a 2.5 cm, para contener la caída de cualquier material que ruede sobre el piso de la plataforma, y
P    Se constata que los mástiles portátiles o cualquiera de sus componentes pesen menos de 36 kg. En caso de que se rebase este peso, se cuenta con una carretilla de traslación o ruedas que les permitan moverse y cambiar de posición;
Ø   Demuestra que cumple durante la operación de los andamios suspendidos, con las condiciones de seguridad siguientes para la ejecución de trabajos en altura:
P    Se usan malacates motorizados en los trabajos que impliquen desplazamientos mayores de 40 m de altura. En chimeneas y sitios con alto grado de explosividad, se permite el uso de malacates manuales, independientemente de la altura;
P    Se operan los andamios suspendidos únicamente con trabajadores capacitados y autorizados por el patrón, conforme a las instrucciones del manual y las recomendaciones del fabricante;
P    Se constata que antes de iniciar cada turno de trabajo, el operador:
o    Verifica que el soporte de suspensión y el andamio se encuentran en condiciones seguras de operación, que no existen obstáculos que interfieran en su desplazamiento, y que todos los tornillos y tuercas están correctamente apretados, y
o    Prueba los malacates con sus dispositivos de seguridad, tanto en el ascenso como en el descenso, a una altura inferior a los 3 m;
P    Se prohíbe que se anulen, interfieran o desconecten los dispositivos de seguridad;
P    Se proporciona a todo el personal que haga uso del andamio suspendido, al menos el equipo de protección personal siguiente:
o    Casco con barboquejo;
o    Calzado antiderrapante y resistente a los materiales a que estará expuesto, y
o    Sistema de protección personal para interrumpir caídas de altura conectado a
o    Sistema de protección personal para interrumpir caídas de altura conectado a los puntos de anclaje de la plataforma diseñados para ello. En el caso de que el andamio no cuente con cables de seguridad, la línea de vida del sistema de detención se une a un punto de anclaje situado por encima e independiente del andamio suspendido;
P    Se verifica que ningún objeto sobresalga de la plataforma antes de iniciar cualquier movimiento del andamio suspendido;
P    Se coloca la herramienta, equipo o material en contenedores antes de iniciar el movimiento vertical de un andamio suspendido. Durante el movimiento del equipo no se permite que los trabajadores sostengan objetos en sus manos;
P    Se efectúa el suministro o retiro de herramientas o materiales al o del andamio suspendido, de forma tal que no se sobrecargue ninguno de los soportes de éste ni se afecte su estado de equilibrio e inmovilidad;
P    Se establecen y aplican procedimientos de seguridad para evitar que las herramientas o materiales se balanceen durante el trayecto;
P    Se efectúa el acceso o salida en puntos seguros por un solo trabajador a la vez. Para realizar estas acciones, el andamio se inmoviliza, mediante su amarre o sujeción a una estructura fija. Se consideran puntos seguros, aquéllos que se encuentren a una distancia no mayor de 50 cm del nivel del piso, del nivel de la azotea o del nivel del piso de los niveles intermedios;
P    Se levantan o bajan los andamios suspendidos de manera que su plataforma no tenga una inclinación mayor a 20% (11grados) con la horizontal;
P    Se estabilizan los cables suspendidos que no se encuentren bajo ninguna tensión, cuando su longitud excede los 61 m;
P    Se revisan periódicamente los rieles de traslación de los andamios suspendidos, de acuerdo con lo señalado por el fabricante para garantizar su seguridad y correcto funcionamiento;
P    Se corrobora que bajo ninguna circunstancia se permite:
o    El ascenso y descenso de los trabajadores por los cables de suspensión;
o    Se sobrepase la capacidad máxima de carga establecida por el fabricante;
o    Se sobrepase la capacidad máxima de carga establecida por el fabricante;
o    Se exceda la velocidad de ascenso y descenso de los andamios suspendidos motorizados de 0.3 m/s, en el caso de malacates motorizados de una sola velocidad, o de 0.4 m/s, tratándose de andamios con múltiples velocidades;
o    Se desplacen los soportes de suspensión, cuando se encuentren trabajadores sobre los andamios suspendidos;
o    Se utilicen los andamios suspendidos como elevadores de carga o desplazarlos en forma horizontal, si se encuentra algún trabajador en él, salvo que el manual de operación así lo permita;
o    Se acumulen herramientas o materiales en los andamios suspendidos en cantidad tal que representen un riesgo por sobrepeso, por caída o por generar dificultades para realizar la actividad;
o    Se labore o permanezca en el andamio suspendido cuando existan tormentas eléctricas, vientos fuertes o lluvia, y
o    Se empleen andamios suspendidos con cuerdas o cables de fibra, cuando se trabaje con sustancias corrosivas o con equipos de flama abierta que generen chispas o calor excesivo;
P    Se retiran las herramientas o materiales del andamio suspendido y se posiciona éste sobre el piso al concluir el turno de trabajo, a excepción de instalaciones en puentes y otras similares donde el nivel del suelo sea inaccesible;
P    Se pone la plataforma en la posición de "fuera de servicio", se desconecta el interruptor y la fuente de energía o los medios mecánicos colocando bloqueos, para evitar el uso no autorizado, cuando el operario concluya su trabajo, y
P    Se amarra o asegura al edificio, estructura o instalación, el andamio suspendido cuando se encuentre fuera de operación, de tal forma que su movimiento no sea causa de riesgo, y
Ø   Demuestra que cumple durante el mantenimiento de los andamios suspendidos, con las condiciones de seguridad siguientes para la ejecución de trabajos en altura:
P    Se realizan las labores de mantenimiento a los andamios suspendidos únicamente con trabajadores capacitados y autorizados por el patrón;
P    Se establece y aplica un procedimiento para el
P    Se establece y aplica un procedimiento para el bloqueo de energía, de conformidad con lo dispuesto en la NOM-004-STPS-1999, o las que la sustituyan;
P    Se condiciona cualquier alteración al andamio suspendido en su diseño original, instalación, operación o mantenimiento, que pueda afectar la seguridad en su uso, al aval por escrito del fabricante y a la autorización del patrón, en cuyo caso se proporcione a los trabajadores la información necesaria para que puedan operarlo en condiciones seguras;
P    Se revisa periódicamente el malacate y los dispositivos de seguridad, de acuerdo con las indicaciones del fabricante;
P    Se prevé en el manual de mantenimiento de los malacates, las instrucciones para reemplazar el cable, cuando se presenten condiciones que lo hagan inseguro, entre otras:
o    La existencia de doce alambres rotos de manera aleatoria en un mismo cable;
o    El desgaste de los alambres individuales exteriores, en más de un tercio del diámetro original;
o    La evidencia de daño por calor, desgaste, quemaduras por flama, o corrosión, y
o    La formación de ondas o de una torsión no balanceada del cable;
P    Se limpia, al término del mantenimiento, la plataforma de los andamios suspendidos, sobre todo cuando se hayan utilizado productos químicos agresivos, y se deja libre de sustancias como soluciones jabonosas, aceite, grasas, pintura, barro u otras que puedan hacerla resbaladiza o generen cualquier otro tipo de riesgo a los trabajadores, y
P    Se verifica que el andamio suspendido está correctamente instalado y en condiciones de funcionamiento seguro, al concluir su mantenimiento.
5.4 y 11
 
Documental
El patrón cumple cuando:
Ø   Presenta evidencia documental de que cuenta con los manuales para la operación, revisión y mantenimiento de las plataformas de elevación, en idioma español, y
 
 
Física
Ø   Demuestra que cumple con las condiciones de seguridad siguientes para la ejecución de trabajos en altura, con el uso de plataformas de elevación:
P    Se tienen disponibles los manuales para la operación, revisión y mantenimiento;
P    Se cuenta en las plataformas de elevación con los componentes que a continuación se indican:
o    Canastilla o plataforma de trabajo, integrada al equipo, la cual contiene una protección lateral con una altura mínima de 90 cm. No se utilizan cuerdas, cables, cadenas o cualquier otro material flexible para sustituir la canastilla;
o    Dispositivos de seguridad para asegurar su nivelación o estabilizadores en el sitio de trabajo, de acuerdo con las especificaciones del fabricante;
o    Panel de control de piso y en canastilla, con dispositivos que permitan a los trabajadores bajar la plataforma hasta el suelo en caso de emergencia;
o    Sistema automático de alarma sonora, para indicar el ascenso, descenso, tracción -desplazamiento delantero o trasero-, y cualquier otro tipo de movimiento -elevación y movimiento del brazo telescópico-, de la plataforma;
o    Dispositivo de anclaje, para conexión del sistema de protección personal para interrumpir caídas de altura -arnés, línea de vida, absorbedor de energía, entre otros-, integrado a la canastilla de la plataforma o brazo, y
o    Limitador de velocidad de desplazamiento, con el brazo extendido;
P    Se realiza una revisión visual y prueba funcional de la plataforma de elevación, al inicio de cada jornada, para verificar el buen funcionamiento de los siguientes elementos:
o    Controles de operación y de emergencia;
o    Dispositivos de seguridad de los equipos;
o    Disponibilidad del equipo de protección individual contra caídas;
o    Sistemas neumáticos, hidráulicos, eléctricos y de combustión, según aplique;
o    Señales de alerta y control;
o    Integridad y legibilidad de las calcomanías;
o    Estado físico que guardan los estabilizadores, ejes expansibles y estructura en general, y
o    Cualquier otro elemento especificado por el fabricante;
P    Se verifica al inicio de cada jornada, que no existan en la plataforma de elevación:
o    Evidencias de soldaduras deterioradas u otros defectos estructurales;
 
o    Evidencias de soldaduras deterioradas u otros defectos estructurales;
o    Escapes de circuitos hidráulicos;
o    Daños en cables;
o    Mal estado de conexiones eléctricas;
o    Condiciones anómalas en ruedas, neumáticos, frenos y baterías, y
o    Residuos de productos químicos agresivos y de sustancias como soluciones jabonosas, aceite, grasas, pintura, barro u otras que puedan hacer resbaladiza la superficie de la plataforma o generar cualquier otro tipo de riesgo a los trabajadores;
P    Durante la operación de las plataformas de elevación se cumple con lo siguiente:
o    Se efectúa una revisión del lugar de trabajo en el que se utilizará la plataforma antes de cada uso;
o    Se verifica antes de emplear la plataforma, que:
·  Los medios para mantener la estabilidad, se utilizan de acuerdo con las indicaciones del fabricante;
·  La carga máxima no excede la capacidad nominal, determinada por el fabricante, de acuerdo con las configuraciones posibles del equipo, y
·  Los trabajadores que laboran en la canastilla o plataforma de trabajo utilizan los sistemas de protección personal contra caídas, anclados a los dispositivos previstos e instalados dentro de la propia plataforma, así como para otros riesgos a los que se encuentren expuestos por la naturaleza de las actividades por desarrollar, o del lugar en que éstas se realizarán;
o    Se mantiene antes y durante la manipulación de la plataforma:
·  Una visión clara del camino y área por recorrer;
·  La distancia segura de los obstáculos, depresiones o hundimientos naturales o accidentales en un terreno o superficie, rampas y otros factores de riesgo, que estén especificados en el proyecto de trabajo, y
·  Las distancias mínimas hacia obstáculos aéreos y líneas eléctricas energizadas, especificadas en el proyecto de trabajo u orden de servicio;
·  Las distancias mínimas hacia obstáculos aéreos y líneas eléctricas energizadas, especificadas en el proyecto de trabajo u orden de servicio;
o    Se limita la velocidad de desplazamiento de la plataforma, tomando en cuenta:
·  Las condiciones de la superficie;
·  El tráfico;
·  La visibilidad;
·  La presencia de pendientes;
·  La ubicación del personal, y
·  Otros factores de riesgo;
o    Se evita que se mueva la plataforma de elevación, en las rampas con especificaciones diferentes a las establecidas por el fabricante;
o    Se baja o cierra, siempre, el barandal o puerta de acceso a la canastilla o plataforma de trabajo, antes de operar el equipo;
o    Se mantiene dentro de la canastilla o plataforma de trabajo a los trabajadores ocupantes de las plataformas elevadas durante la realización de las labores;
o    Se prohíbe que los trabajadores ocupantes de las plataformas elevadas se sienten, paren o suban en los barandales de protección;
o    Se comprueba, durante el uso de la plataforma, la zona de operación de los equipos, para asegurarse que:
·  La zona de operaciones está de acuerdo con las condiciones especificadas por el fabricante;
·  Las condiciones meteorológicas existentes, no implican la necesidad de detener las actividades;
·  Las personas que se encuentran en el lugar cuentan con la autorización correspondiente, y
·  El plan de trabajo contiene el análisis de las condiciones de seguridad para realizar el trabajo, con el detalle de los factores de riesgo existentes;
o    Se evita en la operación de las plataformas, lo siguiente:
·  Que se coloquen sobre superficies u objetos frágiles o inestables;
·  Que se operen en terrenos desnivelados o inestables fuera de las especificaciones del fabricante;
·  Que se usen como grúas de carga;
·  Que se usen como grúas de carga;
·  Que se coloquen o recarguen escaleras o andamios contra la plataforma;
·  Que se operen cuando se encuentren en camiones, remolques, automóviles u otros vehículos;
·  Que se utilicen tablones, escaleras de mano u otros elementos similares destinados a lograr una mayor altura o distancia en la plataforma;
·  Que se sujeten la plataforma o los trabajadores ocupantes a estructuras fijas;
·  Que se adicionen anuncios u otros elementos similares de gran tamaño que puedan aumentar la carga debida al viento sobre la plataforma, y
·  Que se usen con motores de combustión interna en interiores, salvo que cuenten con ventilación para evitar la acumulación de humos y gases tóxicos;
o    Se retira inmediatamente del servicio y se señaliza la plataforma, cuando se detectan fallas en su funcionamiento, a efecto de evitar su utilización hasta que se realice el mantenimiento requerido;
o    Se verifica antes de bajar o mover la plataforma de trabajo, que no existan personas, equipos u obstáculos en zonas adyacentes;
o    Se efectúan las maniobras de ascenso, descenso y movimiento de la plataforma siempre con la asistencia y supervisión de al menos un segundo trabajador, para advertir al operador de cualquier condición de riesgo, entre otras:
·  La presencia de trabajadores u otras personas en la parte inferior de la plataforma;
·  La aproximación a obstáculos o líneas energizadas, y
·  La existencia de topes, aberturas, depresiones o hundimientos en la superficie de rodamiento de la plataforma;
o    Se estaciona la base de la plataforma elevada, apagada y protegida contra accionamiento no autorizado, cuando se encuentra fuera de servicio, y
o    Se recargan las baterías en un espacio ventilado, donde no exista riesgo de
o    Se recargan las baterías en un espacio ventilado, donde no exista riesgo de incendio o explosión.
5.4 y 12
Física
El patrón cumple cuando:
Ø   Demuestra que en el uso de escaleras de mano, se cumple con las condiciones de seguridad siguientes:
P    Las escaleras de mano son revisadas antes de cada uso. Aquellas que tengan defectos que puedan afectar su uso seguro, son retiradas del servicio inmediatamente y marcadas con la leyenda "Peligrosa. No utilizar." u otra similar, y se procede a su reparación, desecho o destrucción;
P    Las reparaciones mayores son realizadas por personal capacitado;
P    Las escaleras de mano:
o    Se almacenan en lugares donde no están expuestas a elementos de intemperie que puedan dañarlas, como sol y lluvia;
o    Permanecen libres de grasa o aceite en sus peldaños;
o    Se pintan con un material transparente que no pueda ocultar los defectos o daños presentes, cuando son fabricadas de madera;
o    Se colocan de manera que la distancia horizontal, desde el pie de la escalera hasta el punto de apoyo -sobre su vertical-, es de una cuarta parte de la longitud de la escalera hasta dicho punto de apoyo;
o    Se extienden al menos 90 cm sobre el punto de apoyo en el borde de la superficie a la que se accede, cuando se utilizan para subir a una azotea u otra superficie elevada similar, y
o    Están equipadas con bases antiderrapantes. Las secciones media y superior no se usan como sección inferior, a menos que estén igualmente equipadas con bases antiderrapantes. El uso de estas bases no sustituye a las medidas de seguridad previstas para colocar, atar o sujetar una escalera;
P    Se prohíbe que las escaleras de mano:
o    Se almacenen cerca de radiadores, estufas, tuberías de vapor, o en otros lugares donde se sometan a calor o humedad excesivos, cuando son fabricadas de madera;
o    Se sometan a una carga que exceda la máxima establecida por el fabricante;
o    Se coloquen sobre cajas, tambos u otras bases inestables para alcanzar alturas mayores, ni en superficies inclinadas, a menos que estén equipadas con algún sistema específicamente diseñado para este tipo de superficies;
 
o    Se coloquen sobre cajas, tambos u otras bases inestables para alcanzar alturas mayores, ni en superficies inclinadas, a menos que estén equipadas con algún sistema específicamente diseñado para este tipo de superficies;
o    Se usen simultáneamente por más de una persona, a menos que estén específicamente diseñadas para ese uso;
o    Se utilicen como plataformas, tarimas o para cualquier otro propósito para el que no fueron diseñadas, y
o    Sean improvisadas con elementos que permitan alcanzar una altura adicional a la de la escalera, y
P    Se cumple con las condiciones de seguridad siguientes al realizar trabajos en altura, empleando una escalera de mano:
o    Se revisa visualmente, en forma previa a su utilización, el área donde será empleada la escalera, a efecto de asegurarse que no existan condiciones de riesgo;
o    Se cierran con llave, se bloquean o vigilan permanentemente las puertas, cuando se coloca frente a ellas una escalera de mano;
o    Se asciende o desciende de frente a la escalera de mano;
o    Permanece el operario frente a ella mientras se realiza el trabajo, sin que el centro del trabajador sobrepase los rieles laterales de ésta. Se evita sobre-extenderse para alcanzar algún punto, zona u objeto, de forma que se ponga en riesgo la estabilidad;
o    Se prohíbe al usuario pararse por arriba del antepenúltimo peldaño, mientras se trabaje en una escalera de mano;
o    Se utiliza calzado con suela antiderrapante para la realización de trabajos sobre las escaleras de mano;
o    Se sostiene en todo momento la escalera de mano, desde su parte inferior con ambas manos, por parte de una segunda persona, durante el ascenso o descenso de más de 5 m de altura;
o    Se sujeta tanto la parte inferior como superior, cuando se trabaja sobre una escalera de mano. La superficie donde descansa el extremo superior de la escalera es rígida y tiene suficiente resistencia para la carga aplicada, y
o    Se prohíbe el uso de escaleras metálicas
o    Se prohíbe el uso de escaleras metálicas en lugares donde puedan entrar en contacto con líneas eléctricas energizadas.
5.4 y 13
Física
El patrón cumple cuando:
Ø   Demuestra que en el uso de redes de seguridad, se cumple con las condiciones de seguridad siguientes:
P    Se extienden por lo menos 2.5 m hacia afuera del borde de la superficie de trabajo y se instalan lo más cerca posible bajo la superficie que se requiere proteger, pero en ningún caso a más de 6 m por debajo de ésta;
P    Se complementa la red de seguridad con redes de cubierta ligera para proteger al personal que trabaje en niveles inferiores de la caída de materiales y escombros;
P    Se instalan de acuerdo con las especificaciones del fabricante;
P    Están provistas de una cuerda perimetral de alta resistencia y cuerdas de sujeción en orillas y extremos para el anclaje a estructuras fijas, y
P    Están sujetas a control y mantenimiento.
 
5.5
Física
El patrón cumple cuando demuestra que supervisa el cumplimiento de las medidas de seguridad dispuestas en los instructivos, manuales o procedimientos para la instalación, operación y mantenimiento de los sistemas o equipos utilizados en los trabajos en altura, así como con las medidas generales de seguridad y condiciones de seguridad establecidas en esta Norma.
 
5.6 y 7.13
 
Física
El patrón cumple cuando:
Ø   Demuestra que evita o interrumpe las actividades en altura cuando se detectan condiciones inseguras en los sistemas o equipos utilizados para estos trabajos, o cuando existan condiciones climáticas que pongan en riesgo a los trabajadores, y
 
 
Entrevista
Ø   Al entrevistar a los trabajadores seleccionados de acuerdo con el criterio muestral de la Tabla 2 del numeral 18.5, se constata que el patrón evita o interrumpe las actividades en altura cuando se detectan condiciones inseguras en los sistemas o equipos utilizados para estos trabajos, o cuando existan condiciones climáticas que pongan en riesgo a los trabajadores.
 
5.7 y 7.14
Documental
El patrón cumple cuando presenta evidencia documental de que:
Ø   Establece y aplica un programa de revisión y mantenimiento a los sistemas o equipos utilizados para la realización de trabajos en altura, de conformidad con las indicaciones del fabricante, y
Ø   El programa de revisión y mantenimiento a los sistemas o equipos cumple con lo siguiente:
P    La periodicidad de las revisiones es la indicada por el fabricante sin que ésta exceda de un año;
P    La revisión es realizada por personal capacitado y adiestrado para tal fin;
P    Las revisiones son programadas con mayor frecuencia en el caso de que los sistemas o equipos sean utilizados en ambientes con condiciones extremas o perjudiciales para éstos.
El resultado de la revisión anual a los sistemas o equipos se puede conocer en el registro a que se refiere el numeral 7.15.
La capacitación de los trabajadores encargados de efectuar la revisión anual a los sistemas o equipos, se comprueba mediante las constancias de habilidades laborales que se les hayan otorgado como resultado de haber concluido satisfactoriamente dicha capacitación. Adicionalmente, se cuenta con la autorización por escrito firmada por el patrón o por la persona que éste designe.
5.8 y 7.15
Registros
El patrón cumple cuando presenta evidencia documental de que:
Ø   Lleva el registro de las revisiones y del mantenimiento preventivo y correctivo que se practiquen a los sistemas o equipos utilizados para la realización de trabajos en altura;
Ø   El registro de las revisiones y mantenimiento efectuados a los sistemas o equipos, se conserva al menos durante un año, y
Ø   Lleva el registro de las revisiones y del mantenimiento realizados a los sistemas o equipos, en el que al menos se consigna lo siguiente:
P    Los datos generales del sistema o equipo como marca, modelo y número de serie u otra identificación individual de éste;
P    Las fechas de las revisiones y acciones de mantenimiento;
P    Las observaciones que resulten de las revisiones efectuadas al sistema o equipo;
P    Las acciones preventivas y correctivas realizadas, como reparaciones, reemplazos, retiro del servicio, destrucción, entre otras;
P    La identificación del trabajador o trabajadores responsables de la reparación, y
P    El señalamiento de los responsables de la liberación para su uso.
 
5.9 y 8.4
Física
El patrón cumple cuando:
Ø   Demuestra que provee a los trabajadores que desarrollen trabajos en altura, al menos de un sistema de protección personal para interrumpir caídas de altura, de conformidad con lo establecido en el numeral 8.4 de esta Norma, así como del equipo de protección personal a que se refieren los capítulos del 7 al 13 de la misma, o del que se requiera con base en los factores de riesgo identificados en el análisis de las condiciones prevalecientes del área, de acuerdo con lo dispuesto por la NOM-017-STPS-2008, o las que la sustituyan;
Ø   El uso de sistemas de protección personal para interrumpir caídas de altura, es obligatorio cuando se realizan trabajos en altura sobre:
P    Bordes de azoteas, terrazas, miradores, galerías o estructuras fijas elevadas, al igual que en aberturas como perforaciones, pozos, cubos y túneles verticales, donde no sea posible la colocación de barreras fijas o protecciones laterales o perimetrales, o no se emplean sistemas personales de restricción;
P    Estructuras fijas elevadas donde no sea posible la colocación de redes de seguridad;
P    Andamios tipo torre o estructura, a más de 3.5 m;
P    Andamios suspendidos o plataformas de elevación, y
P    Escaleras de mano, a más de 3.5 m del nivel de referencia;
Ø   Los sistemas de protección personal empleados para interrumpir caídas de altura, según aplique al sistema en uso, constan al menos de:
P    Arnés de cuerpo completo;
P    Línea de vida;
P    Conectores;
P    Dispositivos absorbedores de energía, y
P    Puntos o dispositivos de anclaje;
Ø   Al emplear sistemas personales para interrumpir caídas de altura:
P    Se instala y ensambla el sistema conforme al procedimiento que para tales fines se haya elaborado, de acuerdo con las instrucciones del fabricante, y únicamente por personal capacitado y autorizado por el patrón para este fin;
P    Se limita la distancia de caída a la mínima posible;
P    Se coloca el punto de anclaje de acuerdo con las indicaciones del fabricante, el cual no se ubica por debajo del plano de trabajo. Un punto de anclaje puede ser una columna, trabe, viga u otro elemento estructural en un edificio; un herraje que se fija a cualquiera de estos elementos, o bien, un dispositivo integrado a una canastilla, brazo o plataforma de trabajo, en un andamio suspendido o plataforma de elevación;
P    Se limita la masa total -masa del trabajador
 
 
 
 
 
 
 
 
 
 
Este numeral se refiere a una acción común que no requiere de un procedimiento especial. Mediante un jalón se verifica que se accione dicho dispositivo, es decir se bloquee o cierre. Esta acción se exige normalmente por los fabricantes como medida de seguridad.
P    Se limita la masa total -masa del trabajador más herramientas-, a la especificada por el fabricante del sistema en uso;
P    Se seleccionan o implantan puntos o dispositivos de anclaje, respectivamente, que soporten la fuerza de detención generada durante una caída. El punto o dispositivo de anclaje nunca se selecciona por debajo del nivel de sustentación del trabajador;
P    Se asegura que existe un espacio libre en el trayecto de una posible caída, para evitar que el trabajador se golpeé con obstáculos;
P    Se revisan, previo a la utilización del sistema, y conforme a las instrucciones del fabricante, al menos los aspectos siguientes:
o    Que no exista corrosión u otro tipo de degradación de los materiales en sus partes metálicas;
o    Que no existan deformaciones, agrietamientos, ruptura u otros daños similares en las hebillas, anillos, ganchos, mosquetones y carabineros;
o    Que la apertura, cierre y bloqueo de todos los conectores se realice en forma correcta;
o    Que no existan en las cuerdas, bandas y cables, rupturas, deshilados, destrenzados, descosidos, desgastes, doblados, corrosiones o quemaduras, y
o    Que las etiquetas y marcas estén legibles;
P    Se identifican y remueven del servicio los componentes defectuosos del sistema o equipo cuando su resistencia o funcionamiento se ven afectados, para evitar su uso;
P    Se reemplaza cualquier subsistema o componente, únicamente por otro original o que esté autorizado por el fabricante en el manual de mantenimiento que éste provea con el sistema;
P    Se efectúan las reparaciones de conformidad con las indicaciones del fabricante, y sólo a través de personal capacitado y autorizado por el patrón;
P    Se utilizan conectores como mosquetones, ganchos, carabineros y otros elementos de sujeción, que se mantengan cerrados y bloqueados automáticamente, para prevenir que puedan abrirse o liberarse accidentalmente, por lo que:
o    Los conectores se desconectan sólo mediante la ejecución de al menos dos acciones deliberadas consecutivas del trabajador (doble seguro), y
o    Los conectores no se conectan a otros objetos incompatibles en forma o dimensiones, que comprometan su
o    Los conectores no se conectan a otros objetos incompatibles en forma o dimensiones, que comprometan su funcionamiento seguro;
P    Se utilizan cuerdas y bandas de fibras sintéticas o cable metálico en las líneas de vida, cables de seguridad y demás componentes sometidos a esfuerzos;
P    Se considera en la instalación del sistema:
o    El posible efecto de elongación de la cuerda;
o    El efecto pendular;
o    La presencia de líneas eléctricas energizadas, y
o    La deflexión de una línea de vida horizontal;
P    Se instala el sistema de forma tal que la distancia máxima de caída libre, antes de que se active el absorbedor de energía, es de hasta 1.8 m o 3.5 m, según el tipo de absorbedor de energía que incorpora dicho sistema;
P    Se evita el ensamble de subsistemas o componentes de distintos fabricantes que sean incompatibles;
P    Se marca o identifica al sistema que se accionó para detener una caída, y
P    Se prohíbe que un sistema que se ha accionado para detener una caída, sea reutilizado, salvo que el fabricante expresamente así lo permita, ya sea de manera integral o para alguno de sus componentes o subsistemas;
Ø   Al emplear sistemas de protección personal a base de líneas de vida horizontales:
P    Se instala y opera de conformidad con las especificaciones del fabricante;
P    Se constata que los soportes cuenten con la resistencia requerida;
P    Se asegura la correcta tensión del cable horizontal, y
P    Se controla la distancia total de caída disponible, considerando la distancia de despliegue del dispositivo absorbedor de energía y la deflexión o catenaria (curva que se forma en una cuerda o cable cuando está sujeta por sus extremos) que formaría la línea horizontal;
Ø   Al emplear sistemas a base de líneas de vida verticales:
P    Se instala y opera el sistema de conformidad con las especificaciones del fabricante;
P    Se provee a cada trabajador de una línea de vida vertical independiente, cuando el sistema no se ha diseñado para soportar a más de un trabajador;
P    Se asegura que el soporte superior y, en su
P    Se asegura que el soporte superior y, en su caso, el inferior cumplen con la resistencia requerida, así como la correcta tensión en el cable, según aplique, y
P    Se prueba, antes de cada uso, el accionamiento del bloqueador de caída de tipo corredizo, en los sistemas de detención consistentes en rieles verticales o líneas, empleados en escaleras u otras estructuras, y
Ø   Al emplear sistemas a base de líneas de vida retráctiles:
P    Se instala y opera el sistema de acuerdo con las especificaciones del fabricante;
P    Se cumple con las disposiciones establecidas en el numeral 8.4.3 de esta Norma;
P    Se evitan obstrucciones en la trayectoria de una posible caída, y que la línea de vida pueda enredarse o cruzarse con las de otros trabajadores;
P    Se considera la velocidad de bloqueo, conforme a las instrucciones del fabricante;
P    Se evita la realización de trabajos en sitios donde la línea de vida pueda estar en contacto o fricción con bordes afilados, calor extremo, sustancias o ambientes corrosivos, maquinaria en movimiento, entre otras, y
P    Se evita que la línea de vida se conecte con otros componentes para alargar su longitud.
5.10 y 14
Documental
El patrón cumple cuando:
Ø   Presenta evidencia documental de que practica exámenes médicos, al menos cada año, a los trabajadores que realizan trabajos en altura, de acuerdo con lo que establezcan las normas oficiales mexicanas que al respecto emita la Secretaría de Salud;
Ø   Los exámenes médicos satisfacen lo siguiente:
P    Constan por escrito o en medios electrónicos, y
P    Contienen:
o    El nombre del trabajador;
o    La evaluación médica del trabajador, y
o    El nombre del médico, su firma y número de cédula profesional, y
Ø   Presenta evidencia documental de que conserva el último examen practicado al trabajador mientras se mantiene activo en la realización de trabajos en altura.
 
5.11 y 15
Documental
El patrón cumple cuando:
Ø   Presenta evidencia documental de que dispone de un plan de atención a emergencias, derivado de la ejecución de trabajos en altura, y
Ø   El plan de atención a emergencias contiene, al menos, lo siguiente:
P    El responsable de implementar el plan;
P    Los procedimientos para:
o    El alertamiento, en caso de ocurrir una emergencia;
o    La comunicación de la emergencia, junto con el directorio de los servicios de auxilio para la emergencia (rescate, hospitales, entre otros);
o    La suspensión de las actividades;
o    Los primeros auxilios en caso de accidentes;
o    La eliminación de los riesgos durante y después de la emergencia;
o    El uso de los sistemas y equipo de rescate, en su caso, y
o    La reanudación de actividades;
P    La identificación de las rutas de evacuación y de escape del edificio o área en que se efectúa la actividad en altura, en particular cuando ésta se realiza por personal ajeno a dicho edificio o área, en su caso;
P    Las acciones por implementar, en caso de cualquier falla en el sistema o equipo en uso, entre ellas en el suministro de energía en los sistemas motorizados;
P    Los sistemas y equipos de rescate, de protección personal u otros que se requieran para la atención de las emergencias que puedan presentarse en cada uno de los trabajos en altura que se lleven a cabo, y
P    La capacitación y adiestramiento de los trabajadores en relación con el contenido del plan.
 
5.12
Física
El patrón cumple cuando:
Ø   Demuestra que cuenta con un botiquín de primeros auxilios, y
Ø   El botiquín de primeros auxilios contiene:
P    El manual de primeros auxilios, y
P    Los materiales de curación necesarios para atender los posibles casos de emergencia, identificados de acuerdo con los riesgos a que estén expuestos los trabajadores y las actividades que realicen.
 
5.13 y 16
Documental
El patrón cumple cuando:
Ø   Presenta evidencia documental de que proporciona capacitación, adiestramiento e información a los trabajadores que están involucrados en la realización de los trabajos en altura;
Ø   La capacitación, adiestramiento e información se proporciona de acuerdo con:
P    El tipo de sistema o equipo utilizado;
P    Las tareas asignadas, y
P    La atención a emergencias;
Ø   La capacitación y adiestramiento de los trabajadores que laboran con sistemas personales para trabajos en altura, considera, al menos lo siguiente:
P    Los sistemas o equipos disponibles para la realización de trabajos en altura y para la protección contra caídas de altura;
P    La composición, características y funcionamiento del sistema o equipo utilizado;
P    Los aspectos relacionados con:
o    La selección e instalación de los puntos y dispositivos de anclaje seguros;
o    La forma correcta de instalar, colocar, ajustar y utilizar el sistema o equipo;
o    Las conexiones y atados correctos;
o    Las revisiones rutinarias que requiere el sistema o equipo, su periodicidad, así como los criterios para retirarlos del servicio, de conformidad con las instrucciones del fabricante;
o    Las limitantes y posibles restricciones en el uso del sistema o equipo;
o    La estimación de la distancia total de caída, incluyendo la distancia de desaceleración del absorbedor de energía, a efecto de prevenir colisión o golpe en un nivel inferior o contra algún objeto que se encuentre en la trayectoria de una posible caída;
o    La catenaria formada en las líneas de vida horizontales, en su caso;
o    La forma de prevenir el efecto pendular, y
o    Los métodos de uso, revisión, limpieza y resguardo del sistema o equipo, entre otros;
P    Las condiciones de uso que se evitan para no disminuir las capacidades de resistencia o seguridad en general de los sistemas o equipos, como:
o    Ensamble de componentes incompatibles de diferentes fabricantes;
o    Alteraciones o adiciones no autorizadas por los fabricantes;
o    Posibles sobreesfuerzos localizados en ciertos componentes del sistema o equipo, cuando no se ha efectuado una
Es válido presentar las constancias de habilidades laborales emitidas por agentes capacitadores internos o externos al centro de trabajo.
o    Posibles sobreesfuerzos localizados en ciertos componentes del sistema o equipo, cuando no se ha efectuado una adecuada instalación de éste;
o    Exposición de las cuerdas al efecto cortante de aristas u objetos puntiagudos, y
o    Exposición del sistema o de alguna de sus partes a sustancias corrosivas u otras condiciones que puedan llegar a degradar los materiales, como calor, fuego, radiación solar, entre otras;
P    La forma correcta de ensamblar el sistema con otros tipos de sistemas o equipos complementarios, en su caso. Por ejemplo, sistemas para interrumpir caídas con sistemas de ascenso/descenso controlado, de posicionamiento, de rescate, entre otros;
P    Las condiciones bajo las cuales los sistemas o equipos son puestos fuera de servicio para su reparación o reemplazo, por personal capacitado y autorizado por el patrón, de acuerdo con lo establecido por el fabricante;
P    Las medidas de seguridad establecidas en esta Norma, aplicables a las actividades por realizar;
P    Las condiciones climáticas u otros factores desfavorables que obligarían a interrumpir los trabajos en altura;
P    La descripción general sobre los efectos en el organismo durante la detención de una caída y la suspensión posterior a ésta, con énfasis en las condiciones por evitar para la prevención de lesiones u otro tipo de daños a la salud;
P    El contenido del plan de atención a emergencias y otras acciones que se desprendan de las situaciones de emergencia que puedan presentarse durante la realización de los trabajos en altura, y
P    La teoría y práctica sobre técnicas y uso de equipos de rescate en altura;
Ø   La capacitación y adiestramiento de los trabajadores que laboran en andamios tipo torre o estructura, comprende al menos lo siguiente:
P    Los procedimientos de ensamblado y desensamblado del andamio utilizado, cuando los trabajadores realicen o participen en esta actividad;
P    Los aspectos fundamentales de la seguridad y revisión del andamio;
P    Las condiciones de estabilidad del andamio en aspectos como superficie de colocación, altura máxima, nivelación y sujeción;
P    El contenido de las medidas de seguridad
P    El contenido de las medidas de seguridad establecidas en la presente Norma;
P    El contenido del manual o instructivo que, en su caso, se tenga del fabricante;
P    El uso correcto del sistema de protección personal para interrumpir caídas de altura;
P    El uso de equipo de protección personal de acuerdo a los riesgos de la actividad que realice;
P    La señalización a utilizar para la delimitación del área de trabajo;
P    Las limitaciones de uso por condiciones climáticas adversas, la proximidad de líneas eléctricas y la capacidad de carga del andamio;
P    La forma segura de ascender y descender de la plataforma de trabajo;
P    Los métodos seguros para subir o bajar equipos, herramientas y materiales de trabajo del andamio;
P    Los procedimientos para mover el andamio, y
P    El contenido y aplicación del plan de atención a emergencias;
Ø   La capacitación y adiestramiento de los trabajadores que laboran en andamios suspendidos, comprende, al menos, lo siguiente:
P    Los procedimientos de instalación que consideren la colocación de soportes y anclajes, ensamble de la hamaca, colocación de cuerdas o cables de suspensión, cálculo y colocación de contrapesos, entre otros;
P    Los aspectos fundamentales de la seguridad y revisión del andamio suspendido;
P    El contenido de las medidas de seguridad establecidas en esta Norma;
P    El contenido del manual o instructivo que, en su caso, se tenga del fabricante;
P    Los métodos de revisión de las condiciones de seguridad de los cables y cuerdas de suspensión del andamio;
P    El uso y prueba de los dispositivos de seguridad que contiene el andamio;
P    El uso de sistemas restrictivos en los cables de suspensión;
P    Los procedimientos de operación general del andamio;
P    El uso correcto del sistema de protección personal para interrumpir caídas de altura;
P    El uso de equipo de protección personal de acuerdo a los riesgos de la actividad que realice;
P    La señalización por utilizar para la delimitación del área de trabajo;
P    Las limitaciones de uso por condiciones
P    Las limitaciones de uso por condiciones climáticas adversas, la proximidad de líneas eléctricas y la capacidad de carga;
P    La forma segura de ascender y descender de la plataforma de trabajo;
P    Los métodos seguros para subir o bajar equipos, herramientas y materiales de trabajo del andamio;
P    Los procedimientos para mover el andamio, como en el caso de los sistemas que emplean monorrieles u otros elementos, y
P    El contenido y aplicación del plan de atención a emergencias;
Ø   La capacitación y adiestramiento de los trabajadores que laboran en plataformas de elevación, comprende, al menos, lo siguiente:
P    El uso específico del modelo por utilizar, en su propio lugar de trabajo o en un lugar con condiciones similares;
P    El contenido del programa de entrenamiento previsto por el fabricante del equipo por utilizar;
P    Los aspectos fundamentales de la seguridad, operación, funcionamiento y revisión, en concordancia con dicho equipo y los medios de uso previstos;
P    La evaluación teórica y práctica de los conocimientos y habilidades adquiridos por el evaluado;
P    El uso correcto del sistema de protección personal para interrumpir caídas de altura, y
P    El contenido y aplicación del plan de atención a emergencias;
Ø   La información que se proporcione a los trabajadores que utilicen escaleras de mano comprende, al menos, lo siguiente:
P    La selección adecuada del tipo de escalera;
P    Las instrucciones del fabricante, en su caso;
P    El uso y cuidado de éstas, antes de su empleo;
P    La revisión de las condiciones que guarda la escalera;
P    Su ensamble y desensamble adecuados;
P    La transportación, movimiento, ascenso y descenso;
P    La comprensión absoluta de las condiciones seguras de trabajo y situaciones de riesgo que pueden llegar a presentarse, como el uso con superficies mojadas o resbaladizas o por la presencia de vientos intensos, y
P    El uso correcto del sistema de protección
P    El uso correcto del sistema de protección personal para interrumpir caídas de altura, y
Ø   La capacitación contempla, en lo relativo a la aplicación del plan de atención a emergencias, al menos, lo siguiente:
P    El responsable de implementar el plan;
P    Los procedimientos para:
o    El alertamiento, en caso de ocurrir una emergencia;
o    La comunicación de la emergencia, junto con el directorio de los servicios de auxilio para la emergencia (rescate, hospitales, entre otros);
o    La suspensión de las actividades;
o    Los primeros auxilios en caso de accidentes;
o    La eliminación de los riesgos durante y después de la emergencia;
o    El uso de los sistemas y equipo de rescate, en su caso, y
o    La reanudación de actividades;
P    La identificación de las rutas de evacuación y de escape del edificio o área en el que se efectúa la actividad en altura, en particular cuando ésta se realiza por personal ajeno a dicho edificio o área, en su caso;
P    Las acciones por implementar, en caso de cualquier falla en el sistema o equipo en uso, entre ellas en el suministro de energía de los sistemas motorizados, y
P    Los sistemas y equipos de rescate, de protección personal u otros que se requieran para la atención de las emergencias que puedan presentarse en cada uno de los trabajos en altura que se lleven a cabo.
5.14
Documental
El patrón cumple cuando presenta evidencia documental de que supervisa que los contratistas cumplen con lo establecido en esta Norma, cuando éste convenga los servicios de terceros para realizar trabajos en altura.
 
 
18.4 Los instructivos, manuales y procedimientos de los sistemas o equipos utilizados en trabajos en altura, podrán elaborarse con base en los que correspondan a sistemas o equipos análogos, cuando no se cuente con las indicaciones del fabricante de éstos.
18.5 Para la selección de trabajadores por entrevistar para constatar el cumplimiento de las disposiciones previstas en el presente procedimiento para la evaluación de la conformidad, se aplicará el criterio muestral contenido en la Tabla 2 siguiente:
Tabla 2
Muestreo por selección aleatoria
 
 
Número total de trabajadores
Número de trabajadores por
entrevistar
1-15
1
16-50
2
51-105
3
Más de 105
1 por cada 35 trabajadores hasta un
máximo de 15
 
18.6 Las evidencias de tipo documental o los registros que obren en el centro de trabajo podrán exhibirse de manera impresa o en medios magnéticos, y deberán conservarse al menos durante un año.
19. Vigilancia
19.1 La vigilancia del cumplimiento de esta Norma Oficial Mexicana, corresponde a la Secretaría del Trabajo y Previsión Social.
20. Bibliografía
20.1 NMX-S-058/1-SCFI-2005, Seguridad-Sistemas de protección personal para interrumpir caídas de altura-Parte 1: Arneses de cuerpo completo-Requisitos y métodos de prueba.
20.2 NMX-S-058/5-SCFI-2005, Seguridad-Sistemas de protección personal para interrumpir caídas de altura-Parte 5: Conectores con dispositivos de cierre y bloqueo automáticos-Requisitos y métodos de prueba.
20.3 PEMEX Gas y Petroquímica Básica. SP-PC- 040 Procedimientos Críticos. Agosto, 2008.
20.4 Province of Manitoba, Canada. Workplace Safety & Health Division. Fall Protection Guideline. July, 2008.
20.5 Occupational Safety and Health Administration. Regulations (Standards-29 CFR)-1910.28 Safety requirements for scaffolding.
20.6 Occupational Safety and Health Administration. Regulations (Standards-29 CFR)-1910.66 Powered platforms for building maintenance.
20.7 Occupational Safety and Health Administration. Regulations (Standards-29 CFR)-1915.159 Personal fall arrest systems (PFAS).
20.8 NMX-GR-012-IMNC-2000, Plataformas o andamios, jaulas, silletas suspendidas, máquinas de acceso para mantenimiento de edificios-Especificaciones generales.
20.9 NMX-GR-013-IMNC-2000, Plataformas o andamios, jaulas, silletas suspendidas, máquinas de acceso para mantenimiento de edificios-Pruebas.
20.10 International Window Cleaning Association. ANSI IWCA I-14.1-2001. Window Cleaning Safety.
21. Concordancia con normas internacionales
Esta Norma Oficial Mexicana no concuerda con ninguna Norma Internacional, por no existir referencia alguna al momento de su elaboración.
TRANSITORIOS
PRIMERO. La presente Norma Oficial Mexicana entrará en vigor a los tres meses siguientes a su publicación en el Diario Oficial de la Federación.
 
SEGUNDO. Durante el lapso señalado en el artículo anterior, los patrones cumplirán con la Norma Oficial Mexicana NOM-009-STPS-1999, Equipo suspendido de acceso-Instalación, operación y mantenimiento-Condiciones de seguridad, o bien realizarán las adaptaciones para observar las disposiciones de la presente Norma Oficial Mexicana NOM-009-STPS-2011, Condiciones de seguridad para realizar trabajos en altura.
En este último caso, las autoridades laborales proporcionarán a petición de los patrones interesados, asesoría y orientación para instrumentar su cumplimiento, sin que los patrones se hagan acreedores a sanciones por el incumplimiento de la norma en vigor.
TERCERO. A partir de la fecha en que entre en vigor esta Norma quedará sin efectos la Norma Oficial Mexicana NOM-009-STPS-1999, Equipo suspendido de acceso-Instalación, operación y mantenimiento-Condiciones de seguridad, publicada en el Diario Oficial de la Federación de 31 de mayo de 2000.
Dado en la Ciudad de México, Distrito Federal, a los once días del mes de abril de dos mil once.- El Secretario del Trabajo y Previsión Social, Javier Lozano Alarcón.- Rúbrica.
Guía de Referencia I
Contenido mínimo de los instructivos, manuales o procedimientos para la instalación, operación y mantenimiento
de los equipos suspendidos para realizar trabajos en altura
El contenido de esta guía es un complemento para la mejor comprensión de esta Norma y no es de cumplimiento obligatorio.
I.1    Los instructivos, manuales o procedimientos para la instalación de los equipos suspendidos para realizar trabajos en altura, podrán contener la información siguiente:
a)   Las instrucciones para la instalación de estos equipos;
b)   Las restricciones de uso;
c)   La carga total impuesta al soporte o viga de suspensión en el edificio;
d)   Los requerimientos para fijar o anclar los rieles;
e)   Las instrucciones de ensamble y desensamble;
f)    La información para evitar una combinación entre componentes no apropiados;
g)   Las instrucciones referentes a la alimentación de energía;
h)   Las instrucciones respecto a la colocación del cable de acero en el soporte o viga de suspensión;
i)    Las instrucciones para asegurar que el sistema de suspensión quede situado directamente arriba de la plataforma, y
j)    La delimitación y señalización de las áreas de riesgo, alrededor y bajo el sistema de acceso, misma que deberá ser mayor al área de dicho sistema.
I.2    Los instructivos, manuales o procedimientos para la operación de los equipos suspendidos para realizar trabajos en altura, podrán contener la información siguiente:
a)   La descripción de los riesgos cuando se trabaja en altura y la importancia de seguir las instrucciones;
b)   La autorización previa a su operación;
c)   La descripción detallada del equipo, sus dispositivos de seguridad y aplicaciones para las cuales el equipo fue seleccionado, incluyendo prohibiciones y usos incorrectos;
d)   La revisión previa de todo el equipo y dispositivos de seguridad;
e)   Las limitaciones en el uso por capacidad de carga, altura, lluvias, tormentas eléctricas, velocidad del viento y temperaturas en el medio ambiente;
f)    El espacio necesario para la operación y mantenimiento del sistema de acceso;
g)   La descripción de los controles manuales;
 
h)   Los medios para el paro y, específicamente, del botón de paro de emergencia;
i)    Las instrucciones en caso de que se produzcan fallas, daños o cualquier otra circunstancia que pueda poner en riesgo la seguridad de los trabajadores, con la instrucción de suspender el trabajo y notificar al patrón;
j)    Las instrucciones de cómo operar el descenso cuando no hay energía eléctrica;
k)   Las instrucciones concernientes a las acciones que el operador deberá efectuar cuando el dispositivo de seguridad se accione;
l)    Los medios de comunicación entre el trabajador en la plataforma y una persona localizada fuera de ésta, en su caso;
m)  Los sistemas o dispositivos para evitar la inclinación del sistema o plataforma de trabajo, y
n)   Las instrucciones para que se lleve un registro que contenga al menos la información siguiente:
1)   El nombre de los trabajadores autorizados;
2)   Los números de serie de los malacates y de los dispositivos de seguridad, en su caso;
3)   Las especificaciones del cable de suspensión, y
4)   Los accidentes e incidentes ocurridos y las acciones correctivas aplicadas.
I.3    Los instructivos, manuales o procedimientos para el mantenimiento de los equipos suspendidos para realizar trabajos en altura, podrán contener la información siguiente:
a)   Las instrucciones para registrar los mantenimientos preventivos y/o correctivos que se realicen a cada sistema;
b)   Los dibujos y diagramas del equipo suspendido de acceso;
c)   Las advertencias respecto al desarmado de los resortes de los tambores, en su caso;
d)   Los criterios a seguir en la sustitución de los cables;
e)   Las instrucciones para la identificación de fallas, cómo remediarlas y cómo poner en marcha el equipo después del mantenimiento, utilizando un formato que contenga tres columnas relativas a: fallas, causas y posibles remedios;
f)    Las instrucciones respecto a los tipos de revisiones que se efectúen antes de su uso en cada turno de trabajo, y
g)   Los tipos de mantenimiento y su periodicidad.
Guía de Referencia II
Botiquín de primeros auxilios
El contenido de esta guía es un complemento para la mejor comprensión de esta Norma y no es de cumplimiento obligatorio.
La presente guía está basada en el manual de primeros auxilios de la Cruz Roja Mexicana.
II.1   Tipos de botiquín: El tipo de botiquín estará de acuerdo con las actividades que se vayan a desarrollar o al sitio en el que se encuentra.
II.2   Características: Como características importantes para el botiquín se destacan las siguientes: ser de fácil transporte; visible y de fácil acceso; identificable con una cruz verde; de peso no excesivo; sin candados o dispositivos que dificulten el acceso a su contenido, y con un listado del contenido.
II.3   Cuidados: Se recomiendan los cuidados siguientes:
a)   Que se encuentre en un lugar fresco y seco;
b)   Que el instrumental se encuentre limpio;
c)   Que los frascos estén cerrados y de preferencia que sean de plástico, y
d)   Que el material se encuentre ordenado.
II.4   El material que conforma el botiquín, se podrá clasificar de la manera siguiente:
a)   Material seco;
b)   Material líquido;
c)   Instrumental, y
 
d)   Material complementario.
       La cantidad de material de que se deba disponer estará sujeta al uso al que se vaya a destinar y a las posibilidades económicas con que se cuente. Todo el material que se menciona es básico y deberá existir en cualquier botiquín.
II.5   Material seco: El material seco es aquél que por sus características deberá permanecer en ese estado. Comprende los elementos siguientes:
a)   Torundas de algodón;
b)   Gasas de 5 x 5 cm;
c)   Compresas de gasa de 10 x 10 cm;
d)   Tela adhesiva;
e)   Vendas de rollo elásticas de 5 cm x 5 m;
f)    Vendas de rollo elásticas de 10 cm x 5 m;
g)   Vendas de gasa con las mismas dimensiones que las dos anteriores;
h)   Venda de 4, 6 u 8 cabos;
i)    Abatelenguas;
j)    Apósitos de tela o vendas adhesivas, y
k)   Venda triangular.
II.6   Material líquido: Comprende las soluciones siguientes:
a)   Tintura de yodo para piel y mucosas;
b)   Jabón neutro, de preferencia líquido;
c)   Vaselina;
d)   Alcohol, y
e)   Agua hervida o estéril.
       Las soluciones anteriores estén de preferencia en recipientes plásticos, en cantidades regulares y etiquetados cada uno para hacer más fácil su uso.
II.7   Instrumental: El instrumental podrá estar conformado de la manera siguiente:
a)   Tijeras rectas y tijeras de botón;
b)   Pinzas de Kelly rectas;
c)   Pinzas de disección sin dientes;
d)   Termómetro, y
e)   Ligadura de hule.
       El instrumental quirúrgico -como tijeras y pinzas-, esté empacado, ya sea en pequeños paños de tela o en papel absorbente y etiquetado con el nombre del instrumental que contiene.
II.8   Material y equipo complementario: Es aquél que puede o no formar parte del botiquín o que por su uso requiera de material específico. Algunos elementos que se pueden incluir son:
a)   Linterna de mano;
b)   Piola;
c)   Guantes de cirujano;
d)   Ligadura de cordón umbilical;
e)   Estetoscopio y esfigmomanómetro;
 
f)    Tablillas para enferular, de madera o cartón;
g)   Equipo de inmovilización para trabajadores politraumatizados;
h)   Una manta;
i)    Repelente para moscos;
j)    Hisopos de algodón, y
k)   Lápiz y papel.
___________________________